Abstract
In the search for convenient, green, and practical catalytic methods for the current interest in organic synthesis, a simple, green, and highly efficient protocol for N-formylation of various amines was carried out in the presence of immobilized sulfuric acid on silica gel (H2SO4–SiO2). All reactions were performed in refluxing triethyl orthoformate (65 °C). The product formamides were obtained with high-to-excellent yields within 4 min to 2 h. The current approach is advantageous, due to its short reaction time and high yields. The catalyst is recyclable with no significant loss in catalytic efficiency.
1. Introduction
A fascinating trend in the synthesis of widely used organic molecules is the focus on green chemistry, including efficient reactions and the use of ecologically friendly reagents [1]. The use of silica gel as an effective catalyst in chemical processes has attracted much attention in recent years. The formylation of amines is a crucial process in organic chemistry, owing to the widespread application of N-formyl amine derivatives in industry and in biologically active compounds, such as fluoroquinolones, substituted imidazoles, 1,2-dihydroquinolines, and nitrogen-bridged heterocycles, among others [2]. N-formyl amine derivatives have also been used as reagents in Vilsmeier formylation reactions as amino acid-protecting groups [3] and in the synthesis of several other important derivatives, such as formamidines [4], isocyanates [5], and nitriles [6] (Figure 1).
Figure 1.
Schematic representation depicting N-formamide as versatile synthetic reagent.
Despite the fact that there are a variety of reagents for N-formylation of amines, the synthesis of formamides utilizing triethyl orthoformate as a formylating agent is still popular [1]. The reaction of ethyl orthoformate with aniline to afford N,N′-diphenylformamidine was initially reported in 1869 by Wichelhaus [7]. Subsequently, Claisen synthesized ethyl N-phenylformimidate in low yields from the same reactants, but under slightly different experimental conditions [8]. Swaringen and colleagues went on to show that the reaction of N-alkylanilines with orthoformates in the absence of a catalyst or with hydrochloric/acetic acid produced orthoamides in low yields [8]. These few examples demonstrate one of the major drawbacks of this system, namely, the low yield. Meanwhile, when p-toluenesulfonic acid was employed as a catalyst, high yields of N-alkylformanilides and N,N-dialkylanilines were generated, but the reactions still often required high temperatures and prolonged reaction times. For example, Swaringen and co-workers demonstrated the synthesis of N-ethyl formamides from the reaction of amines with triethyl orthoformate in the presence of H2SO4, but under severe conditions (temperature above 140 °C) [9].
Various other formylating agents have been reported, including chloral [10], acetic formic anhydride [11], formic acid [12], ammonium formate [13], formate esters [14], polymer-supported formate [15], ethyl formate [16], triethyl orthoformate [1,2], aldehydes and methanol [17], carbon monoxide [18], and carbon dioxide [19]. However, these also tend to suffer from similar problems of long reaction times (hours to days), variable or low yields, and harsh conditions (or expensive catalyst systems).
Several catalysts have been employed for the formylation of amines, including silica-supported sulfuric acid [20], H2SO4/NaHSO4-activated charcoal [21], K-F alumina [22], Amberlite IR 120 [23], ZnO [24], nano-CeO2 [25], nano-MgO [26], natrolite zeolite [27], indium metal [28], sulfated titania [29], and sulfated tungstate [30], among others (Table 1).
Table 1.
Catalysts in combination with formylating agents employed for the formylation of various amines.
In the absence of a catalyst or promoter, N-formylation of amines is a sluggish reaction that usually requires unique reaction conditions or long time frames for completion [25]. However, some of these methods have quite a number of limitations, including harsh reaction conditions, the need for expensive metal catalysts or organocatalysts, and long reaction time frames. Thus, for organic transformations, the development of a safe, benign, environmentally friendly, high-yield, quick-reaction, and recyclable catalyst for N-formylation of amines remains extremely desirable [3].
In the last few years, H2SO4–SiO2 (Table 2) has demonstrated significant promise as a cost-effective and easily retrievable solid catalyst for driving a variety of essential organic reactions in solvent-free environments. H2SO4–SiO2 is appealing for industrial usage because of its high catalytic activity, operational simplicity, and recyclability. There are two types of functional groups on the silica surface: siloxane (Si–O–Si) and silanol (Si–OH). Thus, silica gel modification can occur through the reaction of a specific molecule with either the siloxane (nucleophilic substitution at the Si) or silanol (direct reaction with the hydroxyl group) functions, though it is widely accepted that the reaction with the silanol function is the most common modification pathway (Figure 2) [47,48]. The notion of employing H2SO4–SiO2 as a transamidation catalyst was inspired by Rasheed et al. [20]. We became interested in employing the same catalyst to build a generic formylation with triethyl orthoformate. To the best of our knowledge, no reports of H2SO4–SiO2-catalyzed formylation with triethyl orthoformate have been published, and so for the first time, we present findings in this regard.
Table 2.
Silica-supported Brønsted acids as catalyst for the formylation of various amines.
Figure 2.
Immobilized sulfuric acid on silica gel.
2. Results and Discussion
Initially, the reaction of aniline with triethyl orthoformate was chosen as the model reaction (Figure 3). During the optimization of reaction parameters, it was observed that aniline reacted smoothly with triethyl orthoformate, providing the desired product with a good yield (96%) within a short period of time (Table 3).
Figure 3.
N-formylation of amines with triethyl orthoformate.
Table 3.
Optimization of reaction parameters for N-formylation of amines with triethyl orthoformate (TEOF).
In order to generalize the protocol for the formylation of sterically hindered amines, the reaction was optimized with respect to temperature and molar ratio. The temperature was raised to 65 °C and was observed to be quite sufficient to carry out the reaction with an optimum yield of the desired product (Table 3). It was observed that the need for an excess of triethyl orthoformate was no longer required, as a 1:3 molar ratio of amine to triethyl orthoformate was sufficient to yield the desired product (Table 3, entry 3).
We next explored the impact of immobilized sulfuric acid on silica gel stoichiometry on the outcome of the reaction (Table 4). We observed that excess H2SO4–SiO2 was not beneficial for faster conversion. Conversely, a lower amount of H2SO4–SiO2 led to substantially slower conversion. The background reaction (used as a model) was also measured in the absence of H2SO4–SiO2, confirming its vital role.
Table 4.
N-formylation of aniline under different catalytic conditions.
In general, the reaction proceeded efficiently, with various amines reacting with triethyl orthoformate to produce the corresponding N-formylated product with good-to-excellent yield within a very short time. Aliphatic and aromatic primary amines underwent smooth N-formylation and gave the product in 70–96% yields (Table 5).
Table 5.
N-formylation of amines using triethyl orthoformate in the presence of immobilized sulfuric acid on silica gel.
Aniline with electron-donating groups provided an excellent yield of 65–96% with triethyl orthoformate. The halogen (F, Cl, Br, I)-containing anilines provided good yields, ranging from 73% to 96%, of corresponding products. Similarly, electron-withdrawing groups were found to react smoothly under the optimized reaction conditions and demonstrate good yields of desired products (85–96%). Generally, under these optimized reaction conditions, various functional groups were tolerated. However, finding a general method for generating amide bonds will surely benefit the drug discovery process. In general, the formylation of aryl/heteroaryl amines (electron-neutral, -rich, -deficient), aliphatic, and cyclic secondary amines afforded the formylation products in excellent yields (70–96%). Interestingly, sterically hindered aryl amines, such as products 6, 7, 10, 11, 16, 17, and 33–38, were found to react smoothly under the optimized reaction conditions, demonstrating good yields of desired products. Less reactive hetero aromatics, such as 42–51 and 56, produced the product with a surprisingly high yield (77–90%) and a longer reaction time (35–60 min). When secondary amines 52–54 were employed, the reaction was somehow slow, providing a good yield of products in 1 h (Table 5). NMR spectral data of all synthesized compounds are available in the Supplementary Materials (S1–S56).
3. Reusability of Catalyst
The reusability of the catalytic system was explored. The catalyst was separated by simple filtration and washed with ethyl acetate after the reaction was completed, and it was reused for two consecutive cycles within the same time frame (4 min), with a slight decrease in catalytic activity (9–13%) (Table 6).
Table 6.
Efficiency of the recycled SIS in the N-formylation of aniline.
In order to demonstrate the efficiency and versatility of the H2SO4–SiO2 system, we compared the result of N-formylation of aniline with other protocols that have been published based on reaction times and yields (Table 7). The results showed that the other approaches required longer reaction times for efficient conversion than for the present protocol. Therefore, on this basis, the present protocol is more efficient or comparable with other methodologies.
Table 7.
Comparison of efficiency of various conditions in the N-formylation of aniline.
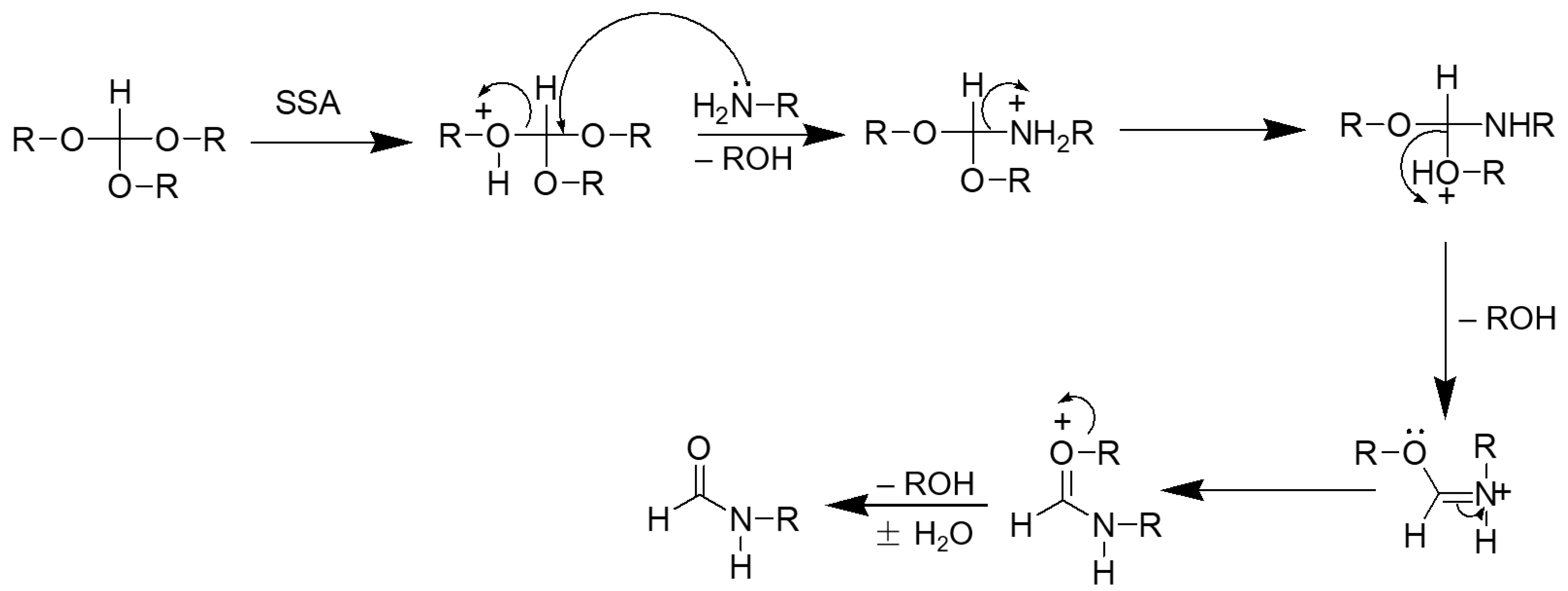
Even though we have yet to prove the mechanism of our reaction in an experimental manner, Figure 4 suggests a possible explanation. The first step is the activation of the electrophilic carbon of triethyl orthoformate by the sulfonic group of H2SO4–SiO2, which led to the formation of a cationic intermediate. The cationic intermediate reacted with amine nucleophiles, which, on further elimination of ethanol, furnished the desired formylated product.
Figure 4.
Proposed mechanism for N-formylation of amines with triethyl orthoformate.
While 1,8-difformamido-naphthalein (38) and 3-formamido-1,2,4-triazole-5-thiol (53) are new derivatives and were characterized by one- and two-dimensional NMR analysis and high-resolution mass spectroscopy, all other products are known compounds and were identified by melting point, IR, 1H NMR, and 13C NMR spectroscopy. The synthesis of formamides was confirmed by IR spectra, which revealed two distinct absorption bands between 3300 and 3400 cm−1 (secondary NH) and 1640 and 1680 cm−1 (N-formyl, C=O).
Furthermore, formamide molecules have both a conformational stereogenic axis and a configurational stereogenic centre. These molecules take on two distinct syn and anti-conformational diastereomers as a result of restricted rotation around the Ar–N bond [50]. The 1H and 13C NMR spectra of most of the synthesized formamides at 25 °C were consistent with the presence of two rotamers. Only one rotamer was observed for the compounds 8, 14, 27, 45 and 46.
During the purification of compounds 12 and 35, two products appeared as partially separated spots on thin-layer chromatography (TLC) plates. Using normal silica gel chromatography, these compounds were identified as A and B rotamer pairs. After purifying compounds 12 and 35, pure rotamers 12A and 35A were isolated (Figure 5). 12A and 35A were the only pure isomers that could be isolated, while 12B and 35B were always contaminated to some degree by 12A and 35A, respectively. The fact that we were able to isolate rotamers A and B at room temperature and characterize them using basic spectroscopic techniques astounded us. This occurrence may be viewed as a specific form of atropisomerism, because atropisomers are stereoisomers with restricted rotation around a single bond where the rotational barrier is high enough to allow isolation of the isomeric species [51].
Figure 5.
Yield of isolated conformers 12A and 35A.
4. Materials and Methods
A PerkinElmer Spectrum 100 FT-IR Spectrometer (Valencia, CA, USA) was used for the FT-IR analysis. The IR spectra were obtained by the attenuated total reflection (ATR) method. For each experiment, 16 scans were performed in the frequency range from 650 to 4000 cm−1. Melting points of all the compounds were determined using a Koffler hot-stage apparatus and were uncorrected. NMR spectra were recorded on a Bruker Advance III 400 spectrometer (Rheinstetten, Germany) using CDCl3 or DMSO-d6 as a solvent with tetramethyl silane used as internal standard. LC-MS/MS data were recorded on a Bruker Compact quadrupole time of flight (QToF) mass spectrometer (Bremen, Germany). Raw mass spectrometry data were processed using MZmine software (version 2.38) (San Diego, CA, USA). Solvents and chemicals used were of analytical grade, purchased from Sigma Aldrich (St. Louis, MO, USA) and used without further purification. The purity determination of the starting materials and reaction monitoring were performed by thin-layer chromatography (TLC) on Merck silica gel G F254plates (Duren, Germany).
4.1. Preparation of Sulfuric Acid Adsorbed on Silica Gel (H2SO4–SiO2)
The preparation of H2SO4–SiO2 was carried out by following the reported procedure [52]. To a suspension of silica gel (29.5 g, 230–400 mesh size) in EtOAc (60 mL), H2SO4 (1.5 g, 15.5 mmol, 0.8 mL of a 98% aq. solution of H2SO4) was added and the mixture was stirred magnetically for 30 min at room temperature. EtOAc was removed under reduced pressure (rotary evaporator) and the residue was heated at 100 °C for 72 h under vacuum to afford H2SO4–SiO2 as a free-flowing powder.
4.2. A General Procedure for N-Formylation of Amines with Triethyl Orthoformate Promoted by Immobilized H2SO4 on Silica Gel
To a mixture of aniline (0.548 mL, 6 mmol) and triethyl orthoformate (24 mmol), the immobilized H2SO4 on silica gel (1.2 g) was then added and the reaction mixture was stirred under reflux conditions (65 °C). Progress of the reaction was monitored by TLC. After completion of the reaction, the mixture was diluted with EtOAc (20 mL), filtered, water (30 mL) was added, the solution was extracted with EtOAc, and the combined organic layers were dried over anhydrous Na2SO4 and concentrated. The residue was subjected to column chromatography and eluted with (EtOAc–Pet Ether (3:1)) to afford the product in high yields.
5. Conclusions
We have developed a simple, green, and highly efficient protocol for N-formylation of various amines in the presence of immobilized sulfuric acid on silica gel, with excellent yields and remarkably simple and environmentally benign processes. The approach is compatible with a wide range of aromatic, heteroaromatic, aliphatic, and cyclic/acyclic primary or secondary amines. The H2SO4–SiO2 catalytic system described here is a good complement to previously reported protocols, due to its ease of manipulation, low cost, and benign nature. We are optimistic that, with this approach, we will be able to develop the biologically relevant heterocyclic ring system more efficiently. This protocol is generic, and it will undoubtedly offer value to the growing area of organic synthesis.
Supplementary Materials
The following supporting information can be downloaded at: https://www.mdpi.com/article/10.3390/molecules27134213/s1: Figure S1–S56: NMR spectral data of synthesized compounds. References [53,54,55,56,57,58] are cited in the Supplementary Materials.
Author Contributions
Conceptualization, R.W.M.K. and S.A.S.; methodology, S.A.S.; writing—original draft preparation, S.A.S.; writing—review and editing, X.S.-N.; supervision, R.W.M.K. All authors have read and agreed to the published version of the manuscript.
Funding
This research was funded by National Research Foundation of South Africa (Grant No. 116109).
Data Availability Statement
Original data from experiments are available from the authors.
Conflicts of Interest
The authors declare no conflict of interest.
Sample Availability
Samples of the compounds are available from the authors.
References
- Habibi, D.; Sahebekhtiari, H.; Nasrollahzadeh, M.; Taghipour, A. A Very Simple, Highly Efficient and Catalyst-free Procedure for the N-Formylation of Amines Using Triethyl orthoformate in Water Under Ultrasound-irradiation. Lett. Org. Chem. 2013, 10, 209–212. [Google Scholar] [CrossRef]
- Kaboudin, B.; Khodamorady, M. Organic reactions in water: A practical and convenient method for the N-formylation of amines in water. Synlett 2010, 19, 2905–2907. [Google Scholar] [CrossRef]
- Khatri, C.K.; Chaturbhuj, G.U. Sulfated polyborate-catalyzed N-formylation of amines: A rapid, green and efficient protocol. J. Iran. Chem. Soc. 2017, 14, 2513–2519. [Google Scholar] [CrossRef]
- Han, Y.; Cai, L. An efficient and convenient synthesis of formamidines. Tetrahedron Lett. 1997, 38, 5423–5426. [Google Scholar] [CrossRef]
- Gould-Fogerite, S.; Mannino, R.J. Protein or peptide-cochleate vaccines and methods of immunizing using the same. U.S. Patent 5,643,574, 1 July 1997. [Google Scholar]
- Pravin, P.; Maryam, A.M.; Alexander, D. Isocyanide 2.0. Green Chem. 2020, 22, 6902–6911. [Google Scholar] [CrossRef]
- Roberts, R.M.; Vogt, P.J. Ortho esters, imidic esters and amidines: N-alkylformanilides from alkyl orthoformates and primary aromatic amines; Rearrangement of alkyl N-arylformimidates. J. Am. Chem. Soc. 1956, 78, 4778–4782. [Google Scholar] [CrossRef]
- de la Mare, P.B.D. Kinetics of thermal addition of halogens to olefinic compounds. Q. Rev. Chem. Soc. 1949, 3, 126–145. [Google Scholar] [CrossRef]
- Swaringen, R.A.; Eaddy, J.F.; Henderson, T.R. Reaction of Ortho Esters with Secondary Amines. J. Org. Chem. 1980, 45, 3986–3989. [Google Scholar] [CrossRef]
- Blicke, F.F.; Lu, C.-J. Formylation of Amines with Chloral and Reduction of the N-Formyl Derivatives with Lithium Aluminum Hydride. J. Am. Chem. Soc. 1952, 74, 3933–3934. [Google Scholar] [CrossRef]
- Kiho, T.; Yoshida, I.; Katsuragawa, M.; Sakushima, M.; Usui, S.; Ukai, S. Polysaccharides in Fungi. XXXIV. A Polysaccharide from the Fruiting Bodies of Amanita muscaria and the Antitumor Activity of Its Carboxymethylated Product. Biol. Pharm. Bull. 1994, 17, 1460–1462. [Google Scholar] [CrossRef][Green Version]
- Jung, S.H.; Ahn, J.H.; Park, S.K.; Choi, J.K. A practical and convenient procedure for the N-formylation of amines using formic acid. Bull. Korean Chem. Soc. 2002, 23, 149–150. [Google Scholar] [CrossRef]
- Ganapati Reddy, P.; Kishore Kumar, G.D.; Baskaran, S. A convenient method for the N-formylation of secondary amines and anilines using ammonium formate. Tetrahedron Lett. 2000, 41, 9149–9151. [Google Scholar] [CrossRef]
- Rupesh Patre, E.; Sanjib Mal, A.; Pankaj, R.; Nilkanth, R.; Sujit Ghorai, K.; Sudhindra Deshpande, H.; Myriem Qacemi, E.I.; Smejkal, T.; Pal, S.; Manjunath, B.N. First report on bio-catalytic N-formylation of amines using ethyl formate. Chem. Commun. 2017, 53, 2382–2385. [Google Scholar] [CrossRef] [PubMed]
- Desai, B.; Danks, T.N.; Wagner, G. Thermal and microwave-assisted N-formylation using solid-supported reagents. Tetrahedron Lett. 2005, 46, 955–957. [Google Scholar] [CrossRef]
- Dhake, K.P.; Tambade, P.J.; Singhal, R.S.; Bhanage, B.M. An efficient, catalyst- and solvent-free N-formylation of aromatic and aliphatic amines. Green Chem. Lett. Rev. 2011, 4, 151–157. [Google Scholar] [CrossRef]
- Das, B.; Krishnaiah, M.; Balasubramanyam, P.; Veeranjaneyulu, B.; Nandan Kumar, D. A remarkably simple N-formylation of anilines using polyethylene glycol. Tetrahedron Lett. 2008, 49, 2225–2227. [Google Scholar] [CrossRef]
- Noh, H.W.; An, Y.; Lee, S.; Jung, J.; Son, S.U.; Jang, H.Y. Metal-free Carbon Monoxide (CO) Capture and Utilization: Formylation of Amines. Adv. Synth. Catal. 2019, 361, 3068–3073. [Google Scholar] [CrossRef]
- Zhang, L.; Han, Z.; Zhao, X.; Wang, Z.; Ding, K. Highly efficient ruthenium-catalyzed N-formylation of amines with H2 and CO2. Angew. Chem. Int. Ed. 2015, 54, 186–6189. [Google Scholar] [CrossRef]
- Rasheed, S.; Rao, D.N.; Reddy, A.S.; Shankar, R.; Das, P. Sulphuric acid immobilized on silica gel (H2SO4-SiO2) as an eco-friendly catalyst for transamidation. RSC Adv. 2015, 5, 10567–10574. [Google Scholar] [CrossRef]
- Zeynizadeh, B.; Abdollahi, M. The immobilized NaHSO4·H2O on activated charcoal: A highly efficient promoter system for N-formylation of amines with ethyl formate. Curr. Chem. Lett. 2016, 5, 51–58. [Google Scholar] [CrossRef]
- Das, V.K.; Devi, R.R.; Raul, P.K.; Thakur, A.J. Nano rod-shaped and reusable basic Al2O3 catalyst for N-formylation of amines under solvent-free conditions: A novel, practical and convenient NOSE’ approach. Green Chem. 2012, 14, 847–854. [Google Scholar] [CrossRef]
- Madthukur Bhojegowd, M.R.; Nizam, A.; Pasha, M.A. Amberlite IR-120: A reusable catalyst for N-formylation of amines with formic acid using microwaves. Cuihua Xuebao/Chin. J. Catal. 2010, 31, 518–520. [Google Scholar] [CrossRef]
- Hosseini-sarvari, M.; Sharghi, H. ZnO as a New Catalyst for N-Formylation of Amines under Solvent-Free Conditions. Tetrahedron 2006, 8, 6652–6654. [Google Scholar]
- Zeynizadeh, B. Catalytic Performance. J. Chem. Soc. Pak. 2017, 39, 1–11. [Google Scholar]
- Nasrollahzadeh, M.; Motahharifar, N.; Sajjadi, M.; Aghbolagh, A.M.; Shokouhimehr, M.; Varma, R.S. Recent advances in N -formylation of amines and nitroarenes using efficient (nano)catalysts in eco-friendly media. Green Chem. 2019, 21, 5144–5167. [Google Scholar] [CrossRef]
- Bahari, S.; Sajadi, S.M. Natrolite zeolite: A natural and reusable catalyst for one-pot synthesis of α-aminophosphonates under solvent-free conditions. Arab. J. Chem. 2012, 10, 700–704. [Google Scholar] [CrossRef]
- Kim, J.G.; Jang, D.O. Indium-catalyzed N-formylation of amines under solvent-free conditions. Synlett 2010, 8, 1231–1234. [Google Scholar] [CrossRef]
- Krishnakumar, B.; Swaminathan, M. A convenient method for the N-formylation of amines at room temperature using TiO2-P25 or sulfated titania. J. Mol. Catal. A Chem. 2011, 334, 98–102. [Google Scholar] [CrossRef]
- Veer, S.D.; Pathare, S.P.; Akamanchi, K.G. Sulfated tungstate catalyzed hydration of alkynes. Ark. 2016, 2016, 59–66. [Google Scholar] [CrossRef]
- Thirunarayanan, G.; Muthuvel, I.; Sathiyendiran, V. Spectral LFER studies in some N-(substituted phenyl) formamides. Ann. Chem. 2015, 70, 31. [Google Scholar] [CrossRef]
- Kim, J.G.; Jang, D.O. Facile and highly efficient N-formylation of amines using a catalytic amount of iodine under solvent-free conditions. Synlett 2010, 14, 2093–2096. [Google Scholar] [CrossRef]
- Lei, M.; Ma, L.; Hu, L. A convenient one-pot synthesis of formamide derivatives using thiamine hydrochloride as a novel catalyst. Tetrahedron Lett. 2010, 51, 4186–4188. [Google Scholar] [CrossRef]
- Jafarzadeh, M.; Soleimani, E.; Norouzi, P.; Adnan, R.; Sepahvand, H. Preparation of trifluoroacetic acid-immobilized Fe3O4@SiO2-APTES nanocatalyst for synthesis of quinolines. J. Fluor. Chem. 2015, 178, 219–224. [Google Scholar] [CrossRef]
- Pathare, S.P.; Sawant, R.V.; Akamanchi, K.G. Sulfated tungstate catalyzed highly accelerated N-formylation. Tetrahedron Lett. 2012, 53, 3259–3263. [Google Scholar] [CrossRef]
- De Luca, L.; Giacomelli, G.; Porcheddu, A.; Salaris, M. A new, simple procedure for the synthesis of formyl amides. Synlett 2004, 14, 2570–2572. [Google Scholar] [CrossRef]
- Deutsch, J.; Eckelt, R.; Köckritz, A.; Martin, A. Catalytic reaction of methyl formate with amines to formamides. Tetrahedron 2009, 65, 10365–10369. [Google Scholar] [CrossRef]
- Baghbanian, S.M.; Farhang, M. Protic [TBD][TFA] ionic liquid as a reusable and highly efficient catalyst for N-formylation of amines using formic acid under solvent-free condition. J. Mol. Liq. 2013, 183, 45–49. [Google Scholar] [CrossRef]
- Chandra Shekhar, A.; Ravi Kumar, A.; Sathaiah, G.; Luke Paul, V.; Sridhar, M.; Shanthan Rao, P. Facile N-formylation of amines using Lewis acids as novel catalysts. Tetrahedron Lett. 2009, 50, 7099–7101. [Google Scholar] [CrossRef]
- Hong, M.; Xiao, G. Hafnium(IV) bis(perfluorooctanesulfonyl)imide complex supported on fluorous silica gel catalyzed N-formylation of amines using aqueous formic acid. J. Fluor. Chem. 2013, 146, 11–14. [Google Scholar] [CrossRef]
- Ourida, S.; Mark, J.B.; John, B.; James, L.; Stephen, P.M.; Pawel, P.; Robert, J.W.; Williams, J.M.J. Iridium-catalyzed formylation of amines with paraformaldehyde. Tetrahedron Lett. 2010, 51, 5804–5806. [Google Scholar] [CrossRef]
- Lundberg, H. Group (IV) Metal-Catalyzed Direct Amidation: Synthesis and Mechanistic Considerations. Ph.D. Thesis, University of Stockholm, Stockholm, Sweden, 2015. [Google Scholar]
- Ishida, T.; Haruta, M. N-formylation of amines via the aerobic oxidation of methanol over supported gold nanoparticles. ChemSusChem 2009, 2, 538–541. [Google Scholar] [CrossRef] [PubMed]
- Ortega, N.; Richter, C.; Glorius, F. N-Formylation of amines by methanol activation. Org. Lett. 2013, 15, 1776–1779. [Google Scholar] [CrossRef] [PubMed]
- Tumma, H.; Nagaraju, N.; Reddy, K.V. A facile method for the N-formylation of primary and secondary amines by liquid phase oxidation of methanol in the presence of hydrogen peroxide over basic copper hydroxyl salts. J. Mol. Catal. A Chem. 2009, 310, 121–129. [Google Scholar] [CrossRef]
- Han, Y.; Zhikang, W.; Zheyu, W.; Yongyan, Z.; Shi, R.; Qixin, Z.; Jingjing, W.; Sheng, H.; Yongge, W. N-formylation of amines using methanol as a potential formyl carrier by a reusable chromium catalyst. Commun. Chem. 2019, 2, 1–7. [Google Scholar] [CrossRef]
- Kaur, M.; Sharma, S.; Bedi, P.S. Silica supported Brönsted acids as catalyst in organic transformations: A comprehensive review. Cuihua Xuebao/Chinese J. Catal. 2015, 36, 520–549. [Google Scholar] [CrossRef]
- Pramanik, A.; Bhar, S. Silica-sulfuric acid and alumina-sulfuric acid: Versatile supported Brønsted acid catalysts. New J. Chem. 2021, 45, 16355–16388. [Google Scholar] [CrossRef]
- Habibi, D.; Rahmani, P.; Akbaripanah, Z. N-formylation of anilines with silica sulfuric acid under solvent free conditions. J. Org. Chem. 2013, 2013, 268654. [Google Scholar] [CrossRef]
- Hu, D.X.; Grice, P.; Ley, S.V. Rotamers or diastereomers? An overlooked NMR solution. J. Org. Chem. 2012, 77, 5198–5202. [Google Scholar] [CrossRef]
- Lanyon-Hogg, T.; Ritzefeld, M.; Masumoto, N.; Magee, A.I.; Rzepa, H.S.; Tate, E.W. Modulation of Amide Bond Rotamers in 5-Acyl-6,7-dihydrothieno [3,2-c]pyridines. J. Org. Chem. 2015, 80, 4370–4377. [Google Scholar] [CrossRef]
- Habibi, D.; Nasrollahzadeh, M.; Sahebekhtiari, H. Green synthesis of formamides using the Natrolite zeolite as a natural, efficient and recyclable catalyst. J. Mol. Catal. A Chem. 2013, 378, 148–155. [Google Scholar] [CrossRef]
- Ma’mani, L.; Sheykhan, M.; Heydari, A.; Faraji, M.; Yamini, Y. Sulfonic acid supported on hydroxyapatite-encapsulated-γ-Fe2O3 nanocrystallites as a magnetically Brønsted acid for N-formylation of amines. Appl. Catal. A Gen. 2010, 377, 64–69. [Google Scholar] [CrossRef]
- Bose, A.K.; Ganguly, S.N.; Manhas, M.S.; Guha, A.; Pombo-Villars, A. Microwave promoted energy-efficient N-formylation with aqueous formic acid. Tetrahedron Lett. 2006, 47, 4605–4607. [Google Scholar] [CrossRef]
- Lygin, A.V.; De Meijere, A. ortho-Lithiophenyl isocyanide: A versatile precursor for 3H-quinazolin-4-ones and 3H-quinazolin-4-thiones. Org. Lett. 2009, 11, 389–392. [Google Scholar] [CrossRef]
- Landquist, J.K. Synthetic antimalarials. Part XLVI. Some 4-[(dialkylaminoalkyl)amino] quinoline derivatives. J. Chem. Soc. 1951, 10, 1038–1048. [Google Scholar] [CrossRef]
- Kim, J.J.; Park, Y.D.; Cho, S.D.; Kim, H.K.; Chung, H.A.; Lee, S.G.; Falck, J.R.; Yoon, Y.J. Efficient N-arylation of pyridazin-3(2H)-ones. Tetrahedron Lett. 2004, 45, 8781–8784. [Google Scholar] [CrossRef]
- Trost, B.M. The Atom Economy—A Search for Synthetic Efficiency. Science 1991, 254, 1471–1477. [Google Scholar] [CrossRef] [PubMed]
Publisher’s Note: MDPI stays neutral with regard to jurisdictional claims in published maps and institutional affiliations. |
© 2022 by the authors. Licensee MDPI, Basel, Switzerland. This article is an open access article distributed under the terms and conditions of the Creative Commons Attribution (CC BY) license (https://creativecommons.org/licenses/by/4.0/).




















































































































