Poly(Lactic Acid)-Based Graft Copolymers: Syntheses Strategies and Improvement of Properties for Biomedical and Environmentally Friendly Applications: A Review
Abstract
:1. Introduction
2. Results
2.1. Copolymerization of Lactide with a Functionalized Lactide for the Preparation of PLA Graft Copolymers
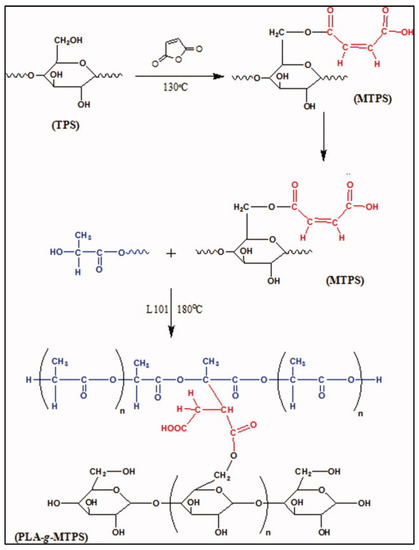
2.2. Direct Functionalization of PLA Backbone: Towards PLA-Based Graft Copolymers
2.2.1. PLA-g-Maleic Anhydride (PLA-g-MA)
PLA-g-Cellulosic Derivatives
PLA-g-Natural Rubber (PLA-g-NR)
PLA-g-Polyester

Other PLA-Based Blends
2.2.2. PLA-g-Glycidyl Methacrylate (PLA-g-GMA)
PLA-g-Cellulosic Derivatives
PLA-g-Polyesters
2.2.3. PLA-g-Acrylic Acid (PLA-g-AA)
2.2.4. PLA-g-Halogen
2.2.5. Other PLA-Based Graft Copolymers
PLA-g-Nitrilotriacetic Acid (PLA-g-NTA)
PLA-g-Vinyltrimethoxysilane (PLA-g-VTMS)
PLA-g-Poly(Vinyl Pyrrolidone) (PLA-g-PVP)
2.2.6. Anionic Derivatization
3. Conclusions
Author Contributions
Funding
Institutional Review Board Statement
Informed Consent Statement
Data Availability Statement
Conflicts of Interest
References
- Farah, S.; Anderson, D.G.; Langer, R. Physical and Mechanical Properties of PLA, and Their Functions in Widespread Applications—A Comprehensive Review. Adv. Drug Deliv. Rev. 2016, 107, 367–392. [Google Scholar] [CrossRef] [PubMed] [Green Version]
- Naser, A.Z.; Deiab, I.; Defersha, F.; Yang, S. Expanding Poly(Lactic Acid) (PLA) and Polyhydroxyalkanoates (PHAs) Applications: A Review on Modifications and Effects. Polymers 2021, 13, 4271. [Google Scholar] [CrossRef] [PubMed]
- Zhao, X.; Hu, H.; Wang, X.; Yu, X.; Zhou, W.; Peng, S. Super Tough Poly(Lactic Acid) Blends: A Comprehensive Review. RSC Adv. 2020, 10, 13316–13368. [Google Scholar] [CrossRef] [Green Version]
- Alhanish, A.; Abu Ghalia, M. Developments of Biobased Plasticizers for Compostable Polymers in the Green Packaging Applications: A Review. Biotechnol. Prog. 2021, 37, e3210. [Google Scholar] [CrossRef] [PubMed]
- Muthuraj, R.; Misra, M.; Mohanty, A.K. Biodegradable Compatibilized Polymer Blends for Packaging Applications: A Literature Review. J. Appl. Polym. Sci. 2018, 135, 45726. [Google Scholar] [CrossRef] [Green Version]
- Anderson, K.S.; Schreck, K.M.; Hillmyer, M.A. Toughening Polylactide. Polym. Rev. 2008, 48, 85–108. [Google Scholar] [CrossRef]
- Oh, J.K. Polylactide (PLA)-Based Amphiphilic Block Copolymers: Synthesis, Self-Assembly, and Biomedical Applications. Soft Matter 2011, 7, 5096. [Google Scholar] [CrossRef] [Green Version]
- Stefaniak, K.; Masek, A. Green Copolymers Based on Poly(Lactic Acid)—Short Review. Materials 2021, 14, 5254. [Google Scholar] [CrossRef]
- Bawa, K.K.; Oh, J.K. Stimulus-Responsive Degradable Polylactide-Based Block Copolymer Nanoassemblies for Controlled/Enhanced Drug Delivery. Mol. Pharm. 2017, 14, 2460–2474. [Google Scholar] [CrossRef]
- Nouvel, C.; Dubois, P.; Dellacherie, E.; Six, J.-L. Controlled Synthesis of Amphiphilic Biodegradable Polylactide-Grafted Dextran Copolymers. J. Polym. Sci. Part Polym. Chem. 2004, 42, 2577–2588. [Google Scholar] [CrossRef]
- Yin, M.; Baker, G.L. Preparation and Characterization of Substituted Polylactides. Macromolecules 1999, 32, 7711–7718. [Google Scholar] [CrossRef]
- He, J.; Wang, W.; Zhou, H.; She, P.; Zhang, P.; Cao, Y.; Zhang, X. A Novel PH-Sensitive Polymeric Prodrug Was Prepared by SPAAC Click Chemistry for Intracellular Delivery of Doxorubicin and Evaluation of Its Anti-Cancer Activity in Vitro. J. Drug Deliv. Sci. Technol. 2019, 53, 101130. [Google Scholar] [CrossRef]
- Trimaille, T.; Gurny, R.; Möller, M. Synthesis and Properties of Novel Poly(Hexyl-Substituted Lactides) for Pharmaceutical Applications. CHIMIA 2005, 59, 348. [Google Scholar] [CrossRef]
- du Boullay, O.T.; Saffon, N.; Diehl, J.-P.; Martin-Vaca, B.; Bourissou, D. Organo-Catalyzed Ring Opening Polymerization of a 1,4-Dioxane-2,5-Dione Deriving from Glutamic Acid. Biomacromolecules 2010, 11, 1921–1929. [Google Scholar] [CrossRef] [PubMed]
- Pound-Lana, G.; Rabanel, J.-M.; Hildgen, P.; Mosqueira, V.C.F. Functional Polylactide via Ring-Opening Copolymerisation with Allyl, Benzyl and Propargyl Glycidyl Ethers. Eur. Polym. J. 2017, 90, 344–353. [Google Scholar] [CrossRef]
- Yu, Y.; Zou, J.; Yu, L.; Ji, W.; Li, Y.; Law, W.-C.; Cheng, C. Functional Polylactide- g -Paclitaxel–Poly(Ethylene Glycol) by Azide–Alkyne Click Chemistry. Macromolecules 2011, 44, 4793–4800. [Google Scholar] [CrossRef]
- Zhang, Q.; Ren, H.; Baker, G.L. Synthesis and Click Chemistry of a New Class of Biodegradable Polylactide towards Tunable Thermo-Responsive Biomaterials. Polym. Chem. 2015, 6, 1275–1285. [Google Scholar] [CrossRef] [PubMed] [Green Version]
- Castillo, J.A.; Borchmann, D.E.; Cheng, A.Y.; Wang, Y.; Hu, C.; García, A.J.; Weck, M. Well-Defined Poly(Lactic Acid)s Containing Poly(Ethylene Glycol) Side Chains. Macromolecules 2012, 45, 62–69. [Google Scholar] [CrossRef] [Green Version]
- Ponsart, S.; Coudane, J.; Vert, M. A Novel Route to Poly(ε-Caprolactone)-Based Copolymers via Anionic Derivatization. Biomacromolecules 2000, 1, 275–281. [Google Scholar] [CrossRef]
- Zeng, J.-B.; Li, K.-A.; Du, A.-K. Compatibilization Strategies in Poly(Lactic Acid)-Based Blends. RSC Adv. 2015, 5, 32546–32565. [Google Scholar] [CrossRef]
- González-López, M.E.; Robledo-Ortíz, J.R.; Manríquez-González, R.; Silva-Guzmán, J.A.; Pérez-Fonseca, A.A. Polylactic Acid Functionalization with Maleic Anhydride and Its Use as Coupling Agent in Natural Fiber Biocomposites: A Review. Compos. Interfaces 2018, 25, 515–538. [Google Scholar] [CrossRef]
- Verginio, G.E.A.; Montanheiro, T.L.d.A.; Montagna, L.S.; Marini, J.; Passador, F.R. Effectiveness of the Preparation of Maleic Anhydride Grafted Poly(lactic Acid) by Reactive Processing for Poly(lactic Acid)/Carbon Nanotubes Nanocomposites. J. Appl. Polym. Sci. 2021, 138, 50087. [Google Scholar] [CrossRef]
- Muenprasat, D.; Suttireungwong, S.; Tongpin, C. Functionalization of Poly(Lactic Acid) with Maleic Anhydride for Biomedical Application. J. Met. Mater. Miner. 2010, 20, 189–192. [Google Scholar]
- Ghasemi, S.; Behrooz, R.; Ghasemi, I. Investigating the Properties of Maleated Poly(Lactic Acid) and Its Effect on Poly(Lactic Acid)/Cellulose Nanofiber Composites. J. Polym. Eng. 2018, 38, 391–398. [Google Scholar] [CrossRef]
- Wang, H.-M.; Chou, Y.-T.; Wu, C.-S.; Yeh, J.-T. Polyester/Cellulose Acetate Composites: Preparation, Characterization and Biocompatible. J. Appl. Polym. Sci. 2012, 126, E242–E251. [Google Scholar] [CrossRef]
- Rahem, Z.; Mayouf, I.; Guessoum, M.; Delaite, C.; Douibi, A.; Lallam, A. Compatibilization of Biocomposites Based on Sponge-Gourd Natural Fiber Reinforced Poly(Lactic Acid). Polym. Compos. 2019, 40, 4489–4499. [Google Scholar] [CrossRef]
- Mihai, M.; Ton-That, M.-T. Novel Bio-Nanocomposite Hybrids Made from Polylactide/Nanoclay Nanocomposites and Short Flax Fibers. J. Thermoplast. Compos. Mater. 2019, 32, 3–28. [Google Scholar] [CrossRef]
- Wu, C.-S. Renewable Resource-Based Green Composites of Surface-Treated Spent Coffee Grounds and Polylactide: Characterisation and Biodegradability. Polym. Degrad. Stab. 2015, 121, 51–59. [Google Scholar] [CrossRef]
- Tsou, C.-H.; Hung, W.-S.; Wu, C.-S.; Chen, J.-C.; Huang, C.-Y.; Chiu, S.-H.; Tsou, C.-Y.; Yao, W.-H.; Lin, S.-M.; Chu, C.-K.; et al. New Composition of Maleic-Anhydride-Grafted Poly(Lactic Acid)/Rice Husk with Methylenediphenyl Diisocyanate. Mater. Sci. 2014, 20, 446–451. [Google Scholar] [CrossRef] [Green Version]
- Tsou, C.-Y.; Wu, C.-L.; Tsou, C.-H.; Chiu, S.-H.; Suen, M.-C.; Hung, W.-S. Biodegradable Composition of Poly(Lactic Acid) from Renewable Wood Flour. Polym. Sci. Ser. B 2015, 57, 473–480. [Google Scholar] [CrossRef]
- Wu, C.-S. Preparation, Characterization, and Biodegradability of Renewable Resource-Based Composites from Recycled Polylactide Bioplastic and Sisal Fibers. J. Appl. Polym. Sci. 2012, 123, 347–355. [Google Scholar] [CrossRef]
- Mihai, M.; Ton-That, M.-T. Novel Polylactide/Triticale Straw Biocomposites: Processing, Formulation, and Properties. Polym. Eng. Sci. 2014, 54, 446–458. [Google Scholar] [CrossRef]
- Rigolin, T.R.; Takahashi, M.C.; Kondo, D.L.; Bettini, S.H.P. Compatibilizer Acidity in Coir-Reinforced PLA Composites: Matrix Degradation and Composite Properties. J. Polym. Environ. 2019, 27, 1096–1104. [Google Scholar] [CrossRef]
- Detyothin, S.; Selke, S.E.M.; Narayan, R.; Rubino, M.; Auras, R.A. Effects of Molecular Weight and Grafted Maleic Anhydride of Functionalized Polylactic Acid Used in Reactive Compatibilized Binary and Ternary Blends of Polylactic Acid and Thermoplastic Cassava Starch. J. Appl. Polym. Sci. 2015, 132. [Google Scholar] [CrossRef]
- Bher, A.; Uysal Unalan, I.; Auras, R.; Rubino, M.; Schvezov, C. Toughening of Poly(Lactic Acid) and Thermoplastic Cassava Starch Reactive Blends Using Graphene Nanoplatelets. Polymers 2018, 10, 95. [Google Scholar] [CrossRef] [PubMed] [Green Version]
- Orozco, V.H.; Brostow, W.; Chonkaew, W.; López, B.L. Preparation and Characterization of Poly(Lactic Acid)-g-Maleic Anhydride + Starch Blends. Macromol. Symp. 2009, 277, 69–80. [Google Scholar] [CrossRef]
- Jing, H.; He, H.; Liu, H.; Huang, B.; Zhang, C. Study on Properties of Polylactic Acid/Lemongrass Fiber Biocomposites Prepared by Fused Deposition Modeling. Polym. Compos. 2021, 42, 973–986. [Google Scholar] [CrossRef]
- Detyothin, S.; Selke, S.E.M.; Narayan, R.; Rubino, M.; Auras, R. Reactive Functionalization of Poly(Lactic Acid), PLA: Effects of the Reactive Modifier, Initiator and Processing Conditions on the Final Grafted Maleic Anhydride Content and Molecular Weight of PLA. Polym. Degrad. Stab. 2013, 98, 2697–2708. [Google Scholar] [CrossRef]
- Moghaddam, M.R.A.; Razavi, S.M.A.; Jahani, Y. Effects of Compatibilizer and Thermoplastic Starch (TPS) Concentration on Morphological, Rheological, Tensile, Thermal and Moisture Sorption Properties of Plasticized Polylactic Acid/TPS Blends. J. Polym. Environ. 2018, 26, 3202–3215. [Google Scholar] [CrossRef]
- Aouat, T.; Kaci, M.; Devaux, E.; Campagne, C.; Cayla, A.; Dumazert, L.; Lopez-Cuesta, J.-M. Morphological, Mechanical, and Thermal Characterization of Poly(Lactic Acid)/Cellulose Multifilament Fibers Prepared by Melt Spinning. Adv. Polym. Technol. 2018, 37, 1193–1205. [Google Scholar] [CrossRef]
- Aouat, T.; Kaci, M.; Lopez-Cuesta, J.-M.; Devaux, E. Investigation on the Durability of PLA Bionanocomposite Fibers Under Hygrothermal Conditions. Front. Mater. 2019, 6, 323. [Google Scholar] [CrossRef] [Green Version]
- Wootthikanokkhan, J.; Kasemwananimit, P.; Sombatsompop, N.; Kositchaiyong, A.; Isarankura na Ayutthaya, S.; Kaabbuathong, N. Preparation of Modified Starch-Grafted Poly(Lactic Acid) and a Study on Compatibilizing Efficacy of the Copolymers in Poly(Lactic Acid)/Thermoplastic Starch Blends. J. Appl. Polym. Sci. 2012, 126, E389–E396. [Google Scholar] [CrossRef]
- Dhar, P.; Tarafder, D.; Kumar, A.; Katiyar, V. Thermally Recyclable Polylactic Acid/Cellulose Nanocrystal Films through Reactive Extrusion Process. Polymer 2016, 87, 268–282. [Google Scholar] [CrossRef]
- Mohammad, N.N.B.; Arsad, A.; Rahmat, A.R.; Talib, M.S.; Mad Desa, M.S.Z. Influence of Compatibilizer on Mechanical Properties of Polylactic Acid/Natural Rubber Blends. Appl. Mech. Mater. 2014, 554, 81–85. [Google Scholar] [CrossRef]
- Ruf, M.F.H.M.; Ahmad, S.; Chen, R.S.; Shahdan, D.; Zailan, F.D. Tensile and Morphology Properties of PLA/LNR Blends Modified with Maleic Anhydride Grafted-Polylactic Acid and -Natural Rubber; AIP Publishing LLC: Selangor, Malaysia, 2018; p. 020015. [Google Scholar] [CrossRef]
- Abdullah Sani, N.S.; Arsad, A.; Rahmat, A.R. Synthesis of a Compatibilizer and the Effects of Monomer Concentrations. Appl. Mech. Mater. 2014, 554, 96–100. [Google Scholar] [CrossRef]
- Thepthawat, A.; Srikulkit, K. Improving the Properties of Polylactic Acid by Blending with Low Molecular Weight Polylactic Acid-g-Natural Rubber. Polym. Eng. Sci. 2014, 54, 2770–2776. [Google Scholar] [CrossRef]
- Jiang, L.; Wolcott, M.P.; Zhang, J. Study of Biodegradable Polylactide/Poly(Butylene Adipate-Co-Terephthalate) Blends. Biomacromolecules 2006, 7, 199–207. [Google Scholar] [CrossRef]
- Teamsinsungvon, A.; Jarapanyacheep, R.; Ruksakulpiwat, Y.; Jarukumjorn, K. Melt Processing of Maleic Anhydride Grafted Poly(Lactic Acid) and Its Compatibilizing Effect on Poly(Lactic Acid)/Poly(Butylene Adipate-Co-Terephthalate) Blend and Their Composite. Polym. Sci. Ser. A 2017, 59, 384–396. [Google Scholar] [CrossRef]
- Rigolin, T.R.; Costa, L.C.; Chinelatto, M.A.; Muñoz, P.A.R.; Bettini, S.H.P. Chemical Modification of Poly(Lactic Acid) and Its Use as Matrix in Poly(Lactic Acid) Poly(Butylene Adipate-Co-Terephthalate) Blends. Polym. Test. 2017, 63, 542–549. [Google Scholar] [CrossRef]
- Phetwarotai, W.; Tanrattanakul, V.; Phusunti, N. Synergistic Effect of Nucleation and Compatibilization on the Polylactide and Poly(Butylene Adipate-Co-Terephthalate) Blend Films. Chin. J. Polym. Sci. 2016, 34, 1129–1140. [Google Scholar] [CrossRef]
- Teamsinsungvon, A.; Ruksakulpiwat, Y.; Jarukumjorn, K. Properties of Biodegradable Poly(Lactic Acid)/Poly(Butylene Adipate-Co-Terephthalate)/Calcium Carbonate Composites. Adv. Mater. Res. 2010, 123–125, 193–196. [Google Scholar] [CrossRef]
- Phetwarotai, W.; Maneechot, H.; Kalkornsurapranee, E.; Phusunti, N. Thermal Behaviors and Characteristics of Polylactide/Poly(Butylene Succinate) Blend Films via Reactive Compatibilization and Plasticization. Polym. Adv. Technol. 2018, 29, 2121–2133. [Google Scholar] [CrossRef]
- Phetwarotai, W.; Aht-Ong, D. Characterization and Properties of Nucleated Polylactide, Poly(Butylene Adipate-Co-Terephthalate), and Thermoplastic Starch Ternary Blend Films: Effects of Compatibilizer and Starch. Adv. Mater. Res. 2013, 747, 673–677. [Google Scholar] [CrossRef]
- Gardella, L.; Calabrese, M.; Monticelli, O. PLA Maleation: An Easy and Effective Method to Modify the Properties of PLA/PCL Immiscible Blends. Colloid Polym. Sci. 2014, 292, 2391–2398. [Google Scholar] [CrossRef]
- Valerio, O.; Pin, J.M.; Misra, M.; Mohanty, A.K. Synthesis of Glycerol-Based Biopolyesters as Toughness Enhancers for Polylactic Acid Bioplastic through Reactive Extrusion. ACS Omega 2016, 1, 1284–1295. [Google Scholar] [CrossRef]
- Kaynak, C.; Meyva, Y. Use of Maleic Anhydride Compatibilization to Improve Toughness and Other Properties of Polylactide Blended with Thermoplastic Elastomers. Polym. Adv. Technol. 2014, 25, 1622–1632. [Google Scholar] [CrossRef]
- Raj, A.; Samuel, C.; Prashantha, K. Role of Compatibilizer in Improving the Properties of PLA/PA12 Blends. Front. Mater. 2020, 7, 193. [Google Scholar] [CrossRef]
- Nam, B.-U.; Son, Y. Enhanced Impact Strength of Compatibilized Poly(Lactic Acid)/Polyamide 11 Blends by a Crosslinking Agent. J. Appl. Polym. Sci. 2020, 137, 49011. [Google Scholar] [CrossRef]
- Petruš, J.; Kučera, F.; Jančář, J. Online Monitoring of Reactive Compatiblization of Poly(Lactic Acid)/Polyamide 6 Blend with Different Compatibilizers. J. Appl. Polym. Sci. 2019, 136, 48005. [Google Scholar] [CrossRef]
- Walallavita, A.S.; Verbeek, C.J.R.; Lay, M.C. Biopolymer Foams from Novatein Thermoplastic Protein and Poly(Lactic Acid). J. Appl. Polym. Sci. 2017, 134, 45561. [Google Scholar] [CrossRef] [Green Version]
- Zhu, R.; Liu, H.; Zhang, J. Compatibilizing Effects of Maleated Poly(Lactic Acid) (PLA) on Properties of PLA/Soy Protein Composites. Ind. Eng. Chem. Res. 2012, 51, 7786–7792. [Google Scholar] [CrossRef]
- Can, U.; Kaynak, C. Effects of Micro-Nano Titania Contents and Maleic Anhydride Compatibilization on the Mechanical Performance of Polylactide. Polym. Compos. 2020, 41, 600–613. [Google Scholar] [CrossRef]
- Chow, W.; Tham, W.; Seow, P. Effects of Maleated-PLA Compatibilizer on the Properties of Poly(Lactic Acid)/Halloysite Clay Composites. J. Thermoplast. Compos. Mater. 2013, 26, 1349–1363. [Google Scholar] [CrossRef]
- Liu, Z.; Chen, Y.; Ding, W. Preparation, Dynamic Rheological Behavior, Crystallization, and Mechanical Properties of Inorganic Whiskers Reinforced Polylactic Acid/Hydroxyapatite Nanocomposites. J. Appl. Polym. Sci. 2016, 133, 43381. [Google Scholar] [CrossRef]
- Park, S.B.; Lee, Y.J.; Ku, K.H.; Kim, B.J. Triallyl Isocyanurate-Assisted Grafting of Maleic Anhydride to Poly(Lactic Acid): Efficient Compatibilizers for Poly(Lactic Acid)/Talc Composites with Enhanced Mechanical Properties. J. Appl. Polym. Sci. 2022, 139, 51488. [Google Scholar] [CrossRef]
- Gardella, L.; Colonna, S.; Fina, A.; Monticelli, O. On Novel Bio-Hybrid System Based on PLA and POSS. Colloid Polym. Sci. 2014, 292, 3271–3278. [Google Scholar] [CrossRef]
- Liu, J.; Jiang, H.; Chen, L. Grafting of Glycidyl Methacrylate onto Poly(Lactide) and Properties of PLA/Starch Blends Compatibilized by the Grafted Copolymer. J. Polym. Environ. 2012, 20, 810–816. [Google Scholar] [CrossRef]
- Ting, G.; Zhu, D.; Lu, Y.; Lu, S. Effect of PLA-g-GMA on the Thermal, Rheological and Physical Behavior of PLA/PBAT Blends. Polym. Sci. Ser. A 2019, 61, 317–324. [Google Scholar] [CrossRef]
- Kangwanwatthanasiri, P.; Suppakarn, N.; Ruksakulpiwat, C.; Ruksakulpiwat, Y. Glycidyl Methacrylate Grafted Polylactic Acid: Morphological Properties and Crystallization Behavior. Macromol. Symp. 2015, 354, 237–243. [Google Scholar] [CrossRef]
- Tarique, J.; Sapuan, S.M.; Khalina, A.; Sherwani, S.F.K.; Yusuf, J.; Ilyas, R.A. Recent Developments in Sustainable Arrowroot (Maranta Arundinacea Linn) Starch Biopolymers, Fibres, Biopolymer Composites and Their Potential Industrial Applications: A Review. J. Mater. Res. Technol. 2021, 13, 1191–1219. [Google Scholar] [CrossRef]
- Wang, N.; Zhang, C.; Weng, Y. Enhancing Gas Barrier Performance of Polylactic Acid/Lignin Composite Films through Cooperative Effect of Compatibilization and Nucleation. J. Appl. Polym. Sci. 2021, 138, 50199. [Google Scholar] [CrossRef]
- Yang, W.; Dominici, F.; Fortunati, E.; Kenny, J.M.; Puglia, D. Effect of Lignin Nanoparticles and Masterbatch Procedures on the Final Properties of Glycidyl Methacrylate-g-Poly(lactic Acid) Films before and after Accelerated UV Weathering. Ind. Crops Prod. 2015, 77, 833–844. [Google Scholar] [CrossRef]
- Nguyen, T.C.; Ruksakulpiwat, C.; Ruksakulpiwat, Y. Effect of Cellulose Nanofibers from Cassava Pulp on Physical Properties of Poly(Lactic Acid) Biocomposites. J. Thermoplast. Compos. Mater. 2020, 33, 1094–1108. [Google Scholar] [CrossRef]
- Nguyen, T.C.; Ruksakulpiwat, C.; Rugmai, S.; Soontaranon, S.; Ruksakulpiwat, Y. Crystallization Behavior Studied by Synchrotron Small-Angle X-Ray Scattering of Poly(lactic Acid)/Cellulose Nanofibers Composites. Compos. Sci. Technol. 2017, 143, 106–115. [Google Scholar] [CrossRef]
- Wang, Y.; Weng, Y.; Wang, L. Characterization of Interfacial Compatibility of Polylactic Acid and Bamboo Flour (PLA/BF) in Biocomposites. Polym. Test. 2014, 36, 119–125. [Google Scholar] [CrossRef]
- Wu, C.-S.; Liao, H.-T.; Jhang, J.-J.; Yeh, J.-T.; Huang, C.-Y.; Wang, S.-L. Thermal Properties and Characterization of Surface-Treated RSF-Reinforced Polylactide Composites. Polym. Bull. 2013, 70, 3221–3239. [Google Scholar] [CrossRef]
- Lyu, Y.; Chen, Y.; Lin, Z.; Zhang, J.; Shi, X. Manipulating Phase Structure of Biodegradable PLA/PBAT System: Effects on Dynamic Rheological Responses and 3D Printing. Compos. Sci. Technol. 2020, 200, 108399. [Google Scholar] [CrossRef]
- Chuai, C.Z.; Zhao, N.; Li, S.; Sun, B.X. Study on PLA/PBS Blends. Adv. Mater. Res. 2011, 197–198, 1149–1152. [Google Scholar] [CrossRef]
- Kangwanwatthanasiri, P.; Suppakarn, N.; Ruksakulpiwat, C.; Yupaporn, R. Biocomposites from Cassava Pulp/Polylactic Acid/Poly(Butylene Succinate). Adv. Mater. Res. 2013, 747, 367–370. [Google Scholar] [CrossRef]
- Mo, X.-Z.; Wei, F.-X.; Tan, D.-F.; Pang, J.-Y.; Lan, C.-B. The Compatibilization of PLA-g-TPU Graft Copolymer on Polylactide/Thermoplastic Polyurethane Blends. J. Polym. Res. 2020, 27, 33. [Google Scholar] [CrossRef]
- Wu, C.-S. Improving Polylactide/Starch Biocomposites by Grafting Polylactide with Acrylic Acid—Characterization and Biodegradability Assessment. Macromol. Biosci. 2005, 5, 352–361. [Google Scholar] [CrossRef] [PubMed]
- Wu, C.-S.; Liao, H.-T. Modification of Biodegradable Polylactide by Silica and Wood Flour through a Sol–Gel Process. J. Appl. Polym. Sci. 2008, 109, 2128–2138. [Google Scholar] [CrossRef]
- Wu, C.-S. Polylactide-Based Renewable Composites from Natural Products Residues by Encapsulated Film Bag: Characterization and Biodegradability. Carbohydr. Polym. 2012, 90, 583–591. [Google Scholar] [CrossRef] [PubMed]
- Wu, C.-S.; Tsou, C.-H. Fabrication, Characterization, and Application of Biocomposites from Poly(Lactic Acid) with Renewable Rice Husk as Reinforcement. J. Polym. Res. 2019, 26, 44. [Google Scholar] [CrossRef]
- Wu, C.-S.; Liao, H.-T. A New Biodegradable Blends Prepared from Polylactide and Hyaluronic Acid. Polymer 2005, 46, 10017–10026. [Google Scholar] [CrossRef]
- Wang, J.-X.; Huang, Y.-B.; Yang, W.-T. Photo-Grafting Poly(Acrylic Acid) onto Poly(Lactic Acid) Chains in Solution. Chin. J. Polym. Sci. 2020, 38, 137–142. [Google Scholar] [CrossRef]
- Orellana, J.L.; Mauhar, M.; Kitchens, C.L. Cellulose Nanocrystals versus Polyethylene Glycol as Toughening Agents for Poly(Lactic Acid)-Poly(Acrylic Acid) Graft Copolymer. J. Renew. Mater. 2016, 4, 340–350. [Google Scholar] [CrossRef]
- Yeh, J.-T.; Chai, W.-L.; Wu, C.-S. Study on the Preparation and Characterization of Biodegradable Polylactide/SiO2–TiO2 Hybrids. Polym.-Plast. Technol. Eng. 2008, 47, 887–894. [Google Scholar] [CrossRef]
- Liao, H.-T.; Wu, C.-S. New Biodegradable Blends Prepared from Polylactide, Titanium Tetraisopropylate, and Starch. J. Appl. Polym. Sci. 2008, 108, 2280–2289. [Google Scholar] [CrossRef]
- Beuille, E.; Darcos, V.; Coudane, J.; Lacroix-Desmazes, P.; Nottelet, B. Regioselective Halogenation of Poly(Lactide) by Free-Radical Process. Macromol. React. Eng. 2014, 8, 141–148. [Google Scholar] [CrossRef]
- Kalelkar, P.P.; Collard, D.M. Tricomponent Amphiphilic Poly(Oligo(Ethylene Glycol) Methacrylate) Brush-Grafted Poly(Lactic Acid): Synthesis, Nanoparticle Formation, and In Vitro Uptake and Release of Hydrophobic Dyes. Macromolecules 2020, 53, 4274–4283. [Google Scholar] [CrossRef]
- Kalelkar, P.P.; Geng, Z.; Cox, B.; Finn, M.G.; Collard, D.M. Surface-Initiated Atom-Transfer Radical Polymerization (SI-ATRP) of Bactericidal Polymer Brushes on Poly(Lactic Acid) Surfaces. Colloids Surf. B Biointerfaces 2022, 211, 112242. [Google Scholar] [CrossRef] [PubMed]
- Xiao, Y.M.; Li, X.D.; Fan, H.S.; Zhu, X.D.; Teng, L.Z.; Gu, Z.W.; Zhang, X.D. A Novel Preparation Method for Nano-HA/PLA Composite with Grafted PLA. Key Eng. Mater. 2006, 309–311, 1105–1108. [Google Scholar] [CrossRef]
- Li, C.; Hsieh, J.H.; Wang, H.Y. Plasma Polymerised Poly(Methyl Methacrylate) and Cyclopropylamine Films on Polylactic Acid Nanofibres by Electrospinning. Int. J. Nanotechnol. 2017, 14, 977. [Google Scholar] [CrossRef]
- Herskovitz, J.E.; Goddard, J.M. Reactive Extrusion of Nonmigratory Antioxidant Poly(Lactic Acid) Packaging. J. Agric. Food Chem. 2020, 68, 2164–2173. [Google Scholar] [CrossRef] [PubMed]
- Rahmat, M.; Karrabi, M.; Ghasemi, I.; Zandi, M.; Azizi, H. Silane Crosslinking of Electrospun Poly(lactic Acid)/Nanocrystalline Cellulose Bionanocomposite. Mater. Sci. Eng. C 2016, 68, 397–405. [Google Scholar] [CrossRef]
- Wang, J.; Chen, H.; Chen, Z.; Chen, Y.; Guo, D.; Ni, M.; Liu, S.; Peng, C. In-Situ Formation of Silver Nanoparticles on Poly(lactic Acid) Film by γ-Radiation Induced Grafting of N-Vinyl Pyrrolidone. Mater. Sci. Eng. C 2016, 63, 142–149. [Google Scholar] [CrossRef]
- Peng, C.; Chen, H.; Wang, J.; Chen, Z.; Ni, M.; Chen, Y.; Zhang, J.; Yuan, T. Controlled Degradation of Polylactic Acid Grafting N-Vinyl Pyrrolidone Induced by Gamma Ray Radiation. J. Appl. Polym. Sci. 2013, 130, 704–709. [Google Scholar] [CrossRef]
- El Habnouni, S.; Darcos, V.; Garric, X.; Lavigne, J.-P.; Nottelet, B.; Coudane, J. Mild Methodology for the Versatile Chemical Modification of Polylactide Surfaces: Original Combination of Anionic and Click Chemistry for Biomedical Applications. Adv. Funct. Mater. 2011, 21, 3321–3330. [Google Scholar] [CrossRef]
- El Habnouni, S.; Lavigne, J.-P.; Darcos, V.; Porsio, B.; Garric, X.; Coudane, J.; Nottelet, B. Toward Potent Antibiofilm Degradable Medical Devices: A Generic Method for the Antibacterial Surface Modification of Polylactide. Acta Biomater. 2013, 9, 7709–7718. [Google Scholar] [CrossRef]
- Sardo, C.; Nottelet, B.; Triolo, D.; Giammona, G.; Garric, X.; Lavigne, J.-P.; Cavallaro, G.; Coudane, J. When Functionalization of PLA Surfaces Meets Thiol–Yne Photochemistry: Case Study with Antibacterial Polyaspartamide Derivatives. Biomacromolecules 2014, 15, 4351–4362. [Google Scholar] [CrossRef] [PubMed]
- Wu, C.-S. Renewable Resource-Based Composites of Recycled Natural Fibers and Maleated Polylactide Bioplastic: Characterization and Biodegradability. Polym. Degrad. Stab. 2009, 94, 1076–1084. [Google Scholar] [CrossRef]




















| PLA Molecular Weight | PLA-g-MA Molecular Weight | Grafting % |
|---|---|---|
| 294,000 | 196,000 | 0.65 |
| 92,000 | 76,000 | 1.25 |
| Tensile Strength (MPa) | Strain at Break (%) | Tensile Modulus (GPa) | |
|---|---|---|---|
| Original PLA | 22.4 | 2.3 | 1.1 |
| PLA/CNF(5%) | 34.8 | 3.0 | 1.3 |
| PLA/CNF(5%)/PLA-g-MA (5%) | 60.3 | 5.5 | 1.5 |
| Precursor: Functionalized PLA | PLA-g-Copolymer | Refs. |
|---|---|---|
| PLA-g-MA | cellulosic derivatives | [24,40,41] |
| luffa | [26] | |
| flax | [27] | |
| coffee grounds | [103] | |
| wood flour | [29,30] | |
| rice husk | [29,30] | |
| sisal | [31] | |
| straw | [32] | |
| bamboo | [33] | |
| cassava | [34,35] | |
| starch | [36,39,42] | |
| lemongrass | [37] | |
| natural rubber | [44,45] | |
| polyesters | ||
| PBAT | [48,49,50] | |
| PBAT/TiO2 | [51] | |
| PBAT/CaCO3 | [52] | |
| PBAT/starch | [54] | |
| PBS | [53] | |
| PCL | [55] | |
| PGSMA | [56] | |
| TPU | [57] | |
| PA | [58,59] | |
| soy protein | [62] | |
| mineral compounds | [22,63,64,65,66,67] | |
| PLA-g-IA | polyamide | [60,61] |
| PLA-g-GMA | cellulosic derivatives | |
| starch | [68] | |
| arrowroot | [71] | |
| lignin | [72,73] | |
| cassava | [74] | |
| cellulose | [75] | |
| bamboo | [76] | |
| rice-straw | [77] | |
| polyesters | ||
| PBAT | [69,78,79] | |
| PBAT/cassava | [80] | |
| TPU | [81] | |
| PLA-g-AA | cellulosic derivatives | |
| starch | [82,84,90] | |
| sisal | [31] | |
| wood flour | [83] | |
| rice husk | [85] | |
| mineral compounds | [89] | |
| hyaluronic acid | [86] | |
| PLA-g-halogen | PMMA and POEGMA | [92,93,94] |
| PVP | [98,99] | |
| PLA-g-alkyne | PEG | [17] |
| Direct grafting | cellulose nanocrystals | [43] |
| natural rubber | [46,47] | |
| PMMA | [95] | |
| Surface-anionic derivatization | QPDMAEMA | [101] |
| α,β-poly(N-2-hydroxyethyl)-D,L-aspartamide | [102] |
Publisher’s Note: MDPI stays neutral with regard to jurisdictional claims in published maps and institutional affiliations. |
© 2022 by the authors. Licensee MDPI, Basel, Switzerland. This article is an open access article distributed under the terms and conditions of the Creative Commons Attribution (CC BY) license (https://creativecommons.org/licenses/by/4.0/).
Share and Cite
Coudane, J.; Van Den Berghe, H.; Mouton, J.; Garric, X.; Nottelet, B. Poly(Lactic Acid)-Based Graft Copolymers: Syntheses Strategies and Improvement of Properties for Biomedical and Environmentally Friendly Applications: A Review. Molecules 2022, 27, 4135. https://doi.org/10.3390/molecules27134135
Coudane J, Van Den Berghe H, Mouton J, Garric X, Nottelet B. Poly(Lactic Acid)-Based Graft Copolymers: Syntheses Strategies and Improvement of Properties for Biomedical and Environmentally Friendly Applications: A Review. Molecules. 2022; 27(13):4135. https://doi.org/10.3390/molecules27134135
Chicago/Turabian StyleCoudane, Jean, Hélène Van Den Berghe, Julia Mouton, Xavier Garric, and Benjamin Nottelet. 2022. "Poly(Lactic Acid)-Based Graft Copolymers: Syntheses Strategies and Improvement of Properties for Biomedical and Environmentally Friendly Applications: A Review" Molecules 27, no. 13: 4135. https://doi.org/10.3390/molecules27134135
APA StyleCoudane, J., Van Den Berghe, H., Mouton, J., Garric, X., & Nottelet, B. (2022). Poly(Lactic Acid)-Based Graft Copolymers: Syntheses Strategies and Improvement of Properties for Biomedical and Environmentally Friendly Applications: A Review. Molecules, 27(13), 4135. https://doi.org/10.3390/molecules27134135

