The authors wish to make the following correction to their paper [1]. In the case of hyperacmosin A, the ROESY interaction between H7 and H22 was used to argue that this compound has the 7-exo configuration. Unfortunately, this observation does not support the 7-exo configuration, because H7 has the same chemical shift as one of the two H6s. In hyperacmosin B, the ROESY interaction between H20 and H29 was cited, which would support the 7-endo configuration, not the 7-exo configuration that was assigned.
The Grossman-Jacobs rule described [1] also suggests that hyperacmosins A and B are 7-endo. In 7-exo compounds, the difference in chemical shift between the two H6s is typically 0.3–1.2 ppm, and the chemical shift of C7 is typically 41–44 ppm. In 7-endo compounds, either the difference in chemical shift between the two H6s is 0.0–0.2 ppm, the chemical shift of C7 is 45–49 ppm, or both. Again, both the differences between the chemical shifts of the two H6s (0.08–0.17 ppm) and the chemical shift of C7 (48.1–48.2 ppm) in hyperacmosins A and B support the 7-endo configuration.
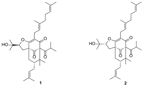
The structures of hyperacmosins A and B are shown below:

1. The Figure 1 should be changed to:

2. The Figure 2 should be changed to:

3. The Figure 5 should be changed to:

The change does not affect the scientific outcome. The manuscript will be updated and the original will remain online on the article webpage. The authors would like to apologize for any inconvenience caused to the readers by these changes.
Reference
- Wang, J.; Shi, M.; Wang, J.; Li, J.; Ji, T. Polycyclic Polyprenylated Acylphloroglucinol Derivatives from Hypericum acmosepalum. Molecules 2019, 24, 50. [Google Scholar] [CrossRef] [PubMed] [Green Version]
Publisher’s Note: MDPI stays neutral with regard to jurisdictional claims in published maps and institutional affiliations. |
© 2022 by the authors. Licensee MDPI, Basel, Switzerland. This article is an open access article distributed under the terms and conditions of the Creative Commons Attribution (CC BY) license (https://creativecommons.org/licenses/by/4.0/).