Amphiphilicity-Controlled Localization of Red Emitting Bicationic Fluorophores in Tumor Cells Acting as Bio-Probes and Anticancer Drugs
Abstract
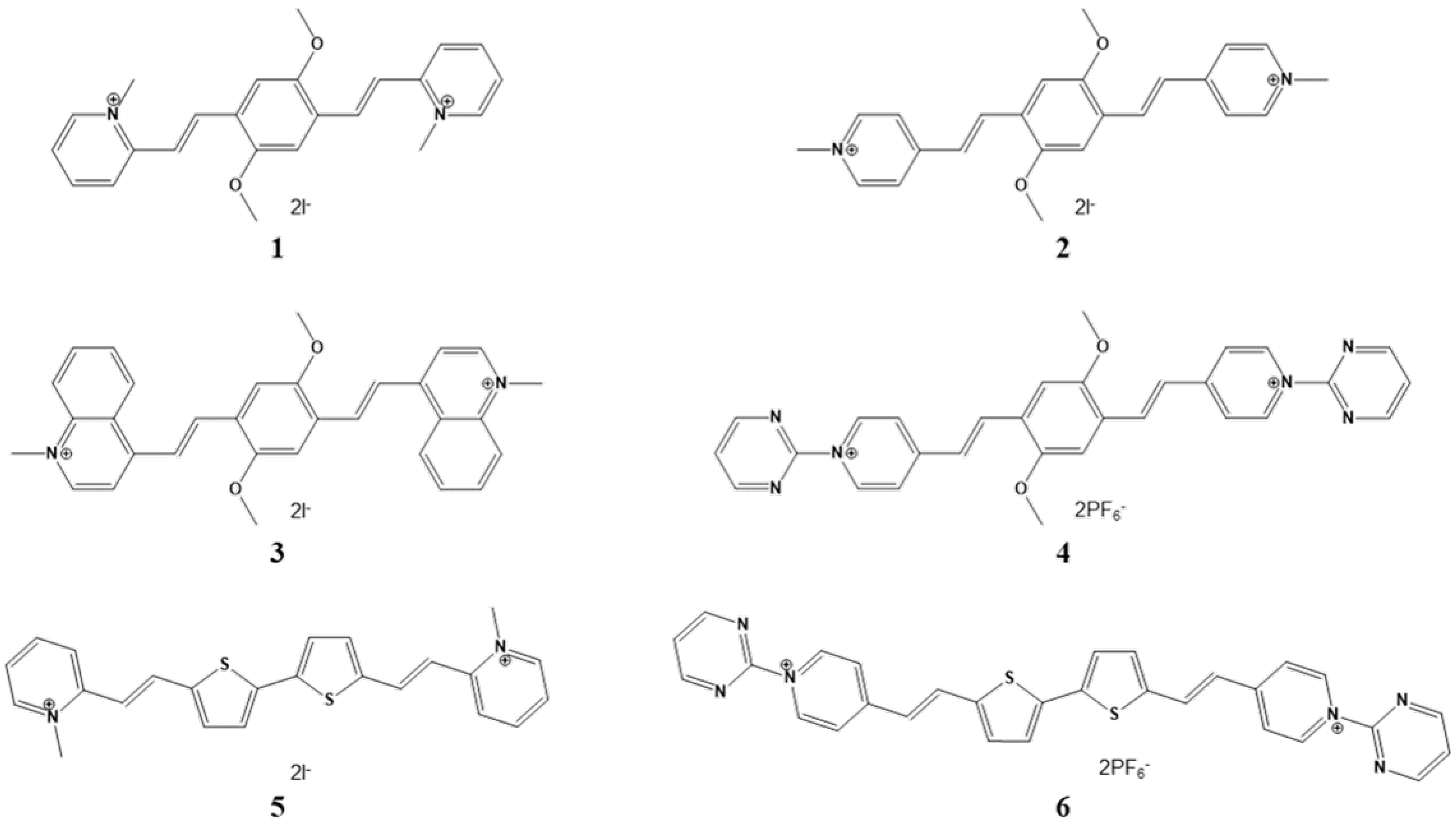
:1. Introduction
2. Results
2.1. Spectrophotometric and Fluorimetric Investigation of the Interaction with Nucleic Acids
2.2. Femtosecond Transient Absorption Spectroscopy of Complexes with Nucleic Acids
2.3. Antiproliferative Effect and Cellular Localization in Tumor Cells
3. Discussion
4. Materials and Methods
4.1. Materials
4.2. Spectroscopic Titrations
4.3. TA Measurements
4.4. Cell Culture
4.5. Antiproliferative Assay
4.6. Fluorescence Microscopy
5. Conclusions
Supplementary Materials
Author Contributions
Funding
Data Availability Statement
Conflicts of Interest
Sample Availability
References
- Qin, Y.; Li, G.; Qi, T.; Huang, H. Aromatic Imide/Amide-Based Organic Small-Molecule Emitters for Organic Light-Emitting Diodes. Mater. Chem. Front. 2020, 4, 1554–1568. [Google Scholar] [CrossRef]
- Bao, L.; Zou, Y.; Kirk, A.; Heagy, M.D. Electronic Properties and Electroluminescent OLED Performance of Panchromatic Emissive N-Aryl-2,3-Naphthalimides. J. Phys. Chem. A 2017, 121, 9708–9719. [Google Scholar] [CrossRef]
- Milano, F.; Tangorra, R.R.; Hassan Omar, O.; Ragni, R.; Operamolla, A.; Agostiano, A.; Farinola, G.M.; Trotta, M. Enhancing the Light Harvesting Capability of a Photosynthetic Reaction Center by a Tailored Molecular Fluorophore. Angew. Chem. Int. Ed. 2012, 51, 11019–11023. [Google Scholar] [CrossRef]
- Wen, Z.C.; Ferreira, J.A.B.; Costa, S.M.B. Novel PH Tunable Fluorescent Sensor with Dual Recognition Mode. J. Photochem. Photobiol. Chem. 2008, 199, 98–104. [Google Scholar] [CrossRef]
- Wong, J.K.-H.; Todd, M.H.; Rutledge, P.J. Recent Advances in Macrocyclic Fluorescent Probes for Ion Sensing. Molecules 2017, 22, 200. [Google Scholar] [CrossRef] [Green Version]
- Cesaretti, A.; Bonaccorso, C.; Carboni, V.; Giubila, M.S.; Fortuna, C.G.; Elisei, F.; Spalletti, A. Four Styryl Phenanthroline Derivatives as Excellent Acidochromic Probes. Dyes Pigments 2019, 162, 440–450. [Google Scholar] [CrossRef]
- Ban, Ž.; Griesbeck, S.; Tomić, S.; Nitsch, J.; Marder, T.B.; Piantanida, I. A Quadrupolar Bis-Triarylborane Chromophore as a Fluorimetric and Chirooptic Probe for Simultaneous and Selective Sensing of DNA, RNA and Proteins. Chem. Eur. J. 2020, 26, 2195–2203. [Google Scholar] [CrossRef]
- Valora, G.; Bonaccorso, C.; Cesaretti, A.; Fortuna, C.G.; Spalletti, A.; Elisei, F. Metal Complexes with Sterically Demanding Phenanthroline Ligands: A Combined Spectroscopic Study. Dyes Pigments 2021, 187, 109150. [Google Scholar] [CrossRef]
- Mencaroni, L.; Cesaretti, A.; Elisei, F.; Škorić, I.; Mlakić, M.; Spalletti, A. Acid–Base Strength and Acido(Fluoro)Chromism of Three Push–Pull Derivatives of 2,6-Distyrylpyridine. Photochem. Photobiol. Sci. 2022. [Google Scholar] [CrossRef]
- Umezawa, K.; Citterio, D.; Suzuki, K. New Trends in Near-Infrared Fluorophores for Bioimaging. Anal. Sci. 2014, 30, 327–349. [Google Scholar] [CrossRef] [Green Version]
- Tian, X.; Hussain, S.; Wang, H.; Zhang, Q.; Zhao, M.; Chen, J.; Zhang, H.; Zhou, H.; Chen, Y.; Tian, Y. A Series of Water-Soluble Pyridinium Derivatives with Two-Photon Absorption in the near Infrared Region for Mitochondria Targeting under Stimulated Emission Depletion (STED) Nanoscopy. Dyes Pigments 2017, 147, 90–98. [Google Scholar] [CrossRef]
- Wang, S.; Li, B.; Zhang, F. Molecular Fluorophores for Deep-Tissue Bioimaging. ACS Cent. Sci. 2020, 6, 1302–1316. [Google Scholar] [CrossRef] [PubMed]
- Gao, M.; Yu, F.; Lv, C.; Choo, J.; Chen, L. Fluorescent Chemical Probes for Accurate Tumor Diagnosis and Targeting Therapy. Chem. Soc. Rev. 2017, 46, 2237–2271. [Google Scholar] [CrossRef] [PubMed]
- Saady, A.; Varon, E.; Jacob, A.; Shav-Tal, Y.; Fischer, B. Applying Styryl Quinolinium Fluorescent Probes for Imaging of Ribosomal RNA in Living Cells. Dyes Pigments 2020, 174, 107986. [Google Scholar] [CrossRef]
- Gandioso, A.; Bresolí-Obach, R.; Nin-Hill, A.; Bosch, M.; Palau, M.; Galindo, A.; Contreras, S.; Rovira, A.; Rovira, C.; Nonell, S.; et al. Redesigning the Coumarin Scaffold into Small Bright Fluorophores with Far-Red to Near-Infrared Emission and Large Stokes Shifts Useful for Cell Imaging. J. Org. Chem. 2018, 83, 1185–1195. [Google Scholar] [CrossRef]
- Bailly, C.; Wilson, W.D.; Demeunynck, M. Small Molecule DNA and RNA Binders: From Synthesis to Nucleic Acid Complexes; John Wiley & Sons: Hoboken, NJ, USA, 2006; ISBN 978-3-527-60566-8. [Google Scholar]
- Kobayashi, H.; Ogawa, M.; Alford, R.; Choyke, P.L.; Urano, Y. New Strategies for Fluorescent Probe Design in Medical Diagnostic Imaging. Chem. Rev. 2010, 110, 2620–2640. [Google Scholar] [CrossRef] [Green Version]
- Zhang, S.; Fan, J.; Li, Z.; Hao, N.; Cao, J.; Wu, T.; Wang, J.; Peng, X. A Bright Red Fluorescent Cyanine Dye for Live-Cell Nucleic Acid Imaging, with High Photostability and a Large Stokes Shift. J. Mater. Chem. B 2014, 2, 2688–2693. [Google Scholar] [CrossRef]
- Zhuang, W.; Yang, L.; Ma, B.; Kong, Q.; Li, G.; Wang, Y.; Tang, B.Z. Multifunctional Two-Photon AIE Luminogens for Highly Mitochondria-Specific Bioimaging and Efficient Photodynamic Therapy. ACS Appl. Mater. Interfaces 2019, 11, 20715–20724. [Google Scholar] [CrossRef]
- Fu, Y.; Finney, N.S. Small-Molecule Fluorescent Probes and Their Design. RSC Adv. 2018, 8, 29051–29061. [Google Scholar] [CrossRef] [Green Version]
- Zheng, Z.; Zhang, T.; Liu, H.; Chen, Y.; Kwok, R.T.K.; Ma, C.; Zhang, P.; Sung, H.H.Y.; Williams, I.D.; Lam, J.W.Y.; et al. Bright Near-Infrared Aggregation-Induced Emission Luminogens with Strong Two-Photon Absorption, Excellent Organelle Specificity, and Efficient Photodynamic Therapy Potential. ACS Nano 2018, 12, 8145–8159. [Google Scholar] [CrossRef]
- Lauria, A.; La Monica, G.; Bono, A.; Martorana, A. Quinoline Anticancer Agents Active on DNA and DNA-Interacting Proteins: From Classical to Emerging Therapeutic Targets. Eur. J. Med. Chem. 2021, 220, 113555. [Google Scholar] [CrossRef] [PubMed]
- Jun, J.V.; Chenoweth, D.M.; James Petersson, E. Rational Design of Small Molecule Fluorescent Probes for Biological Applications. Org. Biomol. Chem. 2020, 18, 5747–5763. [Google Scholar] [CrossRef] [PubMed]
- Botti, V.; Cesaretti, A.; Ban, Ž.; Crnolatac, I.; Consiglio, G.; Elisei, F.; Piantanida, I. Fine Structural Tuning of Styryl-Based Dyes for Fluorescence and CD-Based Sensing of Various Ds-DNA/RNA Sequences. Org. Biomol. Chem. 2019, 17, 8243–8258. [Google Scholar] [CrossRef]
- Botti, V.; Urbanelli, L.; Sagini, K.; Tarpani, L.; Cesaretti, A.; Fortuna, C.G.; Elisei, F. Quaternized Styryl-Azinium Fluorophores as Cellular RNA-Binders. Photochem. Photobiol. Sci. 2020, 19, 362–370. [Google Scholar] [CrossRef] [PubMed]
- Mazzoli, A.; Carlotti, B.; Consiglio, G.; Fortuna, C.G.; Miolo, G.; Spalletti, A. Photobehaviour of Methyl-Pyridinium and Quinolinium Iodide Derivatives, Free and Complexed with DNA. A Case of Bisintercalation. Photochem. Photobiol. Sci. 2014, 13, 939–950. [Google Scholar] [CrossRef]
- Fortuna, C.G.; Mazzucato, U.; Musumarra, G.; Pannacci, D.; Spalletti, A. Photochemistry and DNA-Affinity of Some Stilbene and Distyrylbenzene Analogues Containing Pyridinium and Imidazolium Iodides. J. Photochem. Photobiol. Chem. 2010, 216, 66–72. [Google Scholar] [CrossRef]
- Sarkar, R.; Pal, S.K. Interaction of Hoechst 33258 and Ethidium with Histone1−DNA Condensates. Biomacromolecules 2007, 8, 3332–3339. [Google Scholar] [CrossRef]
- Berdnikova, D.V.; Sosnin, N.I.; Fedorova, O.A.; Ihmels, H. Governing the DNA-Binding Mode of Styryl Dyes by the Length of Their Alkyl Substituents—From Intercalation to Major Groove Binding. Org. Biomol. Chem. 2018, 16, 545–554. [Google Scholar] [CrossRef] [Green Version]
- Kumari, B.; Yadav, A.; Pany, S.P.; Pradeepkumar, P.I.; Kanvah, S. Cationic Red Emitting Fluorophore: A Light up NIR Fluorescent Probe for G4-DNA. J. Photochem. Photobiol. B 2019, 190, 128–136. [Google Scholar] [CrossRef]
- Muñoz Resta, I.; Lucantoni, F.; Apostolova, N.; Galindo, F. Fluorescent Styrylpyrylium Probes for the Imaging of Mitochondria in Live Cells. Org. Biomol. Chem. 2021, 19, 9043–9057. [Google Scholar] [CrossRef]
- Fortuna, C.G.; Barresi, V.; Bonaccorso, C.; Consiglio, G.; Failla, S.; Trovato-Salinaro, A.; Musumarra, G. Design, Synthesis and in Vitro Antitumour Activity of New Heteroaryl Ethylenes. Eur. J. Med. Chem. 2012, 47, 221–227. [Google Scholar] [CrossRef] [PubMed]
- Chilka, P.; Desai, N.; Datta, B. Small Molecule Fluorescent Probes for G-Quadruplex Visualization as Potential Cancer Theranostic Agents. Molecules 2019, 24, 752. [Google Scholar] [CrossRef] [PubMed] [Green Version]
- Bonaccorso, C.; Naletova, I.; Satriano, C.; Spampinato, G.; Barresi, V.; Fortuna, C.G. New Di(Heteroaryl)Ethenes as Apoptotic Anti-Proliferative Agents Towards Breast Cancer: Design, One-Pot Synthesis and In Vitro Evaluation. ChemistrySelect 2020, 5, 2581–2587. [Google Scholar] [CrossRef]
- Wang, M.-Q.; Liao, Y.-F.; Zhang, S.-H.; Yu, Q.-Q.; Huang, J.-Q. Synthesis, G-Quadruplex DNA Binding and Cytotoxic Properties of Naphthalimide Substituted Styryl Dyes. Bioorg. Med. Chem. 2020, 28, 115325. [Google Scholar] [CrossRef]
- Mencaroni, L.; Bonaccorso, C.; Botti, V.; Carlotti, B.; Consiglio, G.; Elisei, F.; Fortuna, C.G.; Spalletti, A.; Cesaretti, A. Nonlinear Optical Properties of a New Panchromatic Series of Water-Soluble Bicationic Push-Pull Fluorophores. Dyes Pigments 2021, 194, 109620. [Google Scholar] [CrossRef]
- McGhee, J.D.; von Hippel, P.H. Theoretical Aspects of DNA-Protein Interactions: Co-Operative and Non-Co-Operative Binding of Large Ligands to a One-Dimensional Homogeneous Lattice. J. Mol. Biol. 1974, 86, 469–489. [Google Scholar] [CrossRef]
- Malojčić, G.; Piantanida, I.; Marinić, M.; Žinić, M.; Marjanović, M.; Kralj, M.; Pavelić, K.; Schneider, H.-J. A Novel Bis-Phenanthridine Triamine with PH Controlled Binding to Nucleotides and Nucleic Acids. Org. Biomol. Chem. 2005, 3, 4373–4381. [Google Scholar] [CrossRef]
- Hernandez-Folgado, L.; Baretić, D.; Piantanida, I.; Marjanović, M.; Kralj, M.; Rehm, T.; Schmuck, C. Guanidiniocarbonylpyrrole–Aryl Derivatives: Structure Tuning for Spectrophotometric Recognition of Specific DNA and RNA Sequences and for Antiproliferative Activity. Chem. Eur. J. 2010, 16, 3036–3056. [Google Scholar] [CrossRef] [Green Version]
- van Stokkum, I.H.M.; Larsen, D.S.; van Grondelle, R. Global and Target Analysis of Time-Resolved Spectra. Biochim. Biophys. Acta BBA-Bioenerg. 2004, 1657, 82–104. [Google Scholar] [CrossRef] [Green Version]
- Snellenburg, J.J.; Laptenok, S.; Seger, R.; Mullen, K.M.; van Stokkum, I.H.M. Glotaran: A Java-Based Graphical User Interface for the R Package TIMP. J. Stat. Softw. 2012, 49, 1–22. [Google Scholar] [CrossRef] [Green Version]
- Perkins, H.T.; Allan, V. Intertwined and Finely Balanced: Endoplasmic Reticulum Morphology, Dynamics, Function, and Diseases. Cells 2021, 10, 2341. [Google Scholar] [CrossRef] [PubMed]
- Pontvianne, F.; Carpentier, M.-C.; Durut, N.; Pavlištová, V.; Jaške, K.; Schořová, Š.; Parrinello, H.; Rohmer, M.; Pikaard, C.S.; Fojtová, M.; et al. Identification of Nucleolus-Associated Chromatin Domains Reveals a Role for the Nucleolus in 3D Organization of the A. Thaliana Genome. Cell Rep. 2016, 16, 1574–1587. [Google Scholar] [CrossRef] [PubMed] [Green Version]
- Wohlan, K.; Goy, S.; Olling, A.; Srivaratharajan, S.; Tatge, H.; Genth, H.; Gerhard, R. Pyknotic Cell Death Induced by Clostridium Difficile TcdB: Chromatin Condensation and Nuclear Blister Are Induced Independently of the Glucosyltransferase Activity. Cell. Microbiol. 2014, 16, 1678–1692. [Google Scholar] [CrossRef] [PubMed]
- Ibrahim, M.D.; Kntayya, S.B.; Mohd Ain, N.; Iori, R.; Ioannides, C.; Abdull Razis, A.F. Induction of Apoptosis and Cytotoxicity by Raphasatin in Human Breast Adenocarcinoma MCF-7 Cells. Molecules 2018, 23, 3092. [Google Scholar] [CrossRef] [Green Version]
- Ni, Y.; Wu, J. Far-Red and near Infrared BODIPY Dyes: Synthesis and Applications for Fluorescent PH Probes and Bio-Imaging. Org. Biomol. Chem. 2014, 12, 3774–3791. [Google Scholar] [CrossRef]
- Ismail, I.; Chen, Z.; Ji, X.; Sun, L.; Yi, L.; Xi, Z. A Fast-Response Red Shifted Fluorescent Probe for Detection of H2S in Living Cells. Molecules 2020, 25, 437. [Google Scholar] [CrossRef] [Green Version]
- SwissADME: A Free Web Tool to Evaluate Pharmacokinetics, Drug-Likeness and Medicinal Chemistry Friendliness of Small Molecules|Scientific Reports. Available online: https://www.nature.com/articles/srep42717 (accessed on 9 May 2022).
- Bennion, B.J.; Be, N.A.; McNerney, M.W.; Lao, V.; Carlson, E.M.; Valdez, C.A.; Malfatti, M.A.; Enright, H.A.; Nguyen, T.H.; Lightstone, F.C.; et al. Predicting a Drug’s Membrane Permeability: A Computational Model Validated with in Vitro Permeability Assay Data. J. Phys. Chem. B 2017, 121, 5228–5237. [Google Scholar] [CrossRef] [Green Version]
- Soliman, K.; Grimm, F.; Wurm, C.A.; Egner, A. Predicting the Membrane Permeability of Organic Fluorescent Probes by the Deep Neural Network Based Lipophilicity Descriptor DeepFl-LogP. Sci. Rep. 2021, 11, 6991. [Google Scholar] [CrossRef]
- Macville, M.; Schröck, E.; Padilla-Nash, H.; Keck, C.; Ghadimi, B.M.; Zimonjic, D.; Popescu, N.; Ried, T. Comprehensive and Definitive Molecular Cytogenetic Characterization of HeLa Cells by Spectral Karyotyping. Cancer Res. 1999, 59, 141–150. [Google Scholar]
- Cesaretti, A.; Bonaccorso, C.; Elisei, F.; Fortuna, C.G.; Mencaroni, L.; Spalletti, A. Photoinduced Intramolecular Charge Transfer and Hyperpolarizability Coefficient in Push-Pull Pyridinium Salts with Increasing Strength of the Acceptor Group. ChemPlusChem 2018, 83, 1021–1031. [Google Scholar] [CrossRef]
- Mencaroni, L.; Carlotti, B.; Cesaretti, A.; Elisei, F.; Grgičević, A.; Škorić, I.; Spalletti, A. Competition between Fluorescence and Triplet Production Ruled by Nitro Groups in One-Arm and Two-Arm Styrylbenzene Heteroanalogues. Photochem. Photobiol. Sci. 2020, 19, 1665–1676. [Google Scholar] [CrossRef] [PubMed]
- Calzoni, E.; Cesaretti, A.; Montegiove, N.; Di Michele, A.; Pellegrino, R.M.; Emiliani, C. HexA-Enzyme Coated Polymer Nanoparticles for the Development of a Drug-Delivery System in the Treatment of Sandhoff Lysosomal Storage Disease. J. Funct. Biomater. 2022, 13, 37. [Google Scholar] [CrossRef] [PubMed]








| Comp. | W | tRNA | ct-DNA | |||||||||||
|---|---|---|---|---|---|---|---|---|---|---|---|---|---|---|
| λabs/ nm | λem/ nm | Δν/ cm−1 | ΦF | λabs/ nm | λem/nm | ΦF | Δν/ cm−1 | r | λabs/ nm | λem/ nm | ΦF | Δν/ cm−1 | r | |
| 1 | 352, 427 | 583 | 6270 | 0.16 | 368, 467 | 577 | 0.025 | 4080 | 0.0052 | 365, 464 | 578 | 0.084 | 4250 | 0.0075 |
| 2 | 359, 446 | 605 | 5890 | 0.36 | 372, 471 377, 488 | 600 595 | 0.066 0.12 | 4560 3690 | 0.081 0.0027 | 374, 481 | 591 | 0.17 | 3870 | 0.0081 |
| 3 | 393, 485 | 680 | 5910 | 0.010 | 407, 524 | 655 | 0.028 | 3820 | 0.0028 | 405, 520 | 645 | 0.058 | 3730 | 0.0050 |
| 4 | 389, 498 | 710 | 6000 | 0.003 | 408, 543 | 680 | 0.0068 | 3710 | 0.0025 | 405, 532 | 670 | 0.012 | 3870 | 0.0040 |
| 5 | 464 | 600 | 4890 | 0.026 | 495 | 615 | 0.057 | 3940 | 0.0036 | 486 | 595 | 0.10 | 3770 | 0.0025 |
| 6 | 540 | 700 | 4230 | 0.058 | 500 571 | 665 705 | 0.002 0.018 | 4960 3330 | 0.63 0.0028 | 567 | 700 | 0.56 | 3350 | 0.0017 |
| Compound | tRNA | ct-DNA |
|---|---|---|
| logK | logK | |
| 1 | 5.49 ± 0.06 | 7.11 ± 0.04 |
| 2 | 6.4 ± 0.2 4.3 ± 0.5 | 6.85 ± 0.04 |
| 3 | 5.2 ± 0.1 | 4.66 ± 0.09 |
| 4 | 4.4 ± 0.3 | 4.5 ± 0.1 |
| 5 | 5.19 ± 0.07 | 5.0 ± 0.1 |
| 6 | 8.0 ± 0.8 4.4 ± 0.2 | 5.3 ± 0.3 |
| Compound | Free (W) a | tRNA | ct-DNA | Assignment |
|---|---|---|---|---|
| τ (ps) | ||||
| 1 b | 0.79 | 0.74 | 2.0 | Solv. |
| 6.1 | Solv./VR | |||
| 8.0 | 8.1 | S1 (Complex) | ||
| 190 | 72 | 51 | CR | |
| 1100 | S1 (Complex) | |||
| 2700 | S1 (Free) | |||
| 1600 | 3500 | S1 (Complex) | ||
| 2 b | 0.60 | 0.13 | Solv. | |
| 1.1 | 1.7 | Solv. | ||
| 5.2 | 12 | Solv./VR | ||
| 57 | 68 | S1 (Complex) | ||
| 190 | CR | |||
| 1500 | 1200 | S1 (Free) | ||
| 1200 | 4500 | S1 (Complex) | ||
| 3 | 0.22 | Solv. | ||
| 1.7 | 2.2 | 2.6 | Solv. | |
| 23 | 32 | 57 | CR | |
| 110 | S1 (Free) | |||
| 300 | 770 | S1 (Complex) | ||
| 4 | 0.90 | 0.78 | Solv. | |
| 3.3 | 4.4 | 2.1 | Solv. | |
| 25 | 20 | CR | ||
| 39 | S1 (Free) | |||
| 240 | 270 | S1 (Complex) | ||
| Inf | T1 | |||
| 5 | 0.66 | Solv. | ||
| 4.9 | 2.6 | 2.9 | Solv. | |
| 38 | 55 | CR | ||
| 92 | S1 (Free) | |||
| 300 | 310 | S1 (Complex) | ||
| Inf | Inf | Inf | T1 | |
| 6 | 0.53 | 1.2 | Solv. | |
| 19 | 7.0 | Solv./VR | ||
| 160 | 60 | 330 | CR | |
| 910 | S1 (Free) | |||
| 260 | 3600 | S1 (Complex) | ||
| Inf | T1 | |||
| Compound | IC50/µM | ||||||
|---|---|---|---|---|---|---|---|
| Cell | 1 | 2 | 3 | 4 | 5 | 6 | |
| A549 | - | >100 | 12 ± 2 | - | 27 ± 9 | 19 ± 5 | |
| HeLa | - | 53 ± 2 | 1.7 ± 0.1 | 13 ± 2 | 18 ± 6 | 0.7 ± 0.2 | |
Publisher’s Note: MDPI stays neutral with regard to jurisdictional claims in published maps and institutional affiliations. |
© 2022 by the authors. Licensee MDPI, Basel, Switzerland. This article is an open access article distributed under the terms and conditions of the Creative Commons Attribution (CC BY) license (https://creativecommons.org/licenses/by/4.0/).
Share and Cite
Cesaretti, A.; Mencaroni, L.; Bonaccorso, C.; Botti, V.; Calzoni, E.; Carlotti, B.; Fortuna, C.G.; Montegiove, N.; Spalletti, A.; Elisei, F. Amphiphilicity-Controlled Localization of Red Emitting Bicationic Fluorophores in Tumor Cells Acting as Bio-Probes and Anticancer Drugs. Molecules 2022, 27, 3713. https://doi.org/10.3390/molecules27123713
Cesaretti A, Mencaroni L, Bonaccorso C, Botti V, Calzoni E, Carlotti B, Fortuna CG, Montegiove N, Spalletti A, Elisei F. Amphiphilicity-Controlled Localization of Red Emitting Bicationic Fluorophores in Tumor Cells Acting as Bio-Probes and Anticancer Drugs. Molecules. 2022; 27(12):3713. https://doi.org/10.3390/molecules27123713
Chicago/Turabian StyleCesaretti, Alessio, Letizia Mencaroni, Carmela Bonaccorso, Valentina Botti, Eleonora Calzoni, Benedetta Carlotti, Cosimo Gianluca Fortuna, Nicolò Montegiove, Anna Spalletti, and Fausto Elisei. 2022. "Amphiphilicity-Controlled Localization of Red Emitting Bicationic Fluorophores in Tumor Cells Acting as Bio-Probes and Anticancer Drugs" Molecules 27, no. 12: 3713. https://doi.org/10.3390/molecules27123713
APA StyleCesaretti, A., Mencaroni, L., Bonaccorso, C., Botti, V., Calzoni, E., Carlotti, B., Fortuna, C. G., Montegiove, N., Spalletti, A., & Elisei, F. (2022). Amphiphilicity-Controlled Localization of Red Emitting Bicationic Fluorophores in Tumor Cells Acting as Bio-Probes and Anticancer Drugs. Molecules, 27(12), 3713. https://doi.org/10.3390/molecules27123713

