Ursane-Type Triterpenes, Phenolics and Phenolic Derivatives from Globimetula braunii Leaf
Abstract
1. Introduction
2. Results and Discussion
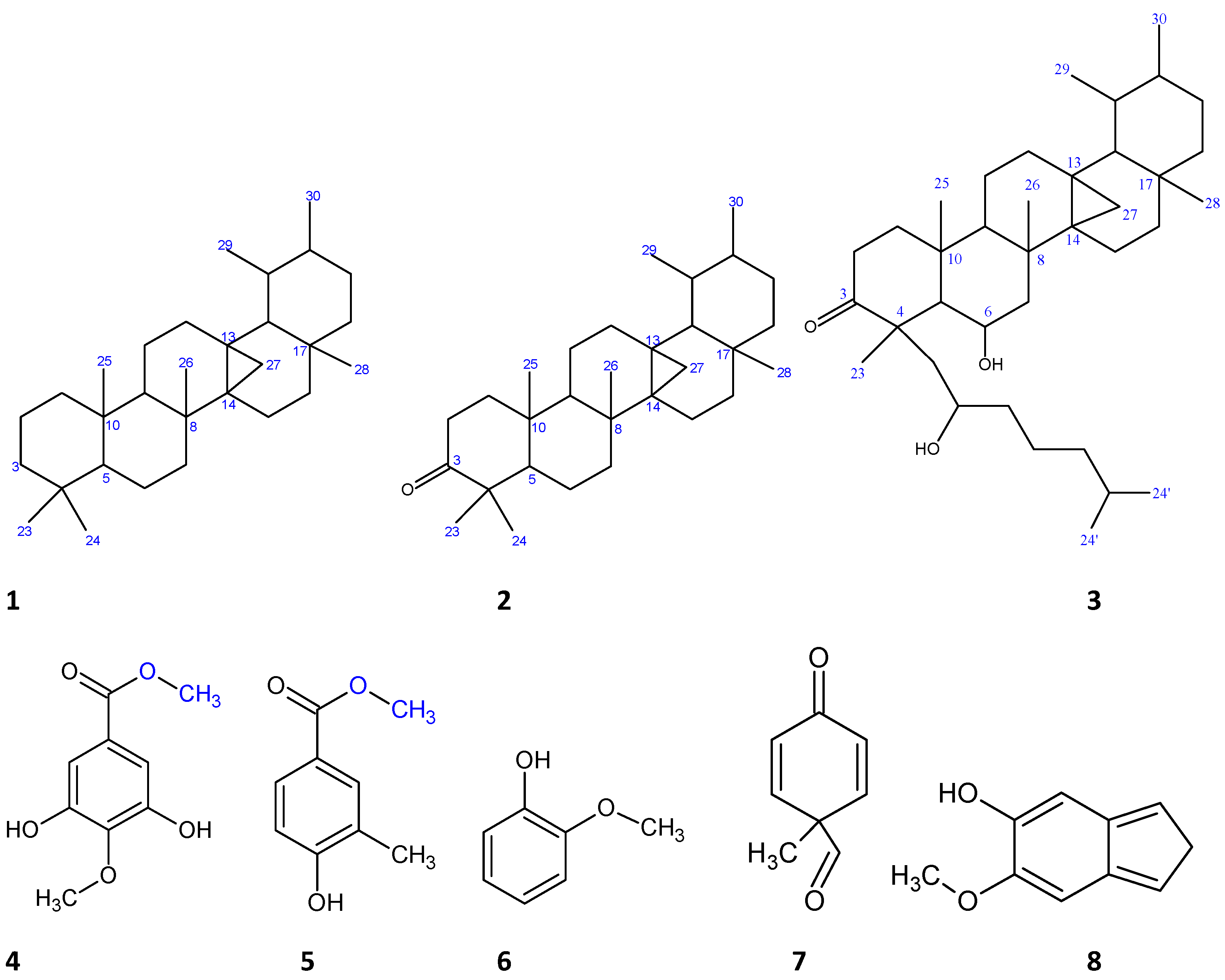
2.1. Spectra Data
2.2. Structure Elucidation
2.3. Evaluation of the Biological Activities of G. braunii Leaves
3. Materials and Methods
3.1. Plant Material
3.2. Plant Extraction and Fractionation
3.3. Qualitative Antioxidant Screening
2,2-Diphenyl-1-picrylhydrazyl (DPPH) Rapid Radical Scavenging Test
3.4. Quantitative Antioxidant Screening
3.4.1. DPPH Spectrophotometric Assay
3.4.2. Ferric Reducing Antioxidant Power (FRAP) Assay
3.4.3. Total Antioxidant Capacity (TAC) Assay
3.4.4. Ferrous Ion Chelating (FIC) Ability
3.5. Statistical Analysis
3.6. Antimicrobial Test
Micro-Broth Dilution Assay
3.7. Isolation of Compounds
Column Chromatography of the EtOAc Fraction
3.8. Characterization of Isolated Compounds
4. Conclusions
Author Contributions
Funding
Institutional Review Board Statement
Informed Consent Statement
Data Availability Statement
Acknowledgments
Conflicts of Interest
Samples Availability
References
- Siegfried Didier, D.; Obiang Nestor Laurier, E.; Din, N.; Richard Jules, P.; Victor, T.; Henri, F.; Georges, S.; Alain Didier, M.; Issaka Joseph, B.; Akoa, A. An Assessment on the Uses of Loranthaceae in Ethno Pharmacology in Cameroon: A Case Study Made in Logbessou, North of Douala. J. Med. Plants Res. 2009, 3, 592–595. [Google Scholar]
- Ayoola, M.D.; Oriola, A.O.; Faloye, K.O.; Aladesanmi, A.J. Two Antihyperglycaemic Compounds from Globimetula braunii (Engl.) Van Tiegh (Loranthaceae). GSC Biol. Pharm. Sci. 2020, 2020, 46–054. [Google Scholar] [CrossRef]
- Burkill, H.M. The Useful Plants of West Tropical Africa. Available online: https://agris.fao.org/agris-search/search.do?recordID=GB9618106 (accessed on 8 August 2021).
- Adesina, S.K.; Illoh, H.C.; Johnny, I.I.; Jacobs, I.E. African Mistletoes (Loranthaceae); Ethnopharmacology, Chemistry and Medicinal Values: An Update. Afr. J. Tradit. Complement. Altern. Med. AJTCAM 2013, 10, 161–170. [Google Scholar] [CrossRef]
- Okpuzor, J.; Kareem, G.; Ejikeme, C. Lipid Lowering Activity of Globimetula braunii. Res. J. Med. Plant 2009, 3, 45–51. [Google Scholar] [CrossRef][Green Version]
- Okpuzor, J.; Ogbunugafor, H.A.; Kareem, G.K. Hepatic and Hematologic Effects of Fractions of Globimetula braunii in Normal Albino Rats. EXCLI J. 2009, 8, 182–189. [Google Scholar]
- Oriola, A.O.; Aladesanmi, A.J.; Arthur, G. Anticancer Activity of Three African Mistletoes. Niger. J. Nat. Prod. Med. 2018, 22, 129–134. [Google Scholar] [CrossRef]
- Oriola, A.O.; Aladesanmi, A.J.; Akinkunmi, E.O.; Olawuni, I.J. Antioxidant and Antimicrobial Studies of Some Hemi-Parasitic West African Plants. Eur. J. Med. Plants 2020, 31, 17–26. [Google Scholar] [CrossRef]
- Enehezeyi Aliyu, R.; Alonge, S.; Aliyu, R. Antibacterial Activity of Globimetula braunii Sourced from Five Different Host Trees in Screening Cowpea Magic Rils for Variation in Agro-Physiological Traits for Tolerance to Biotic and Abiotic Stresses View Project Antibacterial Activity of Globimetula braunii Sourced from Five Different Host Trees in Samaru, Zaria, Nigeria. Int. J. Curr. Sci. 2015, 18, 117–123. [Google Scholar]
- Okpuzor, J.; Ogbunugafor, H.; Karecm, G.K. Antioxidative Properties of Ethyl Acetate Fraction of Globimetula braunii in Normal Albino Rats. J. Biol. Sci. 2009, 9, 470–475. [Google Scholar] [CrossRef][Green Version]
- Erukainure, O.L.; Abovwe, J.A.; Adefegha, A.S.; Egwuche, R.U.; Fafunso, M.A. Antilipemic and Hypocholesteremic Activities of Globimetula braunii in Rats. Exp. Toxicol. Pathol. 2010, 63, 657–661. [Google Scholar] [CrossRef]
- Ie, O.; Zam, N. Oxytocic Properties of the Aqueous Extract of Globimetula braunii (Loranthaceae). Pak. J. Pharm. Sci. 2008, 21, 356–360. [Google Scholar]
- Muhammad, K.J.; Jamil, S.; Basar, N.; Bakri Bakar, M.; Sarker, S.D.; Flanagan, K.J.; Senge, M.O. Lactones and Flavonoids Isolated from the Leaves of Globimetula braunii. NPC Nat. Prod. Commun. 2017, 12, 1455–1458. [Google Scholar]
- Muhammad, K.J.; Jamil, S.; Basar, N.; Sarker, S.D.; Mohammed, M.G. Globrauneine A–F: Six New Triterpenoid Esters from the Leaves of Globimetula braunii. Nat. Prod. Res. 2019, 34, 2746–2753. [Google Scholar] [CrossRef] [PubMed]
- Ren, F.C.; Li, G.Y.; Nama, N.; Liu, Z.H.; Yang, L.; Zhou, J.; Hu, J.M. 13,27-Cycloursane, Ursane and Oleanane Triterpenoids from the Leaves of Lucuma nervosa. Fitoterapia 2019, 136, 104178. [Google Scholar] [CrossRef] [PubMed]
- Ndlebe, V.J.; Crouch, N.R.; Mulholland, D.A. Triterpenoids from the African Tree Phyllanthus polyanthus. Phytochem. Lett. 2008, 1, 11–17. [Google Scholar] [CrossRef]
- Lee, T.-H.; Juang, S.-H.; Hsu, F.-L.; Wu, C.-Y. Triterpene Acids from the Leaves of Planchonella duclitan (Blanco) Bakhuizan. J. Chin. Chem. Soc. 2005, 52, 1275–1280. [Google Scholar] [CrossRef]
- Pavia, D.L.; Lampman, G.M.; Kriz, G.S.; Vyvyan, J.R. Nuclear Magnetic Resonance Spectroscopy Part Five: Advanced NMR Techniques. In Introduction to Spectroscopy; Thomson Learning Inc.: Boston, MA, USA, 2013; pp. 511–576. [Google Scholar]
- Alade, G.O.; Moody, J.O.; Awotona, O.R.; Adesanya, S.A.; Lai, D.; Proksch, P. Spermicidal Constituents of Ethanolic Extract of Sacoglottis gabonensis Stem Bark. Folia Med. 2017, 59, 437–442. [Google Scholar] [CrossRef] [PubMed]
- MedChemExpress. Methylparaben—Advanced Dermatology. Available online: https://www.advanced-dermatology.com.au/methylparaben (accessed on 25 September 2021).
- MedChemExpress. Methyl Paraben (Methyl 4-Hydroxybenzoate)|Bacterial Inhibitor|MedChemExpress. Available online: https://www.medchemexpress.com/Methyl_Paraben.html (accessed on 6 October 2021).
- Kitanovski, Z.; Cusak, A.; Grgić, I.; Claeys, M. Chemical Characterization of the Main Products Formed through Aqueous-Phase Photonitration of Guaiacol. Atmos. Meas. Tech. 2014, 7, 2457–2470. [Google Scholar] [CrossRef]
- Guthrie, R.D. Introduction to Spectroscopy (Pavia, Donald; Lampman, Gary, M.; Kriz, George, S., Jr.). J. Chem. Educ. 1979, 56, A323. [Google Scholar] [CrossRef]
- Dewanjee, S.; Gangopadhyay, M.; Bhattacharya, N.; Khanra, R.; Dua, T.K. Bioautography and Its Scope in the Field of Natural Product Chemistry. J. Pharm. Anal. 2015, 5, 75–84. [Google Scholar] [CrossRef] [PubMed]
- Santos-Sánchez, N.F.; Salas-Coronado, R.; Villanueva-Cañongo, C.; Hernández-Carlos, B. Antioxidant Compounds and Their Antioxidant Mechanism; IntechOpen: London, UK, 2019. [Google Scholar] [CrossRef]
- Siddeeg, A.; AlKehayez, N.M.; Abu-Hiamed, H.A.; Al-Sanea, E.A.; AL-Farga, A.M. Mode of Action and Determination of Antioxidant Activity in the Dietary Sources: An Overview. Saudi J. Biol. Sci. 2021, 28, 1633–1644. [Google Scholar] [CrossRef]
- Baccouri, B.; Rajhi, I. Potential Antioxidant Activity of Terpenes. In Terpenes and Terpenoids Recent Advances; Intech Open Book Series; IntechOpen: London, UK, 2021. [Google Scholar] [CrossRef]
- Chen, J.; Yang, J.; Ma, L.; Li, J.; Shahzad, N.; Kyung Kim, C.K. Structure-Antioxidant Activity Relationship of Methoxy, Phenolic Hydroxyl, and Carboxylic Acid Groups of Phenolic Acids. Sci. Rep. 2020, 10, 2611. [Google Scholar] [CrossRef] [PubMed]
- Chen, S.C.; Liu, J.W.; Wu, X.Z.; Cao, W.L.; Wang, F.; Huang, J.M.; Han, Y.; Zhu, X.Y.; Zhu, B.Y.; Gan, Q.; et al. Comparison of Microdilution Method with Agar Dilution Method for Antibiotic Susceptibility Test of Neisseria gonorrhoeae. Infect. Drug Resist. 2020, 13, 1775–1780. [Google Scholar] [CrossRef]
- Reller, L.B.; Weinstein, M.; Jorgensen, J.H.; Ferraro, M.J. Antimicrobial Susceptibility Testing: A Review of General Principles and Contemporary Practices. Clin. Infect. Dis. 2009, 49, 1749–1755. [Google Scholar] [CrossRef]
- Jesus, J.A.; Lago, J.H.G.; Laurenti, M.D.; Yamamoto, E.S.; Passero, L.F.D. Antimicrobial Activity of Oleanolic and Ursolic Acids: An Update. Evid.-Based Complement. Altern. Med. 2015, 2015. [Google Scholar] [CrossRef] [PubMed]
- Maddox, C.E.; Laur, L.M.; Tian, L. Antibacterial Activity of Phenolic Compounds Against the Phytopathogen Xyllela fastidiosa. Curr. Microbiol. 2010, 60, 53–58. [Google Scholar] [CrossRef] [PubMed]
- Jayanetti, D.R.; Braun, D.R.; Barns, K.J.; Rajski, S.R.; Bugni, T.S. Bulbiferates A and B: Antibacterial Acetamidohydroxybenzoates from a Marine Proteobacterium, Microbulbifer sp. J. Nat. Prod. 2019, 82, 1930–1934. [Google Scholar] [CrossRef]
- Orlo, E.; Russo, C.; Nugnes, R.; Lavorgna, M.; Isidori, M. Natural Methoxyphenol Compounds: Antimicrobial Activity Against Foodborne Pathogens and Food Spoilage Bacteria, and Roles in Antioxidant Processes. Foods 2021, 10, 1807. [Google Scholar] [CrossRef]
- Wang, J.; Yue, Y.D.; Tang, F.; Sun, J. TLC Screening for Antioxidant Activity of Extracts from Fifteen Bamboo Species and Identification of Antioxidant Flavone Glycosides from Leaves of Bambusa textilis Mcclure. Molecules 2012, 17, 12297–12311. [Google Scholar] [CrossRef] [PubMed]
- Xiao, F.; Xu, T.; Lu, B.; Liu, R. Guidelines for Antioxidant Assays for Food Components. Food Front. 2020, 1, 60–69. [Google Scholar] [CrossRef]
- Benzie, I.F.F.; Strain, J.J. [2] Ferric Reducing/Antioxidant Power Assay: Direct Measure of Total Antioxidant Activity of Biological Fluids and Modified Version for Simultaneous Measurement of Total Antioxidant Power and Ascorbic Acid Concentration. Methods Enzymol. 1999, 299, 15–27. [Google Scholar] [CrossRef] [PubMed]
- Prieto, P.; Pineda, M.; Aguilar, M. Spectrophotometric Quantitation of Antioxidant Capacity through the Formation of a Phosphomolybdenum Complex: Specific Application to the Determination of Vitamin E. Anal. Biochem. 1999, 269, 337–341. [Google Scholar] [CrossRef] [PubMed]
- Singh, N.; Rajini, P. Free Radical Scavenging Activity of an Aqueous Extract of Potato. Food Chem. 2004, 85, 611–616. [Google Scholar] [CrossRef]
- Clinical and Laboratory Standard Institute, CLSI. M07-A10 Methods for Dilution Antimicrobial Susceptibility Tests for Bacteria That Grow Aerobically; Approved Standard-Tenth Edition; Clinical and Laboratory Standard Institute: Annapolis Junction, MD, USA, 2015. [Google Scholar]
- Clinical and Laboratory Standard Institute, CLSI. Antimicrobial and Antifungal Susceptibility Testing Resources. Available online: https://clsi.org/about/about-clsi/about-clsi-antimicrobial-and-antifungal-susceptibility-testing-resources/# (accessed on 22 September 2021).


| Sample | DPPH (µM) | FRAP (mgAAE/g) | TAC (mgAAE/g) | FIC (µM) |
|---|---|---|---|---|
| EtOH extract | 31.21 ± 1.11 g | 109.30 ± 0.76 c | 178.15 ± 3.54 i | 281.10 ± 12.09 e |
| n-Hexane | 75.89 ± 5.05 i | 172.88 ± 1.12 d | <10 a | >450 h |
| EtOAc | 8.58 ± 1.39 c,*** | 178.64 ± 2.04 f | 485.81 ± 50.41 k | 154.87 ± 6.54 b |
| n-BuOH | 16.06 ± 0.52 f | 175.38 ± 0.97 e | 283.83 ± 23.01 j | 298.79 ± 32.51 e |
| Aqueous | 86.97 ± 24.74 j | 49.94 ± 18.23 b | <10 a | >450 h |
| 1 | >100 k | <10 a | 12.02 ± 1.37 b | >450 h |
| 2 | >100 k | 347.26 ± 1.43 g | 43.91 ± 1.20 c | >450 h |
| 3 | 61.53 ± 1.01 h | 651.77 ± 7.98 h | 77.72 ± 0.39 d | ≥450 h |
| 4 | 6.38 ± 0.48 b,*** | 702.89 ± 3.09 i | 115.23 ± 4.12 f | 410.64 ± 8.62 g |
| 5 | 15.78 ± 0.41 e | 752.76 ± 13.51 k | 121.87 ± 2.73 g | 389.92 ± 4.76 f |
| 6 | 0.86 ± 0.37 a,*** | 720.47 ± 10.08 j | 161.57 ± 3.79 h | 199.63 ± 5.67 c |
| 7 | >100 k | 764.09 ± 10.12 k | 81.12 ± 2.22 e | >450 h |
| 8 | 70.64 ± 2.90 i | 634.84 ± 20.31 h | 115.76 ± 3.65 f | 255.53 ± 11.71 d |
| Positive control | 11.38 ± 0.45 d | - | - | 13.21 ± 2.56 a |
| Sample | Concentration (mg/mL) | |||||||||
|---|---|---|---|---|---|---|---|---|---|---|
| E. coli | P. aeruginosa | MRSA | B. subtilis | C. albicans | ||||||
| MIC | MBC | MIC | MBC | MIC | MBC | MIC | MBC | MIC | MFC | |
| Negative control | - | - | - | - | - | - | - | - | - | - |
| EtOH extract | 20.00 | - | 20.00 | - | 5.00 | 20.00 | 20.00 | - | 10.00 | 20.00 |
| n-Hexane | - | - | - | - | 20.00 | - | - | - | - | - |
| EtOAc | 2.50 | 5.00 | 5.00 | 10.00 | 1.25 | 2.50 | 0.63 | 2.50 | 1.25 | 2.50 |
| n-BuOH | 5.00 | 20.00 | 2.50 | 10.00 | 2.50 | 5.00 | 5.00 | 20.00 | 1.25 | 2.50 |
| Aqueous | - | - | - | - | - | - | 10.00 | - | 20.00 | - |
| 1 | - | - | - | - | - | - | 20.00 | - | - | - |
| 2 | 20.00 | - | - | - | - | - | 20.00 | - | - | - |
| 3 | 10.00 | 20.00 | 20.00 | - | 20.00 | - | 2.50 | 10.00 | 5.00 | 20.00 |
| 4 | 2.50 | 5.00 | 5.00 | 20.00 | 10.00 | - | 1.25 | 5.00 | 2.50 | 10.00 |
| 5 | 5.00 | 10.00 | 10.00 | - | 20.00 | - | 2.50 | 10.00 | 5.00 | 20.00 |
| 6 | 1.25 | 5.00 | 2.50 | 5.00 | 2.50 | 5.00 | 0.63 | 1.25 | 1.25 | 5.00 |
| 7 | 10.00 | - | 20.00 | - | 20.00 | - | 10.00 | - | 20.00 | - |
| 8 | 2.50 | 5.00 | 5.00 | 20.00 | 2.50 | 5.00 | 2.50 | 5.00 | 5.00 | 10.00 |
| Positive control | 0.25 | 0.50 | 0.50 | 0.25 | 0.10 | |||||
Publisher’s Note: MDPI stays neutral with regard to jurisdictional claims in published maps and institutional affiliations. |
© 2021 by the authors. Licensee MDPI, Basel, Switzerland. This article is an open access article distributed under the terms and conditions of the Creative Commons Attribution (CC BY) license (https://creativecommons.org/licenses/by/4.0/).
Share and Cite
Oriola, A.O.; Aladesanmi, A.J.; Idowu, T.O.; Akinwumi, F.O.; Obuotor, E.M.; Idowu, T.; Oyedeji, A.O. Ursane-Type Triterpenes, Phenolics and Phenolic Derivatives from Globimetula braunii Leaf. Molecules 2021, 26, 6528. https://doi.org/10.3390/molecules26216528
Oriola AO, Aladesanmi AJ, Idowu TO, Akinwumi FO, Obuotor EM, Idowu T, Oyedeji AO. Ursane-Type Triterpenes, Phenolics and Phenolic Derivatives from Globimetula braunii Leaf. Molecules. 2021; 26(21):6528. https://doi.org/10.3390/molecules26216528
Chicago/Turabian StyleOriola, Ayodeji Oluwabunmi, Adetunji Joseph Aladesanmi, Thomas Oyebode Idowu, Florence O. Akinwumi, Efere Martins Obuotor, Temilolu Idowu, and Adebola Omowunmi Oyedeji. 2021. "Ursane-Type Triterpenes, Phenolics and Phenolic Derivatives from Globimetula braunii Leaf" Molecules 26, no. 21: 6528. https://doi.org/10.3390/molecules26216528
APA StyleOriola, A. O., Aladesanmi, A. J., Idowu, T. O., Akinwumi, F. O., Obuotor, E. M., Idowu, T., & Oyedeji, A. O. (2021). Ursane-Type Triterpenes, Phenolics and Phenolic Derivatives from Globimetula braunii Leaf. Molecules, 26(21), 6528. https://doi.org/10.3390/molecules26216528

