Advances in the Study of Gas Hydrates by Dielectric Spectroscopy
Abstract
:1. Introduction
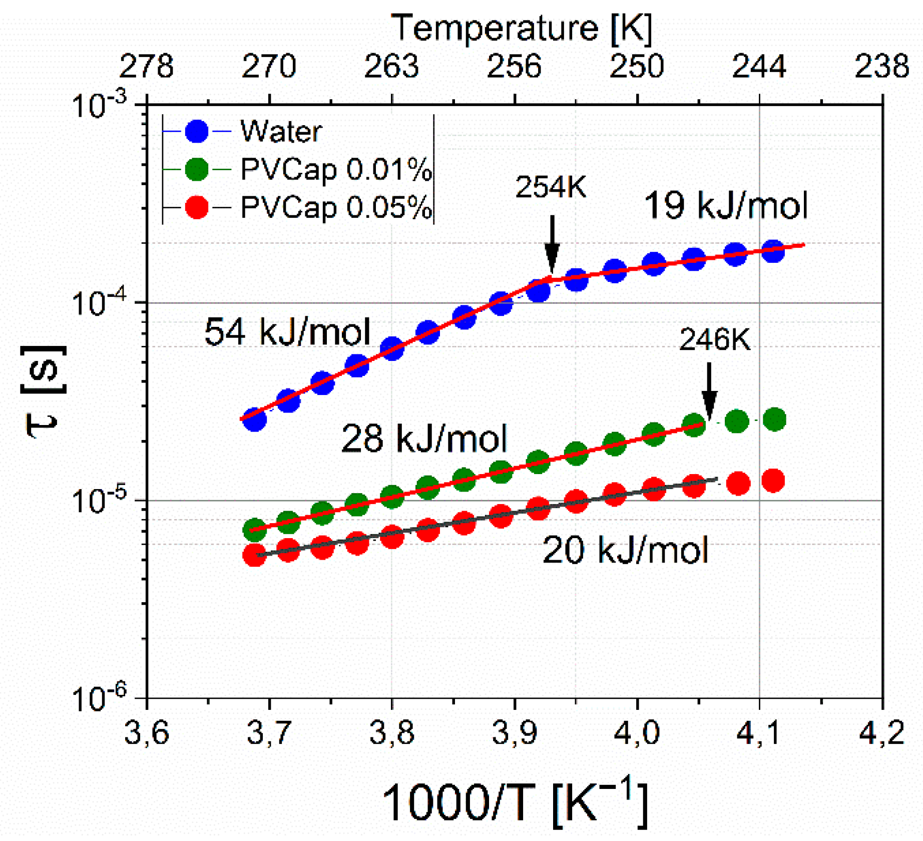
2. Results and Discussion
3. Materials and Methods
3.1. Materials
3.2. Dielectric Spectroscopy
3.3. X-ray Diffractometry
4. Conclusions
Supplementary Materials
Author Contributions
Funding
Institutional Review Board Statement
Informed Consent Statement
Data Availability Statement
Acknowledgments
Conflicts of Interest
Sample Availability
References
- Hammerschmidt, E.G. Formation of Gas Hydrates in Natural Gas Transmission Lines. Ind. Ing. Chem. 1934, 26, 851–855. [Google Scholar] [CrossRef]
- Paz, P.; Netto, T.A. On the Rheological Properties of Thermodynamic Hydrate Inhibitors Used in Offshore Oil and Gas Production. J. Mar. Sci. Eng. 2020, 8, 878. [Google Scholar] [CrossRef]
- Chong, Z.R.; Chan, A.H.M.; Babu, P.; Yang, M.; Linga, P. Effect of NaCl on methane hydrate formation and dissociation in porous media. J. Nat. Gas. Sci. Eng. 2015, 27, 178–189. [Google Scholar] [CrossRef]
- Walker, V.K.; Zeng, H.; Ohno, H.; Daraboina, N.; Sharifi, H.; Bagherzadeh, S.A.; Alavi, S.; Englezos, P. Antifreeze proteins as gas hydrate inhibitors. Can. J. Chem. 2015, 93, 839–849. [Google Scholar] [CrossRef]
- Talaghat, M.R. Experimental investigation of induction time for double gas hydrate formation in the simultaneous presence of the PVP and l-Tyrosine as kinetic inhibitors in a mini flow loop apparatus. J. Nat. Gas. Sci. Eng. 2014, 19, 215–220. [Google Scholar] [CrossRef]
- Daraboina, N.; Pachitsas, S.; von Solms, N. Experimental validation of kinetic inhibitor strength on natural gas hydrate nucleation. Fuel 2015, 139, 554–560. [Google Scholar] [CrossRef]
- Farhadian, A.; Varfolomeev, M.A.; Abdelhay, Z.; Emelianov, D.; Delaunay, A.; Dalmazzone, D. Accelerated Methane Hydrate Formation by Ethylene Diamine Tetraacetamide as an Efficient Promoter for Methane Storage without Foam Formation. Ind. Eng. Chem. Res. 2019, 58, 7752–7760. [Google Scholar] [CrossRef]
- Ke, W.; Kelland, M.A. Kinetic Hydrate Inhibitor Studies for Gas Hydrate Systems: A Review of Experimental Equipment and Test Methods. Energy Fuels 2016, 30, 10015–10028. [Google Scholar] [CrossRef]
- Asami, K. Characterization of heterogeneous systems by dielectric spectroscopy. Prog. Polym. Sci. 2002, 27, 1617–1659. [Google Scholar] [CrossRef]
- Di Biasio, A.; Cametti, C. On the dielectric relaxation of biological cell suspensions: The effect of the membrane electrical conductivity. Colloids Surf. B 2011, 84, 433–441. [Google Scholar] [CrossRef] [PubMed]
- Agranovich, D.; Ishai, P.B.; Katz, G.; Bezman, D.; Feldman, Y. Microwave dielectric spectroscopy study of water dynamics in normal and contaminated raw bovine milk. Colloids Surf. B 2017, 154, 391–396. [Google Scholar] [CrossRef] [PubMed]
- Maeda, N. Development of a high pressure electrical conductivity probe for experimental studies of gas hydrates in electrolytes. Rev. Sci. Instrum. 2013, 84, 015110. [Google Scholar] [CrossRef]
- Priegnitz, M.; Thaler, J.; Spangenberg, E.; Rücker, C.; Schicks, J.M. A cylindrical electrical resistivity tomography array for three-dimensional monitoring of hydrate formation and dissociation. Rev. Sci. Instrum. 2013, 84, 104502. [Google Scholar] [CrossRef] [PubMed]
- Zatsepina, O.Y.; Buffett, B. Nucleation of CO2-hydrate in a porous medium. Fluid Phase Equilib. 2002, 200, 263–275. [Google Scholar] [CrossRef]
- Faizullin, M.Z.; Vinogradov, A.V.; Koverda, V.P. Hydrate formation in layers of gas-saturated amorphous ice. Chem. Eng. Sci. 2015, 130, 135–143. [Google Scholar] [CrossRef]
- Johari, G.; Whalley, E. The dielectric properties of ice Ih in the range 272–133 K. J. Chem. Phys. 1981, 75, 1333–1340. [Google Scholar] [CrossRef]
- Popov, I.; Lunev, I.; Khamzin, A.; Greenbaum, A.; Gusev, Y.; Feldman, Y. The low-temperature dynamic crossover in the dielectric relaxation of ice Ih. Phys. Chem. Chem. Phys. 2017, 19, 28610–28620. [Google Scholar] [CrossRef] [PubMed]
- Geil, B.; Kirschgen, T.M.; Fujara, F. Mechanism of proton transport in hexagonal ice. Phys. Rev. B Condens. Matter Mater. Phys. 2005, 72, 014304. [Google Scholar] [CrossRef]
- Popov, I.; Puzenko, A.; Khamzin, A.; Feldman, Y. The dynamic crossover in dielectric relaxation behavior of ice Ih. Phys. Chem. Chem. Phys. 2015, 17, 1489–1497. [Google Scholar] [CrossRef]
- Khamzin, A.A.; Lunev, I.V.; Popov, I.I.; Greenbaum, A.M.; Feldman, Y.D. Mechanisms of dielectric relaxation of hexagonal ice. Radioelektron. Nanosistemy Inf. Tehnol. 2020, 12, 87–94. [Google Scholar]
- Manakov, A.Y.; Khlystov, O.; Hachikubo, A.; Minami, K.; Yamashita, S.; Khabuev, A.; Ogienko, A.; Ildyakov, A.; Kalmychkov, G.; Rodionova, T. Structural Studies of Lake Baikal Natural Gas Hydrates. J. Struct. Chem. 2019, 60, 1437–1455. [Google Scholar] [CrossRef]
- Röttger, K.; Endriss, A.; Ihringer, J.; Doyle, S.; Kuhs, W. Lattice constants and thermal expansion of H2O and D2O ice Ih between 10 and 265 K. Acta Crystallogr. Sect. B Struct. Sci. Crist. Eng. Mater. 1994, 50, 644–648. [Google Scholar] [CrossRef]
- Jonscher, A.K. Dielectric relaxation in solids. J. Phys. D Appl. Phys. 1999, 32, R57–R70. [Google Scholar] [CrossRef]
- Dyre, J.C.; Maass, P.; Roling, B.; Sidebottom, D.L. Fundamental questions relating to ion conduction in disordered solids. Rep. Prog. Phys. 2009, 72, 046501. [Google Scholar] [CrossRef]
- Klein, R.J.; Zhang, S.H.; Dou, S.; Jones, B.H.; Colby, R.H.; Runt, J. Modeling electrode polarization in dielectric spectroscopy: Ion mobility and mobile ion concentration of single-ion polymer electrolytes. J. Chem. Phys. 2006, 124, 144903. [Google Scholar] [CrossRef]
- Pal, P.; Ghosh, A. Dynamics and relaxation of charge carriers in poly(methylmethacrylate)-based polymer electrolytes embedded with ionic liquid. Phys. Rev. E Stat. Nonlinear Soft Matter Phys. 2015, 92, 062603. [Google Scholar] [CrossRef] [PubMed]
- Serghei, A.; Tress, M.; Sangoro, J.R.; and Kremer, F. Electrode polarization and charge transport at solid interfaces. Phys. Rev. B Condens. Matter Mater. Phys. 2009, 80, 184301. [Google Scholar] [CrossRef]
- Ishai, P.B.; Talary, M.S.; Caduff, A.; Levy, E.; Feldman, Y. Electrode polarization in dielectric measurements: A review. Meas. Sci. Technol. 2013, 24, 102001. [Google Scholar] [CrossRef]
- Kremer, F.; Schönhals, A. Broadband Dielectric Spectroscopy, 1st ed.; Springer: Berlin/Heidelberg, Germany, 2003; pp. 91–93. [Google Scholar]
- Khamzin, A.A.; Popov, I.I.; Nigmatullin, R.R. Correction of the power law of ac conductivity in ion-conducting materials due to the electrode polarization effect. Phys. Rev. E Stat. Nonlinear Soft Matter Phys. 2014, 89, 032303. [Google Scholar] [CrossRef] [PubMed]
- Popov, I.I.; Nigmatullin, R.R.; Khamzin, A.A.; Lounev, I.V. Conductivity in disordered structures: Verification of the generalized Jonscher’s law on experimental data. J. Appl. Phys. 2012, 112, 094107. [Google Scholar] [CrossRef]
- Liu, S.H. Fractal model for the ac response of a rough interface. Phys. Rev. Lett. 1985, 55, 529–532. [Google Scholar] [CrossRef] [PubMed]
- Kaatze, U. The dielectric properties of water in its different states of interaction. J. Solut. Chem. 1997, 26, 1049–1112. [Google Scholar] [CrossRef]
- Sizikov, A.A.; Manakov, A.Y.; Aladko, E.Y. Pressure dependence of gas hydrate formation in triple systems water–2-propanol–methane and water–2-propanol–hydrogen. Fluid Phase Equilib. 2016, 425, 351–357. [Google Scholar] [CrossRef]
- Fouconnier, B.; Komunjer, L.; Ollivon, M.; Lesieur, P.; Keller, G.; Clausse, D. Study of CCl3F hydrate formation and dissociation in W/O emulsion by differential scanning calorimetry and X-ray diffraction. Fluid Phase Equilib. 2006, 250, 76–82. [Google Scholar] [CrossRef]
- Semenov, M.Y.; Ivanova, I.; Koryakina, V. Peculiarities of natural gas hydrate formation from ice in reactors under high pressure. IOP Conf. Ser. Earth Environ. Sci. 2018, 193, 012061. [Google Scholar] [CrossRef]
- Kashchiev, D.; Firoozabadi, A. Induction time in crystallization of gas hydrates. J. Cryst. Growth 2003, 250, 499–515. [Google Scholar] [CrossRef]
- Kashchiev, D.; Firoozabadi, A. Nucleation of gas hydrates. J. Cryst. Growth 2002, 243, 476–489. [Google Scholar] [CrossRef]
- Zhao, X.; Qiu, Z.; Huang, W. Characterization of Kinetics of Hydrate Formation in the Presence of Kinetic Hydrate Inhibitors during Deepwater Drilling. J. Nat. Gas. Sci. Eng. 2015, 22, 270–278. [Google Scholar] [CrossRef]
- McNamee, K. Evaluation of Hydrate Nucleation Trends and Kinetic Hydrate Inhibitor Performance by High-Pressure Differential Scanning Calorimetry. In Proceedings of the 7th International Conference on Gas Hydrates (ICGH 2011), Edinburgh, Scotland, UK, 17–21 July 2011; Curran Associates, Inc.: Red Hook, NY, USA, 2016. [Google Scholar]
- Ivall, J.; Pasieka, J.; Posteraro, D.; Servio, P. Profiling the Concentration of the Kinetic Inhibitor Polyvinylpyrrolidone throughout the Methane Hydrate Formation Process. Energy Fuels 2015, 29, 2329–2335. [Google Scholar] [CrossRef]
- Liu, J.; Feng, Y.; Yan, Y.; Yan, Y.; Zhang, J. Understanding the inhibition performance of polyvinylcaprolactam and interactions with water molecules. Chem. Phys. Lett. 2020, 761, 138070. [Google Scholar] [CrossRef]
- Dirdal, E.G.; Kelland, M.A. Does the Cloud Point Temperature of a Polymer Correlate with Its Kinetic Hydrate Inhibitor Performance? Energy Fuels 2019, 33, 7127–7137. [Google Scholar] [CrossRef]
- Lim, V.W.; Metaxas, P.J.; Stanwix, P.L.; Johns, M.L.; Haandrikman, G.; Crosby, D.; Aman, Z.M.; May, E.F. Gas hydrate formation probability and growth rate as a function of kinetic hydrate inhibitor (KHI) concentration. Chem. Eng. J. 2020, 388, 124177. [Google Scholar] [CrossRef]
- Liu, J.; Wang, H.; Guo, J.; Chen, G.; Zhong, J.; Yan, Y.; Zhang, J. Molecular insights into the kinetic hydrate inhibition performance of Poly(N-vinyl lactam) polymers. J. Nat. Gas. Sci. Eng. 2020, 83, 103504. [Google Scholar] [CrossRef]












Publisher’s Note: MDPI stays neutral with regard to jurisdictional claims in published maps and institutional affiliations. |
© 2021 by the authors. Licensee MDPI, Basel, Switzerland. This article is an open access article distributed under the terms and conditions of the Creative Commons Attribution (CC BY) license (https://creativecommons.org/licenses/by/4.0/).
Share and Cite
Lunev, I.; Kamaliev, B.; Shtyrlin, V.; Gusev, Y.; Kiiamov, A.; Zaripova, Y.; Galiullin, A.; Farhadian, A.; Varfolomeev, M.; Kelland, M. Advances in the Study of Gas Hydrates by Dielectric Spectroscopy. Molecules 2021, 26, 4459. https://doi.org/10.3390/molecules26154459
Lunev I, Kamaliev B, Shtyrlin V, Gusev Y, Kiiamov A, Zaripova Y, Galiullin A, Farhadian A, Varfolomeev M, Kelland M. Advances in the Study of Gas Hydrates by Dielectric Spectroscopy. Molecules. 2021; 26(15):4459. https://doi.org/10.3390/molecules26154459
Chicago/Turabian StyleLunev, Ivan, Bulat Kamaliev, Valery Shtyrlin, Yuri Gusev, Airat Kiiamov, Yulia Zaripova, Artur Galiullin, Abdolreza Farhadian, Mikhail Varfolomeev, and Malcolm Kelland. 2021. "Advances in the Study of Gas Hydrates by Dielectric Spectroscopy" Molecules 26, no. 15: 4459. https://doi.org/10.3390/molecules26154459
APA StyleLunev, I., Kamaliev, B., Shtyrlin, V., Gusev, Y., Kiiamov, A., Zaripova, Y., Galiullin, A., Farhadian, A., Varfolomeev, M., & Kelland, M. (2021). Advances in the Study of Gas Hydrates by Dielectric Spectroscopy. Molecules, 26(15), 4459. https://doi.org/10.3390/molecules26154459

