An Unexpected Reaction of Isodehydracetic Acid with Amines in the Presence of 1-Ethyl-3-(3-dimethylaminopropyl) Carbodiimide Hydrochloride Yields a New Type of β-Enaminones
Abstract
1. Introduction
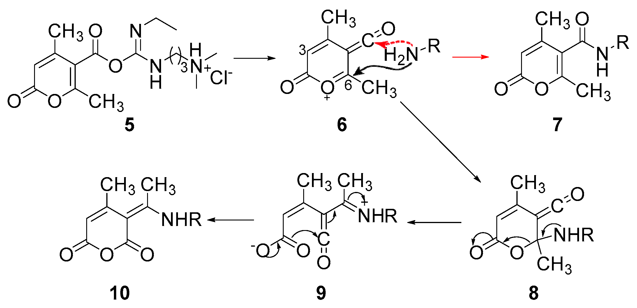
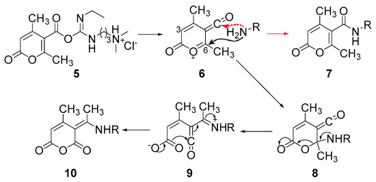
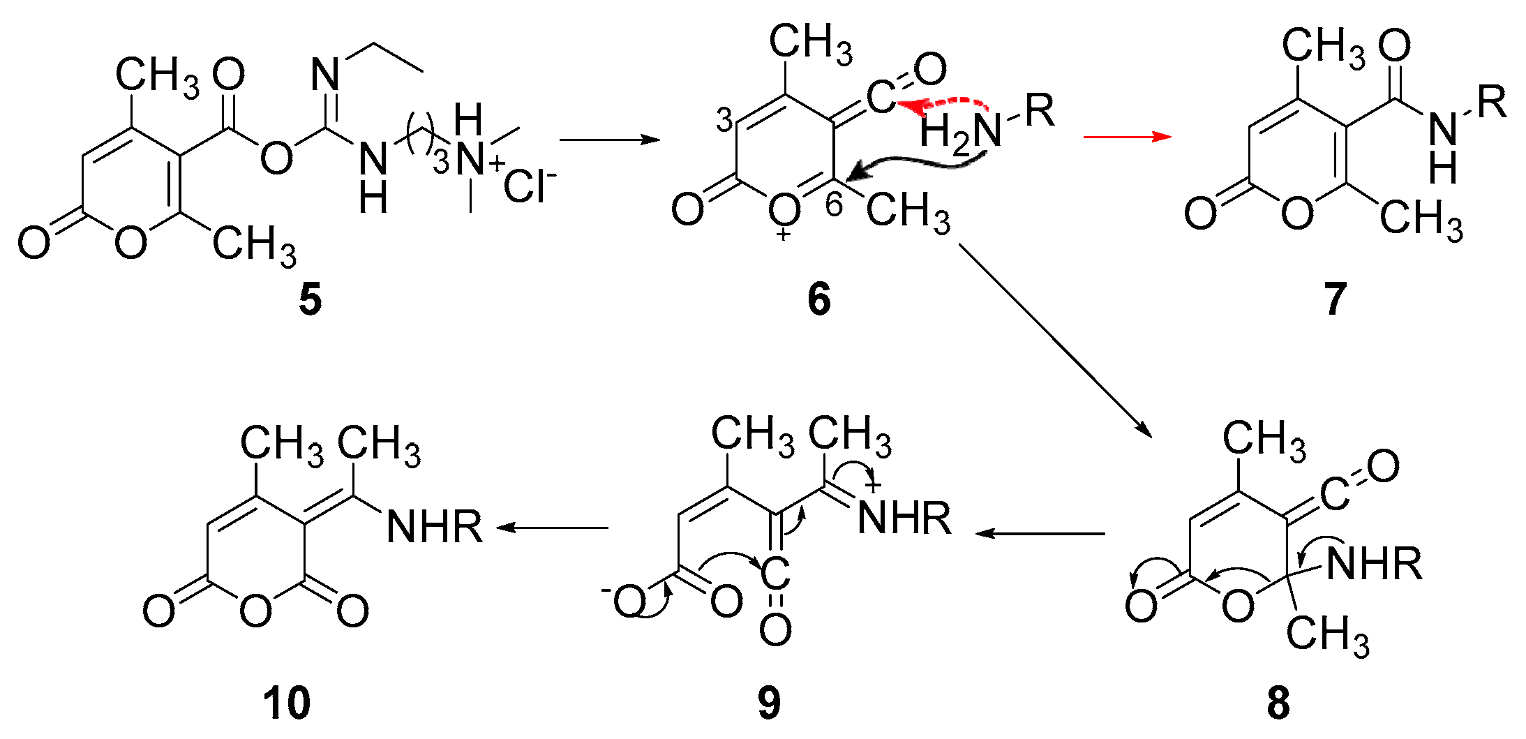
2. Results and Discussion
3. Experimental Procedures
3.1. General Information
3.2. Synthesis of Isodehydracetic Acid

3.3. General Procedure for Synthesis of Compounds 2, 3 and 4a–4w

4. Conclusions
Supplementary Materials
Author Contributions
Funding
Conflicts of Interest
Abbreviations
| DCC | N,N′-Dicyclohexylcarbodiimide |
| DMAP | 4-Dimethylaminopyridine |
| EDC | 1-(3-Dimethylaminopropyl)-3-ethylcarbodiimide hydrochloride |
| HOBT | Hydroxybenzotriazole |
| HATU | 2-(7-Azabenzotriazol-1-yl)-N,N,N’,N’-tetramethyluronium hexafluorophosphate |
| DIPEA | N,N-Diisopropylethylamine |
| DMF | N,N-Dimethylformamide |
| DCM | Dichloromethane |
| THF | Tetrahydrofuran |
Appendix A
References
- Sollenberger, P.Y.; Martin, R.B. Mechanism of Enamine Hydrolysis. J. Am. Chem. Soc. 1970, 92, 4261–4270. [Google Scholar] [CrossRef]
- Blau, K.; Burgemeister, I.; Grasnick, J.; Voerckel, V. Studies on the oxidation of enamines with molecular oxygen. III. Oxidation of some amino Styrenes. J. Für Prakt. Chem. 1991, 333, 455–466. [Google Scholar] [CrossRef]
- Tan, W.; Du, B.-X.; Li, X.; Zhu, X.; Shi, F.; Tu, S.-J. Catalytic Asymmetric Aza-ene reaction of 3-indolylmethanols with cyclic enaminones: Enantioselective approach to C3-functionalized indoles. J. Org. Chem. 2014, 79, 4635–4643. [Google Scholar] [CrossRef]
- Gayon, E.; Szymczyk, M.; Gérard, H.; Vrancken, E.; Campagne, J.-M. Stereoselective and catalytic access to β-enaminones: An entry to pyrimidines. J. Org. Chem. 2012, 77, 9205–9220. [Google Scholar] [CrossRef] [PubMed]
- Turunen, B.J.; Georg, G.I. Amino acid-derived enaminones: A study in ring formation providing valuable asymmetric synthons. J. Am. Chem. Soc. 2006, 128, 8702–8703. [Google Scholar] [CrossRef] [PubMed]
- Popov, S.A.; Gatilov, Y.V.; Rybalova, T.V.; Tkachev, A.V. Study of chiral β-enaminones prepared from pyrrolidine, cytisine, salsoline and 2-Amino-1-(4-nitrophenyl)propane-1,3-diol: Resolution of salsoline via Diastereomeric Modified Carane-Type β-Enaminones. Tetrahedron Asymmetry 2003, 14, 233–238. [Google Scholar] [CrossRef]
- Carson, J.R.; Carmosin, R.J.; Pitis, P.M.; Vaught, J.L.; Almond, H.R.; Stables, J.P.; Wolf, H.H.; Swinyard, E.A.; White, H.S. Aroyl(aminoacyl)pyrroles, a new class of anticonvulsant agents. J. Med. Chem. 1997, 40, 1578–1584. [Google Scholar] [CrossRef] [PubMed]
- Edafiogho, I.O.; Hinko, C.N.; Chang, H.; Moore, J.A.; Mulzac, D.; Nicholson, J.M.; Scott, K.R. Synthesis and anticonvulsant activity of enaminones. J. Med. Chem. 1992, 35, 2798–2805. [Google Scholar] [CrossRef] [PubMed]
- Scott, K.R.; Rankin, G.O.; Stables, J.P.; Alexander, M.S.; Edafiogho, I.O.; Farrar, V.A.; Kolen, K.R.; Moore, J.A.; Sims, L.D.; Tonnu, A.D. Synthesis and anticonvulsant activity of enaminones. 3. Investigations on 4’-, 3’-, and 2’-Substituted and polysubstituted anilino compounds, sodium channel binding studies, and toxicity evaluations1,2. J. Med. Chem. 1995, 38, 4033–4043. [Google Scholar] [CrossRef]
- Faghih, R.; Gopalakrishnan, M.; Briggs, C.A. Allosteric Modulators of the α7 nicotinic acetylcholine receptor. J. Med. Chem. 2008, 51, 701–712. [Google Scholar] [CrossRef]
- Hogenkamp, D.J.; Johnstone, T.B.C.; Huang, J.-C.; Li, W.-Y.; Tran, M.; Whittemore, E.R.; Bagnera, R.E.; Gee, K.W. Enaminone amides as novel orally active GABAA receptor modulators. J. Med. Chem. 2007, 50, 3369–3379. [Google Scholar] [CrossRef] [PubMed]
- Naringrekar, V.H.; Stella, V.J. Mechanism of Hydrolysis and structure–stability relationship of enaminones as potential prodrugs of model primary amines. J. Pharm. Sci. 1990, 79, 138–146. [Google Scholar] [CrossRef] [PubMed]
- Lue, P.; Greenhill, J.V. Enaminones in heterocyclic synthesis. In Advances in Heterocyclic Chemistry; Katritzky, A.R., Ed.; Academic Press, Inc.: San Diego, CA, USA, 1996; Volume 67, pp. 207–343. [Google Scholar]
- Kascheres, C.M. The chemistry of enaminones, diazocarbonyls and small rings: Our contribution. J. Brazil. Chem. Soc. 2003, 14, 945–969. [Google Scholar] [CrossRef]
- Huma, R.; Mahmud, T.; Idrees, N.; Saif, M.J.; Munir, R.; Akbar, N. Crystal structure and quantum chemical studies of a novel push–pull enaminone: 3-Chloro-4-((4-bromophenyl)amino)pent-3-en-2-one. J. Chem. Crystallogr. 2019. [Google Scholar] [CrossRef]
- Alnajjar, A.-A.; Abdelkhalik, M.M.; Al-Enezi, A.; Elnagdi, M.H. Enaminones as Building blocks in heterocyclic syntheses: Reinvestigating the product structures of enaminones with malononitrile. A Novel Route to 6-Substituted-3-Oxo-2,3-Dihydropyridazine-4-Carboxylic acids. Molecules 2009, 14, 68–77. [Google Scholar] [CrossRef]
- Niphakis, M.J.; Turunen, B.J.; Georg, G.I. Synthesis of 6- and 7-Membered cyclic enaminones: Scope and mechanism. J. Org. Chem. 2010, 75, 6793–6805. [Google Scholar] [CrossRef][Green Version]
- Chattopadhyay, A.K.; Hanessian, S. Cyclic enaminones. Part II: Applications as versatile intermediates in alkaloid synthesis. Chem. Commun. 2015, 51, 16450–16467. [Google Scholar] [CrossRef]
- Chattopadhyay, A.K.; Hanessian, S. Cyclic enaminones. Part I: Stereocontrolled synthesis using diastereoselective and catalytic asymmetric methods. Chem. Commun. 2015, 51, 16437–16449. [Google Scholar] [CrossRef]
- Yi, S.; Varun, B.V.; Choi, Y.; Park, S.B. A brief overview of two major strategies in diversity-oriented synthesis: Build/couple/pair and ring-distortion. Front. Chem. 2018, 6, 507. [Google Scholar] [CrossRef]
- O’ Connor, C.J.; Beckmann, H.S.G.; Spring, D.R. Diversity-oriented synthesis: Producing chemical tools for dissecting biology. Chem. Soc. Rev. 2012, 41, 4444–4456. [Google Scholar] [CrossRef]
- Pavlinov, I.; Gerlach, E.M.; Aldrich, L.N. Next generation diversity-oriented synthesis: A paradigm shift from chemical diversity to biological diversity. Org. Biomol. Chem. 2019, 17, 1608–1623. [Google Scholar] [CrossRef] [PubMed]
- Cho, B.R.; Jeong, H.C.; Seung, Y.J.; Pyun, S.Y. Ketene-forming eliminations from aryl phenylacetates promoted by R2NH/R2NH2+ in Aqueous MeCN. Mechanistic borderline between E2 and E1cb. J. Org. Chem. 2002, 67, 5232–5238. [Google Scholar] [CrossRef] [PubMed]
- Nahmany, M.; Melman, A. Facile Acylation of sterically hindered alcohols through ketene intermediates. Org. Lett. 2001, 3, 3733–3735. [Google Scholar] [CrossRef] [PubMed]
- van der Steen, F.H.; van Koten, G. Syntheses of 3-amino-2-azetidinones: A literature survey. Tetrahedron 1991, 47, 7503–7524. [Google Scholar] [CrossRef]
- Deketelaere, S.; Van Nguyen, T.; Stevens, C.V.; D’Hooghe, M. Synthetic approaches toward monocyclic 3-Amino-β-lactams. ChemistryOpen 2017, 6, 301–319. [Google Scholar] [CrossRef]
- Smith, N.R.; Wiley, R.H. Isodehydroacetic acid and ethyl isodehydroacetate. Organ. Synth. 2003, 76. [Google Scholar] [CrossRef]
Sample Availability: Samples of the compounds are available from the authors. |







| Entry | Condition | Yield of 1 (%) a |
|---|---|---|
| 1 | DCC (1.3 equiv.)/DMAP (0.1 equiv.), dry DCM, r.t., 6 h | 15 |
| 2 | EDC (1.3 equiv.)/HOBT (1.3 equiv.), DCM, r.t., 6 h | 61 |
| 3 | HATU (1.3 equiv.)/DIPEA (3.0 equiv.), dry DCM, r.t., 6 h | 36 |
| 4 | EDC (1.3 equiv.), DCM, r.t., 2 h | 66 |
| 5 | EDC (1.3 equiv.), DCM, r.t., 30 min | 62 |
| 6 | EDC (3 equiv.), DCM, r.t., 30 min | 65 |
| 7 | EDC (1.3 equiv.), DMF, r.t., 30 min | 34 |
| 8 | EDC (3 equiv.), DCM, reflux, 30 min | n.d. b |
| 9 | Et3N (or DIPEA, DBU), 0 ℃ to reflux | n.d. c |
| 10 | i) SOCl2; ii) Et3N, THF, 0 ℃ to r.t. | n.d. b |
© 2020 by the authors. Licensee MDPI, Basel, Switzerland. This article is an open access article distributed under the terms and conditions of the Creative Commons Attribution (CC BY) license (http://creativecommons.org/licenses/by/4.0/).
Share and Cite
Wang, D.; Shi, H. An Unexpected Reaction of Isodehydracetic Acid with Amines in the Presence of 1-Ethyl-3-(3-dimethylaminopropyl) Carbodiimide Hydrochloride Yields a New Type of β-Enaminones. Molecules 2020, 25, 2131. https://doi.org/10.3390/molecules25092131
Wang D, Shi H. An Unexpected Reaction of Isodehydracetic Acid with Amines in the Presence of 1-Ethyl-3-(3-dimethylaminopropyl) Carbodiimide Hydrochloride Yields a New Type of β-Enaminones. Molecules. 2020; 25(9):2131. https://doi.org/10.3390/molecules25092131
Chicago/Turabian StyleWang, Delong, and Hui Shi. 2020. "An Unexpected Reaction of Isodehydracetic Acid with Amines in the Presence of 1-Ethyl-3-(3-dimethylaminopropyl) Carbodiimide Hydrochloride Yields a New Type of β-Enaminones" Molecules 25, no. 9: 2131. https://doi.org/10.3390/molecules25092131
APA StyleWang, D., & Shi, H. (2020). An Unexpected Reaction of Isodehydracetic Acid with Amines in the Presence of 1-Ethyl-3-(3-dimethylaminopropyl) Carbodiimide Hydrochloride Yields a New Type of β-Enaminones. Molecules, 25(9), 2131. https://doi.org/10.3390/molecules25092131

