Synthesis and Biological Evaluation of Novel (thio)semicarbazone-Based Benzimidazoles as Antiviral Agents against Human Respiratory Viruses
Abstract
1. Introduction
2. Results and Discussion
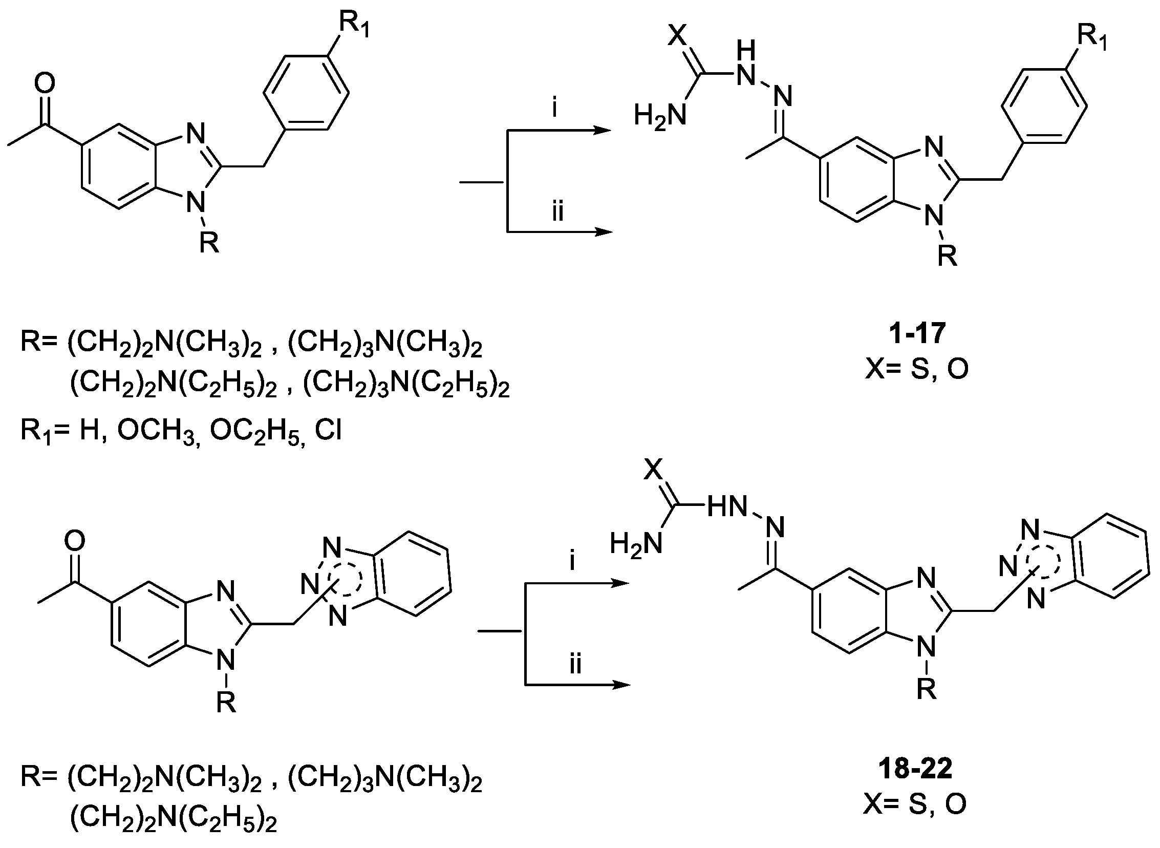
2.1. Chemistry
2.2. Biological Evaluation SAR
2.3. Molecular Modelling Studies
3. Materials and Methods
3.1. Chemistry
3.1.1. General Information
3.1.2. General Procedure for the Preparation of Thiosemicarbazones
3.1.3. General Procedure for the Preparation of Semicarbazones
3.1.4. General Procedure for the Preparation of Hydrazones
3.2. Biology
3.3. Molecular Modelling Studies
3.3.1. Docking Calculations
3.3.2. In Silico Evaluation of Pharmacokinetic Properties
4. Conclusions
Supplementary Materials
Author Contributions
Funding
Conflicts of Interest
References and Note
- Tahlan, S.; Kumar, S.; Narasimhan, B. Pharmacological significance of heterocyclic 1H-benzimidazole scaffolds: A review. BMC Chem. 2019, 13, 101. [Google Scholar] [CrossRef] [PubMed]
- Ajani, O.O.; Aderohunmu, D.V.; Ikpo, C.O.; Adedapo, A.E.; Olanrewaju, I.O. Functionalized Benzimidazole Scaffolds: Privileged Heterocycle for Drug Design in Therapeutic Medicine. Arch. Pharm. Chem. Life Sci. 2016, 349, 475–506. [Google Scholar] [CrossRef] [PubMed]
- Akhtar, W.; Khan, M.F.; Verma, G.; Shaquiquzzaman, M.; Rizvi, M.A.; Mehdi, S.H.; Akhter, M.; Alam, M.M. Therapeutic evolution of benzimidazole derivatives in the last quinquennial period. Eur. J. Med. Chem. 2017, 126, 705–753. [Google Scholar] [CrossRef] [PubMed]
- Keri, R.S.; Hiremathad, A.; Budagumpi, S.; Nagaraja, B.M. Comprehensive review in current developments of benzimidazole-based medicinal chemistry. Chem. Biol. Drug Des. 2015, 86, 19–65. [Google Scholar] [CrossRef] [PubMed]
- Kharitonova, M.I.; Konstantinova, I.D.; Miroshnikov, A.I. Benzimidazole nucleosides: Antiviral and antitumour activities, methods of synthesis. Russ. Chem. Rev. 2018, 87, 1111–1138. [Google Scholar] [CrossRef]
- Heylen, E.; Neyts, J.; Jochmans, D. Drug candidates and model systems in respiratory syncytial virus antiviral drug discovery. Biochem. Pharmacol. 2017, 127, 1–12. [Google Scholar] [CrossRef]
- Behzadi, M.A.; Leyva-Grado, V.H. Overview of current therapeutics and novel candidates against influenza, respiratory syncytial virus, and middle east respiratory syndrome coronavirus infections. Front. Microbiol. 2019, 10, 1327. [Google Scholar] [CrossRef]
- Vausselin, T.; Séron, K.; Lavie, M.; Mesalam, A.A.; Lemasson, M.; Belouzard, S.; Fénéant, L.; Danneels, A.; Rouillé, Y.; Cocquerel, L.; et al. Identification of a new benzimidazole derivative as an antiviral against Hepatitis C virus. J. Virol. 2016, 90, 8422–8434. [Google Scholar]
- Scarim, C.B.; Jornada, D.H.; Machado, M.G.M.; Ferreira, C.M.R.; Dos Santos, J.L.; Chung, M.C. Thiazole, thio and semicarbazone derivatives against tropical infective diseases: Chagas disease, human African trypanosomiasis (HAT), leishmaniasis, and malaria. Eur. J. Med. Chem. 2019, 162, 378–395. [Google Scholar] [CrossRef]
- Beteck, R.M.; Seldon, R.; Jordaan, A.; Warner, D.F.; Hoppe, H.C.; Laming, D.; Khanye, S.D. New quinolone-based thiosemicarbazones showing activity against Plasmodium falciparum and Mycobacterium tuberculosis. Molecules 2019, 24, E1740. [Google Scholar] [CrossRef]
- Kune, G.A. To-day’s drugs: Methisazone. Br. Med. J. 1964, 2, 621. [Google Scholar] [PubMed]
- Rogolino, D.; Bacchi, A.; De Luca, L.; Rispoli, G.; Sechi, M.; Stevaert, A.; Naesens, L.; Carcelli, M. Investigation of the salicylaldehyde thiosemicarbazone scaffold for inhibition of influenza virus PA endonuclease. J. Biol. Inorg. Chem. 2015, 20, 1109–1121. [Google Scholar] [CrossRef] [PubMed]
- Vitale, G.; Corona, P.; Loriga, M.; Carta, A.; Paglietti, G.; Giliberti, G.; Sanna, G.; Farci, P.; Marongiu, M.E.; La Colla, P. 5-Acetyl-2-arylbenzimidazoles as antiviral agents. Part 4. Eur. J. Med. Chem. 2012, 53, 83–97. [Google Scholar] [CrossRef] [PubMed]
- Soraires Santacruz, M.C.; Fabiani, M.; Castro, E.F.; Cavallaro, L.V.; Finkielsztein, L.M. 2Synthesis, antiviral evaluation and molecular docking studies of N4-aryl substituted/unsubstituted thiosemicarbazones derived from 1-indanones as potent anti-bovine viral diarrhea virus agents. Bioorg. Med. Chem. 2017, 25, 4055–4063. [Google Scholar] [CrossRef] [PubMed]
- Tonelli, M.; Tasso, B.; Mina, L.; Paglietti, G.; Boido, V.; Sparatore, F. Primary anti-proliferative activity evaluation of 1-(quinolizidin-1’-yl)methyl- and 1-(ω-tert-amino)alkyl-substituted 2-phenyl-, 2-benzyl- and 2-[(benzotriazol-1/2-yl)methyl]benzimidazoles on human cancer cell lines. Mol. Divers. 2013, 17, 409–419. [Google Scholar] [CrossRef]
- Tonelli, M.; Cichero, E.; Mokhtar, A.; Rabbito, A.; Tasso, B.; Fossa, P.; Ligresti, A. Exploring the effectiveness of novel benzimidazoles as CB2 ligands: Synthesis, biological evaluation, molecular docking studies and ADMET prediction. Med. Chem. Commun. 2018, 9, 2045–2054. [Google Scholar] [CrossRef]
- Tonelli, M.; Simone, M.; Tasso, B.; Novelli, F.; Boido, V.; Sparatore, F.; Paglietti, G.; Pricl, S.; Giliberti, G.; Blois, S.; et al. Antiviral activity of Benzimidazole Derivatives. II. Antiviral activity of 2-Phenylbenzimidazole derivatives. Bioorg. Med. Chem. 2010, 18, 2937–2953. [Google Scholar] [CrossRef]
- Tonelli, M.; Paglietti, P.; Boido, V.; Sparatore, F.; Marongiu, F.; Marongiu, E.; La Colla, P.; Loddo, R. Antiviral activity of benzimidazole derivatives. I. Antiviral activity of 1-substituted-2-[(Benzotriazol-1/2-yl)methyl]benzimidazoles. Chem. Biodivers. 2008, 5, 2386–2401. [Google Scholar] [CrossRef]
- Cichero, E.; Tonelli, M.; Novelli, F.; Tasso, B.; Delogu, I.; Loddo, R.; Bruno, O.; Fossa, P. Benzimidazole-based derivatives as privileged scaffold developed for the treatment of the RSV infection: A computational study exploring the potency and cytotoxicity profiles. J. Enzyme Inhib. Med. Chem. 2017, 32, 375–402. [Google Scholar] [CrossRef][Green Version]
- Paglietti, G.; Sparatore, F. Dialchilamminoalchilbenzimidazoli d’interesse farmacologico. III. Farmaco Ed. Sci. 1972, 27, 333–342. [Google Scholar]
- Paglietti, G.; Boido, V.; Sparatore, F. Dialchilamminoalchilbenzimidazoli d’interesse farmacologico. IV. Farmaco Ed. Sci. 1975, 30, 505–511. [Google Scholar]
- Ali, A.A.; Nimir, H.; Aktas, C.; Huch, V.; Rauch, U.; Schäfer, K.-H.; Veith, M. Organoplatinum(II) complexes with 2-acetylthiophene thiosemicarbazone: Synthesis, characterization, crystal Structures, and in vitro antitumor activity. Organometallics 2012, 31, 2256–2262. [Google Scholar] [CrossRef]
- Venkatachalam, T.K.; Pierens, G.K.; Reutens, D.C. Synthesis, NMR structural characterization and molecular modeling of substituted thiosemicarbazones and semicarbazones using DFT calculations to prove the syn/anti isomer formation. Magn. Reson. Chem. 2014, 52, 98–105. [Google Scholar] [CrossRef] [PubMed]
- Vanderlinden, E.; Göktas, F.; Cesur, Z.; Froeyen, M.; Reed, M.L.; Russell, C.J.; Cesur, N.; Naesens, L. Novel inhibitors of influenza virus fusion: Structure-activity relationship and interaction with the viral hemagglutinin. J. Virol. 2010, 84, 4277–4288. [Google Scholar] [CrossRef] [PubMed]
- Tonelli, M.; Naesens, L.; Gazzarrini, S.; Santucci, M.; Cichero, E.; Tasso, B.; Moroni, A.; Costi, M.P.; Loddo, R. Host dihydrofolate reductase (DHFR)-directed cycloguanil analogues endowed with activity against influenza virus and respiratory syncytial virus. Eur. J. Med. Chem. 2017, 135, 467–478. [Google Scholar] [CrossRef] [PubMed]
- Francesconi, V.; Giovannini, L.; Santucci, M.; Cichero, E.; Costi, M.P.; Naesens, L.; Giordanetto, F.; Tonelli, M. Synthesis, biological evaluation and molecular modeling of novel azaspiro dihydrotriazines as influenza virus inhibitors targeting the host factor dihydrofolate reductase (DHFR). Eur. J. Med. Chem. 2018, 155, 229–243. [Google Scholar] [CrossRef]
- Apaydın, Ç.B.; Cesur, N.; Stevaert, A.; Naesens, L.; Cesur, Z. Synthesis and anti-coronavirus activity of a series of 1-thia-4-azaspiro[4.5]decan-3-one derivatives. Arch. Pharm (Weinheim) 2019, 352, e1800330. [Google Scholar] [CrossRef]
- Cianci, C.; Yu, K.L.; Combrink, K.; Sin, N.; Pearce, B.; Wang, A.; Civiello, R.; Voss, S.; Luo, G.; Kadow, K.; et al. Orally active fusion inhibitor of respiratory syncytial virus. Antimicrob. Agents Chemother. 2004, 48, 413–422. [Google Scholar] [CrossRef]
- Meanwell, N.A.; Krystal, M. Respiratory syncytial virus—The discovery and optimization of orally bioavailable fusion inhibitors. Drugs Fut. 2007, 32, 441–455. [Google Scholar] [CrossRef]
- Beigel, J.H.; Nam, H.H.; Adams, P.L.; Krafft, A.; Ince, W.L.; El-Kamary, S.S.; Sims, A.C. Advances in respiratory virus therapeutics - A meeting report from the 6th isirv Antiviral Group conference. Antiviral Res. 2019, 167, 45–67. [Google Scholar] [CrossRef]
- Battles, M.B.; Langedijk, J.P.; Furmanova-Hollenstein, P.; Chaiwatpongsakorn, S.; Costello, H.M.; Kwanten, L.; Vranckx, L.; Vink, P.; Jaensch, S.; Jonckers, T.H.; et al. Molecular mechanism of respiratory syncytial virus fusion inhibitors. Nat. Chem. Biol. 2016, 12, 87–93. [Google Scholar] [CrossRef] [PubMed]
- Roymans, D.; Alnajjar, S.S.; Battles, M.B.; Sitthicharoenchai, P.; Furmanova-Hollenstein, P.; Rigaux, P.; Berg, J.V.D.; Kwanten, L.; Ginderen, M.V.; Verheyen, N.; et al. Therapeutic efficacy of a respiratory syncytial virus fusion inhibitor. Nat. Commun. 2017, 8, 167. [Google Scholar] [CrossRef] [PubMed]
- Waterbeemd, H.; Gifford, E. ADMET in silico modelling: Towards prediction paradise? Nat. Rev. Drug Discov. 2003, 2, 192–204. [Google Scholar] [CrossRef] [PubMed]
- MOE: Gasteiger-Huckel method. Chemical Computing Group Inc. Montreal. H3A 2R7 Canada. Website: https://www.chemcomp.com/.
- Böhm, H.J. The computer program LUDI: A new method for the de novo design of enzyme inhibitors. J. Comput. Aided Mol. Des. 1992, 6, 61–78. [Google Scholar] [CrossRef] [PubMed]
- Böhm, H.J. The development of a simple empirical scoring function to estimate the binding constant for a protein–ligand complex of known three-dimensional structure. J. Comput. Aided Mol. Des. 1994, 8, 243–256. [Google Scholar] [CrossRef]
- Rarey, M.; Kramer, B.; Lengauer, T.; Klebe, G. A fast flexible docking method using an incremental construction algorithm. J. Mol. Biol. 1996, 261, 470–489. [Google Scholar] [CrossRef]
- Bichmann, L.; Wang, Y.T.; Fischer, W.B. Docking assay of small molecule antivirals to p7 of HCV. Comput. Biol. Chem 2014, 53, 308–317. [Google Scholar] [CrossRef]
- Reulecke, I.; Lange, G.; Albrecht, J.; Klein, R.; Rarey, M. Towards an integrated description of hydrogen bonding and dehydration: Decreasing false positives in virtual screening with the HYDE scoring function. ChemMedChem. 2008, 3, 885–897. [Google Scholar] [CrossRef]
- Schneider, N.; Hindle, S.; Lange, G.; Klein, R.; Albrecht, J.; Briem, H.; Beyer, K.; Claußen, H.; Gastreich, M.; Lemmen, C.; et al. Substantial improvements in large-scale redocking and screening using the novel HYDE scoring function. J. Comput. Aided Mol. Des. 2012, 26, 701–723. [Google Scholar] [CrossRef]
- Godha, K.; Hakoshima, T. A molecular mechanism of P-loop pliability of Rho-kinase investigated by molecular dynamic simulation. J. Comput. Aided Mol. Des. 2008, 22, 789–797. [Google Scholar]
- Kolossváry, I.; Keseru, G.M. Hessian-Free Low-Mode Conformational Search for Large-Scale Protein Loop Optimization: Application to c-jun N-Terminal Kinase JNK3. J. Comput. Chem. 2001, 22, 21–30. [Google Scholar]
- Labute, P. LowModeMD-Implicit Low-Mode Velocity Filtering Applied to Conformational Search of Macrocycles and Protein Loops. J. Chem. Inf. Model. 2010, 50, 792–800. [Google Scholar] [CrossRef] [PubMed]
- Fossa, P.; Cichero, E. In silico evaluation of human small heat shock protein HSP27: Homology modeling, mutation analyses and docking studies. Bioorg. Med. Chem. 2015, 23, 3215–3220. [Google Scholar] [CrossRef] [PubMed]
- Tonelli, M.; Espinoza, S.; Gainetdinov, R.R.; Cichero, E. Novel biguanide-based derivatives scouted as TAAR1 agonists: Synthesis, biological evaluation, ADME prediction and molecular docking studies. Eur. J. Med. Chem. 2017, 127, 781–792. [Google Scholar] [CrossRef]
- Deiana, V.; Gómez-Cañas, M.; Pazos, M.R.; Fernández-Ruiz, J.; Asproni, B.; Cichero, E.; Fossa, P.; Muñoz, E.; Deligia, F.; Murineddu, G.; et al. Tricyclic pyrazoles. Part 8. Synthesis, biological evaluation and modelling of tricyclic pyrazole carboxamides as potential CB2 receptor ligands with antagonist/inverse agonist properties. Eur. J. Med. Chem. 2016, 112, 66–80. [Google Scholar] [CrossRef]
- World Health Organization. Battle against Respiratory Viruses (BRaVe) initiative. Available online: http:/www.who.int/influenza/patient_care/clinical/brave/en/ (accessed on 14 June 2018).
- World Health Organization. Research needs for the Battle against Respiratory Viruses (BRaVe). Available online: https://www.who.int/influenza/patient_care/clinical/BRaVe_Research_Agenda_2013.pdf (accessed on 14 June 2018).
- World Health Organization. Novel Coronavirus (2019-nCoV) situation reports: Situation report—15. Available online: https://www.who.int/docs/default-source/coronaviruse/situation-reports/20200204-sitrep-15-ncov.pdf?sfvrsn=88fe8ad6_4 (accessed on 4 February 2020).
- De Clercq, E. Chemotherapy of respiratory syncytial virus infections: The final breakthrough. Int. J. Antimicrob. Agents 2015, 45, 234–237. [Google Scholar] [CrossRef]
Sample Availability: Samples of the compounds are available from the authors. |








| Compound | Antiviral EC50 a (µM) | |||
|---|---|---|---|---|
| RSV | Influenza A/H1N1 | Influenza A/H3N2 | Coronavirus 229E | |
| 6 | >100 | 25 | 81 | 38 |
| 8 | >100 | 38 | >100 | 56 |
| 16 | >100 | 47 | >100 | 39 |
| 17 | >100 | 47 | >100 | 41 |
| 22b | 7.0 | 41 | >100 | >100 |
| 24 | >100 | >100 | >100 | 43 |
| 25 | 2.4 | >100 | >100 | >100 |
| Zanamivir | - | 0.6 | 31 | - |
| Ribavirin | 6.7 | 7.4 | 7.5 | - |
| DS-10,000 c | 0.01 | - | - | - |
| UDA c | - | - | - | 2.2 |
| Compound | CC50 a (µM) | |||
|---|---|---|---|---|
| Hep-2 | HEL | Vero | MDCK | |
| 6 | >100 | >100 | >100 | >100 |
| 8 | >100 | >100 | 44 | >100 |
| 16 | >100 | >100 | >100 | >100 |
| 17 | 48 | >100 | 43 | >100 |
| 22 | >100 | 100 | >100 | >100 |
| 24 | >100 | >100 | 51 | 35 |
| 25 | >100 | >100 | >100 | 33 |
| Zanamivir | - | - | - | >100 |
| Ribavirin | >250 | - | >250 | >100 |
| DS-10,000 b | >100 | - | >100 | - |
| UDA b | - | >100 | - | - |
| Protein-Ligand Complex (LeadIT) | Binding Affinity Energy ΔG (kJ/mol) | Protein-Ligand Complex (LeadIT) | Binding Affinity Energy ΔG (kJ/mol) |
|---|---|---|---|
| 5KWW- JNJ-53718678 | −25.0 | 5KWW-22 | −19.0 |
| 5KWW-4 | −3.0 | 5KWW-24 | −1.0 |
| 5KWW-19 | −5.0 | 5KWW-25 | −20.0 |
| 5KWW-21 | −13.0 |
| Comp. | N. H-Bond acceptor | N. H-Bond donor | N. Rotable Bonds | cLogP | HIA (%) a | Vd (l/kg) b | %PPB c | d LogKaHSA | %F (oral) |
|---|---|---|---|---|---|---|---|---|---|
| JNJ-53718678 | 7 | 0 | 8 | 3.36 | 100 | 2.4 | 99.0 | 5.42 | 21.0 |
| 22 | 9 | 3 | 9 | 2.81 | 100 | 4.1 | 93.0 | 3.81 | 97.0 |
| 25 | 8 | 2 | 8 | 3.53 | 100 | 7.0 | 93.0 | 4.34 | 99.1 |
© 2020 by the authors. Licensee MDPI, Basel, Switzerland. This article is an open access article distributed under the terms and conditions of the Creative Commons Attribution (CC BY) license (http://creativecommons.org/licenses/by/4.0/).
Share and Cite
Francesconi, V.; Cichero, E.; Schenone, S.; Naesens, L.; Tonelli, M. Synthesis and Biological Evaluation of Novel (thio)semicarbazone-Based Benzimidazoles as Antiviral Agents against Human Respiratory Viruses. Molecules 2020, 25, 1487. https://doi.org/10.3390/molecules25071487
Francesconi V, Cichero E, Schenone S, Naesens L, Tonelli M. Synthesis and Biological Evaluation of Novel (thio)semicarbazone-Based Benzimidazoles as Antiviral Agents against Human Respiratory Viruses. Molecules. 2020; 25(7):1487. https://doi.org/10.3390/molecules25071487
Chicago/Turabian StyleFrancesconi, Valeria, Elena Cichero, Silvia Schenone, Lieve Naesens, and Michele Tonelli. 2020. "Synthesis and Biological Evaluation of Novel (thio)semicarbazone-Based Benzimidazoles as Antiviral Agents against Human Respiratory Viruses" Molecules 25, no. 7: 1487. https://doi.org/10.3390/molecules25071487
APA StyleFrancesconi, V., Cichero, E., Schenone, S., Naesens, L., & Tonelli, M. (2020). Synthesis and Biological Evaluation of Novel (thio)semicarbazone-Based Benzimidazoles as Antiviral Agents against Human Respiratory Viruses. Molecules, 25(7), 1487. https://doi.org/10.3390/molecules25071487

