Cinnamic Derivatives as Antitubercular Agents: Characterization by Quantitative Structure–Activity Relationship Studies
Abstract
1. Introduction
2. Results and Discussion
3. Materials and Methods
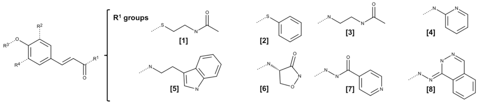
3.1. Data Set Preparation and Descriptors Calculation
3.2. Outlier Search
3.3. Internal Validation
3.4. External Validation
Supplementary Materials
Author Contributions
Funding
Acknowledgments
Conflicts of Interest
References
- World Health Organization. Global Tuberculosis Report. 2019. Available online: https://www.who.Int/tb/global-report-2019 (accessed on 3 December 2019).
- Brigden, G.; Hewison, C.; Varaine, F. New developments in the treatment of drug-resistant tuberculosis: Clinical utility of bedaquiline and delamanid. Infect. Drug. Resist. 2015, 8, 367–378. [Google Scholar] [CrossRef] [PubMed]
- Gunther, G. Multidrug-resistant and extensively drug-resistant tuberculosis: A review of current concepts and future challenges. Clin. Med. 2014, 14, 279–285. [Google Scholar] [CrossRef] [PubMed]
- Pawlowski, A.; Jansson, M.; Skold, M.; Rottenberg, M.E.; Kallenius, G. Tuberculosis and hiv co-infection. PLoS Pathog. 2012, 8, e1002464. [Google Scholar] [CrossRef] [PubMed]
- Zumla, A.; Chakaya, J.; Centis, R.; D’Ambrosio, L.; Mwaba, P.; Bates, M.; Kapata, N.; Nyirenda, T.; Chanda, D.; Mfinanga, S.; et al. Tuberculosis treatment and management--an update on treatment regimens, trials, new drugs, and adjunct therapies. Lancet Respir. Med. 2015, 3, 220–234. [Google Scholar] [CrossRef]
- Maitra, A.; Bates, S.; Kolvekar, T.; Devarajan, P.V.; Guzman, J.D.; Bhakta, S. Repurposing-a ray of hope in tackling extensively drug resistance in tuberculosis. Int. J. Infect. Dis. 2015, 32, 50–55. [Google Scholar] [CrossRef]
- Pranger, A.D.; van der Werf, T.S.; Kosterink, J.G.W.; Alffenaar, J.W.C. The role of fluoroquinolones in the treatment of tuberculosis in 2019. Drugs 2019, 79, 161–171. [Google Scholar] [CrossRef]
- De, P.; Bedos-Belval, F.; Vanucci-Bacque, C.; Baltas, M. Cinnamic acid derivatives in tuberculosis, malaria and cardiovascular diseases - a review. Curr. Org. Chem. 2012, 16, 747–768. [Google Scholar]
- Asif, M.; Mohd, I. Synthetic methods and pharmacological potential of some cinnamic acid analogues particularly against convulsions. Prog. Chem. Biochem. Res. 2019, 2, 192–210. [Google Scholar]
- Bairwa, R.; Kakwani, M.; Tawari, N.R.; Lalchandani, J.; Ray, M.K.; Rajan, M.G.; Degani, M.S. Novel molecular hybrids of cinnamic acids and guanylhydrazones as potential antitubercular agents. Bioorg. Med. Chem. Lett. 2010, 20, 1623–1625. [Google Scholar] [CrossRef]
- De, P.; Koumba Yoya, G.; Constant, P.; Bedos-Belval, F.; Duran, H.; Saffon, N.; Daffe, M.; Baltas, M. Design, synthesis, and biological evaluation of new cinnamic derivatives as antituberculosis agents. J. Med. Chem. 2011, 54, 1449–1461. [Google Scholar] [CrossRef]
- Eedara, B.B.; Tucker, I.G.; Zujovic, Z.D.; Rades, T.; Price, J.R.; Das, S.C. Crystalline adduct of moxifloxacin with trans-cinnamic acid to reduce the aqueous solubility and dissolution rate for improved residence time in the lungs. Eur. J. Pharm. Sci. 2019. [Google Scholar] [CrossRef] [PubMed]
- Guzman, J.D. Natural cinnamic acids, synthetic derivatives and hybrids with antimicrobial activity. Molecules 2014, 19, 19292–19349. [Google Scholar] [CrossRef] [PubMed]
- Kakwani, M.D.; Suryavanshi, P.; Ray, M.; Rajan, M.G.; Majee, S.; Samad, A.; Devarajan, P.; Degani, M.S. Design, synthesis and antimycobacterial activity of cinnamide derivatives: A molecular hybridization approach. Bioorg. Med. Chem. Lett. 2011, 21, 1997–1999. [Google Scholar] [CrossRef] [PubMed]
- Liu, Q.; Liu, Z.; Sun, C.; Shao, M.; Ma, J.; Wei, X.; Zhang, T.; Li, W.; Ju, J. Discovery and biosynthesis of atrovimycin, an antitubercular and antifungal cyclodepsipeptide featuring vicinal-dihydroxylated cinnamic acyl chain. Org. Lett. 2019, 21, 2634–2638. [Google Scholar] [CrossRef] [PubMed]
- Yoya, G.K.; Bedos-Belval, F.; Constant, P.; Duran, H.; Daffe, M.; Baltas, M. Synthesis and evaluation of a novel series of pseudo-cinnamic derivatives as antituberculosis agents. Bioorg. Med. Chem. Lett. 2009, 19, 341–343. [Google Scholar] [CrossRef]
- Chung, H.S.; Shin, J.C. Characterization of antioxidant alkaloids and phenolic acids from anthocyanin-pigmented rice (oryza sativa cv. Heugjinjubyeo). Food Chem. 2007, 104, 1670–1677. [Google Scholar] [CrossRef]
- De, P.; Baltas, M.; Bedos-Belval, F. Cinnamic acid derivatives as anticancer agents-a review. Curr. Med. Chem. 2011, 18, 1672–1703. [Google Scholar] [CrossRef]
- Teixeira, C.; Vale, N.; Perez, B.; Gomes, A.; Gomes, J.R.; Gomes, P. “Recycling” classical drugs for malaria. Chem. Rev. 2014, 114, 11164–11220. [Google Scholar] [CrossRef]
- Kovalishyn, V.; Aires-de-Sousa, J.; Ventura, C.; Elvas Leitão, R.; Martins, F. Qsar modeling of antitubercular activity of diverse organic compounds. Chemom. Intell. Lab. Syst. 2011, 107, 69–74. [Google Scholar] [CrossRef]
- Martins, F.; Santos, S.; Ventura, C.; Elvas-Leitao, R.; Santos, L.; Vitorino, S.; Reis, M.; Miranda, V.; Correia, H.F.; Aires-de-Sousa, J.; et al. Design, synthesis and biological evaluation of novel isoniazid derivatives with potent antitubercular activity. Eur. J. Med. Chem. 2014, 81, 119–138. [Google Scholar] [CrossRef]
- Martins, F.; Ventura, C.; Santos, S.; Viveiros, M. Qsar based design of new antitubercular compounds: Improved isoniazid derivatives against multidrug-resistant tb. Curr. Pharm. Des. 2014, 20, 4427–4454. [Google Scholar] [CrossRef] [PubMed]
- Ventura, C.; Latino, D.A.; Martins, F. Comparison of multiple linear regressions and neural networks based qsar models for the design of new antitubercular compounds. Eur. J. Med. Chem. 2013, 70, 831–845. [Google Scholar] [CrossRef] [PubMed]
- Dimova, D.; Stumpfe, D.; Bajorath, J. Method for the evaluation of structure-activity relationship information associated with coordinated activity cliffs. J. Med. Chem. 2014, 57, 6553–6563. [Google Scholar] [CrossRef] [PubMed]
- Maggiora, G.M. On outliers and activity cliffs--why qsar often disappoints. J. Chem. Inf. Model. 2006, 46, 1535. [Google Scholar] [CrossRef] [PubMed]
- Nikolova, N.; Jaworska, J. Approaches to measure chemical similarity – a review. QSAR Comb. Sci. 2003, 22, 1006–1026. [Google Scholar] [CrossRef]
- Hansch, C.; Fujita, T. P-σ-π analysis. A method for the correlation of biological activity and chemical structure. J. Am. Chem. Soc. 1964, 86, 1616–1626. [Google Scholar] [CrossRef]
- Butkiewicz, M.; Lowe, E.W., Jr.; Mueller, R.; Mendenhall, J.L.; Teixeira, P.L.; Weaver, C.D.; Meiler, J. Benchmarking ligand-based virtual high-throughput screening with the pubchem database. Molecules 2013, 18, 735–756. [Google Scholar] [CrossRef]
- Cherkasov, A.; Muratov, E.N.; Fourches, D.; Varnek, A.; Baskin, II; Cronin, M.; Dearden, J.; Gramatica, P.; Martin, Y.C.; Todeschini, R.; et al. Qsar modeling: Where have you been? Where are you going to? J. Med. Chem. 2014, 57, 4977–5010. [Google Scholar] [CrossRef]
- Ekins, S.; Freundlich, J.S.; Reynolds, R.C. Are bigger data sets better for machine learning? Fusing single-point and dual-event dose response data for mycobacterium tuberculosis. J. Chem. Inf. Model. 2014, 54, 2157–2165. [Google Scholar] [CrossRef]
- van de Waterbeemd, H.; Rose, S. Chapter 23 - quantitative approaches to structure–activity relationships a2 - wermuth, camille georges. In The Practice of Medicinal Chemistry, 3rd ed.; Academic Press: New York, NY, USA, 2008; pp. 491–513. [Google Scholar]
- Bento, A.P.; Gaulton, A.; Hersey, A.; Bellis, L.J.; Chambers, J.; Davies, M.; Kruger, F.A.; Light, Y.; Mak, L.; McGlinchey, S.; et al. The chembl bioactivity database: An update. Nucleic Acids Res. 2014, 42, D1083–D1090. [Google Scholar] [CrossRef]
- Livingstone, D. Data pre-treatment and variable selection. In A Practical Guide to Scientific Data Analysis; Livingstone, D., Ed.; Wiley: Chichester, UK, 2009; pp. 57–73. [Google Scholar]
- Golbraikh, A.; Tropsha, A. Beware of q2! J. Mol. Graph. Model. 2002, 20, 269–276. [Google Scholar] [CrossRef]
- Tropsha, A.; Gramatica, P.; Gombar, V.K. The importance of being earnest: Validation is the absolute essential for successful application and interpretation of qspr models. QSAR Comb. Sci. 2003, 22, 69–77. [Google Scholar] [CrossRef]
- Mitra, I.; Saha, A.; Roy, K. Exploring quantitative structure–activity relationship studies of antioxidant phenolic compounds obtained from traditional chinese medicinal plants. Mol. Simul. 2010, 36, 1067–1079. [Google Scholar] [CrossRef]
- Todeschini, R.; Consonni, V.; Mauri, A.; Pavan, M. Detecting “bad” regression models: Multicriteria fitness functions in regression analysis. Anal. Chim. Acta 2004, 515, 199–208. [Google Scholar] [CrossRef]
- Pratim Roy, P.; Paul, S.; Mitra, I.; Roy, K. On two novel parameters for validation of predictive qsar models. Molecules 2009, 14, 1660–1701. [Google Scholar] [CrossRef] [PubMed]
- Roy, K.; Mitra, I.; Kar, S.; Ojha, P.K.; Das, R.N.; Kabir, H. Comparative studies on some metrics for external validation of qspr models. J. Chem. Inf. Model. 2012, 52, 396–408. [Google Scholar] [CrossRef]
- Chirico, N.; Gramatica, P. Real external predictivity of qsar models: How to evaluate it? Comparison of different validation criteria and proposal of using the concordance correlation coefficient. J. Chem. Inf. Model. 2011, 51, 2320–2335. [Google Scholar] [CrossRef]
- Chirico, N.; Gramatica, P. Real external predictivity of qsar models. Part 2. New intercomparable thresholds for different validation criteria and the need for scatter plot inspection. J. Chem. Inf. Model. 2012, 52, 2044–2058. [Google Scholar] [CrossRef]
- Netzeva, T.I.; Worth, A.; Aldenberg, T.; Benigni, R.; Cronin, M.T.; Gramatica, P.; Jaworska, J.S.; Kahn, S.; Klopman, G.; Marchant, C.A.; et al. Current status of methods for defining the applicability domain of (quantitative) structure-activity relationships. The report and recommendations of ecvam workshop 52. Altern. Lab. Anim. 2005, 33, 155–173. [Google Scholar] [CrossRef]
- Jaworska, J.; Nikolova-Jeliazkova, N.; Aldenberg, T. Qsar applicabilty domain estimation by projection of the training set descriptor space: A review. Altern. Lab. Anim. 2005, 33, 445–459. [Google Scholar] [CrossRef]
- Molecular modeling pro plus, version 6.2.5. Available online: www.chemistry-software.com.
- Dı́az-Garcı́a, J.A.; González-Farı́as, G. A note on the cook’s distance. J. Stat. Plan. Inference 2004, 120, 119–136. [Google Scholar] [CrossRef]
- Militino, A.F.; Palacios, M.B.; Ugarte, M.D. Outliers detection in multivariate spatial linear models. J. Stat. Plan. Inference 2006, 136, 125–146. [Google Scholar] [CrossRef]
- ChemAxon - Software Solutions and Services for Chemistry & Biology. Available online: https://www.chemaxon.com (accessed on 17 January 2020).
- ChemDraw – Chemical Communication Software. Available online: https://www.perkinelmer.com/category/chemdraw (accessed on 17 January 2020).


![]() | |||||||||||
| Cpd | R1 | R2 | R3 | R4 | MIC H37Rv (μM)2 | Cpd | R1 | R2 | R3 | R4 | MIC H37Rv (μM)2 |
| 1 | [1] | H | farnesyl | H | 1.28 | *16 | [5] | H | isopentenyl | H | 168.23 |
| 2 | [1] | H | isopentenyl | H | 95.97 | 171 | [5] | OCH3 | H | H | 23.78 |
| 3 | [1] | H | methyl | H | 225.52 | *18 | [6] | H | methyl | H | 950.00 |
| *4 | [1] | OCH3 | H | OCH3 | 384.16 | 19 | [7] | H | isopentenyl | H | 2.30 |
| 5 | [1] | OCH3 | H | H | 423.21 | 20 | [7] | H | CF3 | H | 1.10 |
| 6 | [1] | H | H | H | 237.44 | 21 | [7] | H | CF3CH2 | H | 2.20 |
| 7 | [2] | OCH3 | H | H | 27.94 | 22 | [7] | H | geranyl | H | 1.90 |
| 8 | [2] | H | H | H | 31.21 | *23 | [7] | H | ethyl | H | 1.30 |
| 9 | [3] | H | geranyl | H | 0.26 | *24 | [8] | H | isopentenyl | H | 21.00 |
| 101 | [3] | H | isopentenyl | H | 199.11 | 25 | [8] | H | CF3CH2 | H | 20.00 |
| 11 | [4] | H | isopentenyl | H | 51.88 | 26 | [8] | H | ethyl | H | 12.00 |
| *12 | [4] | H | methyl | H | 247.75 | 27 | [8] | H | CF3 | H | 21.00 |
| 13 | [4] | OCH3 | methyl | H | 439.65 | 281 | [8] | H | geranyl | H | 72.00 |
| 14 | [5] | H | methyl | H | 1560.59 | 29 | [8] | H | methyl | H | 50.00 |
| *15 | [5] | H | geranyl | H | 72.30 | ||||||
![]() | ||||
|---|---|---|---|---|
| a0 ± s(a0) (SL) | a1a31 ± s(a1) (SL) | a2a11 ± s(a2) (SL) | a3PSA2 ± s(a3) (SL) | a4HansPol3 ± s(a4) (SL) |
| −5.061 ± 0.442 (100.00%) | 2.899 ± 0.332 (100.00%) | 2.082 ± 0.268 (99.99%) | 1.673 ± 0.311 (99.99%) | −1.800 ± 0.354 (99.98%) |
| Set | N1 | SD2 | R2 3 | F4 | R205 | AE6 | AAE7 | RMSE8 | Q2 9 | Δr2m 11 | CCC12 | |
|---|---|---|---|---|---|---|---|---|---|---|---|---|
| Training | 19 | 0.357 | 0.909 | 35 | - | - | - | - | 0.930 | - | - | - |
| Test | 7 | 0.297 | 0.920 | 58 | 0.913 | 0.100 | 0.260 | 0.294 | 0.933 | 0.879 | 0.070 | 0.953 |
© 2020 by the authors. Licensee MDPI, Basel, Switzerland. This article is an open access article distributed under the terms and conditions of the Creative Commons Attribution (CC BY) license (http://creativecommons.org/licenses/by/4.0/).
Share and Cite
Teixeira, C.; Ventura, C.; Gomes, J.R.B.; Gomes, P.; Martins, F. Cinnamic Derivatives as Antitubercular Agents: Characterization by Quantitative Structure–Activity Relationship Studies. Molecules 2020, 25, 456. https://doi.org/10.3390/molecules25030456
Teixeira C, Ventura C, Gomes JRB, Gomes P, Martins F. Cinnamic Derivatives as Antitubercular Agents: Characterization by Quantitative Structure–Activity Relationship Studies. Molecules. 2020; 25(3):456. https://doi.org/10.3390/molecules25030456
Chicago/Turabian StyleTeixeira, Cátia, Cristina Ventura, José R. B. Gomes, Paula Gomes, and Filomena Martins. 2020. "Cinnamic Derivatives as Antitubercular Agents: Characterization by Quantitative Structure–Activity Relationship Studies" Molecules 25, no. 3: 456. https://doi.org/10.3390/molecules25030456
APA StyleTeixeira, C., Ventura, C., Gomes, J. R. B., Gomes, P., & Martins, F. (2020). Cinnamic Derivatives as Antitubercular Agents: Characterization by Quantitative Structure–Activity Relationship Studies. Molecules, 25(3), 456. https://doi.org/10.3390/molecules25030456



