Synthesis and In Vitro Antiprotozoan Evaluation of 4-/8-Aminoquinoline-based Lactams and Tetrazoles
Abstract
1. Introduction
2. Results and Discussion
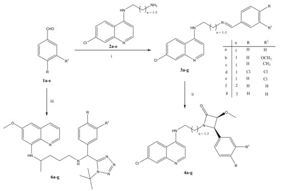
2.1. Chemistry
2.2. In Vitro Antiprotozoan Activities
2.3. Solubility of Selected Compounds
3. Materials and Methods
3.1. General Information
3.2. Synthetic Procedures
3.2.1. General Procedure for the β-Lactam Based Compounds
3.2.2. General Procedure for the Tetrazole-Based Compounds
3.3. In Vitro Biological Evaluations
3.3.1. Activity Against K1 Strain of P. falciparum
3.3.2. Activity against Trypanosoma brucei rhodesiense STIB900
3.3.3. In Vitro Cytotoxicity with L-6 Cells
3.3.4. Aqueous Kinetic Solubility
4. Conclusions
Supplementary Materials
Author Contributions
Funding
Acknowledgments
Conflicts of Interest
Data Availability
References
- Filardy, A.A.; Guimarães-Pinto, K.; Nunes, M.P.; Zukeram, K.; Fliess, L.; Oliveira-Nascimento, D.; Conde, L.; Morrot, A. Human kinetoplastic protozoan infections: Where are we going next? Front. Immunol. 2018, 9, 1493. [Google Scholar] [CrossRef] [PubMed]
- Njoroge, A.; Njuguna, N.M.; Mutai, P.; Ongaror, D.S.; Smith, P.W.; Chibale, K. Recent approaches to chemical discovery and development against malaria and the neglected tropical diseases human African trypanosomiasis and schistosomiasis. Chem. Rev. 2014, 114, 11138–11363. [Google Scholar] [CrossRef] [PubMed]
- Rao, S.P.S.; Barrett, M.P.; Dranoff, G.; Faraday, C.J.; Gimpelewicz, C.R.; Hailu, A.; Jones, C.L.; Kelly, J.M.; Lazdins-Helds, J.K.; Mäser, P.; et al. Drug discovery for kenetoplastic diseases: Future directions. ACS Infect. Dis. 2019, 5, 152–157. [Google Scholar] [CrossRef] [PubMed]
- Xie, S.C.; Dick, L.R.; Gould, A.; Brand, S.; Tilley, L. The proteasome as a target for protozoan parasites. Expert Opin. Ther. Targets. 2019, 23, 903–914. [Google Scholar] [CrossRef] [PubMed]
- Kennedy, P.G.E. Update on human African trypanosomiasis (Sleeping sickness). J. Neurol. 2019, 266, 2334–2337. [Google Scholar] [CrossRef] [PubMed]
- WHO Report, World Malaria Report 2019. Available online: https://www.who.int/publications-detail/world-malaria-report-2019 (accessed on 2 April 2020).
- WHO Report, Fourth WHO Report on Neglected Tropical Diseases 2017. Available online: https://www.who.int/neglected_diseases/resources/9789241565448/en/ (accessed on 8 April 2020).
- Akazue, P.I.; Ebiloma, G.U.; Ajibola, O.; Isaac, C.; Onyekwelu, K.; Ezeh, C.O.; Eze, A.A. Sustainable elimination (Zero cases) of sleeping sickness: How far are we from achieving this goal? Pathogen 2019, 8, E135. [Google Scholar] [CrossRef]
- Capewell, P.; Atkins, K.; Weir, W.; Jamonneau, V.; Camara, M.; Clucas, C.; Swar, N.-R.K.; Ngoyi, D.M.; Routureau, B.; Garside, P.; et al. Resolving the apparent transmission paradox of African sleeping sickness. PLoS Biol. 2019, 17, e3000105. [Google Scholar] [CrossRef]
- Jacobs, R.T.; Nare, B.; Phillips, M.A. State of the art African trypanosome drug discovery. Curr. Top Med. Chem. 2011, 11, 1255–1274. [Google Scholar] [CrossRef]
- Fairlamb, A.H.; Horn, D. Melarsoprol resistance in African trypanosomiasis. Trends Parasitol. 2018, 34, 481–492. [Google Scholar] [CrossRef]
- Lee, S.M.; Kim, M.S.; Hayat, F.; Shin, D. Recent advances in the discovery of novel antiprotozoal agents. Molecules 2019, 24, e3886. [Google Scholar] [CrossRef]
- Van Voorhis, W.C.; Adams, J.H.; Adelfio, R.; Ahuong, V.; Akabas, M.H.; Alano, P.; Alday, A.; Resto, Y.A.; Alsibaee, A.; Alzualde, A.; et al. Open source drug discovery with malaria box compound collection for neglected diseases and beyond. PLoS Pathog. 2016, 12, 31005763. [Google Scholar] [CrossRef] [PubMed]
- Berniger, M.; Scmidt, I.; Ponte-Sucre, A.; Holzgrabe, U. Novel lead compounds in pre-clinical development against African sleeping sickness. MedChemComm 2017, 8, 1872–1890. [Google Scholar] [CrossRef] [PubMed]
- Ashley, E.A.; Dhorda, M.; Fairhurst, R.M.; Amaratunga, C.; Lim, P.; Suon, S.; Sreng, S.; Anderson, J.M.; Mao, S.; Sam, B.; et al. Spread of artemisinin resistance in Plasmodium falciparum malaria. N. Engl. J. Med. 2014, 371, 411–423. [Google Scholar] [CrossRef] [PubMed]
- Mbengue, A.; Bhattacharjee, S.; Pandharkar, T.; Liu, H.; Estiu, G.; Stahelin, R.V.; Rizk, S.S.; Njimoh, D.L.; Ryan, Y.; Chotivanich, K.; et al. Amolecular mechanism of artemisinin resistance in Plasmodium falciparum malaria. Nature 2015, 520, 683–687. [Google Scholar] [CrossRef] [PubMed]
- Fairhurst, R.M.; Dondorp, A.M. Atermisinin-resistant Plasmodium falciparum malaria. Microbiol. Spectr. 2016, 4. [Google Scholar] [CrossRef]
- Dondorp, A.M.; Yeung, S.; White, L.; Nguon, C.; Day, N.P.; Socheat, D.; von Seidlein, L. Artemisinin-resistance: Current status and scenarios for containment. Nat. Rev. Microbiol. 2010, 8, 272–280. [Google Scholar] [CrossRef] [PubMed]
- Tukulula, M.; Njoroge, M.; Abay, E.T.; Mugumbate, G.C.; Wiesner, L.; Taylor, D.; Gibhard, L.; Norman, J.; Swart, K.J.; Gut, J.; et al. Synthesis and in vitro and in vivo pharmacological evaluation of new 4-aminiquinoline-based compounds. ACS Med. Chem. Lett. 2013, 4, 1198–1202. [Google Scholar]
- Abay, E.T.; van der Westhuizen, J.H.; Swart, K.J.; Gibhard, L.; Tukulula, M.; Chibale, K.; Wiesner, L. The development and validation of an LC-MS/MS method for the determination of a new antimalarial compound (TK900D) in human whole blood and its application to pharmacokinetic studies in mice. Malar. J. 2014, 13, 42. [Google Scholar] [CrossRef]
- Nivsarkar, M.; Thavaselvam, D.; Prasanna, S.; Sharma, M.; Kaushik, M.P. Design, synthesis and biological evaluation of novel bicyclic β-lactams as potential antimalarials. Bioor. Med. Chem. Lett. 2005, 15, 1371–1373. [Google Scholar] [CrossRef]
- D’hooghe, M.; Dekeukeleire, S.; Mollet, K.; Lategan, C.; Smith, P.J.; Chibale, K.; De Kimpe, N. Synthesis of novel 2-alkoxy-3-amino-3-arylpropan-1-ols and 5-alkoxy-4-aryl-1,3-oxazinanes with antimalarial activity. J. Med. Chem. 2009, 52, 4058–4062. [Google Scholar] [CrossRef]
- Singh, P.; Sachedeva, S.; Raj, R.; Kumar, V.; Mahajan, M.P.; Nasser, S.; Vivas, L.; Gut, J.; Rosenthal, P.J.; Feng, T.-S.; et al. Antiplasmodial and cytotoxicity evaluation of 3-functionalized 2-azetedinone derivatives. Bioorg. Med. Chem. Lett. 2011, 21, 4561–4563. [Google Scholar] [CrossRef] [PubMed]
- Raj, R.; Biot, C.; Carrére-Kremer, S.; Kremer, L.; Guérardel, Y.; Gut, J.; Rosenthal, P.J.; Kumar, V. 4-Aminoquinoline-β-lactam conjugates: Synthesis, antimalarial, and antitubercular evaluation. Chem. Biol. Drug Des. 2014, 83, 191–197. [Google Scholar] [CrossRef] [PubMed]
- Singh, P.; Singh, P.; Kumar, M.; Gut, J.; Rosenthal, P.J.; Kumar, K.; Kumar, V.; Mahajan, M.P.; Bissetty, K. Synthesis, docking and in vitro antimalarial evaluation of bifunctional hybrids derived from β-lactams and 7-chloroquinoline using click chemistry. Bioorg. Med. Chem. Lett. 2012, 22, 57–61. [Google Scholar] [CrossRef]
- Jarrahpour, A.; Ebrahimi, E.; Sinou, V.; Latour, C.; Brunel, J.M. Diastereselective synthesis of potent antimalarial cis-β-lactam agents through a [2 + 2] cycloaddition of chiral imines with a chiral ketene. Eur. J. Med. Chem. 2014, 87, 364–371. [Google Scholar] [CrossRef] [PubMed]
- Jarrahpour, A.; Aye, M.; Sinou, V.; Latour, C.; Brunel, J.M. Synthesis of some new monocyclic β-lactams as antimalarial agents. J. Iran Chem. 2015, 12, 2083–2092. [Google Scholar] [CrossRef]
- Staudinger, H. Zur Kenntniss der keten. Diphenylketen. Liebigs Ann. Chem. 1907, 356, 51. [Google Scholar] [CrossRef]
- Musonda, C.C.; Gut, J.; Rosenthal, P.J.; Yardley, V.; Carvalho de Souza, R.C.; Chibale, K. Application of multicomponent reactions to antimalarial drug discovery. Part 2: New antiplasmodial and antitrypanosomal 4-aminoquinoline δ- and ϒ-lactams via a ‘catch and release’ protocol. Bioorg. Med. Chem. 2006, 14, 5605–5615. [Google Scholar]
- McCabe, R.E. Primaquine is lethal for intracellular but not for extracellular trypanosome cruzi. J. Parasitol. 1988, 74, 748–753. [Google Scholar] [CrossRef]
- Carvalho, L.; Martínez-Garcia, M.; Pérez-Victoria, L.; Manzano, J.I.; Yardley, V.; Gamarro, F.; Pérez-Victoria, M. The oral antimalarial drug tafenoquine shows activity against trypanosome brucei. Antimicrob. Agents Chemother. 2015, 59, 6151–6160. [Google Scholar] [CrossRef]
- Yardley, V.; Gamarro, F.; Croft, S.L. Antileishmanial and antitrypanosomal activities of the 8-aminoquinoline tafenoquine. Antimicrob. Agents Chemother. 2010, 54, 5356–5358. [Google Scholar] [CrossRef]
- De, D.; Byers, L.D.; Krogstad, D.J. Antimalarial: Synthesis of 4-aminoqquinolines that circumvent resistance in malarial parasite. J. Heterocycl. Chem. 1997, 34, 315–320. [Google Scholar] [CrossRef]
- Jiao, L.; Liang, Y.; Xu, J. Origin of the relative stereoselectivity of the β-lactam formation in the Staudinger reaction. J. Am. Chem. Soc. 2006, 128, 6060. [Google Scholar] [CrossRef] [PubMed]
- Xu, J. Stereoselectivity in the synthesis of 2-azetidinones from ketenes and imines via the Staudinger reaction. ARKIVOC 2009, 9, 21–44. [Google Scholar]
- Tukulula, M.; Little, S.; Gut, J.; Rosenthal, P.J.; Wan, B.; Franzblau, S.G.; Chibale, K. The design, synthesis, in silico ADME profiling, antiplasmodial and antimycobacterial evaluation of the new arylamino quinoline derivatives. Eur. J. Med. Chem. 2012, 57, 259–267. [Google Scholar] [CrossRef] [PubMed]
- Tukulula, M.; Njoroge, M.; Mugumbate, G.C.; Gut, J.; Rosenthal, P.J.; Barteau, S.; Streckfuss, J.; Heidi, O.; Kameni-Tcheudji, J.; Chibale, K. Tetrazole-based deoxyamodiaquines: Synthesis, ADME/PK profiling and pharmacological evaluation as potential antimalarial agents. Bioorg. Med. Chem. 2013, 21, 4904–4913. [Google Scholar] [CrossRef]
- Tukulula, M.; Sharma, R.-J.; Meurillon, M.; Mahajan, A.; Naran, K.; Warner, D.; Huang, J.; Mekonnen, B.; Chibale, K. Synthesis and antiplasmodial and antimycobacterial evaluation of new nitroimidazoleand nitroimizaooxazine derivatives. ACS Med. Chem. 2013, 4, 128–131. [Google Scholar] [CrossRef]
- Desjardins, R.E.; Canfield, C.J.; Haynes, J.D.; Chulay, J.D. Quantitative assessment of antimalarial activity in vitro by a semiautomated microdilution technique. Antimicrob. Agents Chemther. 1979, 16, 710–718. [Google Scholar] [CrossRef]
- Thaithong, S.; Beale, G.H.; Chutmongkonkul, M. Susceptibility of Plasmodium falciparum to five drugs and in vitro study of isolates mainly from Thailand. Trans. R. Soc. Trop. Med. Hyg. 1983, 77, 228–231. [Google Scholar] [CrossRef]
- Hubber, W.; Koella, J.C. A comparison of three methods of estimating EC50 in studies of drug resistance of malaria parasites. Acta Trop. 1993, 55, 257–261. [Google Scholar] [CrossRef]
- Balts, T.; Baltz, D.; Giroud, C.; Crockett, J. Cultivation in a semi-defined medium if animal infective forms of Trypanosoma brucei, T. equiperdum, T. evansi, T. rhodesiense and T. gambiense. EMBO J. 1985, 4, 1273–1277. [Google Scholar]
- Räz, B.; Iten, M.; Grether-Bühler, Y.; Kaminsky, R.; Brun, R. The alma blue assay to determine drug sensitivity of African trypanosomes (T. b. rhodesiense and T. b gambiense) in vitro. Acta Trop. 1997, 68, 139–147. [Google Scholar]
- Page, B.; Page, M.; Noel, C. A new fluorometric assay for cytotoxicity measurement in vitro. Int. J. Oncol. 1993, 3, 473–476. [Google Scholar] [CrossRef] [PubMed]
- Ahmed, S.A.; Gogal, R.M., Jr.; Walsh, J.E. A new rapid and simple non-radioactive assay to monitor and determine the proliferation of lymphocytes: An alternative to [3H] thymidine incorporation assay. J. Immunol. Methods 1994, 170, 211–224. [Google Scholar] [CrossRef]
Sample Availability: Samples of the compounds are available from the authors. |


| Compound | n | R | R1 | P. falciparum (µM) * | T. b. brucie (µM) * | Cytotoxicity (µM) * | SI # |
|---|---|---|---|---|---|---|---|
| K1 | T. b. rhod | L6 Cell Lines | |||||
| 4a | 1 | H | H | 0.47 | 53.16 | 98.47 | 211 |
| 4b | 1 | OCH3 | H | 0.62 | 52.93 | 20.37 | 33 |
| 4c | 1 | Me | H | 0.58 | 52.54 | 92.70 | 160 |
| 4d | 1 | Cl | Cl | 0.20 | 18.99 | 8.54 | 43 |
| 4e | 1 | Cl | H | 0.30 | 7.01 | 11.52 | 38 |
| 4f | 2 | H | H | 0.57 | 16.09 | 14.40 | 25 |
| 4 g | 3 | H | H | 0.31 | 20.00 | 2.87 | 9 |
| 6a | - | H | H | 2.47 | 18.10 | 10.77 | 4 |
| 6b | - | OCH3 | H | 1.98 | 14.16 | 75.45 | 38 |
| 6c | -- | CH3 | H | 1.57 | 18.54 | 12.94 | 8 |
| 6d | - | Cl | Cl | 1.31 | 18.30 | 87.93 | 67 |
| 6e | - | Cl | H | 1.80 | 21.45 | 31.30 | 17 |
| Chloroquine | - | - | - | 0.22 | - | - | - |
| Primaquine | - | - | - | 0.64 | - | - | - |
| Melarsoprol | - | - | - | 0.0075 | - | - | |
| Podophyllotoxin | - | - | - | - | 0.0193 | - |
| Compound | Kinetic Solubility at pH 7.0 (µM) |
|---|---|
| 4a | >200 |
| 4e | >200 |
| 4g | >200 |
| 6c | <5 |
| 6d | <5 |
| 6e | <15 |
Publisher’s Note: MDPI stays neutral with regard to jurisdictional claims in published maps and institutional affiliations. |
© 2020 by the authors. Licensee MDPI, Basel, Switzerland. This article is an open access article distributed under the terms and conditions of the Creative Commons Attribution (CC BY) license (http://creativecommons.org/licenses/by/4.0/).
Share and Cite
Tukulula, M.; Louw, S.; Njoroge, M.; Chibale, K. Synthesis and In Vitro Antiprotozoan Evaluation of 4-/8-Aminoquinoline-based Lactams and Tetrazoles. Molecules 2020, 25, 5941. https://doi.org/10.3390/molecules25245941
Tukulula M, Louw S, Njoroge M, Chibale K. Synthesis and In Vitro Antiprotozoan Evaluation of 4-/8-Aminoquinoline-based Lactams and Tetrazoles. Molecules. 2020; 25(24):5941. https://doi.org/10.3390/molecules25245941
Chicago/Turabian StyleTukulula, Matshawandile, Stefan Louw, Mathew Njoroge, and Kelly Chibale. 2020. "Synthesis and In Vitro Antiprotozoan Evaluation of 4-/8-Aminoquinoline-based Lactams and Tetrazoles" Molecules 25, no. 24: 5941. https://doi.org/10.3390/molecules25245941
APA StyleTukulula, M., Louw, S., Njoroge, M., & Chibale, K. (2020). Synthesis and In Vitro Antiprotozoan Evaluation of 4-/8-Aminoquinoline-based Lactams and Tetrazoles. Molecules, 25(24), 5941. https://doi.org/10.3390/molecules25245941

