Zinc Complexes with Nitrogen Donor Ligands as Anticancer Agents
Abstract
1. Introduction
2. Nitrogen Ligands in Zn Complexes
3. Quinoline and Diimine Systems
4. 2,2′-Bipyridine and 1,10-Phenanthroline Systems
5. Terpyridine and Pyridine-Based Systems
6. Imidazoles and Analogous Imidazole-Based Systems
7. Schiff Base Systems
7.1. κ2N,N′ Systems
7.2. κ3N,N′,N″ Systems
7.3. κ4N,N′,N″,N‴ Systems
7.4. κ5N,N′,N″,N‴,N⁗ Systems
8. Miscellanea Systems
9. Concluding Remarks
Supplementary Materials
Funding
Acknowledgments
Conflicts of Interest
Abbreviations
| ambaf | 2-[N-(1Hbenzimidazol-2-ylmethyl)ethanimidoyl]aniline |
| amphen | 5-amine-1,10-phenanthroline |
| apyepy | 2-(pyridin-2-yl)-N-[1-(pyridin-2-yl)ethylidene]-ethanamine |
| Bphen | 4,7-diphenyl-1,10-phenanthroline |
| bib | 1,3-bis(imidazol-1-yl)benzene |
| bip | 3,5-bis(1-imidazoly)pyridine |
| bpy | 2,2-bipyridine |
| CT | calf thymus |
| cisplatin | cis-diamminedichloroplatinum(II) |
| dmoPTA | 3,7-dimethyl-1,3,7-triaza-5-phosphabicyclo[3.3.1]nonane |
| H2bdc | 1,4-dicarboxybenzene |
| H2tib | 1,3,5-tris(1-imidazolyl)benzene |
| HMFN | mefenamic acid |
| Hnor | norharmane |
| HNPR | naproxen |
| HPV | human papilloma virus |
| HSA | human serum albumin |
| IC50 | concentration affording 50% of inhibition |
| Ida | iminodiacetate |
| MOCs | metal-organic chains |
| NaNPR | sodium naproxen |
| NH2-H2bdc | 2-amino-1,4-dicarboxybenzene |
| NSAID | non-steroidal anti-inflammatory drug |
| NVC | novocidin |
| Pcs | phthalocyanines |
| Pdc | 2,6-pyridine dicarboxylate |
| PDT | photodynamic therapy |
| phen | 1,10-phenantroline |
| phendione | 1,10-phenanthroline-5,6-dione |
| ROS | reactive oxygen species |
| Sal-Gly | N-salicylideneglycinate |
| SARs | structure-activity relationships |
Acronyms of Cell Lines Cited in This Review
| A2780 | human ovarian carcinoma |
| A-375 | human melanoma |
| A-549 | human alveolar basal epithelial cancer |
| B16-F10 | mus musculus skin melanoma |
| BEAS-2B | human lung epithelial cancer |
| Bel-7402 | human liver carcinoma |
| Bel-7404 | human hepatoma |
| Bel-7042 | human hepatocellular carcinoma |
| BJ-hTer | human fibroblast |
| BGC823 | human gastric cancer |
| CT26 | murine colon carcinoma |
| Du-145 | human prostate carcinoma |
| Eca-109 | squamous carcinoma |
| HBL-100 | human breast |
| HCT-116 | human colon carcinoma |
| HeLa | human cervical carcinoma |
| Hep-G2 | human hepatocellular carcinoma |
| HL-60 | human promyelocytic leukemia |
| HL-7702 | normal human liver |
| HT018 | human colon cancer |
| HT-29 | human colon carcinoma |
| Jurcat | human T lymphocyte |
| K562 | human chronic myelogenous leukemia |
| KB | human cervix carcinoma |
| L5178Y | mouse T-cell lymphoma |
| LO2 | human immortal hepatic cell line |
| MCF-7 | human breast carcinoma |
| MDA-MB-231 | human breast carcinoma |
| MES-SA | human uterine sarcoma |
| MES-SA/Dx5 | multi drug-resistant cell line derived from the MES-SA |
| MGC-803 | gastric cancer |
| MRC-5 | normal lung tissue |
| NCI-H460 | human non-small cell lung carcinoma |
| NHDF | normal human dermal fibroblasts |
| P4 | human foreskin fibroblasts |
| PANC-1 | human pancreatic cancer cell line |
| PBMC | peripheral blood mononuclear cells |
| PC-3 | human prostatic carcinoma |
| PI3K | phosphatidylinositol 3-kinase |
| PNT1A | human immortalized prostatic cell line |
| QBC939 | human cholangiocarcinoma (resistant to cisplatin) |
| RAW 264.7 | mouse macrophage |
| RL952 | human endometrial carcinoma |
| SH-SY5Y | human neuroblastoma |
| SK-MEL-1 | human melanoma |
| SK-OV-3 | human ovarian cancer cell line |
| SMMC-7721 | human hepatocellular carcinoma |
| SW1573 | human lung |
| T-47D | human breast |
| U-251 | malignant glioblastoma |
| V79 | Chinese hamster lung fibroblasts |
| WiDr | human colon carcinoma |
References
- National Institutes of Health. Zinc—Fact Sheet for Health Professionals. Available online: https://ods.od.nih.gov/factsheets/Zinc-HealthProfessional/ (accessed on 8 December 2020).
- Crichton, R. Chapter 12—Zinc—Lewis Acid and Gene Regulator. In Biological Inorganic Chemistry, 3rd ed.; Crichton, R., Ed.; Academic Press: Cambridge, MA, USA, 2019; pp. 339–362. [Google Scholar]
- Crichton, R. Chapter 22—Metals in Medicine and Metals as Drugs. In Biological Inorganic Chemistry, 3rd ed.; Crichton, R., Ed.; Academic Press: Cambridge, MA, USA, 2019; pp. 599–623. [Google Scholar]
- Finney, L.A.; O’Halloran, T.V. Transition metal speciation in the cell: Insights from the chemistry of metal ion receptors. Science 2003, 300, 931–936. [Google Scholar] [CrossRef]
- Turel, I.; Kljun, J. Interactions of metal ions with DNA, its constituents and derivatives, which may be relevant for anticancer research. Curr. Top. Med. Chem. 2011, 11, 2661–2687. [Google Scholar] [CrossRef] [PubMed]
- Tatineni, V.; An, J.Y.; Leffew, M.R.; Mahesh, S.A. Anemia from A to zinc: Hypocupremia in the setting of gastric bypass and zinc excess. Clin. Case Rep. 2020, 8, 745–750. [Google Scholar] [CrossRef] [PubMed]
- Haase, H.; Rink, L. Multiple impacts of zinc on immune function. Metallomics 2014, 6, 1175–1180. [Google Scholar] [CrossRef] [PubMed]
- Kolenko, V.; Teper, E.; Kutikov, A.; Uzzo, R. Zinc and zinc transporters in prostate carcinogenesis. Nat. Rev. Urol. 2013, 10, 219–226. [Google Scholar] [CrossRef] [PubMed]
- Vallee, B.L.; Falchuk, K.H. The biochemical basis of zinc physiology. Physiol. Rev. 1993, 73, 79–118. [Google Scholar] [CrossRef]
- Costello, L.C.; Fenselau, C.C.; Franklin, R.B. Evidence for operation of the direct zinc ligand exchange mechanism for trafficking, transport, and reactivity of zinc in mammalian cells. J. Inorg. Biochem. 2011, 105, 589–599. [Google Scholar] [CrossRef]
- Krężel, A.; Maret, W. The biological inorganic chemistry of zinc ions. Arch. Biochem. Biophys. 2016, 611, 3–19. [Google Scholar] [CrossRef]
- Pettinari, C.; Lorenzotti, A.; Pellei, M.; Santini, C. Zinc(II), cadmium(II) and mercury(II) derivatives of bis(4-halopyrazol-1-yl)alkanes: Synthesis, spectroscopic characterization and behaviour in solution. Polyhedron 1997, 16, 3435–3445. [Google Scholar] [CrossRef]
- Adhikari, S.; Bhattacharjee, T.; Butcher, R.J.; Porchia, M.; De Franco, M.; Marzano, C.; Gandin, V.; Tisato, F. Synthesis and characterization of mixed-ligand Zn(II) and Cu(II) complexes including polyamines and dicyano-dithiolate(2-): In vitro cytotoxic activity of Cu(II) compounds. Inorg. Chim. Acta 2019, 498, 119098. [Google Scholar] [CrossRef]
- Emami, S.; Hosseinimehr, S.J.; Taghdisi, S.M.; Akhlaghpoor, S. Kojic acid and its manganese and zinc complexes as potential radioprotective agents. Bioorg. Med. Chem. Lett. 2007, 17, 45–48. [Google Scholar] [CrossRef] [PubMed]
- Jiang, Z.; Shao, J.; Yang, T.; Wang, J.; Jia, L. Pharmaceutical development, composition and quantitative analysis of phthalocyanine as the photosensitizer for cancer photodynamic therapy. J. Pharm. Biomed. Anal. 2014, 87, 98–104. [Google Scholar] [CrossRef] [PubMed]
- Nakayama, A.; Hiromura, M.; Adachi, Y.; Sakurai, H. Molecular mechanism of antidiabetic zinc-allixin complexes: Regulations of glucose utilization and lipid metabolism. J. Biol. Inorg. Chem. 2008, 13, 675–684. [Google Scholar] [CrossRef] [PubMed]
- Sakurai, H.; Yoshikawa, Y.; Yasui, H. Current state for the development of metallopharmaceutics and anti-diabetic metal complexes. Chem. Soc. Rev. 2008, 37, 2383–2392. [Google Scholar] [CrossRef] [PubMed]
- Sakurai, H.; Kojima, Y.; Yoshikawa, Y.; Kawabe, K.; Yasui, H. Antidiabetic vanadium(IV) and zinc(II) complexes. Coord. Chem. Rev. 2002, 226, 187–198. [Google Scholar] [CrossRef]
- D’Angelo, J.; Morgant, G.; Ghermani, N.E.; Desmaële, D.; Fraisse, B.; Bonhomme, F.; Dichi, E.; Sghaier, M.; Li, Y.; Journaux, Y.; et al. Crystal structures and physico-chemical properties of Zn(II) and Co(II) tetraaqua(3-nitro-4-hydroxybenzoato) complexes: Their anticonvulsant activities as well as related (5-nitrosalicylato)-metal complexes. Polyhedron 2008, 27, 537–546. [Google Scholar] [CrossRef]
- Zhou, Q.; Hambley, T.W.; Kennedy, B.J.; Lay, P.A.; Turner, P.; Warwick, B.; Biffin, J.R.; Regtop, H.L. Syntheses and characterization of anti-inflammatory dinuclear and mononuclear zinc indomethacin complexes. Crystal structures of [Zn2(indomethacin)4(L)2] (L = N,N-dimethylacetamide, pyridine, 1-methyl-2-pyrrolidinone) and [Zn(indomethacin)2(L1)2] (L1 = ethanol, methanol). Inorg. Chem. 2000, 39, 3742–3748. [Google Scholar]
- Kasuga, N.C.; Sekino, K.; Ishikawa, M.; Honda, A.; Yokoyama, M.; Nakano, S.; Shimada, N.; Koumo, C.; Nomiya, K. Synthesis, structural characterization and antimicrobial activities of 12 zinc(II) complexes with four thiosemicarbazone and two semicarbazone ligands. J. Inorg. Biochem. 2003, 96, 298–310. [Google Scholar] [CrossRef]
- Li, Z.Q.; Wu, F.J.; Gong, Y.; Hu, C.W.; Zhang, Y.H.; Gan, M.Y. Synthesis, characterization and activity against Staphylococcus of metal(II)-gatifloxacin complexes. Chin. J. Chem. 2007, 25, 1809–1814. [Google Scholar] [CrossRef]
- Chen, Z.F.; Xiong, R.G.; Zhang, J.; Chen, X.T.; Xue, Z.L.; You, X.Z. 2D molecular square grid with strong blue fluorescent emission: A complex of norfloxacin with zinc(II). Inorg. Chem. 2001, 40, 4075–4077. [Google Scholar] [CrossRef]
- López-Gresa, M.P.; Ortiz, R.; Perelló, L.; Latorre, J.; Liu-González, M.; García-Granda, S.; Pérez-Priede, M.; Cantón, E. Interactions of metal ions with two quinolone antimicrobial agents (cinoxacin and ciprofloxacin): Spectroscopic and X-ray structural characterization. Antibacterial studies. J. Inorg. Biochem. 2002, 92, 65–74. [Google Scholar] [CrossRef]
- Xiao, D.R.; Wang, E.B.; An, H.Y.; Su, Z.M.; Li, Y.G.; Gao, L.; Sun, C.Y.; Xu, L. Rationally designed, polymeric, extended metal-ciprofloxacin complexes. Chem.-Eur. J. 2005, 11, 6673–6686. [Google Scholar] [CrossRef] [PubMed]
- Tarushi, A.; Lafazanis, K.; Kljun, J.; Turel, I.; Pantazaki, A.A.; Psomas, G.; Kessissoglou, D.P. First- and second-generation quinolone antibacterial drugs interacting with zinc(II): Structure and biological perspectives. J. Inorg. Biochem. 2013, 121, 53–65. [Google Scholar] [CrossRef] [PubMed]
- Tarushi, A.; Karaflou, Z.; Kljun, J.; Turel, I.; Psomas, G.; Papadopoulos, A.N.; Kessissoglou, D.P. Antioxidant capacity and DNA-interaction studies of zinc complexes with a non-steroidal anti-inflammatory drug, mefenamic acid. J. Inorg. Biochem. 2013, 128, 85–96. [Google Scholar] [CrossRef] [PubMed]
- Tarushi, A.; Totta, X.; Papadopoulos, A.; Kljun, J.; Turel, I.; Kessissoglou, D.P.; Psomas, G. Antioxidant activity and interaction with DNA and albumins of zinc-tolfenamato complexes. Crystal structure of [Zn(tolfenamato) 2(2,2′-dipyridylketoneoxime)2]. Eur. J. Med. Chem. 2014, 74, 187–198. [Google Scholar] [CrossRef] [PubMed]
- Kovala-Demertzi, D.; Yadav, P.N.; Wiecek, J.; Skoulika, S.; Varadinova, T.; Demertzis, M.A. Zinc(II) complexes derived from pyridine-2-carbaldehyde thiosemicarbazone and (1E)-1-pyridin-2-ylethan-1-one thiosemicarbazone. Synthesis, crystal structures and antiproliferative activity of zinc(II) complexes. J. Inorg. Biochem. 2006, 100, 1558–1567. [Google Scholar] [CrossRef]
- Belicchi Ferrari, M.; Bisceglie, F.; Pelosi, G.; Tarasconi, P.; Albertini, R.; Pinelli, S. New methyl pyruvate thiosemicarbazones and their copper and zinc complexes: Synthesis, characterization, X-ray structures and biological activity. J. Inorg. Biochem. 2001, 87, 137–147. [Google Scholar] [CrossRef]
- Trávníček, Z.; Kryštof, V.; Šipl, M. Zinc(II) complexes with potent cyclin-dependent kinase inhibitors derived from 6-benzylaminopurine: Synthesis, characterization, X-ray structures and biological activity. J. Inorg. Biochem. 2006, 100, 214–225. [Google Scholar] [CrossRef]
- Di Vaira, M.; Bazzicalupi, C.; Orioli, P.; Messori, L.; Bruni, B.; Zatta, P. Clioquinol, a drug for Alzheimer’s disease specifically interfering with brain metal metabolism: Structural characterization of its zinc(II) and copper(II) complexes. Inorg. Chem. 2004, 43, 3795–3797. [Google Scholar] [CrossRef]
- Ong, Y.C.; Roy, S.; Andrews, P.C.; Gasser, G. Metal Compounds against Neglected Tropical Diseases. Chem. Rev. 2019, 119, 730–796. [Google Scholar] [CrossRef]
- Franklin, R.B.; Costello, L.C. The Important Role of the Apoptotic Effects of Zinc in the Development of Cancers. J. Cell. Biochem. 2009, 106, 750–757. [Google Scholar] [CrossRef] [PubMed]
- Federico, A.; Iodice, P.; Federico, P.; Del Rio, A.; Mellone, M.C.; Catalano, G.; Federico, P. Effects of selenium and zinc supplementation on nutritional status in patients with cancer of digestive tract. Eur. J. Clin. Nutr. 2001, 55, 293–297. [Google Scholar] [CrossRef] [PubMed]
- Prasad, A.S.; Beck, F.W.J.; Doerr, T.D.; Shamsa, F.H.; Penny, H.S.; Marks, S.C.; Kaplan, J.; Kucuk, O.; Mathog, R.H. Nutritional and zinc status of head and neck cancer patients: An interpretive review. J. Am. Coll. Nutr. 1998, 17, 409–418. [Google Scholar] [CrossRef] [PubMed]
- Ye, R.; Tan, C.; Chen, B.; Li, R.; Mao, Z. Zinc-Containing Metalloenzymes: Inhibition by Metal-Based Anticancer Agents. Front. Chem. 2020, 8, 402. [Google Scholar] [CrossRef]
- Oteiza, P.I.; Clegg, M.S.; Zago, M.P.; Keen, C.L. Zinc deficiency induces oxidative stress and AP-1 activation in 3T3 cells. Free Radic. Biol. Med. 2000, 28, 1091–1099. [Google Scholar] [CrossRef]
- Ho, E. Zinc deficiency, DNA damage and cancer risk. J. Nutr. Biochem. 2004, 15, 572–578. [Google Scholar] [CrossRef]
- Golub, M.S.; Gershwin, M.E.; Hurley, L.S.; Hendrickx, A.G.; Saito, W.Y. Studies of marginal zinc deprivation in rhesus monkeys: Infant behavior. Am. J. Clin. Nutr. 1985, 42, 1229–1239. [Google Scholar] [CrossRef]
- Ali, M.M.; Frei, E.; Straub, J.; Breuer, A.; Wiessler, M. Induction of metallothionein by zinc protects from daunorubicin toxicity in rats. Toxicology 2002, 179, 85–93. [Google Scholar] [CrossRef]
- Costello, L.C.; Franklin, R.B. A comprehensive review of the role of zinc in normal prostate function and metabolism; and its implications in prostate cancer. Arch. Biochem. Biophys. 2016, 611, 100–112. [Google Scholar] [CrossRef]
- Orlov, A.P.; Orlova, M.A.; Trofimova, T.P.; Kalmykov, S.N.; Kuznetsov, D.A. The role of zinc and its compounds in leukemia. J. Biol. Inorg. Chem. 2018, 23, 347–362. [Google Scholar] [CrossRef]
- Hashemi, M.; Ghavami, S.; Eshraghi, M.; Booy, E.P.; Los, M. Cytotoxic effects of intra and extracellular zinc chelation on human breast cancer cells. Eur. J. Pharmacol. 2007, 557, 9–19. [Google Scholar] [CrossRef] [PubMed]
- Hegde, M.L.; Bharathi, P.; Suram, A.; Venugopal, C.; Jagannathan, R.; Poddar, P.; Srinivas, P.; Sambamurti, K.; Rao, K.J.; Scancar, J.; et al. Challenges associated with metal chelation therapy in alzheimer’s disease. J. Alzheimer’s Dis. 2009, 17, 457–468. [Google Scholar] [CrossRef] [PubMed]
- Franklin, R.B.; Zou, J.; Zheng, Y.; Naslund, M.J.; Costello, L.C. Zinc Ionophore (Clioquinol) Inhibition of Human ZIP1-Deficient Prostate Tumor Growth in the Mouse Ectopic Xenograft Model: A Zinc Approach for the Efficacious Treatment of Prostate Cancer. Int. J. Cancer Clin. Res. 2016, 3, 037. [Google Scholar] [CrossRef] [PubMed]
- Bhattacharyya, S.; Sarkar, A.; Dey, S.K.; Mukherjee, A. Effect of glucosamine conjugation to zinc(II) complexes of a bis-pyrazole ligand: Syntheses, characterization and anticancer activity. J. Inorg. Biochem. 2014, 140, 131–142. [Google Scholar] [CrossRef]
- Prasad, A.S.; Beck, F.W.; Snell, D.C.; Kucuk, O. Zinc in cancer prevention. Nutr. Cancer 2009, 61, 879–887. [Google Scholar] [CrossRef]
- Beraldo, H.; Gambino, D. The wide pharmacological versatility of semicarbazones, thiosemicarbozones and their metal complexes. Mini-Rev. Med. Chem. 2004, 4, 31–39. [Google Scholar]
- Zhang, S.Q.; Yu, X.F.; Zhang, H.B.; Peng, N.; Chen, Z.X.; Cheng, Q.; Zhang, X.L.; Cheng, S.H.; Zhang, Y. Comparison of the Oral Absorption, Distribution, Excretion, and Bioavailability of Zinc Sulfate, Zinc Gluconate, and Zinc-Enriched Yeast in Rats. Mol. Nutr. Food Res. 2018, 62, e170098. [Google Scholar]
- Rider, S.A.; Davies, S.J.; Jha, A.N.; Clough, R.; Sweetman, J.W. Bioavailability of co-supplemented organic and inorganic zinc and selenium sources in a white fishmeal-based rainbow trout (Oncorhynchus mykiss) diet. J. Anim. Physiol. Anim. Nutr. 2010, 94, 99–110. [Google Scholar] [CrossRef]
- Terenzi, A.; Fanelli, M.; Ambrosi, G.; Amatori, S.; Fusi, V.; Giorgi, L.; Turco Liveri, V.; Barone, G. DNA binding and antiproliferative activity toward human carcinoma cells of copper(ii) and zinc(ii) complexes of a 2,5-diphenyl[1,3,4]oxadiazole derivative. Dalton Trans. 2012, 41, 4389–4395. [Google Scholar] [CrossRef]
- Liguori, P.F.; Valentini, A.; Palma, M.; Bellusci, A.; Bernardini, S.; Ghedini, M.; Panno, M.L.; Pettinari, C.; Marchetti, F.; Crispini, A.; et al. Non-classical anticancer agents: Synthesis and biological evaluation of zinc(II) heteroleptic complexes. Dalton Trans. 2010, 39, 4205–4212. [Google Scholar] [CrossRef]
- Jiang, Q.; Zhu, J.; Zhang, Y.; Xiao, N.; Guo, Z. DNA binding property, nuclease activity and cytotoxicity of Zn(II) complexes of terpyridine derivatives. Biometals 2009, 22, 297–305. [Google Scholar] [CrossRef] [PubMed]
- Sanz Mendiguchia, B.; Pucci, D.; Mastropietro, T.F.; Ghedini, M.; Crispini, A. Non-classical anticancer agents: On the way to water soluble zinc(II) heteroleptic complexes. Dalton Trans. 2013, 42, 6768–6774. [Google Scholar] [CrossRef] [PubMed]
- Roguin, L.P.; Chiarante, N.; García Vior, M.C.; Marino, J. Zinc(II) phthalocyanines as photosensitizers for antitumor photodynamic therapy. Int. J. Biochem. Cell Biol. 2019, 114, 105575. [Google Scholar] [CrossRef] [PubMed]
- Kuzyniak, W.; Ermilov, E.A.; Atilla, D.; Gurek, A.G.; Nitzsche, B.; Derkow, K.; Hoffmann, B.; Steinemann, G.; Ahsen, V.; Hopfner, M. Tetra-triethyleneoxysulfonyl substituted zinc phthalocyanine for photodynamic cancer therapy. Photodiagn. Photodyn. Ther. 2016, 13, 148–157. [Google Scholar] [CrossRef] [PubMed]
- Karagöz, I.D.; Yilmaz, Y.; Sanusi, K. Anticancer Activity Study and Density Functional/Time-Dependent Density Functional Theory (DFT/TD-DFT) Calculations of 2(3),9(10),16(17),23(24)-Tetrakis-(6-Methylpyridin-2-Yloxy)Phthalocyaninato Zn(II). J. Fluoresc. 2020, 30, 1151–1160. [Google Scholar] [CrossRef]
- Qian, J.; Wang, L.; Gu, W.; Liu, X.; Tian, J.; Yan, S. Efficient double-strand cleavage of DNA mediated by Zn(ii)-based artificial nucleases. Dalton Trans. 2011, 40, 5617–5624. [Google Scholar] [CrossRef]
- Boseggia, E.; Gatos, M.; Lucatello, L.; Mancin, F.; Moro, S.; Palumbo, M.; Sissi, C.; Tecilla, P.; Tonellato, U.; Zagotto, G. Toward Efficient Zn(II)-Based Artificial Nucleases. J. Am. Chem. Soc. 2004, 126, 4543–4549. [Google Scholar] [CrossRef]
- Pucci, D.; Crispini, A.; Sanz Mendiguchia, B.; Pirillo, S.; Ghedini, M.; Morelli, S.; De Bartolo, L. Improving the bioactivity of Zn(II)-curcumin based complexes. Dalton Trans. 2013, 42, 9679–9687. [Google Scholar] [CrossRef]
- Lee, S.K.; Tan, K.W.; Ng, S.W. Zinc, copper and nickel derivatives of 2-[2-bromoethyliminomethyl]phenol as topoisomerase inhibitors exhibiting anti-proliferative and antimetastatic properties. RSC Adv. 2014, 4, 60280–60292. [Google Scholar] [CrossRef]
- Jannesari, Z.; Hadadzadeh, H.; Amirghofran, Z.; Simpson, J.; Khayamian, T.; Maleki, B. A mononuclear zinc(II) complex with piroxicam: Crystal structure, DNA- and BSA-binding studies; in vitro cell cytotoxicity and molecular modeling of oxicam complexes. Spectrochim. Acta Part A 2015, 136 Pt B, 1119–1133. [Google Scholar] [CrossRef]
- Tan, J.; Wang, B.; Zhu, L. DNA binding, cytotoxicity, apoptotic inducing activity, and molecular modeling study of quercetin zinc(II) complex. Bioorg. Med. Chem. 2009, 17, 614–620. [Google Scholar] [CrossRef] [PubMed]
- Singh, R.; Afzal, M.; Zaki, M.; Ahmad, M.; Tabassum, S.; Bharadwaj, P.K. Synthesis, structure elucidation and DFT studies of a new coumarin-derived Zn(ii) complex: In vitro DNA/HSA binding profile and pBR322 cleavage pathway. RSC Adv. 2014, 4, 43504–43515. [Google Scholar] [CrossRef]
- Gao, C.Y.; Qiao, X.; Ma, Z.Y.; Wang, Z.G.; Lu, J.; Tian, J.L.; Xu, J.Y.; Yan, S.P. Synthesis, characterization, DNA binding and cleavage, BSA interaction and anticancer activity of dinuclear zinc complexes. Dalton Trans. 2012, 41, 12220–12232. [Google Scholar] [CrossRef] [PubMed]
- Gandin, V.; Porchia, M.; Tisato, F.; Zanella, A.; Severin, E.; Dolmella, A.; Marzano, C. Novel Mixed-Ligand Copper(I) Complexes: Role of Diimine Ligands on Cytotoxicity and Genotoxicity. J. Med. Chem. 2013, 56, 7416–7430. [Google Scholar] [CrossRef] [PubMed]
- Winter, A.; Gottschaldt, M.; Newkome, G.R.; Schubert, U.S. Terpyridines and their complexes with first row transition metal ions: Cytotoxicity, nuclease activity and self-assembly of Biomacromolecules. Curr. Top. Med. Chem. 2012, 12, 158–175. [Google Scholar] [CrossRef]
- Medlycott, E.A.; Hanan, G.S. Designing tridentate ligands for ruthenium(ii) complexes with prolonged room temperature luminescence lifetimes. Chem. Soc. Rev. 2005, 34, 133–142. [Google Scholar] [CrossRef]
- Vaidyanathan, V.G.; Nair, B.U. Nucleobase oxidation of DNA by (terpyridyl)chromium(III) derivatives. Eur. J. Inorg. Chem. 2004, 2004, 1840–1846. [Google Scholar] [CrossRef]
- Manikandamathavan, V.M.; Weyhermüller, T.; Parameswari, R.P.; Sathishkumar, M.; Subramanian, V.; Nair, B.U. DNA/protein interaction and cytotoxic activity of imidazole terpyridine derived Cu(ii)/Zn(ii) metal complexes. Dalton Trans. 2014, 43, 13018–13031. [Google Scholar] [CrossRef]
- Pellei, M.; Pettinari, C.; Cingolani, A.; Lacche, A. On the interaction between imidazoles and zinc salts. The role of counterions and of substituents. Main Group Met. Chem. 2000, 23, 673–682. [Google Scholar] [CrossRef]
- Maura, P.; Claudio, P. On the interaction between imidazoles and cadmium salts. Comparison between cadmium and zinc complexes of imidazoles. Main Group Met. Chem. 2001, 24, 43–52. [Google Scholar]
- Huang, K.B.; Mo, H.Y.; Chen, Z.F.; Wei, J.H.; Liu, Y.C.; Liang, H. Isoquinoline derivatives Zn(II)/Ni(II) complexes: Crystal structures, cytotoxicity, and their action mechanism. Eur. J. Med. Chem. 2015, 100, 68–76. [Google Scholar] [CrossRef] [PubMed]
- Wang, F.Y.; Xi, Q.Y.; Huang, K.B.; Tang, X.M.; Chen, Z.F.; Liu, Y.C.; Liang, H. Crystal structure, cytotoxicity and action mechanism of Zn(II)/Mn(II) complexes with isoquinoline ligands. J. Inorg. Biochem. 2017, 169, 23–31. [Google Scholar] [CrossRef] [PubMed]
- Chen, Y.Q.; Liu, G.C.; Lin, H.Y.; Wang, X.L.; Gao, Q. Coordination polymers constructed from 2-(2-thienyl)imidazo[4,5-f]1,10-phenanthroline and isophthalate: Synthesis, characterization and luminescent property. J. Coord. Chem. 2010, 63, 1327–1338. [Google Scholar] [CrossRef]
- Liu, H.; Guo, Q.; Dong, J.; Wei, Q.; Zhang, H.; Sun, X.; Liu, C.; Li, L. Synthesis, crystal structure, and interaction with DNA and BSA of a chromium(III) complex with naph-gly Schiff base and 1,10-phenanthroline. J. Coord. Chem. 2015, 68, 1040–1053. [Google Scholar] [CrossRef]
- Jagadeesan, S.; Balasubramanian, V.; Baumann, P.; Neuburger, M.; Häussinger, D.; Palivan, C.G. Water-soluble Co(III) complexes of substituted phenanthrolines with cell selective anticancer activity. Inorg. Chem. 2013, 52, 12535–12544. [Google Scholar] [CrossRef] [PubMed]
- Wesselinova, D.; Neykov, M.; Kaloyanov, N.; Toshkova, R.; Dimitrov, G. Antitumour activity of novel 1,10-phenanthroline and 5-amino-1,10-phenanthroline derivatives. Eur. J. Med. Chem. 2009, 44, 2720–2723. [Google Scholar] [CrossRef] [PubMed]
- Ambika, S.; Arunachalam, S.; Arun, R.; Premkumar, K. Synthesis, nucleic acid binding, anticancer and antimicrobial activities of polymer-copper(ii) complexes containing intercalative phenanthroline ligand(DPQ). RSC Adv. 2013, 3, 16456–16468. [Google Scholar] [CrossRef]
- Anbu, S.; Kandaswamy, M.; Kamalraj, S.; Muthumarry, J.; Varghese, B. Phosphatase-like activity, DNA binding, DNA hydrolysis, anticancer and lactate dehydrogenase inhibition activity promoting by a new bis-phenanthroline dicopper(II) complex. Dalton Trans. 2011, 40, 7310–7318. [Google Scholar] [CrossRef]
- Roy, S.; Hagen, K.D.; Maheswari, P.U.; Lutz, M.; Spek, A.L.; Reedijk, J.; Van Wezel, G.P. Phenanthroline derivatives with improved selectivity as DNA-targeting anticancer or antimicrobial drugs. ChemMedChem 2008, 3, 1427–1434. [Google Scholar] [CrossRef]
- Segura, D.F.; Netto, A.V.G.; Frem, R.C.G.; Mauro, A.E.; Da Silva, P.B.; Fernandes, J.A.; Paz, F.A.A.; Dias, A.L.T.; Silva, N.C.; De Almeida, E.T.; et al. Synthesis and biological evaluation of ternary silver compounds bearing N,N-chelating ligands and thiourea: X-ray structure of [{Ag(bpy)(μ-tu)}2](NO3)2 (bpy = 2,2′-bipyridine; Tu = thiourea). Polyhedron 2014, 79, 197–206. [Google Scholar] [CrossRef]
- Waki, M.; Maegawa, Y.; Hara, K.; Goto, Y.; Shirai, S.; Yamada, Y.; Mizoshita, N.; Tani, T.; Chun, W.J.; Muratsugu, S.; et al. A solid chelating ligand: Periodic mesoporous organosilica containing 2,2′-bipyridine within the pore walls. J. Am. Chem. Soc. 2014, 136, 4003–4011. [Google Scholar] [CrossRef] [PubMed]
- Gao, E.J.; Sun, T.D.; Liu, S.H.; Ma, S.; Wen, Z.; Wang, Y.; Zhu, M.C.; Wang, L.; Gao, X.N.; Guan, F.; et al. Synthesis, characterization, interaction with DNA and cytotoxicity in vitro of novel pyridine complexes with Zn(II). Eur. J. Med. Chem. 2010, 45, 4531–4538. [Google Scholar] [CrossRef] [PubMed]
- Acilan, C.; Cevatemre, B.; Adiguzel, Z.; Karakas, D.; Ulukaya, E.; Ribeiro, N.; Correia, I.; Pessoa, J.C. Synthesis, biological characterization and evaluation of molecular mechanisms of novel copper complexes as anticancer agents. Biochim. Biophys. Acta Gen. Subj. 2017, 1861, 218–234. [Google Scholar] [CrossRef]
- Prisecaru, A.; McKee, V.; Howe, O.; Rochford, G.; McCann, M.; Colleran, J.; Pour, M.; Barron, N.; Gathergood, N.; Kellett, A. Regulating bioactivity of Cu2+ Bis-1,10-phenanthroline artificial metallonucleases with sterically functionalized pendant carboxylates. J. Med. Chem. 2013, 56, 8599–8615. [Google Scholar] [CrossRef] [PubMed]
- McGivern, T.J.P.; Afsharpour, S.; Marmion, C.J. Copper complexes as artificial DNA metallonucleases: From Sigman’s reagent to next generation anti-cancer agent? Inorg. Chim. Acta 2018, 472, 12–39. [Google Scholar] [CrossRef]
- Galindo-Murillo, R.; García-Ramos, J.C.; Ruiz-Azuara, L.; Cheatham, T.E.; Cortés-Guzmán, F. Intercalation processes of copper complexes in DNA. Nucleic Acids Res. 2015, 43, 5364–5376. [Google Scholar] [CrossRef] [PubMed]
- Pivetta, T.; Trudu, F.; Valletta, E.; Isaia, F.; Castellano, C.; Demartin, F.; Tuveri, R.; Vascellari, S.; Pani, A. Novel copper(II) complexes as new promising antitumour agents. A crystal structure of [Cu(1,10-phenanthroline-5,6-dione)2(OH2)(OClO3)](ClO4). J. Inorg. Biochem. 2014, 141, 103–113. [Google Scholar] [CrossRef]
- Ruiz-Azuara, L.; Bravo-Gómez, M.E. Copper compounds in cancer chemotherapy. Curr. Med. Chem. 2010, 17, 3606–3615. [Google Scholar] [CrossRef]
- Shi, X.; Chen, Z.; Wang, Y.; Guo, Z.; Wang, X. Hypotoxic copper complexes with potent anti-metastatic and anti-angiogenic activities against cancer cells. Dalton Trans. 2018, 47, 5049–5054. [Google Scholar] [CrossRef]
- Scalese, G.; Correia, I.; Benítez, J.; Rostán, S.; Marques, F.; Mendes, F.; Matos, A.P.; Costa Pessoa, J.; Gambino, D. Evaluation of cellular uptake, cytotoxicity and cellular ultrastructural effects of heteroleptic oxidovanadium(IV) complexes of salicylaldimines and polypyridyl ligands. J. Inorg. Biochem. 2017, 166, 162–172. [Google Scholar] [CrossRef]
- Barone, G.; Terenzi, A.; Lauria, A.; Almerico, A.M.; Leal, J.M.; Busto, N.; García, B. DNA-binding of nickel(II), copper(II) and zinc(II) complexes: Structure-affinity relationships. Coord. Chem. Rev. 2013, 257, 2848–2862. [Google Scholar] [CrossRef]
- Mari, C.; Pierroz, V.; Rubbiani, R.; Patra, M.; Hess, J.; Spingler, B.; Oehninger, L.; Schur, J.; Ott, I.; Salassa, L.; et al. DNA intercalating RuII polypyridyl complexes as effective photosensitizers in photodynamic therapy. Chem.-Eur. J. 2014, 20, 14421–14436. [Google Scholar] [CrossRef] [PubMed]
- Ambrosek, D.; Loos, P.F.; Assfeld, X.; Daniel, C. A theoretical study of Ru(II) polypyridyl DNA intercalators. Structure and electronic absorption spectroscopy of [Ru(phen)2(dppz)]2+ and [Ru(tap)2(dppz)]2+ complexes intercalated in guanine-cytosine base pairs. J. Inorg. Biochem. 2010, 104, 893–901. [Google Scholar] [CrossRef]
- Salimi, M.; Abdi, K.; Kandelous, H.M.; Hadadzadeh, H.; Azadmanesh, K.; Amanzadeh, A.; Sanati, H. Antiproliferative effects of copper(II)-polypyridyl complexes in breast cancer cells through inducing apoptosis. Biometals 2015, 28, 267–278. [Google Scholar] [CrossRef]
- Triki, S.; Gómez-García, C.J.; Ruiz, E.; Sala-Pala, J. Asymmetric azido-copper(II) bridges: Ferro- or antiferromagnetic? Experimental and theoretical magneto-structural studies. Inorg. Chem. 2005, 44, 5501–5508. [Google Scholar] [CrossRef] [PubMed]
- Thamilarasan, V.; Jayamani, A.; Sengottuvelan, N. Synthesis, molecular structure, biological properties and molecular docking studies on Mn(II), Co(II) and Zn(II) complexes containing bipyridine-azide ligands. Eur. J. Med. Chem. 2015, 89, 266–278. [Google Scholar] [CrossRef] [PubMed]
- Gao, E.; Sun, N.; Zhang, S.; Ding, Y.; Qiu, X.; Zhan, Y.; Zhu, M. Synthesis, structures, molecular docking, cytotoxicity and bioimaging studies of two novel Zn(II) complexes. Eur. J. Med. Chem. 2016, 121, 1–11. [Google Scholar] [CrossRef]
- Ni, L.; Wang, J.; Liu, C.; Fan, J.; Sun, Y.; Zhou, Z.; Diao, G. An asymmetric binuclear zinc(ii) complex with mixed iminodiacetate and phenanthroline ligands: Synthesis, characterization, structural conversion and anticancer properties. Inorg. Chem. Front. 2016, 3, 959–968. [Google Scholar] [CrossRef]
- Khan, R.A.; de Almeida, A.; Al-Farhan, K.; Alsalme, A.; Casini, A.; Ghazzali, M.; Reedijk, J. Transition-metal norharmane compounds as possible cytotoxic agents: New insights based on a coordination chemistry perspective. J. Inorg. Biochem. 2016, 165, 128–135. [Google Scholar] [CrossRef]
- Bhattacharyya, M.K.; Gogoi, A.; Chetry, S.; Dutta, D.; Verma, A.K.; Sarma, B.; Franconetti, A.; Frontera, A. Antiproliferative evaluation and supramolecular association in Mn(II) and Zn(II) bipyridine complexes: Combined experimental and theoretical studies. J. Inorg. Biochem. 2019, 200, 110803. [Google Scholar] [CrossRef]
- Selvakumar, B.; Rajendiran, V.; Uma Maheswari, P.; Stoeckli-Evans, H.; Palaniandavar, M. Structures, spectra, and DNA-binding properties of mixed ligand copper(II) complexes of iminodiacetic acid: The novel role of diimine co-ligands on DNA conformation and hydrolytic and oxidative double strand DNA cleavage. J. Inorg. Biochem. 2006, 100, 316–330. [Google Scholar] [CrossRef] [PubMed]
- Yuan, C.; Zhu, M.; Wang, Q.; Lu, L.; Xing, S.; Fu, X.; Jiang, Z.; Zhang, S.; Li, Z.; Li, Z.; et al. Potent and selective inhibition of T-cell protein tyrosine phosphatase (TCPTP) by a dinuclear copper(II) complex. Chem. Commun. 2012, 48, 1153–1155. [Google Scholar] [CrossRef] [PubMed]
- Zheng, L.; Yan, X.; Han, X.; Chen, H.; Lin, W.; Lee, F.S.C.; Wang, X. Identification of norharman as the cytotoxic compound produced by the sponge (Hymeniacidon perleve)-associated marine bacterium Pseudoalteromonas piscicida and its apoptotic effect on cancer cells. Biotechnol. Appl. Biochem. 2006, 44, 135–142. [Google Scholar] [PubMed]
- Morin, A.M. β-Carboline kindling of the benzodiazepine receptor. Brain Res. 1984, 321, 151–154. [Google Scholar] [CrossRef]
- Hoon, K.; Sablin, S.O.; Ramsay, R.R. Inhibition of monoamine oxidase A by β-Carboline derivatives. Arch. Biochem. Biophys. 1997, 337, 137–142. [Google Scholar]
- Funayama, Y.; Nishio, K.; Wakabayashi, K.; Nagao, M.; Shimoi, K.; Ohira, T.; Hasegawa, S.; Saijo, N. Effects of β- and γ-carboline derivatives on DNA topoisomerase activities. Mutat. Res. Fundam. Mol. Mech. Mutagenes. 1996, 349, 183–191. [Google Scholar] [CrossRef]
- Zhao, B.; Chen, X.Y.; Chen, Z.; Shi, W.; Cheng, P.; Yan, S.P.; Liao, D.Z. A porous 3D heterometal-organic framework containing both lanthanide and high-spin Fe(II) ions. Chem. Commun. 2009, 3113–3115. [Google Scholar] [CrossRef]
- Das, B.; Baruah, J.B. Assembling of copper(II) dipicolinate complexes. Polyhedron 2012, 31, 361–367. [Google Scholar] [CrossRef]
- Correia, I.; Roy, S.; Matos, C.P.; Borovic, S.; Butenko, N.; Cavaco, I.; Marques, F.; Lorenzo, J.; Rodríguez, A.; Moreno, V.; et al. Vanadium(IV) and copper(II) complexes of salicylaldimines and aromatic heterocycles: Cytotoxicity, DNA binding and DNA cleavage properties. J. Inorg. Biochem. 2015, 147, 134–146. [Google Scholar] [CrossRef]
- Matos, C.P.; Addis, Y.; Nunes, P.; Barroso, S.; Alho, I.; Martins, M.; Matos, A.P.A.; Marques, F.; Cavaco, I.; Costa Pessoa, J.; et al. Exploring the cytotoxic activity of new phenanthroline salicylaldimine Zn(II) complexes. J. Inorg. Biochem. 2019, 198, 110727. [Google Scholar] [CrossRef]
- Omar, M.M.; Abd El-Halim, H.F.; Khalil, E.A.M. Synthesis, characterization, and biological and anticancer studies of mixed ligand complexes with Schiff base and 2,2′-bipyridine. Appl. Organomet. Chem. 2017, 31, e3724. [Google Scholar] [CrossRef]
- Niu, C.; Zong, Z.; Zhang, X.; Wu, R.; Li, N.; Wang, H.; Bi, C.; Fan, Y. Synthesis, structures and biological activity of novel complexes with trifluorinated anthranilic acid derivatives. J. Mol. Struct. 2019, 1194, 42–47. [Google Scholar] [CrossRef]
- Panchsheela Ashok, U.; Prasad Kollur, S.; Prakash Arun, B.; Sanjay, C.; Shrikrishna Suresh, K.; Anil, N.; Vasant Baburao, H.; Markad, D.; Ortega Castro, J.; Frau, J.; et al. In vitro anticancer activity of 4(3H)-quinazolinone derived Schiff base and its Cu(II), Zn(II) and Cd(II) complexes: Preparation, X-ray structural, spectral characterization and theoretical investigations. Inorg. Chim. Acta 2020, 511, 119846. [Google Scholar] [CrossRef]
- Deb, J.; Lakshman, T.R.; Ghosh, I.; Jana, S.S.; Paine, T.K. Mechanistic studies of in vitro anti-proliferative and anti-inflammatory activities of the Zn(II)-NSAID complexes of 1,10-phenanthroline-5,6-dione in MDA-MB-231 cells. Dalton Trans. 2020, 49, 11375–11384. [Google Scholar] [CrossRef]
- Valladolid, J.; Hortigüela, C.; Busto, N.; Espino, G.; Rodríguez, A.M.; Leal, J.M.; Jalón, F.A.; Manzano, B.R.; Carbayo, A.; García, B. Phenanthroline ligands are biologically more active than their corresponding ruthenium(ii) arene complexes. Dalton Trans. 2014, 43, 2629–2645. [Google Scholar] [CrossRef]
- Bencini, A.; Lippolis, V. 1,10-Phenanthroline: A versatile building block for the construction of ligands for various purposes. Coord. Chem. Rev. 2010, 254, 2096–2180. [Google Scholar] [CrossRef]
- Lee, S.R. Critical Role of Zinc as Either an Antioxidant or a Prooxidant in Cellular Systems. Oxid. Med. Cell. Longev. 2018, 2018, 9156285. [Google Scholar] [CrossRef]
- Faidallah, H.M.; Khan, K.A.; Asiri, A.M. Synthesis and biological evaluation of new 3,5-di(trifluoromethyl)-1,2,4- triazolesulfonylurea and thiourea derivatives as antidiabetic and antimicrobial agents. J. Fluorine Chem. 2011, 132, 870–877. [Google Scholar] [CrossRef]
- Wang, Y.-L.; Zhang, X.; Meng, X.-M.; Li, X.; Bi, C.-F.; Fan, Y.-H. Synthesis, crystal structures and biological evaluation of three ternary copper(II) complexes with fluorinated anthranilic acid derivatives. Transit. Met. Chem. 2016, 41, 897–907. [Google Scholar] [CrossRef]
- Pathak, R.K.; Marrache, S.; Choi, J.H.; Berding, T.B.; Dhar, S. The prodrug platin-A: Simultaneous release of cisplatin and aspirin. Angew. Chem. Int. Ed. 2014, 53, 1963–1967. [Google Scholar] [CrossRef]
- Basu, U.; Banik, B.; Wen, R.; Pathak, R.K.; Dhar, S. The Platin-X series: Activation, targeting, and delivery. Dalton Trans. 2016, 45, 12992–13004. [Google Scholar] [CrossRef] [PubMed]
- Boodram, J.N.; McGregor, I.J.; Bruno, P.M.; Cressey, P.B.; Hemann, M.T.; Suntharalingam, K. Breast Cancer Stem Cell Potent Copper(II)-Non-Steroidal Anti-Inflammatory Drug Complexes. Angew. Chem. Int. Ed. 2016, 55, 2845–2850. [Google Scholar] [CrossRef] [PubMed]
- Lakshman, T.R.; Deb, J.; Paine, T.K. Anti-inflammatory activity and enhanced COX-2 selectivity of nitric oxide-donating zinc(II)-NSAID complexes. Dalton Trans. 2016, 45, 14053–14057. [Google Scholar] [CrossRef] [PubMed]
- Jarosz, M.; Szkaradek, N.; Marona, H.; Nowak, G.; Młyniec, K.; Librowski, T. Evaluation of anti-inflammatory and ulcerogenic potential of zinc–ibuprofen and zinc–naproxen complexes in rats. Inflammopharmacology 2017, 25, 653–663. [Google Scholar] [CrossRef]
- Banti, C.N.; Papatriantafyllopoulou, C.; Tasiopoulos, A.J.; Hadjikakou, S.K. New metalo-therapeutics of NSAIDs against human breast cancer cells. Eur. J. Med. Chem. 2018, 143, 1687–1701. [Google Scholar] [CrossRef]
- Hussain, A.; AlAjmi, M.F.; Rehman, M.T.; Amir, S.; Husain, F.M.; Alsalme, A.; Siddiqui, M.A.; AlKhedhairy, A.A.; Khan, R.A. Copper(II) complexes as potential anticancer and Nonsteroidal anti-inflammatory agents: In vitro and in vivo studies. Sci. Rep. 2019, 9, 1–17. [Google Scholar] [CrossRef]
- Lakshman, T.R.; Deb, J.; Ghosh, I.; Sarkar, S.; Paine, T.K. Combining anti-inflammatory and anti-proliferative activities in ternary metal-NSAID complexes of a polypyridylamine ligand. Inorg. Chim. Acta 2019, 486, 663–668. [Google Scholar] [CrossRef]
- Bodige, S.; MacDonnell, F.M. Synthesis of free and ruthenium coordinated 5,6-diamino-1,10-phenanthroline. Tetrahedron Lett. 1997, 38, 8159–8160. [Google Scholar] [CrossRef]
- Devereux, M.; Shea, D.O.; Kellett, A.; McCann, M.; Walsh, M.; Egan, D.; Deegan, C.; Kedziora, K.; Rosair, G.; Müller-Bunz, H. Synthesis, X-ray crystal structures and biomimetic and anticancer activities of novel copper(II)benzoate complexes incorporating 2-(4′-thiazolyl)benzimidazole (thiabendazole), 2-(2-pyridyl)benzimidazole and 1,10-phenanthroline as chelating nitrogen donor ligands. J. Inorg. Biochem. 2007, 101, 881–892. [Google Scholar] [PubMed]
- Ma, Z.; Lu, W.; Liang, B.; Pombeiro, A.J.L. Synthesis, characterization, photoluminescent and thermal properties of zinc(II) 4′-phenyl-terpyridine compounds. New J. Chem. 2013, 37, 1529–1537. [Google Scholar] [CrossRef]
- Fik, M.A.; Gorczyński, A.; Kubicki, M.; Hnatejko, Z.; Fedoruk-Wyszomirska, A.; Wyszko, E.; Giel-Pietraszuk, M.; Patroniak, V. 6,6″-Dimethyl-2,2′:6′,2″-terpyridine revisited: New fluorescent silver(I) helicates with in vitro antiproliferative activity via selective nucleoli targeting. Eur. J. Med. Chem. 2014, 86, 456–468. [Google Scholar] [CrossRef]
- Ma, Z.; Zhang, B.; Guedes Da Silva, M.F.C.; Silva, J.; Mendo, A.S.; Baptista, P.V.; Fernandes, A.R.; Pombeiro, A.J.L. Synthesis, characterization, thermal properties and antiproliferative potential of copper(II) 4′-phenyl-terpyridine compounds. Dalton Trans. 2016, 45, 5339–5355. [Google Scholar] [CrossRef] [PubMed]
- Liang, X.; Jiang, J.; Xue, X.; Huang, L.; Ding, X.; Nong, D.; Chen, H.; Pan, L.; Ma, Z. Synthesis, characterization, photoluminescence, anti-tumor activity, DFT calculations and molecular docking with proteins of zinc(ii) halogen substituted terpyridine compounds. Dalton Trans. 2019, 48, 10488–10504. [Google Scholar] [CrossRef] [PubMed]
- Zhang, Y.; Zhou, P.; Liang, B.; Huang, L.; Zhou, Y.; Ma, Z. Effects of counterions of colorful sandwich-type zinc(II) 4′-phenyl-terpyridine compounds on photoluminescent and thermal properties. J. Mol. Struct. 2017, 1146, 504–511. [Google Scholar] [CrossRef]
- Indumathy, R.; Radhika, S.; Kanthimathi, M.; Weyhermuller, T.; Unni Nair, B. Cobalt complexes of terpyridine ligand: Crystal structure and photocleavage of DNA. J. Inorg. Biochem. 2007, 101, 434–443. [Google Scholar] [CrossRef] [PubMed]
- Messori, L.; Marcon, G.; Innocenti, A.; Gallori, E.; Franchi, M.; Orioli, P. Molecular recognition of metal complexes by DNA: A comparative study of the interactions of the parent complexes [PtCl(TERPY)]Cl and [AuCl(TERPY)]Cl2 with double stranded DNA. Bioinorg. Chem. Appl. 2005, 2005, 239–253. [Google Scholar] [CrossRef] [PubMed]
- Gao, E.J.; Feng, Y.H.; Su, J.Q.; Meng, B.; Jia, B.; Qi, Z.Z.; Peng, T.T.; Zhu, M.C. Synthesis, characterization, DNA binding, apoptosis and molecular docking of three Mn(II), Zn(II) and Cu(II) complexes with terpyridine-based carboxylic acid. Appl. Organomet. Chem. 2018, 32, e4164. [Google Scholar] [CrossRef]
- Li, J.; Liu, R.; Jiang, J.; Liang, X.; Huang, L.; Huang, G.; Chen, H.; Pan, L.; Ma, Z. Zinc(II) terpyridine complexes: Substituent effect on photoluminescence, antiproliferative activity, and DNA interaction. Molecules 2019, 24, 4519. [Google Scholar] [CrossRef]
- Malarz, K.; Zych, D.; Kuczak, M.; Musiol, R.; Mrozek-Wilczkiewicz, A. Anticancer activity of 4′-phenyl-2,2′:6′,2′′-terpyridines—Behind the metal complexation. Eur. J. Med. Chem. 2020, 189, 112039. [Google Scholar] [CrossRef]
- Soldatović, T.V.; Selimović, E.; Šmit, B.; Ašanin, D.; Planojević, N.S.; Marković, S.D.; Puchta, R.; Alzoubi, B.M. Interactions of zinc(II) complexes with 5′-GMP and their cytotoxic activity. J. Coord. Chem. 2019, 72, 690–706. [Google Scholar] [CrossRef]
- Zhang, Y.-P.; Ma, Z.-Y.; Gao, C.-Y.; Qiao, X.; Tian, J.-L.; Gu, W.; Liu, X.; Xu, J.-Y.; Zhao, J.-Z.; Yan, S.-P. Two dpa-based zinc(ii) complexes as potential anticancer agents: Nuclease activity, cytotoxicity and apoptosis studies. New J. Chem. 2016, 40, 7513–7521. [Google Scholar] [CrossRef]
- Zhang, Z.; Pang, H.; Ma, H.; Li, S.; Zhao, C. pH-Directed assembly of four polyoxometalate-based supramolecular hybrids by using tritopic bridging ligand 1,3,5-tris-(1-imidazolyl)-benzene: Structures and electrocatalytic properties. Solid State Sci. 2018, 75, 1–8. [Google Scholar] [CrossRef]
- Li, Y.L.; Zhao, Y.; Kang, Y.S.; Liu, X.H.; Sun, W.Y. Syntheses, Structures, and Sorption Properties of Metal-Organic Frameworks with 1,3,5-Tris(1-imidazolyl)benzene and Tricarboxylate Ligands. Cryst. Growth Des. 2016, 16, 7112–7123. [Google Scholar] [CrossRef]
- Zhu, M.; Zhao, H.; Peng, T.; Su, J.; Meng, B.; Qi, Z.; Jia, B.; Feng, Y.; Gao, E. Structure and cytotoxicity of zinc (II) and cobalt (II) complexes based on 1,3,5-tris(1-imidazolyl) benzene. Appl. Organomet. Chem. 2019, 33, e4734. [Google Scholar] [CrossRef]
- Zhu, M.; Song, D.; Liu, N.; Wang, K.; Su, J.; Xiong, M.; Zhang, X.; Xu, Y.; Gao, E. Isomeric Effect on the anticancer Behavior of two Zinc (II) complexes based on 3,5-bis(1-imidazoly) pyridine: Experimental and Theoretical Approach. Appl. Organomet. Chem. 2019, 33, e4897. [Google Scholar] [CrossRef]
- Liu, X.-R.; Zhou, Y.; Li, H. Crystal structure and anti-liver cancer activity of two Zn(II) coordination polymers based on N-donor and O-donor co-ligands. Inorg. Nano-Met. Chem. 2019, 50, 162–169. [Google Scholar] [CrossRef]
- Langer, S.Z.; Arbilla, S.; Benavides, J.; Scatton, B. Zolpidem and alpidem: Two imidazopyridines with selectivity for omega 1- and omega 3-receptor subtypes. Adv. Biochem. Psychopharmacol. 1990, 46, 61–72. [Google Scholar]
- Boggs, S.; Elitzin, V.I.; Gudmundsson, K.; Martin, M.T.; Sharp, M.J. Kilogram-scale synthesis of the CXCR4 antagonist GSK812397. Org. Process. Res. Dev. 2009, 13, 781–785. [Google Scholar] [CrossRef]
- Jenkinson, S.; Thomson, M.; McCoy, D.; Edelstein, M.; Danehower, S.; Lawrence, W.; Wheelan, P.; Spaltenstein, A.; Gudmundsson, K. Blockade of X4-tropic HIV-1 cellular entry by GSK812397, a potent noncompetitive CXCR4 receptor antagonist. Antimicrob. Agents Chemother. 2010, 54, 817–824. [Google Scholar] [CrossRef]
- Choi, W.T.; Duggineni, S.; Xu, Y.; Huang, Z.; An, J. Drug discovery research targeting the CXC chemokine receptor 4 (CXCR4). J. Med. Chem. 2012, 55, 977–994. [Google Scholar] [CrossRef]
- Enguehard-Gueiffier, C.; Gueiffier, A. Recent progress in the pharmacology of imidazol[1,2-a]pyridines. Mini-Rev. Med. Chem. 2007, 7, 888–899. [Google Scholar] [CrossRef] [PubMed]
- Dam, J.; Ismail, Z.; Kurebwa, T.; Gangat, N.; Harmse, L.; Marques, H.M.; Lemmerer, A.; Bode, M.L.; de Koning, C.B. Synthesis of copper and zinc 2-(pyridin-2-yl)imidazo[1,2-a]pyridine complexes and their potential anticancer activity. Eur. J. Med. Chem. 2017, 126, 353–368. [Google Scholar] [CrossRef] [PubMed]
- Denny, W.A.; Rewcastle, G.W.; Baguley, B.C. Potential Antitumor Agents. 59. Structure-Activity Relationships for 2-Phenylbenzimidazole-4-carboxamides, a New Class of “Minimal” DNA-Intercalating Agents Which May Not Act via Topoisomerase II. J. Med. Chem. 1990, 33, 814–819. [Google Scholar] [CrossRef] [PubMed]
- Demirayak, Ş.; Abu Mohsen, U.; Çaǧri Karaburun, A. Synthesis and anticancer and anti-HIV testing of some pyrazino[1,2-a]benzimidazole derivatives. Eur. J. Med. Chem. 2002, 37, 255–260. [Google Scholar] [CrossRef]
- Sapra Sharma, P.; Sharma, R.; Tyagi, R. Inhibitors of cyclin dependent kinases: Useful targets for cancer treatment. Curr. Cancer Drug Targets 2008, 8, 53–75. [Google Scholar] [CrossRef]
- Apohan, E.; Yilmaz, U.; Yilmaz, O.; Serindag, A.; Küçükbay, H.; Yesilada, O.; Baran, Y. Synthesis, cytotoxic and antimicrobial activities of novel cobalt and zinc complexes of benzimidazole derivatives. J. Organomet. Chem. 2017, 828, 52–58. [Google Scholar] [CrossRef]
- Yılmaz, Ü.; Tekin, S.; Buğday, N.; Yavuz, K.; Küçükbay, H.; Sandal, S. Synthesis and evaluation of anticancer properties of novel benzimidazole ligand and their cobalt(II) and zinc(II) complexes against cancer cell lines A-2780 and DU-145. Inorg. Chim. Acta 2019, 495, 118977. [Google Scholar] [CrossRef]
- Rukk, N.S.; Kuz’mina, L.G.; Davydova, G.A.; Buzanov, G.A.; Retivov, V.M.; Belus, S.K.; Kozhukhova, E.I.; Barmashov, A.E.; Khrulev, A.A.; Simonova, M.A.; et al. Synthesis, structure and cytotoxicity of a zinc(II) bromide complex with caffeine. Mendeleev Commun. 2019, 29, 640–642. [Google Scholar] [CrossRef]
- Hamdani, H.E.; Amane, M.E. Preparation, spectral, antimicrobial properties and anticancer molecular docking studies of new metal complexes [M(caffeine)4](PF6)2; M = Fe(II), Co(II), Mn(II), Cd(II), Zn(II), Cu(II), Ni(II). J. Mol. Struct. 2019, 1184, 262–270. [Google Scholar] [CrossRef]
- Zhao, J.; Guo, Y.; Hu, J.; Yu, H.; Zhi, S.; Zhang, J. Potential anticancer activity of benzimidazole-based mono/dinuclear Zn(II) complexes towards human carcinoma cells. Polyhedron 2015, 102, 163–172. [Google Scholar] [CrossRef]
- Liu, S.; Cao, W.; Yu, L.; Zheng, W.; Li, L.; Fan, C.; Chen, T. Zinc(II) complexes containing bis-benzimidazole derivatives as a new class of apoptosis inducers that trigger DNA damage-mediated p53 phosphorylation in cancer cells. Dalton Trans. 2013, 42, 5932–5940. [Google Scholar] [CrossRef] [PubMed]
- Addison, A.W.; Burke, P.J. Synthesis of some imidazole- and pyrazole-derived chelating agents. J. Heterocycl. Chem. 1981, 18, 803–805. [Google Scholar] [CrossRef]
- Martin, N.; Bünzli, J.C.G.; McKee, V.; Piguet, C.; Hopfgartner, G. Self-Assembled Dinuclear Lanthanide Helicates: Substantial Luminescence Enhancement upon Replacing Terminal Benzimidazole Groups by Carboxamide Binding Units. Inorg. Chem. 1998, 37, 577–589. [Google Scholar] [CrossRef] [PubMed]
- Zhi, S.; Li, Y.; Qiang, J.; Hu, J.; Song, W.; Zhao, J. Synthesis and anticancer evaluation of benzo-N-heterocycles transition metal complexes against esophageal cancer cell lines. J. Inorg. Biochem. 2019, 201, 110816. [Google Scholar] [CrossRef]
- Brunet, P.; Wuest, J.D. Formal transfers of hydride from carbon-hydrogen bonds. Attempted generation of H2 by intramolecular protonolyses of the activated carbon-hydrogen bonds of dihydrobenzimidazoles. Can. J. Chem. 1996, 74, 689–696. [Google Scholar] [CrossRef]
- Gilbert, J.G.; Addison, A.W.; Prabakaran, P.; Butcher, R.J.; Bocelli, G. A novel paradigm for metal-induced ring flipping in the copper(II) complex of 1,2-bis(N-methylbenzimidazol-2′-yl)benzene triflate. Inorg. Chem. Commun. 2004, 7, 701–704. [Google Scholar] [CrossRef]
- Bheemanna, H.G.; Gayathri, V.; Gowda, N.M.N. Synthesis and characterisation of palladium(II) complexes with 1,2-bis(N-methylbenzimidazolyl)benzene. J. Chem. Res. 2006, 2006, 530–533. [Google Scholar] [CrossRef]
- Su, W.-Y.; Pan, R.-K.; Song, J.-L.; Li, G.-B.; Liu, S.-G. Synthesis, crystal structures and cytotoxic activity of two zinc(II) complexes derived from benzimidazole derivatives. Polyhedron 2019, 161, 268–275. [Google Scholar] [CrossRef]
- Pan, R.-K.; Song, J.-L.; Li, G.-B.; Lin, S.-Q.; Liu, S.-G.; Yang, G.-Z. Copper(II), cobalt(II) and zinc(II) complexes based on a tridentate bis(benzimidazole)pyridine ligand: Synthesis, crystal structures, electrochemical properties and antitumour activities. Transit. Met. Chem. 2017, 42, 253–262. [Google Scholar] [CrossRef]
- Da Silva, C.M.; Da Silva, D.L.; Modolo, L.V.; Alves, R.B.; De Resende, M.A.; Martins, C.V.B.; De Fátima, Â. Schiff bases: A short review of their antimicrobial activities. J. Adv. Res. 2011, 2, 1–8. [Google Scholar] [CrossRef]
- Saghatforoush, L.; Moeini, K.; Hosseini-Yazdi, S.A.; Mardani, Z.; Hajabbas-Farshchi, A.; Jameson, H.T.; Telfer, S.G.; Woollins, J.D. Theoretical and experimental investigation of anticancer activities of an acyclic and symmetrical compartmental Schiff base ligand and its Co(II), Cu(II) and Zn(II) complexes. RSC Adv. 2018, 8, 35625–35639. [Google Scholar] [CrossRef]
- Zhang, M.; Xian, D.M.; Li, H.H.; Zhang, J.C.; You, Z.L. Synthesis and structures of halo-substituted aroylhydrazones with antimicrobial activity. Aust. J. Chem. 2012, 65, 343–350. [Google Scholar] [CrossRef]
- Shanker, K.; Rohini, R.; Ravinder, V.; Reddy, P.M.; Ho, Y.P. Ru(II) complexes of N4 and N2O2 macrocyclic Schiff base ligands: Their antibacterial and antifungal studies. Spectrochim. Acta Part A 2009, 73, 205–211. [Google Scholar] [CrossRef] [PubMed]
- Taha, M.; Ismail, N.H.; Baharudin, M.S.; Lalani, S.; Mehboob, S.; Khan, K.M.; Yousuf, S.; Siddiqui, S.; Rahim, F.; Choudhary, M.I. Synthesis crystal structure of 2-methoxybenzoylhydrazones and evaluation of their α-glucosidase and urease inhibition potential. Med. Chem. Res. 2015, 24, 1310–1324. [Google Scholar] [CrossRef]
- Jing, C.; Wang, C.; Yan, K.; Zhao, K.; Sheng, G.; Qu, D.; Niu, F.; Zhu, H.; You, Z. Synthesis, structures and urease inhibitory activity of cobalt(III) complexes with Schiff bases. Bioorg. Med. Chem. 2016, 24, 270–276. [Google Scholar] [CrossRef]
- Song, W.J.; Cheng, J.P.; Jiang, D.H.; Guo, L.; Cai, M.F.; Yang, H.B.; Lin, Q.Y. Synthesis, interaction with DNA and antiproliferative activities of two novel Cu(II) complexes with Schiff base of benzimidazole. Spectrochim. Acta Part A 2014, 121, 70–76. [Google Scholar] [CrossRef]
- Raman, N.; Sakthivel, A.; Pravin, N. Exploring DNA binding and nucleolytic activity of few 4-aminoantipyrine based amino acid Schiff base complexes: A comparative approach. Spectrochim. Acta Part A 2014, 125, 404–413. [Google Scholar] [CrossRef]
- Wong, E.L.M.; Fang, G.S.; Che, C.M.; Zhu, N. Highly cytotoxic iron(II) complexes with pentadentate pyridyl ligands as a new class of anti-tumor agents. Chem. Commun. 2005, 4578–4580. [Google Scholar] [CrossRef]
- Hopcroft, N.H.; Brogden, A.L.; Searcey, M.; Cardin, C.J. X-ray crystallographic study of DNA duplex cross-linking: Simultaneous binding to two d(CGTACG)2 molecules by a bis(9-aminoacridine-4-carboxamide) derivative. Nucleic Acids Res. 2006, 34, 6663–6672. [Google Scholar] [CrossRef]
- Jayamani, A.; Sethupathi, M.; Ojwach, S.O.; Sengottuvelan, N. Synthesis, characterization and biomolecular interactions of Cu(II) and Ni(II) complexes of acyclic Schiff base ligand. Inorg. Chem. Commun. 2017, 84, 144–149. [Google Scholar] [CrossRef]
- Lodyga-Chruscinska, E.; Symonowicz, M.; Sykula, A.; Bujacz, A.; Garribba, E.; Rowinska-Zyrek, M.; Oldziej, S.; Klewicka, E.; Janicka, M.; Krolewska, K.; et al. Chelating ability and biological activity of hesperetin Schiff base. J. Inorg. Biochem. 2015, 143, 34–47. [Google Scholar] [CrossRef] [PubMed]
- Nanjundan, N.; Narayanasamy, R.; Geib, S.; Velmurugan, K.; Nandhakumar, R.; Balakumaran, M.D.; Kalaichelvan, P.T. Distorted tetrahedral bis-(N,S) bidentate Schiff base complexes of Ni(II), Cu(II) and Zn(II): Synthesis, characterization and biological studies. Polyhedron 2016, 110, 203–220. [Google Scholar] [CrossRef]
- Banerjee, A.; Guha, A.; Adhikary, J.; Khan, A.; Manna, K.; Dey, S.; Zangrando, E.; Das, D. Dinuclear cobalt(II) complexes of Schiff-base compartmental ligands: Syntheses, crystal structure and bio-relevant catalytic activities. Polyhedron 2013, 60, 102–109. [Google Scholar] [CrossRef]
- Sanyal, R.; Dash, S.K.; Kundu, P.; Mandal, D.; Roy, S.; Das, D. Novel bioinspired acetato-bridged dinuclear nickel(II)-Schiff-base complex: Catechol oxidase and in vitro biological activity studies. Inorg. Chim. Acta 2016, 453, 394–401. [Google Scholar] [CrossRef]
- Abu Al-Nasr, A.K.; Ramadan, R.M. Spectroscopic studies and biological activity of some transition metal complexes of unusual Schiff base. Spectrochim. Acta Part A 2013, 105, 14–19. [Google Scholar] [CrossRef]
- Renfrew, A.K.; O’Neill, E.S.; Hambley, T.W.; New, E.J. Harnessing the properties of cobalt coordination complexes for biological application. Coord. Chem. Rev. 2017, 375, 221–233. [Google Scholar] [CrossRef]
- Nithya, P.; Rajamanikandan, R.; Simpson, J.; Ilanchelian, M.; Govindarajan, S. Solvent assisted synthesis, structural characterization and biological evaluation of cobalt(II) and nickel(II) complexes of Schiff bases generated from benzyl carbazate and cyclic ketones. Polyhedron 2018, 145, 200–217. [Google Scholar] [CrossRef]
- Al-Saif, F.A.; Alibrahim, K.A.; Alfurhood, J.A.; Refat, M.S. Synthesis, spectroscopic, thermal, biological, morphological and molecular docking studies of the different quinolone drugs and their cobalt(II) complexes. J. Mol. Liq. 2018, 249, 438–453. [Google Scholar] [CrossRef]
- Morcelli, S.R.; Bull, É.S.; Terra, W.S.; Moreira, R.O.; Borges, F.V.; Kanashiro, M.M.; Bortoluzzi, A.J.; Maciel, L.L.F.; Almeida, J.C.D.A.; Júnior, A.H.; et al. Synthesis, characterization and antitumoral activity of new cobalt(II)complexes: Effect of the ligand isomerism on the biological activity of the complexes. J. Inorg. Biochem. 2016, 161, 73–82. [Google Scholar] [CrossRef]
- Jopp, M.; Becker, J.; Becker, S.; Miska, A.; Gandin, V.; Marzano, C.; Schindler, S. Anticancer activity of a series of copper(II) complexes with tripodal ligands. Eur. J. Med. Chem. 2017, 132, 274–281. [Google Scholar] [CrossRef]
- Sanz del Olmo, N.; Maroto-Díaz, M.; Gómez, R.; Ortega, P.; Cangiotti, M.; Ottaviani, M.F.; de la Mata, F.J. Carbosilane metallodendrimers based on copper (II) complexes: Synthesis, EPR characterization and anticancer activity. J. Inorg. Biochem. 2017, 177, 211–218. [Google Scholar] [CrossRef] [PubMed]
- Massoud, S.S.; Louka, F.R.; Ducharme, G.T.; Fischer, R.C.; Mautner, F.A.; Vančo, J.; Herchel, R.; Dvořák, Z.; Trávníček, Z. Copper(II) complexes based on tripodal pyrazolyl amines: Synthesis, structure, magnetic properties and anticancer activity. J. Inorg. Biochem. 2018, 180, 39–46. [Google Scholar] [CrossRef] [PubMed]
- Mardani, Z.; Kazemshoar-Duzduzani, R.; Moeini, K.; Hajabbas-Farshchi, A.; Carpenter-Warren, C.; Slawin, A.M.Z.; Woollins, J.D. Anticancer activities of a β-amino alcohol ligand and nanoparticles of its copper(II) and zinc(ii) complexes evaluated by experimental and theoretical methods. RSC Adv. 2018, 8, 28810–28824. [Google Scholar] [CrossRef]
- Martínez, V.R.; Aguirre, M.V.; Todaro, J.S.; Piro, O.E.; Echeverría, G.A.; Ferrer, E.G.; Williams, P.A.M. Azilsartan and its Zn(II) complex. Synthesis, anticancer mechanisms of action and binding to bovine serum albumin. Toxicol. Vitr. 2018, 48, 205–220. [Google Scholar]
- Adhikari, A.; Kumari, N.; Adhikari, M.; Kumar, N.; Tiwari, A.K.; Shukla, A.; Mishra, A.K.; Datta, A. Zinc complex of tryptophan appended 1,4,7,10-tetraazacyclododecane as potential anticancer agent: Synthesis and evaluation. Bioorg. Med. Chem. 2017, 25, 3483–3490. [Google Scholar] [CrossRef] [PubMed]
- Marandi, F.; Moeini, K.; Alizadeh, F.; Mardani, Z.; Quah, C.K.; Loh, W.S.; Woollins, J.D. Treatment of cadmium(II) and zinc(II) with N2-donor linkages in presence of β-diketone ligand; supported by structural, spectral, theoretical and docking studies. Inorg. Chim. Acta 2018, 482, 717–725. [Google Scholar] [CrossRef]
- Kathiresan, S.; Mugesh, S.; Annaraj, J.; Murugan, M. Mixed-ligand copper(II) Schiff base complexes: The vital role of co-ligands in DNA/protein interactions and cytotoxicity. New J. Chem. 2017, 41, 1267–1283. [Google Scholar] [CrossRef]
- Sankarganesh, M.; Dhaveethu Raja, J.; Adwin Jose, P.R.; Vinoth Kumar, G.G.; Rajesh, J.; Rajasekaran, R. Spectroscopic, Computational, Antimicrobial, DNA Interaction, In Vitro Anticancer and Molecular Docking Properties of Biochemically Active Cu(II) and Zn(II) Complexes of Pyrimidine-Ligand. J. Fluoresc. 2018, 28, 975–985. [Google Scholar] [CrossRef]
- Vieira, A.P.; Wegermann, C.A.; Da Costa Ferreira, A.M. Comparative studies of Schiff base-copper(ii) and zinc(ii) complexes regarding their DNA binding ability and cytotoxicity against sarcoma cells. New J. Chem. 2018, 42, 13169–13179. [Google Scholar] [CrossRef]
- AlAjmi, M.F.; Hussain, A.; Rehman, M.T.; Khan, A.A.; Shaikh, P.A.; Khan, R.A. Design, Synthesis, and Biological Evaluation of Benzimidazole-Derived Biocompatible Copper(II) and Zinc(II) Complexes as Anticancer Chemotherapeutics. Int. J. Mol. Sci. 2018, 19, 1492. [Google Scholar] [CrossRef]
- Shahraki, S.; Majd, M.H.; Heydari, A. Novel tetradentate Schiff base zinc(II) complex as a potential antioxidant and cancer chemotherapeutic agent: Insights from the photophysical and computational approach. J. Mol. Struct. 2019, 1177, 536–544. [Google Scholar] [CrossRef]
- Shahraki, S.; Heydari, A.; Delarami, H.S.; Oveisi Keikha, A.; Azizi, Z.; Fathollahi Zonouz, A. Preparation, characterization and comparison of biological potency in two new Zn(II) and Pd(II) complexes of butanedione monoxime derivatives. J. Biomol. Struct. Dyn. 2020, 38, 997–1011. [Google Scholar] [CrossRef] [PubMed]
- Satterfield, M.; Brodbelt, J.S. Relative binding energies of gas-phase pyridyl ligand/metal complexes by energy-variable collisionally activated dissociation in a quadrupole ion trap. Inorg. Chem. 2001, 40, 5393–5400. [Google Scholar] [CrossRef]
- Azam, M.; Wabaidur, S.M.; Alam, M.J.; Trzesowska-Kruszynska, A.; Kruszynski, R.; Alam, M.; Al-Resayes, S.I.; Dwivedi, S.; Khan, M.R.; Islam, M.S.; et al. Synthesis, structural investigations and pharmacological properties of a new zinc complex with a N4-donor Schiff base incorporating 2-pyridyl ring. Inorg. Chim. Acta 2019, 487, 97–106. [Google Scholar] [CrossRef]
- Holló, B.; Magyari, J.; Živković-Radovanović, V.; Vučković, G.; Tomić, Z.D.; Szilágyi, I.M.; Pokol, G.; Meszaros Szecsenyi, K. Synthesis, characterisation and antimicrobial activity of bis(phthalazine-1-hydrazone)-2,6-diacetylpyridine and its complexes with CoIII, NiII, CuII and ZnII. Polyhedron 2014, 80, 142–150. [Google Scholar] [CrossRef]
- Barta Holló, B.; Magyari, J.; Armaković, S.; Bogdanović, G.A.; Rodić, M.V.; Armaković, S.J.; Molnár, J.; Spengler, G.; Leovac, V.M.; Mészáros Szécsényi, K. Coordination compounds of a hydrazone derivative with Co(III), Ni(II), Cu(II) and Zn(II): Synthesis, characterization, reactivity assessment and biological evaluation. New J. Chem. 2016, 40, 5885–5895. [Google Scholar] [CrossRef]
- Milosavljevic, V.; Haddad, Y.; Rodrigo, M.A.M.; Moulick, A.; Polanska, H.; Hynek, D.; Heger, Z.; Kopel, P.; Adam, V. The Zinc-Schiff Base-Novicidin Complex as a Potential Prostate Cancer Therapy. PLoS ONE 2016, 11, e0163983. [Google Scholar] [CrossRef] [PubMed]
- Dorosz, J.; Gofman, Y.; Kolusheva, S.; Otzen, D.; Ben-Tal, N.; Nielsen, N.C.; Jelinek, R. Membrane interactions of novicidin, a novel antimicrobial peptide: Phosphatidylglycerol promotes bilayer insertion. J. Phys. Chem. B 2010, 114, 11053–11060. [Google Scholar] [CrossRef] [PubMed]
- Fernández, B.; Fernández, I.; Cepeda, J.; Medina-O’Donnell, M.; Rufino-Palomares, E.E.; Raya-Barón, Á.; Gómez-Ruiz, S.; Pérez-Jiménez, A.; Lupiáñez, J.A.; Reyes-Zurita, F.J.; et al. Modulating Anticancer Potential by Modifying the Structural Properties of a Family of Zinc Metal-Organic Chains Based on 4-Nitro-1H-pyrazole. Cryst. Growth Des. 2018, 18, 969–978. [Google Scholar] [CrossRef]
- Purtaş, S.; Köse, M.; Tümer, F.; Tümer, M.; Gölcü, A.; Ceyhan, G. A novel porphyrin derivative and its metal complexes: Electrochemical, photoluminescence, thermal, DNA-binding and superoxide dismutase activity studies. J. Mol. Struct. 2016, 1105, 293–307. [Google Scholar] [CrossRef]
- Ethirajan, M.; Chen, Y.; Joshi, P.; Pandey, R.K. The role of porphyrin chemistry in tumor imaging and photodynamic therapy. Chem. Soc. Rev. 2011, 40, 340–362. [Google Scholar] [CrossRef] [PubMed]
- Marino, J.; García Vior, M.C.; Dicelio, L.E.; Roguin, L.P.; Awruch, J. Photodynamic effects of isosteric water-soluble phthalocyanines on human nasopharynx KB carcinoma cells. Eur. J. Med. Chem. 2010, 45, 4129–4139. [Google Scholar] [CrossRef] [PubMed]
- Chiarante, N.; García Vior, M.C.; Awruch, J.; Marino, J.; Roguin, L.P. Phototoxic action of a zinc(II) phthalocyanine encapsulated into poloxamine polymeric micelles in 2D and 3D colon carcinoma cell cultures. J. Photochem. Photobiol. B 2017, 170, 140–151. [Google Scholar] [CrossRef] [PubMed]
- Chiarante, N.; García Vior, M.C.; Rey, O.; Marino, J.; Roguin, L.P. Lysosomal permeabilization and endoplasmic reticulum stress mediate the apoptotic response induced after photoactivation of a lipophilic zinc(II) phthalocyanine. Int. J. Biochem. Cell Biol. 2018, 103, 89–98. [Google Scholar] [CrossRef] [PubMed]
- Chiarante, N.; Duhalde Vega, M.; Valli, F.; Zotta, E.; Daghero, H.; Basika, T.; Bollati-Fogolin, M.; García Vior, M.C.; Marino, J.; Roguin, L.P. In Vivo Photodynamic Therapy With a Lipophilic Zinc(II) Phthalocyanine Inhibits Colorectal Cancer and Induces a Th1/CD8 Antitumor Immune Response. Lasers Surg. Med. 2020, 1–15. [Google Scholar] [CrossRef]
- Al-Jameel, S.S.; Youssef, T.E. Investigations on the antitumor activity of classical trifluoro-substituted zinc phthalocyanines derivatives. World J. Microbiol. Biotechnol. 2018, 34, 52. [Google Scholar] [CrossRef]
- Dhanaraj, C.J.; Johnson, J.; Joseph, J.; Joseyphus, R.S. Quinoxaline-based Schiff base transition metal complexes: Review. J. Coord. Chem. 2013, 66, 1416–1450. [Google Scholar] [CrossRef]
- Dhanaraj, C.J.; Hassan, I.U.; Johnson, J.; Joseph, J.; Joseyphus, R.S. Synthesis, spectral characterization, DNA interaction, anticancer and molecular docking studies on some transition metal complexes with bidentate ligand. J. Photochem. Photobiol. B 2016, 162, 115–124. [Google Scholar] [CrossRef]
- Mendoza, Z.; Lorenzo-Luis, P.; Scalambra, F.; Padrón, J.M.; Romerosa, A. One Step Up in Antiproliferative Activity: The Ru-Zn Complex [RuCp(PPh3)2-µ-dmoPTA-1κP:2κ2N,N′-ZnCl2](CF3SO3). Eur. J. Inorg. Chem. 2018, 2018, 4684–4688. [Google Scholar] [CrossRef]
- Mendoza, Z.; Lorenzo-Luis, P.; Scalambra, F.; Padrón, J.M.; Romerosa, A. Enhancement of the antiproliferative activity of [RuCp(PPh3)2(dmoPTA-1κP)]+: Via its coordination to one {CoCl2} unit: Synthesis, crystal structure and properties of [RuCp(PPh3)2-μ-dmoPTA-1κP:2κ2 N,N′-CoCl2](OTf)·0.25H2O. Dalton Trans. 2017, 46, 8009–8012. [Google Scholar] [CrossRef]
- Romerosa, A.; Campos-Malpartida, T.; Lidrissi, C.; Saoud, M.; Serrano-Ruiz, M.; Peruzzini, M.; Garrido-Cárdenas, J.A.; García-Maroto, F. Synthesis, characterization, and DNA binding of new water-soluble cyclopentadienyl ruthenium(II) complexes incorporating phosphines. Inorg. Chem. 2006, 45, 1289–1298. [Google Scholar] [CrossRef] [PubMed]
- Ríos-Luci, C.; León, L.G.; Mena-Cruz, A.; Pérez-Roth, E.; Lorenzo-Luis, P.; Romerosa, A.; Padrón, J.M. Antiproliferative activity of dmoPTA-Ru(II) complexes against human solid tumor cells. Bioorg. Med. Chem. Lett. 2011, 21, 4568–4571. [Google Scholar] [CrossRef] [PubMed]
- Mena-Cruz, A.; Lorenzo-Luis, P.; Romerosa, A.; Saoud, M.; Serrano-Ruiz, M. Synthesis of the water soluble ligands dmPTA and dmoPTA and the complex [RuClCp(HdmoPTA)(PPh3)](OSO2CF3) (dmPTA = N,N′-dimethyl-1,3,5-triaza-7-phosphaadamantane, dmoPTA = 3,7-dimethyl-1,3,7-triaza-5-phosphabicyclo[3.3.1]nonane, HdmoPTA = 3,7-H-3,7-dimethyl-1,3,7-triaza-5-phosphabicyclo[3.3.1]nonane). Inorg. Chem. 2007, 46, 6120–6128. [Google Scholar] [PubMed]
- Serrano-Ruiz, M.; Aguilera-Sáez, L.M.; Lorenzo-Luis, P.; Padrón, J.M.; Romerosa, A. Synthesis and antiproliferative activity of the heterobimetallic complexes [RuClCp(PPh3)-μ-dmoPTA-1κP:2κ2N,N′-MCl2] (M = Co, Ni, Zn; DmoPTA = 3,7-dimethyl-1,3,7-triaza-5-phosphabicyclo[3.3.1]nonane). Dalton Trans. 2013, 42, 11212–11219. [Google Scholar] [CrossRef]
- Mena-Cruz, A.; Lorenzo-Luis, P.; Passarelli, V.; Romerosa, A.; Serrano-Ruiz, M. Comparative study of [RuClCp(HdmoPTA-κP)(PPh3)][CF3SO3] and the heterobimetallic complexes [RuClCp(PPh3)-μ-dmoPTA-1κP:2κ2N,N′-M(acac-κ2O,O′)2] (M = Co, Ni, Zn; DmoPTA = 3,7-dimethyl-1,3,7-triaza-5-phosphabicyclo[3.3.1]nonane). Dalton Trans. 2011, 40, 3237–3244. [Google Scholar] [CrossRef]
- Mena-Cruz, A.; Lorenzo-Luis, P.; Romerosa, A.; Serrano-Ruiz, M. Water-soluble 3,7-dimethyl-1,3,7-triaza-5-phosphabicyclo[3.3.1]nonane (dmoPTA) as a polydentate ligand: Synthesis of [RuClCp(PPh3)-μ-dmoPTA-1κP:2κ2N,N′-Co(acac-κ2O, O′)2]·H2O. Inorg. Chem. 2008, 47, 2246–2248. [Google Scholar] [CrossRef]
- Mendoza, Z.; Lorenzo-Luis, P.; Serrano-Ruiz, M.; Martín-Batista, E.; Padrón, J.M.; Scalambra, F.; Romerosa, A. Synthesis and Antiproliferative Activity of [RuCp(PPh3)2(HdmoPTA)](OSO2CF3)2 (HdmoPTA = 3,7-H-3,7-Dimethyl-1,3,7-triaza-5-phosphabicyclo[3.3.1]nonane). Inorg. Chem. 2016, 55, 7820–7822. [Google Scholar] [CrossRef]























| Compound [Ref.] | Cell Line | ||||||
|---|---|---|---|---|---|---|---|
| BEL-7404 | SK-OV-3 | A-549 | A-375 | MGC-803 | NCI-H460 | HL-7702 | |
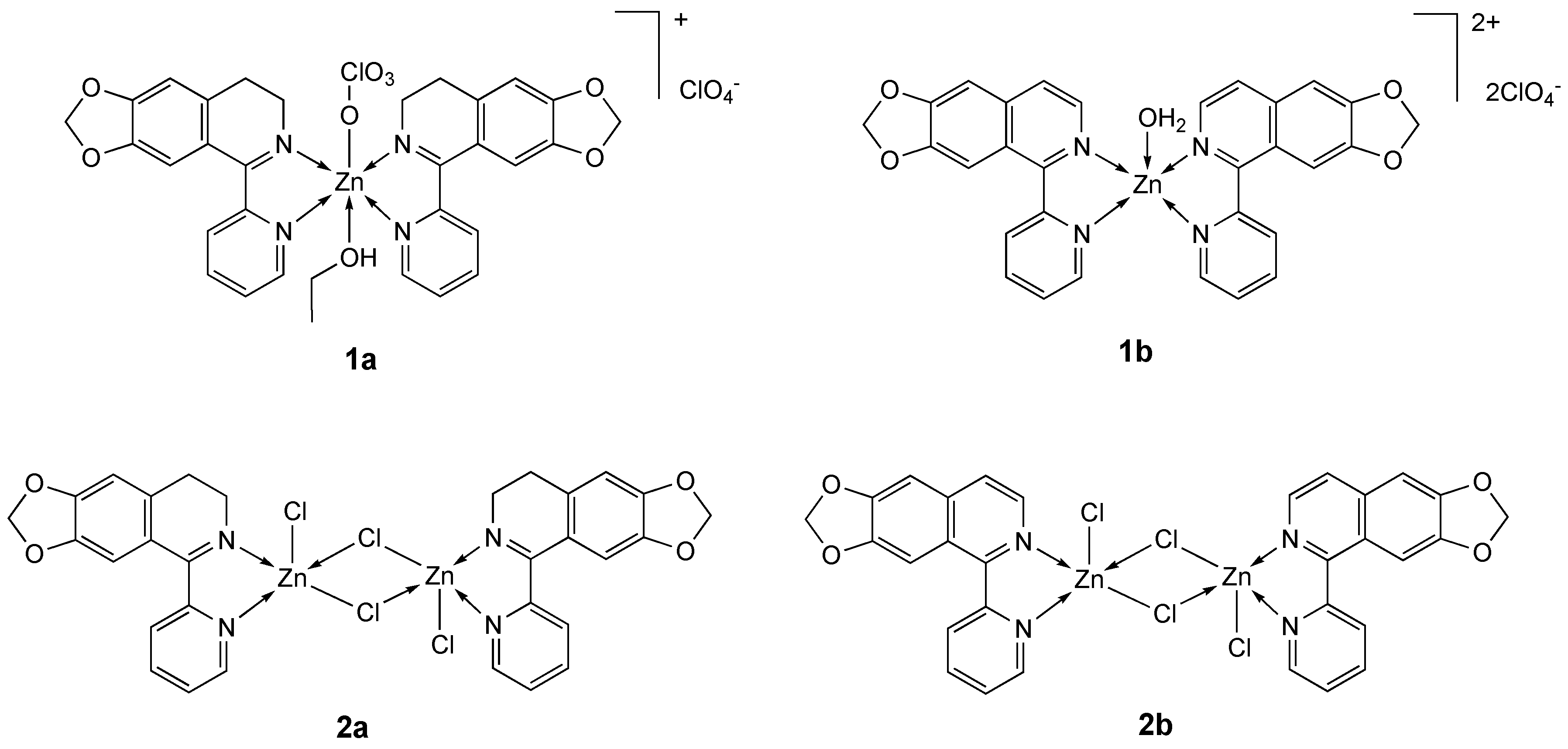
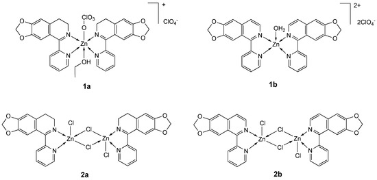
| 1a [74] | 13.24 | 17.23 | ND | 24.38 | 15.66 | 34.54 | 87.78 |
| 1b [74] | 3.26 | 7.31 | 13.21 | 8.79 | 6.32 | 11.89 | 49.65 |
| L1a [74] | 38.41 | 67.58 | 31.55 | 37.67 | 55.41 | >100 | >100 |
| L1b [74] | 27.57 | 56.32 | 54.61 | 28.15 | 38.26 | 88.45 | >100 |
| 2a [75] | 6.69 | 7.33 | >100 | 28.30 | 4.66 | 16.51 | 52.32 |
| 2b [75] | 2.07 | 9.27 | 26.11 | 11.62 | 0.72 | 14.82 | 39.60 |
| Cisplatin [74] | 64.22 | 84.21 | 17.21 | 78.54 | 23.58 | 48.52 | 74.25 |
| ZnCl2·6H2O [75] | 73.54 | ND a | 88.43 | ND a | 58.31 | 36.14 | >100 |
| Zn(ClO4)2·6H2O [74] | 74.21 | ND a | 97.44 | ND a | 53.28 | 64.10 | >100 |
| Compound [Ref.] | Cell Line | ||||||||
|---|---|---|---|---|---|---|---|---|---|
| MCF-7 | HeLa | KB | LO2 | HepG2 | SMMC-7221 | A2780 | DL | PBMC | |
| 3 [99] | 100 a | ||||||||
| 4a [100] | 23.5 | 25.6 | 30.1 | ||||||
| 4b [100] | 12.4 | 15.2 | 16.3 | ||||||
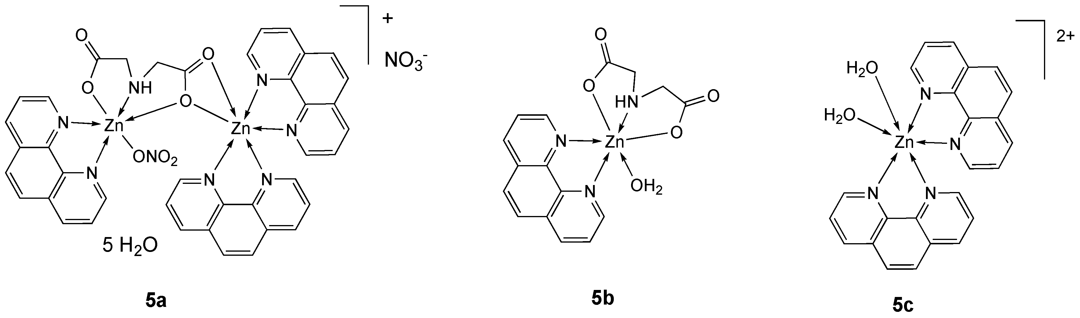
| 5a [101] | 10.01 | 11.75 | |||||||
| 5b [101] | 41.63 | 44.36 | |||||||
| 5c [101] | 22.34 | 27.02 | |||||||
| 5b + 5c (1:1) [101] | 13.75 | 12.58 | |||||||
| Phen [101] | 68.31 | 61.8 | |||||||
| Ida [101] | 52.72 | 49.14 | |||||||
| 6 [102] | 1.26 a | ||||||||
| 6 + CuCl2 [102] | 1.23 a | ||||||||
| Phen [102] | 3.70 a | ||||||||
| Bpy [102] | 10.70 a | ||||||||
| Hnor [102] | <200 a | ||||||||
| 7 [103] | 17.12 b | 63.23 b | |||||||
| Cisplatin | 11.9 [100] | 13.8 [100] | 9.8 [100] | 1.9 a [102] | 0.45 [103] | 6.31 [103] | |||
| ZnCl2 [101] | >200 | >200 | |||||||
| ZnSO4 [101] | >200 | >200 | |||||||
| Compound [Ref] | Cell Line | ||||||
|---|---|---|---|---|---|---|---|
| A2780 | MCF-7 | HeLa | V79 | A529 | HCT113 | MDA-MB-231 | |
| 8a [113] | 5.8 | 17.6 | 26.9 | 23.9 | |||
| 8b [113] | 25.9 | 21.8 | 37.7 | 28.1 | |||
| 8c [113] | 3.40 | 12.3 | 15.9 | 10.8 | |||
| 8d [113] | 5.6 | 18.2 | 23.7 | 33.6 | |||
| 8e [113] | 1.73 | 3.04 | 4.58 | 4.06 | |||
| 8f [113] | 2.4 | 9.10 | 16.6 | 14.2 | |||
| 8g [113] | 0.75 | 5.42 | 8.16 | 6.78 | |||
| Phen [113] | 5.84 | 6.21 | 11.8 | 7.10 | |||
| Clphen [113] | 5.70 | 10.0 | 12.0 | 9.50 | |||
| Amphen [113] | 1.84 | 4.41 | 7.20 | 3.90 | |||
| Epoxyphen [113] | 14.4 | 10.0 | 18.4 | 18.7 | |||
| Bphen [113] | 0.50 | 3.20 | 2.00 | 1.20 | |||
| 9 [114] | 11.0 a | 31.2 a | |||||
| L9 [114] | 41.1 a | 29.6 a | |||||
| 2,2′-Bipyridine [114] | 12.0 a | 20.0 a | |||||
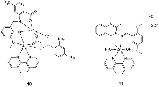
| 10 [115] | 2.13 a | 1.37 a | |||||
| 11 [116] | 0.165 (LC50) a 0.016 (GI50) a | ||||||
| 12 [117] | 0.5 | ||||||
| 13 [117] | 0.4 | ||||||
| Phendione [117] | 0.3 | ||||||
| Phendione + HNPR [117] | 0.4 | ||||||
| Phendione + HMFN [117] | 0.4 | ||||||
| Cisplatin [113] | 22.5 | 20.7 | 3.59 | 23.5 | 1.0 | ||
| Doxorubicin [116] | 0.183(LC50) a 0.018 (GI50) a | ||||||
| Compound [Ref] | Cell Lines | ||||||||||||
|---|---|---|---|---|---|---|---|---|---|---|---|---|---|
| A-549 | Bel-7402 | MCF-7 | Eca-109 | PANC-1 | HCT-116 | U-251 | NHDF | HCT-116 | MRC-5 | RL952 | MDA-MB-231 | HeLa | |
| 14a [141] | 0.440 | 1.309 | 1.486 | 1.251 | |||||||||
| 14b [141] | 0.933 | 1.842 | 2.769 | 2.017 | |||||||||
| 14c [141] | 0.756 | 1.470 | 1.358 | 1.821 | |||||||||
| 14d [141] | 1.042 | 1.883 | 0.589 | 3.320 | |||||||||
| 14e [141] | 0.586 | 1.435 | 1.187 | 1.722 | |||||||||
| 14f [141] | 0.435 | 0.660 | 1.956 | 1.198 | |||||||||
| 14g [141] | 0.633 | 1.636 | 0.374 | 1.045 | |||||||||
| 14h [141] | 1.228 | 1.557 | 2.428 | 1.215 | |||||||||
| 14i [141] | 1.270 | 1.804 | 3.548 | 1.280 | |||||||||
| 14j [141] | 0.333 | 0.730 | 1.764 | 1.193 | |||||||||
| 15a [136] | 0.094 | 0.055 | 0.244 | ||||||||||
| 15b [136] | 0.059 | 0.069 | 0.440 | ||||||||||
| 15c [136] | 0.076 | 0.089 | 0.336 | ||||||||||
| 15d [136] | 0.147 | 0.604 | 0.788 | ||||||||||
| 15e [136] | 0.121 | 0.106 | 0.642 | ||||||||||
| 15f [136] | 0.149 | 0.741 | 0.899 | ||||||||||
| 15g [136] | 0.155 | 0.507 | 1.311 | ||||||||||
| 15h [136] | 0.141 | 0.656 | 0.917 | ||||||||||
| 16 [142] | 6.31 | 0.22 | 0.59 | 3.72 | 2.23 | >25 | |||||||
| L16 [142] | 0.75 | 0.04 | 0.44 | 0.27 | 0.14 | 20.83 | |||||||
| 17 [142] | 1.56 | 0.15 | 0.13 | 0.98 | 0.72 | 14.19 | |||||||
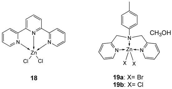
| 18a [143] | 10.0 b | 94.0 | 23.0 | ||||||||||
| 18b [143] | 149.7 | 87.7 | 154.5 | ||||||||||
| 19a [143] | 12.58 a | 33.63 a | 18.47 a | ||||||||||
| 19b [143] | 27.45 a | 11.71 a | 15.57 a | ||||||||||
| Cisplatin | 5.082 [141] 3.986 [136] | 3.088 [141] 3.088 [136] | 11.49 [141] 5.143 [136] 26.43 a [143] | 11.99 [141] | 10.08 a [143] | ||||||||
| Doxorubicin [142] | 1.06 | 0.41 | 0.73 | 0.34 | 0.05 | 0.14 | |||||||
| Oxaliplatin [142] | >25 | 1.13 | >25 | 2.23 | 2.16 | >25 | |||||||
| Compound [Ref.] | Cell Lines | |
|---|---|---|
| HeLa | KB | |
| 20 [147] | 6.48 (24 h) 4.95 (48 h) | 8.98 (24 h) 6.48 (48 h) |
| 21a [148] | 18.63 (24 h) 2.56 (72 h) | |
| 21b [148] | 13.24 (24 h) 1.43 (72 h) | |
| Cisplatin | 4.38 (24 h) [147] 3.21 (48 h) [147] 15.36 (24 h) [148] 1.97 (72 h) [148] | 6.23 (24 h) [147] 4.78 (48 h) [147] |
| Compound [Ref] | Cell Lines | |||||
|---|---|---|---|---|---|---|
| SMMC-7721 | HT-29 | MCF-7 | MDA-MB-231 | K562 | HL-60 | |
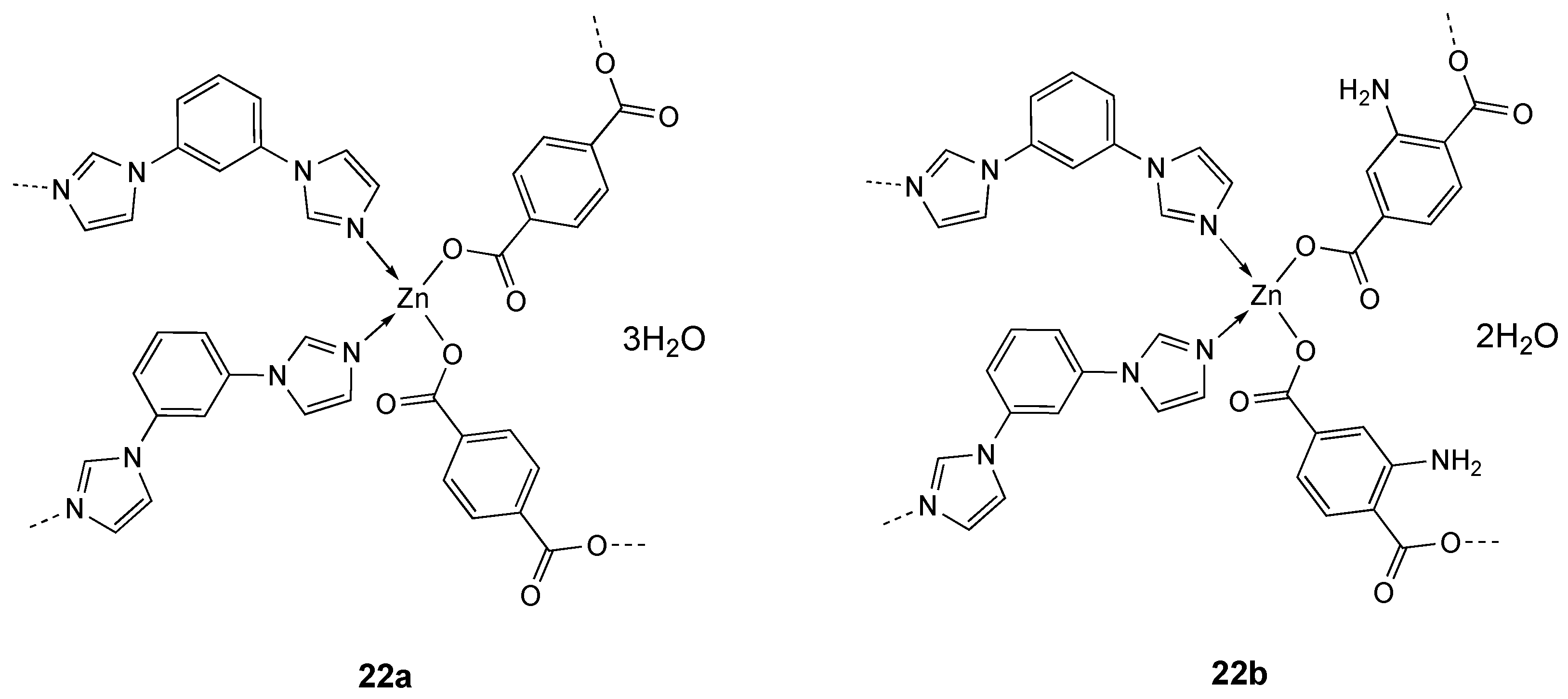
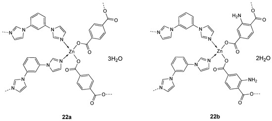
| 22a [149] | 3.98 | |||||
| 22b [149] | 9.78 | |||||
| 23c [155] | NA a | NA a | 38.3 | NA a | NA a | |
| 23d [155] | 13 | NA a | NA a | NA a | NA a | |
| Compound [Ref] | Cell Line | |||
|---|---|---|---|---|
| A549 | BEAS-2B | A2780 | DU-145 | |
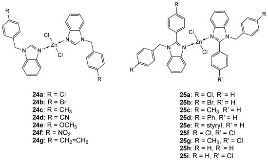
| 24a [159] | 1.97 | 59.8 | ||
| 24b [159] | 13.77 | 61.59 | ||
| 24c [159] | 1.9 | 32.67 | ||
| 24d [159] | 9.36 | 51.55 | ||
| 24e [159] | 28.55 | 38.24 | ||
| 24f [159] | 22.36 | 60.04 | ||
| 24g [159] | 77.46 | >100 | ||
| 25a [160] | 0.11 | 6.92 | ||
| 25b [160] | 0.05 | 67.6 | ||
| 25c [160] | 0.60 | 141.3 | ||
| 25d [160] | 0.69 | 11.5 | ||
| 25e [160] | 0.19 | 79.4 | ||
| 25f [160] | 33.1 | >1000 | ||
| 25g [160] | 2.57 | >1000 | ||
| 25h [160] | 17.4 | 208.9 | ||
| 25i [160] | 151.4 | 93.3 | ||
| Cisplatin [159] | 2.56 | 2.23 | ||
| Docetaxel [160] | 0.15 | 0.07 | ||
| Compound [Ref] | Cell Lines | |||
|---|---|---|---|---|
| MCF-7 | EC-109 | SHSY5Y | QBC939 | |
| 28a [163] | 33.0 | 37.2 | 30.3 | 36.3 |
| 28b [163] | 66.6 | 60.1 | 95.7 | 75.5 |
| L28a [163] | 125.0 | 90.4 | 88.3 | 85.9 |
| L28b [163] | >150 | 124.6 | >150 | >150 |
| Cisplatin [163] | 17.5 | 13.3 | 25.3 | 126.9 |
| Compound [Ref] | Cell Lines | ||||||
|---|---|---|---|---|---|---|---|
| SMMC7721 | BGC823 | HCT116 | HT29 | LO2 | MDA-MB-231 | EC-109 | |
| 29 [167] | 49.9 | 45.5 | 64.8 | 68.8 | 36.6 | ||
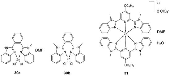
| 30a [171] | >50 a | ||||||
| 30b [171] | 38.7 a | ||||||
| L30a [171] | >50 a | ||||||
| L30b [171] | >50 a | ||||||
| 31 [172] | 46.13 | ||||||
| Cisplatin | 8.22 [167] | 8.0 [167] | 40.3 [167] | 47.7 [167] | 6.75 [167] | 9.9 [172] | 43.99 [172] |
| Compound [Ref] | Cell Lines | |||||||||
|---|---|---|---|---|---|---|---|---|---|---|
| A549 | HepG2 | HeLa | NHDF | MES-SA | MES-SA/Dx5 | P4 | SK-MEL-1 | HT018 | MDA-MB 231 | |
| 32 [201] | 79.4 | 85.4 | 82.4 | 109.2 | ||||||
| L32 [201] | 105.2 | 106.8 | 108.8 | 109.5 | ||||||
| 33a [202] | 47.0 | 71.2 | 54.5 | |||||||
| 33b [202] | >140 | >140 | >140 | |||||||
| 34 [203] | 19 | 24.5 | 18 | 25 | 26.7 | |||||
| L34 [203] | NA | NA | NA | NA | NA | |||||
| Cisplatin [203] | 6 | 6 | 5.6 | 5.7 | 3.1 | |||||
| Compound [Ref] | Cell Lines | ||
|---|---|---|---|
| HT29 | Hep-G2 | B16-F10 | |
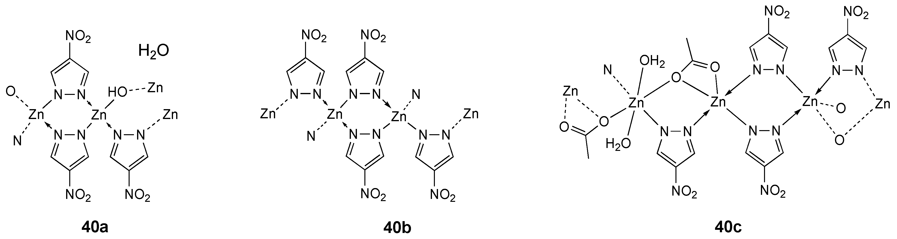
| 40b [212] | 46.7 | 45.4 | 52.6 |
| 40c [212] | 41.8 | 45.8 | 47.8 |
| HL40 [212] | 97.6 | 210.6 | 101.8 |
| Compound [Ref] | Cell Lines | ||||||||
|---|---|---|---|---|---|---|---|---|---|
| A549 | HBL-100 | HeLa | SW1573 | T-47D | WiDr | BJ-hTert | MCF-7 | HepG2 | |
| 42b [219] | 25.4 | 5.30 | 5.28 | ||||||
| 42c [219] | 31.8 | 4.60 | 21.68 | ||||||
| 42d [219] | 6.03 | 3.75 | 3.27 | ||||||
| 43 [221] | 35.29 a | ||||||||
| 44 [222] | 0.036 b | 0.072 b | 0.051 b | 0.030 b | 0.083 b | 0.054 b | 0.023 b | ||
| Cisplatin [222] | 4.9 b | 2.9 b | 1.8 b | 2.7 b | 17 b | 23 b | 14 b | ||
| Compound | Coord. Number | Tumor Cell Lines (IC50 ≤ 10 µM) | Normal Cell Lines (IC50 µM, SI) | [Ref.] | Ligand Activity (IC50 µM) | Incubation Time |
|---|---|---|---|---|---|---|
| 1b | 5 | BEL-7404, SK-OV-3, A-375, MGC-803 | HL-7702 (49.65, 7.7) | [74] | average 37.58 | 48 h |
| 2a§ | 5 | BEL-7404, SK-OV-3, MGC-803 | HL-7702 (52.32, 11.2) | [75] | average 53.8 | 48 h |
| 2b§ | 5 | BEL-7404, SK-OV-3, MGC-803 * | HL-7702 (39.60, 9.85) | [75] | average 40.72 | 48 h |
| 6a | 6 | A2780 | [102] | 72 h | ||
| 8a | 6 | A2780 | V79 (23.9, 4.1) | [113] | 5.84 | 48 h |
| 8c | 6 | A2780 | V79 (10.8, 3.2) | [113] | 1.84 | 48 h |
| 8d | 6 | A2780 | V79 (33.6, 6.0) | [113] | 14.4 | 48 h |
| 8e | 6 | A2780, MCF-7, HeLa | V79 (4.06, 2.3) | [113] | average 1.9 | 48 h |
| 8f | 6 | A2780, MCF-7 | V79 (14.2, 5.9) | [113] | average 6.02 | 48 h |
| 8g | 6 | A2780 *, MCF-7, HeLa | V79 (6.78, 9.0) | [113] | average 4.48 | 48 h |
| 10§ | 5,6 | A549, HeLa | [115] | 72 h | ||
| 11 | 6 | MCF-7 | [116] | 48 h | ||
| 12 | 6 | MDA-MB-231 | RAW 264.7 (2.0, 4.0) | [117] | 0.4 | 72 h |
| 13 | 6 | MDA-MB-231 | RAW 264.7 (1.7, 4.25) | [117] | 0.4 | 72 h |
| 14a–j | 5 | A-549 *, Bel-7402 *, MCF-7 *, Eca-109 | [141] | 72 h | ||
| 15a–h | 5 | A-549 *, Bel-7402 *, MCF-7 * | [136] | 72 h | ||
| 16 | 5 | A-549, MCF-7 *, PANC-1 *, HCT-116, U-251 | NHDF (>25, >9.6) | [142] | average 0.33 | 72 h |
| 17 | 6 | A-549, MCF-7 *, PANC-1 *, HCT-116 *, U-251 * | NHDF (14.19, 20) | [142] | average 0.33 | 72 h |
| 20 | 6 | HeLa, KB | [147] | >50 | 48 h | |
| 21a,b | 6 | HeLa | [148] | 72 h | ||
| 24a | 4 | A-549 | BEAS-2B (59.8, 30.3) | [159] | 72 h | |
| 24c | 4 | A-549 | BEAS-2B (32.67, 17.2) | [159] | 72 h | |
| 24d | 4 | A-549 | BEAS-2B (51.55, 5.5) | [159] | 72 h | |
| 42b–d | 4 | MCF-7, HepG2 | [219] | 48 h |
Publisher’s Note: MDPI stays neutral with regard to jurisdictional claims in published maps and institutional affiliations. |
© 2020 by the authors. Licensee MDPI, Basel, Switzerland. This article is an open access article distributed under the terms and conditions of the Creative Commons Attribution (CC BY) license (http://creativecommons.org/licenses/by/4.0/).
Share and Cite
Porchia, M.; Pellei, M.; Del Bello, F.; Santini, C. Zinc Complexes with Nitrogen Donor Ligands as Anticancer Agents. Molecules 2020, 25, 5814. https://doi.org/10.3390/molecules25245814
Porchia M, Pellei M, Del Bello F, Santini C. Zinc Complexes with Nitrogen Donor Ligands as Anticancer Agents. Molecules. 2020; 25(24):5814. https://doi.org/10.3390/molecules25245814
Chicago/Turabian StylePorchia, Marina, Maura Pellei, Fabio Del Bello, and Carlo Santini. 2020. "Zinc Complexes with Nitrogen Donor Ligands as Anticancer Agents" Molecules 25, no. 24: 5814. https://doi.org/10.3390/molecules25245814
APA StylePorchia, M., Pellei, M., Del Bello, F., & Santini, C. (2020). Zinc Complexes with Nitrogen Donor Ligands as Anticancer Agents. Molecules, 25(24), 5814. https://doi.org/10.3390/molecules25245814

