An Update on Development of Small-Molecule Plasmodial Kinase Inhibitors
Abstract
1. Introduction
2. Calcium-Dependent Protein Kinases (CDPKs)
2.1. Inhibitor Development for the CDPK Group
2.1.1. PfCDPK1
2.1.2. PfCDPK4
2.1.3. PfCDPK5
3. AGC Group
3.1. Inhibitor Development for the AGC Group
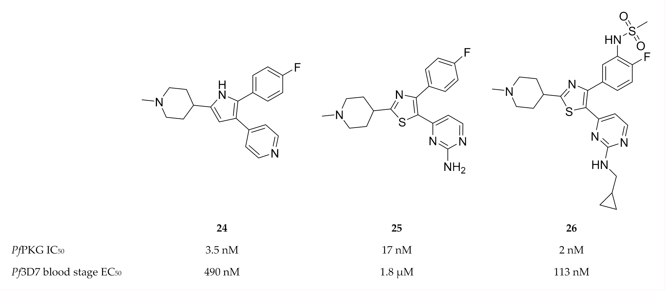
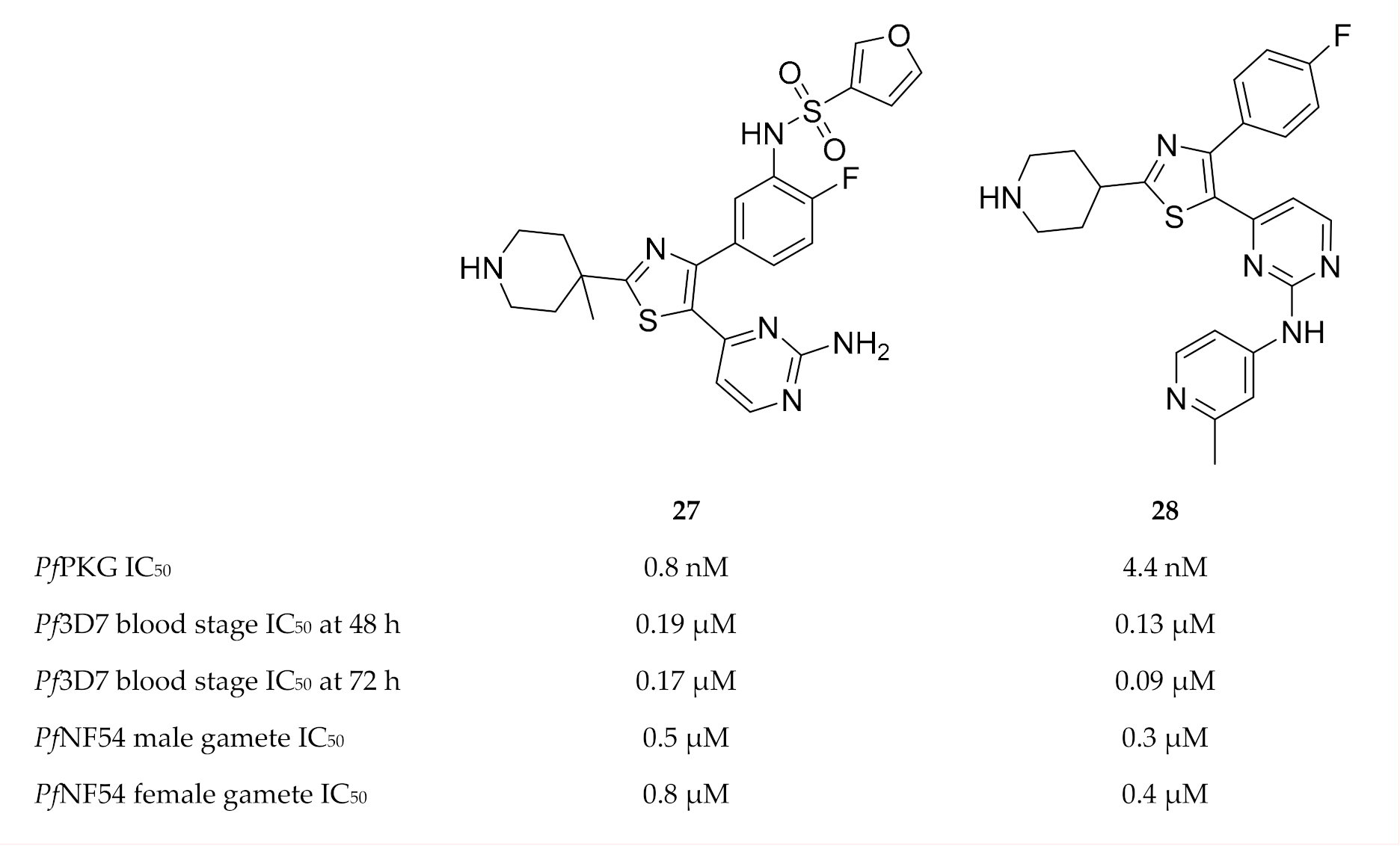
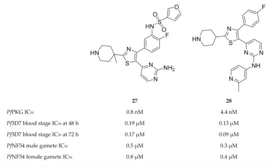
3.1.1. PfPKG
3.1.2. PfPKA and PfPKB
4. CMGC Group
4.1. Cyclin-Dependent Kinases (CDKs)
4.1.1. CDK Inhibitor Development
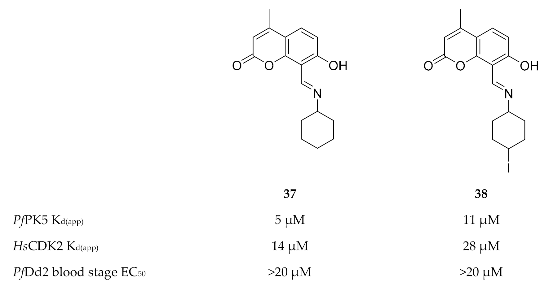
PfPK5
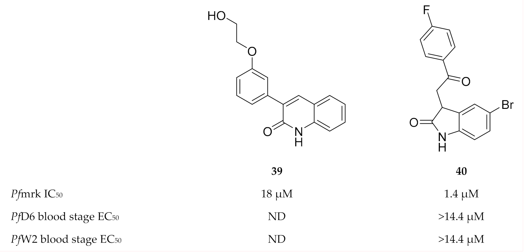
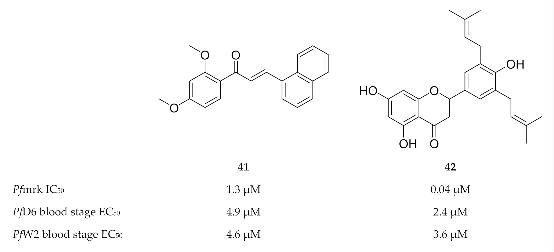
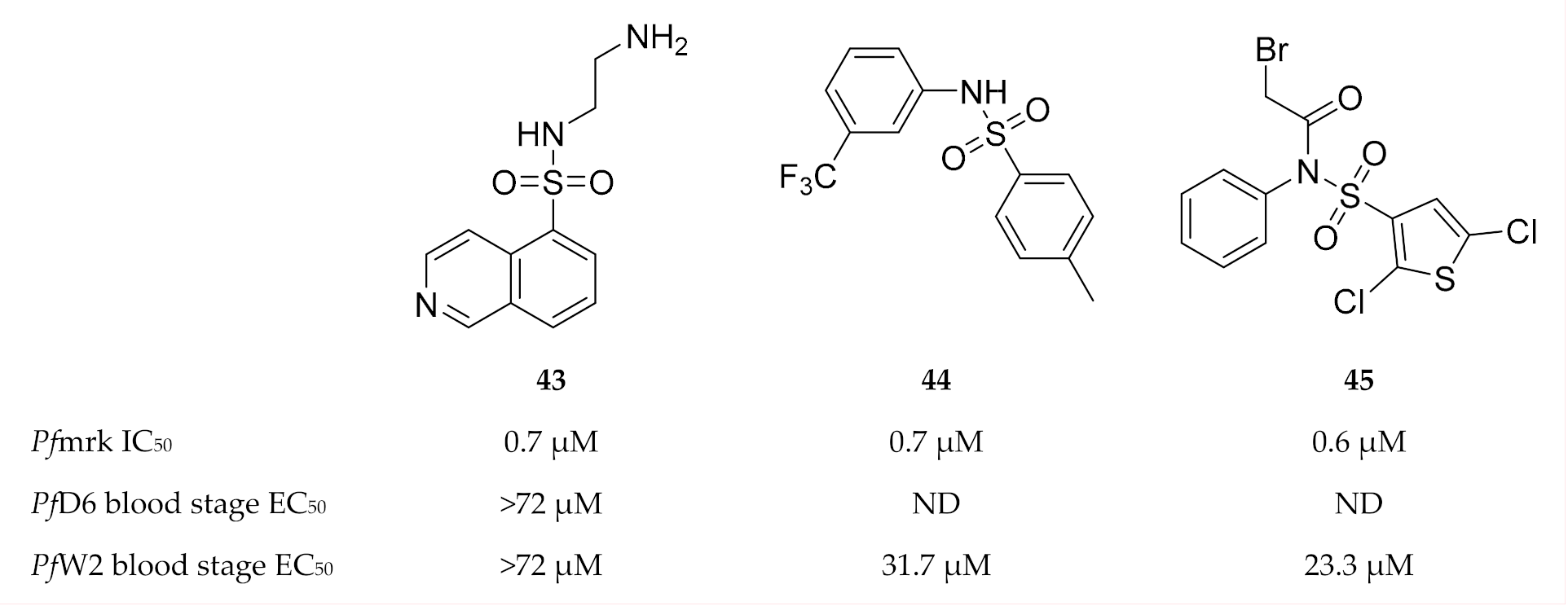
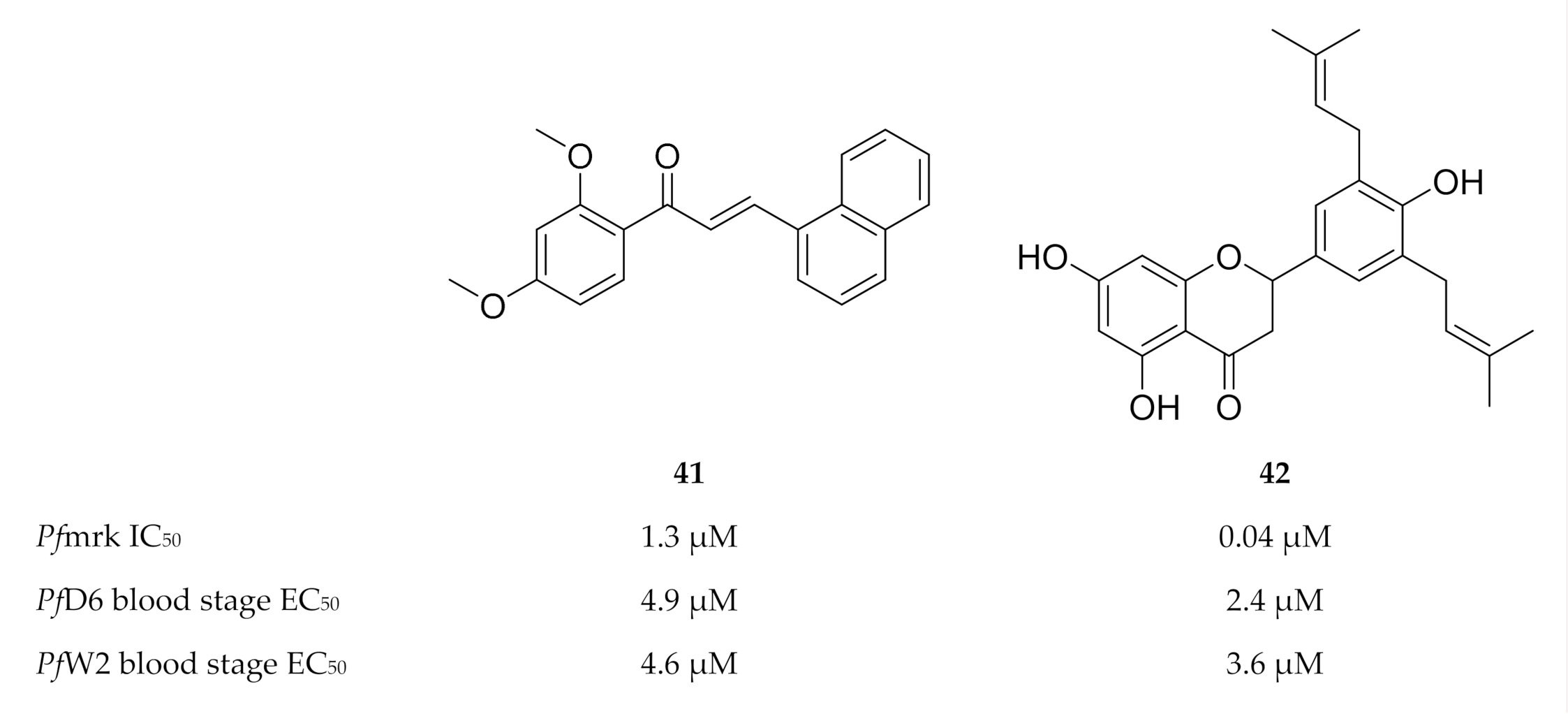
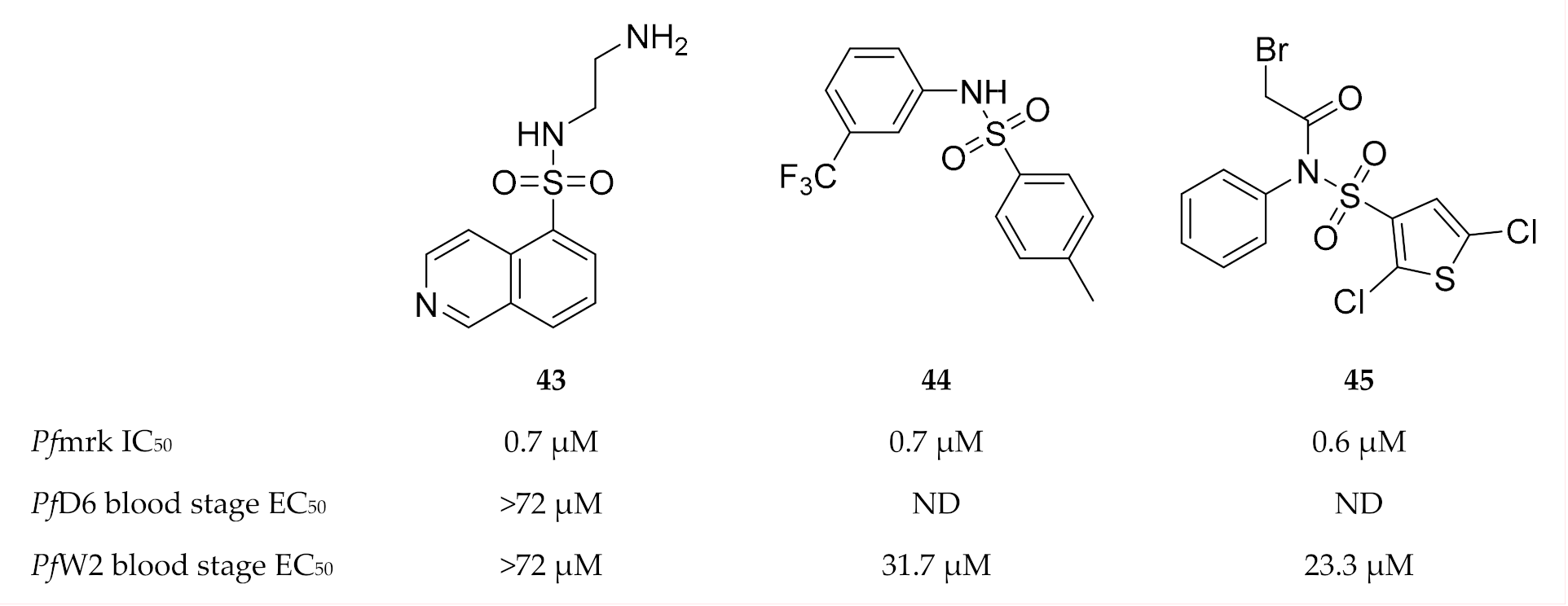
Pfmrk
PfPK6 and CDK-Related Kinases
4.2. Mitogen-Activated Protein Kinases (MAPKs)
4.3. Glycogen Synthase Kinase-3 (GSK-3)
PfGSK-3 Inhibitor Development
4.4. CDK-Like Protein Kinases (CLKs)
CLK Inhibitor Development
5. Casein Kinase 1 (CK1) Group
6. NIMA- and Aurora-Related Kinases
7. Phosphoinositide Lipid Kinases (PIKs)
7.1. PIK Inhibitor Development
7.1.1. PI3K
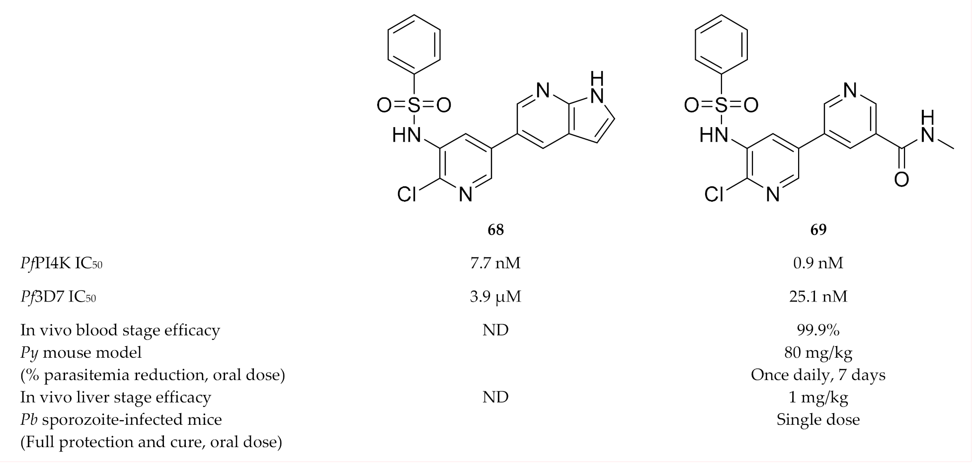
7.1.2. PI4K
8. Orphan Kinases
8.1. Inhibitor Development for Orphan Kinases
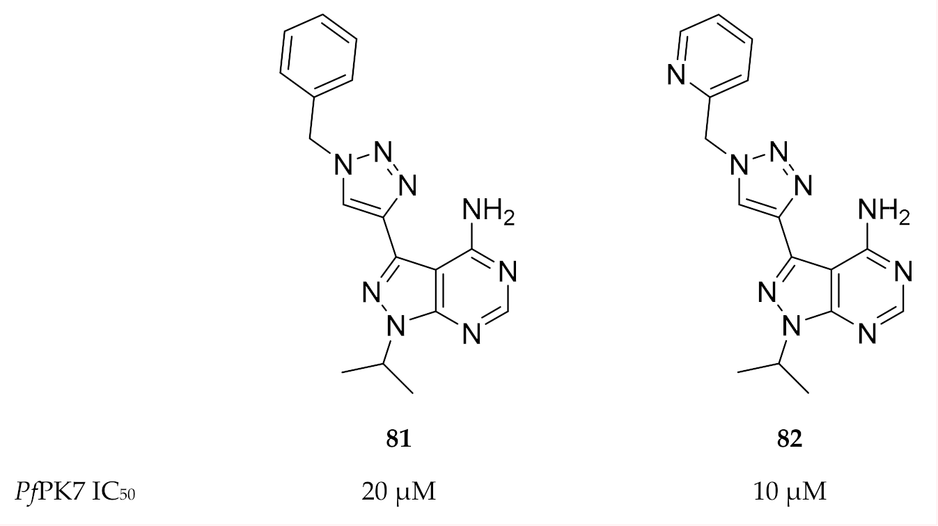
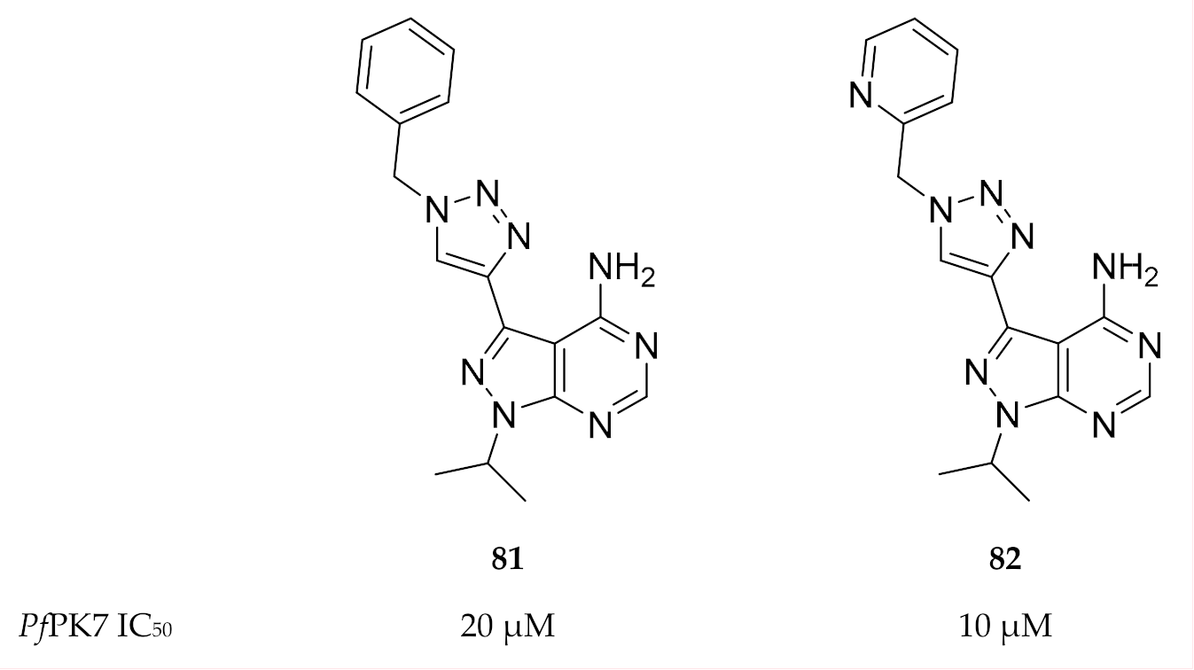
8.1.1. PfPK7
8.1.2. PfPK9
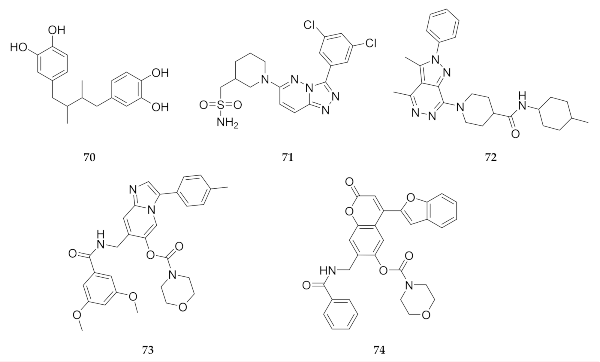
8.1.3. FIKKs
9. Summary
Author Contributions
Funding
Conflicts of Interest
References
- WHO. World Malaria Report. 2019. Available online: https://www.who.int/malaria/publications/world_malaria_report/en/ (accessed on 17 February 2020).
- WHO. The Potential Impact of Health Service Disruption on the Burden of Malaria: A Modelling Analysis for Countries in Sub-Saharan Africa. Available online: https://www.who.int/publications/i/item/the-potential-impact-of-health-service-disruptions-on-the-burden-of-malaria (accessed on 1 September 2020).
- Nghochuzie, N.N.; Olwal, C.O.; Udoakang, A.J.; Amenga-Etego, L.N.; Amambua-Ngwa, A. Pausing the Fight Against Malaria to Combat the COVID-19 Pandemic in Africa: Is the Future of Malaria Bleak? Front. Microbiol. 2020, 11. [Google Scholar] [CrossRef]
- WHO. Status Report on Artemisinin Resistance and Artemisinin-Based Combination Therapy Efficacy. Available online: https://www.who.int/malaria/areas/drug_resistance/updates/en/ (accessed on 12 February 2020).
- Noisang, C.; Prosser, C.; Meyer, W.; Chemoh, W.; Ellis, J.; Sawangjaroen, N.; Lee, R. Molecular detection of drug resistant malaria in Southern Thailand. Malar J. 2019, 18. [Google Scholar] [CrossRef]
- Yadav, D.K.; Kumar, S.; Teli, M.K.; Yadav, R.; Chaudhary, S. Molecular Targets for Malarial Chemotherapy: A Review. Curr. Top. Med. Chem. 2019, 19, 861–873. [Google Scholar] [CrossRef] [PubMed]
- Rout, S.; Mahapatra, R.K. Plasmodium falciparum: Multidrug resistance. Chem. Biol. Drug Des. 2019, 93, 737–759. [Google Scholar] [CrossRef] [PubMed]
- Burrows, J.N.; Duparc, S.; Gutteridge, W.E.; Hooft van Huijsduijnen, R.; Kaszubska, W.; Macintyre, F.; Mazzuri, S.; Mohrle, J.J.; Wells, T.N.C. New developments in anti-malarial target candidate and product profiles. Malar. J. 2017, 16. [Google Scholar] [CrossRef]
- Doerig, C. Protein kinases as targets for anti-parasitic chemotherapy. Biochim. Biophys. Acta 2004, 1697, 155–168. [Google Scholar] [CrossRef]
- Doerig, C.; Abdi, A.; Bland, N.; Eschenlauer, S.; Dorin-Semblat, D.; Fennell, C.; Halbert, J.; Holland, Z.; Nivez, M.P.; Semblat, J.P.; et al. Malaria: Targeting parasite and host cell kinomes. Biochim. Biophys. Acta 2010, 1804, 604–612. [Google Scholar] [CrossRef]
- Doerig, C.; Meijer, L. Antimalarial drug discovery: Targeting protein kinases. Expert. Opin. Targets 2007, 11, 279–290. [Google Scholar] [CrossRef]
- Srinivasan, A.N.; Krupa, A. A genomic perspective of protein kinases in Plasmodium falciparum. Proteins 2005, 58, 180–189. [Google Scholar] [CrossRef]
- Ward, P.; Equinet, L.; Packer, J.; Doerig, C. Protein kinases of the human malaria parasite Plasmodium falciparum: The kinome of a divergent eukaryote. Bmc Genom. 2004, 5. [Google Scholar] [CrossRef]
- Cabrera, D.G.; Horatscheck, A.; Wilson, C.R.; Basarab, G.; Eyermann, C.J.; Chibale, K. Plasmodial kinase inhibitors: License to cure? J. Med. Chem. 2018, 61, 8061–8077. [Google Scholar] [CrossRef] [PubMed]
- Billker, O.; Lourido, S.; Sibley, L.D. Calcium-dependent signaling and kinases in apicomplexan parasites. Cell Host Microbe 2009, 5, 612–622. [Google Scholar] [CrossRef]
- Ghartey-Kwansah, G.; Yin, Q.; Li, Z.; Gumpper, K.; Sun, Y.; Yang, R.; Wang, D.; Jones, O.; Zhou, X.; Wang, L.; et al. Calcium-dependent Protein Kinases in Malaria Parasite Development and Infection. Cell Transpl. 2020, 29. [Google Scholar] [CrossRef]
- Hui, R.; El Bakkouri, M.; Sibley, L.D. Designing selective inhibitors for calcium-dependent protein kinases in apicomplexans. Trends Pharm. Sci. 2015, 36, 452–460. [Google Scholar] [CrossRef]
- Green, J.L.; Rees-Channer, R.R.; Howell, S.A.; Martin, S.R.; Knuepfer, E.; Taylor, H.M.; Grainger, M.; Holder, A.A. The motor complex of Plasmodium falciparum: Phosphorylation by a calcium-dependent protein kinase. J. Biol. Chem. 2008, 283. [Google Scholar] [CrossRef] [PubMed]
- Kato, N.; Sakata, T.; Breton, G.; Le Roch, K.G.; Nagle, A.; Andersen, C.; Bursulaya, B.; Henson, K.; Johnson, J.; Kumar, K.A.; et al. Gene expression signatures and small-molecule compounds link a protein kinase to Plasmodium falciparum motility. Nat. Chem. Biol. 2008, 4, 347–356. [Google Scholar] [CrossRef] [PubMed]
- Bansal, A.; Singh, S.; More, K.R.; Hans, D.; Nangalia, K.; Yogavel, M.; Sharma, A.; Chitnis, C.E. Characterization of Plasmodium falciparum calcium-dependent protein kinase 1 (PfCDPK1) and its role in microneme secretion during erythrocyte invasion. J. Biol. Chem. 2013, 288, 1590–1602. [Google Scholar] [CrossRef]
- Bansal, A.; Molina-Cruz, A.; Brzostowski, J.; Liu, P.; Luo, Y.; Gunalan, K.; Li, Y.; Ribeiro, J.M.C.; Miller, L.H. PfCDPK1 is critical for malaria parasite gametogenesis and mosquito infection. Proc. Natl. Acad. Sci. USA 2018, 115, 774–779. [Google Scholar] [CrossRef]
- Solyakov, L.; Halbert, J.; Alam, M.M.; Semblat, J.P.; Dorin-Semblat, D.; Reininger, L.; Bottrill, A.R.; Mistry, S.; Abdi, A.; Fennell, C.; et al. Global kinomic and phospho-proteomic analyses of the human malaria parasite Plasmodium falciparum. Nat. Commun. 2011, 2, 1–12. [Google Scholar] [CrossRef]
- Green, J.L.; Moon, R.W.; Whalley, D.; Bowyer, P.W.; Wallace, C.; Rochani, A.; Nageshan, R.K.; Howell, S.A.; Grainger, M.; Jones, H.M.; et al. Imidazopyridazine Inhibitors of Plasmodium falciparum Calcium-Dependent Protein Kinase 1 Also Target Cyclic GMP-Dependent Protein Kinase and Heat Shock Protein 90 to Kill the Parasite at Different Stages of Intracellular Development. Antimicrob. Agents Chemother. 2015, 60, 1464–1475. [Google Scholar] [CrossRef]
- Kumar, S.; Kumar, M.; Ekka, R.; Dvorin, J.D.; Paul, A.S.; Madugundu, A.K.; Gilberger, T.; Gowda, H.; Duraisingh, M.T.; Keshava Prasad, T.S.; et al. PfCDPK1 mediated signaling in erythrocytic stages of Plasmodium falciparum. Nat. Commun. 2017, 8. [Google Scholar] [CrossRef]
- Sebastian, S.; Brochet, M.; Collins, M.O.; Schwach, F.; Jones, M.L.; Goulding, D.; Rayner, J.C.; Choudhary, J.S.; Billker, O. A Plasmodium calcium-dependent protein kinase controls zygote development and transmission by translationally activating repressed mRNAs. Cell Host Microbe 2012, 12, 9–19. [Google Scholar] [CrossRef]
- Bansal, A.; Molina-Cruz, A.; Brzostowski, J.; Mu, J.; Miller, L.H. Plasmodium falciparum Calcium-Dependent Protein Kinase 2 Is Critical for Male Gametocyte Exflagellation but Not Essential for Asexual Proliferation. mBio 2017, 8. [Google Scholar] [CrossRef]
- Kato, K.; Sudo, A.; Kobayashi, K.; Sugi, T.; Tohya, Y.; Akashi, H. Characterization of Plasmodium falciparum calcium-dependent protein kinase 4. Parasitol. Int. 2009, 58, 394–400. [Google Scholar] [CrossRef]
- Li, J.; Baker, D.A.; Cox, L.S. Sexual stage-specific expression of a third calcium-dependent protein kinase from Plasmodium falciparum. Biochim. Biophys. Acta 2000, 1491, 341–349. [Google Scholar] [CrossRef]
- Govindasamy, K.; Jebiwott, S.; Jaijyan, D.K.; Davidow, A.; Ojo, K.K.; Van Voorhis, W.C.; Brochet, M.; Billker, O.; Bhanot, P. Invasion of hepatocytes by Plasmodium sporozoites requires cGMP-dependent protein kinase and calcium dependent protein kinase 4. Mol. Microbiol. 2016, 102, 349–363. [Google Scholar] [CrossRef]
- Ishino, T.; Orito, Y.; Chinzei, Y.; Yuda, M. A calcium-dependent protein kinase regulates Plasmodium ookinete access to the midgut epithelial cell. Mol. Microbiol. 2006, 59, 1175–1184. [Google Scholar] [CrossRef]
- Siden-Kiamos, I.; Ecker, A.; Nyback, S.; Louis, C.; Sinden, R.E.; Billker, O. Plasmodium berghei calcium-dependent protein kinase 3 is required for ookinete gliding motility and mosquito midgut invasion. Mol. Microbiol. 2006, 60, 1355–1363. [Google Scholar] [CrossRef]
- Absalon, S.; Blomqvist, K.; Rudlaff, R.M.; DeLano, T.J.; Pollastri, M.P.; Dvorin, J.D. Calcium-dependent protein kinase 5 is required for release of egress-specific organelles in Plasmodium falciparum. mBio 2018, 9. [Google Scholar] [CrossRef]
- Dvorin, J.D.; Martyn, D.C.; Patel, S.D.; Grimley, J.S.; Collins, C.R.; Hopp, C.S.; Bright, A.T.; Westenberger, S.; Winzeler, E.; Blackman, M.J.; et al. A plant-like kinase in Plasmodium falciparum regulates parasite egress from erythrocytes. Science 2010, 328, 910–912. [Google Scholar] [CrossRef]
- Kumar, P.; Tripathi, A.; Ranjan, R.; Halbert, J.; Gilberger, T.; Doerig, C.; Sharma, P. Regulation of Plasmodium falciparum development by calcium-dependent protein kinase 7 (PfCDPK7). J. Biol. Chem. 2014, 289. [Google Scholar] [CrossRef]
- Coppi, A.; Tewari, R.; Bishop, J.R.; Bennett, B.L.; Lawrence, R.; Esko, J.D.; Billker, O.; Sinnis, P. Heparan sulfate proteoglycans provide a signal to Plasmodium sporozoites to stop migrating and productively invade cells. Cell Host Microbe 2007, 2, 316–327. [Google Scholar] [CrossRef] [PubMed]
- Van Voorhis, W.C.; Doggett, J.S.; Parsons, M.; Hulverson, M.A.; Choi, R.; Arnold, S.L.M.; Riggs, M.W.; Hemphill, A.; Howe, D.K.; Mealey, R.H.; et al. Extended-spectrum antiprotozoal bumped kinase inhibitors: A review. Exp. Parasitol. 2017, 180, 71–83. [Google Scholar] [CrossRef]
- Bansal, A.; Ojo, K.K.; Mu, J.; Maly, D.J.; Van Voorhis, W.C.; Miller, L.H. Reduced Activity of Mutant Calcium-Dependent Protein Kinase 1 Is Compensated in Plasmodium falciparum through the Action of Protein Kinase G. mBio 2016, 7. [Google Scholar] [CrossRef]
- Lemercier, G.; Fernandez-Montalvan, A.; Shaw, J.P.; Kugelstadt, D.; Bomke, J.; Domostoj, M.; Schwarz, M.K.; Scheer, A.; Kappes, B.; Leroy, D. Identification and characterization of novel small molecules as potent inhibitors of the plasmodial calcium-dependent protein kinase 1. Biochemistry 2009, 48. [Google Scholar] [CrossRef] [PubMed]
- Ansell, K.H.; Jones, H.M.; Whalley, D.; Hearn, A.; Taylor, D.L.; Patin, E.C.; Chapman, T.M.; Osborne, S.A.; Wallace, C.; Birchall, K.; et al. Biochemical and antiparasitic properties of inhibitors of the Plasmodium falciparum calcium-dependent protein kinase PfCDPK1. Antimicrob. Agents Chemother. 2014, 58, 6032–6043. [Google Scholar] [CrossRef] [PubMed]
- Chapman, T.M.; Osborne, S.A.; Bouloc, N.; Large, J.M.; Wallace, C.; Birchall, K.; Ansell, K.H.; Jones, H.M.; Taylor, D.; Clough, B.; et al. Substituted imidazopyridazines are potent and selective inhibitors of Plasmodium falciparum calcium-dependent protein kinase 1 (PfCDPK1). Bioorg. Med. Chem. Lett. 2013, 23, 3064–3069. [Google Scholar] [CrossRef]
- Chapman, T.M.; Osborne, S.A.; Wallace, C.; Birchall, K.; Bouloc, N.; Jones, H.M.; Ansell, K.H.; Taylor, D.L.; Clough, B.; Green, J.L.; et al. Optimization of an imidazopyridazine series of inhibitors of Plasmodium falciparum calcium-dependent protein kinase 1 (PfCDPK1). J. Med. Chem. 2014, 57, 3570–3587. [Google Scholar] [CrossRef]
- Large, J.M.; Osborne, S.A.; Smiljanic-Hurley, E.; Ansell, K.H.; Jones, H.M.; Taylor, D.L.; Clough, B.; Green, J.L.; Holder, A.A. Imidazopyridazines as potent inhibitors of Plasmodium falciparum calcium-dependent protein kinase 1 (PfCDPK1): Preparation and evaluation of pyrazole linked analogues. Bioorg. Med. Chem. Lett. 2013, 23, 6019–6024. [Google Scholar] [CrossRef] [PubMed]
- Flaherty, B.R.; Ho, T.G.; Schmidt, S.H.; Herberg, F.W.; Peterson, D.S.; Kennedy, E.J. Targeted Inhibition of Plasmodium falciparum Calcium-Dependent Protein Kinase 1 with a Constrained J Domain-Derived Disruptor Peptide. ACS Infect. Dis. 2019, 5, 506–514. [Google Scholar] [CrossRef]
- Lima, M.N.N.; Cassiano, G.C.; Tomaz, K.C.P.; Silva, A.C.; Sousa, B.K.P.; Ferreira, L.T.; Tavella, T.A.; Calit, J.; Bargieri, D.Y.; Neves, B.J.; et al. Integrative Multi-Kinase Approach for the Identification of Potent Antiplasmodial Hits. Front. Chem. 2019, 7. [Google Scholar] [CrossRef]
- Jain, R.; Gupta, S.; Munde, M.; Pati, S.; Singh, S. Development of novel anti-malarial from structurally diverse library of molecules, targeting plant-like CDPK1, a multistage growth regulator of P. falciparum. Biochem. J. 2020, 477, 1951–1970. [Google Scholar] [CrossRef]
- Cavagnino, A.; Rossi, F.; Rizzi, M. The potent antiplasmodial calmodulin-antagonist trifluoperazine inhibits Plasmodium falciparum calcium-dependent protein kinase 4. Protein Pept. Lett. 2011, 18, 1273–1279. [Google Scholar] [CrossRef]
- Huang, W.; Hulverson, M.A.; Zhang, Z.; Choi, R.; Hart, K.J.; Kennedy, M.; Vidadala, R.S.R.; Maly, D.J.; Van Voorhis, W.C.; Lindner, S.E.; et al. 5-Aminopyrazole-4-carboxamide analogues are selective inhibitors of Plasmodium falciparum microgametocyte exflagellation and potential malaria transmission blocking agents. Bioorg. Med. Chem. Lett. 2016, 26, 5487–5491. [Google Scholar] [CrossRef]
- Ojo, K.K.; Eastman, R.T.; Vidadala, R.; Zhang, Z.; Rivas, K.L.; Choi, R.; Lutz, J.D.; Reid, M.C.; Fox, A.M.; Hulverson, M.A.; et al. A specific inhibitor of PfCDPK4 blocks malaria transmission: Chemical-genetic validation. J. Infect. Dis. 2014, 209, 275–284. [Google Scholar] [CrossRef]
- Ojo, K.K.; Pfander, C.; Mueller, N.R.; Burstroem, C.; Larson, E.T.; Bryan, C.M.; Fox, A.M.; Reid, M.C.; Johnson, S.M.; Murphy, R.C.; et al. Transmission of malaria to mosquitoes blocked by bumped kinase inhibitors. J. Clin. Investig. 2012, 122, 2301–2305. [Google Scholar] [CrossRef]
- Vidadala, R.S.; Ojo, K.K.; Johnson, S.M.; Zhang, Z.; Leonard, S.E.; Mitra, A.; Choi, R.; Reid, M.C.; Keyloun, K.R.; Fox, A.M.; et al. Development of potent and selective Plasmodium falciparum calcium-dependent protein kinase 4 (PfCDPK4) inhibitors that block the transmission of malaria to mosquitoes. Eur. J. Med. Chem. 2014, 74, 562–573. [Google Scholar] [CrossRef][Green Version]
- Perrin, M.J.; Subbiah, R.N.; Vandenberg, J.I.; Hill, A.P. Human ether-a-go-go related gene (hERG) K+ channels: Function and dysfunction. Prog. Biophys. Mol. Biol. 2008, 98, 137–148. [Google Scholar] [CrossRef]
- Aher, R.B.; Roy, K. Exploring structural requirements for the inhibition of Plasmodium falciparum calcium-dependent protein kinase-4 (PfCDPK-4) using multiple in silico approaches. RSC Adv. 2016, 6. [Google Scholar] [CrossRef]
- Zhang, Z.; Ojo, K.K.; Vidadala, R.; Huang, W.; Geiger, J.A.; Scheele, S.; Choi, R.; Reid, M.C.; Keyloun, K.R.; Rivas, K.; et al. Potent and selective inhibitors of CDPK1 from T. gondii and C. parvum based on a 5-aminopyrazole-4-carboxamide scaffold. ACS Med. Chem. Lett. 2014, 5, 40–44. [Google Scholar] [CrossRef]
- Rout, S.; Mahapatra, R.K. In silico analysis of plasmodium falciparum CDPK5 protein through molecular modeling, docking and dynamics. J. Biol. 2019, 461, 254–267. [Google Scholar] [CrossRef]
- Dawn, A.; Singh, S.; More, K.R.; Siddiqui, F.A.; Pachikara, N.; Ramdani, G.; Langsley, G.; Chitnis, C.E. The central role of cAMP in regulating Plasmodium falciparum merozoite invasion of human erythrocytes. PLoS Pathog 2014, 10, e1004520. [Google Scholar] [CrossRef]
- Brochet, M.; Collins, M.O.; Smith, T.K.; Thompson, E.; Sebastian, S.; Volkmann, K.; Schwach, F.; Chappell, L.; Gomes, A.R.; Berriman, M.; et al. Phosphoinositide metabolism links cGMP-dependent protein kinase G to essential Ca(2)(+) signals at key decision points in the life cycle of malaria parasites. PLoS Biol. 2014, 12, e1001806. [Google Scholar] [CrossRef] [PubMed]
- Vaid, A.; Sharma, P. PfPKB, a protein kinase B-like enzyme from Plasmodium falciparum: II. Identification of calcium/calmodulin as its upstream activator and dissection of a novel signaling pathway. J. Biol. Chem. 2006, 281. [Google Scholar] [CrossRef]
- Wilde, M.; Triglia, T.; Marapana, D.; Thompson, J.K.; Kouzmitchev, A.A.; Bullen, H.E.; Gilson, P.R.; Cowman, A.F.; Tonkin, C.J. Protein kinase A is essential for invasion of Plasmodium falciparum into human erythrocytes. MBio 2019, 10. [Google Scholar] [CrossRef]
- Leykauf, K.; Treeck, M.; Gilson, P.R.; Nebl, T.; Braulke, T.; Cowman, A.F.; Gilberger, T.W.; Crabb, B.S. Protein kinase a dependent phosphorylation of apical membrane antigen 1 plays an important role in erythrocyte invasion by the malaria parasite. PLoS Pathog 2010, 6, e1000941. [Google Scholar] [CrossRef]
- Patel, A.; Perrin, A.J.; Flynn, H.R.; Bisson, C.; Withers-Martinez, C.; Treeck, M.; Flueck, C.; Nicastro, G.; Martin, S.R.; Ramos, A.; et al. Cyclic AMP signalling controls key components of malaria parasite host cell invasion machinery. PLoS Biol. 2019, 17, e3000264. [Google Scholar] [CrossRef]
- Lasonder, E.; Green, J.L.; Camarda, G.; Talabani, H.; Holder, A.A.; Langsley, G.; Alano, P. The Plasmodium falciparum schizont phosphoproteome reveals extensive phosphatidylinositol and cAMP-protein kinase A signaling. J. Proteome Res. 2012, 11. [Google Scholar] [CrossRef]
- Merckx, A.; Nivez, M.P.; Bouyer, G.; Alano, P.; Langsley, G.; Deitsch, K.; Thomas, S.; Doerig, C.; Egee, S. Plasmodium falciparum regulatory subunit of cAMP-dependent PKA and anion channel conductance. PLoS Pathog 2008, 4, e40019. [Google Scholar] [CrossRef] [PubMed]
- Beraldo, F.H.; Almeida, F.M.; da Silva, A.M.; Garcia, C.R. Cyclic AMP and calcium interplay as second messengers in melatonin-dependent regulation of Plasmodium falciparum cell cycle. J. Cell Biol. 2005, 170, 551–557. [Google Scholar] [CrossRef]
- Falae, A.; Combe, A.; Amaladoss, A.; Carvalho, T.; Menard, R.; Bhanot, P. Role of Plasmodium berghei cGMP-dependent protein kinase in late liver stage development. J. Biol Chem. 2010, 285. [Google Scholar] [CrossRef]
- Alam, M.M.; Solyakov, L.; Bottrill, A.R.; Flueck, C.; Siddiqui, F.A.; Singh, S.; Mistry, S.; Viskaduraki, M.; Lee, K.; Hopp, C.S.; et al. Phosphoproteomics reveals malaria parasite Protein Kinase G as a signalling hub regulating egress and invasion. Nat. Commun. 2015, 6. [Google Scholar] [CrossRef]
- Collins, C.R.; Hackett, F.; Strath, M.; Penzo, M.; Withers-Martinez, C.; Baker, D.A.; Blackman, M.J. Malaria parasite cGMP-dependent protein kinase regulates blood stage merozoite secretory organelle discharge and egress. PLoS Pathog 2013, 9, e1003344. [Google Scholar] [CrossRef]
- Taylor, H.M.; McRobert, L.; Grainger, M.; Sicard, A.; Dluzewski, A.R.; Hopp, C.S.; Holder, A.A.; Baker, D.A. The malaria parasite cyclic GMP-dependent protein kinase plays a central role in blood-stage schizogony. Eukaryot Cell 2010, 9, 37–45. [Google Scholar] [CrossRef]
- Vaid, A.; Thomas, D.C.; Sharma, P. Role of Ca2+/calmodulin-PfPKB signaling pathway in erythrocyte invasion by Plasmodium falciparum. J. Biol. Chem. 2008, 283, 5589–5597. [Google Scholar] [CrossRef]
- McRobert, L.; Taylor, C.J.; Deng, W.; Fivelman, Q.L.; Cummings, R.M.; Polley, S.D.; Billker, O.; Baker, D.A. Gametogenesis in malaria parasites is mediated by the cGMP-dependent protein kinase. PLoS Biol. 2008, 6, e60139. [Google Scholar] [CrossRef] [PubMed]
- Moon, R.W.; Taylor, C.J.; Bex, C.; Schepers, R.; Goulding, D.; Janse, C.J.; Waters, A.P.; Baker, D.A.; Billker, O. A cyclic GMP signalling module that regulates gliding motility in a malaria parasite. PLoS Pathog. 2009, 5, e1000599. [Google Scholar] [CrossRef]
- Baker, D.A.; Stewart, L.B.; Large, J.M.; Bowyer, P.W.; Ansell, K.H.; Jimenez-Diaz, M.B.; El Bakkouri, M.; Birchall, K.; Dechering, K.J.; Bouloc, N.S.; et al. A potent series targeting the malarial cGMP-dependent protein kinase clears infection and blocks transmission. Nat. Commun. 2017, 8. [Google Scholar] [CrossRef]
- Vanaerschot, M.; Murithi, J.M.; Pasaje, C.F.A.; Ghidelli-Disse, S.; Dwomoh, L.; Bird, M.; Spottiswoode, N.; Mittal, N.; Arendse, L.B.; Owen, E.S.; et al. Inhibition of Resistance-Refractory P. falciparum Kinase PKG Delivers Prophylactic, Blood Stage, and Transmission-Blocking Antiplasmodial Activity. Cell Chem. Biol. 2020, 27. [Google Scholar] [CrossRef] [PubMed]
- Penzo, M.; de Las Heras-Duena, L.; Mata-Cantero, L.; Diaz-Hernandez, B.; Vazquez-Muniz, M.J.; Ghidelli-Disse, S.; Drewes, G.; Fernandez-Alvaro, E.; Baker, D.A. High-throughput screening of the Plasmodium falciparum cGMP-dependent protein kinase identified a thiazole scaffold which kills erythrocytic and sexual stage parasites. Sci. Rep. 2019, 9. [Google Scholar] [CrossRef] [PubMed]
- Bakkouri, M.; Kouidmi, I.; Wernimont, A.K.; Amani, M.; Hutchinson, A.; Loppnau, P.; Kim, J.J.; Flueck, C.; Walker, J.R.; Seitova, A.; et al. Structures of the cGMP-dependent protein kinase in malaria parasites reveal a unique structural relay mechanism for activation. Proc. Natl. Acad. Sci. USA 2019, 116. [Google Scholar] [CrossRef]
- Large, J.M.; Birchall, K.; Bouloc, N.S.; Merritt, A.T.; Smiljanic-Hurley, E.; Tsagris, D.J.; Wheldon, M.C.; Ansell, K.H.; Coombs, P.J.; Kettleborough, C.A.; et al. Potent inhibitors of malarial P. Falciparum protein kinase G: Improving the cell activity of a series of imidazopyridines. Bioorg. Med. Chem. Lett. 2019, 29, 509–514. [Google Scholar] [CrossRef]
- Large, J.M.; Birchall, K.; Bouloc, N.S.; Merritt, A.T.; Smiljanic-Hurley, E.; Tsagris, D.J.; Wheldon, M.C.; Ansell, K.H.; Coombs, P.J.; Kettleborough, C.A.; et al. Potent bicyclic inhibitors of malarial cGMP-dependent protein kinase: Approaches to combining improvements in cell potency, selectivity and structural novelty. Bioorg. Med. Chem. Lett. 2019, 29. [Google Scholar] [CrossRef]
- Matralis, A.N.; Malik, A.; Penzo, M.; Moreno, I.; Almela, M.J.; Camino, I.; Crespo, B.; Saadeddin, A.; Ghidelli-Disse, S.; Rueda, L.; et al. Development of Chemical Entities Endowed with Potent Fast-Killing Properties against Plasmodium falciparum Malaria Parasites. J. Med. Chem. 2019, 62, 9217–9235. [Google Scholar] [CrossRef]
- Tsagris, D.J.; Birchall, K.; Bouloc, N.; Large, J.M.; Merritt, A.; Smiljanic-Hurley, E.; Wheldon, M.; Ansell, K.H.; Kettleborough, C.; Whalley, D.; et al. Trisubstituted thiazoles as potent and selective inhibitors of Plasmodium falciparum protein kinase G (PfPKG). Bioorg. Med. Chem. Lett. 2018, 28, 3168–3173. [Google Scholar] [CrossRef]
- Biftu, T.; Feng, D.; Fisher, M.; Liang, G.B.; Qian, X.; Scribner, A.; Dennis, R.; Lee, S.; Liberator, P.A.; Brown, C.; et al. Synthesis and SAR studies of very potent imidazopyridine antiprotozoal agents. Bioorg. Med. Chem. Lett. 2006, 16, 2479–2483. [Google Scholar] [CrossRef]
- Biftu, T.; Feng, D.; Ponpipom, M.; Girotra, N.; Liang, G.B.; Qian, X.; Bugianesi, R.; Simeone, J.; Chang, L.; Gurnett, A.; et al. Synthesis and SAR of 2,3-diarylpyrrole inhibitors of parasite cGMP-dependent protein kinase as novel anticoccidial agents. Bioorg. Med. Chem. Lett. 2005, 15. [Google Scholar] [CrossRef]
- Diaz, C.A.; Allocco, J.; Powles, M.A.; Yeung, L.; Donald, R.G.; Anderson, J.W.; Liberator, P.A. Characterization of Plasmodium falciparum cGMP-dependent protein kinase (PfPKG): Antiparasitic activity of a PKG inhibitor. Mol. Biochem. Parasitol. 2006, 146, 78–88. [Google Scholar] [CrossRef] [PubMed]
- Mahmood, S.U.; Cheng, H.; Tummalapalli, S.R.; Chakrasali, R.; Yadav Bheemanaboina, R.R.; Kreiss, T.; Chojnowski, A.; Eck, T.; Siekierka, J.J.; Rotella, D.P. Discovery of isoxazolyl-based inhibitors of Plasmodium falciparum cGMP-dependent protein kinase. RSC Med. Chem. 2020, 11, 98–101. [Google Scholar] [CrossRef]
- Buskes, M.J.; Harvey, K.L.; Prinz, B.; Crabb, B.S.; Gilson, P.R.; Wilson, D.J.; Abbott, B.M. Exploration of 3-methylisoquinoline-4-carbonitriles as protein kinase A inhibitors of Plasmodium falciparum. Bioorg Med. Chem. 2016, 24, 2389–2396. [Google Scholar] [CrossRef] [PubMed]
- Buskes, M.J.; Harvey, K.L.; Richards, B.J.; Kalhor, R.; Christoff, R.M.; Gardhi, C.K.; Littler, D.R.; Cope, E.D.; Prinz, B.; Weiss, G.E.; et al. Antimalarial activity of novel 4-cyano-3-methylisoquinoline inhibitors against Plasmodium falciparum: Design, synthesis and biological evaluation. Org. Biomol. Chem. 2016, 14, 4617–4639. [Google Scholar] [CrossRef]
- Kumar, A.; Vaid, A.; Syin, C.; Sharma, P. PfPKB, a novel protein kinase B-like enzyme from Plasmodium falciparum: I. Identification, characterization, and possible role in parasite development. J. Biol. Chem. 2004, 279, 24255–24264. [Google Scholar] [CrossRef]
- Littler, D.R.; Bullen, H.E.; Harvey, K.L.; Beddoe, T.; Crabb, B.S.; Rossjohn, J.; Gilson, P.R. Disrupting the Allosteric Interaction between the Plasmodium falciparum cAMP-dependent Kinase and Its Regulatory Subunit. J. Biol. Chem. 2016, 291, 25375–25386. [Google Scholar] [CrossRef]
- Sudo, A.; Kato, K.; Kobayashi, K.; Tohya, Y.; Akashi, H. Susceptibility of Plasmodium falciparum cyclic AMP-dependent protein kinase and its mammalian homologue to the inhibitors. Mol. Biochem. Parasitol. 2008, 160, 138–142. [Google Scholar] [CrossRef]
- Matthews, H.; Duffy, C.W.; Merrick, C.J. Checks and balances? DNA replication and the cell cycle in Plasmodium. Parasit Vectors 2018, 11. [Google Scholar] [CrossRef]
- Doerig, C.; Meijer, L.; Mottram, J.C. Protein kinases as drug targets in parasitic protozoa. Trends Parasitol. 2002, 18, 366–371. [Google Scholar] [CrossRef]
- Ross-Macdonald, P.B.; Graeser, R.; Kappes, B.; Franklin, R.; Williamson, D.H. Isolation and expression of a gene specifying a cdc2-like protein kinase from the human malaria parasite Plasmodium falciparum. Eur. J. Biochem. 1994, 220, 693–701. [Google Scholar] [CrossRef]
- Holton, S.; Merckx, A.; Burgess, D.; Doerig, C.; Noble, M.; Endicott, J. Structures of P. falciparum PfPK5 test the CDK regulation paradigm and suggest mechanisms of small molecule inhibition. Structure 2003, 11, 1329–1337. [Google Scholar] [CrossRef]
- Deshmukh, A.S.; Agarwal, M.; Mehra, P.; Gupta, A.; Gupta, N.; Doerig, C.D.; Dhar, S.K. Regulation of Plasmodium falciparum Origin Recognition Complex subunit 1 (PfORC1) function through phosphorylation mediated by CDK-like kinase PK5. Mol. Microbiol. 2015, 98, 17–33. [Google Scholar] [CrossRef]
- Graeser, R.; Wernli, B.; Franklin, R.M.; Kappes, B. Plasmodium falciparum protein kinase 5 and the malarial nuclear division cycles. Mol. Biochem. Parasitol. 1996, 82, 37–49. [Google Scholar] [CrossRef]
- Li, J.; Robson, K.J.H.; Chen, J.; Targett, G.A.T.; Baker, D. Pfmrk, a MO15-related protein kinase from Plasmodium falciparum. Eur. J. Biochem. 1996, 241, 805–813. [Google Scholar] [CrossRef]
- Jirage, D.; Chen, Y.; Caridha, D.; O’Neil, M.T.; Eyase, F.; Witola, W.H.; Mamoun, C.B.; Waters, N.C. The malarial CDK Pfmrk and its effector PfMAT1 phosphorylate DNA replication proteins and co-localize in the nucleus. Mol. Biochem. Parasitol. 2010, 172, 9–18. [Google Scholar] [CrossRef][Green Version]
- Halbert, J.; Ayong, L.; Equinet, L.; Le Roch, K.; Hardy, M.; Goldring, D.; Reininger, L.; Waters, N.; Chakrabarti, D.; Doerig, C. A Plasmodium falciparum transcriptional cyclin-dependent kinase-related kinase with a crucial role in parasite proliferation associates with histone deacetylase activity. Eukaryot Cell 2010, 9, 952–959. [Google Scholar] [CrossRef]
- Doerig, C.; Doerig, C.; Horrocks, P.; Coyle, J.; Carlton, J.; Sultan, A.; Arnot, D.; Carter, R. Pfcrk-1, a developmentally regulated cdc2-related protein kinase of Plasmodium falciparum. Mol. Biochem. Parasitol. 1995, 70, 167–174. [Google Scholar] [CrossRef]
- Rangarajan, R.; Bei, A.; Henry, N.; Madamet, M.; Parzy, D.; Nivez, M.P.; Doerig, C.; Sultan, A. Pbcrk-1, the Plasmodium berghei orthologue of P. falciparum cdc-2 related kinase-1 (Pfcrk-1), is essential for completion of the intraerythrocytic asexual cycle. Exp. Parasitol. 2006, 112, 202–207. [Google Scholar] [CrossRef]
- Ganter, M.; Goldberg, J.M.; Dvorin, J.D.; Paulo, J.A.; King, J.G.; Tripathi, A.K.; Paul, A.S.; Yang, J.; Coppens, I.; Jiang, R.H.; et al. Plasmodium falciparum CRK4 directs continuous rounds of DNA replication during schizogony. Nat. Microbiol. 2017, 2. [Google Scholar] [CrossRef]
- Bracchi-Ricard, V.; Barik, S.; Delvecchio, C.; Doerig, C.; Chakrabarti, R.; Chakrabarti, D. PfPK6, a novel cyclin-dependent kinase/mitogen-activated protein kinase-related protein kinase from Plasmodium falciparum. Biochem. J. 2000, 347, 255–263. [Google Scholar] [CrossRef]
- Dorin-Semblat, D.; Carvalho, T.G.; Nivez, M.-P.; Halbert, J.; Poullet, P.; Semblat, J.-P.; Goldring, D.; Chakrabarti, D.; Mehra, P.; Dhar, S.; et al. An atypical cyclin-dependent kinase controls Plasmodium falciparum proliferation rate. Kinome 2013, 1. [Google Scholar] [CrossRef]
- Chen, Y.; Jirage, D.; Caridha, D.; Kathcart, A.K.; Cortes, E.A.; Dennull, R.A.; Geyer, J.A.; Prigge, S.T.; Waters, N.C. Identification of an effector protein and gain-of-function mutants that activate Pfmrk, a malarial cyclin-dependent protein kinase. Mol. Biochem. Parasitol. 2006, 149, 48–57. [Google Scholar] [CrossRef]
- Le Roch, K.; Sestier, C.; Dorin, D.; Waters, N.; Kappes, B.; Chakrabarti, D.; Meijer, L.; Doerig, C. Activation of a Plasmodium falciparum cdc2-related kinase by heterologous p25 and cyclin H. J. Biol. Chem. 2000, 275, 8952–8958. [Google Scholar] [CrossRef]
- Eubanks, A.L.; Perkins, M.M.; Sylvester, K.; Ganley, J.G.; Posfai, D.; Sanschargrin, P.C.; Hong, J.; Sliz, P.; Derbyshire, E.R. In silico Screening and Evaluation of Plasmodium falciparum Protein Kinase 5 (PK5) Inhibitors. ChemMedChem 2018, 13, 2479–2483. [Google Scholar] [CrossRef]
- Xiao, Z.; Waters, N.C.; Woodard, C.L.; Li, Z.; Li, P. Design and synthesis of Pfmrk inhibitors as potential antimalarial agents. Bioorg. Med. Chem. Lett. 2001, 11, 2875–2878. [Google Scholar] [CrossRef]
- Woodard, C.L.; Li, Z.; Kathcart, A.K.; Terrell, J.; Gerena, L.; Lopez-Sanchez, M.; Kyle, D.E.; Bhattacharjee, A.K.; Nichols, D.A.; Ellis, W.; et al. Oxindole-based compounds are selective inhibitors of Plasmodium falciparum cyclin dependent protein kinases. J. Med. Chem. 2003, 46, 3877–3882. [Google Scholar] [CrossRef] [PubMed]
- Geyer, J.A.; Keenan, S.M.; Woodard, C.L.; Thompson, P.A.; Gerena, L.; Nichols, D.A.; Gutteridge, C.E.; Waters, N.C. Selective inhibition of Pfmrk, a Plasmodium falciparum CDK, by antimalarial 1,3-diaryl-2-propenones. Bioorg. Med. Chem. Lett. 2009, 19, 1982–1985. [Google Scholar] [CrossRef]
- Akala, H.M.; Waters, C.N.; Yenesew, A.; Wanjala, C.; Akenga, T.A. In vitro antiplasmodial and cyclin-dependent protein kinase (pfmrk) inhibitory activities of selected flavonoids in combination with chloroquine (CQ) and artemisinin. Res. Pharm. Biotechnol. 2010, 2, 40–50. [Google Scholar]
- Bhattacharjee, A.K.; Geyer, J.A.; Woodard, C.L.; Kathcart, A.K.; Nichols, D.A.; Prigge, S.T.; Li, Z.; Mott, B.T.; Waters, N.C. A three-dimensional in silico pharmacophore model for inhibition of Plasmodium falciparum cyclin-dependent kinases and discovery of novel Pfmrk specific inhibitors. J. Med. Chem. 2004, 47, 5418–5426. [Google Scholar] [CrossRef]
- Caridha, D.; Kathcart, A.K.; Jirage, D.; Waters, N.C. Activity of substituted thiophene sulfonamides against malarial and mammalian cyclin dependent protein kinases. Bioorg. Med. Chem. Lett. 2010, 20, 3863–3867. [Google Scholar] [CrossRef]
- Woodard, C.L.; Keenan, S.M.; Gerena, L.; Welsh, W.J.; Geyer, J.A.; Waters, N.C. Evaluation of broad spectrum protein kinase inhibitors to probe the architecture of the malarial cyclin dependent protein kinase Pfmrk. Bioorg. Med. Chem. Lett. 2007, 17, 4961–4966. [Google Scholar] [CrossRef] [PubMed]
- Bhattacharjee, A.K.; Hartell, M.G.; Nichols, D.A.; Hicks, R.P.; Stanton, B.; van Hamont, J.E.; Milhous, W.K. Structure-activity relationship study of antimalarial indolo [2,1-b]quinazoline-6,12-diones (tryptanthrins). Three dimensional pharmacophore modeling and identification of new antimalarial candidates. Eur. J. Med. Chem. 2004, 39, 59–67. [Google Scholar] [CrossRef] [PubMed]
- Dominguez, J.N.; Leon, C.; Rodrigues, J.; de Dominguez, N.G.; Gut, J.; Rosenthal, P.J. Synthesis and evaluation of new antimalarial phenylurenyl chalcone derivatives. J. Med. Chem. 2005, 48, 3654–3658. [Google Scholar] [CrossRef]
- Go, M.L.; Liu, M.; Wilairat, P.; Rosenthal, P.J.; Saliba, K.J.; Kirk, K. Antiplasmodial chalcones inhibit sorbitol-induced hemolysis of Plasmodium falciparum-infected erythrocytes. Antimicrob. Agents Chemother. 2004, 48, 3241–3245. [Google Scholar] [CrossRef]
- Ziegler, H.L.; Hansen, H.S.; Staerk, D.; Christensen, S.B.; Hagerstrand, H.; Jaroszewski, J.W. The antiparasitic compound licochalcone a is a potent echinocytogenic agent that modifies the erythrocyte membrane in the concentration range where antiplasmodial activity is observed. Antimicrob. Agents Chemother. 2004, 48, 4067–4071. [Google Scholar] [CrossRef]
- Joshi, Y.N.; Vinod, P.S.; Yemul, V. Structural annotation and homology modeling of protein kinase 6 (PfPK6) from Plasmodium falciparum. IJSRST 2017, 3, 248–251. [Google Scholar]
- Manhani, K.K.; Arcuri, H.A.; da Silveira, N.J.; Uchoa, H.B.; de Azevedo, W.F., Jr.; Canduri, F. Molecular models of protein kinase 6 from Plasmodium falciparum. J. Mol. Model. 2005, 12, 42–48. [Google Scholar] [CrossRef]
- Iwanaga, T.; Sugi, T.; Kobayashi, K.; Takemae, H.; Gong, H.; Ishiwa, A.; Murakoshi, F.; Recuenco, F.C.; Horimoto, T.; Akashi, H.; et al. Characterization of Plasmodium falciparum cdc2-related kinase and the effects of a CDK inhibitor on the parasites in erythrocytic schizogony. Parasitol. Int. 2013, 62, 423–430. [Google Scholar] [CrossRef]
- Dorin-Semblat, D.; Quashie, N.; Halbert, J.; Sicard, A.; Doerig, C.; Peat, E.; Ranford-Cartwright, L.; Doerig, C. Functional characterization of both MAP kinases of the human malaria parasite Plasmodium falciparum by reverse genetics. Mol. Microbiol. 2007, 65, 1170–1180. [Google Scholar] [CrossRef]
- Rangarajan, R.; Bei, A.K.; Jethwaney, D.; Maldonado, P.; Dorin, D.; Sultan, A.A.; Doerig, C. A mitogen-activated protein kinase regulates male gametogenesis and transmission of the malaria parasite Plasmodium berghei. EMBO Rep. 2005, 6, 464–469. [Google Scholar] [CrossRef]
- Brumlik, M.J.; Nkhoma, S.; Kious, M.J.; Thompson, G.R., 3rd; Patterson, T.F.; Siekierka, J.J.; Anderson, T.J.; Curiel, T.J. Human p38 mitogen-activated protein kinase inhibitor drugs inhibit Plasmodium falciparum replication. Exp. Parasitol. 2011, 128, 170–175. [Google Scholar] [CrossRef]
- Droucheau, E.; Primot, A.; Thomas, V.; Mattei, D.; Knockaert, M.; Richardson, C.; Sallicandro, P.; Alano, P.; Jafarshad, A.; Baratte, B.; et al. Plasmodium falciparum glycogen synthase kinase-3: Molecular model, expression, intracellular localisation and selective inhibitors. Biochim. Biophys. Acta 2004, 1697, 181–196. [Google Scholar] [CrossRef]
- Fugel, W.; Oberholzer, A.E.; Gschloessl, B.; Dzikowski, R.; Pressburger, N.; Preu, L.; Pearl, L.H.; Baratte, B.; Ratin, M.; Okun, I.; et al. 3,6-Diamino-4-(2-halophenyl)-2-benzoylthieno[2,3-b]pyridine-5-carbonitriles are selective inhibitors of Plasmodium falciparum glycogen synthase kinase-3. J. Med. Chem. 2013, 56, 264–275. [Google Scholar] [CrossRef]
- Kruggel, S.; Lemcke, T. Comparative investigation of the ATP-binding site of human and plasmodial glycogen synthase kinase-3. QSAR Comb. Sci. 2009, 28, 885–890. [Google Scholar] [CrossRef]
- Osolodkin, D.I.; Zakharevich, N.V.; Palyulin, V.A.; Danilenko, V.N.; Zefirov, N.S. Bioinformatic analysis of glycogen synthase kinase 3: Human versus parasite kinases. Parasitology 2011, 138, 725–735. [Google Scholar] [CrossRef][Green Version]
- Masch, A.; Nasereddin, A.; Alder, A.; Bird, M.J.; Schweda, S.I.; Preu, L.; Doerig, C.; Dzikowski, R.; Gilberger, T.W.; Kunick, C. Structure-activity relationships in a series of antiplasmodial thieno[2,3-b]pyridines. Malar. J. 2019, 18. [Google Scholar] [CrossRef]
- Moolman, C.; Van der Sluis, R.; Beteck, R.M.; Legoabe, L.J. Exploration of benzofuran-based compounds as potent and selective Plasmodium falciparum glycogen synthase kinase-3 (PfGSK-3) inhibitors. 2020. Submitted. [Google Scholar]
- Agarwal, S.; Kern, S.; Halbert, J.; Przyborski, J.M.; Baumeister, S.; Dandekar, T.; Doerig, C.; Pradel, G. Two nucleus-localized CDK-like kinases with crucial roles for malaria parasite erythrocytic replication are involved in phosphorylation of splicing factor. J. Cell Biochem. 2011, 112, 1295–1310. [Google Scholar] [CrossRef]
- Kern, S.; Agarwal, S.; Huber, K.; Gehring, A.P.; Strodke, B.; Wirth, C.C.; Brugl, T.; Abodo, L.O.; Dandekar, T.; Doerig, C.; et al. Inhibition of the SR protein-phosphorylating CLK kinases of Plasmodium falciparum impairs blood stage replication and malaria transmission. PLoS ONE 2014, 9, e105732. [Google Scholar] [CrossRef]
- Talevich, E.; Mirza, A.; Kannan, N. Structural and evolutionary divergence of eukaryotic protein kinases in Apicomplexa. BMC Evol. Biol. 2011, 11, 1–20. [Google Scholar] [CrossRef] [PubMed]
- Schneider, M.; Hsiao, H.H.; Will, C.L.; Giet, R.; Urlaub, H.; Luhrmann, R. Human PRP4 kinase is required for stable tri-snRNP association during spliceosomal B complex formation. Nat. Struct. Mol. Biol. 2010, 17, 216–221. [Google Scholar] [CrossRef]
- Dixit, A.; Singh, P.K.; Sharma, G.P.; Malhotra, P.; Sharma, P. PfSRPK1, a novel splicing-related kinase from Plasmodium falciparum. J. Biol. Chem. 2010, 285, 38315–38323. [Google Scholar] [CrossRef]
- Ngwa, C.J.; Scheuermayer, M.; Mair, G.R.; Kern, S.; Brügl, T.; Wirth, C.C.; Aminake, M.N.; Wiesner, J.; Fischer, R.; Vilcinskas, A.; et al. Changes in the transcriptome of the malaria parasite Plasmodium falciparum during the initial phase of transmission from the human to the mosquito. BMC Genom. 2013, 14, 256. [Google Scholar] [CrossRef]
- Eshar, S.; Allemand, E.; Sebag, A.; Glaser, F.; Muchardt, C.; Mandel-Gutfreund, Y.; Karni, R.; Dzikowski, R. A novel Plasmodium falciparum SR protein is an alternative splicing factor required for the parasites’ proliferation in human erythrocytes. Nucleic. Acids Res. 2012, 40, 9903–9916. [Google Scholar] [CrossRef]
- Alam, M.M.; Sanchez-Azqueta, A.; Janha, O.; Flannery, E.L.; Mahindra, A.; Mapesa, K.; Char, A.B.; Sriranganadane, D.; Brancucci, N.M.B.; Antonova-Koch, Y.; et al. Validation of the protein kinase PfCLK3 as a multistage cross-species malarial drug target. Science 2019, 365. [Google Scholar] [CrossRef]
- Dorin-Semblat, D.; Demarta-Gatsi, C.; Hamelin, R.; Armand, F.; Carvalho, T.G.; Moniatte, M.; Doerig, C. Malaria parasite infected erythrocytes secrete PfCK1, the Plasmodium homologue of the pleiotropic protein kinase casein kinase 1. PLoS ONE 2015, 10, e139591. [Google Scholar] [CrossRef]
- Batty, M.B.; Schittenhelm, R.B.; Dorin-Semblat, D.; Doerig, C.; Garcia-Bustos, J.F. Interaction of Plasmodium falciparum casein kinase 1 with components of host cell protein trafficking machinery. IUBMB Life 2020. [Google Scholar] [CrossRef] [PubMed]
- Reininger, L.; Wilkes, J.M.; Bourgade, H.; Miranda-Saavedra, D.; Doerig, C. An essential Aurora-related kinase transiently associates with spindle pole bodies during Plasmodium falciparum erythrocytic schizogony. Mol. Microbiol. 2011, 79, 205–221. [Google Scholar] [CrossRef]
- Carvalho, T.G.; Doerig, C.; Reininger, L. Nima- and Aurora-related kinases of malaria parasites. Biochim. Biophys. Acta 2013, 1834, 1336–1345. [Google Scholar] [CrossRef]
- Desoubzdanne, D.; Marcourt, L.; Raux, R.; Chevalley, S.; Dorin, D.; Doerig, C.; Valentin, A.; Ausseil, F.; Debitus, C. Alisiaquinones and alisiaquinol, dual inhibitors of Plasmodium falciparum enzyme targets from a new caledonian deep water sponge. J. Nat. Prod. 2008, 71, 1189–1192. [Google Scholar] [CrossRef]
- Laurent, D.; Jullian, V.; Parenty, A.; Knibiehler, M.; Dorin, D.; Schmitt, S.; Lozach, O.; Lebouvier, N.; Frostin, M.; Alby, F.; et al. Antimalarial potential of xestoquinone, a protein kinase inhibitor isolated from a Vanuatu marine sponge Xestospongia sp. Bioorg. Med. Chem. 2006, 14, 4477–4482. [Google Scholar] [CrossRef]
- Lebouvier, N.; Jullian, V.; Desvignes, I.; Maurel, S.; Parenty, A.; Dorin-Semblat, D.; Doerig, C.; Sauvain, M.; Laurent, D. Antiplasmodial activities of homogentisic acid derivative protein kinase inhibitors isolated from a Vanuatu marine sponge Pseudoceratina sp. Mar. Drugs 2009, 7, 640–653. [Google Scholar] [CrossRef]
- Patel, G.; Roncal, N.E.; Lee, P.J.; Leed, S.E.; Erath, J.; Rodriguez, A.; Sciotti, R.J.; Pollastri, M.P. Repurposing human Aurora kinase inhibitors as leads for anti-protozoan drug discovery. Medchemcomm 2014, 5, 655–658. [Google Scholar] [CrossRef]
- Brown, J.R.; Auger, K.R. Phylogenomics of phosphoinositide lipid kinases: Perspectives on the evolution of second messenger signalling and drug discovery. BMC Evol. Biol. 2011, 11, 4. [Google Scholar] [CrossRef]
- McNamara, C.W.; Lee, M.C.; Lim, C.S.; Lim, S.H.; Roland, J.; Simon, O.; Yeung, B.K.; Chatterjee, A.K.; McCormack, S.L.; Manary, M.J.; et al. Targeting Plasmodium PI(4)K to eliminate malaria. Nature 2013, 504, 248–253. [Google Scholar] [CrossRef]
- Tawk, L.; Chicanne, G.; Dubremetz, J.F.; Richard, V.; Payrastre, B.; Vial, H.J.; Roy, C.; Wengelnik, K. Phosphatidylinositol 3-phosphate, an essential lipid in Plasmodium, localizes to the food vacuole membrane and the apicoplast. Eukaryot Cell 2010, 9, 1519–1530. [Google Scholar] [CrossRef]
- Vaid, A.; Ranjan, R.; Smythe, W.A.; Hoppe, H.C.; Sharma, P. PfPI3K, a phosphatidylinositol-3 kinase from Plasmodium falciparum, is exported to the host erythrocyte and is involved in hemoglobin trafficking. Blood 2010, 115, 2500–2507. [Google Scholar] [CrossRef]
- Mbengue, A.; Bhattacharjee, S.; Pandharkar, T.; Liu, H.; Estiu, G.; Stahelin, R.V.; Rizk, S.S.; Njimoh, D.L.; Ryan, Y.; Chotivanich, K.; et al. A molecular mechanism of artemisinin resistance in Plasmodium falciparum malaria. Nature 2015, 520, 683–687. [Google Scholar] [CrossRef]
- Ibrahim, M.A.A.; Abdelrahman, A.H.M.; Hassan, A.M.A. Identification of novel Plasmodium falciparum PI4KB inhibitors as potential anti-malarial drugs: Homology modeling, molecular docking and molecular dynamics simulations. Comput. Biol. Chem. 2019, 80, 79–89. [Google Scholar] [CrossRef]
- Le Manach, C.; Gonzalez Cabrera, D.; Douelle, F.; Nchinda, A.T.; Younis, Y.; Taylor, D.; Wiesner, L.; White, K.L.; Ryan, E.; March, C.; et al. Medicinal chemistry optimization of antiplasmodial imidazopyridazine hits from high throughput screening of a SoftFocus kinase library: Part 1. J. Med. Chem. 2014, 57, 2789–2798. [Google Scholar] [CrossRef]
- Le Manach, C.; Paquet, T.; Gonzalez Cabrera, D.; Younis, Y.; Taylor, D.; Wiesner, L.; Lawrence, N.; Schwager, S.; Waterson, D.; Witty, M.J.; et al. Medicinal chemistry optimization of antiplasmodial imidazopyridazine hits from high throughput screening of a softfocus kinase library: Part 2. J. Med. Chem. 2014, 57, 8839–8848. [Google Scholar] [CrossRef]
- Zou, B.; Nagle, A.; Chatterjee, A.K.; Leong, S.Y.; Tan, L.J.; Sim, W.L.; Mishra, P.; Guntapalli, P.; Tully, D.C.; Lakshminarayana, S.B.; et al. Lead optimization of imidazopyrazines: A new class of antimalarial with activity on Plasmodium liver stages. ACS Med. Chem. Lett. 2014, 5, 947–950. [Google Scholar] [CrossRef]
- Gibhard, L.; Njoroge, M.; Paquet, T.; Brunschwig, C.; Taylor, D.; Lawrence, N.; Abay, E.; Wittlin, S.; Wiesner, L.; Street, L.J.; et al. Investigating Sulfoxide-to-Sulfone Conversion as a Prodrug Strategy for a Phosphatidylinositol 4-Kinase Inhibitor in a Humanized Mouse Model of Malaria. Antimicrob. Agents Chemother. 2018, 62. [Google Scholar] [CrossRef] [PubMed]
- Le Manach, C.; Nchinda, A.T.; Paquet, T.; Gonzalez Cabrera, D.; Younis, Y.; Han, Z.; Bashyam, S.; Zabiulla, M.; Taylor, D.; Lawrence, N.; et al. Identification of a Potential Antimalarial Drug Candidate from a Series of 2-Aminopyrazines by Optimization of Aqueous Solubility and Potency across the Parasite Life Cycle. J. Med. Chem. 2016, 59, 9890–9905. [Google Scholar] [CrossRef]
- Younis, Y.; Douelle, F.; Feng, T.S.; Gonzalez Cabrera, D.; Le Manach, C.; Nchinda, A.T.; Duffy, S.; White, K.L.; Shackleford, D.M.; Morizzi, J.; et al. 3,5-Diaryl-2-aminopyridines as a novel class of orally active antimalarials demonstrating single dose cure in mice and clinical candidate potential. J. Med. Chem. 2012, 55, 3479–3487. [Google Scholar] [CrossRef]
- Younis, Y.; Douelle, F.; Gonzalez Cabrera, D.; Le Manach, C.; Nchinda, A.T.; Paquet, T.; Street, L.J.; White, K.L.; Zabiulla, K.M.; Joseph, J.T.; et al. Structure-activity-relationship studies around the 2-amino group and pyridine core of antimalarial 3,5-diarylaminopyridines lead to a novel series of pyrazine analogues with oral in vivo activity. J. Med. Chem. 2013, 56, 8860–8871. [Google Scholar] [CrossRef]
- Liang, X.; Jiang, Z.; Huang, Z.; Li, F.; Chen, C.; Hu, C.; Wang, W.; Hu, Z.; Liu, Q.; Wang, B.; et al. Discovery of 6′-chloro-N-methyl-5′-(phenylsulfonamido)-[3,3′-bipyridine]-5-carboxamide (CHMFL-PI4K-127) as a novel Plasmodium falciparum PI(4)K inhibitor with potent antimalarial activity against both blood and liver stages of Plasmodium. Eur. J. Med. Chem. 2020, 188. [Google Scholar] [CrossRef]
- Paquet, T.; Le Manach, C.; Cabrera, D.G.; Younis, Y.; Henrich, P.P.; Abraham, T.S.; Lee, M.C.S.; Basak, R.; Ghidelli-Disse, S.; Lafuente-Monasterio, M.J.; et al. Antimalarial efficacy of MMV390048, an inhibitor of Plasmodium phosphatidylinositol 4-kinase. Sci. Transl. Med. 2017, 9, eaad9735. [Google Scholar] [CrossRef]
- Sinxadi, P.; Donini, C.; Johnstone, H.; Langdon, G.; Wiesner, L.; Allen, E.; Duparc, S.; Chalon, S.; McCarthy, J.S.; Lorch, U.; et al. Safety, tolerability, pharmacokinetics, and antimalarial activity of the novel Plasmodium phosphatidylinositol 4-kinase inhibitor MMV390048 in healthy volunteers. Antimicrob. Agents Chemother. 2020, 64. [Google Scholar] [CrossRef]
- Brunschwig, C.; Lawrence, N.; Taylor, D.; Abay, E.; Njoroge, M.; Basarab, G.S.; Le Manach, C.; Paquet, T.; Cabrera, D.G.; Nchinda, A.T.; et al. UCT943, a next-generation Plasmodium falciparum PI4K inhibitor preclinical candidate for the treatment of malaria. Antimicrob. Agents Chemother. 2018, 62. [Google Scholar] [CrossRef]
- Chaudhary, K.K.; Gupta, S.K.; Mishra, N. An In Silico Approach for Targeting Plasmodium Phosphatidylinositol 4-Kinase to Eradicate Malaria. In Advanced Computing and Communication Technologies; Springer: Singapore, 2016; pp. 279–287. [Google Scholar] [CrossRef]
- Ren, J.X.; Gao, N.N.; Cao, X.S.; Hu, Q.A.; Xie, Y. Homology modeling and virtual screening for inhibitors of lipid kinase PI(4)K from Plasmodium. Biomed. Pharm. 2016, 83, 798–808. [Google Scholar] [CrossRef]
- Lucet, I.S.; Tobin, A.; Drewry, D.; Wilks, A.F.; Doerig, C. Plasmodium kinases as targets for new-generation antimalarials. Future Med. Chem. 2012, 4, 2295–2310. [Google Scholar] [CrossRef]
- Dorin, D.; Semblat, J.P.; Poullet, P.; Alano, P.; Goldring, J.P.; Whittle, C.; Patterson, S.; Chakrabarti, D.; Doerig, C. PfPK7, an atypical MEK-related protein kinase, reflects the absence of classical three-component MAPK pathways in the human malaria parasite Plasmodium falciparum. Mol. Microbiol. 2005, 55, 184–196. [Google Scholar] [CrossRef]
- Dorin-Semblat, D.; Sicard, A.; Doerig, C.; Ranford-Cartwright, L.; Doerig, C. Disruption of the PfPK7 gene impairs schizogony and sporogony in the human malaria parasite Plasmodium falciparum. Eukaryot Cell 2008, 7, 279–285. [Google Scholar] [CrossRef]
- Zhang, M.; Wang, C.; Otto, T.D.; Oberstaller, J.; Liao, X.; Adapa, S.R.; Udenze, K.; Bronner, I.F.; Casandra, D.; Mayho, M.; et al. Uncovering the essential genes of the human malaria parasite Plasmodium falciparum by saturation mutagenesis. Science 2018, 360. [Google Scholar] [CrossRef] [PubMed]
- Philip, N.; Haystead, T.A. Characterization of a UBC13 kinase in Plasmodium falciparum. Proc. Natl. Acad. Sci. USA 2007, 104, 7845–7850. [Google Scholar] [CrossRef]
- Schneider, A.G.; Mercereau-Puijalon, O. A new Apicomplexa-specific protein kinase family: Multiple members in Plasmodium falciparum, all with an export signature. BMC Genom. 2005, 6. [Google Scholar] [CrossRef]
- Nunes, M.C.; Goldring, J.P.; Doerig, C.; Scherf, A. A novel protein kinase family in Plasmodium falciparum is differentially transcribed and secreted to various cellular compartments of the host cell. Mol. Microbiol. 2007, 63, 391–403. [Google Scholar] [CrossRef]
- Nunes, M.C.; Okada, M.; Scheidig-Benatar, C.; Cooke, B.M.; Scherf, A. Plasmodium falciparum FIKK kinase members target distinct components of the erythrocyte membrane. PLoS ONE 2010, 5, e11747. [Google Scholar] [CrossRef]
- Siddiqui, G.; Proellochs, N.I.; Cooke, B.M. Identification of essential exported Plasmodium falciparum protein kinases in malaria-infected red blood cells. Br. J. Haematol. 2020, 188, 774–783. [Google Scholar] [CrossRef]
- Kats, L.M.; Fernandez, K.M.; Glenister, F.K.; Herrmann, S.; Buckingham, D.W.; Siddiqui, G.; Sharma, L.; Bamert, R.; Lucet, I.; Guillotte, M.; et al. An exported kinase (FIKK42) that mediates virulence-associated changes in Plasmodium falciparum-infected red blood cells. Int. J. Parasitol. 2014, 44, 319–328. [Google Scholar] [CrossRef]
- Brandt, G.S.; Bailey, S. Dematin, a human erythrocyte cytoskeletal protein, is a substrate for a recombinant FIKK kinase from Plasmodium falciparum. Mol. Biochem. Parasitol. 2013, 191, 20–23. [Google Scholar] [CrossRef]
- Merckx, A.; Echalier, A.; Langford, K.; Sicard, A.; Langsley, G.; Joore, J.; Doerig, C.; Noble, M.; Endicott, J. Structures of P. falciparum protein kinase 7 identify an activation motif and leads for inhibitor design. Structure 2008, 16, 228–238. [Google Scholar] [CrossRef]
- Bouloc, N.; Large, J.M.; Smiljanic, E.; Whalley, D.; Ansell, K.H.; Edlin, C.D.; Bryans, J.S. Synthesis and in vitro evaluation of imidazopyridazines as novel inhibitors of the malarial kinase PfPK7. Bioorg. Med. Chem. Lett. 2008, 18, 5294–5298. [Google Scholar] [CrossRef] [PubMed]
- Klein, M.; Diner, P.; Dorin-Semblat, D.; Doerig, C.; Grotli, M. Synthesis of 3-(1,2,3-triazol-1-yl)- and 3-(1,2,3-triazol-4-yl)-substituted pyrazolo[3,4-d]pyrimidin-4-amines via click chemistry: Potential inhibitors of the Plasmodium falciparum PfPK7 protein kinase. Org. Biomol. Chem. 2009, 7, 3421–3429. [Google Scholar] [CrossRef]
- Raphemot, R.; Eubanks, A.L.; Toro-Moreno, M.; Geiger, R.A.; Hughes, P.F.; Lu, K.Y.; Haystead, T.A.J.; Derbyshire, E.R. Plasmodium PK9 Inhibitors Promote Growth of Liver-Stage Parasites. Cell Chem. Biol. 2019, 26. [Google Scholar] [CrossRef] [PubMed]
- Totzke, J.; Gurbani, D.; Raphemot, R.; Hughes, P.F.; Bodoor, K.; Carlson, D.A.; Loiselle, D.R.; Bera, A.K.; Eibschutz, L.S.; Perkins, M.M.; et al. Takinib, a Selective TAK1 Inhibitor, Broadens the Therapeutic Efficacy of TNF-alpha Inhibition for Cancer and Autoimmune Disease. Cell Chem. Biol. 2017, 24. [Google Scholar] [CrossRef]
- Hodge, C.D.; Spyracopoulos, L.; Glover, J.N.M. Ubc13: The Lys63 ubiquitin chain building machine. Oncotarget 2016, 7, 64471–64504. [Google Scholar] [CrossRef]
- Tewari, R.; Straschil, U.; Bateman, A.; Bohme, U.; Cherevach, I.; Gong, P.; Pain, A.; Billker, O. The systematic functional analysis of Plasmodium protein kinases identifies essential regulators of mosquito transmission. Cell Host Microbe 2010, 8, 377–387. [Google Scholar] [CrossRef]
- Osman, K.T.; Lou, H.J.; Qiu, W.; Brand, V.; Edwards, A.M.; Turk, B.E.; Hui, R. Biochemical characterization of FIKK8--A unique protein kinase from the malaria parasite Plasmodium falciparum and other apicomplexans. Mol. Biochem. Parasitol. 2015, 201, 85–89. [Google Scholar] [CrossRef]
- Lin, B.C.; Harris, D.R.; Kirkman, L.M.D.; Perez, A.M.; Qian, Y.; Schermerhorn, J.T.; Hong, M.Y.; Winston, D.S.; Xu, L.; Brandt, G.S. FIKK Kinase, a Ser/Thr Kinase Important to Malaria Parasites, Is Inhibited by Tyrosine Kinase Inhibitors. ACS Omega 2017, 2, 6605–6612. [Google Scholar] [CrossRef]
- Knight, Z.A.; Shokat, K.M. Features of selective kinase inhibitors. Chem. Biol. 2005, 12, 621–637. [Google Scholar] [CrossRef]
- Lin, B.C.; Harris, D.R.; Kirkman, L.M.D.; Perez, A.M.; Qian, Y.; Schermerhorn, J.T.; Hong, M.Y.; Winston, D.S.; Xu, L.; Lieber, A.M.; et al. The anthraquinone emodin inhibits the non-exported FIKK kinase from Plasmodium falciparum. Bioorg. Chem. 2017, 75, 217–223. [Google Scholar] [CrossRef]
- Yuan, J.; Johnson, R.L.; Huang, R.; Wichterman, J.; Jiang, H.; Hayton, K.; Fidock, D.A.; Wellems, T.E.; Inglese, J.; Austin, C.P.; et al. Genetic mapping of targets mediating differential chemical phenotypes in Plasmodium falciparum. Nat. Chem. Biol. 2009, 5, 765–771. [Google Scholar] [CrossRef]


































Publisher’s Note: MDPI stays neutral with regard to jurisdictional claims in published maps and institutional affiliations. |
© 2020 by the authors. Licensee MDPI, Basel, Switzerland. This article is an open access article distributed under the terms and conditions of the Creative Commons Attribution (CC BY) license (http://creativecommons.org/licenses/by/4.0/).
Share and Cite
Moolman, C.; Sluis, R.v.d.; Beteck, R.M.; Legoabe, L.J. An Update on Development of Small-Molecule Plasmodial Kinase Inhibitors. Molecules 2020, 25, 5182. https://doi.org/10.3390/molecules25215182
Moolman C, Sluis Rvd, Beteck RM, Legoabe LJ. An Update on Development of Small-Molecule Plasmodial Kinase Inhibitors. Molecules. 2020; 25(21):5182. https://doi.org/10.3390/molecules25215182
Chicago/Turabian StyleMoolman, Chantalle, Rencia van der Sluis, Richard M. Beteck, and Lesetja J. Legoabe. 2020. "An Update on Development of Small-Molecule Plasmodial Kinase Inhibitors" Molecules 25, no. 21: 5182. https://doi.org/10.3390/molecules25215182
APA StyleMoolman, C., Sluis, R. v. d., Beteck, R. M., & Legoabe, L. J. (2020). An Update on Development of Small-Molecule Plasmodial Kinase Inhibitors. Molecules, 25(21), 5182. https://doi.org/10.3390/molecules25215182

