NMR and Computational Studies as Analytical and High-Resolution Structural Tool for Complex Hydroperoxides and Diastereomeric Endo-Hydroperoxides of Fatty Acids in Solution-Exemplified by Methyl Linolenate
Abstract
1. Introduction
2. Results and Discussion
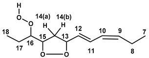
2.1. NMR Studies (1H-13C HMBC and 1D TOCSY NMR)
2.2. Quantum Chemical Calculations
2.2.1. DFT Studies of Model Compounds—Assigning the Stereochemistry of Pairs of Diastereoisomers
2.2.2. DFT and ONIOM Computational Studies of the Full Length 16-OOH Endo-Hydroperoxides
2.3. Comparison with Literature Data
3. Materials and Methods
3.1. Materials
3.2. Oxidation Methodology
3.3. NMR Methodology
3.4. DFT and ONIOM Calculations
4. Conclusions
Supplementary Materials
Author Contributions
Funding
Conflicts of Interest
References
- Akoh, C.C.; Min, D.B. Food Lipids. Chemistry, Nutrition, and Biotechnology, 2nd ed.; Marcel Dekker: New York, NY, USA, 2002. [Google Scholar]
- Gunstone, F.D. Fatty Acid and Lipid Chemistry, 1st ed.; Springer: New York, NY, USA, 1996. [Google Scholar]
- Leray, C. Dietary Lipids for Healthy Brain Function; CRC Press: Boca Raton, FL, USA, 2017. [Google Scholar]
- Neff, W.E.; Frankel, E.N.; Weisleder, D. High pressure liquid chromatography of autoxidized lipids: II. Hydroperoxy-cyclic peroxides and other secondary products from methyl linolenate. Lipids 1981, 16, 439–448. [Google Scholar] [CrossRef]
- Gunstone, F.D. Chemical reactions of fatty acids with special reference to the carboxyl group. Eur. J. Lipid Sci. Technol. 2001, 103, 307–314. [Google Scholar] [CrossRef]
- Frankel, E. Lipid oxidation: Mechanisms, products and biological significance. J. Am. Oil Chem. Soc. 1984, 61, 1908–1917. [Google Scholar] [CrossRef]
- Frankel, E.N. Lipid oxidation. Prog. Lipid Res. 1980, 19, 1–22. [Google Scholar] [CrossRef]
- Pryor, W.A.; Stanley, J.P. Suggested mechanism for the production of malonaldehyde during the autoxidation of polyunsaturated fatty acids. Nonenzymic production of prostaglandin endoperoxides during autoxidation. J. Org. Chem. 1975, 40, 3615–3617. [Google Scholar] [CrossRef] [PubMed]
- Ernster, L.; Nordenbrand, K. Microsomal lipid peroxidation. Method. Enzymol. 1967, 10, 574–580. [Google Scholar]
- Frankel, E.N.; Garwood, R.F.; Khambay, B.P.; Moss, G.P.; Weedon, B.C. Stereochemistry of olefin and fatty acid oxidation. Part 3. The allylic hydroperoxides from the autoxidation of methyl oleate. Chem. Soc. Perkin Trans. I 1984, 2233–2240. [Google Scholar] [CrossRef]
- Frankel, E. Chemistry of free radical and singlet oxidation of lipids. Prog. Lipid Res. 1984, 23, 197–221. [Google Scholar] [CrossRef]
- Frankel, E.N.; Evans, C.D.; McConnell, D.G.; Selke, E.; Dutton, H.J. Autoxidation of methyl linolenate. Isolation and characterization of hydroperoxides. J. Org. Chem. 1961, 26, 4663–4669. [Google Scholar] [CrossRef]
- Shahidi, F.; Wanasundara, U.N. Methods for measuring oxidative rancidity in fats and oils. Food Lipids Chem. Nutr. Biotechnol. 2002, 17, 387–403. [Google Scholar]
- Tamura, H.; Shibamoto, T. Gas chromatographic analysis of malonaldehyde and 4-hydroxy-2-(E)-nonenal produced from arachidonic acid and linoleic acid in a lipid peroxidation model system. Lipids 1991, 26, 170–173. [Google Scholar] [CrossRef]
- Boyd, L.C.; Nwosu, V.C.; Young, C.L.; MacMillian, L. Monitoring lipid oxidation and antioxidant effects of phospholipids by headspace gas chromatographic analyses of rancimat trapped volatiles. Food Lipids 1998, 5, 269–282. [Google Scholar] [CrossRef]
- Kinter, M. Analytical technologies for lipid oxidation products analysis. J. Chromatogr. B 1995, 671, 223–236. [Google Scholar] [CrossRef]
- Bagchi, D.; Bagchi, M.; Hassoun, E.A.; Stohs, S.J. Detection of paraquat-induced in vivo lipid peroxidation by gas chromatography/mass spectrometry and high-pressure liquid chromatography. J. Anal. Toxicol. 1993, 17, 411–414. [Google Scholar] [CrossRef]
- Haywood, R.M.; Claxson, A.W.D.; Hawkes, G.E.; Richardson, D.P.; Naughton, D.P.; Coumbarides, G.; Hawkes, J.; Lynch, E.J.; Grootveld, M.C. Detection of aldehydes and their conjugated hydroperoxydiene precursors in thermally-stressed culinary oils and fats: Investigations using high resolution proton NMR spectroscopy. Free Radic. Res. 1995, 22, 441–482. [Google Scholar] [CrossRef]
- Silwood, C.J.L.; Grootveld, M. Application of high-resolution two-dimensional 1H and 13C nuclear magnetic resonance techniques to the characterization of lipid oxidation products in autoxidized linoleoyl/linolenoylglycerol. Lipids 1999, 34, 741–756. [Google Scholar] [CrossRef] [PubMed]
- Guillen, M.D.; Goicoechea, E. Oxidation of corn oil at room temperature: Primary and secondary oxidation products and determination of their concentration in the oil liquid matrix from 1H nuclear magnetic resonance data. Food Chem. 2009, 116, 183–192. [Google Scholar] [CrossRef]
- Guillén, M.D.; Uriarte, P.S. Study by 1H NMR spectroscopy of the evolution of extra virgin olive oil composition submitted to frying temperature in an industrial fryer for a prolonged period of time. Food Chem. 2012, 134, 162–172. [Google Scholar] [CrossRef]
- Goicoechea, E.; Guillen, M.D. Analysis of hydroperoxides, aldehydes and epoxides by 1H nuclear magnetic resonance in sunflower oil oxidized at 70 °C and 100 °C. J. Agric. Food Chem. 2010, 58, 6234–6245. [Google Scholar] [CrossRef]
- Martınez-Yusta, A.; Guillen, M.D. A study by 1H nuclear magnetic resonance of the influence on the frying medium composition of some soybean oil-food combinations in deep-frying. Food Res. 2014, 55, 347–355. [Google Scholar] [CrossRef]
- Gresley, A.L.; Ampem, G.; Grootveld, M.; Percival, B.C.; Naughton, D.P. Characterization of peroxidation products arising from culinary oils exposed to continuous and discontinuous thermal degradation. Food Funct. 2019, 10, 7952–7966. [Google Scholar] [CrossRef] [PubMed]
- Merkx, D.W.; Hong, G.S.; Ermacora, A.; Van Duynhoven, J.P. Rapid quantitative profiling of lipid oxidation products in a food emulsion by 1H NMR. Anal. Chem. 2018, 90, 4863–4870. [Google Scholar] [CrossRef] [PubMed]
- Alexandri, E.; Ahmed, R.; Siddiqui, H.; Choudhary, M.; Tsiafoulis, C.; Gerothanassis, I.P. High resolution NMR spectroscopy as a structural and analytical tool for unsaturated lipids in solution. Molecules 2017, 22, 1663. [Google Scholar] [CrossRef] [PubMed]
- Ahmed, R.; Siddiqui, H.; Choudhary, M.I.; Gerothanassis, I.P. 1H–13C HMBC NMR experiments as a structural and analytical tool for the characterization of elusive trans/cis hydroperoxide isomers from oxidized unsaturated fatty acids in solution. Magn. Reson. Chem. 2019, 57, S69–S74. [Google Scholar] [CrossRef] [PubMed]
- Rappoport, Z. The Chemistry of Peroxides, Part 1; John Wiley & Sons, Ltd.: West Sussex, UK, 2006; Volume 2. [Google Scholar]
- Parella, T. High-quality 1D spectra by implementing pulsed-field gradients as the coherence pathway selection procedure. Magn. Reson. Chem. 1996, 34, 329–347. [Google Scholar] [CrossRef]
- Sandusky, P.; Raftery, D. Use of selective TOCSY NMR experiments for quantifying minor components in complex mixtures: Application to the metabonomics of amino acids in honey. Anal. Chem. 2005, 77, 2455–2463. [Google Scholar] [CrossRef]
- Koda, M.; Furihata, K.; Wei, F.; Miyakawa, T.; Tanokura, M. Metabolic discrimination of mango juice from various cultivars by band-selective NMR spectroscopy. J. Agric. Food. Chem. 2012, 60, 1158–1166. [Google Scholar] [CrossRef]
- Papaemmanouil, C.; Tsiafoulis, C.G.; Alivertis, D.; Tzamaloukas, O.; Miltiadou, D.; Tzakos, A.; Gerothanassis, I.P. Selective 1D TOCSY NMR experiments for a rapid identification of minor components in the lipid fraction of milk and dairy products: Towards spin-chromatography. J. Agric. Food. Chem. 2015, 63, 5381–5387. [Google Scholar] [CrossRef]
- Kontogianni, V.G.; Tsiafoulis, C.G.; Roussis, I.G.; Gerothanassis, I.P. Selective 1D TOCSY NMR method for the determination of glutathione in white wine. Anal. Methods 2017, 9, 4464–4470. [Google Scholar] [CrossRef]
- Kontogianni, V.G.; Primikyri, A.; Sakka, M.; Gerothanassis, I.P. Simultaneous determination of artemisinin and its analogues and flavonoids in Artemisia annua crude extracts with the use of NMR spectroscopy. Magn. Reson. Chem. 2020, 58, 232–244. [Google Scholar] [CrossRef]
- Coxon, D.T.; Price, K.R.; Chan, H.W.-S. Formation, isolation and structure determination of methyl linolenate diperoxides. Chem. Phys. Lipids 1981, 28, 365–378. [Google Scholar] [CrossRef]
- Frankel, E.N. Lipid Oxidation, 2nd ed.; The Oily Press Lipid Library Series: Cambridge, UK, 2005. [Google Scholar]
- Chan, H.W.-S.; Levett, G. Autoxidation of methyl linolenate. Analysis of methylhydroxylinoleate isomers by high performance liquid chromatography. Lipids 1977, 12, 837–840. [Google Scholar] [CrossRef] [PubMed]
- Chan, H.W.-S.; Coxon, D.T. Lipid hydroperoxides. In Autoxidation of Unsaturated Lipids; Chan, H.W.-S., Ed.; Academic Press: London, UK, 1987; pp. 17–50. [Google Scholar]
- Rychnovsky, S.D. Predicting NMR spectra by computational methods: Structure revision of hexacyclinol. Org. Lett. 2006, 8, 2895–2898. [Google Scholar] [CrossRef] [PubMed]
- Smith, S.G.; Goodman, J.M. Assigning the stereochemistry of pairs of diastereoisomers using GIAO NMR shift calculation. J. Org. Chem. 2009, 74, 4597–4607. [Google Scholar] [CrossRef]
- Lodewyk, M.W.; Siebert, M.R.; Tantillo, D.J. Computational prediction of 1H and 13C chemical shifts: A useful tool for natural product, mechanistic, and synthetic organic chemistry. Chem. Rev. 2012, 112, 1839–1862. [Google Scholar] [CrossRef]
- Tarazona, G.; Benedit, G.; Fernández, R.; Pérez, M.; Rodriguez, J.; Jiménez, C.; Cuevas, C. Can stereoclusters separated by two methylene groups be related by DFT studies? The case of the cytotoxic meroditerpenes halioxepines. J. Nat. Prod. 2018, 81, 343–348. [Google Scholar] [CrossRef]
- Siskos, M.G.; Kontogianni, V.G.; Tsiafoulis, C.G.; Tzakos, A.G.; Gerothanassis, I.P. Investigation of solute–solvent interactions in phenol compounds: Accurate ab initio calculations of solvent effects on 1H NMR chemical shifts. Org. Biomol. Chem. 2013, 11, 7400–7411. [Google Scholar] [CrossRef]
- Siskos, M.G.; Tzakos, A.G.; Gerothanassis, I.P. Accurate ab initio calculations of O–H…O and O–H…O proton chemical shifts: Towards elucidation of the nature of the hydrogen bond and prediction of hydrogen bond distances. Org. Biomol. Chem. 2015, 13, 8852–8868. [Google Scholar] [CrossRef]
- Siskos, M.G.; Choudhary, M.I.; Tzakos, A.G.; Gerothanassis, I.P. 1H NMR chemical shift assignment, structure and conformational elucidation of hypericin with the use of DFT calculations–The challenge of accurate positions of labile hydrogens. Tetrahedron 2016, 72, 8287–8293. [Google Scholar] [CrossRef]
- Siskos, M.G.; Choudhary, M.I.; Gerothanassis, I.P. Hydrogen atomic positions of O–H…O hydrogen bonds in solution and in the solid state: The synergy of quantum chemical calculations with 1H-NMR chemical shifts and X-ray diffraction methods. Molecules 2017, 22, 415. [Google Scholar] [CrossRef]
- Siskos, M.G.; Choudhary, M.I.; Gerothanassis, I.P. Refinement of labile hydrogen positions based on DFT calculations of 1H NMR chemical shifts: Comparison with X-ray and neutron diffraction methods. Org. Biomol. Chem. 2017, 15, 4655–4666. [Google Scholar] [CrossRef]
- Siskos, M.G.; Choudhary, M.I.; Gerothanassis, I.P. DFT-calculated structures based on 1H NMR chemical shifts in solution vs. structures solved by single-crystal X-ray and crystalline-sponge methods: Assessing specific sources of discrepancies. Tetrahedron 2018, 74, 4728–4737. [Google Scholar] [CrossRef]
- Mari, S.H.; Varras, P.C.; Wahab, A.-T.; Choudhary, I.M.; Siskos, M.G.; Gerothanassis, I.P. Solvent-dependent structures of natural products based on the combined use of DFT calculations and 1H-NMR chemical shifts. Molecules 2019, 24, 2290. [Google Scholar] [CrossRef] [PubMed]
- Cramer, C.J. Essentials of Computational Chemistry: Theories and Models, 2nd ed.; Wiley: Chichester, West Sussex, UK, 2008. [Google Scholar]
- Jensen, F. Introduction to Computational Chemistry, 2nd ed.; Wiley: Chichester, West Sussex, UK, 2007. [Google Scholar]
- Chung, L.W.; Sameera, W.M.C.; Ramozzi, R.; Page, A.J.; Hatanaka, M.; Petrova, G.P.; Harris, T.V.; Li, X.; Ke, Z.; Liu, F.; et al. The ONIOM method and its applications. Chem. Rev. 2015, 115, 5678–5796. [Google Scholar] [CrossRef]
- Trindle, C.; Shillady, D. Electronic Structure Modeling; CRC Press, Taylor and Francis Group: Boca Raton, FL, USA, 2008. [Google Scholar]
- Frisch, M.J.; Trucks, G.W.; Schlegel, H.B.; Scuseria, G.E.; Robb, M.A.; Cheeseman, J.R.; Scalmani, G.; Barone, V.; Mennucci, B.; Petersson, G.A.; et al. Gaussian 0.9, Revision. B.01; Gaussian, Inc.: Wallingford, UK, 2010. [Google Scholar]
- Klein, R.A.; Mennucci, B.; Tomasi, J. Ab initio calculations of 17O NMR-chemical shifts for water. The limits of PCM theory and the role of hydrogen-bond geometry and cooperativity. J. Phys. Chem. A 2004, 108, 5851–5863. [Google Scholar] [CrossRef]
- Massey, K.A.; Nicolaou, A. Lipidomics of oxidized polyunsaturated fatty acids. Free Rad. Biol. Med. 2013, 59, 45–55. [Google Scholar] [CrossRef]
- Li, J.; Voseqaard, T.; Guo, Z. Applications of nuclear magnetic resonance in lipid analyses: An emerging powerful tool for lipidomics studies. Prog. Lipid Res. 2017, 68, 37–56. [Google Scholar] [CrossRef]
- Tsiafoulis, C.G.; Papaemmanouil, C.; Alivertis, D.; Tzamaloukas, O.; Miltiadou, D.; Balayssac, S.; Malet-Martino, M.; Gerothanassis, I.P. NMR-Based metabolomics of the lipid fraction of organic and conventional bovine milk. Molecules 2019, 24, 1067. [Google Scholar] [CrossRef]
- Hatzakis, E. Nuclear magnetic resonance (NMR) spectroscopy in food science: A comprehensive review. Compr. Rev. Food Sci. Food Saf. 2019, 18, 189–220. [Google Scholar] [CrossRef]
- Wang, C.; Timári, I.; Zhang, B.; Li, D.-W.; Leggett, A.; Amer, A.O.; Bruschweiler-Li, L.; Kopec, R.E.; Brüschweiler, R. COLMAR lipids web server and ultrahigh-resolution methods for 2D NMR- and MS-based lipidomics. J. Proteome Res. 2020, 19, 1674–1683. [Google Scholar] [CrossRef]
- Boccia, A.C.; Cusano, E.; Scano, P.; Consonni, R. NMR lipid profile of milk from alpine goats with supplemented hempseed and linseed diets. Molecules 2020, 25, 1491. [Google Scholar] [CrossRef] [PubMed]
- Venianakis, T.; Oikonomaki, C.; Siskos, M.G.; Varras, P.C.; Primikyri, A.; Alexandri, E.; Gerothanassis, I.P. DFT calculations of 1H- and 13C-NMR chemical shifts of geometric isomers of conjugated linoleic acid (18:2 ω-7) and model compounds in solution. Molecules 2020, 25, 3660. [Google Scholar] [CrossRef] [PubMed]
Sample Availability: Sample of the compound methyl linolenate (methyl (9Z,12Z,15Z)-octadeca-9,12,15-trienoate) is available from the authors. | |
Publisher’s Note: MDPI stays neutral with regard to jurisdictional claims in published maps and institutional affiliations. |










| Compound | C–O (Å) | O–O (Å) | O–H (Å) | C(16) –O–O–H (°) | C(17)–C(16)–O–O (°) | C(15)–(16) –O–O (°) | (O)H…O (Å) | O(H)…O (Å) | O–H…O (°) | O(H)…C11 (Å) |
|---|---|---|---|---|---|---|---|---|---|---|
| Syn erythro | 1.422 | 1.428 | 0.978 | −90.0 | −153.3 | 85.0 | 2.431 | 2.882 | 107.7 | 2.301 |
| Syn erythro (PCM) | 1.425 | 1.430 | 0.979 | −88.9 | −155.5 | 83.0 | 2.405 | 2.862 | 107.9 | 2.275 |
| Syn threo | 1.422 | 1.431 | 0.976 | 78.2 | 157.1 | −82.4 | 2.039 | 2.761 | 129.0 | 3.910 |
| Syn threo (PCM) | 1.427 | 1.433 | 0.978 | 73.9 | 157.4 | −81.9 | 1.990 | 2.743 | 132.1° | 4.078 |
| Anti erythro | 1.422 | 1.432 | 0.979 | −69.0 | −154.9 | 83.3 | 1.981 | 2.730 | 131.4 | |
| Anti erythro (PCM) | 1.426 | 1.434 | 0.980 | −66.7 | −156.1 | 82.1 | 1.950 | 2.715 | 133.1 | |
| Anti threo | 1.422 | 1.431 | 0.977 | 73.2 | 155.3 | −83.8 | 1.997 | 2.752 | 132.3 | |
| Anti threo (PCM) | 1.427 | 1.434 | 0.979 | 71.1 | 157.1 | −82.1 | 1.944 | 2.724 | 134.8 | |
| Syn erythro + CHCl3 | 1.424 | 1.430 | 0.979 | −79.6 | −153.4 | 84.6 | 2.184 | 2.800 | 119.5 | 2.307 |
| Syn erythro + CHCl3 (PCM) | 1.426 | 1.431 | 0.979 | −78.9 | −154.3 | 83.8 | 2.169 | 2.791 | 120.0 | 2.317 |
| Syn threo + CHCl3 | 1.425 | 1.431 | 0.979 | 70.8 | 158.4 | −80.8 | 1.948 | 2.719 | 133.8 | 4.591 |
| Syn threo + CHCl3 (PCM) | 1.429 | 1.433 | 0.980 | 68.9 | 158.6 | −80.3 | 1.921 | 2.707 | 135.3 | 4.664 |
| Anti erythro + CHCl3 | 1.426 | 1.433 | 0.981 | −69.0 | −154.5 | 83.3 | 1.928 | 2.721 | 136.0 | |
| Anti erythro + CHCl3 (PCM) | 1.430 | 1.433 | 0.982 | −62.8 | −154.7 | 82.9 | 1.920 | 2.716 | 136.3 | |
| Anti threo + CHCl3 | 1.421 | 1.434 | 0.978 | 79.6 | 159.4 | −79.5 | 1.982 | 2.692 | 127.5 | |
| Anti threo + CHCl3 (PCM) | 1.426 | 1.434 | 0.979 | 77.4 | 159.9 | −79.1 | 1.958 | 2.685 | 129.1 |

| 9-cis, 11-trans-16-OOH endo-peroxy (threo) | 9-cis, 11-trans-16-OOH endo-peroxy (erythro) | 9-cis, 11-trans-16-OOH endo-peroxy (threo) | |||||
|---|---|---|---|---|---|---|---|
| Proton no. | δ (1H), ppm | δ (1H), ppm a | δ (1H), ppm b | δ (1H), ppm | δ (1H), ppm a | δ (13C), ppm | δ (13C), ppm b |
| 18 | 1.05 | 1.04 | 1.03 | 1.07 | 1.05 | 10.0 | 10.2 |
| 17 | 1.49 | --- | 1.89−1.20 | 1.66 | --- | 22.2 | 22.8 |
| 16 | 4.13 | 4.14 | 4.15 | 3.87 | 3.86 | 87.2 | 87.4 |
| 15 | 4.49 | 4.49 | 4.49 | 4.49 | 4.48 | 83.3 | 83.5 |
| 14(a) | 2.84 | 2.86 | 2.84 | 2.88 | 2.88 | 40.7 | 41.3 |
| 14(b) | 2.48 | 2.46 | 2.47 | 2.23 | 2.23 | ||
| 13 | 4.81 | 4.80 | 4.80 | 4.79 | 4.78 | 82.8 | 82.9 |
| 12 | 5.63 | 5.62 | 5.62 | 5.58 | 5.57 | 126.2 | 126.3 |
| 11 | 6.65 | 6.67 | 6.67 | 6.67 | 6.64 | 131.6 | 131.8 |
| 10 | 6.00 | 6.00 | 6.01 | 6.01 | 5.99 | 127.3 | 127.3 |
| 9 | 5.55 | 5.54 | 5.55 | 5.54 | 5.54 | 135.4 | 135.2 |
| OOH | 9.50 | 9.52 | 9.38 | 9.08 | 9.04 | ||
| Hydroperoxide δ (1H), ppm | Integration Data (%) | Integration Data (%) of Total Hydroperoxides | Assignment |
|---|---|---|---|
| 7.92 | 5.78% | 29% (33.0%) b | 10-Trans, 12-cis, 15-cis-9-OOH |
| 8.04 | 2.89% | 14% (10.8%) b | 9-Cis, 13-trans, 15-cis-12-OOH |
| 8.05 | 8.23% | 41% (43.9%) b | 10-Cis, 13-cis, 15-trans-16-OOH |
| 8.06 | 3.08% | 15% (12.3%) b | 9-Cis, 11-trans, 15-cis-13-OOH |
| 9.08 | 1.80% | 9-Cis, 11-trans, syn erythro, 16-OOH endo-hydroperoxide | |
| 9.12 | 1.36% | 13-Trans, 15-cis, syn erythro, 9-OOH endo-hydroperoxide | |
| 9.50 | 2.40% | 9-Cis, 11-trans, syn threo, 16-OOH endo-hydroperoxide | |
| 9.55 | 1.88% c | 13-Trans, 15-cis, syn threo, 9-OOH endo-hydroperoxidec |
© 2020 by the authors. Licensee MDPI, Basel, Switzerland. This article is an open access article distributed under the terms and conditions of the Creative Commons Attribution (CC BY) license (http://creativecommons.org/licenses/by/4.0/).
Share and Cite
Ahmed, R.; Varras, P.C.; Siskos, M.G.; Siddiqui, H.; Choudhary, M.I.; Gerothanassis, I.P. NMR and Computational Studies as Analytical and High-Resolution Structural Tool for Complex Hydroperoxides and Diastereomeric Endo-Hydroperoxides of Fatty Acids in Solution-Exemplified by Methyl Linolenate. Molecules 2020, 25, 4902. https://doi.org/10.3390/molecules25214902
Ahmed R, Varras PC, Siskos MG, Siddiqui H, Choudhary MI, Gerothanassis IP. NMR and Computational Studies as Analytical and High-Resolution Structural Tool for Complex Hydroperoxides and Diastereomeric Endo-Hydroperoxides of Fatty Acids in Solution-Exemplified by Methyl Linolenate. Molecules. 2020; 25(21):4902. https://doi.org/10.3390/molecules25214902
Chicago/Turabian StyleAhmed, Raheel, Panayiotis C. Varras, Michael G. Siskos, Hina Siddiqui, M. Iqbal Choudhary, and Ioannis P. Gerothanassis. 2020. "NMR and Computational Studies as Analytical and High-Resolution Structural Tool for Complex Hydroperoxides and Diastereomeric Endo-Hydroperoxides of Fatty Acids in Solution-Exemplified by Methyl Linolenate" Molecules 25, no. 21: 4902. https://doi.org/10.3390/molecules25214902
APA StyleAhmed, R., Varras, P. C., Siskos, M. G., Siddiqui, H., Choudhary, M. I., & Gerothanassis, I. P. (2020). NMR and Computational Studies as Analytical and High-Resolution Structural Tool for Complex Hydroperoxides and Diastereomeric Endo-Hydroperoxides of Fatty Acids in Solution-Exemplified by Methyl Linolenate. Molecules, 25(21), 4902. https://doi.org/10.3390/molecules25214902

