Cardanol and Eugenol Based Flame Retardant Epoxy Monomers for Thermostable Networks
Abstract
:1. Introduction
2. Results and Discussion
2.1. Monomers Characterization
2.2. Characterization and Properties of Thermosets
2.3. Flame Retardancy
3. Experimental Part
3.1. Materials
3.2. Methods
3.3. Monomers/Polymers Syntheses
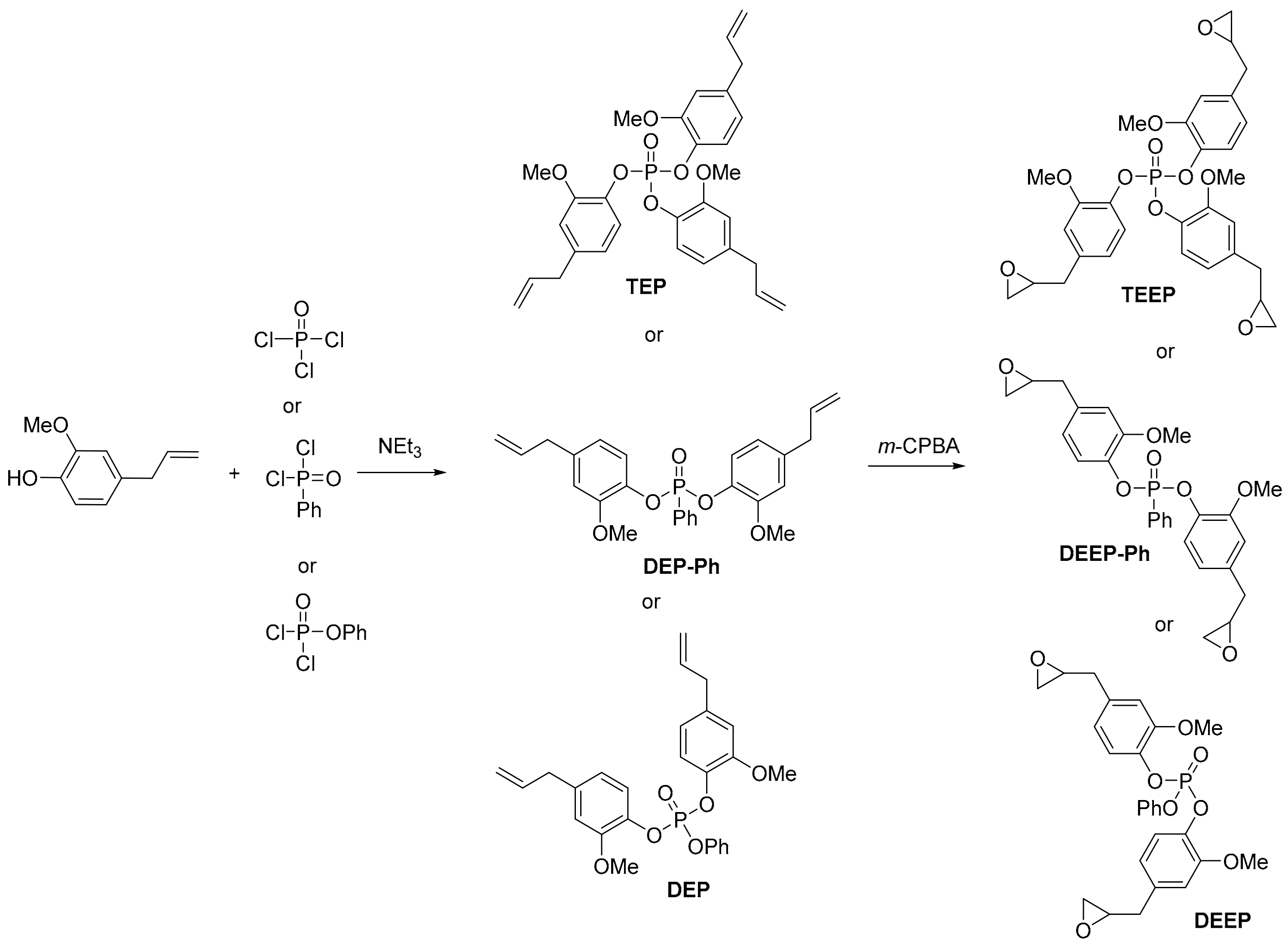
3.3.1. Synthesis of Trieugenylphosphate (TEP)
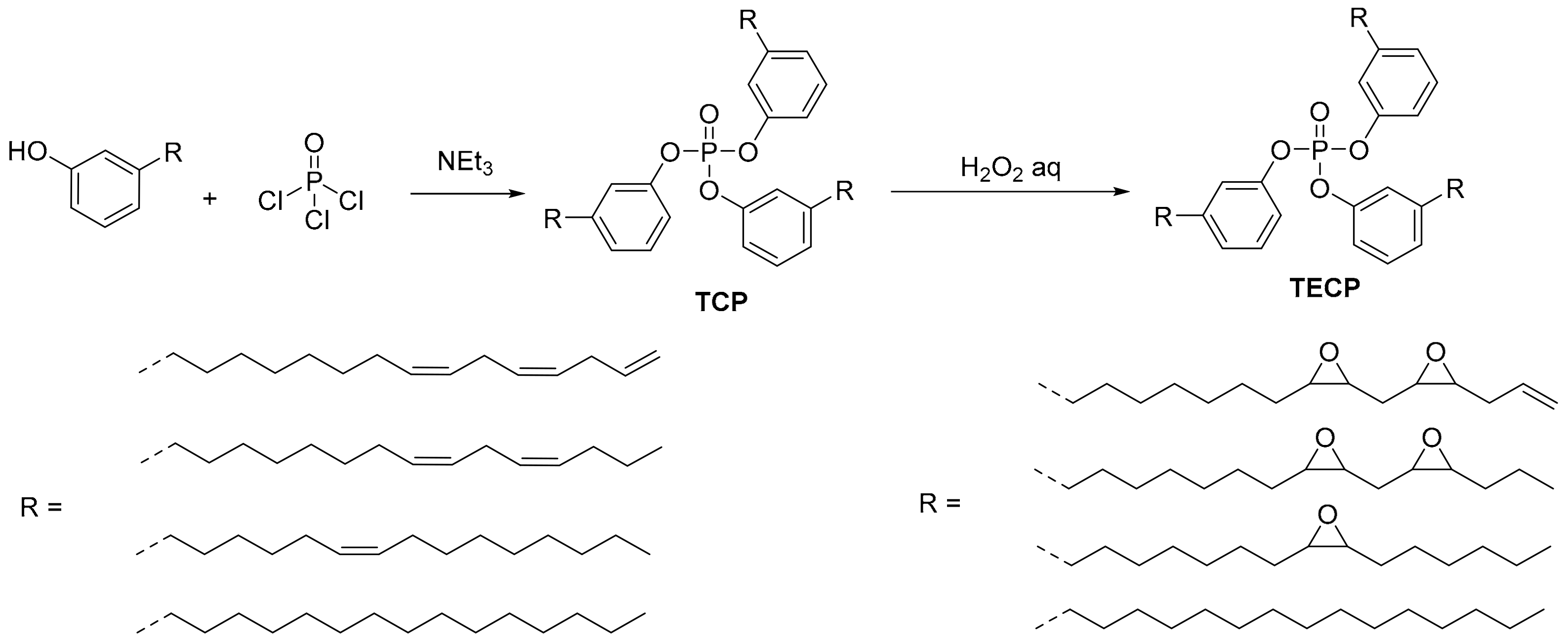
3.3.2. Synthesis of Tricardanylphosphate (TCP)
3.3.3. Synthesis of Dieugenylphosphate (DEP)
3.3.4. Synthesis of Dieugenylphosphonate (DEP-Ph)
3.3.5. Synthesis of Tri(epoxized-eugenyl)phosphate (TEEP)
3.3.6. Synthesis of Tri(epoxized-cardanyl)phosphate (TECP)
3.3.7. Synthesis of Di(epoxized-eugenyl)phosphate (DEEP)
3.3.8. Synthesis of Di(epoxized-eugenyl)phosphonate (DEEP-Ph)
3.3.9. Epoxy Network Curing Protocol
4. Conclusions
Supplementary Materials
Author Contributions
Funding
Acknowledgments
Conflicts of Interest
References
- Auvergne, R.; Caillol, S.; David, G.; Boutevin, B.; Pascault, J.P. Biobased Thermosetting Epoxy: Present and Future. Chem. Rev. 2014, 114, 1082–1115. [Google Scholar] [CrossRef] [PubMed]
- Pascault, J.-P.; Williams, R.J.J. Epoxy Polymers: New Materials and Innovations; Wiley-VCH: Weinheim, Germany, 2010; p. 367. [Google Scholar]
- Levchik, S.V.; Weil, E.D. Thermal decomposition, combustion and flame-retardancy of epoxy resins—A review of the recent literature. Polym. Int. 2004, 53, 1901–1929. [Google Scholar] [CrossRef]
- Pham, H.Q.; Marks, M.J. Epoxy Resins. In Ullmann’s Encyclopedia of Industrial Chemistry; Wiley-VCH: Weinheim, Germany, 2005. [Google Scholar]
- Vom Saal, F.S.; Hughes, C. An extensive new literature concerning low-dose effects of bisphenol A shows the need for a new risk assessment. Envir. Health Perspect. 2005, 113, 926–933. [Google Scholar] [CrossRef]
- Kuruto-Niwa, R.; Tateoka, Y.; Usuki, Y.; Nozawa, R. Measurement of bisphenol A concentrations in human colostrum. Chemosphere 2007, 66, 1160–1164. [Google Scholar] [CrossRef] [PubMed]
- Jaillet, F.; Darroman, E.; Ratsimihety, A.; Auvergne, R.; Boutevin, B.; Caillol, S. New biobased epoxy materials from cardanol. Eur. J. Lipid Sci. Technol. 2014, 116, 63–73. [Google Scholar] [CrossRef]
- Ng, F.F.; Couture, G.; Philippe, C.; Boutevin, B.; Caillol, S. Bio-Based Aromatic Epoxy Monomers for Thermoset Materials. Molecules 2017, 22, 149. [Google Scholar] [CrossRef] [PubMed]
- Chrysanthos, M.; Galy, J.; Pascault, J.P. Preparation and properties of bio-based epoxy networks derived from isosorbide diglycidyl ether. Polymer 2011, 52, 3611–3620. [Google Scholar] [CrossRef]
- Shibata, M.; Nakai, K. Preparation and Properties of Biocomposites Composed of Bio-Based Epoxy Resin, Tannic Acid, and Microfibrillated Cellulose. J. Polym. Sci. Part B-Polym. Phys. 2010, 48, 425–433. [Google Scholar] [CrossRef]
- Baroncini, E.A.; Yadav, S.K.; Palmese, G.R.; Stanzione, J.F. Recent advances in bio-based epoxy resins and bio-based epoxy curing agents. J. Appl. Polym. Sci. 2016, 133. [Google Scholar] [CrossRef]
- Fache, M.; Darroman, E.; Besse, V.; Auvergne, R.; Caillol, S.; Boutevin, B. Vanillin, a promising biobased building-block for monomer synthesis. Green Chem. 2014, 16, 1987–1998. [Google Scholar] [CrossRef]
- Laurichesse, S.; Averous, L. Chemical modification of lignins: Towards biobased polymers. Prog. Polym. Sci. 2014, 39, 1266–1290. [Google Scholar] [CrossRef]
- Mauck, J.R.; Yadav, S.K.; Sadler, J.M.; La Scala, J.J.; Palmese, G.R.; Schmalbach, K.M.; Stanzione, J.F. Preparation and Characterization of Highly Bio-Based Epoxy Amine Thermosets Derived from Lignocellulosics. Macromol. Chem. Phys. 2017, 218. [Google Scholar] [CrossRef]
- Harvey, B.G.; Sahagun, C.M.; Guenthner, A.J.; Groshens, T.J.; Cambrea, L.R.; Reams, J.T.; Mabry, J.M. A High-Performance Renewable Thermosetting Resin Derived from Eugenol. Chemsuschem 2014, 7, 1964–1969. [Google Scholar] [CrossRef] [PubMed]
- Wan, J.T.; Gan, B.; Li, C.; Molina-Aldareguia, J.; Kalali, E.N.; Wang, X.; Wang, D.Y. A sustainable, eugenol-derived epoxy resin with high biobased content, modulus, hardness and low flammability: Synthesis, curing kinetics and structure-property relationship. Chem. Eng. J. 2016, 284, 1080–1093. [Google Scholar] [CrossRef]
- Koeduka, T.; Fridman, E.; Gang, D.R.; Vassao, D.G.; Jackson, B.L.; Kish, C.M.; Orlova, I.; Spassova, S.M.; Lewis, N.G.; Noel, J.P.; et al. Eugenol and isoeugenol, characteristic aromatic constituents of spices, are biosynthesized via reduction of a coniferyl alcohol ester. Proc. Natl. Acad. Sci. USA 2006, 103, 10128–10133. [Google Scholar] [CrossRef]
- Faye, I.; Decostanzi, M.; Ecochard, Y.; Caillol, S. Eugenol bio-based epoxy thermosets: From cloves to applied materials. Green Chem. 2017, 19, 5236–5242. [Google Scholar] [CrossRef]
- Lu, S.Y.; Hamerton, I. Recent developments in the chemistry of halogen-free flame retardant polymers. Prog. Polym. Sci. 2002, 27, 1661–1712. [Google Scholar] [CrossRef]
- Lin, C.H.; Wu, C.Y.; Wang, C.S. Synthesis and properties of phosphorus-containing advanced epoxy resins. II. J. Appl. Polym. Sci. 2000, 78, 228–235. [Google Scholar] [CrossRef]
- Wang, C.S.; Lin, C.H. Synthesis and properties of phosphorus-containing epoxy resins by novel method. J. Polym. Sci. Part A-Polym. Chem. 1999, 37, 3903–3909. [Google Scholar] [CrossRef]
- Green, J. A review of phosphorus-containing flame retardants. J. Fire Sci. 1996, 14, 353–366. [Google Scholar] [CrossRef]
- Levchik, S.; Piotrowski, A.; Weil, E.; Yao, Q. New developments in flame retardancy of epoxy resins. Polym. Degrad. Stab. 2005, 88, 57–62. [Google Scholar] [CrossRef]
- Weil, E.D.; Levchik, S. A review of current flame retardant systems for epoxy resins. J. Fire Sci. 2004, 22, 25–40. [Google Scholar] [CrossRef]
- Pillai, C.K.S.; Prasad, V.S.; Sudha, J.D.; Bera, S.C.; Menon, A.R.R. Polymeric Resins from Renewable Resources. 2. Synthesis and Characterization of Flame-Retardant Prepolymers from Cardanol. J. Appl. Polym. Sci. 1990, 41, 2487–2501. [Google Scholar] [CrossRef]
- Fu, X.L.; Wang, X.; Xing, W.Y.; Zhang, P.; Song, L.; Hu, Y. Two-dimensional cardanol-derived zirconium phosphate hybrid as flame retardant and smoke suppressant for epoxy resin. Polym. Degrad. Stab. 2018, 151, 172–180. [Google Scholar] [CrossRef]
- Wazarkar, K.; Sabnis, A. Synergistic effect of P-S and crosslink density on performance properties of epoxy coatings cured with cardanol based multifunctional carboxyl curing agents. React. Funct. Polym. 2018, 128, 74–83. [Google Scholar] [CrossRef]
- Miao, J.T.; Yuan, L.; Guan, Q.B.; Liang, G.Z.; Gu, A.J. Biobased epoxy resin derived from eugenol with excellent integrated performance and high renewable carbon content. Polym. Int. 2018, 67, 1194–1202. [Google Scholar] [CrossRef]
- Schartel, B. Phosphorus-based Flame Retardancy Mechanisms-Old Hat or a Starting Point for Future Development? Materials 2010, 3, 4710–4745. [Google Scholar] [CrossRef]
- Levchik, S.V.; Weil, E.D. A review of recent progress in phosphorus-based flame retardants. J. Fire Sci. 2006, 24, 345–364. [Google Scholar] [CrossRef]
- Hergenrother, P.M.; Thompson, C.M.; Smith, J.G.; Connell, J.W.; Hinkley, J.A.; Lyon, R.E.; Moulton, R. Flame retardant aircraft epoxy resins containing phosphorus. Polymer 2005, 46, 5012–5024. [Google Scholar] [CrossRef]
- Braun, U.; Balabanovich, A.I.; Schartel, B.; Knoll, U.; Artner, J.; Ciesielski, M.; Doring, M.; Perez, R.; Sandler, J.K.W.; Altstadt, V.; Hoffmann, T.; Pospiech, D. Influence of the oxidation state of phosphorus on the decomposition and fire behaviour of flame-retarded epoxy resin composites. Polymer 2006, 47, 8495–8508. [Google Scholar] [CrossRef]
- Liu, Z.S.; Chen, J.; Knothe, G.; Nie, X.A.; Jiang, J.C. Synthesis of Epoxidized Cardanol and Its Antioxidative Properties for Vegetable Oils and Biodiesel. ACS Sustain. Chem. Eng. 2016, 4, 901–906. [Google Scholar] [CrossRef]
- Scodeller, I.; Mansouri, S.; Morvan, D.; Muller, E.; Vigier, K.D.; Wischert, R.; Jerome, F. Synthesis of Renewable meta-Xylylenediamine from Biomass-Derived Furfural. Angew. Chem.-Int. Ed. 2018, 57, 10510–10514. [Google Scholar] [CrossRef]
- Harvey, B.G.; Guenthner, A.J.; Lai, W.W.; Meylemans, H.A.; Davis, M.C.; Cambrea, L.R.; Reams, J.T.; Lamison, K.R. Effects of o-Methoxy Groups on the Properties and Thermal Stability of Renewable High-Temperature Cyanate Ester Resins. Macromolecules 2015, 48, 3173–3179. [Google Scholar] [CrossRef]
- Hernandez, E.D.; Bassett, A.W.; Sadler, J.M.; La Scala, J.J.; Stanzione, J.F. Synthesis and Characterization of Bio-based Epoxy Resins Derived from Vanillyl Alcohol. ACS Sustain. Chem. Eng. 2016, 4, 4328–4339. [Google Scholar] [CrossRef]
- Villanueva, M.; Martin-Iglesias, J.L.; Rodriguez-Anon, J.A.; Proupin-Castineiras, J. Thermal Study of an Epoxy System Dgeba (N = 0)/Mxda Modified with Poss. J. Thermal. Anal. Calorim. 2009, 96, 575–582. [Google Scholar] [CrossRef]
- Marks, M.J.; Snelgrove, R.V. Effect of Conversion on the Structure-Property Relationships of Amine-Cured Epoxy Thermosets. Acs Appl. Mat. Interfaces 2009, 1, 921–926. [Google Scholar] [CrossRef]
- Levita, G.; De Petris, S.; Marchetti, A.; Lazzeri, A. Crosslink density and fracture toughness of epoxy resins. J. Mat. Sci. 1991, 26, 2348–2352. [Google Scholar] [CrossRef]
- Schroeder, J.A.; Madsen, P.A.; Foister, R.T. Structure/property relationships for a series of crosslinked aromatic/aliphatic epoxy mixtures. Polymer 1987, 28, 929–940. [Google Scholar] [CrossRef]
- Despinasse, M.C.; Schartel, B. Aryl phosphate-aryl phosphate synergy in flame-retarded bisphenol A polycarbonate/acrylonitrile-butadiene-styrene. Thermochim. Acta 2013, 563, 51–61. [Google Scholar] [CrossRef]
- Ménard, R.; Negrell, C.; Ferry, L.; Sonnier, R.; David, G. Synthesis of biobased phosphorus-containing flame retardants for epoxy thermosets comparison of additive and reactive approaches. Polym. Degrad. Stab. 2015, 120, 300–312. [Google Scholar] [CrossRef]
- Sonnier, R.; Otazaghine, B.; Ferry, L.; Lopez-Cuesta, J.M. Study of the combustion efficiency of polymers using a pyrolysis-combustion flow calorimeter. Combust. Flame 2013, 160, 2182–2193. [Google Scholar] [CrossRef]
- Sonnier, R.; Otazaghine, B.; Dumazert, L.; Menard, R.; Viretto, A.; Dumas, L.; Bonnaud, L.; Dubois, P.; Safronava, N.; Walters, R.; Lyon, R. Prediction of thermosets flammability using a model based on group contributions. Polymer 2017, 127, 203–213. [Google Scholar] [CrossRef]
- Menard, R.; Negrell, C.; Fache, M.; Ferry, L.; Sonnier, R.; David, G. From a bio-based phosphorus-containing epoxy monomer to fully bio-based flame-retardant thermosets. Rsc Adv. 2015, 5, 70856–70867. [Google Scholar] [CrossRef]
- Sonnier, R.; Dumazert, L.; Livi, S.; Nguyen, T.K.L.; Duchet-Rumeau, J.; Vahabi, H.; Laheurte, P. Flame retardancy of phosphorus-containing ionic liquid based epoxy networks. Polym. Degrad. Stab. 2016, 134, 186–193. [Google Scholar] [CrossRef]
- Lyon, R.E.; Walters, R.N. Pyrolysis combustion flow calorimetry. J. Anal. Appl. Pyrol. 2004, 71, 27–46. [Google Scholar] [CrossRef]
- Huggett, C. Estimation of Rate of Heat Release by Means of Oxygen-Consumption Measurements. Fire Mat. 1980, 4, 61–65. [Google Scholar] [CrossRef]
Sample Availability: Samples of the compounds are not available from the authors. |












| Epoxy Monomers (Cured With MXDA) | Gel Content (%) | Td5% (°C) | Char Yield (%) a | Tg (°C) | Tα (°C) | E′glassy (MPa) | E′rubbery (MPa) | ν′ (mol/m3) |
|---|---|---|---|---|---|---|---|---|
| DGEBA | 99 | 333 | 7 | 116 | 130 | 1210 | 18 | 1146 |
| TECP | 82 | 311 | 12 | −26 | 18 | 1500 | 1.3 | 140 |
| TEEP | 99 | 295 | 43 | 84 | 78 | 1210 | 2.5 | 218 |
| DEEP | 100 | 300 | 41 | 98 | 94 | 2000 | 7.8 | 739 |
| DEEP-Ph | 100 | 305 | 35 | 109 | 128 | 1250 | 3.1 | 273 |
| Epoxy Monomers (Cured with MXDA) | P Content (wt.%) | pHRR1 (W/g) | TpHRR1 (°C) | pHRR2 (W/g) | TpHRR2 (°C) | THR (kJ/g) | Residue Content (wt.%) | Δh (kJ/g) |
|---|---|---|---|---|---|---|---|---|
| DGEBA | 0 | 529 | 377 | 25.3 | 11 | 28.3 | ||
| TECP | 2.4 | 137 | 314 | 292 | 463 | 29.5 | 12 | 33.4 |
| TEEP | 4.5 | 95 | 329 | 9.6 | 55 | 21.1 | ||
| DEEP | 5.8 | 117 | 338 | 11.5 | 48 | 21.9 | ||
| DEEP-Ph | 5.8 | 88 | 366 | 15.3 | 35 | 23.6 |
| Epoxy Monomers (Cured with MXDA) | P Content (wt.%) | TTI (s) | pHRR (kW/m2) | THR (kJ/g) | Residue Content (wt.%) | EHC (kJ/g) | ΔResidue (%) * | Χ |
|---|---|---|---|---|---|---|---|---|
| DGEBA | 0 | 65 | 1486 | 22.1 | 2.3 | 22.7 | −4.7 | 0.80 |
| TECP | 2.4 | 31 | 708 | 20.4 | 15.4 | 24.1 | 3.4 | 0.72 |
| TEEP | 4.5 | 38 | 659 | 9.5 | 40 | 15.8 | −3 | 0.75 |
| DEEP | 5.8 | 39 | 593 | 9.3 | 37.5 | 14.9 | −3.5 | 0.68 |
| DEEP-Ph | 5.8 | 40 | 665 | 8.4 | 32.8 | 12.5 | −2.2 | 0.53 |
| C (wt.%) | O (wt.%) | P (wt.%) | |
|---|---|---|---|
| DGEBA | 82.1 (±0.9) | 17.3 (±0.6) | / |
| TECP | 66.1 (±0.4) | 24.3 (±0.1) | 8.7 (±0.2) |
| TEEP | 58.3 (±0.2) | 29.6 (±0.1) | 11.7 (±0.1) |
| DEEP | 68.1 (±0.1) | 22.4 (±0.3) | 9.2 (±0.0) |
| DEEP-Ph | 62.0 (±0.1) | 26.1 (±0.0) | 11.3 (±0.2) |
© 2019 by the authors. Licensee MDPI, Basel, Switzerland. This article is an open access article distributed under the terms and conditions of the Creative Commons Attribution (CC BY) license (http://creativecommons.org/licenses/by/4.0/).
Share and Cite
Ecochard, Y.; Decostanzi, M.; Negrell, C.; Sonnier, R.; Caillol, S. Cardanol and Eugenol Based Flame Retardant Epoxy Monomers for Thermostable Networks. Molecules 2019, 24, 1818. https://doi.org/10.3390/molecules24091818
Ecochard Y, Decostanzi M, Negrell C, Sonnier R, Caillol S. Cardanol and Eugenol Based Flame Retardant Epoxy Monomers for Thermostable Networks. Molecules. 2019; 24(9):1818. https://doi.org/10.3390/molecules24091818
Chicago/Turabian StyleEcochard, Yvan, Mélanie Decostanzi, Claire Negrell, Rodolphe Sonnier, and Sylvain Caillol. 2019. "Cardanol and Eugenol Based Flame Retardant Epoxy Monomers for Thermostable Networks" Molecules 24, no. 9: 1818. https://doi.org/10.3390/molecules24091818
APA StyleEcochard, Y., Decostanzi, M., Negrell, C., Sonnier, R., & Caillol, S. (2019). Cardanol and Eugenol Based Flame Retardant Epoxy Monomers for Thermostable Networks. Molecules, 24(9), 1818. https://doi.org/10.3390/molecules24091818

