Abstract
New derivatives of 4-alkyl-3,5-diaryl-4H-1,2,4-triazole were synthesized utilizing the Suzuki cross-coupling reaction. The presented methodology comprises of the preparation of bromine-containing 4-alkyl-4H-1,2,4-triazoles and their coupling with different commercially available boronic acids in the presence of ionic liquids or in conventional solvents. The obtained compounds were tested for their luminescence properties.
1. Introduction
Heterocyclic compounds containing 4H-1,2,4-triazole moiety are very attractive due to their wide range of biological activities [1], such as antibacterial [2], anticancer [3], anticonvulsant [4], anti-diabetic [5] or anti-neuropathic [6] properties. They are also applied in agriculture as fungicides and herbicides [7], and in industry as corrosion inhibitors [8,9] or in material science due to their valuable electronic and optical properties [10].
The most popular method for the synthesis of 3,4,5-trisubstituted 4H-1,2,4-triazole core [11,12] involves the reaction of diacylhydrazines with aromatic amines, in the presence of the dehydrating agent, e.g., phosphorus pentoxide [13], zinc chloride [14] or N,N′-diphenylphosphenimidous amide [15]. Other methods include the conversion of other heterocyclic systems, such as 1,3,4-oxadiazoles [16,17], 1,3,4-thiadiazoles [18] or dihydro-1,2,4,5-tetrazines [19].
Ionic liquids (IL) are considered modern green solvents, mainly due to their low vapor pressure, good thermal stability, and wide liquid regions [20,21,22]. Recent reports have also shown that IL can act as effective catalysts [23,24,25].
Our previous reports examined diacylhydrazines as potent reagents in the synthesis of heterocycles such as 1,3,4-oxadiazoles and 1,3,4-thiadiazoles [26,27], which were found to be valuable units in the synthesis of five-membered rings, allowing the formation of compounds bearing extended π-conjugated systems with excellent optical properties. Herein, we report the synthesis of 4H-1,2,4-triazole core as a structural analogue of our previously investigated heterocyclic arrangements, expecting that it will exhibit equally good features.
2. Results and Discussion
Our study began by synthesizing four basic 4-alkyl-3,5-bis(4-bromophenyl)-4H-1,2,4-triazole (3a–d) units (Scheme 1). The starting material in the reaction sequence was N,N′-bis(4-bromobenzoyl)hydrazine (1), which was prepared using previously described methods [26,28]. Compound 1 was transformed in 80% yield (entry 3, Table 1) into the more reactive chloro-derivative 2 in the presence of phosphorus pentachloride and in the non-polar solvent toluene. Heating compound 2 with excess butylamine generated the corresponding 4-butyl-4H-1,2,4-triazole derivative 3c (71%, entry 3, Table 1). An attempt to extend the reaction time only slightly improved the yield (73%, entry 4, Table 1). Using our designed conditions, three other 4-alkyl-4H-1,2,4-triazole derivatives with phenyl groups with terminally substituted bromine were synthesized in good yields (3a, 3b, 3d, Scheme 1) and subsequently used as precursors for Suzuki cross-coupling reactions.
Scheme 1.
Synthesis of 4-alkyl-4H-1,2,4-triazole core. Reagents and conditions: (i) PCl5, toluene, reflux, 5 min; (ii) R-NH2, toluene, reflux, 10 h.
Table 1.
Products of the reaction of N,N′-bis(4-bromobenzoyl)hydrazine (1) with PCl5 and N,N′-bis[(4-bromophenyl)chloromethylene]hydrazine (2) with butylamine.
In order to select the most favorable conditions for the next stage—Suzuki cross-coupling—the selected dibromo 1,2,4-triazole derivative 3c was treated with the phenylboronic acid (4a). Due to the use of a two-phase solvent system, it was necessary to employ a phase transfer catalyst. A better result was obtained when tetrabutylammonium bromide acted as the catalyst instead of its chloro counterpart (Table 2, entries 1 and 2). The use of a slight excess of a boronic acid with respect to the triazole derivative 3c resulted in a significant improvement in yield (Table 2, entries 2 and 3). Then the influence of the type of base on the reaction yield was investigated (Table 2, entries 3–10). The study revealed that the best results in the two-phase solvent system were achieved with the use of different carbonates (Table 2, entries 3–6). Interestingly, it turned out that product 7a can also be obtained in a single-phase system employing an organic base such as sodium alkoxide. In this case, the best result was obtained using sodium t-butoxide (Table 2, entry 10).
Table 2.
The conventional Suzuki cross-coupling reaction for 3,5-bis(biphenyl-4-yl)-4-butyl-4H-1,2,4-triazole (7a).
Using these reaction conditions, new organic hybrids containing a 4-alkyl-4H-1,2,4-triazole moiety were synthesized (Scheme 2). 4-Alkyl-3,5-bis(4-bromophenyl)-4H-1,2,4-triazoles (3a–d) were first heated in an oil bath with excess boronic acids 4a–n in the presence of 5 mol% palladium catalyst Pd(PPh3)4 and 10 mol% phase transfer catalyst NBu4Br. Reactions were conducted in a two-phase toluene/H2O/EtOH solvent system and monitored by TLC until the initial 4-alkyl-3,5-bis(4-bromophenyl)-4H-1,2,4-triazole (3a–d) was entirely consumed.
Scheme 2.
The conventional Suzuki cross-coupling reaction for 4-alkyl-3,5-bis(4-bromophenyl)-4H-1,2,4-triazole moiety. Reagents and conditions: aryl dibromide 3a–d (1.00 mmol), arylboronic acid 4a–n (2.50 mmol), Pd(PPh3)4 (0.05 mmol), NBu4Br (0.10 mmol), K2CO3 (10 mmol), toluene/H2O/EtOH (10:6:3 mL), oil bath 130 °C, 4–12 h.
An alternative method was sought for 3,5-bis(biphenyl-4-yl)-4-butyl-4H-1,2,4-triazole (7a) synthesis. A commercially available IL was selected based its ability to act both as a solvent and base necessary in the catalytic cycle.
Aqueous solutions of four different hydroxide IL containing different cations, i.e., benzyltrimethylammonium (BTMA-OH), choline (Choline-OH), hexadecyltrimethylammonium (HDTMA-OH) and tetrabutylammonium (TBA-OH), were tested. Due to the limited solubility of substrates in these solvents, the addition of 10% non-polar conventional solvent (toluene) was necessary. Interestingly, among the tested systems, only one IL, Choline-OH, could be used without the addition of a base, resulting in the formation of the product 7a in 83% yield (entry 4, Table 3). We found that the IL can be regenerated and recycled into the reaction with only a slight decrease in product yield after five cycles (Figure 1).
Table 3.
The synthesis of 3,5-bis(biphenyl-4-yl)-4-butyl-4H-1,2,4-triazole (7a) in IL.
Figure 1.
Yield of the selected product 7a for the synthesis in choline ionic liquids.
Using our standard conditions, novel sets of compounds containing a 4-alkyl-4H-1,2,4-triazole moiety were synthesized (Table 4). Generally, compounds containing a 4H-1,2,4-triazole core substituted with an ethyl or propyl group at the position 4 were synthesized at slightly higher yields than their counterparts with butyl or hexyl substituents (61–99% for 5a–n, 52–99% for 6a–n, 49–98% for 7a–n, 37–93% for 8a–n, Table 4). Interestingly, the lowest yields were obtained for compounds 5m, 6m, 7m, 8m, containing a terminal thiophen-2-yl group (61% for 5m, 52% for 6m, 49% for 7m, 37% for 8m, Table 4). Other products possesing terminal electron-deficient and electron-rich substituted phenyl group or other heterocyclic arrangements were produced in relatively higher yields (85–99% for 5a–l,n, 69–99% for 6a–l,n, 74–98% for 7a–l,n, 62–93% for 8a–l,n, Table 4).
Table 4.
4-Alkyl-3,5-bis(4-arylphenyl)-4H-1,2,4-triazoles 5a–n, 6a–n, 7a–n, 8a–n prepared in Suzuki cross-coupling reaction.
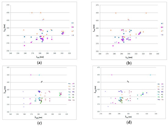
All the final products were screened for their luminescence properties, displaying strong fluorescent properties. The only exception occurred for compounds 5–8g containing a nitrophenyl moiety (Table 4), due the presence of a strong electron withdrawing -NO2 group, which diminished the electron density within an aromatic system and subsequently changed the energy of delocalized orbitals accompanied by a decrease in population of fluorescent transitions. Generally, compounds containing aliphatic chains with an even number of carbon atoms exhibit longer emission wavelengths, than those of odd numbers (Table 4). This effect was independent from the absorption or excitation wavelengths (Figure 2a,b). The wavelengths of absorption and excitation maxima depended mainly on the Ar substituent type, i.e., for the same Ar substituent, these wavelengths are similar (Figure 2c,d).
Figure 2.
Absorption-emission or excitation-emission maxima of studied compounds: (a) Absorption-emission maxima of studied compounds containing ethyl (5a–n), propyl (6a–n), butyl (7a–n) and hexyl (8a–n) substituents; (b) excitation-emission maxima of studied compounds containing ethyl (5a–n), propyl (6a–n), butyl (7a–n) and hexyl (8a–n) substituents; (c) absorption-emission maxima of studied compounds containing different aryl substituents; (d) excitation-emission maxima of studied compounds containing different aryl substituents.
The calculated quantum yields (Φ) correlated with registered values of fluorescence (larger fluorescence leads to larger Φ, Figure 3a), whereas no relationship between the Φ and absorption was observed (Figure 3b). This meant that the emission mechanism was similar in all compounds and the differences in values of absorption originated from the variation in the amount of electromagnetic energy (photons) transformed into internal energy. The 3D fluorescence spectra in most cases displayed one well-shaped maximum, originating from the absorption-emission effects occurring within the central moiety. The exceptions are compounds 6i and 8i, containing 4-pyridyl substituent (spectrum of compound 6i contains two maxima, and of 8i exhibits large broadening at longer emission wavelengths). The presence of a fluorescent substituent (pyridyl) caused the formation of the second re-emission effect, partially overlapped with the fluorescence of the central moiety, influencing the shape of the emission spectrum. These changes were also observed in other synthesized compounds containing the pyridyl moiety (5i, 7i, 5j–8j); however, the broadening was less visible due to a smaller shift and larger overlap of the emission maxima. In all cases, the n→π* absorption transitions are the main origin of excited states leading to subsequent fluorescence.
Figure 3.
Quantum yield of studied compounds: (a) Quantum yield and intensity of fluorescence of studied compounds; (b) Quantum yield of fluorescence and absorbance at excitation wavelength () of studied compounds.
The determined optimal excitation wavelengths are similar to those registered for 1,2,4-triazole and certain bromo derivatives; however, in our case, the calculated quantum yields were much greater than the ones for 1,2,4-triazole and the above-mentioned derivatives (up to four orders of magnitudes, e.g., Φ1,2,4-triazole = 5 × 104) [32]. The differences between the excitation and emission wavelengths at global maxima of 3D fluorescence spectra vary from 75 nm to 168 nm, with the most populated value at ca. 80 nm (Figure 4). The largest shift in wavelengths occurred for compound 7b, which upon absorption of ultraviolet light emitted a strong blue fluorescence. Such shift is rare, as typically fluorescent compounds possess emission wavelengths separated by less than 100 nm from excitation wavelengths. Upon irradiation by UV light, 7i emitted a blue light and compounds 7j and 8j emitted a violet light visible by the naked eye.
Figure 4.
The distribution of the Δλ = − for the studied compounds.
3. Experimental
3.1. General Information
Melting points were measured on a Stuart SMP3 melting point apparatus. The 1H-NMR and 13C-NMR spectra were recorded on an Agilent 400-NMR spectrometer in CDCl3 solution using TMS as the internal standard. FT-IR spectra were performed between 4000 and 650 cm−1 using a FT-IR Nicolet 6700 apparatus with a Smart iTR accessory. UV-Vis spectra were registered at room temperature in CH2Cl2 on a Jasco V-660 spectrophotometer. Fluorescence spectra were registered at room temperature in CH2Cl2 using a Jasco F-6300 fluorescence spectrophotometer. High-resolution mass spectra were recorded on a Waters ACQUITY UPLC/Xevo G2QT instrument. Thin-layer chromatography was performed on silica gel 60 F254 (Merck, Darmstadt, Germany) TLC plates using CHCl3/EtOAc (5:1 v/v) as the mobile phase. All reagents were purchased from commercial sources and used without further purification. Aqueous solutions of four different hydroxide IL (Merck) containing different cations including: benzyltrimethylammonium hydroxide solution 40 wt. % in H2O (BTMA-OH), choline hydroxide solution 46 wt. % in H2O (Choline-OH), hexadecyltrimethylammonium hydroxide solution 10 wt. % in H2O (HDTMA-OH) and tetrabutylammonium hydroxide solution 40 wt. % in H2O (TBA-OH) were tested. Copies of the 1H-NMR and 13C-NMR spectra and 3D emission spectra of the compounds are available in the online Supplementary Materials.
3.2. Synthesis and Characterization
3.2.1. Procedure for the Synthesis of Precursor 2
N,N′-Bis[(4-bromophenyl)chloromethylene]hydrazine (2). A mixture of N,N′-bis(4-bromobenzoyl)hydrazine (1, 3.981 g, 0.01 mol) with phosphorus pentachloride (4.164 g, 0.02 mol) in toluene (70 mL) was heated under reflux in an oil bath (130 °C) for 5 min. The clear yellow solution was evaporated under vacuum. The residue was then dissolved in chloroform (50 mL) and transferred to a separating funnel. The organic layer was washed with distilled water (5 × 50 mL), dried over MgSO4 and concentrated using a rotary evaporator. The crude yellow residue was purified by column chromatography (silica gel, CHCl3 as the mobile phase) to give N,N′-bis[(4-bromophenyl)chloromethylene]hydrazine (2, 3.490 g, 80% yield) as a light cream solid mp 143–145 °C (lit. [33]: 144–145 °C).
3.2.2. General Procedure for the Synthesis of Suzuki Cross-Coupling Precursors: 4-alkyl-3,5-bis(4-bromophenyl)-4H-1,2,4-triazoles (3a–d)
To a cooled, vigorously stirred solution of N,N′-bis[(4-bromophenyl)chloromethylene]hydrazine (2, 4.349 g, 0.01 mol) in toluene (50 mL), the appropriate amine (0.04 mol) was added. The solution was stirred in an ice bath for 3 h and then at room temperature overnight, followed by heating for an additional 10 h before being concentrated using a rotary evaporator. The crude residue was purified by column chromatography (silica gel, CHCl3/EtOAc, 5:1 v/v as the mobile phase) to give 4-alkyl-3,5-bis(4-bromophenyl)-4H-1,2,4-triazole (3a–d).
3,5-Bis(4-bromophenyl)-4-ethyl-4H-1,2,4-triazole (3a). White solid in 78% yield, 3.175 g, m.p. 214–215 °C; UV (CH2Cl2) λmax 257.5 nm (ε⋅10−3 33.3 cm−1M−1); IR (ATR) ν: 2966, 1597, 1473, 1457, 1431, 1379, 1080, 1067, 1009, 968, 824, 794, 753, 737, 730, 665 cm−1; 1H-NMR (400 MHz, CDCl3): δ 1.07 (t, J = 7.2 Hz, 3H, CH3), 4.08 (q, J = 7.2 Hz, 2H, CH2), 7.52 (d, J = 8.4 Hz, 4H, ArH), 7.65 (d, J = 8.4 Hz, 4H, ArH); 13C-NMR (100 MHz, CDCl3): δ 15.8, 40.0, 124.9, 126.4, 130.4, 132.3, 154.5; HRMS m/z calcd for (C16H13N3Br2 + H+): 405.9549; found: 405.9544.
3,5-Bis(4-bromophenyl)-4-propyl-4H-1,2,4-triazole (3b). White solid in 80% yield, 3.369 g, m.p. 208–210 °C; UV (CH2Cl2) λmax 258.5 nm (ε⋅10−3 27.7 cm−1M−1); IR (ATR) ν: 2955, 2930, 2869, 1468, 1455, 1429, 1401, 1379, 1349, 1269, 1105, 1091, 1069, 1010, 967, 849, 827, 800, 746 cm−1; 1H-NMR (400 MHz, CDCl3): δ 0.63 (t, J = 7.2 Hz, 3H, CH3), 1.41 (sext, J = 7.2 Hz, 2H, CH2), 4.03 (t, J = 7.2 Hz, 2H, CH2), 7.54 (d, J = 8.4 Hz, 4H, ArH), 7.68 (d, J = 8.4 Hz, 4H, ArH); 13C-NMR (100 MHz, CDCl3): δ 10.6, 23.4, 46.6, 124.8, 126.6, 130.4, 132.3, 154.8; HRMS m/z calcd for (C17H15N3Br2 + H+): 419.9705; found: 419.9701.
3,5-Bis(4-bromophenyl)-4-butyl-4H-1,2,4-triazole (3c). White solid in 71% yield, 3.085 g, m.p. 220–223 °C; UV (CH2Cl2) λmax 258.0 nm (ε⋅10−3 28.0 cm−1M−1); IR (ATR) ν: 2963, 2927, 2856, 1468, 1430, 1400, 1382, 1268, 1096, 1069, 1011, 973, 846, 826, 756, 744, 720 cm−1; 1H-NMR (400 MHz, CDCl3): δ 0.67 (t, J = 7.6 Hz, 3H, CH3), 1.01 (sext, J = 7.6 Hz, 2H, CH2), 1.35 (quin, J = 7.6 Hz, 2H, CH2), 4.06 (t, J = 7.6 Hz, 2H, CH2), 7.54 (d, J = 8.4 Hz, 4H, ArH), 7.67 (d, J = 8.4 Hz, 4H, ArH); 13C-NMR (100 MHz, CDCl3): δ 13.1, 19.2, 31.9, 44.8, 124.7, 126.5, 130.4, 132.3, 154.8; HRMS m/z calcd for (C18H17N3Br2 + H+): 433.9862; found: 433.9863.
3,5-Bis(4-bromophenyl)-4-hexyl-4H-1,2,4-triazole (3d). White solid in 62% yield, 2.872 g, m.p. 168–169 °C; UV (CH2Cl2) λmax 258.0 nm (ε⋅10−3 31.3 cm−1M−1); IR (ATR) ν: 2951, 2931, 2860, 1599, 1464, 1417, 1398, 1381, 1353, 1331, 1147, 1101, 1071, 1014, 977, 853, 842, 825, 772, 753, 734, 720 cm−1; 1H-NMR (400 MHz, CDCl3): δ 0.76 (t, J = 7.2 Hz, 3H, CH3), 0.98 (m, 4H, 2 × CH2), 1.00 (quin, J = 7.2 Hz, 2H, CH2), 1.36 (quin, J = 7.2 Hz, 2H, CH2), 4.05 (t, J = 7.2 Hz, 2H, CH2), 7.54 (d, J = 8.4 Hz, 4H, ArH), 7.68 (d, J = 8.4 Hz, 4H, ArH); 13C-NMR (100 MHz, CDCl3): δ 13.7, 22.2, 25.6, 29.8, 30.6, 45.0, 124.7, 126.6, 130.4, 132.3, 154.8; HRMS m/z calcd for (C20H21N3Br2 + H+): 462.0175; found: 462.0177.
3.2.3. General Procedure for Conventional Suzuki Cross-Coupling Reactions. Synthesis of 4-Alkyl-3,5-bis(4-arylphenyl)-4H-1,2,4-triazoles 5a–n, 6a–n, 7a–n, 8a–n
To a mixture of 4-alkyl-3,5-bis(4-bromophenyl)-4H-1,2,4-triazole (3a–d, 1.00 mmol), the corresponding boronic acid (4a–n, 2.50 mmol), palladium catalyst Pd(PPh3)4 (0.058 g, 0.05 mmol), phase transfer catalyst NBu4Br (0.032 g, 0.10 mmol) and base K2CO3 (1.382 g, 10.00 mmol), toluene (9 mL), H2O (6 mL) and EtOH (3 mL) were added. The mixture was heated under reflux in an oil bath (130 °C) for 4–12 h (reaction was monitored by TLC). After cooling, chloroform (50 mL) was added and the solution transferred to a separating funnel. The aqueous layer was extracted with chloroform (2 × 10 mL). The combined organic layers were filtered through a silica gel plug (10 mL), which was then flushed with CHCl3/EtOAc (5:1 v/v). The filtrate was dried over MgSO4 and then concentrated using a rotary evaporator. The product was precipitated using EtOAc (5 mL), filtered, washed with fresh EtOAc and air-dried to give the corresponding pure 4-alkyl-3,5-bis(4-arylphenyl)-4H-1,2,4-triazole (5a–n, 6a–n, 7a–n, 8a–n).
3,5-Bis(biphenyl-4-yl)-4-ethyl-4H-1,2,4-triazole (5a). Beige solid in 87% yield, 0.348 g, m.p. 229–231 °C; UV (CH2Cl2) λmax 281.0 nm (ε⋅10−3 36.0 cm−1M−1); IR (ATR) ν: 3029, 2965, 1471, 1456, 1445, 1420, 1340, 1083, 1076, 1007, 968, 847, 765, 750, 730, 695, 598 cm−1; 1H-NMR (400 MHz, CDCl3): δ 1.16 (t, J = 7.2 Hz, 3H, CH3), 4.23 (q, J = 7.2 Hz, 2H, CH2), 7.39 (t, J = 7.2 Hz, 2H, ArH), 7.47 (t, J = 7.2 Hz, 4H, ArH), 7.64 (d, J = 7.2 Hz, 4H, ArH), 7.74–7.78 (m, 8H, ArH); 13C-NMR (100 MHz, CDCl3): δ 15.9, 40.0, 127.2, 127.6, 127.9, 128.3, 128.9, 129.3, 140.0, 142.9, 155.1; HRMS m/z calcd for (C28H23N3 + H+): 402.1965; found: 402.1963.
4-Ethyl-3,5-bis(2′-methylbiphenyl-4-yl)-4H-1,2,4-triazole (5b). White solid in 85% yield, 0.366 g, m.p. 247–250 °C; UV (CH2Cl2) λmax 268.0 nm (ε⋅10−3 32.6 cm−1M−1); IR (ATR) ν: 3060, 3016, 1473, 1454, 1425, 1379, 1109, 1051, 1007, 968, 849, 842, 835, 807, 765, 743, 729 cm−1; 1H-NMR (400 MHz, CDCl3): δ 1.22 (t, J = 7.2 Hz, 3H, CH3), 2.32 (s, 6H, 2 × CH3), 4.27 (q, J = 7.2 Hz, 2H, CH2), 7.28–7.31 (m, 8H, ArH), 7.50 (d, J = 8.4 Hz, 4H, ArH), 7.75 (d, J = 8.4 Hz, 4H, ArH); 13C-NMR (100 MHz, CDCl3): δ 16.0, 20.4, 40.0, 125.9, 126.2, 127.7, 128.7, 129.6, 129.8, 130.5, 135.3, 140.9, 143.8, 155.2; HRMS m/z calcd for (C30H27N3 + H+): 430.2278; found: 430.2274.
4-Ethyl-3,5-bis(3′-methylbiphenyl-4-yl)-4H-1,2,4-triazole (5c). White solid in 97% yield, 0.417 g, m.p. 194–195 °C; UV (CH2Cl2) λmax 283.0 nm (ε⋅10−3 41.3 cm−1M−1); IR (ATR) ν: 3015, 2983, 1740, 1474, 1418, 1371, 1337, 1236, 1113, 1083, 1042, 1018, 968, 853, 842, 780, 755, 730, 609 cm−1; 1H-NMR (400 MHz, CDCl3): δ 1.17 (t, J = 7.2 Hz, 3H, CH3), 2.45 (s, 6H, 2 × CH3), 4.23 (q, J = 7.2 Hz, 2H, CH2), 7.22 (d, J = 7.6 Hz, 2H, ArH), 7.37 (t, J = 7.6 Hz, 2H, ArH), 7.45–7.47 (m, 4H, ArH), 7.61–7.63 (m, 8H, ArH); 13C-NMR (100 MHz, CDCl3): δ 15.9, 21.5, 40.0, 124.3, 126.5, 127.6, 127.9, 128.7, 128.8, 129.3, 138.6, 140.1, 143.0, 155.2; HRMS m/z calcd for (C30H27N3 + H+): 430.2278; found: 430.2279.
4-Ethyl-3,5-bis(2′,6′-dimethylbiphenyl-4-yl)-4H-1,2,4-triazole (5d). White solid in 90% yield, 0.412 g, m.p. 326–329 °C; UV (CH2Cl2) λmax 259.0 nm (ε⋅10−3 28.5 cm−1M−1); IR (ATR) ν: 2984, 2917, 1482, 1466, 1442, 1426, 1384, 1163, 1112, 1004, 963, 846, 773, 728, 719 cm−1; 1H-NMR (400 MHz, CDCl3): δ 1.22 (t, J = 7.2 Hz, 3H, CH3), 2.08 (s, 12H, 4 × CH3), 4.29 (q, J = 7.2 Hz, 2H, CH2), 7.14 (d, J = 7.2 Hz, 4H, ArH), 7.19–7.23 (m, 2H, ArH), 7.34 (d, J = 8.4 Hz, 4H, ArH), 7.77 (d, J = 8.4 Hz, 4H, ArH); 13C-NMR (100 MHz, CDCl3): δ 15.8, 20.8, 40.0, 126.2, 127.4, 129.1, 129.8, 135.8, 140.8, 143.2, 155.3; HRMS m/z calcd for (C32H31N3 + H+): 458.2591; found: 458.2593.
4-Ethyl-3,5-bis(2′-methoxybiphenyl-4-yl)-4H-1,2,4-triazole (5e). Creamy solid in 91% yield, 0.420 g, m.p. 189–190 °C; UV (CH2Cl2) λmax 272.0 nm (ε⋅10−3 33.0 cm−1M−1) and 296.0 (33.2); IR (ATR) ν: 3016, 2941, 2838, 1595, 1493, 1470, 1432, 1400, 1258, 1244, 1123, 1053, 1021, 1004, 964, 855, 835, 803, 749, 734, 727 cm−1; 1H-NMR (400 MHz, CDCl3): δ 1.20 (t, J = 7.2 Hz, 3H, CH3), 3.85 (s, 6H, 2 × OCH3), 4.26 (q, J = 7.2 Hz, 2H, CH2), 7.02 (d, J = 8.4 Hz, 2H, ArH), 7.07 (t, J = 7.6 Hz, 2H, ArH), 7.35–7.40 (m, 4H, ArH), 7.71 (d, J = 8.4 Hz, 4H, ArH), 7.75 (d, J = 8.4 Hz, 4H, ArH); 13C-NMR (100 MHz, CDCl3): δ 16.0, 40.0, 55.6, 111.4, 121.0, 126.2, 128.5, 129.2, 129.6, 130.5, 130.8, 140.3, 155.3, 156.5; HRMS m/z calcd for (C30H27N3O2 + H+): 462.2176; found: 462.2175.
4-Ethyl-3,5-bis(3′-methoxybiphenyl-4-yl)-4H-1,2,4-triazole (5f). White solid in 99% yield, 0.457 g, m.p. 191–192 °C; UV (CH2Cl2) λmax 282.0 nm (ε⋅10−3 31.6 cm−1M−1); IR (ATR) ν: 3007, 2953, 2836, 1737, 1609, 1583, 1474, 1437, 1417, 1294, 1268, 1212, 1170, 1114, 1095, 1082, 1053, 1030, 1014, 853, 840, 768, 753, 730 cm−1; 1H-NMR (400 MHz, CDCl3): δ1.18 (t, J = 7.2 Hz, 3H, CH3), 3.90 (s, 6H, 2 × OCH3), 4.24 (q, J = 7.2 Hz, 2H, CH2), 6.95 (dd, J = 8.0 and 2.4 Hz, 2H, ArH), 7.19 (t, J = 2.4 Hz, 2H, ArH), 7.23–7.26 (m, 2H, ArH), 7.41 (t, J = 8.0 Hz, 2H, ArH), 7.74–7.78 (m, 8H, ArH); 13C-NMR (100 MHz, CDCl3): δ 15.9, 40.0, 55.4, 113.0, 113.3, 119.7, 126.8, 127.7, 129.3, 130.0, 141.6, 142.7, 155.1, 160.1; HRMS m/z calcd for (C30H27N3O2 + H+): 462.2176; found: 462.2170.
4-Ethyl-3,5-bis(3′-nitrobiphenyl-4-yl)-4H-1,2,4-triazole (5g). Yellow solid in 94% yield, 0.462 g, m.p. 246–248 °C; UV (CH2Cl2) λmax 275.0 nm (ε⋅10−3 57.4 cm−1M−1); IR (ATR) ν: 3076, 1517, 1485, 1469, 1346, 1287, 1103, 1086, 1010, 963, 877, 854, 837, 804, 776, 729, 798, 692 cm−1; 1H-NMR (400 MHz, CDCl3): δ 1.20 (t, J = 7.2 Hz, 3H, CH3), 4.26 (q, J = 7.2 Hz, 2H, CH2), 7.69 (t, J = 8.0 Hz, 2H, ArH), 7.83 (d, J = 8.4 Hz, 4H, ArH), 7.87 (d, J = 8.4 Hz, 4H, ArH), 8.00 (d, J = 8.0 Hz, 2H, ArH), 8.28 (d, J = 8.0 Hz, 2H, ArH), 8.54 (s, 2H, ArH); 13C-NMR (100 MHz, CDCl3): δ 15.9, 40.1, 122.0, 122.7, 127.8, 127.9, 129.7, 130.0, 133.0, 140.4, 141.7, 148.9, 154.9; HRMS m/z calcd for (C28H21N5O4 + H+): 492.1666; found: 492.1678.
3,5-Bis(3′-aminobiphenyl-4-yl)-4-ethyl-4H-1,2,4-triazole (5h). Beige solid in 99% yield, 0.428 g, m.p. 232–234 °C; UV (CH2Cl2) λmax 258.0 nm (ε⋅10−3 28.5 cm−1M−1) and 280.0 (32.2); IR (ATR) ν: 3455, 3426, 3348, 3305, 3188, 3046, 1621, 1598, 1566, 1473, 1448, 1426, 1313, 971, 888, 867, 840, 777, 748 cm−1; 1H-NMR (400 MHz, CDCl3): δ 1.16 (t, J = 7.2 Hz, 3H, CH3), 3.80 (br.s, 4H, 2 × NH2), 4.22 (q, J = 7.2 Hz, 2H, CH2), 6.72 (d, J = 7.6 Hz, 2H, ArH), 6.97 (s, 2H, ArH), 7.05 (d, J = 7.6 Hz, 2H, ArH), 7.27 (t, J = 7.6 Hz, 2H, ArH), 7.72-7.75 (m, 8H, ArH); 13C-NMR (100 MHz, CDCl3): δ 15.9, 40.0, 113.8, 114.7, 117.6, 126.5, 127.5, 129.2, 129.9, 141.3, 143.0, 146.9, 155.2; HRMS m/z calcd for (C28H25N5 + H+): 432.2183; found: 432.2169.
4-Ethyl-3,5-bis[4-(pyridin-4-yl)phenyl]-4H-1,2,4-triazole (5i). Grey solid in 89% yield, 0.359 g, m.p. 248–251 °C; UV (CH2Cl2) λmax 280.0 nm (ε⋅10−3 31.0 cm−1M−1); IR (ATR) ν: 3067, 1594, 1541, 1474, 1411, 1221, 993, 969, 858, 808, 771, 751, 733, 664 cm−1; 1H-NMR (400 MHz, CDCl3): δ 1.19 (t, J = 7.2 Hz, 3H, CH3), 4.25 (q, J = 7.2 Hz, 2H, CH2), 7.57 (d, J = 6.0 Hz, 4H, ArH), 7.82 (d, J = 8.4 Hz, 4H, ArH), 7.85 (d, J = 8.4 Hz, 4H, ArH), 8.72 (d, J = 6.0 Hz, 4H, ArH); 13C-NMR (100 MHz, CDCl3): δ 15.9, 40.1, 121.6, 127.6, 128.3, 129.6, 139.9, 147.1, 150.5, 154.8; HRMS m/z calcd for (C26H21N5 + H+): 404.1870; found: 404.1868.
4-Ethyl-3,5-bis[4-(pyridin-3-yl)phenyl]-4H-1,2,4-triazole (5j). Yellow solid in 93% yield, 0.374 g, m.p. 199–202 °C; UV (CH2Cl2) λmax 284.0 nm (ε⋅10−3 54.8 cm−1M−1); IR (ATR) ν: 3025, 1464, 1433, 1416, 1383, 1025, 999, 971, 855, 848, 806, 772, 749, 712 cm−1; 1H-NMR (400 MHz, CDCl3): δ 1.19 (t, J = 7.2 Hz, 3H, CH3), 4.26 (q, J = 7.2 Hz, 2H, CH2), 7.42 (dd, J = 7.6 and 5.2 Hz, 2H, ArH), 7.77 (d, J = 8.4 Hz, 4H, ArH), 7.84 (d, J = 8.4 Hz, 4H, ArH), 7.95 (d, J = 7.6 Hz, 2H, ArH), 8.66 (dd, J = 5.2 and 1.6 Hz, 2H, ArH), 8.93 (d, J = 1.6 Hz, 2H, ArH); 13C-NMR (100 MHz, CDCl3): δ 15.9, 40.1, 123.7, 127.4, 127.7, 129.6, 134.4, 135.5, 139.6, 148.3, 149.1, 154.9; HRMS m/z calcd for (C26H21N5 + H+): 404.1870; found: 404.1870.
4-Ethyl-3,5-bis[4-(furan-2-yl)phenyl]-4H-1,2,4-triazole (5k). Creamy solid in 92% yield, 0.351 g, m.p. 236–237 °C; UV (CH2Cl2) λmax 310.0 nm (ε⋅10−3 53.0 cm−1M−1); IR (ATR) ν: 3114, 1615, 1493, 1471, 1189, 1158, 1083, 1007, 967, 905, 884, 848, 833, 809, 792, 744, 719 cm−1; 1H-NMR (400 MHz, CDCl3): δ 1.13 (t, J = 7.2 Hz, 3H, CH3), 4.19 (q, J = 7.2 Hz, 2H, CH2), 6.52 (dd, J = 3.6 and 2.0 Hz, 2H, ArH), 6.78 (d, J = 3.6 Hz, 2H, ArH), 7.53 (d, J = 2.0 Hz, 2H, ArH), 7.71 (d, J = 8.8 Hz, 4H, ArH), 7.83 (d, J = 8.8 Hz, 4H, ArH); 13C-NMR (100 MHz, CDCl3): δ 15.7, 40.0, 106.4, 111.9, 124.1, 126.3, 129.2, 132.3, 142.8, 153.0, 155.1; HRMS m/z calcd for (C24H19N3O2 + H+): 382.1550; found: 382.1554.
4-Ethyl-3,5-bis[4-(furan-3-yl)phenyl]-4H-1,2,4-triazole (5l). Creamy solid in 91% yield, 0.347 g, m.p. 246–248 °C; UV (CH2Cl2) λmax 283.0 nm (ε⋅10−3 27.7 cm−1M−1); IR (ATR) ν: 3143, 2969, 1507, 1472, 1403, 1350, 1195, 1162, 1115, 1084, 1054, 1016, 923, 872, 843, 785, 760, 739 cm−1; 1H-NMR (400 MHz, CDCl3): δ 1.13 (t, J = 7.2 Hz, 3H, CH3), 4.18 (q, J = 7.2 Hz, 2H, CH2), 6.76 (dd, J = 1.6 and 0.8 Hz, 2H, ArH), 7.53 (t, J = 1.6 Hz, 2H, ArH), 7.65 (d, J = 8.8 Hz, 4H, ArH), 7.71 (d, J = 8.8 Hz, 4H, ArH), 7.83 (dd, J = 1.6 and 0.8 Hz, 2H, ArH); 13C-NMR (100 MHz, CDCl3): δ 15.8, 39.9, 108.7, 125.7, 126.2, 126.3, 129.4, 134.2, 139.2, 144.1, 155.1; HRMS m/z calcd for (C24H19N3O2 + H+): 382.1550; found: 382.1548.
4-Ethyl-3,5-bis[4-(thiophen-2-yl)phenyl]-4H-1,2,4-triazole (5m). Creamy solid in 61% yield, 0.254 g, m.p. 239–242 °C; UV (CH2Cl2) λmax 311.0 nm (ε⋅10−3 43.2 cm−1M−1); IR (ATR) ν: 3089, 3004, 2961, 1470, 1428, 1353, 1260, 1216, 1194, 1116, 1081, 1012, 967, 959, 853, 843, 819, 785, 773, 740, 704, 693 cm−1; 1H-NMR (400 MHz, CDCl3): δ 1.14 (t, J = 7.2 Hz, 3H, CH3), 4.20 (q, J = 7.2 Hz, 2H, CH2), 7.12 (dd, J = 5.2 and 3.6 Hz, 2H, ArH), 7.35 (d, J = 5.2 Hz, 2H, ArH), 7.42 (d, J = 3.6 Hz, 2H, ArH), 7.70 (d, J = 8.4 Hz, 4H, ArH), 7.77 (d, J = 8.4 Hz, 4H, ArH); 13C-NMR (100 MHz, CDCl3): δ 15.8, 40.0, 124.0, 125.8, 126.2, 126.5, 128.3, 129.4, 136.0, 143.1, 155.0; HRMS m/z calcd for (C24H19N3S2 + H+): 414.1093; found: 414.1077.
4-Ethyl-3,5-bis[4-(thiophen-3-yl)phenyl]-4H-1,2,4-triazole (5n). Beige solid in 90% yield, 0.372 g, m.p. 265–266 °C; UV (CH2Cl2) λmax 290.0 nm (ε⋅10−3 42.5 cm−1M−1); IR (ATR) ν: 3094, 2962, 1470, 1352, 1278, 1205, 1119, 1083, 1017, 968, 870, 843, 780, 760, 733, 695, 667, 631 cm−1; 1H-NMR (400 MHz, CDCl3): δ 1.14 (t, J = 7.2 Hz, 3H, CH3), 4.20 (q, J = 7.2 Hz, 2H, CH2), 7.43-7.47 (m, 4H, ArH), 7.57 (dd, J = 2.8 and 1.6 Hz, 2H, ArH), 7.72 (d, J = 8.4 Hz, 4H, ArH), 7.77 (d, J = 8.4 Hz, 4H, ArH); 13C-NMR (100 MHz, CDCl3): δ 15.8, 40.0, 121.3, 126.1, 126.3, 126.7, 126.8, 129.4, 137.4, 141.2, 155.1; HRMS m/z calcd for (C24H19N3S2 + H+): 414.1093; found: 414.1102.
3,5-Bis(biphenyl-4-yl)-4-propyl-4H-1,2,4-triazole (6a). Creamy solid in 94% yield, 0.391 g, m.p. 285–288 °C; UV (CH2Cl2) λmax 282.0 nm (ε⋅10−3 41.8 cm−1M−1); IR (ATR) ν: 3058, 2958, 2934, 2874, 1467, 1446, 1420, 1397, 1385, 1349, 1005, 969, 843, 802, 767, 745, 734, 724, 688 cm−1; 1H-NMR (400 MHz, CDCl3): δ 0.68 (t, J = 7.6 Hz, 3H, CH3), 1.50 (sext, J = 7.6 Hz, 2H, CH2), 4.16 (t, J = 7.6 Hz, 2H, CH2), 7.40 (t, J = 7.2 Hz, 2H, ArH), 7.49 (t, J = 7.2 Hz, 4H, ArH), 7.67 (d, J = 7.2 Hz, 4H, ArH), 7.75–7.79 (m, 8H, ArH); 13C-NMR (100 MHz, CDCl3): δ 10.7, 23.5, 46.6, 126.7, 127.1, 127.6, 127.9, 128.9, 129.3, 140.0, 142.8, 155.4; HRMS m/z calcd for (C29H25N3 + H+): 416.2121; found: 416.2120.
3,5-Bis(2′-methylbiphenyl-4-yl)-4-propyl-4H-1,2,4-triazole (6b). White solid in 81% yield, 0.360 g, m.p. 230–232 °C; UV (CH2Cl2) λmax 268.0 nm (ε⋅10−3 37.9 cm−1M−1); IR (ATR) ν: 3052, 2961, 2873, 1474, 1425, 1382, 1112, 1093, 1007, 972, 864, 847, 768, 747, 722 cm−1; 1H-NMR (400 MHz, CDCl3): δ 0.71 (t, J = 7.2 Hz, 3H, CH3), 1.54 (sext, J = 7.2 Hz, 2H, CH2), 2.32 (s, 6H, 2 × CH3), 4.19 (t, J = 7.2 Hz, 2H, CH2), 7.28–7.31 (m, 8H, ArH), 7.50 (d, J = 8.0 Hz, 4H, ArH), 7.75 (d, J = 8.0 Hz, 4H, ArH); 13C-NMR (100 MHz, CDCl3): δ 10.7, 20.4, 23.5, 46.6, 125.9, 126.3, 127.7, 128.7, 129.6, 129.8, 130.5, 135.3, 140.9, 143.8, 155.5; HRMS m/z calcd for (C31H29N3 + H+): 444.2434; found: 444.2432.
3,5-Bis(3′-methylbiphenyl-4-yl)-4-propyl-4H-1,2,4-triazole (6c). White solid in 91% yield, 0.404 g, m.p. 223–225 °C; UV (CH2Cl2) λmax 284.0 nm (ε⋅10−3 45.2 cm−1M−1); IR (ATR) ν: 3050, 2967, 2877, 1607, 1470, 1414, 1382, 1336, 1093, 1020, 969, 863, 852, 838, 775, 752, 725 cm−1; 1H-NMR (400 MHz, CDCl3): δ 0.68 (t, J = 7.6 Hz, 3H, CH3), 1.50 (sext, J = 7.6 Hz, 2H, CH2), 2.45 (s, 6H, 2 × CH3), 4.15 (t, J = 7.6 Hz, 2H, CH2), 7.22 (d, J = 7.6 Hz, 2H, ArH), 7.38 (t, J = 7.6 Hz, 2H, ArH), 7.45–7.48 (m, 4H, ArH), 7.74–7.77 (m, 8H, ArH); 13C-NMR (100 MHz, CDCl3): δ 10.7, 21.5, 23.5, 46.6, 124.3, 126.6, 127.6, 127.9, 128.7, 128.9, 129.3, 138.6, 140.0, 142.9, 155.5; HRMS m/z calcd for (C31H29N3 + H+): 444.2434; found: 444.2430.
3,5-Bis(2′,6′-dimethylbiphenyl-4-yl)-4-propyl-4H-1,2,4-triazole (6d). White solid in 94% yield, 0.444 g, m.p. 285–286 °C; UV (CH2Cl2) λmax 259.0 nm (ε⋅10−3 29.5 cm−1M−1); IR (ATR) ν: 3035, 2969, 1466, 1424, 1379, 1092, 1004, 973, 863, 841, 765, 751, 729 cm−1; 1H-NMR (400 MHz, CDCl3): δ 0.69 (t, J = 7.2 Hz, 3H, CH3), 1.53 (sext, J = 7.2 Hz, 2H, CH2), 2.07 (s, 12H, 4 × CH3), 4.20 (t, J = 7.2 Hz, 2H, CH2), 7.14 (d, J = 7.2 Hz, 4H, ArH), 7.19–7.23 (m, 2H, ArH), 7.33 (d, J = 8.4 Hz, 4H, ArH), 7.77 (d, J = 8.4 Hz, 4H, ArH); 13C-NMR (100 MHz, CDCl3): δ 10.7, 20.8, 23.4, 46.6, 99.1, 126.3, 127.4, 129.1, 129.8, 135.8, 140.8, 143.1, 155.6; HRMS m/z calcd for (C33H33N3 + H+): 472.2747; found: 472.2744.
3,5-Bis(2′-methoxybiphenyl-4-yl)-4-propyl-4H-1,2,4-triazole (6e). White solid in 91% yield, 0.433 g, m.p. 198–199 °C; UV (CH2Cl2) λmax 273.0 nm (ε⋅10−3 27.7 cm−1M−1) and 296.0 (28.6); IR (ATR) ν: 3037, 2933, 2830, 1598, 1495, 1465, 1421, 1257, 1239, 1122, 1112, 1055, 1024, 1005, 860, 839, 803, 735, 721 cm−1; 1H-NMR (400 MHz, CDCl3): δ 0.71 (t, J = 7.6 Hz, 3H, CH3), 1.55 (sext, J = 7.6 Hz, 2H, CH2), 3.85 (s, 6H, 2 × OCH3), 4.18 (t, J = 7.6 Hz, 2H, CH2), 7.02 (d, J = 8.4 Hz, 2H, ArH), 7.07 (t, J = 7.6 Hz, 2H, ArH), 7.35-7.40 (m, 4H, ArH), 7.70 (d, J = 8.4 Hz, 4H, ArH), 7.74 (d, J = 8.4 Hz, 4H, ArH); 13C-NMR (100 MHz, CDCl3): δ 10.7, 23.5, 46.6, 55.6, 111.4, 121.0, 126.3, 128.5, 129.2, 129.6, 130.0, 130.8, 140.3, 155.6, 156.5; HRMS m/z calcd for (C31H29N3O2 + H+): 476.2333; found: 476.2332.
3,5-Bis(3′-methoxybiphenyl-4-yl)-4-propyl-4H-1,2,4-triazole (6f). White solid in 95% yield, 0.452 g, m.p. 193–195 °C; UV (CH2Cl2) λmax 283.0 nm (ε⋅10−3 35.5 cm−1M−1); IR (ATR) ν: 2969, 2836, 1600, 1592, 1560, 1463, 1418, 1301, 1219, 1166, 1050, 1029, 1016, 858, 869, 849, 840, 795, 778, 753, 744 cm−1; 1H-NMR (400 MHz, CDCl3): δ 0.68 (t, J = 7.6 Hz, 3H, CH3), 1.50 (sext, J = 7.6 Hz, 2H, CH2), 3.90 (s, 6H, 2 × OCH3), 4.15 (t, J = 7.6 Hz, 2H, CH2), 6.95 (dd, J = 8.0 and 2.4 Hz, 2H, ArH), 7.19 (t, J = 2.4 Hz, 2H, ArH), 7.23–7.26 (m, 2H, ArH), 7.40 (t, J = 8.0 Hz, 2H, ArH), 7.74–7.78 (m, 8H, ArH); 13C-NMR (100 MHz, CDCl3): δ 10.7, 23.5, 46.6, 55.4, 112.9, 113.3, 119.6, 126.9, 127.6, 129.3, 130.0, 141.5, 142.6, 155.4, 160.1; HRMS m/z calcd for (C31H29N3O2 + H+): 476.2333; found: 476.2334.
3,5-Bis(3′-nitrobiphenyl-4-yl)-4-propyl-4H-1,2,4-triazole (6g). Creamy solid in 91% yield, 0.460 g, m.p. 291–293 °C; UV (CH2Cl2) λmax 276.0 nm (ε⋅10−3 47.3 cm−1M−1); IR (ATR) ν: 3034, 2969, 2872, 1521, 1488, 1468, 1344, 1294, 1104, 876, 852, 840, 802, 777, 759, 742, 723 cm−1; 1H-NMR (400 MHz, CDCl3): δ 0.70 (t, J = 7.2 Hz, 3H, CH3), 1.52 (sext, J = 7.2 Hz, 2H, CH2), 4.19 (t, J = 7.2 Hz, 2H, CH2), 7.68 (t, J = 7.6 Hz, 2H, ArH), 7.82 (d, J = 8.4 Hz, 4H, ArH), 7.86 (d, J = 8.4 Hz, 4H, ArH), 8.00 (dd, J = 7.6 and 2.0 Hz, 2H, ArH), 8.27 (dd, J = 7.6 and 2.0 Hz, 2H, ArH), 8.54 (t, J = 2.0 Hz, 2H, ArH); 13C-NMR (100 MHz, CDCl3): δ 10.7, 23.6, 46.8, 122.0, 122.7, 127.8, 128.0, 129.7, 130.0, 133.0, 137.2, 140.3, 141.7, 155.2; HRMS m/z calcd for (C29H23N5O4 + H+): 506.1823; found: 506.1811.
3,5-Bis(3′-aminobiphenyl-4-yl)-4-propyl-4H-1,2,4-triazole (6h). Beige solid in 99% yield, 0.428 g, m.p. 216–218 °C; UV (CH2Cl2) λmax 235.0 nm (ε⋅10−3 27.0 cm−1M−1), 258.0 (29.2) and 282.0 (33.9); IR (ATR) ν: 3441, 3407, 3336, 3143, 2961, 1601, 1586, 1564, 1479, 1431, 1324, 1233, 993, 893, 842, 775, 743, 714 cm−1; 1H-NMR (400 MHz, CDCl3): δ 0.67 (t, J = 7.2 Hz, 3H, CH3), 1.49 (sext, J = 7.2 Hz, 2H, CH2), 3.80 (br.s, 4H, 2x NH2), 4.13 (t, J = 7.2 Hz, 2H, CH2), 6.72 (dd, J = 8.0 and 2.0 Hz, 2H, ArH), 6.98 (t, J = 2.0 Hz, 2H, ArH), 7.05 (dd, J = 8.0 and 2.0 Hz, 2H, ArH), 7.27 (t, J = 8.0 Hz, 2H, ArH), 7.72–7.74 (m, 8H, ArH); 13C-NMR (100 MHz, CDCl3): δ 10.7, 23.5, 46.6, 113.8, 114.7, 117.5, 126.6, 127.5, 129.2, 129.9, 141.2, 143.0, 146.9, 155.5; HRMS m/z calcd for (C29H27N5 + H+): 446.2339; found: 446.2348.
4-Propyl-3,5-bis[4-(pyridin-4-yl)phenyl]-4H-1,2,4-triazole (6i). Creamy solid in 90% yield, 0.376 g, m.p. 237–240 °C; UV (CH2Cl2) λmax 281.0 nm (ε⋅10−3 36.5 cm−1M−1); IR (ATR) ν: 2957, 1596, 1541, 1471, 1408, 1347, 1217, 992, 969, 859, 812, 772, 752, 737 cm−1; 1H-NMR (400 MHz, CDCl3): δ 0.69 (t, J = 7.6 Hz, 3H, CH3), 1.50 (sext, J = 7.6 Hz, 2H, CH2), 4.17 (t, J = 7.6 Hz, 2H, CH2), 7.58 (d, J = 6.0 Hz, 4H, ArH), 7.81–7.84 (m, 8H, ArH), 8.73 (d, J = 6.0 Hz, 4H, ArH); 13C-NMR (100 MHz, CDCl3): δ 10.7, 23.5, 46.7, 121.6, 127.6, 128.4, 129.6, 139.8, 147.1, 150.5, 155.2; HRMS m/z calcd for (C27H23N5 + H+): 418.2026; found: 418.2022.
4-Propyl-3,5-bis[4-(pyridin-3-yl)phenyl]-4H-1,2,4-triazole (6j). Creamy solid in 69% yield, 0.288 g, m.p. 212–215 °C; UV (CH2Cl2) λmax 284.0 nm (ε⋅10−3 40.6 cm−1M−1); IR (ATR) ν: 3035, 2965, 2875, 1470, 1426, 1414, 1383, 1339, 1025, 1001, 970, 851, 799, 749, 707 cm−1; 1H-NMR (400 MHz, CDCl3): δ 0.69 (t, J = 7.6 Hz, 3H, CH3), 1.51 (sext, J = 7.6 Hz, 2H, CH2), 4.18 (t, J = 7.6 Hz, 2H, CH2), 7.42 (dd, J = 8.0 and 4.8 Hz, 2H, ArH), 7.77 (d, J = 8.4 Hz, 4H, ArH), 7.83 (d, J = 8.4 Hz, 4H, ArH), 7.95 (dt, J = 8.0 and 1.6 Hz, 2H, ArH), 8.66 (dd, J = 4.8 and 1.6 Hz, 2H, ArH), 8.93 (d, J = 1.6 Hz, 2H, ArH); 13C-NMR (100 MHz, CDCl3): δ 10.7, 23.5, 46.7, 123.7, 127.5, 127.7, 129.6, 134.4, 135.5, 139.5, 148.3, 149.1, 155.2; HRMS m/z calcd for (C27H23N5 + H+): 418.2026; found: 418.2028.
3,5-Bis[4-(furan-2-yl)phenyl]-4-propyl-4H-1,2,4-triazole (6k). Beige solid in 96% yield, 0.379 g, m.p. 279–281 °C; UV (CH2Cl2) λmax 311.0 nm (ε⋅10−3 63.6 cm−1M−1); IR (ATR) ν: 2960, 1615, 1491, 1465, 1351, 1282, 1220, 1116, 1076, 1020, 1010, 903, 862, 839, 815, 805, 757, 735, 663 cm−1; 1H-NMR (400 MHz, CDCl3): δ 0.64 (t, J = 7.6 Hz, 3H, CH3), 1.45 (sext, J = 7.6 Hz, 2H, CH2), 4.10 (t, J = 7.6 Hz, 2H, CH2), 6.53 (dd, J = 3.6 and 2.0 Hz, 2H, ArH), 6.78 (d, J = 3.6 Hz, 2H, ArH), 7.53 (d, J = 2.0 Hz, 2H, ArH), 7.71 (d, J = 8.8 Hz, 4H, ArH), 7.83 (d, J = 8.8 Hz, 4H, ArH); 13C-NMR (100 MHz, CDCl3): δ 10.7, 23.4, 46.7, 106.4, 111.9, 124.1, 126.4, 129.2, 132.3, 142.8, 153.0, 155.4; HRMS m/z calcd for (C25H21N3O2 + H+): 396.1707; found: 396.1709.
3,5-Bis[4-(furan-3-yl)phenyl]-4-propyl-4H-1,2,4-triazole (6l). Creamy solid in 92% yield, 0.363 g, m.p. 299–303 °C; UV (CH2Cl2) λmax 284.0 nm (ε⋅10−3 35.3 cm−1M−1); IR (ATR) ν: 3141, 1507, 1471, 1351, 1162, 1115, 1055, 1015, 923, 872, 843, 785, 754, 739 cm−1; 1H-NMR (400 MHz, CDCl3): δ 0.65 (t, J = 7.6 Hz, 3H, CH3), 1.46 (sext, J = 7.6 Hz, 2H, CH2), 4.10 (t, J = 7.6 Hz, 2H, CH2), 6.77 (dd, J = 2.0 and 1.2 Hz, 2H, ArH), 7.53 (d, J = 2.0 Hz, 2H, ArH), 7.65 (d, J = 8.8 Hz, 4H, ArH), 7.70 (d, J = 8.8 Hz, 4H, ArH), 7.84 (d, J = 1.2 Hz, 2H, ArH); 13C-NMR (100 MHz, CDCl3): δ 10.7, 23.4, 46.6, 108.6, 125.7, 126.2, 126.3, 129.4, 134.2, 139.2, 144.1, 155.4; HRMS m/z calcd for (C25H21N3O2 + H+): 396.1707; found: 396.1710.
4-Propyl-3,5-bis[4-(thiophen-2-yl)phenyl]-4H-1,2,4-triazole (6m). Grey solid in 52% yield, 0.223 g, m.p. 283–285 °C; UV (CH2Cl2) λmax 312.0 nm (ε⋅10−3 36.4 cm−1M−1); IR (ATR) ν: 3091, 2959, 2873, 1469, 1427, 1398, 1352, 1260, 1216, 1193, 1116, 1093, 1013, 970, 959, 844, 819, 757, 741, 707, 694 cm−1; 1H-NMR (400 MHz, CDCl3): δ 0.66 (t, J = 7.6 Hz, 3H, CH3), 1.48 (sext, J = 7.6 Hz, 2H, CH2), 4.12 (t, J = 7.6 Hz, 2H, CH2), 7.13 (dd, J = 4.8 and 3.6 Hz, 2H, ArH), 7.36 (d, J = 4.8 Hz, 2H, ArH), 7.43 (d, J = 3.6 Hz, 2H, ArH), 7.71 (d, J = 8.4 Hz, 4H, ArH), 7.78 (d, J = 8.4 Hz, 4H, ArH); 13C-NMR (100 MHz, CDCl3): δ 10.7, 23.5, 46.7, 124.0, 125.8, 126.2, 126.6, 128.3, 129.4, 136.0, 143.2, 155.3; HRMS m/z calcd for (C25H21N3S2 + H+): 428.1250; found: 428.1241.
4-Propyl-3,5-bis[4-(thiophen-3-yl)phenyl]-4H-1,2,4-triazole (6n). Beige solid in 90% yield, 0.385 g, m.p. 302–305 °C; UV (CH2Cl2) λmax 290.0 nm (ε⋅10−3 44.8 cm−1M−1); IR (ATR) ν: 3094, 2966, 1467, 1423, 1402, 1352, 1206, 1197, 1117, 1089, 1017, 970, 871, 843, 781, 753, 743, 732, 720 cm−1; 1H -NMR (400 MHz, CDCl3): δ 0.66 (t, J = 7.6 Hz, 3H, CH3), 1.48 (sext, J = 7.6 Hz, 2H, CH2), 4.13 (t, J = 7.6 Hz, 2H, CH2), 7.44 (dd, J = 5.2 and 3.2 Hz, 2H, ArH), 7.47 (dd, J = 5.2 and 1.6 Hz, 2H, ArH), 7.58 (dd, J = 3.2 and 1.6 Hz, 2H, ArH), 7.73 (d, J = 8.4 Hz, 4H, ArH), 7.78 (d, J = 8.4 Hz, 4H, ArH); 13C-NMR (100 MHz, CDCl3): δ 10.7, 23.5, 46.6, 121.3, 126.1, 126.4, 126.7, 126.8, 129.4, 137.4, 141.2, 155.4; HRMS m/z calcd for (C25H21N3S2 + H+): 428.1250; found: 428.1259.
3,5-Bis(biphenyl-4-yl)-4-butyl-4H-1,2,4-triazole (7a). Creamy solid in 92% yield, 0.396 g, m.p. 297–300 °C; UV (CH2Cl2) λmax 282.0 nm (ε⋅10−3 41.9 cm−1M−1); IR (ATR) ν: 3034, 2953, 2926, 2859, 1472, 1447, 1423, 1384, 1211, 1121, 1098, 1005, 973, 842, 768, 753, 741, 723, 688 cm−1; 1H-NMR (400 MHz, CDCl3): δ 0.69 (t, J = 7.6 Hz, 3H, CH3), 1.07 (sext, J = 7.6 Hz, 2H, CH2), 1.45 (quin, J = 7.6 Hz, 2H, CH2), 4.19 (t, J = 7.6 Hz, 2H, CH2), 7.40 (t, J = 7.2 Hz, 2H, ArH), 7.49 (t, J = 7.2 Hz, 4H, ArH), 7.67 (d, J = 7.2 Hz, 4H, ArH), 7.75-7.79 (m, 8H, ArH); 13C-NMR (100 MHz, CDCl3): δ 13.2, 19.3, 32.0, 44.8, 126.6, 127.1, 127.6, 127.9, 128.9, 129.3, 140.0, 142.8, 155.4; HRMS m/z calcd for (C30H27N3 + H+): 430.2278; found: 430.2277.
4-Butyl-3,5-bis(2′-methylbiphenyl-4-yl)-4H-1,2,4-triazole (7b). Grey solid in 83% yield, 0.380 g, m.p. 182–183 °C; UV (CH2Cl2) λmax 269.0 nm (ε⋅10−3 32.6 cm−1M−1); IR (ATR) ν: 3051, 3015, 2963, 2926, 2859, 1470, 1460, 1421, 1383, 1355, 1326, 1109, 1008, 970, 863, 854, 840, 807, 766, 745, 734, 724 cm−1; 1H-NMR (400 MHz, CDCl3): δ 0.70 (t, J = 7.2 Hz, 3H, CH3), 1.10 (sext, J = 7.2 Hz, 2H, CH2), 1.48 (quin, J = 7.2 Hz, 2H, CH2), 2.32 (s, 6H, 2 × CH3), 4.21 (t, J = 7.2 Hz, 2H, CH2), 7.28–7.31 (m, 8H, ArH), 7.50 (d, J = 8.4 Hz, 4H, ArH), 7.74 (d, J = 8.4 Hz, 4H, ArH); 13C-NMR (100 MHz, CDCl3): δ 13.2, 19.3, 20.4, 32.1, 44.7, 125.9, 126.3, 127.7, 128.7, 129.6, 129.8, 130.5, 135.3, 140.9, 143.8, 155.5; HRMS m/z calcd for (C32H31N3 + H+): 458.2591; found: 458.2588.
4-Butyl-3,5-bis(3′-methylbiphenyl-4-yl)-4H-1,2,4-triazole (7c). White solid in 96% yield, 0.440 g, m.p. 211–213 °C; UV (CH2Cl2) λmax 285.0 nm (ε⋅10−3 44.9 cm−1M−1); IR (ATR) ν: 3020, 2960, 2872, 1607, 1466, 1416, 1340, 1262, 1111, 1094, 1039, 1019, 972, 862, 855, 845, 780, 761, 749, 608 cm−1; 1H-NMR (400 MHz, CDCl3): δ 0.69 (t, J = 7.2 Hz, 3H, CH3), 1.06 (sext, J = 7.2 Hz, 2H, CH2), 1.45 (quin, J = 7.2 Hz, 2H, CH2), 2.45 (s, 6H, 2 × CH3), 4.18 (t, J = 7.2 Hz, 2H, CH2), 7.22 (d, J = 7.6 Hz, 2H, ArH), 7.38 (t, J = 7.6 Hz, 2H, ArH), 7.45–7.49 (m, 4H, ArH), 7.75–7.79 (m, 8H, ArH); 13C-NMR (100 MHz, CDCl3): δ 13.2, 19.3, 21.5, 32.1, 44.8, 124.3, 126.6, 127.6, 127.9, 128.7, 128.9, 129.3, 138.6, 140.0, 142.9, 155.4; HRMS m/z calcd for (C32H31N3 + H+): 458.2591; found: 458.2592.
4-Butyl-3,5-bis(2′,6′-dimethylbiphenyl-4-yl)-4H-1,2,4-triazole (7d). White solid in 79% yield, 0.384 g, m.p. 269–271 °C; UV (CH2Cl2) λmax 258.0 nm (ε⋅10-3 31.1 cm−1M−1); IR (ATR) ν: 3035, 2969, 1464, 851, 839, 778, 751 cm−1; 1H-NMR (400 MHz, CDCl3): δ 0.66 (t, J = 7.2 Hz, 3H, CH3), 1.07 (sext, J = 7.2 Hz, 2H, CH2), 1.47 (quin, J = 7.2 Hz, 2H, CH2), 2.07 (s, 12H, 4 × CH3), 4.23 (t, J = 7.2 Hz, 2H, CH2), 7.15 (d, J = 7.2 Hz, 4H, ArH), 7.19–7.23 (m, 2H, ArH), 7.34 (d, J = 8.4 Hz, 4H, ArH), 7.76 (d, J = 8.4 Hz, 4H, ArH); 13C-NMR (100 MHz, CDCl3): δ 13.0, 19.1, 20.8, 31.9, 44.5, 126.3, 127.4, 129.1, 129.8, 135.8, 140.8, 143.1, 155.5; HRMS m/z calcd for (C34H35N3 + H+): 486.2904; found: 486.2901.
4-Butyl-3,5-bis(2′-methoxybiphenyl-4-yl)-4H-1,2,4-triazole (7e). White solid in 85% yield, 0.417 g, m.p. 190–193 °C; UV (CH2Cl2) λmax 272.0 nm (ε⋅10−3 29.5 cm−1M−1) and 295.0 (28.3); IR (ATR) ν: 2956, 2932, 2832, 1597, 1582, 1493, 1462, 1423, 1258, 1239, 1122, 1056, 1025, 1005, 974, 866, 837, 801, 756, 736 cm−1; 1H-NMR (400 MHz, CDCl3): δ 0.71 (t, J = 7.6 Hz, 3H, CH3), 1.10 (sext, J = 7.6 Hz, 2H, CH2), 1.49 (quin, J = 7.6 Hz, 2H, CH2), 3.85 (s, 6H, 2 × OCH3), 4.20 (t, J = 7.6 Hz, 2H, CH2), 7.02 (d, J = 7.6 Hz, 2H, ArH), 7.07 (t, J = 7.6 Hz, 2H, ArH), 7.35–7.40 (m, 4H, ArH), 7.70 (d, J = 8.4 Hz, 4H, ArH), 7.73 (d, J = 8.4 Hz, 4H, ArH); 13C-NMR (100 MHz, CDCl3): δ 13.2, 19.4, 32.0, 44.8, 55.6, 111.5, 121.0, 126.3, 128.5, 129.2, 129.7, 130.0, 130.8, 140.3, 155.5, 156.5; HRMS m/z calcd for (C32H31N3O2 + H+): 490.2489; found: 490.2491.
4-Butyl-3,5-bis(3′-methoxybiphenyl-4-yl)-4H-1,2,4-triazole (7f). Grey solid in 82% yield, 0.402 g, m.p. 182–184 °C; UV (CH2Cl2) λmax 284.0 nm (ε⋅10-3 33.5 cm−1M−1); IR (ATR) ν: 2954, 2930, 2830, 1608, 1583, 1560, 1474, 1421, 1297, 1212, 1172, 1055, 1033, 1015, 856, 839, 779, 752, 693 cm−1; 1H-NMR (400 MHz, CDCl3): δ 0.69 (t, J = 7.6 Hz, 3H, CH3), 1.07 (sext, J = 7.6 Hz, 2H, CH2), 1.45 (quin, J = 7.6 Hz, 2H, CH2), 3.90 (s, 6H, 2 × OCH3), 4.19 (t, J = 7.6 Hz, 2H, CH2), 6.95 (dd, J = 8.0 and 2.4 Hz, 2H, ArH), 7.19 (t, J = 2.4 Hz, 2H, ArH), 7.24–7.26 (m, 2H, ArH), 7.40 (t, J = 8.0 Hz, 2H, ArH), 7.74–7.78 (m, 8H, ArH); 13C-NMR (100 MHz, CDCl3): δ 13.2, 19.3, 32.1, 44.8, 55.4, 112.9, 113.3, 119.6, 126.8, 127.6, 129.3, 130.0, 141.5, 142.6, 155.4, 160.1; HRMS m/z calcd for (C32H31N3O2 + H+): 490.2489; found: 490.2492.
4-Butyl-3,5-bis(3′-nitrobiphenyl-4-yl)-4H-1,2,4-triazole (7g). Creamy solid in 91% yield, 0.473 g, m.p. 252–253 °C; UV (CH2Cl2) λmax 276.0 nm (ε⋅10−3 46.9 cm−1M−1); IR (ATR) ν: 3099, 2926, 2861, 1522, 1490, 1467, 1347, 1292, 1102, 1018, 973, 876, 850, 832, 799, 780, 740, 724, 704 cm−1; 1H-NMR (400 MHz, CDCl3): δ 0.71 (t, J = 7.6 Hz, 3H, CH3), 1.09 (sext, J = 7.6 Hz, 2H, CH2), 1.47 (quin, J = 7.6 Hz, 2H, CH2), 4.22 (t, J = 7.6 Hz, 2H, CH2), 7.68 (t, J = 8.0 Hz, 2H, ArH), 7.82 (d, J = 8.4 Hz, 4H, ArH), 7.86 (d, J = 8.4 Hz, 4H, ArH), 8.00 (dd, J = 8.0 and 2.0 Hz, 2H, ArH), 8.27 (dd, J = 8.0 and 2.0 Hz, 2H, ArH), 8.54 (t, J = 2.0 Hz, 2H, ArH); 13C-NMR (100 MHz, CDCl3): δ 13.2, 19.3, 32.1, 45.0, 122.0, 122.7, 127.7, 128.0, 129.7, 130.0, 133.0, 140.3, 141.7, 148.9, 155.1; HRMS m/z calcd for (C30H25N5O4 + H+): 520.1979; found: 520.1967.
3,5-Bis(3′-aminobiphenyl-4-yl)-4-butyl-4H-1,2,4-triazole (7h). Beige solid in 98% yield, 0.451 g, m.p. 244–246 °C; UV (CH2Cl2) λmax 232.0 nm (ε⋅10−3 27.7 cm−1M−1), 258.0 (29.6) and 281.0 (34.1); IR (ATR) ν: 3428, 3348, 2955, 2926, 2871, 1619, 1601, 1588, 1472, 1449, 1422, 1318, 1229, 1172, 973, 836, 777, 755, 744, 665 cm−1; 1H-NMR (400 MHz, CDCl3): δ 0.68 (t, J = 7.2 Hz, 3H, CH3), 1.05 (sext, J = 7.2 Hz, 2H, CH2), 1.43 (quin, J = 7.2 Hz, 2H, CH2), 3.81 (br.s, 4H, 2 × NH2), 4.17 (t, J = 7.2 Hz, 2H, CH2), 6.72 (dd, J = 8.0 and 2.0 Hz, 2H, ArH), 6.98 (t, J = 2.0 Hz, 2H, ArH), 7.05 (dd, J = 8.0 and 2.0 Hz, 2H, ArH), 7.26 (t, J = 8.0 Hz, 2H, ArH), 7.71–7.75 (m, 8H, ArH); 13C-NMR (100 MHz, CDCl3): δ 13.2, 19.3, 32.0, 44.8, 113.7, 114.7, 117.5, 126.6, 127.5, 129.2, 129.9, 141.2, 143.0, 147.0, 155.4; HRMS m/z calcd for (C30H29N5 + H+): 460.2496; found: 460.2479.
4-Butyl-3,5-bis[4-(pyridin-4-yl)phenyl]-4H-1,2,4-triazole (7i). Creamy solid in 92% yield, 0.397 g, m.p. 258–259 °C; UV (CH2Cl2) λmax 281.0 nm (ε⋅10−3 33.7 cm−1M−1); IR (ATR) ν: 2963, 1595, 1540, 1471, 1407, 1217, 971, 857, 811, 771, 757, 736 cm−1; 1H-NMR (400 MHz, CDCl3): δ 0.70 (t, J = 7.6 Hz, 3H, CH3), 1.07 (sext, J = 7.6 Hz, 2H, CH2), 1.45 (quin, J = 7.6 Hz, 2H, CH2), 4.21 (t, J = 7.6 Hz, 2H, CH2), 7.58 (d, J = 6.0 Hz, 4H, ArH), 7.81–7.85 (m, 8H, ArH), 8.73 (d, J = 6.0 Hz, 4H, ArH); 13C-NMR (100 MHz, CDCl3): δ 13.2, 19.3, 32.1, 44.9, 121.6, 127.6, 128.4, 129.6, 139.8, 147.1, 150.5, 155.1; HRMS m/z calcd for (C28H25N5 + H+): 432.2183; found: 432.2180.
4-Butyl-3,5-bis[4-(pyridin-3-yl)phenyl]-4H-1,2,4-triazole (7j). White solid in 74% yield, 0.320 g, m.p. 207–209 °C; UV (CH2Cl2) λmax 285.0 nm (ε⋅10−3 40.4 cm−1M−1); IR (ATR) ν: 3033, 2929, 2870, 1575, 1468, 1428, 1413, 1386, 1024, 1000, 972, 853, 803, 774, 746, 710 cm−1; 1H-NMR (400 MHz, CDCl3): δ 0.70 (t, J = 7.2 Hz, 3H, CH3), 1.08 (sext, J = 7.2 Hz, 2H, CH2), 1.46 (quin, J = 7.2 Hz, 2H, CH2), 4.21 (t, J = 7.2 Hz, 2H, CH2), 7.42 (dd, J = 7.6 and 4.8 Hz, 2H, ArH), 7.78 (d, J = 8.4 Hz, 4H, ArH), 7.84 (d, J = 8.4 Hz, 4H, ArH), 7.95 (dt, J = 7.6 and 1.6 Hz, 2H, ArH), 8.66 (dd, J = 4.8 and 1.6 Hz, 2H, ArH), 8.93 (d, J = 1.6 Hz, 2H, ArH); 13C-NMR (100 MHz, CDCl3): δ 13.2, 19.3, 32.1, 44.9, 123.7, 127.5, 127.6, 129.6, 134.4, 135.5, 139.5, 148.3, 149.1, 155.2; HRMS m/z calcd for (C28H25N5 + H+): 432.2183; found: 432.2181.
4-Butyl-3,5-bis[4-(furan-2-yl)phenyl]-4H-1,2,4-triazole (7k). Creamy solid in 75% yield, 0.307 g, m.p. 264–267 °C; UV (CH2Cl2) λmax 310.0 nm (ε⋅10-3 43.6 cm−1M−1); IR (ATR) ν: 2956, 2926, 2871, 1615, 1491, 1471, 1220, 1189, 1157, 1115, 1008, 972, 904, 884, 848, 805, 773, 735, 702 cm−1; 1H-NMR (400 MHz, CDCl3): δ 0.66 (t, J = 7.6 Hz, 3H, CH3), 1.03 (sext, J = 7.6 Hz, 2H, CH2), 1.40 (quin, J = 7.6 Hz, 2H, CH2), 4.14 (t, J = 7.6 Hz, 2H, CH2), 6.53 (dd, J = 3.2 and 1.6 Hz, 2H, ArH), 6.78 (d, J = 3.2 Hz, 2H, ArH), 7.53 (d, J = 1.6 Hz, 2H, ArH), 7.71 (d, J = 8.4 Hz, 4H, ArH), 7.83 (d, J = 8.4 Hz, 4H, ArH); 13C-NMR (100 MHz, CDCl3): δ 13.2, 19.3, 32.0, 44.8, 106.4, 111.9, 124.1, 126.4, 129.2, 132.3, 142.8, 153.0, 155.4; HRMS m/z calcd for (C26H23N3O2 + H+): 410.1863; found: 410.1866.
4-Butyl-3,5-bis[4-(furan-3-yl)phenyl]-4H-1,2,4-triazole (7l). Yellow solid in 94% yield, 0.384 g, m.p. 274–277 °C; UV (CH2Cl2) λmax 285.0 nm (ε⋅10−3 37.3 cm−1M−1); IR (ATR) ν: 3134, 2960, 1507, 1469, 1194, 1162, 1115, 1094, 1054, 1015, 975, 923, 873, 842, 785, 749 cm−1; 1H-NMR (400 MHz, CDCl3): δ 0.67 (t, J = 7.6 Hz, 3H, CH3), 1.04 (sext, J = 7.6 Hz, 2H, CH2), 1.41 (quin, J = 7.6 Hz, 2H, CH2), 4.14 (t, J = 7.6 Hz, 2H, CH2), 6.77 (d, J = 1.6 Hz, 2H, ArH), 7.53 (d, J = 1.6 Hz, 2H, ArH), 7.65 (d, J = 8.8 Hz, 4H, ArH), 7.71 (d, J = 8.8 Hz, 4H, ArH), 7.83 (s, 2H, ArH); 13C-NMR (100 MHz, CDCl3): δ 13.2, 19.3, 32.0, 44.8, 108.6, 125.7, 126.2, 126.3, 129.4, 134.2, 139.2, 144.0, 155.4; HRMS m/z calcd for (C26H23N3O2 + H+): 410.1863; found: 410.1867.
4-Butyl-3,5-bis[4-(thiophen-2-yl)phenyl]-4H-1,2,4-triazole (7m). Grey solid in 49% yield, 0.216 g, m.p. 289–292 °C; UV (CH2Cl2) λmax 312.0 nm (ε⋅10−3 37.4 cm−1M−1); IR (ATR) ν: 2955, 1472, 1426, 1400, 1215, 1193, 1115, 1099, 974, 844, 819, 742, 695 cm−1; 1H-NMR (400 MHz, CDCl3): δ 0.68 (t, J = 7.6 Hz, 3H, CH3), 1.05 (sext, J = 7.6 Hz, 2H, CH2), 1.43 (quin, J = 7.6 Hz, 2H, CH2), 4.15 (t, J = 7.6 Hz, 2H, CH2), 7.13 (dd, J = 4.8 and 3.6 Hz, 2H, ArH), 7.36 (d, J = 4.8 Hz, 2H, ArH), 7.43 (d, J = 3.6 Hz, 2H, ArH), 7.70 (d, J = 8.4 Hz, 4H, ArH), 7.78 (d, J = 8.4 Hz, 4H, ArH); 13C-NMR (100 MHz, CDCl3): δ 13.2, 19.3, 32.0, 44.9, 124.0, 125.8, 126.2, 126.6, 128.3, 129.4, 136.0, 143.2, 155.3; HRMS m/z calcd for (C26H23N3S2 + H+): 442.1406; found: 442.1412.
4-Butyl-3,5-bis[4-(thiophen-3-yl)phenyl]-4H-1,2,4-triazole (7n). Beige solid in 77% yield, 0.342 g, m.p. 288–290 °C; UV (CH2Cl2) λmax 289.0 nm (ε⋅10−3 37.4 cm−1M−1); IR (ATR) ν: 3067, 2955, 2872, 1470, 1428, 1363, 1196, 1094, 1014, 973, 867, 841, 782, 746, 688 cm−1; 1H-NMR (400 MHz, CDCl3): δ 0.68 (t, J = 7.6 Hz, 3H, CH3), 1.04 (sext, J = 7.6 Hz, 2H, CH2), 1.41 (quin, J = 7.6 Hz, 2H, CH2), 4.13 (t, J = 7.6 Hz, 2H, CH2), 7.43–7.47 (m, 2H, ArH), 7.56–7,59 (m, 2H, ArH), 7.68–7.78 (m, 10H, ArH); 13C-NMR (100 MHz, CDCl3): δ 13.2, 19.3, 32.0, 44.8, 121.4, 126.1, 126.2, 126.7, 126.8, 129.4, 132.3, 141.2, 154.6; HRMS m/z calcd for (C26H23N3S2 + H+): 442.1406; found: 442.1397.
3,5-Bis(biphenyl-4-yl)-4-hexyl-4H-1,2,4-triazole (8a). White solid in 92% yield, 0.421 g, m.p. 240–242 °C; UV (CH2Cl2) λmax 282.0 nm (ε⋅10-3 45.4 cm−1M−1); IR (ATR) ν: 3028, 2926, 2855, 1474, 1444, 1429, 1379, 1072, 1007, 967, 858, 847, 835, 767, 738, 695 cm−1; 1H-NMR (400 MHz, CDCl3): δ 0.73 (t, J = 7.6 Hz, 3H, CH3), 1.00–1.11 (m, 6H, 3 × CH2), 1.46 (quin, J = 7.6 Hz, 2H, CH2), 4.18 (t, J = 7.6 Hz, 2H, CH2), 7.40 (t, J = 7.2 Hz, 2H, ArH), 7.49 (t, J = 7.2 Hz, 4H, ArH), 7.67 (d, J = 7.2 Hz, 4H, ArH), 7.75–7.79 (m, 8H, ArH); 13C-NMR (100 MHz, CDCl3): δ 13.8, 22.2, 25.7, 29.9, 30.7, 45.0, 126.7, 127.1, 127.6, 127.9, 128.9, 129.3, 140.1, 142.8, 155.4; HRMS m/z calcd for (C32H31N3 + H+): 458.2591; found: 458.2588.
4-Hexyl-3,5-bis(2′-methylbiphenyl-4-yl)-4H-1,2,4-triazole (8b). White solid in 72% yield, 0.350 g, m.p. 185–186 °C; UV (CH2Cl2) λmax 269.0 nm (ε⋅10−3 31.5 cm−1M−1); IR (ATR) ν: 3022, 2955, 2929, 2857, 1470, 1425, 1378, 1261, 1099, 1007, 966, 840, 766, 743, 723 cm−1; 1H-NMR (400 MHz, CDCl3): δ 0.75 (t, J = 7.2 Hz, 3H, CH3), 1.01–1.13 (m, 6H, 3 × CH2), 1.49 (quin, J = 7.2 Hz, 2H, CH2), 2.32 (s, 6H, 2 × CH3), 4.20 (t, J = 7.6 Hz, 2H, CH2), 7.27–7.32 (m, 8H, ArH), 7.50 (d, J = 8.4 Hz, 4H, ArH), 7.75 (d, J = 8.4 Hz, 4H, ArH); 13C-NMR (100 MHz, CDCl3): δ 13.8, 20.4, 22.1, 25.6, 29.9, 30.7, 44.9, 125.9, 126.3, 127.7, 128.7, 129.6, 129.8, 130.5, 135.3, 140.9, 143.8, 155.5; HRMS m/z calcd for (C34H35N3 + H+): 486.2904; found: 486.2905.
4-Hexyl-3,5-bis(3′-methylbiphenyl-4-yl)-4H-1,2,4-triazole (8c). White solid in 91% yield, 0.442 g, m.p. 217–218 °C; UV (CH2Cl2) λmax 284.0 nm (ε⋅10−3 40.3 cm−1M−1); IR (ATR) ν: 3017, 2929, 2863, 1607, 1468, 1416, 1380, 1338, 1112, 1017, 968, 855, 843, 754, 691 cm−1; 1H-NMR (400 MHz, CDCl3): δ 0.73 (t, J = 7.2 Hz, 3H, CH3), 1.01–1.11 (m, 6H, 3 × CH2), 1.45 (quin, J = 7.2 Hz, 2H, CH2), 2.45 (s, 6H, 2 × CH3), 4.17 (t, J = 7.6 Hz, 2H, CH2), 7.22 (d, J = 7.6 Hz, 2H, ArH), 7.37 (t, J = 7.6 Hz, 2H, ArH), 7.45–7.48 (m, 4H, ArH), 7.74–7.77 (m, 8H, ArH); 13C-NMR (100 MHz, CDCl3): δ 13.8, 21.5, 22.2, 25.7, 29.9, 30.7, 45.0, 124.2, 126.6, 127.6, 127.9, 128.7, 128.8, 129.2, 138.6, 140.1, 142.9, 155.4; HRMS m/z calcd for (C34H35N3 + H+): 486.2904; found: 486.2902.
4-Hexyl-3,5-bis(2′,6′-dimethylbiphenyl-4-yl)-4H-1,2,4-triazole (8d). White solid in 93% yield, 0.478 g, m.p. 200–202 °C; UV (CH2Cl2) λmax 259.0 nm (ε⋅10−3 26.8 cm−1M−1); IR (ATR) ν: 3014, 2954, 2930, 2855, 1464, 1418, 1380, 1260, 1096, 1005, 969, 852, 839, 770, 737 cm−1; 1H-NMR (400 MHz, CDCl3): δ 0.75 (t, J = 7.2 Hz, 3H, CH3), 1.00–1.13 (m, 6H, 3 × CH2), 1.48 (quin, J = 7.2 Hz, 2H, CH2), 2.07 (s, 12H, 4 × CH3), 4.22 (t, J = 7.6 Hz, 2H, CH2), 7.14 (d, J = 7.2 Hz, 4H, ArH), 7.19–7.23 (m, 2H, ArH), 7.34 (d, J = 8.4 Hz, 4H, ArH), 7.77 (d, J = 8.4 Hz, 4H, ArH); 13C-NMR (100 MHz, CDCl3): δ 13.7, 20.8, 22.1, 25.6, 29.7, 30.6, 44.9, 115.6, 126.3, 127.4, 129.1, 129.8, 135.8, 140.8, 143.1, 155.6; HRMS m/z calcd for (C36H39N3 + H+): 514.3217; found: 514.3217.
4-Hexyl-3,5-bis(2′-methoxybiphenyl-4-yl)-4H-1,2,4-triazole (8e). Creamy solid in 88% yield, 0.456 g, m.p. 171–172 °C; UV (CH2Cl2) λmax 273.0 nm (ε⋅10−3 28.1 cm−1M−1) and 296.0 (28.8); IR (ATR) ν: 3049, 2953, 2860, 1599, 1494, 1467, 1433, 1421, 1257, 1235, 1179, 1125, 1112, 1029, 1016, 1005, 861, 841, 801, 748, 737, 721 cm−1; 1H-NMR (400 MHz, CDCl3): δ 0.76 (t, J = 7.2 Hz, 3H, CH3), 1.02–1.13 (m, 6H, 3 × CH2), 1.50 (quin, J = 7.2 Hz, 2H, CH2), 3.85 (s, 6H, 2 × OCH3), 4.20 (t, J = 7.6 Hz, 2H, CH2), 7.03 (d, J = 8.4 Hz, 2H, ArH), 7.07 (t, J = 7.6 Hz, 2H, ArH), 7.34–7.40 (m, 4H, ArH), 7.70 (d, J = 8.4 Hz, 4H, ArH), 7.73 (d, J = 8.4 Hz, 4H, ArH); 13C-NMR (100 MHz, CDCl3): δ 13.8, 22.2, 25.7, 30.0, 30.7, 44.9, 55.6, 111.5, 121.0, 126.3, 128.5, 129.2, 129.7, 130.0, 130.8, 140.3, 155.5, 156.5; HRMS m/z calcd for (C34H35N3O2 + H+): 518.2802; found: 518.2800.
4-Hexyl-3,5-bis(3′-methoxybiphenyl-4-yl)-4H-1,2,4-triazole (8f). White solid in 83% yield, 0.430 g, m.p. 182–184 °C; UV (CH2Cl2) λmax 284.0 nm (ε⋅10−3 33.6 cm−1M−1); IR (ATR) ν: 3036, 2954, 2931, 2853, 1599, 1590, 1476, 1461, 1428, 1414, 1323, 1300, 1221, 1177, 1049, 1035, 1022, 861, 834, 788, 747 cm−1; 1H-NMR (400 MHz, CDCl3): δ 0.73 (t, J = 7.2 Hz, 3H, CH3), 1.01–1.10 (m, 6H, 3 × CH2), 1.46 (quin, J = 7.2 Hz, 2H, CH2), 3.90 (s, 6H, 2 × OCH3), 4.18 (t, J = 7.2 Hz, 2H, CH2), 6.95 (dd, J = 8.0 and 2.4 Hz, 2H, ArH), 7.19 (d, J = 2.4 Hz, 2H, ArH), 7.23–7.27 (m, 2H, ArH), 7.40 (t, J = 8.0 Hz, 2H, ArH), 7.74–7.78 (m, 8H, ArH); 13C-NMR (100 MHz, CDCl3): δ 13.8, 22.2, 25.7, 29.9, 30.7, 45.0, 55.4, 113.0, 113.3, 119.6, 126.9, 127.6, 129.3, 130.0, 141.6, 142.6, 155.4, 160.1; HRMS m/z calcd for (C34H35N3O2 + H+): 518.2802; found: 518.2801.
4-Hexyl-3,5-bis(3′-nitrobiphenyl-4-yl)-4H-1,2,4-triazole (8g). Creamy solid in 85% yield, 0.466 g, m.p. 223–225 °C; UV (CH2Cl2) λmax 276.0 nm (ε⋅10-3 48.3 cm−1M−1); IR (ATR) ν: 3086, 2927, 2857, 1522, 1472, 1344, 1294, 1105, 1085, 968, 877, 843, 813, 778, 730, 702, 684 cm−1; 1H-NMR (400 MHz, CDCl3): δ 0.74 (t, J = 7.2 Hz, 3H, CH3), 1.01–1.13 (m, 6H, 3 × CH2), 1.47 (quin, J = 7.6 Hz, 2H, CH2), 4.21 (t, J = 7.6 Hz, 2H, CH2), 7.68 (t, J = 7.6 Hz, 2H, ArH), 7.82 (d, J = 8.4 Hz, 4H, ArH), 7.86 (d, J = 8.4 Hz, 4H, ArH), 8.00 (dd, J = 7.6 and 2.0 Hz, 2H, ArH), 8.27 (dd, J = 7.6 and 2.0 Hz, 2H, ArH), 8.53 (t, J = 2.0 Hz, 2H, ArH); 13C-NMR (100 MHz, CDCl3): δ 13.8, 22.2, 25.7, 30.0, 30.7, 45.1, 122.0, 122.7, 127.7, 128.0, 129.7, 130.0, 133.0, 140.3, 141.7, 148.8, 155.1; HRMS m/z calcd for (C32H29N5O4 + H+): 548.2292; found: 548.2299.
3,5-Bis(3′-aminobiphenyl-4-yl)-4-hexyl-4H-1,2,4-triazole (8h). Beige solid in 78% yield, 0.381 g, m.p. 181–183 °C; UV (CH2Cl2) λmax 233.0 nm (ε⋅10−3 30.3 cm−1M−1), 258.0 (32.8) and 281.0 (37.7); IR (ATR) ν: 3442, 3369, 3200, 3034, 2956, 2926, 2856, 1617, 1601, 1586, 1562, 1474, 1427, 1321, 1227, 1166, 993, 888, 835, 780, 746, 722 cm−1; 1H-NMR (400 MHz, CDCl3): δ 0.73 (t, J = 7.2 Hz, 3H, CH3), 0.98–1.10 (m, 6H, 3 × CH2), 1.44 (quin, J = 7.2 Hz, 2H, CH2), 3.78 (br.s, 4H, 2 × NH2), 4.16 (t, J = 7.6 Hz, 2H, CH2), 6.73 (dd, J = 7.6 and 2.0 Hz, 2H, ArH), 6.98 (t, J = 2.0 Hz, 2H, ArH), 7.05 (dd, J = 7.6 and 2.0 Hz, 2H, ArH), 7.26 (t, J = 7.6 Hz, 2H, ArH), 7.72–7.74 (m, 8H, ArH); 13C-NMR (100 MHz, CDCl3): δ 13.8, 22.2, 25.6, 29.9, 30.7, 45.0, 113.7, 114.7, 117.5, 126.6, 127.5, 129.2, 129.9, 141.2, 143.0, 146.9, 155.4; HRMS m/z calcd for (C32H33N5 + H+): 488.2809; found: 488.2817.
4-Hexyl-3,5-bis[4-(pyridin-4-yl)phenyl]-4H-1,2,4-triazole (8i). White solid in 86% yield, 0.396 g, m.p. 205–207 °C; UV (CH2Cl2) λmax 281.0 nm (ε⋅10−3 46.6 cm−1M−1); IR (ATR) ν: 2924, 2855, 1595, 1540, 1471, 1408, 1216, 993, 967, 857, 812, 771, 753, 737, 667 cm−1; 1H-NMR (400 MHz, CDCl3): δ 0.73 (t, J = 7.2 Hz, 3H, CH3), 0.99-1.11 (m, 6H, 3 × CH2), 1.46 (quin, J = 7.2 Hz, 2H, CH2), 4.20 (t, J = 7.2 Hz, 2H, CH2), 7.58 (d, J = 6.0 Hz, 4H, ArH), 7.82–7.85 (m, 8H, ArH), 8.73 (d, J = 6.0 Hz, 4H, ArH); 13C-NMR (100 MHz, CDCl3): δ 13.8, 22.1, 25.6, 29.9, 30.7, 45.1, 121.6, 127.6, 128.4, 129.6, 139.8, 147.1, 150.5, 155.1; HRMS m/z calcd for (C30H29N5 + H+): 460.2496; found: 460.2499.
4-Hexyl-3,5-bis[4-(pyridin-3-yl)phenyl]-4H-1,2,4-triazole (8j). Creamy solid in 83% yield, 0.382 g, m.p. 198–199 °C; UV (CH2Cl2) λmax 284.0 nm (ε⋅10−3 41.6 cm−1M−1); IR (ATR) ν: 2927, 2855, 1574, 1469, 1415, 1380, 1102, 1026, 1001, 967, 849, 839, 804, 751, 709 cm−1; 1H-NMR (400 MHz, CDCl3): δ 0.73 (t, J = 7.2 Hz, 3H, CH3), 1.00–1.11 (m, 6H, 3 × CH2), 1.47 (quin, J = 7.2 Hz, 2H, CH2), 4.20 (t, J = 7.2 Hz, 2H, CH2), 7.42 (dd, J = 8.0 and 4.8 Hz, 2H, ArH), 7.78 (d, J = 8.4 Hz, 4H, ArH), 7.83 (d, J = 8.4 Hz, 4H, ArH), 7.96 (dt, J = 8.0 and 1.6 Hz, 2H, ArH), 8.66 (dd, J = 4.8 and 1.6 Hz, 2H, ArH), 8.94 (d, J = 1.6 Hz, 2H, ArH); 13C-NMR (100 MHz, CDCl3): δ 13.8, 22.2, 25.7, 29.9, 30.7, 45.1, 123.7, 127.5, 127.7, 129.6, 134.4, 135.5, 139.5, 148.3, 149.1, 155.2; HRMS m/z calcd for (C30H29N5 + H+): 460.2496; found: 460.2497.
3,5-Bis[4-(furan-2-yl)phenyl]-4-hexyl-4H-1,2,4-triazole (8k). Creamy solid in 89% yield, 0.390 g, m.p. 199–202 °C; UV (CH2Cl2) λmax 310.0 nm (ε⋅10−3 37.8 cm−1M−1); IR (ATR) ν: 2933, 1687, 1611, 1473, 1374, 1259, 1180, 1092, 1009, 903, 844, 800, 731, 664 cm−1; 1H-NMR (400 MHz, CDCl3): δ 0.72 (t, J = 7.2 Hz, 3H, CH3), 0.97–1.10 (m, 6H, 3 × CH2), 1.41 (quin, J = 7.2 Hz, 2H, CH2), 4.13 (t, J = 7.6 Hz, 2H, CH2), 6.53 (dd, J = 3.6 and 2.0 Hz, 2H, ArH), 6.78 (d, J = 3.6 Hz, 2H, ArH), 7.53 (d, J = 2.0 Hz, 2H, ArH), 7.70 (d, J = 8.8 Hz, 4H, ArH), 7.83 (d, J = 8.8 Hz, 4H, ArH); 13C-NMR (100 MHz, CDCl3): δ 13.7, 22.2, 25.7, 29.8, 30.7, 45.0, 106.4, 111.9, 124.1, 126.3, 129.2, 132.3, 142.8, 153.0, 155.3; HRMS m/z calcd for (C28H27N3O2 + H+): 438.2176; found: 438.2175.
3,5-Bis[4-(furan-3-yl)phenyl]-4-hexyl-4H-1,2,4-triazole (8l). Yellow solid in 69% yield, 0.302 g, m.p. 175–178 °C; UV (CH2Cl2) λmax 284.0 nm (ε⋅10−3 17.8 cm−1M−1); IR (ATR) ν: 3093, 2933, 2864, 1740, 1615, 1475, 1429, 1261, 1164, 1116, 1055, 1015, 957, 922, 873, 839, 785, 750, 723, 695 cm−1; 1H-NMR (400 MHz, CDCl3): δ 0.73 (t, J = 7.2 Hz, 3H, CH3), 0.97–1.10 (m, 6H, 3 × CH2), 1.41 (quin, J = 7.2 Hz, 2H, CH2), 4.13 (t, J = 7.6 Hz, 2H, CH2), 6.77 (dd, J = 2.0 and 1.2 Hz, 2H, ArH), 7.53 (d, J = 2.0 Hz, 2H, ArH), 7.65 (d, J = 8.8 Hz, 4H, ArH), 7.69 (d, J = 8.8 Hz, 4H, ArH), 7.83 (d, J = 1.2 Hz, 2H, ArH); 13C-NMR (100 MHz, CDCl3): δ 13.8, 22.2, 25.7, 29.8, 30.7, 45.0, 108.6, 125.7, 126.1, 126.2, 129.3, 134.2, 139.2, 144.0, 155.3; HRMS m/z calcd for (C28H27N3O2 + H+): 438.2176; found: 438.2173.
4-Hexyl-3,5-bis[4-(thiophen-2-yl)phenyl]-4H-1,2,4-triazole (8m). Beige solid in 37% yield, 0.174 g, m.p. 219–220 °C; UV (CH2Cl2) λmax 312.0 nm (ε⋅10−3 42.0 cm−1M−1); IR (ATR) ν: 2954, 2923, 2853, 1611, 1471, 1427, 1400, 1377, 1351, 1259, 1213, 1115, 959, 848, 818, 776, 752, 662 cm−1; 1H-NMR (400 MHz, CDCl3): δ 0.73 (t, J = 7.2 Hz, 3H, CH3), 0.99–1.09 (m, 6H, 3 × CH2), 1.43 (quin, J = 7.2 Hz, 2H, CH2), 4.14 (t, J = 7.2 Hz, 2H, CH2), 7.13 (dd, J = 4.8 and 3.6 Hz, 2H, ArH), 7.36 (d, J = 4.8 Hz, 2H, ArH), 7.43 (d, J = 3.6 Hz, 2H, ArH), 7.71 (d, J = 8.4 Hz, 4H, ArH), 7.78 (d, J = 8.4 Hz, 4H, ArH); 13C-NMR (100 MHz, CDCl3): δ 13.8, 22.2, 25.7, 29.9, 30.7, 45.0, 124.0, 125.8, 126.2, 126.6, 128.3, 129.4, 136.0, 143.2, 155.3; HRMS m/z calcd for (C28H27N3S2 + H+): 470.1719; found: 470.1707.
4-Hexyl-3,5-bis[4-(thiophen-3-yl)phenyl]-4H-1,2,4-triazole (8n). Creamy solid in 62% yield, 0.291 g, m.p. 237–239 °C; UV (CH2Cl2) λmax 290.0 nm (ε⋅10−3 39.6 cm−1M−1); IR (ATR) ν: 3065, 2925, 2856, 1614, 1467, 1426, 1355, 1260, 1194, 1100, 1014, 864, 846, 781, 749 cm−1; 1H-NMR (400 MHz, CDCl3): δ 0.73 (t, J = 7.2 Hz, 3H, CH3), 0.98–1.09 (m, 6H, 3 × CH2), 1.43 (quin, J = 7.2 Hz, 2H, CH2), 4.15 (t, J = 7.2 Hz, 2H, CH2), 7.44 (dd, J = 5.2 and 2.8 Hz, 2H, ArH), 7.47 (dd, J = 5.2 and 1.6 Hz, 2H, ArH), 7.57 (dd, J = 2.8 and 1.6 Hz, 2H, ArH), 7.72 (d, J = 8.4 Hz, 4H, ArH), 7.77 (d, J = 8.4 Hz, 4H, ArH); 13C-NMR (100 MHz, CDCl3): δ 13.8, 22.2, 25.7, 29.9, 30.7, 45.0, 121.3, 126.1, 126.4, 126.7, 126.8, 129.4, 137.3, 141.2, 155.4; HRMS m/z calcd for (C28H27N3S2 + H+): 470.1719; found: 470.1728.
3.2.4. An IL Alternative Approach for Suzuki Cross-Coupling Reaction. Synthesis of 3,5-Bis(biphenyl-4-yl)-4-butyl-4H-1,2,4-triazole (7a)
To a mixture of 3,5-bis(4-bromophenyl)-4-butyl-4H-1,2,4-triazole (3c, 0.435 g, 1.00 mmol), phenylboronic acid (4a, 0.305 g, 2.50 mmol) and Pd(PPh3)4 (0.058 g, 0.05 mmol), aq. choline hydroxide solution 46 wt.% (Choline-OH, 10 mL) and toluene (1 mL) were added. The mixture was heated under reflux in an oil bath (130 °C) for 24 h (reaction was monitored by TLC). After cooling, chloroform (50 mL) was added and then transferred to a separating funnel. The IL was extracted with chloroform (2 × 10 mL). The remaining IL after extraction can be used for the next cycle. The combined chloroform layers were filtered through a silica gel plug (10 mL), which was then flushed with CHCl3/EtOAc (5:1 v/v). The filtrate was dried over MgSO4 and concentrated using a rotary evaporator. The product was precipitated using EtOAc (5 mL), filtered, washed with fresh EtOAc and air-dried to give 3,5-bis(biphenyl-4-yl)-4-butyl-4H-1,2,4-triazole (7a) in 83% yield.
4. Conclusions
We developed an efficient methodology for the synthesis of four series of 4H-1,2,4-triazole derivatives conjugated to different aromatic and heteroaromatic arrangements via 1,4-phenylene linker. The final Suzuki cross-coupling reactions of the intermediate 4-alkyl-3,5-bis(4-bromophenyl)-4H-1,2,4-triazoles and boronic acids were conducted by both conventional and alternative ionic liquid (IL) approach. The application of IL in the transformation resulted in the formation of the selected product in high yield with the possibility of regeneration of this green solvent and its subsequent recycling with only a slight decrease in product yield. Generally, products were obtained in excellent yields at each stage of a few-step methodology. The presence of alkyl substituent on the ring nitrogen atom enhances the solubility of the final products, which is particularly important for their potential application in the production of optoelectronic devices. Strong fluorescence has been observed for almost all compounds, except products containing a terminal 3-nitrophenyl substituent. High fluorescence quantum yields were observed, reaching up to 98%, dependent on the nature of terminal substituents, suggesting conjugation extending over all five rings of the investigated systems.
Supplementary Materials
Copies of the 1H-NMR and 13C-NMR spectra and 3D emission spectra of the compounds are available in the online Supplementary Materials.
Author Contributions
M.O. and A.K. conceived and designed the experiments. M.O. performed the experiments. M.S. performed the emission measurements. M.O. wrote the manuscript with the help of A.K. and R.K. All authors read and approved the final manuscript.
Funding
Partial financial support for this research work, awarded by Polish National Science Centre grant UMO-2016/23/N/ST5/02036, is gratefully acknowledged.
Conflicts of Interest
The authors declare no conflict of interest.
References
- Zhou, C.-H.; Wang, Y. Recent researches in triazole compounds as medicinal drugs. Curr. Med. Chem. 2012, 19, 239–280. [Google Scholar] [CrossRef] [PubMed]
- Eswaran, S.; Adhikari, A.V.; Shetty, N.S. Synthesis and antimicrobial activities of novel quinoline derivatives carrying 1,2,4-triazole moiety. Eur. J. Med. Chem. 2009, 44, 4637–4647. [Google Scholar] [CrossRef] [PubMed]
- Marino, J.P.J.; Fisher, P.W.; Hofmann, G.A.; Kirkpatrick, R.B.; Janson, C.A.; Johnson, R.K.; Ma, C.; Mattern, M.; Meek, T.D.; Ryan, M.D.; et al. Highly Potent Inhibitors of Methionine Aminopeptidase-2 Based on a 1,2,4-Triazole Pharmacophore. J. Med. Chem. 2007, 50, 3777–3785. [Google Scholar] [CrossRef]
- Kshirsagar, A.; Toraskar, M.P.; Kulkarni, V.M.; Dhanashire, S.; Kadam, V. Microwave assisted synthesis of potential anti infective and anticonvulsant thiosemicarbazones. Int. J. Chem.Tech. Res. 2009, 1, 696–701. [Google Scholar]
- Du, X.H.; Lizarzaburu, M.; Turcotte, S.; Lee, T.; Greenberg, J.; Shan, B.; Fan, P.; Ling, Y.; Medina, J.C.; Houze, J. Optimization of triazoles as novel and potent nonphlorizin SGLT2 inhibitors. Bioorg. Med. Chem. Lett. 2011, 21, 3774–3779. [Google Scholar] [CrossRef] [PubMed]
- Romach, M.; Busto, U.; Somer, G.; Kaplan, H.L.; Sellers, E. Clinical aspects of chronic use of alprazolam and lorazepam. Am. J. Psychiatry 1995, 152, 1161–1167. [Google Scholar] [PubMed]
- Yang, L.; Bao, X.-P. Synthesis of novel 1,2,4-triazole derivatives containing the quinazolinylpiperidinyl moiety and N-(substituted phenyl)acetamide group as efficient bactericides against the phytopathogenic bacterium Xanthomonas oryzae pv. Oryzae. RSC Adv. 2017, 7, 34005–34011. [Google Scholar] [CrossRef]
- Sudheer, M.A. Quraishi. Electrochemical and theoretical investigation of triazole derivatives on corrosion inhibition behavior of copper in hydrochloric acid medium. Corros. Sci. 2013, 70, 161–169. [Google Scholar] [CrossRef]
- El Bakri, Y.; El Aoufir, Y.; Bourazmi, H.; Harmaoui, A.; Sebhaoui, J.; Ben Ali, A.; Oudda, H.; Guenbour, A.; Tabyaoui, M.; Ramli, Y.; et al. The roles of 3,4-diamino-5-phenyl-4H-1,2,4-triazole(TR) on the corrosion inhibition of steel in HCl media. J. Mater. Environ. Sci. 2017, 8, 33–43. [Google Scholar]
- Tao, Y.; Wang, Q.; Ao, L.; Zhong, C.; Yang, C.; Qin, J.; Ma, D. Highly Efficient Phosphorescent Organic Light-Emitting Diodes Hosted by 1,2,4-Triazole-Cored Triphenylamine Derivatives: Relationship between Structure and Optoelectronic Properties. J. Phys. Chem. C 2010, 114, 601–609. [Google Scholar] [CrossRef]
- Potts, K.T. The Chemistry of 1,2,4-Triazoles. Chem. Rev. 1961, 61, 87–127. [Google Scholar] [CrossRef]
- Holm, S.C.; Straub, B.F. Synthesis of N-Substituted 1,2,4-Triazoles. A Review. Org. Prep. Proced. Int. 2011, 43, 319–347. [Google Scholar] [CrossRef]
- Busch, M. Zur Darstellung des Triphenyltriazols. J. Prakt. Chem. 1914, 89, 552. [Google Scholar] [CrossRef]
- Bhagat, K.L.; Ray, J.N. 1 : 3 : 4-Triazoles. J. Chem. Soc. 1930, 2357–2358. [Google Scholar] [CrossRef]
- Klingsberg, E. Preparation of Triaryl-s-triazoles from Diaroylhydrazines. J. Org. Chem. 1958, 23, 1086–1087. [Google Scholar] [CrossRef]
- Meyer, R. Ger. Pat. 574944 (1933). Chem. Abstr. 1933, 27, 4541. [Google Scholar]
- Korotkikh, N.I.; Kiselev, A.V.; Knishevitsky, A.V.; Raenko, G.F.; Pekhtereva, T.M.; Shvaika, O.P. Recyclization of 1,3,4-Oxadiazoles and Bis-1,3,4-oxadiazoles into 1,2,4-Triazole Derivatives. Synthesis of 5-Unsubstituted 1,2,4-Triazoles. Chem. Heterocycl. Compd. 2005, 41, 866–871. [Google Scholar] [CrossRef]
- Goerdeler, J.; Galinke, J. Zur Umlagerung von 2-Amino-1.3.4-Thiodiazolen in 3-Mercapto-1.2.4-Triazole. Chem. Ber. 1957, 90, 202–203. [Google Scholar] [CrossRef]
- Wiley, P.F. The Chemistry of Heterocyclic Compounds; Interscience Publishers, Inc.: New York, NY, USA, 1956; Volume 10, Chpater 5. [Google Scholar]
- Earle, M.J.; Seddon, K.R. Ionic liquids. Green solvents for the future. Pure Appl. Chem. 2000, 72, 1391–1398. [Google Scholar] [CrossRef]
- Nelson, W.M. Are Ionic Liquids Green Solvents? ACS Symp. Ser. 2002, 818, 30–41. [Google Scholar]
- DeSimone, J.M. Practical Approaches to Green Solvents. Science 2002, 297, 799–803. [Google Scholar] [CrossRef] [PubMed]
- Liang, X.; Qi, C. Synthesis of a novel ionic liquid with both Lewis and Brønsted acid sites and its catalytic activities. Catal. Commun. 2011, 12, 808–812. [Google Scholar] [CrossRef]
- Huang, C.-P.; Liu, Z.-C.; Xu, C.-M.; Chen, B.-H.; Liu, Y.-F. Effects of additives on the properties of chloroaluminate ionic liquids catalyst for alkylation of isobutane and butene. Appl. Catal. A Gen. 2004, 277, 41–43. [Google Scholar] [CrossRef]
- Gao, H.; Zhou, Y.; Sheng, X.; Zhao, S.; Zhang, C.; Fang, J.; Wang, B. Alkylation of O-xylene and styrene catalyzed by cross-linked poly acidic ionic liquids catalyst with novel mesoporous-macroporous structure. Appl. Catal. A Gen. 2018, 552, 138–146. [Google Scholar] [CrossRef]
- Kudelko, A.; Wróblowska, M.; Jarosz, T.; Łaba, K.; Łapkowski, M. Synthesis, spectral characteristics and electrochemistry of symmetrically-substituted hybrids derived from 2,5-bis(4- bromophenyl)-1,3,4-oxadiazole under Suzuki cross-coupling reaction. Arkivoc 2015, 5, 287–302. [Google Scholar]
- Wróblowska, M.; Kudelko, A.; Kuźnik, N.; Łaba, K.; Łapkowski, M. Synthesis of Extended 1,3,4-Oxadiazole and 1,3,4-Thiadiazole Derivatives in the Suzuki Cross-coupling Reactions. J. Heterocyclic Chem. 2017, 54, 1550–1557. [Google Scholar] [CrossRef]
- Wróblowska, M.; Kudelko, A.; Łapkowski, M. Efficient Synthesis of Conjugated 1,3,4-Thiadiazole Hybrids through Palladium-Catalyzed Cross-Coupling of 2,5-Bis(4-bromophenyl)-1,3,4-thiadiazole with Boronic Acids. Synlett 2015, 26, 2127–2130. [Google Scholar] [CrossRef]
- Brouwer, A.M. Standards for photoluminescence quantum yield measurements in solution (IUPAC Technical Report). Pure Appl. Chem. 2011, 83, 2213–2228. [Google Scholar] [CrossRef]
- Melhuish, W.H. quantum efficiencies of fluorescence of organic substances: Effect of solvent and concentration of the fluorescent solute. J. Phys. Chem. 1961, 65, 229–235. [Google Scholar] [CrossRef]
- Birks, J.B.; Dyson, D.J. The relations between the fluorescence and absorption properties of organic molecules. Proc. Roy. Soc. A 1963, 275, 135–148. [Google Scholar]
- Kayumova, R.R.; Ostakhov, S.S.; Mamykin, A.V.; Muslukhov, R.R.; Iskhakova, G.F.; Ivanov, S.P.; Meshcheryakova, S.A.; Klen, E.E.; Khaliullin, F.A.; Kazakov, V.P. Structure and luminescence of thietane-containing 1,2,4-triazoles. Russ. J. Gen. Chem. 2011, 81, 1203–1210. [Google Scholar] [CrossRef]
- Wu, C.-S.; Chen, Y. Copoly(p-phenylene)s containing bipolar triphenylamine and 1,2,4-triazole groups: Synthesis, optoelectronic properties, and applications. J. Polym. Sci. A Polym. Chem. 2010, 48, 5727–5736. [Google Scholar] [CrossRef]
Sample Availability: Samples of the compounds 3a–d, 5c–g, 6c–g, 7c–g, 8c–g are available from the authors. |
© 2019 by the authors. Licensee MDPI, Basel, Switzerland. This article is an open access article distributed under the terms and conditions of the Creative Commons Attribution (CC BY) license (http://creativecommons.org/licenses/by/4.0/).
























