Abstract
A catalyst-free heterocyclization reaction of α-chloroglycinates with thiobenzamides or thioureas leading to 2,4-disubstituted-5-acylamino-1,3-thiazoles has been developed. The methodology provides straightforward access to valuable building blocks for pharmaceutically relevant compounds.
1. Introduction
Heterocyclic compounds are an integral part of many biologically active small molecules. Indeed, many currently marketed drugs exhibit heterocycles as their core structures [1,2]. In particular, compounds based on a 1,3-thiazole display a wide range of activities [3]. Therefore, increasing attention has been devoted in recent years to the preparation of polysubstituted thiazoles, primarily for pharmaceutical applications [4,5,6,7], but also in connection with problems in material science [8]. Of special relevance in medicinal chemistry are aminothiazoles and their derivatives [9,10,11,12,13,14,15,16]. Such compounds show potential in oncology [17,18], in the treatment of inflammatory conditions [19,20] and neurological disorders [21]. Examples (Figure 1) include compound 1, an experimental CDK5 inhibitor for the treatment of Alzheimer’s disease [22], and avatrombopag 2, approved in 2018 the treatment of adult thrombocytopenia [23].
Figure 1.
Examples of Biologically Active Compounds that Incorporate Acylamino-1,3-thiazoles.
The research described herein finds its genesis in Dompé Farmaceutici’s identification of novel thiazole derivatives such as 3 (Figure 2), with proven efficacy in the urology and pain areas [4,24]. As a consequence of this discovery, congeners of 3 incorporating alkylamino-or acylamino substituents, i.e., substances 4–5, became of special interest. Curiously, such thiazoles are scantly documented in the literature. For instance, the SciFinder database records only 47 compounds of the type 4, described in 11 publications as of this writing [25,26]. Substances of general structure 5 are even rarer (11 compounds, 6 publications) [27,28]. Furthermore, good synthetic procedures that lead directly to compounds 4–5 are lacking. Possibly for these reasons, such heterocycles are quite uncommon in medicinal chemistry.
Figure 2.
Examples of Biologically Active Compounds that Incorporate Acylamino-1,3-thiazoles.
Our interest in developing general methods for the synthesis of pharmaceutically relevant heterocyclic compounds [29,30,31] induced us to launch a program aiming to establish widely applicable procedures for the direct synthesis of the desired thiazoles. In drug discovery, the chemical modifications of thiazole ring moieties could be a useful tool in the discovery of new ways to make variations on existing drugs. But this approach is limited for organic chemists because there are only so many changes that can be made to a complex heterocyclic compound. The cyclization of polyfunctionalized acyclic precursors is much more advantageous for medical and biotechnological applications [32]. Taking into account a potential industrial development of the methodology, it was essential to avoid harsh reaction conditions, issues of regioselectivity that may result in the formation of multiple products, the need for costly catalysts, elaborate reaction protocols, and complex purification procedures.
2. Results
Among the numerous methods for thiazole synthesis [33,34,35], the venerable Hantzsch reaction [36] and its variants [37,38], i.e., the cyclocondensation of α-halocarbonyl compounds with thioamides or thioureas (Scheme 1, Equation (1)), remains especially popular. This transformation reliably produces 1,3-thiazoles having alkyl, aryl, or heterocyclic substituents in good to excellent yields. Furthermore, the reaction requires no metallic catalysts, expensive reagents, or stringent measures to exclude moisture and air: a significant advantage in terms of environmental impact and total cost of the synthetic procedure. It appeared that the target compounds 4–5 could be accessed by a Hatzsch-like reaction between an α-chloroglycinate, 8, and a thioamide, 9, or thiourea, 11 (Scheme 2). Compounds 8 are readily available starting with a Ben-Ishai addition of a primary amide, 6, to, e.g., ethyl glyoxylate, followed by reaction of the resultant 7 with SOCl2 [39,40,41,42]. They are perfectly isolable and fairly stable on storage at −20 °C with exclusion of moisture (two weeks at least) [43,44,45,46,47], even though the halogen atom is quite labile. Also, they are normally obtained is a state of good to excellent purity; therefore, it is generally expedient to use them directly. A caveat is that they are sensitive to the action of bases, which cause rapid formation of polymeric products [41]. A noteworthy illustration of this was provided in connection with their use in a useful oxazole synthesis: displacement of the chlorine with a poorly basic aluminum acetylide results in the efficient formation of polysubstituted oxazoles, but the action of basic alkali metal acetylides rapidly converts them into intractable mixtures of products [43,44,45,46,47]. On such grounds, it seemed plausible that poorly basic, but highly S-nucleophilic, thioamides/thioureas should combine with chlorogycinates 8 as desired.
Scheme 1.
The Hantzsch Thiazole Synthesis.
Scheme 2.
Hypothetical Hantzsch-type Route to the Target Thiazoles 4–5.
The exploration of the new methodology started with a study of the reaction of N-benzoylchloroglycine ethyl ester, 8a, with thiobenzamide, 9a, (Scheme 3). When a solution of the reactants in THF was stirred at room temperature overnight, a precipitate appeared. This material consisted (NMR, MS) of a mixture of tautomers 10aa and 4aa of the expected product [48]. Unfortunately, the yield of product never exceeded 40%, regardless of solvent used (THF, DMF, and MeCN). Also, conduct of the reaction at higher temperatures (refluxing conditions) resulted in formation of complex mixtures. An HPLC-MS analysis of the reaction mixtures showed the presence of a dimer of tentative structure 13, the formation of which is attributable to water contamination of the solvents. The formation of presumed 13 was accelerated substantially when hydroxyglycinate 7a, R1 = Ph, was exposed to the CeCl3.7H2O-NaI system [49] in an attempt to effect conversion into the corresponding iodide. Fortunately, the use of freshly dried THF suppressed the formation of the dimeric product and greatly improved the yield of thiazoles. Furthermore, it transpired that it was best to allow the reaction to proceed at r.t. for only 2 h. In all cases, the workup procedure involved the removal of volatiles under vacuum, the resuspension of the solid residue in ether, and the recovery of the solid product by filtration. The thiazoles thus obtained were of excellent quality and required no further purification. Some of them existed in solution as mixtures of keto (10) and enol (4) tautomers (NMR). The keto form exhibited a diagnostic 3J coupling between the C-5 and the NH protons (≈7.4 Hz), consistent with literature values in related systems [50]. The enol form may be the dominant/exclusive tautomer present in the solid state, as suggested by the broad OH signal observed in the FT-IR spectrum (see Supplementary Materials). Representative examples of the new transformation are shown in Table 1. It is apparent that the reaction tolerates both electron-donating and electron-withdrawing substituents on either reactant (entries 5, 8 and 10).
Scheme 3.
Reaction of Ethyl N-Benzoylchloroglycinate with Thiobenzamide.
Table 1.
Formation of 5-Acylamino-1,3-thiazoles from chloroglycinates and thiobenzamides a.
It is worthy of note that chloroglycinates derived from conjugated amides are good substrates for the present reaction (entry 4), even though they are quite poor for the oxazole-forming one [43,44,45,46,47]. It should also be stressed that the procedure is readily amenable to high-throughput chemical synthesis and that its scope was found to be considerably broader than the 12 examples of Table 1 suggest. Thus, various points of diversification can be introduced to generate more complex molecules with interesting biological activities.
On a side note, substituted 2-thiazolinones/2-hydroxythiazoles are subject to acid-catalyzed ring mutation reactions [51,52,53]. Concerns about the possible sensitivity of 5-thiazolinones/5-hydroxythiazoles 10/4 to analogous isomerization processes were rapidly allayed by the observation that all such compounds remained unchanged upon storage for several weeks at low temperature.
The use of a thiourea in lieu of a thioamide in the reaction just described successfully led to the formation of compounds 5 in moderate to good yield (Table 2). No improvement in yields was observed when the reaction was carried out in the presence of 1,8-bis-(dimethylamino)naphthalene (proton sponge) [54]. The rate of product formation was also unaffected, providing additional evidence that the target thiazoles do not form by an initial dehydrohalogenation of 8 to an acylimine and subsequent nucleophilic addition thereto. Instead, they are likely to arise upon cyclization of intermediates 14 (Scheme 4, reaction pathway a), formed in turn by displacement of chlorine from 8 by the nucleophilic sulfur center of the thioamide. Interestingly, all attempts to detect 14 or other possible intermediates by ESI-MS techniques [55,56] met with failure (only reactants and products apparent in the spectra), indicating that the cyclization of 14 to 12/5 must be very fast. We note in passing that substance 14 could theoretically produce heterocycle 15 by a cyclization reaction involving the amide group (pathway b). However, no products of the type 15 were ever observed in our reactions, undoubtedly because of the weaker electrophilic reactivity of the amide relative to the ester and the lack of aromatic character in 15.
Table 2.
Formation of 5-Acylamino-2-amino-1,3-thiazole Derivatives from chloroglycinates and thioureas a.
Scheme 4.
Formation of Thiazoles 5 by Cyclization of Intermediates 14.
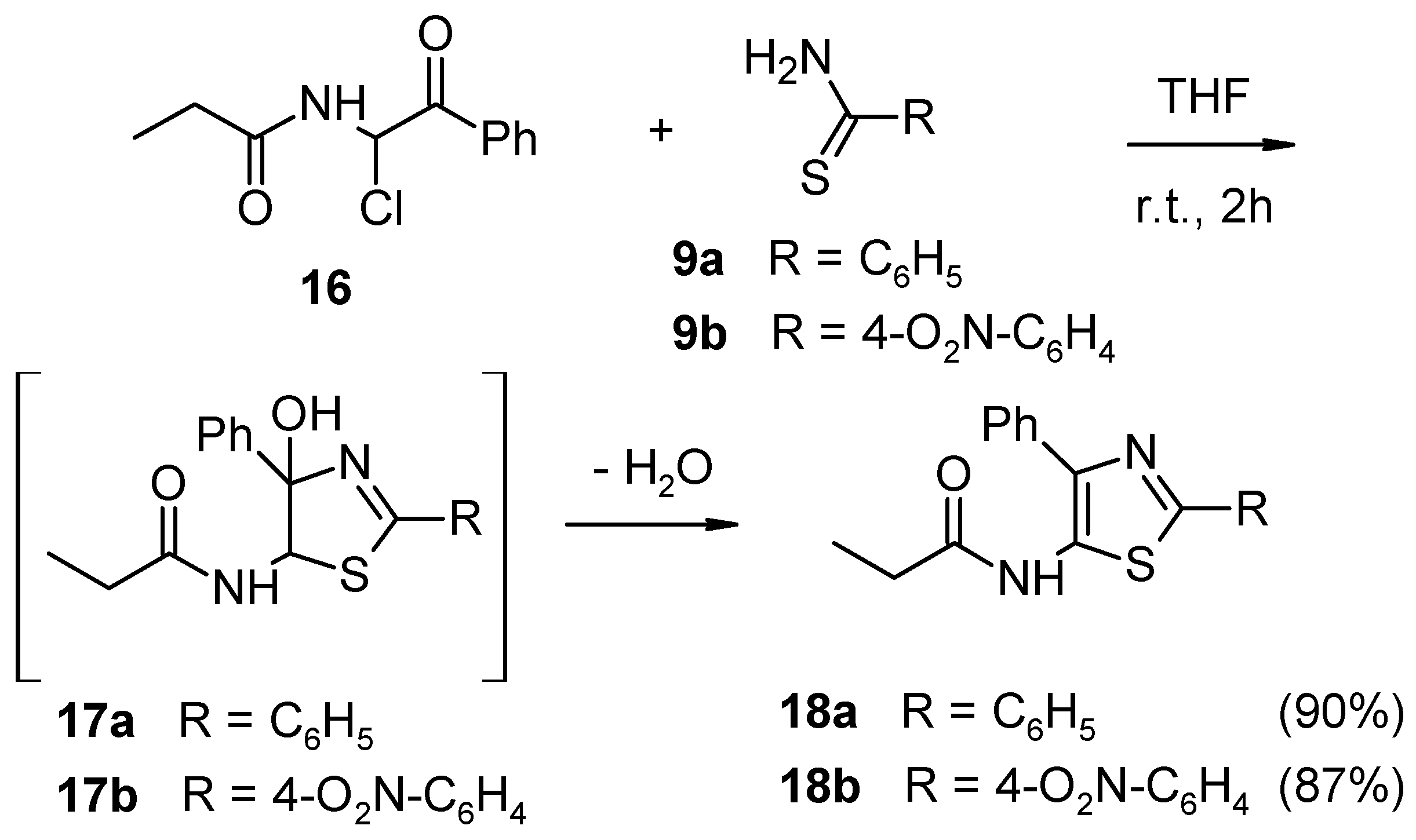
On the other hand, ESI-MS monitoring of the reaction of compound 16 (prepared from propionamide and phenylglyoxal and subsequent treatment of the hydroxy derivative with SOCl2) with thioamides 9a–b did reveal the transient presence of hydroxy intermediates 17a–b, in situ dehydration of which furnished 5-acylaminothiazoles 18a–b in excellent yields (Scheme 5).
Scheme 5.
Hantzsch cyclization of α-chloro carbonyl compounds and thiobenzamides.
In conclusion, a Hantzsch construction of thiazoles 4–5 and 18 through the reaction of α-chloroglycinate esters and congeners with thioamides or thioureas has been established. The target compounds are obtained under mild conditions from readily available, inexpensive building blocks through an environmentally benign process that requires no stringent control of reaction parameters/atmosphere and no catalysts. The medicinal chemistry of the products is being actively researched and pertinent results will be reported in due course.
3. Materials and Methods
3.1. General
All reagents and solvents were purchased from commercial suppliers and used without further purification, except THF (freshly distilled over metallic sodium) and DCM (freshly distilled over CaCl2). All reactions were performed under nitrogen atmosphere. All glassware was oven dried at 100 °C for at least 2 h prior to use. Merck pre-coated TLC plates (silica gel 60 GF254 0.25mm) furnished by Merck KGaA (Darmstadt, Germany) were used for thin-layer chromatography (TLC). Compounds were visualized under UV light, or in an iodine, chamber, or by staining with phosphomolybdic acid solution. Proton (400 MHz), 13C (100 MHz), and 135DEPT spectra were recorded on a Varian Mercury 400 (Varian, Inc., Palo Alto, CA, USA). Chemical shifts are reported in ppm from TMS and are referenced to solvent signals (CDCl3: 7.26 ppm for the residual protio species in 1H, 77.2 ppm in 13C; DMSO-d6: 2.50 ppm in 1H and 39.5 ppm in 13C). Coupling constants, J, are reported in hertz (Hz). Splitting patterns are described as s (singlet), d (doublet), t (triplet), q (quartet), m (multiplet). IR spectra (cm−1) were recorded with a Perkin-Elmer FT-IR spectrometer Spectrum Two UATR (Perkin Elmer, Inc., Waltham, MA, USA). Low-resolution ESI/APCI mass spectra were recorded with an Agilent 1100 MSD ion-trap mass spectrometer (Agilent Technologies, Inc., Santa Clara, CA, USA) equipped with a standard ESI/APCI source. Nitrogen served both as the nebulizer gas and the dry gas. The analyte (10 mg) was dissolved in the appropriate mobile phase (1 mL) and introduced by direct infusion with a syringe pump. High-resolution mass spectra (HRMS) were obtained with a HPLC Ultimate 3000 (Thermofisher Scientific, MA, USA) coupled with a high-resolution Q Exactive Benchtop Quadrupole–Orbitrap (Thermofisher Scientific, MA, USA). The NMR spectra of compounds were provided in Supplementary Materials (Figures S1–S66).
3.2. General Procedure for the Synthesis of α-Hydroxyglycinates (7)
An amide (1.0 mmol) was added to a solution of ethyl glyoxylate (technical, 50% solution in toluene, 1.2 eq) in toluene (1 mL) and the reaction was stirred overnight at 70 °C. The next morning a white precipitate had appeared. The solvent was removed under reduced pressure and the residue was suspended in Et2O. The precipitate of α-hydroxyglycinate ester was recovered by filtration and found to be pure enough for the next step. Yields were generally quantitative. The following compounds were thus prepared from appropriate amides:
Ethyl 2-benzamido-2-hydroxyacetate (7a) [57]: From benzamide. Yield: 98% as an amorphous white solid. FTIR (neat, cm−1): 3380 (broad), 3307, 1750, 1646, 1536. 1H-NMR (400 MHz, DMSO-d6): δ 9.35 (d, J = 7.8 Hz, 1H), 7.93–7.84 (m, 2H), 7.58–7.52 (m, 3H), 6.57 (d, J = 6.46 Hz, 1H), 5.64 (t, J = 7.00 Hz, 1H), 4.15 (q, J = 7.1 Hz, 2H), 1.21 (t, J = 7.08 Hz, 3H). 13C-NMR (100 MHz, CDCl3): 170.41, 166.43, 133.98, 132.15, 128.81, 127.98, 72.38, 61.21, 14.50 HR-MS (ESI) calcd for C11H13NO4: [M + H]+ 224.0917, found 224.0913.
Ethyl 2-(2-(benzo[1,3]dioxol-5-yl)acetamido)-2-hydroxyacetate (7b): From 2-(benzo[d][1,3]dioxol-5-yl)acetamide. Yield: 98% as an amorphous white solid. FTIR (neat, cm−1): 3407 (broad), 3326, 1727, 1650, 1540. 1H-NMR (400 MHz, CDCl3): δ 6.79 (d, J = 7.8 Hz, 1H), 6.75–6.68 (m, 3H), 5.96 (s, 2H), 5.50 (d, J = 7.4 Hz, 1H), 4.26 (q, J = 7.2 Hz, 2H), 3.52 (s, 2H), 1.30 (t, J = 7.2 Hz, 3H). 13C-NMR (100 MHz, CDCl3): δ 172.17, 169.35, 148.34, 147.28, 127.38, 122.84, 109.87, 108.89, 101.36, 72.45, 62.81, 43.16, 14.14. HR-MS (ESI) calcd for C13H15NO6: [M + H]+ 282.0972, found 282.0979.
Ethyl 2-hydroxy-2-propanamidoacetate (7c): From propanamide. Yield: 96% as an amorphous white solid. FTIR (neat, cm−1): 3400 (broad), 3315, 1736, 1655, 1537. 1H-NMR (400 MHz, CDCl3): δ 6.98 (s, 1H), 5.60 (d, J = 7.7 Hz, 1H), 4.26 (q, J = 7.1 Hz, 2H), 2.27 (q, J = 7.5 Hz, 2H), 1.30 (t, J = 7.2 Hz, 3H), 1.14 (t, J = 7.5 Hz, 3H). 13C-NMR (100 MHz, CDCl3): δ 174.95, 169.73, 72.08, 62.60, 29.45, 14.13, 9.33. HR-MS (ESI) calcd for C7H13NO4: [M − H]− 174.0771, found 174.0772.
Ethyl 2-cinnamamido-2-hydroxyacetate (7d): From cinnamamide. Yield: 95% an amorphous white solid. FTIR (neat, cm−1): 3290 (broad), 3215, 1750, 1654, 1547. 1H-NMR (400 MHz, CDCl3): δ 7.68 (d, J = 15.6 Hz, 1H), 7.50 (dd, J = 6.7, 2.9 Hz, 2H), 7.40–7.28 (m, 3H), 7.11 (s, 1H), 6.46 (d, J = 15.6 Hz, 1H), 5.76 (d, J = 7.5 Hz, 1H), 4.31 (q, J = 7.1 Hz, 2H), 1.33 (t, J = 7.1 Hz, 3H). 13C-NMR (100 MHz, CDCl3): δ 169.37, 166.61, 143.33, 134.38, 130.42, 129.06, 128.19, 119.18, 72.72, 62.93, 14.21. HR-MS (ESI) calcd for C13H15NO4: [M + Na]+ 272.0893, found 272.0894.
3.3. General Procedure for the Synthesis of α-Chloroglycinates (8)
Thionyl chloride (10 eq) was added dropwise to a suspension of a hydroxyglycinate (7) (1 mmol) in dry DCM (1 mL) under nitrogen. The mixture was warmed to 40 °C and the progress of the reaction was periodically checked by 1H-NMR. Full conversion typically required about 3 h. Excess thionyl chloride was removed under high vacuum and the residue of crude chloride, yellowish solid, was immediately used in subsequent coupling reactions without further purification to avoid degradation. Yields were essentially quantitative. Since the compounds are unstable in water solution it was not possible to perform an HPLC-MS analysis. The following compounds were thus prepared:
Ethyl 2-benzamido-2-chloroacetate (8a): From ethyl 2-benzamido-2-hydroxyacetate (7a). Yield 99% as an amorphous white solid. 1H-NMR (400 MHz CDCl3): δ 7.84–7.80 (m, 2H), 7.63–7.54 (m, 1H), 7.56–7.45 (m, 2H), 6.49 (d, J = 9.74, 1H), 4.38 (q, J = 7.10, 2H), 1.39 (t, J = 7.09, 3H) 13C-NMR (400 MHz, CDCl3) δ 166.63, 166.01, 132.80, 132.39, 128.84, 127.42, 63.32, 60.55, 13.91.
Ethyl 2-(2-(benzo[1,3]dioxol-5-yl)acetamido)-2-chloroacetate (8b): From ethyl 2-(2-(benzo[1,3]dioxol-5-yl)acetamido)-2-hydroxyacetate (7b). Yield: 99% as an amorphous yellow solid. 1H-NMR (400 MHz, CDCl3): δ 6.82–6.68 (m, 4H), 6.23 (d, J = 9.8 Hz, 1H), 5.98 (d, J = 0.7 Hz, 2H), 4.28 (m, 2H), 3.56 (s, 2H), 1.31 (t, J = 7.1 Hz, 3H). 13C-NMR (100 MHz, CDCl3): δ 170.21, 166.43, 148.45, 147.44, 126.82, 122.81, 109.80, 108.98, 101.41, 63.32, 59.95, 43.27, 13.97.
Ethyl 2-chloro-2-propanamidoacetate (8c): From ethyl 2-hydroxy-2-propanamidoacetate (7c). Yield: 99% as an amorphous pale yellow solid. 1H-NMR (400 MHz CDCl3): δ 7.07 (s, 1H), 6.27 (d, J = 9.6 Hz, 1H), 4.26 (q, J = 6.9 Hz, 2H), 2.31 (q, J = 7.0 Hz, 2H), 1.29 (t, J = 7.0 Hz, 3H), 1.13 (t, J = 7.0 Hz, 3H). 13C-NMR (100 MHz CDCl3): δ 173.04, 166.67, 63.27, 60.16, 29.60, 13.97, 9.11.
Ethyl 2-chloro-2-cinnamamidoacetate (8d): From ethyl 2-cinnamamido-2-hydroxyacetate (7d). Yield: 99% as an amorphous orange solid. 1H-NMR (400 MHz, CDCl3): δ 7.75 (d, J = 15.6 Hz, 1H), 7.56–7.51 (m, 2H), 7.42–7.37 (m, 3H), 6.90 (d, J = 9.7 Hz, 1H), 6.45 (m, 2H), 4.35 (q, J = 7.1 Hz, 2H), 1.37 (t, J = 7.1 Hz, 3H). 13C-NMR (100 MHz, CDCl3): δ 166.56, 164.61, 144.24, 134.10, 130.53, 128.98, 128.18, 118.60, 63.27, 60.43, 13.90.
3.4. General Procedure for the Synthesis of 5-Amido-4-Hydroxy Thiazoles 4 and Their Keto Tautomers 10
A thioamide (1.0 mmol) was added to a solution of a chloroglycinate 8 (1.0 mmol) in dry THF (2 mL) under nitrogen and the reaction was stirred at room temperature for 2 h, whereupon a precipitate appeared. The solvent was removed under reduced pressure and the residue was resuspended in Et2O. The suspension was stirred for 1 h, then the solid product was collected by filtration. This material was of excellent quality and required no further purification unless otherwise specified. The following thiazoles were thus obtained:
N-(4-hydroxy-2-phenyl-1,3-thiazol-5-yl)benzamide (4aa): From ethyl 2-benzamido-2-chloroacetate 8a and benzothioamide. Yield 88% as an amorphous yellow solid. FTIR (neat, cm−1): 3380 (broad), 3252, 1655, 1634, 1521. 1H-NMR (400 MHz, DMSO-d6), Enol tautomer: δ 10.95 (bs, 1H), 10.62 (bs, 1H), 8.11–8.05 (m, 2H), 7.86–7.82 (m, 2H), 7.63–7.58 (m, 1H), 7.56–7.51 (m, 2H), 7.50–7.45 (m, 2H), 7.44–7.58 (m, 1H). 13C-NMR (100 MHz, DMSO-d6): δ 164.43, 154.79, 152.12, 134.08, 133.22, 132.43, 129.78, 129.62, 128.88, 128.42, 125.13, 108.59. HR-MS (ESI) calcd for C16H12N2O2S: [M + H]−: 295.0546, found 295.0546.
N-(4-hydroxy-2-phenyl-1,3-thiazol-5-yl)-1,3-benzodioxole-5-carboxaamide (4ab): From ethyl 2-(2-(benzo[1,3]dioxol-5-yl)acetamido)-2-chloroacetate 8b and benzothioamide. Yield 76% as an amorphous pale yellow solid. FTIR (neat, cm−1): 3378 (broad), 3261, 1673, 1638, 1541. 1H-NMR (400 MHz, DMSO-d6), Enol tautomer: δ 10.78 (bs, 1H), 10.74 (bs, 1H), 7.8–7.74 (m, 2H), 7.46–7.40 (m, 2H), 7.39–7.34 (m, 1H), 7.91–7.88 (m, 1H), 6.87–6.83 (m, 1H), 6.80–6.86 (m, 1H), 5.97 (s, 2H), 3.64 (s, 2H). 13C-NMR (100 MHz, DMSO-d6): δ 168.16, 153.33, 150.72, 147.59, 146.42, 134.15, 129.80, 129.61, 129.52, 124.93, 122.60, 109.97, 108.72, 108.56, 101.27, 41.31. HR-MS (ESI) calcd for C18H14N2O4S: [M + H]+: 355.0747, found 355.0748.
N-(4-hydroxy-2-phenyl-1,3-thiazol-5-yl)propanamide (4ac): From ethyl 2-chloro-2-proaonamidoacetate 8c and benzothioamide. Yield: 94% as an amorphous pale yellow solid. FTIR (neat, cm−1): 3393 (broad), 3277, 1649, 1636, 1527. 1H-NMR (400 MHz, DMSO-d6), Enol tautomer: δ 10.68 (s, 1H), 7.78 (m, 2H), 7.48–7.31 (m, 3H), 2.39 (q, J = 7.6 Hz, 2H), 1.06 (t, J = 7.6 Hz, 3H). 13C-NMR (100 MHz, DMSO-d6): δ 170.42, 152.56, 149.91, 133.82, 129.19, 129.04, 124.51, 108.50, 27.96, 9.83. HR-MS (ESI) calcd for C12H12N2O2S: [M + H]+: 249.0692, found 249.0690.
(2E)-N-(4-hydroxy-2-phenyl-1,3-thiazol-5-yl)-3-phenylacrylamide (4ad): From ethyl 2-chloro-2-cinnammidoacetate 8d and benzothioamide Yield: 81% as an amorphous yellow solid. FTIR (neat, cm−1): 3200 (broad), 3108, 1638, 1628, 1525. 1H-NMR (400 MHz, DMSO-d6), Enol tautomer: δ 11.05 (s, 1H), 7.87–7.78 (m, 2H), 7.60 (m, 3H), 7.50–7.37 (m, 6H), 7.08 (d, J = 15.8 Hz, 1H). 13C-NMR (100 MHz, DMSO-d6): δ 161.63, 153.13, 150.39, 140.47, 134.76, 133.76, 129.88, 129.18, 129.09, 129.06, 127.74, 124.54, 120.39, 108.64. HR-MS (ESI) calcd for C18H14N2O2S: [M + H]+: 323.0849, found 323.0848.
N-(4-hydroxy-2-(4-nitrophenyl)-1,3-thiazol-5-yl)benzamide (4ba): From ethyl 2-benzamido-2-chloroacetate 8a and 4-nitrobenzothioamide. Yield 74% as an amorphous deep red solid. FTIR (neat, cm−1): 3376 (broad), 3268, 1671, 1629, 1542. 1H-NMR (400 MHz, DMSO-d6), Enol tautomer: δ 10.91 (s, 1H), 8.32–8.25 (m, 2H), 8.09–8.05 (m, 2H), 8.04–7.98 (m, 2H), 7.65–7.59 (m, 1H), 7.57–7.51 (m, 2H). 13C-NMR (100 MHz, DMSO-d6): δ 164.66, 152.92, 151.00, 147.84, 139.84, 133.03, 132.59, 128.91, 128.49, 125.72, 125.04 112.05. HR-MS (ESI) calcd for C16H11N3O4S: [M − H]−: 340.0397, found 340.0397.
N-[4-hydroxy-2-(4-nitrophenyl)-1,3-thiazol-5-yl]-1,3-benzodioxole-5-carboxamide (4bb): From ethyl 2-(2-(benzo[1,3]dioxol-5-yl)acetamido)-2-chloroacetate 8b and 4-nitrobenzothioamide. The product existed in solution as a mixture of two tautomers. Yield: 87% as an amorphous red solid. FTIR (neat, cm−1): 3340 (broad), 3231, 1670, 1629, 1538. 1H-NMR (400 MHz, DMSO-d6), Enol tautomer: δ 11.15 (s, 1H), 11.07 (s, 1H), 8.26 (d, J = 8.4 Hz, 2H), 8.00 (d, J = 8.7 Hz, 2H), 6.92–6.82 (m, 2H), 6.79 (s, 1H), 5.98 (s, 2H), 3.68 (s, 2H). 13C-NMR (100 MHz, DMSO-d6): δ 167.91, 151.07, 148.92, 147.17, 146.73, 146.02, 139.55, 129.16, 125.02, 124.64, 122.19, 111.95, 109.54, 108.15, 100.85, 42.10. HR-MS (ESI) calcd for C18H13N3O6S: [M − H]−: 398.0452, found 398.0451.
N-[4-hydroxy-2-(4-nitrophenyl)-1,3-thiazol-5-yl)propanamide (4bc): From ethyl 2-chloro-2-propanamidoacetate 8c and 4-nitrobenzothioamide. Yield: 94% as an amorphous red solid. FTIR (neat, cm−1): 3400 (broad), 3403, 1650, 1641, 1576. 1H-NMR (400 MHz, DMSO-d6), Enol tautomer: δ 10.98 (s, 1H), 10.80 (s, 1H), 8.28–8.23 (m, 2H), 8.03–7.98 (m, 2H), 2.44 (d, J = 7.6 Hz, 2H), 1.08 (t, J = 7.6 Hz, 3H). 13C-NMR (100 MHz, DMSO-d6): δ 170.67, 150.77, 148.54, 146.64, 139.63, 124.93, 124.58, 112.19, 27.78, 9.64. HR-MS (ESI) calcd for C12H11N3O4S: [M − H]−: 292.0397, found 292.0398.
N-(4-hydroxy-2-(4-methoxyphenyl)-1,3-thiazol-5-yl)benzamide (4ca) and N-[2-(4-methoxylphenyl)-4-oxo-4,5-dihydro-1,3-thiazol-5-yl]benzamide (10ca): From ethyl 2-benzamido-2-chloroacetate 8a and 4-methoxybenzothioamide. The product existed in solution as a mixture of tautomers 4ca and 10ca. Yield 94% as an amorphous bright yellow solid. FTIR (neat, cm−1): 3360 (broad), 3235, 1650, 1638, 1527, 1211. 1H-NMR (400 MHz, DMSO-d6): Enol tautomer 4ca: δ 10.86 (s, 1H), 8.09–8.03 (m, 2H), 7.80–7.74 (m, 2H), 7.62–7.56 (m, 1H), 7.55–7.47 (m, 2H), 7.06–6.99 (m, 2H), 3.80 (s, 3H). Keto tautomer 10ca: δ 9.84 (d, J = 7.41, 1H), 7.93–7.85 (m, 2H), 7.63–7.45 (m, 4H), 7.21–7.15 (m, 2H), 6.24 (d, J = 7.40; 1H), 3.90 (s, 3H). 13C-NMR (100 MHz, DMSO-d6): δ 192.84, 188.98, 166.47, 165.58, 164.45, 160.79, 155.31, 151.97, 133.30, 132.87, 132.68, 132.38, 131.20, 129.06, 128.87, 128.37, 127.94, 126.81, 126.75, 124.96, 115.36, 115.03, 107.24, 63.22, 56.36, 55.80. HR-MS (ESI) calcd for C17H14N2O3S: [M + H]+: 327.0797, found 327.0796.
N-[4-hydroxy-2-(4-methoxyphenyl)-1,3-thiazol-5-yl)-1,3-benzodioxole-5-carboxamide (4cb): From ethyl 2-(2-(benzo[1,3]dioxol-5-yl)acetamido)-2-chloroacetate 8b and 4-methoxybenzothioamide. Yield 68% as an amorphous yellow solid. FTIR (neat, cm−1): 3366 (broad), 3255, 1668, 1641, 1546. 1H-NMR (400 MHz, DMSO-d6), Enol tautomer: δ 10.82 (s, 1H), 7.71 (d, J = 5.9 Hz, 2H), 7.10–6.63 (m, 5H), 5.98 (s, 2H), 3.79 (s, 3H), 3.62 (s, 2H). 13C-NMR (100 MHz, CDCl3): δ 167.49, 160.11, 153.32, 149.96, 147.14, 145.97, 129.43, 126.51, 126.03, 122.14, 114.61, 109.53, 108.12, 106.95, 100.84, 55.33, 40.97. HR-MS (ESI) calcd for C19H16N2O5S: [M + H]+: 385.0853, found 385.0851.
Synthesis of N-[2-(4-chlorophenyl)-4-hydroxy-1,3-thiazol-5-yl]benzamide (4da): From ethyl 2-benzamido-2-chloroacetate 8a and 4-chlorobenzothioamide. Yield 78% as an amorphous yellow solid. FTIR (neat, cm−1): 3392 (broad), 3255, 1675, 1633, 1534. 1H-NMR (400 MHz, DMSO-d6), Enol tautomer: δ 10.94 (s, 1H), 8.08–8.03 (m, 2H), 7.87–7.81 (m, 2H), 7.63–7.57 (m, 1H), 7.56–7.49 (m, 4H). 13C-NMR (100 MHz, DMSO-d6): δ 164.47, 153.28, 152.22, 134.14, 133.15, 132.95, 132.48, 129.67, 128.90, 128.43, 126.78, 109.15. HR-MS (ESI) calcd for C16H11ClN2O2S: [M − H]−: 329.0156, found 329.0158.
N-[2-(4-chlorophenyl)-4-hydroxy-1,3-thiazol-5-yl]-1,3-benzodioxole-5-carboxamide (4db): From ethyl 2-(2-(benzo[1,3]dioxol-5-yl)acetamido)-2-chloroacetate 8b and 4-chlorobenzothioamide. Yield 95% as an amorphous yellow solid. FTIR (neat, cm−1): 3355 (broad), 3267, 1663, 1638, 1534. 1H-NMR (400 MHz, DMSO-d6), Enol tautomer: δ 10.80 (s, 2H), 7.76 (d, J = 8.6 Hz, 2H), 7.47 (d, J = 8.5 Hz, 2H), 6.91–6.80 (m, 2H), 6.76 (m, 1H), 5.96 (s, 2H), 3.63 (s, 2H). 13C-NMR (100 MHz, DMSO-d6): δ 167.68, 151.28, 150.30, 147.11, 145.95, 133.36, 132.57, 129.16, 126.08, 122.11, 109.48, 108.92, 108.07, 100.78, 40.80. HR-MS (ESI) calcd for C18H13ClN2O4S: [M − H]−: 387.0212, found 387.0214.
N-[2-(4-chlorophenyl)-4-hydroxy-1,3-thiazol-5-yl]propanamide (4dc): From ethyl 2-chloro-2-propanamidoacetate 8c and 4-chlorobenzothioamide. The product existed as a mixture of two tautomers. Yield: 90% as an amorphous orange compound. FTIR (neat, cm−1): 3450 (broad), 3285, 1650, 1635, 1525. 1H-NMR (400 MHz, DMSO-d6), Enol tautomer: δ 10.52 (s, 1H), 7.77 (d, J = 8.7 Hz, 2H), 7.48 (d, J = 8.7 Hz, 2H), 2.38 (q, J = 7.6 Hz, 2H), 1.05 (t, J = 7.6 Hz, 3H). 13C-NMR (100 MHz, DMSO-d6): δ 171.17, 151.63, 150.70, 133.95, 133.33, 129.86, 126.74, 109.76, 28.46, 10.41. HR-MS (ESI) calcd for C12H11ClN2O2S: [M − H]−: 281.0157, found 281.0158.
3.5. General Procedure for the Synthesis of 5-Amido-2-Amino Thiazoles 5 and Their Keto Tautomers (12)
A thiourea (1 mmol) was added to a solution of a chloroglycinate 8 (1.0 mmol) in dry THF (2 mL) under nitrogen and the reaction was stirred at room temperature for 2 h, whereupon a precipitate appeared. The solvent was removed under reduced pressure and the residue was resuspended in Et2O. The suspension was stirred for 1 h, then the solid thiazole was collected by filtration. This material was of excellent quality and required no further purification unless otherwise specified. The following thiazoles were thus obtained:
N-(2-amino-4-oxo-1,3-thiazol-5-yl)benzamide (12aa): From ethyl 2-benzamido-2-chloroacetate 8a and thiourea. Yield: 65% as an amorphous yellow solid. FTIR (neat, cm−1): 3351 (broad), 2869, 2521, 1776, 1667, 1619, 1563, 1484. 1H-NMR (400 MHz, DMSO-d6), Keto tautomer: δ 9.58 (d, J = 8.11 Hz, 1H), 9.17 (bss, 1H), 8.93 (bs, 1H), 7.92–7.85 (m, 2H,), 7.60–7.53 (m, 1H,), 7.53–7.46 (m, 2H), 6.08 (d, J = 8.09 Hz, 1H). 13C-NMR (100 MHz, DMSO-d6): δ 185,81, 181.13, 166,94, 133.34, 132.42, 128.92, 127.95, 64.19. 13C-DEPT-135-NMR (100 MHz, DMSO-d6): δ 132.42, 128.93, 127.95, 64.19 (CH). HR-MS (ESI) calcd for C10H9N3O2S: [M + H]+: 236.0488, found 236.0489.
N-[2-(4-nitroanilino)-4-oxo-4,5-dihydro-1,3-thiazol-5-yl]benzamide (12ab): From ethyl 2-benzamido-2-hydroxyacetate 8a and 4-nitrobenzothiourea. Yield 96%, as an amorphous yellow solid. FTIR (neat, cm−1): 3370 (broad), 2854, 2508, 1783, 1672, 1621, 1532, 1492. 1H-NMR (400 MHz, DMSO-d6), Keto tautomer: δ12.22 (s, 1H), 9.72 (s, 1H), 8.24–8.22 (m, 2H), 7.87–7.85 (m, 2H), 7.58–7.48 (m, 3H), 7.14 (s, 1H), 6.17 (d, J = 7.7 Hz, 1H).13C-NMR (100 MHz, DMSO-d6): δ 166.77, 132.95, 132.70, 129.05, 128.81, 127.94, 125.66, 122.40. HR-MS (ESI) calcd for C16H12N4O4S: [M − H]−: 355.0506, found 355.0502.
N-[2-(4-Methoxyanilino)-4-oxo-4,5-dihydro-1,3-thiazol-5-yl]benzamide (12ac): From ethyl 2-benzamido-2-hydroxyacetate 8a and 4-methoxythiourea. Yield 97% as a yellow waxy solid. FTIR (neat, cm−1): 3345 (broad), 2965, 2510, 1770, 1665, 1615, 1523. 1H-NMR (400 MHz, DMSO-d6) Keto tautomer: δ 11.78 (bs, 1H), 9.62 (d, J = 7.9 Hz, 1H), 7.90–7.78 (m, 2H), 7.66–7.47 (m, 4H), 7.02–6.89 (m, 3H), 6.15 (d, J = 8.0 Hz, 1H), 3.77 (s, 3H). 13C-NMR (100 MHz, DMSO-d6): δ 186.18, 175.72, 166.99, 156.92, 133.09, 132.70, 132.01, 129.05, 127.74, 122.59, 114.62, 62.81, 55.76. HR-MS (ESI) calcd for C17H15N3O3S: [M − H]−: 340.0761, found 340.0760.
N-[2-(4-acetylanilino)-4-oxo-4,5-dihydro-1,3-thiazol-5-yl]benzamide (12ad): From ethyl 2-benzamido-2-hydroxyacetate 8a and 1-(4-acetylphenyl)thiourea. Yield 77% as a yellow waxy solid. FTIR (neat, cm−1): 3358 (broad), 2948, 2505, 1776, 1670, 1622, 1578, 1511.1H-NMR (400 MHz, DMSO-d6) Keto tautomer: δ 9.74 (s, 1H), 7.99–7.47 (m, 9H), 7.05 (s, 1H), 6.13 (d, J = 7.7 Hz, 1H), 2.54 (s, 3H).13C-NMR (100 MHz, DMSO-d6): δ 196.66, 166.29, 142.68, 132.90, 132.16, 130.30, 129.76, 128.53, 127.48, 121.21, 119.91, 26.56. M.W.: 353.4, ESI-MS: [M − H]− m/z = 352.0. HR-MS (ESI) calcd for C18H15N3O3S: [M − H]−: 352.0761, found 352.0759.
N-(2-acetamido-4-oxo-4,5-dihydro-1,3-thiazol-5-yl)benzamid (12ae): From ethyl 2-benzamido-2-chloroacetate and N-carbamothioylacetamide. Yield 62% as an amorpohous off-white solid. FTIR (neat, cm−1):3363 (broad), 2896, 2501, 1768, 1654, 1637, 1581. 1H-NMR (400 MHz, DMSO-d6), Keto tautomer: δ 9.57 (d, J = 7.5 Hz, NH), 7.90–7.85 (m, 2H), 7.62–7.55 (m, 1H), 7.54–7.45 (m, 2H), 5.81 (d, J = 7.5 Hz, 1H), 2.20 (s, 3H). 13C-NMR (100 MHz, DMSO-d6):δ185.70, 180.00, 173.40, 166.59, 133.13, 132.53, 129.00, 127.88, 59.90, 24.42.13C-DEPT-135-NMR (100 MHz, DMSO-d6): δ =132.54, 129.01, 127.88, 63.76, 59.91, 24.41. HR-MS (ESI) calcd for C12H11N3O3S: [M + H]+: 278.0594, found 278.0594.
N-[4-hydroxy-2-(4-nitroanilino)-1,3-thiazol-5-yl]-2H-1,3-benzodioxole-5-carboxamide (5bb): From ethyl 2-(2-(benzo[1,3]dioxol-5-yl)acetamido)-2-chloroacetate 8b and 4-nitrothiourea. The product existed as a mixture of two tautomers. Yield: 75% as an amorphous solid. FTIR (neat, cm−1): 3360 (broad), 2867, 2517, 1778, 1679, 1630, 1523, 1501.1H-NMR (400 MHz, DMSO-d6), Enol tautomer: δ 9.31 (d, J = 7.5 Hz, 1H), 8.11 (dd, J = 9.2 Hz, 3H), 6.86 (bs, 1H), 6.84–6.69 (m, 3H), 5.99 (s, 2H), 3.43 (s, 2H).13C-NMR (100 MHz, DMSO-d6): δ 177.89, 171.62, 147.78, 146.62, 144.23, 143.07, 129.47, 125.85, 125.15, 122.82, 121.47, 113.04, 110.10, 108.78, 101.49, 41.83. HR-MS (ESI) calcd for C18H14N4O6S: [M − H]−: 413.0561, found 413.0562.
N-[2-(4-Acetylanilino)-4-hydroxy-1,3-thiazol-5-yl]-2H-1,3-benzodioxole-5-carboxamide (5bd). From ethyl 2-(2-(benzo[1,3]dioxol-5-yl)acetamido)-2-chloroacetate 8b and 4-acetophenylthiourea. The product existed as a mixture of two tautomers. Yield: 76% as an amorphous yellow solid. FTIR (neat, cm−1): 3371 (broad), 2985, 2507, 1768, 1668, 1617, 1574, 1486. 1H-NMR (400 MHz, DMSO-d6) Enol tautomer: δ 9.26 (d, J = 7.5 Hz, 1H), 7.94 (m, 3H), 7.03–6.79 (m, 4H), 5.98 (s, 2H), 3.41 (s, 2H), 2.55 (s, 3H). 13C-NMR (100 MHz, DMSO-d6): δ 196.72, 170.90, 147.13, 145.96, 142.42, 132.96, 129.78, 129.08, 122.15, 121.19, 119.97, 109.44, 108.10, 100.83, 41.20, 26.60. HR-MS (ESI) calcd for C20H17N3O5S: [M − H]−: 410.0816, found 410.0815.
N-[2-(4-nitroanilino)-4-oxo-4,5-dihydro-1,3-thiazol-5-yl]propanamide (12cb). From ethyl 2-chloro-2-propanamidoacetate 8c and 4-nitrothiourea. Yield 81% as an amorphous yellow solid. FTIR (neat, cm−1): 3367 (broad), 2875, 2512, 1783, 1665, 1618, 1561, 1497. 1H-NMR (400 MHz, DMSO-d6), Keto tautomer: δ 9.10 (bs, 1H), 8.41–7.60 (m, 4H), 7.13 (bs, 1H), 5.95 (d, J = 7.6 Hz, 1H), 2.16 (q, J = 7.3 Hz, 2H), 0.98 (t, J = 7.5 Hz, 3H).13C-NMR (100 MHz, DMSO-d6): δ 173.57, 173.46, 173.08, 171.14, 143.56, 125.17, 122.09, 58.72, 27.93, 9.20. HR-MS (ESI) calcd for C12H12N4O4S: [M − H]−: 307.0506, found 307.0503.
N-[2-(4-acetylanilino)-4-oxo-4,5-dihydro-1,3-thiazol-5-yl]propanamide (12cd). From ethyl 2-chloro-2-propanamidoacetate 8c and 1-(4-acetylphenyl)thiourea. Yield 80% as an amorphous yellow solid. FTIR (neat, cm−1): 3355 (broad), 2976, 2512, 1764, 1669, 1624, 1595, 1506.1H-NMR (400 MHz, DMSO-d6), Keto tautomer: δ 12.04 (s, 1H), 11.48 (s, 1H), 9.03 (d, J = 8.2 Hz, 1H), 8.18–7.67 (m, 2H), 7.00 (s, 1H), 5.94 (d, J = 7.6 Hz, 1H), 2.54 (s, 3H), 2.15 (q, J = 15.1, 7.5 Hz, 2H), 0.97 (t, J = 7.6 Hz, 3H). 13C-NMR (100 MHz, DMSO-d6):δ 197.4, 174.2, 174.0, 133.6, 130.4, 121.8, 120.6, 28.6, 27.2, 10.0. HR-MS (ESI) calcd for C14H15N3O3S: [M − H]−: 304.0761, found 304.0760.
N-(1-Chloro-2-oxo-2-phenylethyl)propenamide (16). Thionyl chloride (10 eq) was added dropwise to a suspension N-(1-hydroxy-2-oxo-2-phenylethyl)propionamide (1 mmol) in dry DCM (1 mL) under nitrogen. The mixture was stirred at 40 °C and the progress of the reaction was monitored by 1H-NMR. Upon complete conversion (ca. 3h), excess thionyl chloride was removed under high vacuum to leave a yellowish solid residue of crude 15, which was used without further purification. Yield: 99%. 1H-NMR (400 MHz, CDCl3): δ 8.10–8.06 (m, 2H), 7.69–7.63 (m, 1H), 7.56–7.50 (m, 2H), 7.18 (d, J = 9.2 Hz, 1H), 2.39 (q, J = 7.6 Hz, 2H), 1.22 (td, J = 7.6, 3.6 Hz, 3H). 13C-NMR (100 MHz, CDCl3): δ 194.67, 174.39, 134.39, 133.07, 129.51, 128.83, 72.32, 29.65, 9.40.
3.6. General Procedure for the Synthesis of 5-Amido-4-Phenyl Thiazoles (18)
A thioamide (1 mmol) was added to a solution of N-(1-chloro-2-oxo-2-phenylethyl)propionamide (16) (1.0 mmol) in dry THF (2 mL) under nitrogen, and the mixture was stirred at room temperature overnight. Upon complete conversion (no more 16 visible by TLC; eluent: DCM/MeOH 95/5) the solvent was removed undero reduced pressure. The residue was re-suspended in Et2O and stirred for several hours. The solid 5-amido-4-phenylthiazole was collected by filtration. The following thiazoles were thus obtained:
N-(2,4-diphenyl-1,3-thiazol-5-yl)propanamide (18a): From N-(1-chloro-2-oxo-2-phenylethyl)propenamide (16) and benzothioamide. Yield: 90% as an amorphous yellow solid. FTIR (neat, cm−1): 3226, 1650, 1595, 1536. 1H-NMR (400 MHz, DMSO-d6): δ 10.65 (s, 1H), 7.96–7.91 (m, 2H), 7.81 (d, J = 7.3 Hz, 2H), 7.50 (dt, J = 6.3, 5.4 Hz, 5H), 7.40 (s, 1H), 2.48–2.43 (m, 2H), 1.11 (t, J = 7.5 Hz, 3H). 13C-NMR (100 MHz, DMSO-d6): δ 172.37, 158.76, 141.32, 134.07, 133.43, 129.77, 129.22, 128.64, 128.14, 127.76, 125.60, 28.25, 9.54. HR-MS (ESI) calcd for C18H16N2OS: [M − H]−: 307.0911, found 307.0911.
Synthesis of N-[2-(4-nitrophenyl)-4-phenyl-1,3-thiazol-5-yl]propanamide (18b): From N-(1-chloro-2-oxo-2-phenylethyl)propanamide (16) and 4-nitrobenzothioamide. Yield: 87% as an amorphous brown solid. FTIR (neat, cm−1): 3231, 1648, 1599, 1541. 1H-NMR (400 MHz, DMSO-d6): δ 10.89 (s, 1H), 8.34–8.28 (m, 2H), 8.20–8.14 (m, 2H), 7.82–7.76 (m, 2H), 7.56–7.49 (m, 2H), 7.45–7.40 (m, 1H), 2.52–2.50 (m, 2H), 1.11 (t, J = 7.5 Hz, 3H). 13C-NMR (100 MHz, DMSO-d6): δ 172.41, 155.30, 147.47, 141.54, 139.17, 133.73, 132.29, 128.70, 128.29, 128.01, 126.34, 124.54, 28.21, 9.44. HR-MS (ESI) calcd for C18H15N3O3S: [M − H]−: 352.0761, found 352.0757.
Supplementary Materials
The following are available online at https://www.mdpi.com/1420-3049/24/21/3846/s1, Figures S1–S8: The NMR spectra of α-hydroxyglycinates 7(a–d), Figures S9–S16: The NMR spectra of α-chloroglycinates 8(a–d), Figures S17–S40: The NMR spectra of 5-amido-4-hydroxy thiazoles 4 and their keto tautomers 10, Figures S41–S60: The NMR spectra of 5-amido-2-amino thiazoles 5 and their keto tautomers 12, Figures S61–S66: The NMR spectra of 5-amido-4-phenyl thiazoles 16–18.
Author Contributions
The manuscript was written through contributions of all authors. All authors contributed equally, and all authors have given approval to the final version of the manuscript.
Acknowledgments
This work was carried out under the framework of the University Research Project ‘Chemical swiss tools to treat tumors, metastases and infections (FAR2014-2015)’ and ‘FAR2018: Fondo di Ateneo per la Ricerca’ supported by the University of Camerino. The portion of this work carried out at the University of British Columbia was supported through an NSERC grant to M.A.C.
Conflicts of Interest
The authors declare no competing financial interest.
References
- Taylor, A.P.; Robinson, R.P.; Fobian, Y.M.; Blakemore, D.C.; Jones, L.H.; Fadeyi, O. Modern advances in heterocyclic chemistry in drug discovery. Org. Biomol. Chem. 2016, 14, 6611–6637. [Google Scholar] [CrossRef] [PubMed]
- Li, J.J. Heterocyclic Chemistry in Drug Discovery; John Wiley and Sons: Hoboken, NJ, USA, 2013. [Google Scholar]
- Pola, S. Significance of Thiazole-Based Hetrocycles for Bioactive Systems, Scope of Selective Hetrocycles from Organic and Pharmaceutical Perspective; Varala, R., Ed.; InTech: Rijeka, Croatia, 2016. [Google Scholar]
- De Caro, C.; Russo, R.; Avagliano, C.; Cristiano, C.; Calignano, A.; Aramini, A.; Bianchini, G.; Allegretti, M.; Brandolini, L. Antinociceptive effect of two novel transient receptor potential melastatin 8 antagonists in acute and chronic pain models in rat. Brit. J. Pharmac. 2018, 175, 1691–1706. [Google Scholar] [CrossRef] [PubMed]
- Moriconi, A.; Bianchini, G.; Cologioia, S.; Brandolini, L.; Aramini, A.; Liberati, C.; Bovolenta, S. TRPM8 Antagonists. Patent WO092711, June 2013. [Google Scholar]
- Feng, M.; Tang, B.; Liang, S.H.; Jiang, X. Sulfur containing scaffolds in drugs: Synthesis and application in medicinal chemistry. Curr. Top. Med. Chem. 2016, 16, 1200–1216. [Google Scholar] [CrossRef] [PubMed]
- Colella, M.; Musci, P.; Carlucci, C.; Lillini, S.; Tomassetti, M.; Aramini, A.; Degennaro, L.; Luisi, R. 1, 3-Dibromo-1,1-difluoro-2-propanone as a Useful Synthon for a Chemoselective Preparation of 4-Bromodifluoromethyl Thiazoles. ACS Omega 2018, 3, 14841–14848. [Google Scholar] [CrossRef]
- Radhakrishnan, R.; Sreejalekshni, K.G.J. Computational Design, Synthesis, and Structure Property Evaluation of 1, 3-Thiazole-Based Color-Tunable Multi-heterocyclic Small Organic Fluorophores as Multifunctional Molecular Materials. Org. Chem. 2018, 83, 3453–3466. [Google Scholar] [CrossRef]
- Patil, R.V.; Chavan, J.U.; Beldar, A.G. Synthesis of aminothiazoles: Polymer-supported approaches. RSC Adv. 2017, 7, 23765–23778. [Google Scholar] [CrossRef]
- Das, D.; Sidkar, P.; Bairagi, M. Recent developments of 2-aminothiazoles in medicinal chemistry. Eur. J. Med. Chem. 2016, 109, 89–98. [Google Scholar] [CrossRef]
- Yurttas, L.; Ciftci, G.A.; Temel, H.E.; Saglik, B.N.; Demir, B.; Levent, S. Biological Activity Evaluation of Novel 1, 2, 4-Triazine Derivatives Containing Thiazole/Benzothiazole Rings. Anticancer Agents Med. Chem. 2017, 17, 1846–1853. [Google Scholar] [CrossRef]
- Budak, Y.; Kocyigit, U.M.; Gürdere, M.B.; Özcan, K.; Taslimi, P.; Gülçin, I.; Ceylan, M. Synthesis and investigation of antibacterial activities and carbonic anhydrase and acetyl cholinesterase inhibition profiles of novel 4, 5-dihydropyrazol and pyrazolyl-thiazole derivatives containing methanoisoindol-1,3-dion unit. Synth. Commun. 2017, 47, 2313–2323. [Google Scholar] [CrossRef]
- Li, L.; Zhang, C.L.; Song, H.R.; Tan, C.Y.; Ding, H.W.; Jiang, Y.Y. Discovery of novel dual inhibitors of VEGFR and PI3K kinases containing 2-ureidothiazole scaffold. Chin. Chem. Lett. 2016, 27, 1–6. [Google Scholar] [CrossRef]
- Gaikwad, N.D.; Patil, S.V.; Bobade, V.D. Synthesis and biological evaluation of some novel thiazole substituted benzotriazole derivatives. Bioorg. Med. Chem. Lett. 2012, 22, 3449–3459. [Google Scholar] [CrossRef] [PubMed]
- Gallardo-Godoy, A.; Gever, J.; Fife, K.L.; Silber, B.M.; Prusiner, S.B.; Renslo, A.R.J. 2-Aminothiazoles as therapeutic leads for prion diseases. Med. Chem. 2011, 54, 1010–1021. [Google Scholar] [CrossRef] [PubMed]
- Pirotte, B.; Delarge, J.; Coyette, J.; Frere, J.M. Antibacterial activity of 5-acylaminothiazole derivatives, synthetic drugs related to beta-lactam antibiotics. J. Antib. 1991, 44, 844–853. [Google Scholar] [CrossRef] [PubMed][Green Version]
- Qin, J.; Ji, J.; Deng, R.; Tang, J.; Yang, F.; Feng, G.K.; Chen, W.D.; Wu, X.Q.; Qian, X.J.; Ding, K.; et al. DC120, a novel AKT inhibitor, preferentially suppresses nasopharyngeal carcinoma cancer stem-like cells by downregulating Sox2. Oncotarget 2015, 6, 6944–6958. [Google Scholar] [CrossRef][Green Version]
- Chang, S.; Zhang, Z.; Zhuang, X.; Luo, J.; Cao, X.; Li, H.; Tu, Z.; Lu, X.; Ren, X.; Ding, K. New thiazole carboxamides as potent inhibitors of Akt kinases. Bioorg. Med. Chem. Lett. 2012, 22, 1208–1212. [Google Scholar] [CrossRef]
- Abdelazeem, A.H.; Habash, M.; Maghrabi, I.A.; Taha, M.O. Synthesis and evaluation of novel diphenylthiazole derivatives as potential anti-inflammatory agents. Med. Chem. Res. 2015, 24, 3681–3695. [Google Scholar] [CrossRef]
- Shivaprasad, C.M.; Jagadish, S.; Swaroop, T.R.; Ashwini, N.; Harsha, K.B.; Rangappa, K.S. Synthesis, antibacterial, antioxidant and anti-inflammatory activities of new benzimidazole derivatives. Asian J. Biochem. Pharmac. Res. 2014, 4, 316–327. [Google Scholar]
- Giles, K.; Berry, D.B.; Condello, C.; Hawley, R.C.; Gallardo-Godoy, A.; Bryant, C.; Oehler, A.; Elepano, M.; Bhardway, S.; Patel, S.; et al. Different 2-aminothiazole therapeutics produce distinct patterns of scrapie prion neuropathology in mouse brains. Pharmacol. Exp. Ther. 2015, 355, 2–12. [Google Scholar] [CrossRef]
- Larsen, S.D.; Stachew, C.F.; Clare, P.M.; Cubbage, J.W.; Leach, K.L. A catch-and-release strategy for the combinatorial synthesis of 4-acylamino-1,3-thiazoles as potential CDK5 inhibitors. Bioorg. Med. Chem. Lett. 2003, 13, 3491–3495. [Google Scholar] [CrossRef]
- Shih, A.; Nazi, I.; Kelton, J.G.; Arnold, D.M. Novel treatments for immune thrombocytopenia. Press Med. 2014, 43, e87–e95. [Google Scholar] [CrossRef]
- Mistretta, F.A.; Russo, A.; Castiglione, F.; Battiga, A.; Calciago, G.; Montorsi, F.; Brandolini, L.; Bianchini, G.; Aramini, A.; Allegretti, M.; et al. DFL23448, A Novel Transient Receptor Potential Melastin 8–Selective Ion Channel Antagonist, Modifies Bladder Function and Reduces Bladder Overactivity in Awake Rats. Pharmacol. Exp. Ther. 2016, 356, 200–211. [Google Scholar] [CrossRef] [PubMed]
- Baranak-Stojanovic, M.; Klaumunzer, U.; Markovic, R.; Kleinpeter, E. Structure, configuration, conformation and quantification of the push–pull effect of 2-alkylidene-4-thiazolidinones and 2-alkylidene-4, 5-fused bicyclic thiazolidine derivatives. Tetrahedron 2010, 66, 8958–8967. [Google Scholar] [CrossRef]
- Baranac-Stojanovic, M.; Tatar, J.; Kleinpeter, E.; Markovic, R. High-yield synthesis of substituted and unsubstituted pyridinium salts containing a 4-oxothiazolidine moiety. Synthesis 2008, 13, 2117–2121. [Google Scholar] [CrossRef]
- Stadelmann, B.; Scholl, S.; Muller, J.; Hemphill, A.J. Application of an in vitro drug screening assay based on the release of phosphoglucose isomerase to determine the structure–activity relationship of thiazolides against Echinococcus multilocularis metacestodes. Antimicrob. Chemother. 2010, 65, 512–519. [Google Scholar] [CrossRef]
- Esposito, M.; Muller, N.; Hemphill, A. Structure–activity relationships from in vitro efficacies of the thiazolide series against the intracellular apicomplexan protozoan Neospora caninum. Int. J. Parasitol. 2007, 37, 183–190. [Google Scholar] [CrossRef]
- Cimarelli, C.; Bordi, S.; Piermattei, P.; Pellei, M.; Del Bello, F.; Marcantoni, E. An efficient Lewis acid catalyzed Povarov reaction for the one-pot stereocontrolled synthesis of polyfunctionalized tetrahydroquinolines. Synthesis 2017, 49, 5387–5395. [Google Scholar] [CrossRef]
- Cimarelli, C.; Di Nicola, M.; Diomedi, S.; Giovannini, R.; Hamprecht, D.; Properzi, R.; Sorana, F.; Marcantoni, E. An efficient one-pot two catalyst system in the construction of 2-substituted benzimidazoles: Synthesis of benzimidazo [1,2-c] quinazolines. Org. Biomol. Chem. 2015, 13, 11687–11695. [Google Scholar] [CrossRef]
- Properzi, R.; Marcantoni, E. Construction of heterocyclic structures by trivalent cerium salts promoted bond forming reactions. Chem. Soc. Rev. 2014, 43, 779–791. [Google Scholar] [CrossRef]
- Rehm, F.B.H.; Jackson, M.A.; De Geyter, E.; Yap, K.; Gilding, E.K.; Durek, T.; Craik, D.J. Papain-like cysteine proteases prepare plant cyclic peptide precursors for cyclization. PNAS 2019, 116, 7831–7836. [Google Scholar] [CrossRef]
- Ambhaikar, N.B. Thiazoles and Benzothiazoles. In Heterocyclic Chemistry in Drug Discovery; Li, J.K., Ed.; Wiley: Hoboken, NJ, USA, 2013; pp. 283–322. [Google Scholar]
- Metzger, J.V. Thiazoles and their Benzo Derivatives. In Comprehensive Heterocyclic Chemistry; Katritzky, A.R., Rees, C.W., Eds.; Pergamon Press: Oxford, UK, 1984; Volume 6, pp. 235–331. [Google Scholar]
- Rajer, V.N.; Swaroop, T.R.; Anil, S.M.; Bommegowda, Y.K.; Rangappa, K.S.; Sadashiva, M.P. Base-Induced Cyclization of Active Methylene Isocyanides with Xanthate Esters: An Efficient Method for the Synthesis of 5-Alkoxy-4-(tosyl/ethoxycarbonyl)-1,3-thiazoles. Synlett 2017, 28, 2281–2284. [Google Scholar]
- Hantzsch, A.; Weber, J.H. Ueber verbindungen des thiazols (pyridins der thiophenreihe). Ber. Dtsch. Chem. Ges. 1887, 20, 3118. [Google Scholar] [CrossRef]
- Merritt, E.A.; Bagley, M.C. Holzapfel-Meyers-Nicolaou Modification of the Hantzsch Thiazole Synthesis. Synthesis 2007, 22, 3535–3541. [Google Scholar]
- Facchinetti, V.; Avellar, M.N.; Nery, A.C.S.; Gomes, C.R.B.; Vasconcelos, T.R.A.; de Souza, M.V.N. An Eco-friendly, Hantzsch-Based, Solvent-Free Approach to 2-Aminothiazoles and 2-Aminoselenazoles. Synthesis 2016, 48, 437–440. [Google Scholar]
- Ben-Ishai, D.; Sataty, I.; Bernstein, Z. A new synthesis of n-acyl aromatic α-amino acids—Amidoalkylation of aromatic and heterocyclic compounds with glyoxylic acid derivatives. Tetrahedron 1976, 32, 1571–1573. [Google Scholar] [CrossRef]
- Zoller, U.; Ben-Ishai, D. Amidoalkylation of mercaptans with glyoxylic acid derivatives. Tetrahedron 1975, 31, 863–866. [Google Scholar] [CrossRef]
- Bernstein, Z.; Ben-Ishai, D. Synthesis of N-substituted aziridine-2-carboxylates. Tetrahedron 1977, 33, 881–883. [Google Scholar] [CrossRef]
- Samantha, S.S.; Roche, S.P.J. In Situ-Generated Glycinyl Chloroaminals for a One-Pot Synthesis of Non-proteinogenic α-Amino Esters. Org. Chem. 2017, 82, 8514–8526. [Google Scholar] [CrossRef]
- Zhang, J.; Coqueron, P.Y.; Ciufolini, M.A. Development and applications of an oxazole-forming reaction. Heterocycles 2011, 82, 949–980. [Google Scholar]
- Zhang, J.; Ciufolini, M.A. An approach to the bis-oxazole macrocycle of diazonamides. Org. Lett. 2011, 13, 390–393. [Google Scholar] [CrossRef]
- Zhang, J.; Coqueron, P.Y.; Vors, J.P.; Ciufolini, M.A. Synthesis of 5-Amino-Oxazole-4-Carboxylates from α-Chloroglycinates. Org. Lett. 2010, 12, 3942–3945. [Google Scholar] [CrossRef]
- Zhang, J.; Polishchuk, E.A.; Chen, J.; Ciufolini, M.A.J. Development of an oxazole conjunctive reagent and application to the total synthesis of siphonazoles. Org. Chem. 2009, 74, 9140–9151. [Google Scholar] [CrossRef] [PubMed]
- Coqueron, P.Y.; Didier, C.; Ciufolini, M.A. Iterative Oxazole Assembly via α-Chloroglycinates: Total Synthesis of (−)-Muscoride A. Angew. Chem. Int. Ed. 2003, 42, 1411–1414. [Google Scholar] [CrossRef] [PubMed]
- Raczynska, E.D.; Kosinska, W.; Osmialowski, B.; Gawinecki, R. Tautomeric equilibria in relation to pi-electron delocalization. Chem. Rev. 2005, 105, 3561–3621. [Google Scholar]
- Di Deo, M.; Bartoli, G.; Bellucci, M.C.; Bosco, M.; Marcantoni, E.; Sambri, L.; Torregiani, E.J. A Simple, Efficient, and General Method for the Conversion of Alcohols into Alkyl Iodides by a CeCl3 × 7H2O/NaI System in Acetonitrile. Org. Chem. 2000, 65, 2830–2833. [Google Scholar] [CrossRef] [PubMed]
- Lin, Y.; Andersen, K.K. On the Tautomerism of 2,4-Disubstituted Thiazolones. Eur. J. Org. Chem. 2002, 3, 557–563. [Google Scholar] [CrossRef]
- Billi, K.; Cosimelli, B.; Leoni, A.; Spinelli, D.J. Ring-ring interconversions. Part 3†. On the effect of the substituents on the thiazole moiety in the ring-opening/ring-closing reactions of nitrosoimidazo[2,1-b][1,3]thiazoles with hydrochloric acid. J. Heterocycl. Chem. 2000, 37, 875–878. [Google Scholar] [CrossRef]
- Pil’o, S.G.; Brovarets, V.S.; Vinogradova, T.K.; Golovchenko, A.V.; Drach, B.S. Synthesis of new 5-mercapto-1,3-oxazole derivatives on the basis of 2-acylamino-3,3-dichloroacrylonitriles and their analogs. Russ. J. Gen. Chem. 2002, 72, 1714–1723. [Google Scholar] [CrossRef]
- Ishida, T.; Hirata, F.; Sato, H.; Kato, S.J. Molecular Theory of Solvent Effect on Keto−Enol Tautomers of Formamide in Aprotic Solvents: RISM-SCF Approach. Phys. Chem. B 1998, 102, 2045–2050. [Google Scholar] [CrossRef]
- Dudding, T.; Hafez, A.M.; Taggi, A.E.; Wagerle, T.R.; Lectka, T. A catalyst that plays multiple roles: Asymmetric synthesis of β-substituted aspartic acid derivatives through a four-stage, one-pot procedure. Org. Lett. 2002, 4, 387–390. [Google Scholar] [CrossRef]
- Eberlin, M.N. Electrospray ionization mass spectrometry: A major tool to investigate reaction mechanisms in both solution and the gas phase. Eur. J. Mass Spectrom. 2007, 13, 19–28. [Google Scholar] [CrossRef]
- Silva Santos, L.; Knaack, L.; Metzger, J.O. Investigation of chemical reactions in solution using API-MS. Int. J. Mass Spectrom. 2005, 246, 84–104. [Google Scholar] [CrossRef]
- Chau, J.; Zhang, J.; Ciufolini, M.A. A Peterson avenue to 5-alkenyloxazoles. Tetrahedron Lett. 2009, 50, 6163–6165. [Google Scholar] [CrossRef]
Sample Availability: Samples of the compounds are available from the authors, compounds (7a–d) and 7b, 7c, 7d, 4aa, 4ac, 4ad, 4bb, 4bc, 4cb, 12 ab, 12cd. |
© 2019 by the authors. Licensee MDPI, Basel, Switzerland. This article is an open access article distributed under the terms and conditions of the Creative Commons Attribution (CC BY) license (http://creativecommons.org/licenses/by/4.0/).








