UHPLC-MS Metabolome Fingerprinting: The Isolation of Main Compounds and Antioxidant Activity of the Andean Species Tetraglochin ameghinoi (Speg.) Speg.
Abstract
1. Introduction
2. Results and Discussion
2.1. Total Phenolic and Flavonoids Content
2.2. Antioxidant Activity
2.3. Antibacterial Activity
2.4. UHPLC-OT Analysis of MeOH-E
2.4.1. Sugars
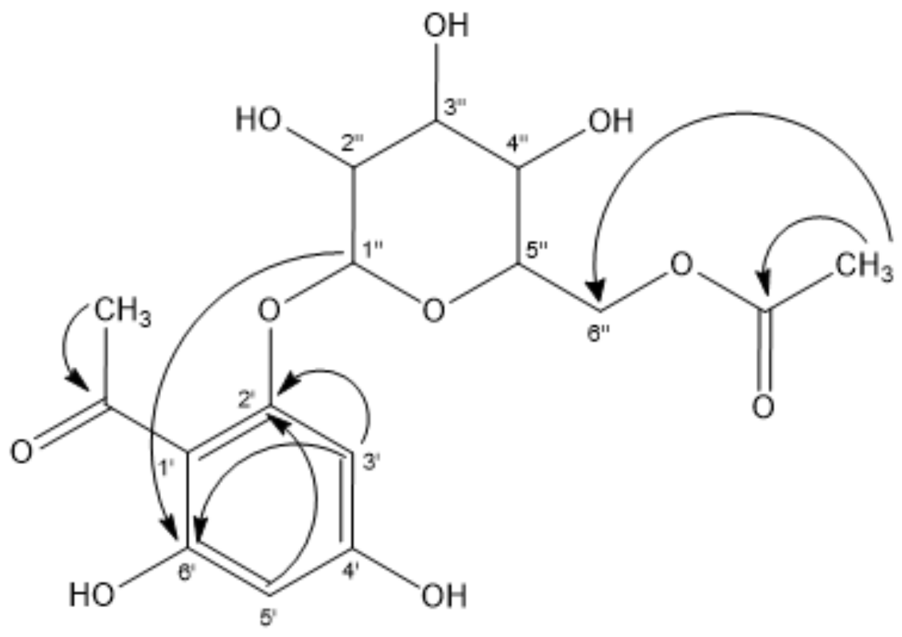
2.4.2. Acetophenones
2.4.3. Phenolic Acids and Derivatives
2.4.4. Flavonols
2.4.5. Triterpenes
3. Materials and Methods
3.1. General Experimental Procedures
3.2. Plant Material
3.3. Extraction and Isolation
3.4. Determination of Total Phenolics (TP) and Flavonoids (F) Content
3.5. Antioxidant Activity
3.5.1. DPPH Scavenging Activity
3.5.2. Ferric-Reducing Antioxidant Power Assay (FRAP)
3.5.3. Trolox Equivalent Antioxidant Activity (TEAC) Assay
3.5.4. Lipid Peroxidation in Human Erythrocytes
3.6. Antibacterial Activity
3.7. Statistical Analysis
4. Conclusions
Supplementary Materials
Acknowledgments
Author Contributions
Conflicts of Interest
References
- The Plant List. Available online: http://www.theplantlist.org/1.1/browse/A/Rosaceae/Tetraglochin/ (accessed on 30 January 2018).
- Acosta, J.M.; Salariato, D.L.; Cialdella, A.M. Molecular Phylogeny and Morphological Analysis of Tetraglochin (Rosaceae: Rosoideae: Sanguisorbeae) and Recognition of the New Species T. andina. Syst. Bot. 2016, 41, 839–850. [Google Scholar] [CrossRef]
- Bustos, D.A.; Tapia, A.A.; Feresin, G.E.; ArizaEspinar, L. Ethnopharmacobotanical survey of Bauchazeta district, San Juan Province, Argentina. Fitoterapia 1996, 67, 411–415. [Google Scholar]
- Simirgiotis, M.J. Antioxidant Capacity and HPLC-DAD-MS Profiling of Chilean Peumo (Cryptocarya alba) Fruits and Comparison with German Peumo (Crataegus monogyna) from Southern Chile. Molecules 2013, 18, 2061–2080. [Google Scholar] [CrossRef] [PubMed]
- Simirgiotis, M.J.; Borquez, J.; Schmeda-Hirschmann, G. Antioxidant capacity, polyphenolic content and tandem HPLC-DAD-ESI/MS profiling of phenolic compounds from the South American berries Luma apiculata and L. chequen. Food Chem. 2013, 139, 289–299. [Google Scholar] [CrossRef] [PubMed]
- Simirgiotis, M.J.; Quispe, C.; Borquez, J.; Mocan, A.; Sepulveda, B. High resolution metabolite fingerprinting of the resin of Baccharis tola Phil. from the Atacama Desert and its antioxidant capacities. Ind. Crops Prod. 2016, 94, 368–375. [Google Scholar] [CrossRef]
- Simirgiotis, M.J.; Quispe, C.; Mocan, A.; Villatoro, J.M.; Areche, C.; Bórquez, J.; Sepúlveda, B.; Echiburu-Chau, C. UHPLC high resolution orbitrap metabolomic fingerprinting of the unique species Ophryosporus triangularis Meyen from the Atacama Desert, Northern Chile. Rev. Bras. Farmacogn. 2017, 27, 179–187. [Google Scholar] [CrossRef]
- Cornejo, A.; Salgado, F.; Caballero, J.; Vargas, R.; Simirgiotis, M.J.; Areche, C. Secondary Metabolites in Ramalina terebrata Detected by UHPLC/ESI/MS/MS and Identification of Parietin as Tau Protein Inhibitor. Int. J. Mol. Sci. 2016, 17, 1303. [Google Scholar] [CrossRef] [PubMed]
- Simirgiotis, M.J.; Quispe, C.; Areche, C.; Sepulveda, B. Phenolic compounds in Chilean Mistletoe (Quintral, Tristerix tetrandus) analyzed by UHPLC–Q/Orbitrap/MS/MS and its antioxidant properties. Molecules 2016, 21, 245–260. [Google Scholar] [CrossRef] [PubMed]
- Xiao, Z.P.; Peng, Z.Y.; Peng, M.J.; Yan, W.B.; Ouyang, Y.Z.; Zhu, H.L. Flavonoids Health Benefits and Their Molecular Mechanism. Mini Rev. Med. Chem. 2011, 11, 169–177. [Google Scholar] [CrossRef] [PubMed]
- Xiao, J. Dietary flavonoid aglycones and their glycosides: Which show better biological significance. Crit. Rev. Food Sci. Nutr. 2017, 57, 1874–1905. [Google Scholar] [CrossRef] [PubMed]
- Zakaryan, H.; Arabyan, E.; Oo, A.; Zandi, K. Flavonoids: Promising natural compounds against viral infections. Arch. Virol. 2017, 162, 2539–2551. [Google Scholar] [CrossRef] [PubMed]
- Heim, K.E.; Tagliaferro, A.R.; Bobilya, D.J. Flavonoids antioxidants: Chemistry, metabolism and structure-activity relationships. J. Nutr. Biochem. 2002, 13, 572–584. [Google Scholar] [CrossRef]
- Mueller, C.F.; Laude, K.; McNally, J.S.; Harrison, D.G. ATVB in focus: Redox mechanisms in blood vessels. Arterioscler. Thromb. Vasc. Biol. 2005, 25, 274–278. [Google Scholar] [CrossRef] [PubMed]
- Ho, E.; Galougahi, K.K.; Liu, C.; Bhindi, R.; Figtree, G.A. Biological markers of oxidative stress: Applications to cardiovascular research and practice. Redox Biol. 2013, 1, 483–491. [Google Scholar] [CrossRef] [PubMed]
- Lü, J.M.; Lin, P.H.; Yao, Q.; Chen, C. Chemical and molecular mechanisms of antioxidants: Experimental approaches and model systems. J. Cell. Mol. Med. 2010, 14, 840–860. [Google Scholar] [CrossRef] [PubMed]
- Ekinci Akdemir, F.N.; Albayrak, M.; Çalik, M.; Bayir, Y.; Gülçin, İ. The Protective Effects ofp-Coumaric Acid on Acute Liver and Kidney Damages Induced by Cisplatin. Biomedicines 2017, 5, 18. [Google Scholar] [CrossRef] [PubMed]
- Tsai, J.C.; Chiu, C.S.; Chen, Y.C.; Lee, M.; Hao, X.Y.; Hsieh, M.T.; Kao, C.P.; Peng, W.H. Hepatoprotective effect of Coreopsis tinctoria flowers against carbon tetrachloride-induced liver damage in mice. Complement. Altern. Med. 2017, 17, 1–9. [Google Scholar] [CrossRef]
- Prior, R.L.; Wu, X.; Schainch, K. Standardized Methods for the Determination of Antioxidant Capacity and Phenolics in Foods and Dietary Supplements. J. Agric. Food Chem. 2005, 53, 4290–4302. [Google Scholar] [CrossRef] [PubMed]
- Barrera, G. Oxidative Stress and Lipid Peroxidation Products in Cancer Progression and Therapy. ISRN Oncol. 2012, 2012, 137289. [Google Scholar] [CrossRef] [PubMed]
- Urquiaga, I.; Leighton, F. Plant polyphenol antioxidant and oxidative stress. Biol. Res. 2000, 33, 55–64. [Google Scholar] [CrossRef] [PubMed]
- Matough, F.A.; Budin, S.B.; Hamid, Z.A.; Alwahaibi, N.; Mohamed, J. The Role of Oxidative Stress and Antioxidants in Diabetic Complications. Sultan Qaboos Univ. Med. J. 2012, 12, 5–18. [Google Scholar] [CrossRef] [PubMed]
- Bhattacharya, P.K. Emergence of antibiotic-resistant bacterial strains, methicillin-resistant Staphylococcus aureus, extended spectrum beta lactamases, and multi-drug resistance is a problem similar to global warming. Rev. Soc. Bras. Med. Trop. 2014, 47, 815–816. [Google Scholar] [CrossRef] [PubMed][Green Version]
- Ríos, J.L.; Recio, M.C. Medicinal plants and antimicrobial activity. J. Ethnopharmacol. 2005, 100, 80–84. [Google Scholar] [CrossRef] [PubMed]
- Ibanez, A.J.; Scharte, J.; Bones, P.; Pirkl, A.; Meldau, S.; Baldwin, I.T.; Hillenkamp, F.; Weis, E.; Dreisewerd, K. Rapid metabolic profiling of Nicotiana tabacum defence responses against Phytophthora nicotianae using direct infrared laser desorption ionization mass spectrometry and principal component analysis. Plant Methods 2010, 6, 2–14. [Google Scholar] [CrossRef] [PubMed]
- Spitaler, R.; Ellmerer, E.P.; Zidorn, C.; Stuppner, H. A new eudesmane derivative from Leontodon tuberosus. Z. Naturforsch. 2004, 59, 95–99. [Google Scholar]
- Suksamrarn, A.; Eiamong, S.; Piyachaturawat, P.; Byrne, L.T. A phloracetophenone glucoside with choleretic activity from Curcuma comosa. Phytochemistry 1997, 45, 103–105. [Google Scholar] [CrossRef]
- Piyachaturawat, P.; Chai-ngam, N.; Chuncharunee, A.; Komaratat, P.; Suksamrarn, A. Choleretic activity of phloracetophenone in rats: Structure-function studies using acetophenone analogues. Eur. J. Pharmacol. 2000, 387, 221–227. [Google Scholar] [CrossRef]
- Piyachaturawat, P.; Srivoraphan, P.; Chuncharunee, A.; Komaratat, P.; Suksamrarn, A. Cholesterol lowering effects of a choleretic phloracetophenone in hypercholesterolemic hamsters. Eur. J. Pharmacol. 2002, 439, 141–147. [Google Scholar] [CrossRef]
- Muller-Maatsch, J.; Bechtold, L.; Schweiggert, R.M.; Carle, R. Co-pigmentation of pelargonidin derivatives in strawberry and red radish model solutions by the addition of phenolic fractions from mango peels. Food Chem. 2016, 213, 625–634. [Google Scholar] [CrossRef] [PubMed]
- Kuba-Miyara, M.; Agarie, K.; Sakima, R.; Imamura, S.; Tsuha, K.; Yasumoto, T.; Gima, S.; Matsuzaki, G.; Ikehara, T. Inhibitory effects of an ellagic acid glucoside, okicamelliaside, on antigen-mediated degranulation in rat basophilic leukemia RBL-2H3 cells and passive cutaneous anaphylaxis reaction in mice. Int. Immunopharmacol. 2012, 12, 675–681. [Google Scholar] [CrossRef] [PubMed]
- Parveen, M.; Malla, A.M.; Ali, A.; Nami, S.A.A.; Silva, P.S.P.; Silva, M.R. Isolation, Characterization, Bioassay and X-ray Crystallographic Study of Phytoconstituents from Bixaorellana Leaves. Chem. Nat. Compd. 2015, 51, 62–66. [Google Scholar] [CrossRef]
- Schoenknecht, C.; Andersen, G.; Schieberle, P. A novel method for the quantitation of gingerolglucuronides in human plasma or urine based on stable isotope dilution assays. J. Chromatogr. B Anal. Technol. Biomed. Life Sci. 2016, 1036, 1–9. [Google Scholar] [CrossRef] [PubMed]
- Badhani, B.; Sharma, N.; Kakkar, R. Gallic acid: A versatile antioxidant with promising therapeutic and industrial applications. RSC Adv. 2015, 5, 27540–27557. [Google Scholar] [CrossRef]
- Girish, C.; Koner, B.C.; Jayanthi, S.; Rao, K.R.; Rajesh, B.; Pradhan, S.C. Hepatoprotective activity of picroliv, curcumin and ellagic acid compared to silymarin on paracetamol induced liver toxicity in mice. Fundam. Clin. Pharmacol. 2009, 23, 735–745. [Google Scholar] [CrossRef] [PubMed]
- Marzouk, M.S.; El-Toumy, S.A.A.; Merfort, I.; Nawwara, M.A.M. Polyphenolic metabolites of Rhamnus disperma. Phytochemistry 1999, 52, 943–946. [Google Scholar] [CrossRef]
- RiceEvans, C.A.; Miller, N.J.; Paganga, G. Structure-antioxidant activity relationships of flavonoids and phenolic acids. Free Radic. Biol. Med. 1996, 20, 933–956. [Google Scholar] [CrossRef]
- Calderon-Montano, J.M.; Burgos-Moron, E.; Perez-Guerrero, C.; Lopez-Lazaro, M. A Review on the Dietary Flavonoid Kaempferol. Mini Rev. Med. Chem. 2011, 11, 298–344. [Google Scholar] [CrossRef] [PubMed]
- Wang, Y.; Tang, C.; Zhang, H. Hepatoprotective effects of kaempferol 3-O-rutinoside and kaempferol 3-O-glucoside from Carthamus tinctorius-induced oxidative liver injury in mice. J. Food Drug Anal. 2015, 23, 310–317. [Google Scholar] [CrossRef] [PubMed]
- Kamble, S.M.; Goyal, S.N.; Patil, C.R. Multifunctional pentacyclictriterpenoids as adjuvants in cancer chemotherapy: A review. RSC Adv. 2014, 4, 33370–33382. [Google Scholar] [CrossRef]
- Alqahtani, A.; Tongkao-on, W.; Li, K.M.; Razmovski-Naumovski, V.; Chan, K.; Li, G.Q. Seasonal Variation of Triterpenes and Phenolic Compounds in Australian Centella asiatica (L.) Urb. Phytochem. Anal. 2015, 26, 436–443. [Google Scholar] [CrossRef] [PubMed]
- Gowri, P.M.; Tiwari, A.K.; Ali, A.Z.; Rao, J.M. Inhibition of alpha-glucosidase and amylase by bartogenic acid isolated from Barringtonia racemosa Roxb. seeds. Phytother. Res. 1997, 21, 796–799. [Google Scholar] [CrossRef] [PubMed]
- Won, J.H.; Shin, J.S.; Park, H.J.; Jung, H.J.; Koh, D.J.; Jo, B.G.; Lee, J.Y.; Yun, K.; Lee, K.T. Anti-inflammatory Effects of Madecassic Acid via the Suppression of NF-κB Pathway in LPS-Induced RAW 264.7 Macrophage Cells. Planta Med. 2010, 76, 251–257. [Google Scholar] [CrossRef] [PubMed]
- Bohlmann, F.; Zdero, C. Neuecadinan-derivateaus Heterotheca subaxillaris. Phytochemistry 1979, 18, 1185–1187. [Google Scholar] [CrossRef]
- Zdero, C.; Bohlmann, F.; King, R.M.; Robinson, H. Diterpene glycosides and other constituents from argentinian baccharis species. Phytochemistry 1986, 25, 2841–2855. [Google Scholar] [CrossRef]
- Chosson, E.; Chaboud, A.; Chulia, A.J.; Raynaud, J. A phloracetophenone glucoside from Rhododendron ferrugineum. Phytochemistry 1998, 47, 87–88. [Google Scholar] [CrossRef]
- Ramirez, J.E.; Zambrano, R.; Sepulveda, B.; Kennelly, E.J.; Simirgiotis, M.J. Anthocyanins and antioxidant capacities of six Chilean berries by HPLC-HR-ESI-ToF-MS. Food Chem. 2015, 176, 106–114. [Google Scholar] [CrossRef] [PubMed]
- Chang, C.C.; Yang, M.H.; Wen, H.M.; Chern, J.C. Estimation of total flavonoid content in propolis by two complementary colorimetric methods. J. Food Drug Anal. 2002, 10, 178–182. [Google Scholar]
- Tapia, A.; Rodriguez, J.; Theoduloz, C.; Lopez, S.; Feresin, G.E.; Schmeda-Hirschmann, G. Free radical scavengers and antioxidants from Baccharis grisebachii. J. Ethnopharmacol. 2004, 95, 155–161. [Google Scholar] [CrossRef] [PubMed]
- Benzie, I.F.; Strain, J.J. The ferric reducing ability of plasma (FRAP) as a measure of “antioxidant power”: The FRAP assay. Anal. Biochem. 1996, 239, 70–76. [Google Scholar] [CrossRef] [PubMed]
- Re, R.; Pellegrini, N.; Proteggente, A.; Pannala, A.; Yang, M.; Rice-Evans, C. Antioxidant activity applying an improved ABTS radical cation decolorization assay. Free Radic. Biol. Med. 1999, 26, 1231–1237. [Google Scholar] [CrossRef]
- Antolovich, M.; Prenzler, P.D.; Patsalides, E.; McDonald, S.; Robards, K. Methods for testing antioxidant activity. Analyst 2002, 127, 183–198. [Google Scholar] [CrossRef] [PubMed]
Sample Availability: Samples of the compounds are available from the authors. |



| Assay | Extracts | ||
|---|---|---|---|
| Phenols Content | DCM-E | MeOH-E | EtOAc-E |
| Total phenolics (mg GAE/g extract) | 16.62 ± 3.18 a | 107.15 ± 7.78 b | 45.43 ± 7.51 c |
| Flavonoids (mg QE/g extract) | nd | 19.93 ± 1.61 | nd |
| Antioxidant | |||
| DPPH (IC50 in µg/mL) | nd | 17.70 | 45.01 |
| FRAP (mM TE/g extract) | 67.69 ± 8.27 a | 381.43 ± 22.38 b | 288.32 ± 43.24 c |
| TEAC (mg TE/g extract) | 85.42 ± 12.37 a | 387.76 ± 91.93 b | 154.73 ± 12.42 c |
| Percentage LP (at 100 µg/mL) | 12.28 + 1.29 | 93.23 + 6.77 | |
| Assay | Extracts | |||
|---|---|---|---|---|
| Antibacterial | DCM-E | MeOH-E | EtOAc-E | Cefotaxime |
| CLSI (MICs in µg/mL) | ||||
| Staphylococcus aureus methicillin-sensitive ATCC 29213 | 750 | 750 | 750 | 0.5 |
| Staphylococcus aureus, methicillin-resistant ATCC 43300 | 750 | 750 | 750 | 0.5 |
| Staphylococcus aureus, coagulase negative-502 | 750 | 750 | >1000 | 0.5 |
| Streptococcus pyogenes-1 | >1000 | >1000 | >1000 | 0.25 |
| Escherichia coli ATCC 25922 | >1000 | >1000 | >1000 | 1.9 |
| Escherichia coli-LM2 | >1000 | >1000 | >1000 | 1.5 |
| Peak | Tentative Identification | RT (min) | UV Max (nm) | [M − H]− | Theoretical Mass (m/z) | Measured Mass (m/z) | Accuracy (δppm) | MSn ions |
|---|---|---|---|---|---|---|---|---|
| 1 | Dihexose | 1.23 | - | [C12H22O11 + Cl]− | 377.08506 | 377.08365 | −3.73 | 341.00042 |
| 2 | Dihexose | 1.50 | - | [C12H22O11 + Cl]− | 377.08506 | 377.08368 | −3.65 | |
| 3 | Unknown | 1.82 | - | C13H23O13N3− | 429.12259 | 429.12259 | −1.10 | |
| 4 | 4′,6′-dihydroxy-2′-O-β-d-glucopyranosyl-acetophenone * | 8.71 | 236, 285 | C14H17O9 | 329.08781 | 329.08612 | −1.10 | 167.03342 (C8H7O4−) |
| 5 | 2′,6′-dihydroxy-4′-O-β-d-glucopyranosyl-acetophenone * | 8.73 | 236, 285 | C14H17O9− | 329.08781 | 329.08618 | −1.12 | 167.03345 (C8H7O4−) |
| 6 | 4-hydroxy-2′-O-arabinopyranosyl-6-O-galloyl reduced acetophenone derivative | 9.07 | 282 | C20H21O12− | 453.10148 | 453.10156 | −3.6 | 301.03381 C13H17O8−), 169.01360 |
| 7 | Ellagic acid hexoside | 9.68 | 253, 367 | C20H15O13− | 463.05181 | 463.04950 | −4.98 | 299.07567 |
| 8 | Unknown | 9.90 | - | C21H5O7N− | 383.00610 | 383.00610 | 5.46 | 245.04752 |
| 9 | Dimethyl gallate hexoside derivative | 10.11 | 280 | C21H23O11− | 451.12234 | 451.12234 | 0 | |
| 10 | 4′,6′-dihydroxy-2′-O-methoxy acetophenone * | 10.32 | 247, 280 | C9H9O4− | 181.04903 | 181.05063 | 8.87 | 167.03337 (C8H7O4−) |
| 11 | Quercetin-3-O-(6’-O-galloyl)-hexose | 10.44 | 254, 280, 354 | C28H23O16− | 615.09916 | 615.09518 | −5.8 | 463.08565 |
| 12 | 4-hydroxy-2′-O-β-d-glucopyranosyl-6-O-galloylacetophenone | 10.54 | 250, 281 | C21H21O13− | 481.09876 | 481.09613 | 5.46 | |
| 13 | Ellagic acid * | 10.76 | 255, 366 | C14H5O8− | 300.99750 | 300.99899 | 4.9 | 151.00217 |
| 14 | Ellagic acid methyl ether hexoside | 10.89 | 255, 366 | C21H17O13− | 477.06746 | 477.06494 | −5.2 | |
| 15 | 4′,6′-dihydroxy-2′-O-(6′′acetyl)-β-d-glucopyranosylacetophenone | 11.13 | 234, 285 | C16H19O10− | 371.09837 | 371.09653 | −4.9 | 167.03355 (C8H7O4−) |
| 16 | Quercetin-3-O-pentoside | 11.24 | 254, 351 | C20H17O11− | 433.07763 | 433.07763 | −4.7 | |
| 17 | Methyl ellagic acid-O-phosphate | 11.43 | 285 | C15H8O11P− | 394.98097 | 394.96957 | −29 | 315.01288 |
| 18 | Methyl ellagic acid-O-phosphate | 11.60 | 285 | C15H8O11P− | 394.98097 | 394.96948 | −28.8 | 315.01285, 299.98950 |
| 19 | Ellagic Acid methylester | 11.78 | 254, 365 | C15H7O8− | 315.01464 | 315.01306 | −5.01 | 299.98941 |
| 20 | Ellagic acid methylester | 12.04 | 254, 365 | C15H7O8− | 315.01464 | 315.01309 | −4.9 | 299.98929 |
| 21 | Maddecasic acid | 12.29 | C30H47O6− | 503.33493 | 03.33493 | 0.25 | ||
| 22 | Rhamnazin 3-O-rhamnose (Isorhamnetin-7-O-methyl ether, 3-O-rhamnose) | 12.76 | 254, 354 | C23H23O11− | 475.12459 | 475.12210 | −5.24 | |
| 23 | Kaempferol 3-O-rutinoside | 13.06 | 265, 313 | C27H29O15− | 593.15119 | 593.12695 | −2.9 | 285.03824 |
| 24 | Quercetin * | 13.52 | 255, 355 | C15H9O7− | 301.03538 | 301.03384 | −5.11 | |
| 25 | Syringetin-3-O-hexoside | 14.24 | 254, 354 | C23H23O13− | 507.11441 | 507.11154 | −2.86 | |
| 26 | Unknown flavonol derivative | 19.76 | 287 | C29H53O15N− | 655.34509 | 655.34509 | −10 | 301.14301 |
| 27 | Bartogenic acid | 20.29 | - | C30H45O7− | 517.31408 | 517.31421 | 0.25 | |
| 28 | Gingerol | 21.04 | 255, 355 | C17H25O4− | 293.17583 | 293.17776 | −6.58 | |
| 29 | Unknown | 21.32 | 287 | C28H17ON2− | 397.13300 | - | - |
© 2018 by the authors. Licensee MDPI, Basel, Switzerland. This article is an open access article distributed under the terms and conditions of the Creative Commons Attribution (CC BY) license (http://creativecommons.org/licenses/by/4.0/).
Share and Cite
Luna, L.; Simirgiotis, M.J.; Lima, B.; Bórquez, J.; Feresin, G.E.; Tapia, A. UHPLC-MS Metabolome Fingerprinting: The Isolation of Main Compounds and Antioxidant Activity of the Andean Species Tetraglochin ameghinoi (Speg.) Speg. Molecules 2018, 23, 793. https://doi.org/10.3390/molecules23040793
Luna L, Simirgiotis MJ, Lima B, Bórquez J, Feresin GE, Tapia A. UHPLC-MS Metabolome Fingerprinting: The Isolation of Main Compounds and Antioxidant Activity of the Andean Species Tetraglochin ameghinoi (Speg.) Speg. Molecules. 2018; 23(4):793. https://doi.org/10.3390/molecules23040793
Chicago/Turabian StyleLuna, Lorena, Mario J. Simirgiotis, Beatriz Lima, Jorge Bórquez, Gabriela E. Feresin, and Alejandro Tapia. 2018. "UHPLC-MS Metabolome Fingerprinting: The Isolation of Main Compounds and Antioxidant Activity of the Andean Species Tetraglochin ameghinoi (Speg.) Speg." Molecules 23, no. 4: 793. https://doi.org/10.3390/molecules23040793
APA StyleLuna, L., Simirgiotis, M. J., Lima, B., Bórquez, J., Feresin, G. E., & Tapia, A. (2018). UHPLC-MS Metabolome Fingerprinting: The Isolation of Main Compounds and Antioxidant Activity of the Andean Species Tetraglochin ameghinoi (Speg.) Speg. Molecules, 23(4), 793. https://doi.org/10.3390/molecules23040793

