Synthesis, Antibacterial, and Anti HepG2 Cell Line Human Hepatocyte Carcinoma Activity of Some New Potentially Benzimidazole-5-(Aryldiazenyl)Thiazole Derivatives
Abstract
1. Introduction
2. Results
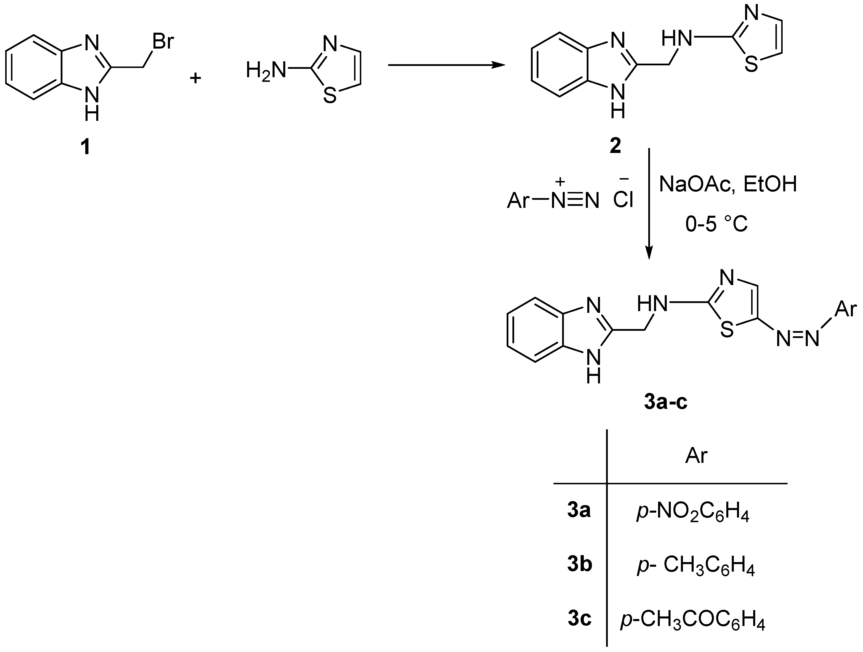
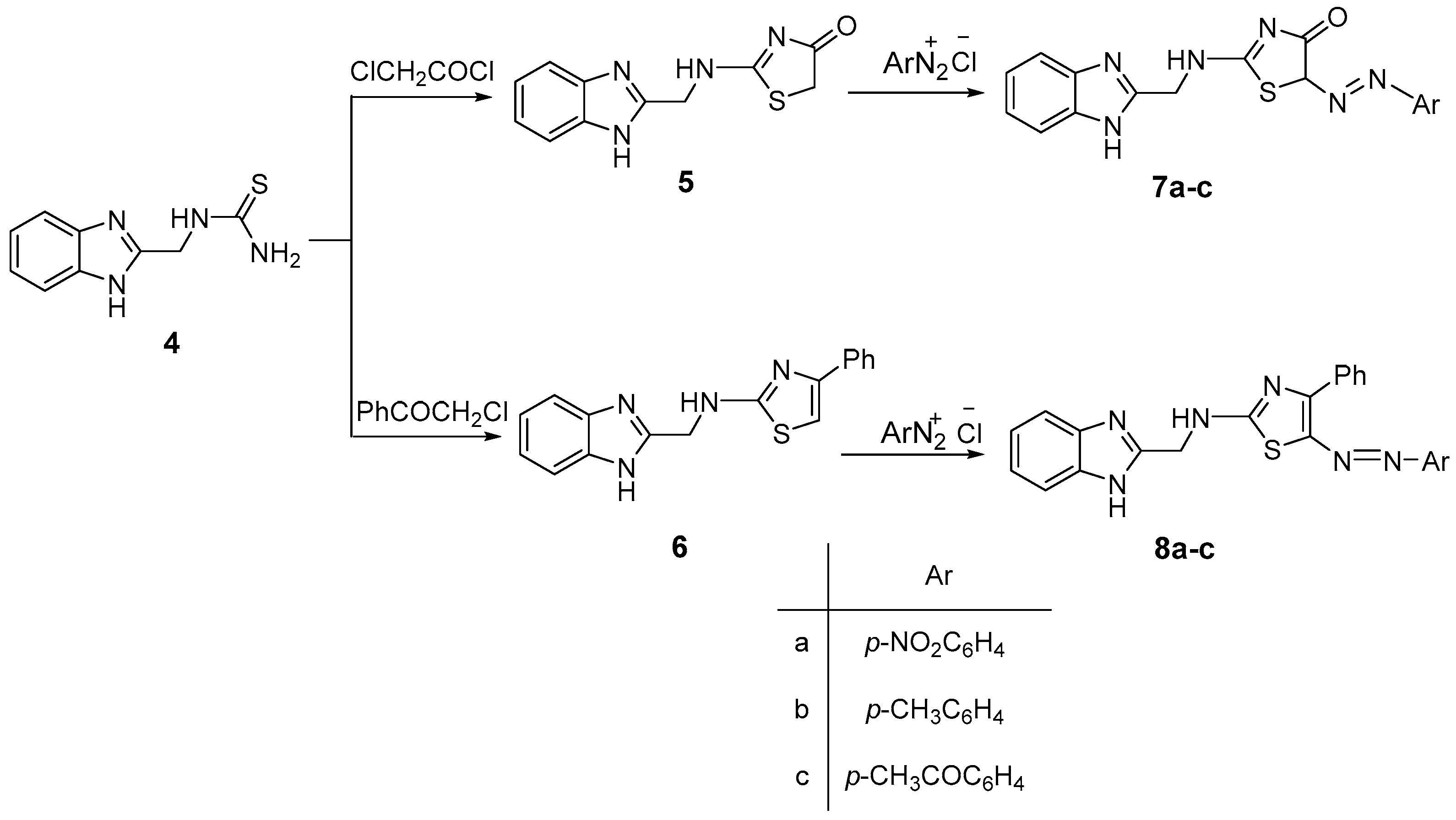
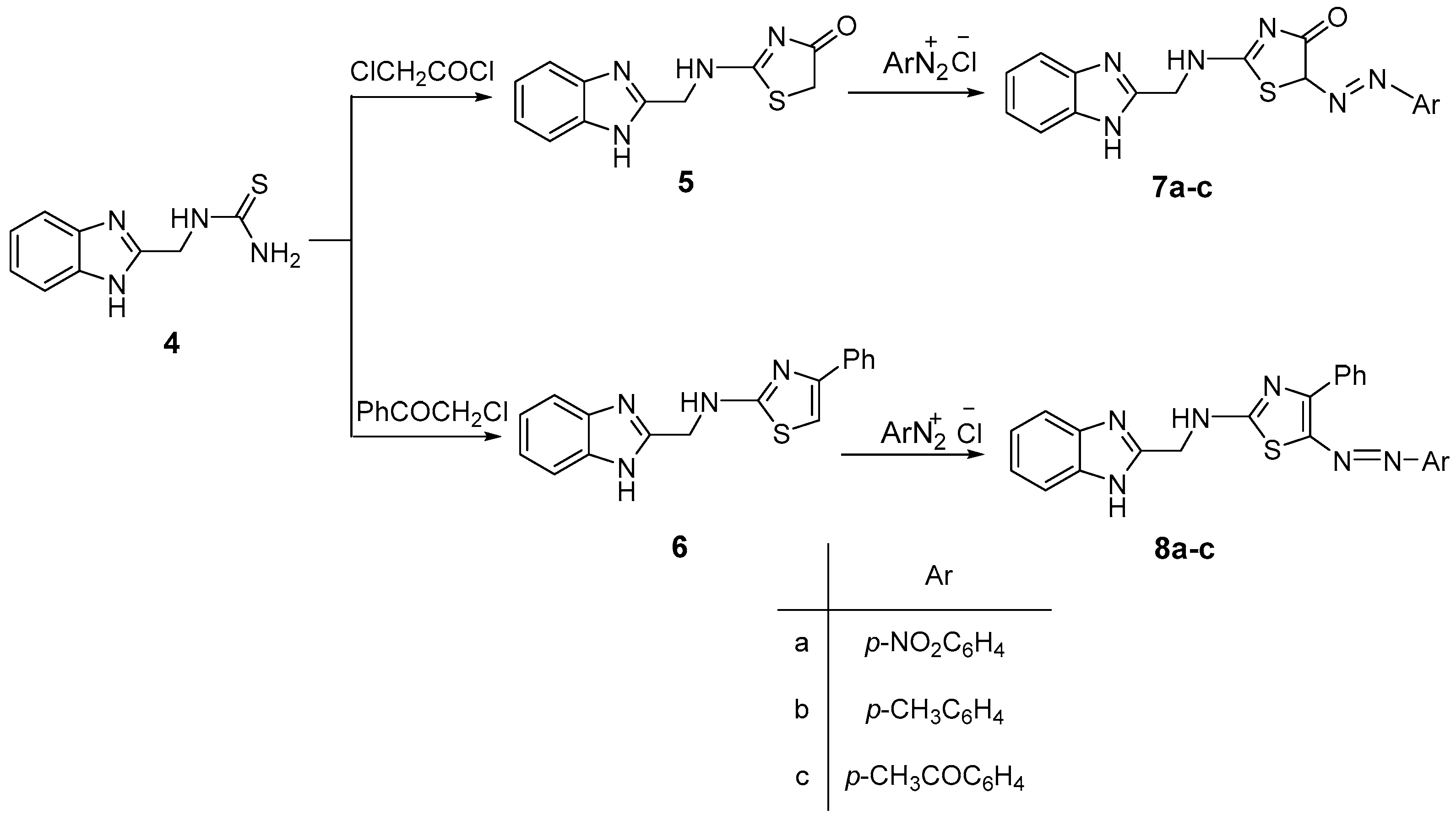
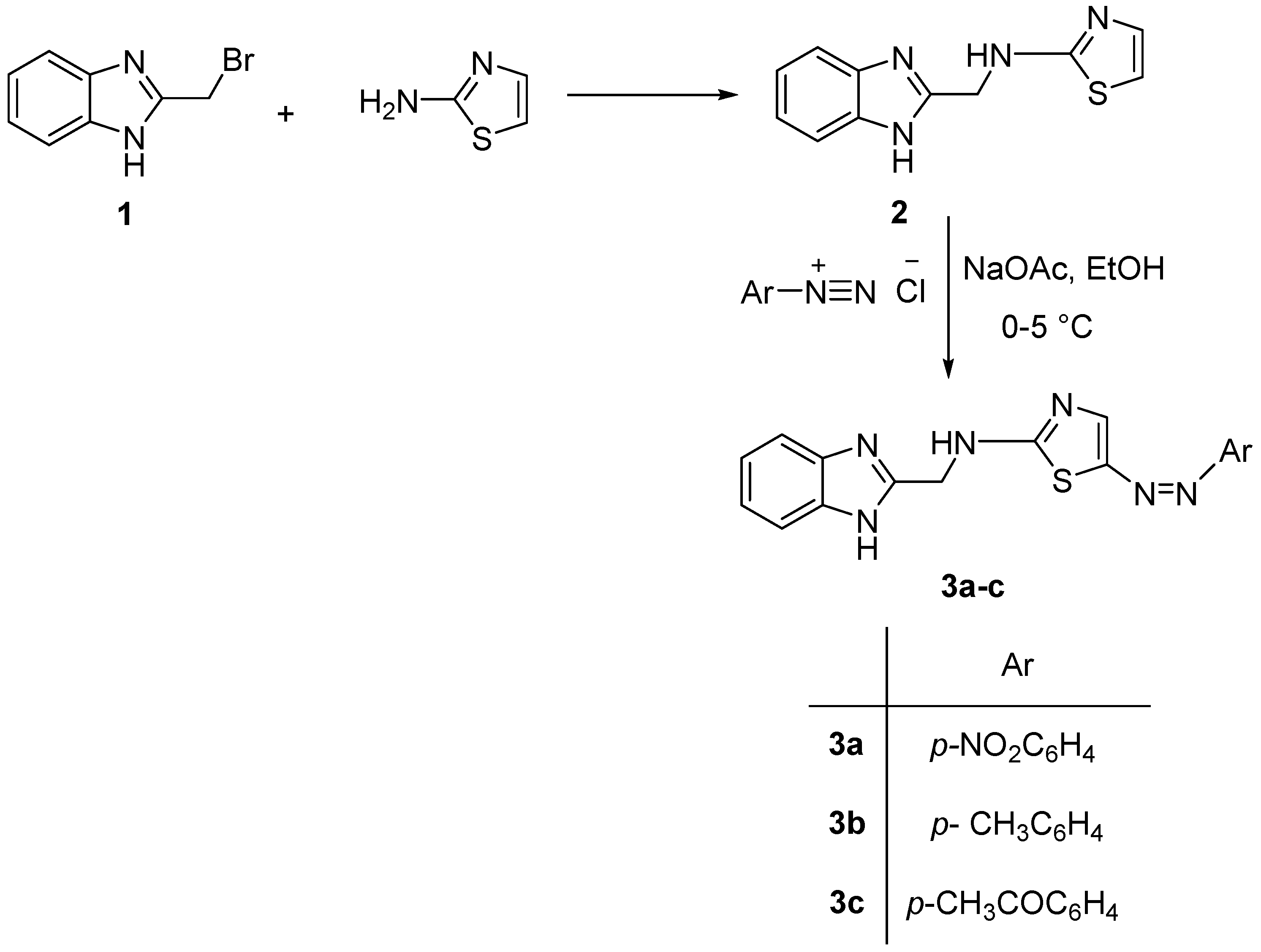
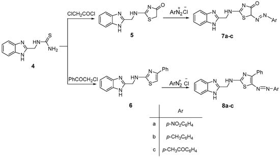
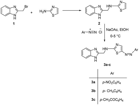
2.1. Chemistry
2.2. Biological Impact of the Synthesized Compounds
2.2.1. Antibacterial activity
2.2.2. Minimum Inhibitory Concentration (MIC)
2.2.3. Antioxidant Potential of the Synthesized Compounds
DPPH Radical Scavenging Assay
2.2.4. Evaluation of Cytotoxicity Effects of Benzimidazoles and its Derivatives Against the Human Liver Cancer Cell Line (HepG2).
3. Materials and Methods
3.1. Chemical Reagents
3.2. Micro and Spectroscopic Analysis
3.3. Biological Analysis
3.3.1. Antibacterial Evaluation
3.3.2. Determination of Minimum Inhibitory Concentration (MIC)
3.3.3. Assay of Cytotoxicity
3.3.4. Antioxidant Potential
3.4. Synthesis and Structural Analysis
3.4.1. General Procedure for the Synthesis of 2-(Bromomethyl)-1H-Benzimidazole (1)
3.4.2. Synthesis of N-((1H-Benzimidazol-2-yl)Methyl)Thiazol-2-Amine (2)
3.4.3. General Procedure for the Synthesis of the N-((1H-Benzimidazol-2-yl)Methyl)-5-(Aryldiazenyl)Thiazol-2-Amine (3a–c)
3.4.4. Synthesis of 1-((1H-Benzimidazol-2-yl)Methyl)Thiourea (4)
3.4.5. Synthesis of (2-((1H-Benzimidazol-2-yl)Methyl)Amino)Thiazo-4(5H)-One (5)
3.4.6. Synthesis of N-((1H-Benzimidazol-2-yl)Methyl)-4-Phenylthiazol-2-Amine (6)
3.4.7. General Procedure for the Synthesis of the Arylazo Derivatives (7a–c) and (8a–c)
4. Conclusions
Author Contributions
Funding
Conflicts of Interest
References
- Woolley, D. Some biological effects produced by benzimidazole and their reversal by purines. J. Biol. Chem. 1944, 152, 225–232. [Google Scholar]
- Khalifa, M.E.; Gobouri, A.A. Benzimdazoles Classics and Advances; Lambert Academic Publishing: Saarbrücken, Germany, 2018; p. 118. [Google Scholar]
- Shukla, A. Synthesis and biological screening of benzimidazole derivatives. Int. J. Pharm. Sci. Res. 2012, 3, 922. [Google Scholar] [CrossRef]
- Tupe, A.; Pawar, P.; Mane, B.; Magar, S. Synthesis analgesic and anti-inflammatory activity of some 2-substituted 3-acetic acid benzimidazole derivatives. Res. J. Pharm. Biol. Chem. Sci. 2013, 4, 928–935. [Google Scholar]
- Cashin, C.H.; Dawson, W.; Kitchen, E.A. The pharmacology of benoxaprofen (2-[4-chlorophenyl]-α-methyl-5-benzoxazole acetic acid), LRCL 3794, a new compound with anti-inflammatory activity apparently unrelated to inhibition of prostaglandin synthesis. J. Pharm. Pharmacol. 1977, 29, 330–336. [Google Scholar] [CrossRef] [PubMed]
- Singh, S.P.; Parmar, S.S.; Raman, K.; Stenberg, V.I. Chemistry and biological activity of thiazolidinones. Chem. Rev. 1981, 81, 175–203. [Google Scholar] [CrossRef]
- Mariappan, G.; Bhuyan, N.; Kumar, P.; Kumar, D.; Murali, K. Synthesis and biological evaluation of Mannich bases of benzimidazole derivatives. Indian J. Chem. 2011, 50, 1216–1219. [Google Scholar]
- Ansari, K.F.; Lal, C. Synthesis and biological activity of some heterocyclic compounds containing benzimidazole and beta-lactam moiety. J. Chem. Sci. 2009, 121, 1017–1025. [Google Scholar] [CrossRef]
- Al-Ebaisat, H.S. Synthesis and Biological Activities of Some Benzimidazoles Derivatives. J. Appl. Sci. Environ. 2011, 15, 451–454. [Google Scholar]
- Kankate, R.S.; Gide, P.S.; Belsare, D.P. Design, synthesis and antifungal evaluation of novel benzimidazole tertiary amine type of fluconazole analogues. Arab. J. Chem. 2015, in press. [Google Scholar] [CrossRef]
- Chimirri, A.; Grasso, S.; Monforte, P.; Rao, A.; Zappala, M.; Monforte, A.; Pannecouque, C.; Witvrouw, M.; Balzarini, J.; De Clercq, E. Synthesis and biological activity of novel 1 H, 3 H-thiazolo [3–a] benzimidazoles: Non-nucleoside human immunodeficiency virus type 1 reverse transcriptase inhibitors. Antivir. Chem. Chemother. 1999, 10, 211–217. [Google Scholar] [CrossRef]
- Shinegare, M.; Mane, D.; Shinde, D.; Thore, S.; Bhawsar, S. Synthesis of Mannich Bases of Benzimidazole as Possible Antiviral Agents. Asian J. Chem. 1996, 8, 225–228. [Google Scholar]
- Kagthara, P.; Upadhyay, T.; Doshi, R.; Parekh, H. Synthesis of some 2-azetidinones as potential antitubercular agents. Indian J. Heterocycl. Chem. 2000, 10, 9–12. [Google Scholar]
- Kumar, K.; Awasthi, D.; Lee, S.Y.; Zanardi, I.; Ruzsicska, B.; Knudson, S.; Ojima, I. Novel trisubstituted benzimidazoles, targeting Mtb FtsZ, as a new class of antitubercular agents. J. Med. Chem. 2010, 54, 374–381. [Google Scholar] [CrossRef] [PubMed]
- Sreena, K.; Ratheesh, R.; Rachana, M.; Poornima, M.; Shyni, C. Synthesis and anthelmintic activity of benzimidazole derivatives. Hygeia 2009, 1, 21–22. [Google Scholar]
- McKellar, Q.A.; Scott, E.W. The benzimidazole anthelmintic agents-a review. J. Vet. Pharmacol. Ther. 1990, 13, 223–247. [Google Scholar] [CrossRef] [PubMed]
- Rossignol, J.F.; Maisonneuve, H. Benzimidazoles in the treatment of trichuriasis: A review. Ann. Trop. Med. Parasitol. 1984, 78, 135–144. [Google Scholar] [CrossRef]
- Dubey, A.; Sanyal, P. Benzimidazoles in a wormy world. Online Vet. J. 2010, 5, 63–66. [Google Scholar]
- Walia, R.; Hedaitullah, M.; Naaz, S.F.; Iqbal, K.; Lamba, H. Benzimidazole derivatives–an overview. Int. J. Res. Pharm. Chem. 2011, 1, 565–574. [Google Scholar]
- Çakir, B.; Yildirim, E.; Ercanli, T.; Erol, K.; Sahin, M.F. Synthesis and anticonvulsant activity of some (2/4-substituted)benzaldehyde (2-oxobenzothiazolin-3-yl)acetohydrazones. Il Farm. 1999, 54, 842–845. [Google Scholar] [CrossRef]
- Kalyankar, T.; Pekamwar, S.; Wadher, S.; Tiprale, P.; Shinde, G. Review on benzimidazole derivative. Int. J. Chem. Pharm. Sci. 2012, 3, 1–10. [Google Scholar]
- Kapuriya, K.; Ganure, A.; Davda, S.; Kitawala, M.; Topiya, H. Benzimidazole: A promising lead for anticancer drug design. Univ. J. Pharm. 2013, 2, 57–62. [Google Scholar]
- Nare, B.; Liu, Z.; Prichard, R.K.; Georges, E. Benzimidazoles, potent anti-mitotic drugs: Substrates for the P-glycoprotein transporter in multidrug-resistant cells. Biochem. Pharmacol. 1994, 48, 2215–2222. [Google Scholar] [CrossRef]
- Patil, A.; Ganguly, S.; Surana, S. A systematic review of benzimidazole derivatives as an antiulcer agent. Rasayan J. Chem. 2008, 1, 447–460. [Google Scholar]
- Patil, A.; Ganguly, S.; Surana, S. Synthesis and antiulcer activity of 2-[5-substituted-1-H-benzo (d) imidazol-2-yl sulfinyl] methyl-3-substituted quinazoline-4-(3H) ones. J. Chem. Sci. 2010, 122, 443–450. [Google Scholar] [CrossRef]
- Kohara, Y.; Kubo, K.; Imamiya, E.; Wada, T.; Inada, Y.; Naka, T. Synthesis and Angiotensin II Receptor Antagonistic Activities of Benzimidazole Derivatives Bearing Acidic Heterocycles as Novel Tetrazole Bioisosteres 1. J. Med. Chem. 1996, 39, 5228–5235. [Google Scholar] [CrossRef] [PubMed]
- Reddy, B.A. Synthesis and Characterization of Some Benzimidazole Derivatives using as anti-hypertensive Agents. Asian J. Pharm. Res. Health Care 2010, 2. [Google Scholar] [CrossRef]
- Spasov, A.; Yozhitsa, I.; Bugaeva, L.; Anisimova, V. Benzimidazole derivatives: Spectrum of pharmacological activity and toxicological properties (a review). Pharm. Chem. J. 1999, 33, 232–243. [Google Scholar] [CrossRef]
- Boiani, M.; González, M. Imidazole and benzimidazole derivatives as chemotherapeutic agents. Mini-Rev. Med. Chem. 2005, 5, 409–424. [Google Scholar] [CrossRef]
- Narasimhan, B.; Sharma, D.; Kumar, P. Benzimidazole: A medicinally important heterocyclic moiety. Med. Chem. Res. 2012, 21, 269–283. [Google Scholar] [CrossRef]
- Goswami, B.; Singh, A.K. Pharmacological activities of benzimidazole derivatives-Overview. IJSID 2012, 2, 121–136. [Google Scholar]
- Manna, K.; Agrawal, Y.K. Microwave assisted synthesis of new indophenazine 1, 3, 5-trisubstruted pyrazoline derivatives of benzofuran and their antimicrobial activity. Bioorg. Med. Chem. Lett. 2009, 19, 2688–2692. [Google Scholar] [CrossRef] [PubMed]
- Abdel-Latif, E.; Amer, F.; Metwally, M.; Khalifa, M. Synthesis of 5-arylazo-2-(arylidenehydrazino)-thiazole disperse dyes for dyeing polyester fibres. Pigment Resin Technol. 2009, 38, 105–110. [Google Scholar] [CrossRef]
- Gaffer, H.E.; Fouda, M.M.; Khalifa, M.E. Synthesis of some novel 2-amino-5-arylazothiazole disperse dyes for dyeing polyester fabrics and their antimicrobial activity. Molecules 2016, 21, 122. [Google Scholar] [CrossRef] [PubMed]
- Khalifa, M.; Abdel-Latif, E.; Gobouri, A. Disperse Dyes Based on 5-Arylazo-thiazol-2-ylcarbamoyl-thiophenes: Synthesis, Antimicrobial Activity and Their Application on Polyester. J. Heterocycl. Chem. 2015, 52, 674–680. [Google Scholar] [CrossRef]
- Khalifa, M.E. Recent Developments and Biological Activities of 2-Aminothiazole Derivatives. Acta Chim. Slov. 2018, 65, 1–22. [Google Scholar] [CrossRef] [PubMed]
- Khalifa, M.E.; Abdel-Hafez, S.H.; Gobouri, A.A.; Kobeasy, M.I. Synthesis and biological activity of novel arylazothiazole disperse dyes containing selenium for dyeing polyester fibers. Phosphorus Sulfur Silicon Relat. Elem. 2015, 190, 461–476. [Google Scholar] [CrossRef]
- Khalifa, M.E.; Abdel-Latif, E.; Amer, F.A.; Metwally, M.A. Synthesis of some new 5-arylazothiazole derivatives as disperse dyes for dyeing polyester fibers. Int. J. Text. Sci. 2012, 1, 62–68. [Google Scholar] [CrossRef]
- Khalifa, M.E.; Metwally, M.A.; Abdel-latif, E.; Amer, F.A. New Azo Heterocyclic Disperse Dyes with Thiophene Moiety for Dyeing Polyester Fibers. Int. J. Text. Sci. 2012, 1, 1–6. [Google Scholar]
- Khalifa, M.E.; Mohamed, M.A.-H.; Alshehri, N.H. Synthesis of novel 2-amino-5-arylazothiazol derivatives and their biological impacts: Assessment of toxicity and antioxidant enzymes activities. Maced. J. Chem. Chem. Eng. 2015, 34, 309–319. [Google Scholar] [CrossRef]
- Khalifa, M.E.; Elkhawass, E.A.; Pardede, A.; Ninomiya, M.; Tanaka, K.; Koketsu, M. A facile synthesis of formazan dyes conjugated with plasmonic nanoparticles as photosensitizers in photodynamic therapy against leukemia cell line. Monatsh. Chem. 2018, 149, 2195–2206. [Google Scholar] [CrossRef]
- Bhatt, A.; Sanghvi, V.; Parmar, M.; Shah, P.; Karadia, H.; Patel, H. Synthesis and biological activities of some 4-thiazolidinones derivatives. Orient. J. Chem. 2003, 19, 473–476. [Google Scholar]
- Mahalakshmi, C.; Chidambaranathan, V. Synthesis, spectral characterization and antimicrobial studies of novel benzimidazole derivatives. Int. J. Chem. Sci. 2015, 13, 205–212. [Google Scholar]
- Speziale, A.J. Ethanedithiol-1, 2-Ethanedithiol. Org. Synth. 1950, 30, 35–37. [Google Scholar]
- Tiden, A.; Viklund, J. Preparation of Thioxanthines as Inhibitors of Myeloperoxidase (MPO). Available online: https://patentscope.wipo.int/search/en/detail.jsf?docId=WO2007120098 (accessed on 8 November 2018).
- Sujayev, A.; PolatKose, L.; Garibov, E.; Gülçin, İ.; Farzaliev, V.; Alwasel, S.H.; Supuran, C.T. Synthesis of N-alkyl (aril)-tetra pyrimidine thiones and investigation of their human carbonic anhydrase I and II inhibitory effects. J. Enzyme Inhib. Med. Chem. 2016, 31, 1192–1197. [Google Scholar] [CrossRef]
- Alkan, C.; Tek, Y.; Kahraman, D. Preparation and characterization of a series of thiourea derivatives as phase change materials for thermal energy storage. Turk. J. Chem. 2011, 35, 769–777. [Google Scholar]
- Srinivas, B.; Priya, V.R.; Babu, G.S.; Rao, J.V.; Malathy, P.; Manohar, K.R.; Prakash, B.C.; Srikanth, L. Synthesis and Screening of New Isatin Derivatives. Pharma Chem. 2010, 2, 378–384. [Google Scholar]
- Yamamoto, Y.; Togawa, Y.; Shimosaka, M.; Okazaki, M. Purification and characterization of a novel bacteriocin produced by Enterococcus faecalis strain RJ-11. Appl. Environ. Microbiol. 2003, 69, 5746–5753. [Google Scholar] [CrossRef]
- Nagai, T.; Inoue, R.; Suzuki, N.; Myoda, T.; Nagashima, T. Antioxidative ability in a linoleic acid oxidation system and scavenging abilities against active oxygen species of enzymatic hydrolysates from pollen Cistus ladaniferus. Int. J. Mol. Med. 2005, 15, 259–263. [Google Scholar] [CrossRef]
- Sztaricskai, F.; Takács, I.E.; Pusztai, F.; Szabó, G.; Csípõ, I. Antiulcer Effect of the N-and O-β-D-Glucopyranosides of 5-Aminosalicylic Acid. Arch. Pharm. 1999, 332, 321–326. [Google Scholar] [CrossRef]
- Repetto, G.; del Peso, A.; Zurita, J.L. Neutral red uptake assay for the estimation of cell viability/cytotoxicity. Nat. Protoc. 2008, 3, 1125–1131. [Google Scholar] [CrossRef]
- Shanab, S.M.M.; Shalaby, E.A.; El Fayoumy, E.A. Enteromorpha compressa Exhibits Potent Antioxidant Activity. J. Biomed. Biotechnol. 2011, 2011, 1–11. [Google Scholar] [CrossRef] [PubMed]
- Nie, N.H.; Bent, D.H.; Hull, C.H. SPSS: Statistical Package for the Social Sciences; MacGraw-Hill: New York, NY, USA, 1975. [Google Scholar]
- Fautz, R.; Husein, B.; Hechenberger, C. Application of the neutral red assay (NR assay) to monolayer cultures of primary hepatocytes: Rapid colorimetric viability determination for the unscheduled DNA synthesis test (UDS). Mutat. Res. Environ. Mutagen. 1991, 253, 173–179. [Google Scholar] [CrossRef]
- Brand-Williams, W.; Cuvelier, M.E.; Berset, C. Use of a free radical method to evaluate antioxidant activity. LWT-Food Sci. Technol. 1995, 28, 25–30. [Google Scholar] [CrossRef]
- Mariappan, G.; Hazarika, R.; Alam, F.; Karki, R.; Patangia, U.; Nath, S. Synthesis and biological evaluation of 2-substituted benzimidazole derivatives. Arab. J. Chem. 2015, 8, 715–719. [Google Scholar] [CrossRef]
- Alasmary, F.A.; Snelling, A.M.; Zain, M.E.; Alafeefy, A.M.; Awaad, A.S.; Karodia, N. Synthesis and evaluation of selected benzimidazole derivatives as potential antimicrobial agents. Molecules 2015, 20, 15206–15223. [Google Scholar] [CrossRef] [PubMed]
- Mobinikhaledi, A.; Foroughifar, N.; Kalhor, M.; Mirabolfathy, M. Synthesis and antifungal activity of novel 2-benzimidazolylimino-5-arylidene-4-thiazolidinones. J. Heterocycl. Chem. 2010, 47, 77–80. [Google Scholar] [CrossRef]
Sample Availability: Samples of the compounds 3–8 are available from the authors. |








| MIC, µg/mL (Average ± SD) | |||||||||||
|---|---|---|---|---|---|---|---|---|---|---|---|
| Tested Strains | Reference Control | Tested Compounds | |||||||||
| Ampicillin | Kanamycin | 3a | 3b | 3c | 7a | 7b | 7c | 8a | 8b | 8c | |
| E. coli | 2.1 ± 0.09 | - | - | - | 14 ± 1.54 | - | - | - | 16 ± 1.05 | - | 12 ± 0.095 |
| S. aureus | - | 11.3 ±0.87 | 32 ± 3.95 | 24 ± 2.21 | - | - | - | 27 ± 1.23 | 28 ± 1.3 | - | 21 ± 1.64 |
© 2018 by the authors. Licensee MDPI, Basel, Switzerland. This article is an open access article distributed under the terms and conditions of the Creative Commons Attribution (CC BY) license (http://creativecommons.org/licenses/by/4.0/).
Share and Cite
Khalifa, M.E.; Gobouri, A.A.; Kabli, F.M.; Altalhi, T.A.; Almalki, A.S.A.; Mohamed, M.A. Synthesis, Antibacterial, and Anti HepG2 Cell Line Human Hepatocyte Carcinoma Activity of Some New Potentially Benzimidazole-5-(Aryldiazenyl)Thiazole Derivatives. Molecules 2018, 23, 3285. https://doi.org/10.3390/molecules23123285
Khalifa ME, Gobouri AA, Kabli FM, Altalhi TA, Almalki ASA, Mohamed MA. Synthesis, Antibacterial, and Anti HepG2 Cell Line Human Hepatocyte Carcinoma Activity of Some New Potentially Benzimidazole-5-(Aryldiazenyl)Thiazole Derivatives. Molecules. 2018; 23(12):3285. https://doi.org/10.3390/molecules23123285
Chicago/Turabian StyleKhalifa, Mohamed E., Adil A. Gobouri, Fahad M. Kabli, Tarik A. Altalhi, Abdulraheem S. A. Almalki, and Mahmoud A. Mohamed. 2018. "Synthesis, Antibacterial, and Anti HepG2 Cell Line Human Hepatocyte Carcinoma Activity of Some New Potentially Benzimidazole-5-(Aryldiazenyl)Thiazole Derivatives" Molecules 23, no. 12: 3285. https://doi.org/10.3390/molecules23123285
APA StyleKhalifa, M. E., Gobouri, A. A., Kabli, F. M., Altalhi, T. A., Almalki, A. S. A., & Mohamed, M. A. (2018). Synthesis, Antibacterial, and Anti HepG2 Cell Line Human Hepatocyte Carcinoma Activity of Some New Potentially Benzimidazole-5-(Aryldiazenyl)Thiazole Derivatives. Molecules, 23(12), 3285. https://doi.org/10.3390/molecules23123285

