Synthesis and Evaluation of New 1,3,4-Thiadiazole Derivatives as Potent Antifungal Agents
Abstract
:1. Introduction
2. Results and Discussion
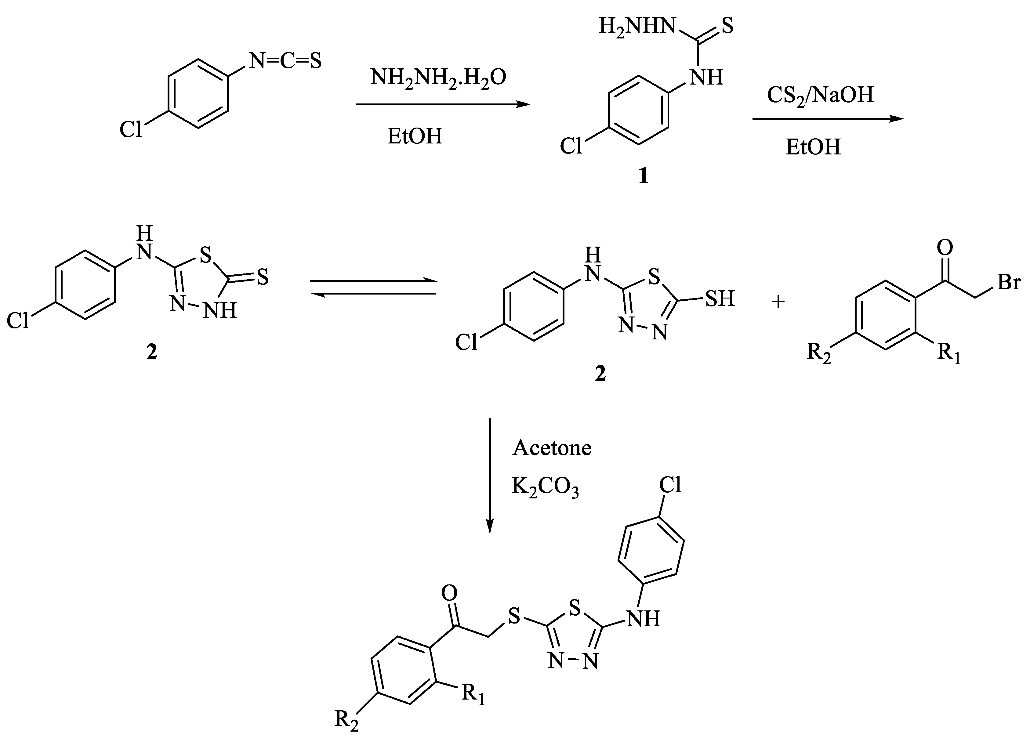
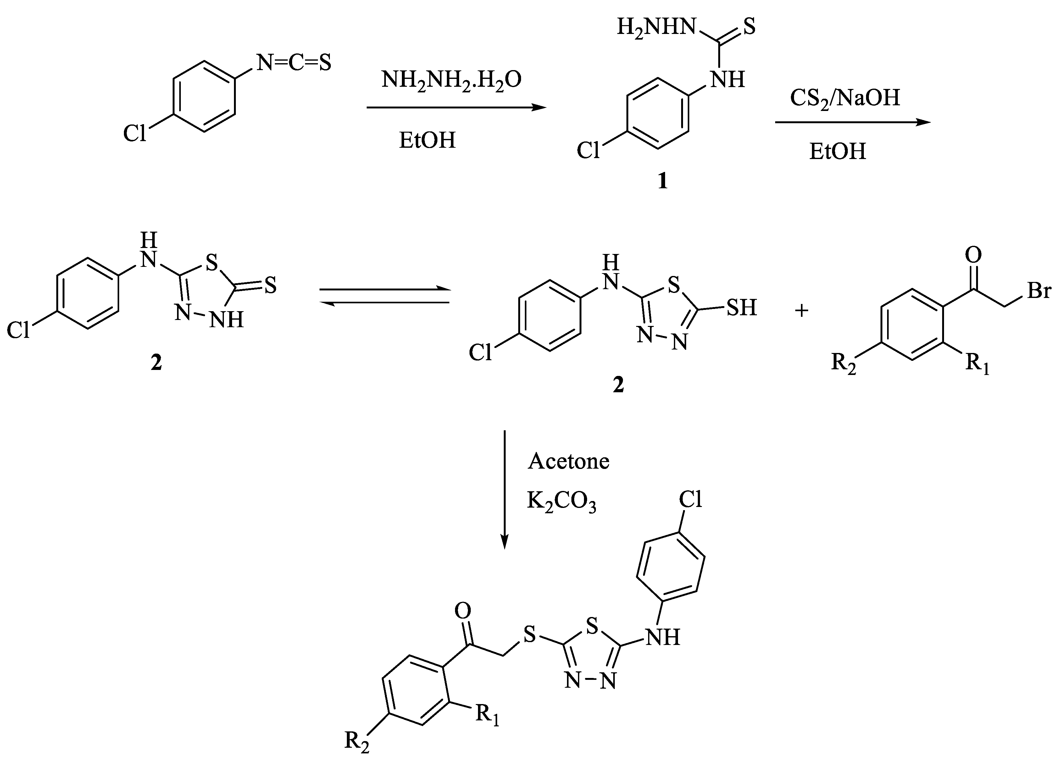
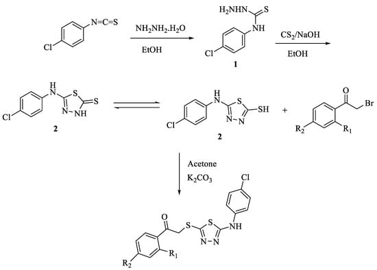
2.1. Chemistry
2.2. Biological Activity Screening
2.2.1. Antifungal Activity
2.2.2. Quantification of Ergosterol Level
2.2.3. Molecular Docking Studies
2.2.4. Theoretical Determination of ADME Properties
3. Materials and Methods
3.1. Chemistry
3.1.1. Synthesis of N-(4-Chlorophenyl)hydrazinecarbothioamide (1)
3.1.2. Synthesis of 5-((4-Chlorophenyl)amino)-1,3,4-thiadiazole-2-thiol (2)
3.1.3. General Procedure for the Synthesis of Target Compounds (3a–3l)
3.2. Antifungal Assay
3.3. Quantification of Ergosterol Level
3.4. Molecular Docking Studies
3.5. Theoretical Determination of ADME Properties
4. Conclusions
Supplementary Materials
Author Contributions
Funding
Conflicts of Interest
References
- Le, A.; Farmakiotis, D.; Tarrand, J.J.; Kontoyiannis, D.P. Initial treatment of cancer patients with fluconazole susceptible dose-dependent Candida glabrata fungemia: Better outcome with an echinocandin or polyene compared to an azole? Antimicrob. Agents Chemother. 2017, 61, e00631-17. [Google Scholar] [CrossRef] [PubMed]
- Gullo, A. Invasive fungal infections. Drugs 2009, 69, 65–73. [Google Scholar] [CrossRef] [PubMed]
- Feyaerts, A.F.; Mathé, L.; Luyten, W.; De Graeve, S.; Van Dyck, K.; Broekx, L.; Van Dijck, P. Essential oils and their components are a class of antifungals with potent vapour-phase-mediated anti-Candida activity. Sci. Rep. 2018, 8, 3958. [Google Scholar] [CrossRef] [PubMed]
- Pappas, P.G.; Kauffman, C.A.; Andes, D.R.; Clancy, C.J.; Marr, K.A.; Ostrosky-Zeichner, L.; Reboli, A.C.; Schuster, M.C.; Vazquez, J.A.; Walsh, T.J.; et al. Clinical practice guideline for the management of candidiasis: 2016 update by the Infectious Diseases Society of America. Clin. Infect. Dis. 2015, 62, e1–e50. [Google Scholar] [CrossRef] [PubMed]
- Maertens, J.A. History of the development of azole derivatives. Clin. Microbiol. Infect. 2004, 10, 1–10. [Google Scholar] [CrossRef] [PubMed]
- Ngo, H.X.; Garneau-Tsodikova, S.; Green, K.D. A complex game of hide and seek: The search for new antifungals. Med. Chem. Comm. 2016, 7, 1285–1306. [Google Scholar] [CrossRef] [PubMed]
- Scorzoni, L.; de Paula e Silva, A.C.; Marcos, C.M.; Assato, P.A.; de Melo, W.C.; de Oliveira, H.C.; Costa-Orlandi, C.B.; Mendes-Giannini, M.J.S.; Fusco-Almeida, A.M. Antifungal therapy: New advances in the understanding and treatment of mycosis. Front. Microbiol. 2017, 8, 36. [Google Scholar] [CrossRef] [PubMed]
- Pfaller, M.A.; Messer, S.A.; Woosley, L.N.; Jones, R.N.; Castanheira, M. Echinocandin and triazole antifungal susceptibility profiles of opportunistic yeast and mould clinical isolates (2010–2011): Application of new CLSI clinical breakpoints and epidemiological cutoff values to characterize geographic and temporal trends of antifungal resistance. J. Clin. Microbiol. 2013, 51, 2571–2581. [Google Scholar] [PubMed]
- Pfaller, M.A.; Diekema, D.J.; Gibbs, D.L.; Newell, V.A.; Ellis, D.; Tullio, V.; Rodloff, A.; Fu, W.; Ling, T.A. Results from the ARTEMIS DISK Global Antifungal Surveillance Study, 1997 to 2007: A 10.5-year analysis of susceptibilities of Candida species to fluconazole and voriconazole as determined by CLSI standardized disk diffusion. J. Clin. Microbiol. 2010, 48, 1366–1377. [Google Scholar] [CrossRef] [PubMed]
- Whaley, S.G.; Berkow, E.L.; Rybak, J.M.; Nishimoto, A.T.; Barker, K.S.; Rogers, P.D. Azole antifungal resistance in Candida albicans and emerging non-albicans Candida species. Front. Microbiol. 2017, 7, 2173. [Google Scholar] [CrossRef] [PubMed]
- Zong, G.; Yan, X.; Bi, J.; Jiang, R.; Qin, Y.; Yuan, H.; Dong, Y.; Jin, S.; Zhang, J. Synthesis, fungicidal evaluation and 3D-QSAR studies of novel 1, 3, 4-thiadiazole xylofuranose derivatives. PLoS ONE 2017, 12, e0181646. [Google Scholar] [CrossRef] [PubMed]
- Kalidhar, U.; Kaur, A. 1,3,4-Thiadiazole derivatives and their biological activities: A Review. Res. J. Pharm. Biol. Chem. 2011, 4, 1091–1106. [Google Scholar]
- Li, Y.; Geng, J.; Liu, Y.; Yu, S.; Zhao, G. Thiadiazole—A promising structure in medicinal chemistry. Chem. Med. Chem. 2013, 8, 27–41. [Google Scholar] [CrossRef] [PubMed]
- Kier, L.B.; Dodd, M.C.; Sapko, P.; Stewart, T.G. A New Class of Antimicrobial Agents. Nature 1964, 204, 697. [Google Scholar] [CrossRef] [PubMed]
- Masereel, B.; Rolin, S.; Abbate, F.; Scozzafava, A.; Supuran, C.T. Carbonic anhydrase inhibitors: Anticonvulsant sulfonamides incorporating valproyl and other lipophilic moieties. J. Med. Chem. 2002, 45, 312–320. [Google Scholar] [CrossRef] [PubMed]
- Kamal, M.; Shakya, A.K.; Jawaid, T. 1, 3, 4-Thiadiazole as antimicrobial agent: A review. Int. J. Biomed. Res. 2011, 2, 41–61. [Google Scholar] [CrossRef]
- Jain, A.K.; Sharma, S.; Vaidya, A.; Ravichandran, V.; Agrawal, R.K. 1,3,4-Thiadiazole and its derivatives: A review on recent progress in biological activities. Chem. Biol. Drug Des. 2013, 81, 557–576. [Google Scholar] [CrossRef] [PubMed]
- Hu, Y.; Li, C.Y.; Wang, X.M.; Yang, Y.H.; Zhu, H.L. 1,3,4-Thiadiazole: Synthesis, reactions, and applications in medicinal, agricultural, and materials chemistry. Chem. Rev. 2014, 114, 5572–5610. [Google Scholar] [CrossRef] [PubMed]
- Camoutsis, C.; Geronikaki, A.; Ciric, A.; Soković, M.; Zoumpoulakis, P.; Zervou, M. Sulfonamide-1,2,4-thiadiazole derivatives as antifungal and antibacterial agents: Synthesis, biological evaluation, lipophilicity, and conformational studies. Chem. Pharma. Bull. 2010, 58, 160–167. [Google Scholar] [CrossRef]
- Haider, S.; Alam, M.S.; Hamid, H. 1,3,4-Thiadiazoles: A potent multi targeted pharmacological scaffold. Eur. J. Med. Chem. 2015, 92, 156–177. [Google Scholar] [CrossRef] [PubMed]
- Zhou, S.; Li, F.; Zhang, P.; Jiang, L. Synthesis and antifungal activity of novel 1-(1H-benzoimidazol-1-yl) propan-2-one oxime-ethers containing the morpholine moiety. Res. Chem. Intermediat. 2013, 39, 1735–1743. [Google Scholar] [CrossRef]
- Jin, R.; Liu, J.; Zhang, G.; Li, J.; Zhang, S.; Guo, H. Design, Synthesis, and Antifungal Activities of Novel 1,2,4-Triazole Schiff Base Derivatives. Chem. Biodivers. 2018, 15, e1800263. [Google Scholar] [CrossRef] [PubMed]
- Ahirwar, J.; Ahirwar, D.; Lanjhiyana, S.; Jha, A.K.; Dewangan, D.; Badwaik, H. Synthesis, Characterization, Molecular Modeling, and Biological Evaluation of 1, 2, 4-Triazole-pyridine Hybrids as Potential Antimicrobial Agents. J. Heterocycl. Chem. 2018, 55, 2598–2608. [Google Scholar] [CrossRef]
- Sahi, S.; Sodhi, R.K.; Jamwal, B.; Paul, S. Synthesis and in vitro Biological Evaluation of Some Novel Triazole-Based Heterocycles as Potential Antimicrobial Agents. J. Heterocycl. Chem. 2018, 55, 1596–1603. [Google Scholar] [CrossRef]
- Al-Wabli, R.I.; Al-Ghamdi, A.R.; Primsa, I.P.; Ghabbour, H.A.; Al-Agamy, M.H.; Joe, I.H.; Attia, M.I. (2E)-2-[1-(1,3-Benzodioxol-5-yl)-3-(1H-imidazol-1-yl)propylidene]-N-(4-methoxyphenyl) hydrazinecarboxamide: Synthesis, crystal structure, vibrational analysis, DFT computations, molecular docking and antifungal activity. J. Mol. Struct. 2018, 1166, 121–130. [Google Scholar] [CrossRef]
- Chen, L.; Zhao, B.; Fan, Z.; Liu, X.; Wu, Q.; Li, H.; Wang, H. Synthesis of Novel 3, 4-Chloroisothiazole-Based Imidazoles as Fungicides and Evaluation of Their Mode of Action. J. Agric. Food Chem. 2018, 66, 7319–7327. [Google Scholar] [CrossRef] [PubMed]
- Jeanmart, S.; Gagnepain, J.; Maity, P.; Lamberth, C.; Cederbaum, F.; Rajan, R.; Jacob, O.; Blum, M.; Bieri, S. Synthesis and fungicidal activity of novel imidazole-based ketene dithioacetals. Bioorg. Med. Chem. 2018, 26, 2009–2016. [Google Scholar] [CrossRef] [PubMed]
- Levent, S.; Kaya Çavuşoğlu, B.; Sağlık, B.N.; Osmaniye, D.; Acar Çevik, U.; Atlı, Ö.; Ozkay, Y.; Kaplancıklı, Z.A. Synthesis of oxadiazole-thiadiazole hybrids and their anticandidal activity. Molecules 2017, 22, 2004. [Google Scholar] [CrossRef] [PubMed]
- Samee, W.; Vajragupta, O. Antifungal, cytotoxic activities and docking studies of 2, 5-dimercapto-1, 3, 4-thiadiazole derivatives. Afr. J. Pharm. Pharmacol. 2011, 5, 477–485. [Google Scholar] [CrossRef]
- Radwan, A.A.; Alanazi, F.K.; Al-Agamy, M.H. 1,3,4-Thiadiazole and 1,2,4-triazole-3 (4H)-thione bearing salicylate moiety: Synthesis and evaluation as anti-Candida albicans. Braz. J. Pharm. Sci. 2017, 53, e15239. [Google Scholar] [CrossRef]
- Dhingra, S.; Cramer, R.A. Regulation of sterol biosynthesis in the human fungal pathogen aspergillus fumigatus: Opportunities for therapeutic development. Front. Microbiol. 2017, 8. [Google Scholar] [CrossRef] [PubMed]
- Malik, M.A.; Al-Thabaiti, S.A.; Malik, M.A. Synthesis, structure optimization and antifungal screening of novel tetrazole ring bearing acyl-hydrazones. Int. J. Mol. Sci. 2012, 13, 10880–10898. [Google Scholar] [CrossRef] [PubMed]
- Breivik, O.N.; Owades, J.L. Yeast analysis, spectrophotometric semimicrodetermination of ergosterol in yeast. J. Agric. Food Chem. 1957, 5, 360–363. [Google Scholar] [CrossRef]
- Hargrove, T.Y.; Friggeri, L.; Wawrzak, Z.; Qi, A.; Hoekstra, W.J.; Schotzinger, R.J.; York, J.D.; Guengerich, F.P.; Lepesheva, G.I. Structural analyses of Candida albicans sterol 14α-demethylase complexed with azole drugs address the molecular basis of azole-mediated inhibition of fungal sterol biosynthesis. J. Biol. Chem. 2017, 292, 6728–6743. [Google Scholar] [CrossRef] [PubMed]
- Van De Waterbeemd, H.; Gifford, E. ADMET in silico modelling: Towards prediction paradise? Nat. Rev. Drug Discov. 2003, 2, 192–204. [Google Scholar] [PubMed]
- Schrödinger LLC. QikProp, version 4.8; version 10.6; Schrödinger, LLC: New York, NY, USA, 2016. [Google Scholar]
- Lipinski, C.A.; Lombardo, F.; Dominy, B.W.; Feeney, P.J. Experimental and computational approaches to estimate solubility and permeability in drug discovery and development settings. Adv. Drug Deliv. Rev. 1997, 23, 3–25. [Google Scholar] [CrossRef]
- Jorgensen, W.L.; Duffy, E.M. Prediction of drug solubility from structure. Adv. Drug Deliv. Rev. 2002, 54, 355–366. [Google Scholar] [CrossRef]
- Altintop, M.D.; Ozdemir, A.; Kucukoglu, K.; Turan-Zitouni, G.; Nadaroglu, H.; Kaplancıklı, Z.A. Synthesis and evaluation of new thiadiazole derivatives as potential inhibitors of human carbonic anhydrase isozymes (hCA-I and hCA-II). J. Enzyme Inhib. Med. Chem. 2015, 30, 32–37. [Google Scholar] [CrossRef] [PubMed]
- Rodriguez-Tudela, J.L.; Barchiesi, F. Subcommittee on Antifungal Susceptibility Testing (AFST). EUCAST Definitive Document EDef 7. 1: Method for the determination of broth dilution MICs of antifungal agents for fermentative yeast. Clin. Microbiol. Infect. 2008, 14, 398–405. [Google Scholar] [CrossRef] [PubMed]
- Karaca Gençer, H.; Acar Çevik, U.; Levent, S.; Sağlık, B.N.; Korkut, B.; Özkay, Y.; Ilgın, S.; Öztürk, Y. New benzimidazole-1,2,4-triazole hybrid compounds: Synthesis, anticandidal activity and cytotoxicity evaluation. Molecules 2017, 22, 507. [Google Scholar] [CrossRef] [PubMed]
- Schrödinger LLC. Maestro, version 10.6; Schrödinger, LLC: New York, NY, USA, 2016. [Google Scholar]
- Can, N.Ö.; Acar Çevik, U.; Sağlık, B.N.; Levent, S.; Korkut, B.; Özkay, Y.; Kaplancıklı, Z.A.; Koparal, A.S. Synthesis, Molecular Docking Studies, and Antifungal Activity Evaluation of New Benzimidazole-Triazoles as Potential Lanosterol 14α-Demethylase Inhibitors. J. Chem. 2017. [Google Scholar] [CrossRef]
- Schrödinger LLC. Schrödinger Suite; Schrödinger, LLC: New York, NY, USA, 2016. [Google Scholar]
- Schrödinger LLC. LigPrep, version 3.8; Schrödinger, LLC: New York, NY, USA, 2016. [Google Scholar]
- Schrödinger LLC. Glide, version 7.1; Schrödinger, LLC: New York, NY, USA, 2016. [Google Scholar]
Sample Availability: Samples of the compounds 3a–3l are available from the authors. |



| Compound | R1 | R2 |
|---|---|---|
| 3a | –H | –H |
| 3b | –H | –CH3 |
| 3c | –H | –OCH3 |
| 3d | –H | –CN |
| 3e | –H | –NO2 |
| 3f | –H | –F |
| 3g | –H | –Cl |
| 3h | –H | –Br |
| 3i | –H | –Phenyl |
| 3j | –CH3 | –CH3 |
| 3k | –F | –F |
| 3l | –Cl | –Cl |





| Comp. | 1 | 2 | 3 | 4 | 5 | 6 | 7 | 8 |
|---|---|---|---|---|---|---|---|---|
| 3a | 40 | 40 | 20 | 20 | 20 | 20 | 20 | 80 |
| 3b | 40 | 20 | 20 | 20 | 20 | 20 | 20 | 10 |
| 3c | 40 | 20 | 40 | 40 | 20 | 20 | 40 | 20 |
| 3d | 80 | 20 | 20 | 20 | 40 | 20 | 80 | 40 |
| 3e | 80 | 80 | 80 | 80 | 80 | 80 | 80 | 80 |
| 3f | 40 | 20 | 20 | 20 | 20 | 20 | 20 | 20 |
| 3g | 20 | 20 | 20 | 20 | 20 | 20 | 20 | 20 |
| 3h | 20 | 20 | 10 | 20 | 20 | 20 | 40 | 20 |
| 3i | 40 | 40 | 40 | 40 | 40 | 40 | 40 | 40 |
| 3j | 40 | 80 | 20 | >160 | 40 | 40 | 40 | 40 |
| 3k | 10 | 10 | 10 | 20 | 10 | 20 | 10 | 10 |
| 3l | 10 | 10 | 10 | 20 | 5 | 10 | 10 | 10 |
| Fluconazole | 10 | 20 | 10 | 20 | 20 | 20 | 20 | 10 |
| Compound | 2.5 µg/mL | 5 µg/mL | 10 µg/mL | 20 µg/mL | 40 µg/mL |
|---|---|---|---|---|---|
| 3k | 45.38 ± 1.75 | 38.17 ± 1.21 | 36.24 ± 1.17 | 28.33 ± 1.12 | 20.97 ± 0.88 |
| 3l | 39.21 ± 1.24 | 33.24 ± 1.18 | 26.55 ± 0.97 | 21.74 ± 0.82 | 17.29 ± 0.64 |
| Fluconazole | 77.82 ± 1.43 | 58.02 ± 1.12 | 44.82 ± 1.24 | 30.65 ± 1.11 | 18.27 ± 0.72 |
| Compound | MW | RB | DM | MV | DHB | AHB | PSA | LogP | LogS | PCaco | PM | %HOA | VRF | VRT |
|---|---|---|---|---|---|---|---|---|---|---|---|---|---|---|
| 3a | 361.86 | 6 | 5.741 | 1067.2 | 1 | 4.5 | 68.51 | 4.233 | −5.731 | 797.651 | 2 | 100 | 0 | 1 |
| 3b | 375.89 | 6 | 6.021 | 1126.1 | 1 | 4.5 | 68.51 | 4.537 | −6.293 | 797.651 | 3 | 100 | 0 | 1 |
| 3c | 391.89 | 7 | 6.627 | 1133.6 | 1 | 5.25 | 78.875 | 4.247 | −5.796 | 794.837 | 3 | 100 | 0 | 1 |
| 3d | 386.87 | 7 | 6.187 | 1133.9 | 1 | 6 | 94.305 | 3.48 | −6.702 | 164.955 | 2 | 87.011 | 0 | 1 |
| 3e | 406.86 | 7 | 8.43 | 1149.6 | 1 | 5.5 | 117.18 | 3.538 | −5.987 | 81.982 | 3 | 81.911 | 0 | 1 |
| 3f | 379.85 | 6 | 5.193 | 1083.3 | 1 | 4.5 | 68.514 | 4.469 | −6.096 | 797.555 | 2 | 100 | 0 | 1 |
| 3g | 396.31 | 6 | 5.161 | 1111.3 | 1 | 4.5 | 68.513 | 4.727 | −6.472 | 797.588 | 2 | 100 | 0 | 1 |
| 3h | 440.76 | 6 | 5.241 | 1120.2 | 1 | 4.5 | 68.513 | 4.804 | −6.587 | 797.605 | 2 | 100 | 0 | 1 |
| 3i | 437.96 | 7 | 8.053 | 1305.8 | 1 | 4.5 | 70.177 | 5.862 | −7.79 | 742.617 | 2 | 100 | 1 | 1 |
| 3j | 389.92 | 6 | 4.88 | 1175.2 | 1 | 4.5 | 66.349 | 4.78 | −6.611 | 813.51 | 4 | 100 | 0 | 1 |
| 3k | 397.84 | 6 | 5.396 | 1072.2 | 1 | 4.5 | 69.187 | 4.371 | −5.216 | 765.672 | 2 | 100 | 0 | 0 |
| 3l | 430.75 | 6 | 5.548 | 1158.7 | 1 | 4.5 | 64.786 | 5.318 | −6.907 | 1112.803 | 2 | 100 | 1 | 1 |
© 2018 by the authors. Licensee MDPI, Basel, Switzerland. This article is an open access article distributed under the terms and conditions of the Creative Commons Attribution (CC BY) license (http://creativecommons.org/licenses/by/4.0/).
Share and Cite
Karaburun, A.Ç.; Acar Çevik, U.; Osmaniye, D.; Sağlık, B.N.; Kaya Çavuşoğlu, B.; Levent, S.; Özkay, Y.; Koparal, A.S.; Behçet, M.; Kaplancıklı, Z.A. Synthesis and Evaluation of New 1,3,4-Thiadiazole Derivatives as Potent Antifungal Agents. Molecules 2018, 23, 3129. https://doi.org/10.3390/molecules23123129
Karaburun AÇ, Acar Çevik U, Osmaniye D, Sağlık BN, Kaya Çavuşoğlu B, Levent S, Özkay Y, Koparal AS, Behçet M, Kaplancıklı ZA. Synthesis and Evaluation of New 1,3,4-Thiadiazole Derivatives as Potent Antifungal Agents. Molecules. 2018; 23(12):3129. https://doi.org/10.3390/molecules23123129
Chicago/Turabian StyleKaraburun, Ahmet Çağrı, Ulviye Acar Çevik, Derya Osmaniye, Begüm Nurpelin Sağlık, Betül Kaya Çavuşoğlu, Serkan Levent, Yusuf Özkay, Ali Savaş Koparal, Mustafa Behçet, and Zafer Asım Kaplancıklı. 2018. "Synthesis and Evaluation of New 1,3,4-Thiadiazole Derivatives as Potent Antifungal Agents" Molecules 23, no. 12: 3129. https://doi.org/10.3390/molecules23123129
APA StyleKaraburun, A. Ç., Acar Çevik, U., Osmaniye, D., Sağlık, B. N., Kaya Çavuşoğlu, B., Levent, S., Özkay, Y., Koparal, A. S., Behçet, M., & Kaplancıklı, Z. A. (2018). Synthesis and Evaluation of New 1,3,4-Thiadiazole Derivatives as Potent Antifungal Agents. Molecules, 23(12), 3129. https://doi.org/10.3390/molecules23123129

