Anti-Leishmanial and Cytotoxic Activities of a Series of Maleimides: Synthesis, Biological Evaluation and Structure-Activity Relationship
Abstract
1. Introduction
2. Results and Discussion
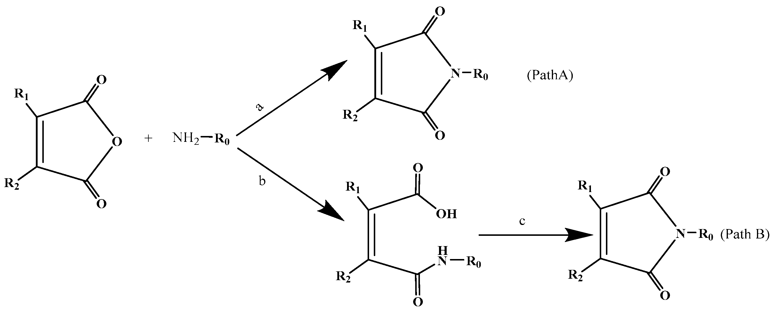
2.1. Chemistry
2.2. Biological Evaluations
2.2.1. Anti-leishmanial Activity
2.2.2. Cytotoxicity
2.3. Structure-Activity Relationships
2.3.1. Influences of Substituents at the 3- and 4-Positions of the Maleimide Ring
2.3.2. Influences of the N-Substituents
3. Experimental Section
3.1. Chemistry General Details
3.2. Biology
4. Conclusions
Supplementary Materials
Author Contributions
Funding
Conflicts of Interest
References
- World Health Organization. Available online: www.who.int/leishmaniasis/burden/en/ (accessed on 1 September 2017).
- Akopyants, N.S.; Kimblin, N.; Secundino, N.; Patrick, R.; Peters, N.; Lawyer, P.; Dobson, D.E.; Beverley, S.M.; Sacks, D.L. Demonstration of genetic exchange during cyclical development of Leishmania in the sand fly vector. Science 2009, 324, 265–268. [Google Scholar] [CrossRef] [PubMed]
- Chappuis, F.; Sundar, S.; Hailu, A.; Ghalib, H.; Rijal, S.; Peeling, R.W.; Alvar, J.; Boelaert, M. Visceral leishmaniasis: What are the needs for diagnosis, treatment and control. Nat. Rev. Microbiol. 2007, 5, 873–882. [Google Scholar] [CrossRef] [PubMed]
- Sharma, U.; Singh, S. Immunobiology of leishmaniasis. Indian J. Exp. Biol. 2009, 47, 412–423. [Google Scholar] [PubMed]
- Golenser, J.; Domb, B. New formulations and derivatives of amphotericin B for treatment of leishmaniasis. Mini-Rev. Med. Chem. 2006, 6, 153–162. [Google Scholar] [CrossRef] [PubMed]
- Wiwanitkit, V. Interest in paromomycin for the treatment of visceral leishmaniasis (kala-azar). Ther. Clin. Risk Manag. 2012, 8, 323–328. [Google Scholar] [CrossRef] [PubMed]
- Dorlo, T.P.C.; Balasegaram, M.; Beijnen, J.H.; de Vries, P.J. Miltefosine: A review of its pharmacology and therapeutic efficacy in the treatment of leishmaniasis. J. Antimicrob. Chemother. 2012, 67, 2576–2597. [Google Scholar] [CrossRef] [PubMed]
- Garnier, T.; Mantyla, A.; Jarvinen, T.; Lawrence, J.; Brown, M.; Croft, S. In vivo studies on the antileishmanial activity of buparvaquone and its prodrugs. J. Antimicrob. Chemother. 2007, 60, 802–810. [Google Scholar] [CrossRef] [PubMed]
- Kaur, K.; Jain, M.; Khan, S.; Jacob, M.R.; Tekwani, B.L.; Singh, S.; Singh, P.P.; Jain, R. Synthesis, antiprotozoal, antimicrobial, beta-hematin inhibition, cytotoxicity and methemoglobin (MetHb) formation activities of bis(8-aminoquinolines). Bioorg. Med. Chem. 2011, 19, 197–210. [Google Scholar] [CrossRef] [PubMed]
- Bolt, H.L.; Denny, P.W.; Cobb, S.L. An Efficient Method for the Synthesis of Peptoids with Mixed Lysine-type/Arginine-type Monomers and Evaluation of Their Anti-leishmanial Activity. J. Vis. Exp. Jove 2016, 117, 1–12. [Google Scholar] [CrossRef] [PubMed]
- Ashok, P.; Chander, S.; Chow, L.M.C.; Wong, I.L.K.; Singh, R.P.; Jha, P.N.; Sankaranarayanan, M. Synthesis and in-vitro anti-leishmanial activity of (4-arylpiperazin-1-yl)(1-(thiophen-2-yl)-9H-pyrido[3,4-b]indol-3-yl)methanone derivatives. Bioorg. Chem. 2017, 70, 100–106. [Google Scholar] [CrossRef] [PubMed]
- Masood, M.M.; Hasan, P.; Tabrez, S.; Ahmad, M.B.; Yadava, U.; Daniliuc, C.G.; Sonawane, Y.A.; Azam, A.; Rub, A.; Abid, M. Anti-leishmanial and cytotoxic activities of amino acid-triazole hybrids: Synthesis, biological evaluation, molecular docking and in silico physico-chemical properties. Bioorg. Med. Chem. Lett. 2017, 27, 1886–1891. [Google Scholar] [CrossRef] [PubMed]
- Rahim, F.; Samreen, H.; Ullah, H.; Fakhri, M.I.; Salar, U.; Perveen, S.; Khan, K.M.; Iqbal Choudhary, M. Anti-leishmanial activities of synthetic biscoumarins. J. Chem. Soc. Pak. 2017, 39, 79–82. [Google Scholar]
- Upadhyay, A.; Kushwaha, P.; Gupta, S.; Dodda, R.P.; Ramalingam, K.; Kant, R.; Goyal, N.; Sashidhara, K.V. Synthesis and evaluation of novel triazolyl quinoline derivatives as potential antileishmanial agents. Eur. J. Med. Chem. 2018, 154, 172–181. [Google Scholar] [CrossRef] [PubMed]
- Chander, S.; Ashok, P.; Reguera, R.; Perez-Pertejo, M.; Carbajo-Andres, R.; Balana-Fouce, R.; Sankaranarayanan, M. Synthesis and activity of benzopiperidine, benzopyridine and phenyl piperazine based compounds against Leishmania infantum. Exp. Parasitol. 2018, 189, 49–60. [Google Scholar] [CrossRef] [PubMed]
- Din, Z.U.; Trapp, M.A.; Soman de Medeiros, L.; Lazarin-Bidoia, D.; Garcia, F.P.; Peron, F.; Nakamura, C.V.; Rodriguez, I.C.; Wadood, A.; Rodrigues-Filho, E. Symmetrical and unsymmetrical substituted 2,5-diarylidene cyclohexanones as anti-parasitic compounds. Eur. J. Med. Chem. 2018, 155, 596–608. [Google Scholar] [CrossRef] [PubMed]
- Awasthi, B.P.; Mitra, K. In vitro leishmanicidal effects of the anti-fungal drug natamycin are mediated through disruption of calcium homeostasis and mitochondrial dysfunction. Apoptosis 2018, 23, 420–435. [Google Scholar] [CrossRef] [PubMed]
- Ashok, P.; Chander, S.; Smith, T.K.; Sankaranarayanan, M. Design, synthesis and biological evaluation of piperazinyl-β-carboline derivatives as anti-leishmanial agents. Eur. J. Med. Chem. 2018, 150, 559–566. [Google Scholar] [CrossRef] [PubMed]
- Temraz, M.G.; Elzahhar, P.A.; El-Din, A.; Bekhit, A.; Bekhit, A.A.; Labib, H.F.; Belal, A.S.F. Anti-leishmanial click modifiable thiosemicarbazones: design, synthesis, biological evaluation and in silico studies. Eur. J. Med. Chem. 2018, 151, 585–600. [Google Scholar] [CrossRef] [PubMed]
- Chen, X.L.; Zhang, L.J.; Li, F.G.; Fan, Y.X.; Wang, W.P.; Li, B.J.; Shen, Y.C. Synthesis and antifungal evaluation of a series of maleimides. Pest Manag. Sci. 2015, 71, 433–440. [Google Scholar] [CrossRef] [PubMed]
- Li, W.; Fan, Y.X.; Shen, Z.Z.; Chen, X.L.; Shen, Y.C. Antifungal activity of simple compounds with maleic anhydride or dimethylmaleimide structure against Botrytis cinerea. J. Pestic. Sci. 2012, 37, 247–251. [Google Scholar] [CrossRef]
- Shen, Z.Z.; Fan, Y.X.; Li, F.G.; Chen, X.L.; Shen, Y.C. Synthesis of a series of N-substituted dimethylmaleimides and their antifungal activities against Sclerotinia sclerotiorum. J. Pest Sci. 2013, 86, 353–360. [Google Scholar] [CrossRef]
- Jens, R.A.; Irma, K.B.; Beata, A.C.; Anthony, C.W.A.; Edward, H.D.; Stephen, S.B.; Edward, T.C.; Vito, F.D. The synthesis and biological evaluation of two analogues of the C-Riboside showdomycin. Aust. J. Chem. 2005, 58, 86–93. [Google Scholar]
- Thomas, B.; Stephan, A.S. Showdomycin as a versatile chemical tool for the detection of pathogenesis-associated enzymes in bacteria. J. Am. Chem. Soc. 2010, 132, 6964–6972. [Google Scholar]
- Wu, M.D.; Cheng, M.J. Maleimide and maleic anhydride derivatives from the mycelia of Antrodia cinnamomea and their nitric oxide inhibitory activities in macrophages. J. Nat. Prod. 2008, 71, 1258–1261. [Google Scholar] [CrossRef] [PubMed]
- Wael, A.Z.; Clarisse, B.F.; Fondja, Y.; Aqabamycins, A.-G. Novel nitro maleimides from a marine Vibrio species: I. taxonomy, fermentation, isolation and biological activities. J. Antibiot. 2010, 63, 297–301. [Google Scholar]
- Frederic, Z.; Alain, V. Synthesis and antimicrobial activities of N-substituted imides. IL Farmaco 2002, 57, 421–426. [Google Scholar]
- David, C.; Emmanuelle, S.S. Monohalogenated maleimides as potential agents for the inhibition of Pseudomonas aeruginosa biofilm. Biofouling 2010, 26, 379–385. [Google Scholar]
- Silvia, N.L.; Maria, V.C. In vitro antifungal properties, structure-activity relationships and studies on the mode of action of N-phenyl, N-aryl, N-phenylalkyl maleimides and related compounds. Arzneim-Forsch 2005, 55, 123–132. [Google Scholar]
- Slavica, A.; Dib, I.; Nidetzky, B. Selective modification of surface-exposed thiol groups in Trigonopsis variabilis d-amino acid oxidase using poly (ethylene glycol) maleimide and its effect on activity and stability of the enzyme. Biotechnol. Bioeng. 2007, 96, 9–17. [Google Scholar] [CrossRef] [PubMed]
- Manas, K.S.; Debjani, D.; Dulal, P. Pyrene excimer fluorescence of yeast alcohol dehydrogenase: A sensitive probe to investigate ligand binding and unfolding pathway of the enzyme. Photochem. Photobiol. 2006, 82, 480–486. [Google Scholar]
- Wu, P.; Hu, Y.Z. Synthesis of novel 1,4-benzoxazine-2,3-dicarboximides from maleic anhydride and substituted aromatic amines. Synth. Commun. 2009, 39, 70–84. [Google Scholar] [CrossRef]
- Sortino, M.; Garibotto, F.; Cecheinel, F.V.; Gupta, M.; Enriz, R.; Zacchino, S. Antifungal, cytotoxic and SAR studies of a series of N-alkyl, N-aryl and N-alkylphenyl-1,4-pyrrolediones and related compounds. Bioorg. Med. Chem. 2011, 19, 2823–2834. [Google Scholar] [CrossRef] [PubMed]
- Natalia, S.; Joanna, B.M. Chemical reactivity and antimicrobial activity of N-substituted maleimides. J. Enzyme Inhib. Med. Chem. 2011, 27, 117–124. [Google Scholar]
- Jerzy, K. Synthesis of new N-substituted cyclic imides with potential anxiolytic activity. XXV. derivatives of halogenodibenzo(e.h)bicyclo(2.2.2)otcane-2,3-dicarboximide. Acta Pol. Pharm. 2003, 60, 1183–1189. [Google Scholar]
- Nara, L.M.; Gislaine, F.; Carla, S. N-antipyrine-3,4-dichloromaleimide, an effective cyclic imide for the treatment of chronic pain: the role of the glutamatergic system. Anesth. Analg. 2010, 110, 942–950. [Google Scholar]
- Khan, M.I.; Baloch, M.K.; Ashfaq, M. Biological aspects of new organotin (IV) compounds of 3-maleimidopropionic acid. J. Organomet. Chem. 2004, 689, 3370–3378. [Google Scholar] [CrossRef]
- Sosabowski, J.K.; Matzow, T.; Foster, J.M.; Finucane, C.; Ellison, D.; Watson, S.A.; Mather, S.J. Targeting of CCK-2 receptor-expressing tumors using a radiolabelled divalent gastrin peptide. J. Nucl. Med. 2009, 50, 2082–2089. [Google Scholar] [CrossRef] [PubMed]
- Yu, X.Y.; Corten, C.; Gornerc, H.; Wolff, T.; Kuckling, D. Photodimers of N-alkyl-3, 4-dimethylmaleimides-product ratios and reaction mechanism. J. Photochem. Photobiol. 2008, 198, 34–44. [Google Scholar] [CrossRef]
- Jiang, L.; Liu, F.; Zhang, D.K.; Wang, H.B. Synthesis and antifungal activity of 1-substitutedphenyl-3-(5-halobenzimidazol-2-yl) acylurea. J. Pestic. Sci. 2010, 35, 33–35. [Google Scholar] [CrossRef]
- Takatori, K.; Hasegawa, T.; Nakano, S. Antifungal activities of N-substituted maleimide derivatives. Microbiol. Immunol. 1985, 29, 1237–1241. [Google Scholar] [CrossRef] [PubMed]
- Trujillo-Ferrara, J.; Santillan, R.; Beltran, H.I. 1H and 13C-NMR spectra for a series of arylmaleamic acids, arylmaleimides, arylsuccinamic acids and arylsuccinimides. Magn. Reson. Chem. 1999, 37, 682–686. [Google Scholar] [CrossRef]
- Sortino, M.; Zacchino, S.A. Efficient asymmetric hydrogenation of the C-C double bond of 2-methyl-N-phebylalkylmaleimides by Aspergillus fumigatus. Tetrahedron Asym. 2010, 21, 535–539. [Google Scholar] [CrossRef]
- Rahman, A.A.; Samoylenko, V.; Jacob, M.R.; Sahu, R.; Jain, S.K.; Khan, S.I.; Tekwani, B.L.; Muhammad, I. Antiparasitic and antimicrobial indolizidines from the leaves of Prosopis glandulosa var glandulosa. Planta Medica 2011, 77, 1639–1643. [Google Scholar] [CrossRef] [PubMed]
- Mikus, J.; Steverding, D. A simple colorimetric method to screen drug cytotoxicity against Leishmania, using the dye Alamar Blue. Parasitol. Int. 2000, 48, 265–269. [Google Scholar] [CrossRef]
Sample Availability: Samples of the compounds are not available from the authors. |




| Compound | L. donvani IC50 (μg/mL) | THP1 CC50 (μg/mL) | SI | LogP |
|---|---|---|---|---|
| 1 | 0.08 | >10 | >125.0 | 0.72 |
| 2 | 0.36 | >10 | >27.8 | 1.14 |
| 3 | 0.11 | >10 | >90.9 | 1.56 |
| 4 | 0.27 | >10 | >37.0 | 2.39 |
| 5 | 2.21 | >10 | >4.5 | 4.06 |
| 6 | 0.08 | 4.56 | 57.0 | 1.21 |
| 7 | 0.10 | 4.13 | 41.3 | 1.49 |
| 8 | 0.11 | 8.25 | 75.0 | 1.91 |
| 9 | 0.24 | >10 | >41.7 | 1.14 |
| 10 | 0.15 | >10 | >66.7 | 1.63 |
| 11 | 0.32 | >10 | >31.3 | 1.30 |
| 12 | 1.02 | >10 | >9.8 | 1.70 |
| 13 | 0.10 | 3.65 | 36.5 | 2.12 |
| 14 | 0.08 | 3.89 | 48.6 | 2.95 |
| 15 | 0.21 | >10 | >23.2 | 1.62 |
| 16 | <0.0128 | >10 | >781.3 | 0.70 |
| 17 | 0.26 | >10 | >38.5 | 1.03 |
| 18 | 0.58 | 7.64 | 13.2 | 1.07 |
| 19 | 0.81 | 5.89 | 7.3 | 1.91 |
| 20 | 0.96 | 8.10 | 8.4 | 2.74 |
| 21 | 0.58 | 7.94 | 13.7 | 1.56 |
| 22 | 1.22 | 5.99 | 4.9 | 1.84 |
| 23 | 13.17 | >10 | >0.8 | 2.47 |
| 24 | 0.55 | 4.39 | 8.0 | 3.30 |
| 25 | 0.34 | 0.80 | 2.4 | 2.61 |
| 26 | 0.64 | >10 | >15.6 | 1.05 |
| 27 | 0.89 | 7.15 | 8.0 | 1.38 |
| 28 | 0.47 | >10 | >21.3 | 0.80 |
| 29 | 0.65 | >10 | >15.4 | 1.22 |
| 30 | 0.49 | >10 | >20.4 | 1.63 |
| 31 | 0.48 | >10 | >20.8 | 2.47 |
| 32 | 1.64 | >10 | >6.1 | 1.57 |
| 33 | 0.40 | >10 | >25.0 | 1.99 |
| 34 | 0.76 | >10 | >13.2 | 1.22 |
| 35 | 0.66 | >10 | >15.2 | 1.71 |
| 36 | 0.36 | >10 | >27.8 | 1.38 |
| 37 | 0.59 | >10 | >16.9 | 1.78 |
| 38 | 0.45 | >10 | >22.2 | 2.19 |
| 39 | 0.13 | >10 | >76.9 | 3.03 |
| 40 | 0.13 | >10 | >76.9 | 2.27 |
| 41 | 0.11 | >10 | >90.9 | 2.27 |
| 42 | <0.0128 | >10 | >781.3 | 1.70 |
| 43 | 0.99 | >10 | >10.1 | 2.34 |
| 44 | 0.43 | >10 | >23.3 | 0.78 |
| 45 | 0.26 | >10 | >38.5 | 1.10 |
| pentamidine | 0.64 | ND | - | 2.84 |
| amphotericin B | 0.12 | ND | - | 2.30 |
© 2018 by the authors. Licensee MDPI, Basel, Switzerland. This article is an open access article distributed under the terms and conditions of the Creative Commons Attribution (CC BY) license (http://creativecommons.org/licenses/by/4.0/).
Share and Cite
Fan, Y.; Lu, Y.; Chen, X.; Tekwani, B.; Li, X.-C.; Shen, Y. Anti-Leishmanial and Cytotoxic Activities of a Series of Maleimides: Synthesis, Biological Evaluation and Structure-Activity Relationship. Molecules 2018, 23, 2878. https://doi.org/10.3390/molecules23112878
Fan Y, Lu Y, Chen X, Tekwani B, Li X-C, Shen Y. Anti-Leishmanial and Cytotoxic Activities of a Series of Maleimides: Synthesis, Biological Evaluation and Structure-Activity Relationship. Molecules. 2018; 23(11):2878. https://doi.org/10.3390/molecules23112878
Chicago/Turabian StyleFan, Yongxian, Yuele Lu, Xiaolong Chen, Babu Tekwani, Xing-Cong Li, and Yinchu Shen. 2018. "Anti-Leishmanial and Cytotoxic Activities of a Series of Maleimides: Synthesis, Biological Evaluation and Structure-Activity Relationship" Molecules 23, no. 11: 2878. https://doi.org/10.3390/molecules23112878
APA StyleFan, Y., Lu, Y., Chen, X., Tekwani, B., Li, X.-C., & Shen, Y. (2018). Anti-Leishmanial and Cytotoxic Activities of a Series of Maleimides: Synthesis, Biological Evaluation and Structure-Activity Relationship. Molecules, 23(11), 2878. https://doi.org/10.3390/molecules23112878

