Screening of a Novel Polysaccharide Lyase Family 10 Pectate Lyase from Paenibacillus polymyxa KF-1: Cloning, Expression and Characterization
Abstract
1. Introduction
2. Results and Discussion
2.1. Screening of Pectate Lyase from P. polymyxa KF-1 by LC-MS/MS
2.2. Gene Cloning and Sequence Analysis
2.3. Expression of Recombinant PpPel10a and Enzyme Purification
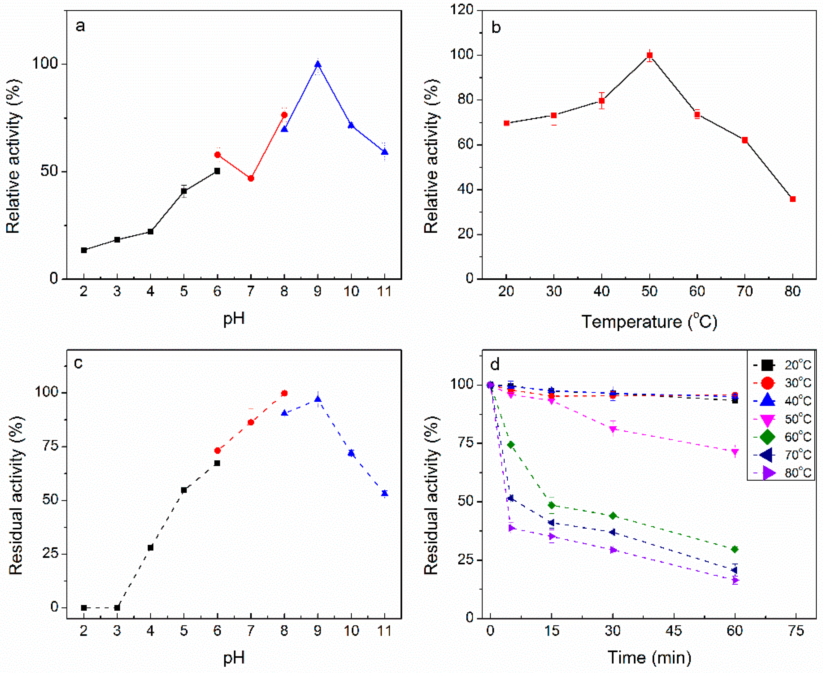
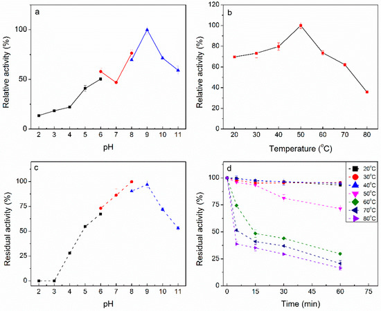
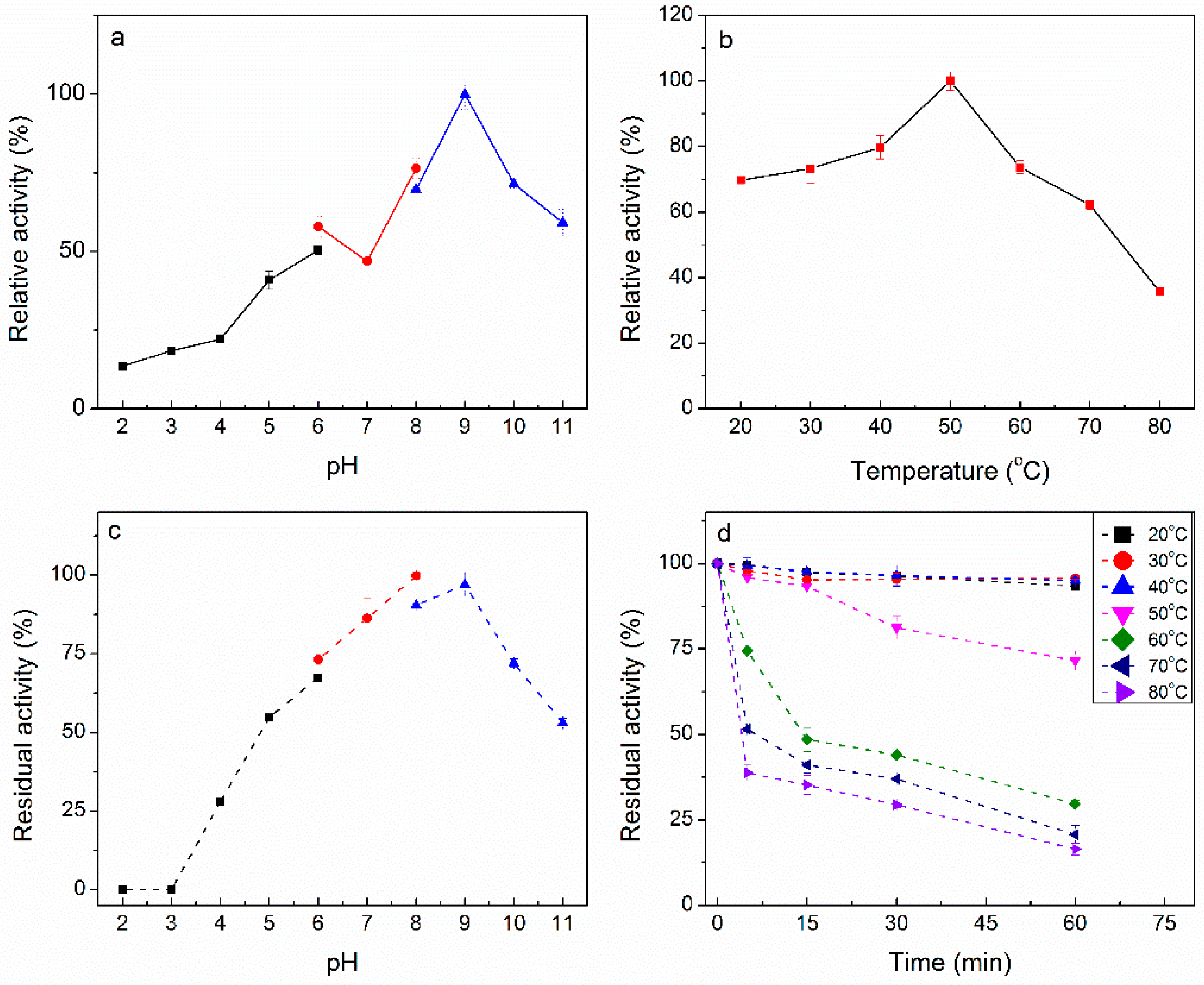
2.4. Enzymatic Properties of Purified PpPel10a
2.5. Identification of Products from Citrus Pectin on Degradation by PpPel10a
2.6. Application of PpPel10a in Viscosity Reduction and Ramie Degumming
3. Materials and Methods
3.1. Bacterial Strains, Plasmid, and Substrates
3.2. Screening of Pectate Lyase from P. polymyxa KF-1 by LC-MS/MS
3.3. Sequence Analysis of PL Family 10 Pectate Lyase
3.4. Gene Cloning and Protein Expression
3.5. Enzymatic Characterization of Pectate Lyase
3.6. Analysis of Lytic Products from Citrus Pectin on Degradation by PpPel10a
3.7. Application of PpPel10a in Viscosity Reduction and Ramie Degumming
4. Conclusions
Supplementary Materials
Author Contributions
Funding
Conflicts of Interest
References
- Wikiera, A.; Irla, M.; Mika, M. Health-promoting properties of pectin. Postepy Hig. Med. Dosw. (Online) 2014, 68, 590–596. [Google Scholar] [CrossRef] [PubMed]
- Chen, J.; Liu, W.; Liu, C.M.; Li, T.; Liang, R.H.; Luo, S.J. Pectin modifications: A review. Crit. Rev. Food Sci. Nutr. 2015, 55, 1684–1698. [Google Scholar] [CrossRef] [PubMed]
- Wikiera, A.; Mika, M. Structure and properties of pectin. Postepy Biochem. 2013, 59, 89–94. [Google Scholar] [PubMed]
- Bonnin, E.; Garnier, C.; Ralet, M.C. Pectin-modifying enzymes and pectin-derived materials: Applications and impacts. Appl. Microbiol. Biotechnol. 2014, 98, 519–532. [Google Scholar] [CrossRef] [PubMed]
- Sriamornsak, P. Application of pectin in oral drug delivery. Expert Opin. Drug Deliv. 2011, 8, 1009–1023. [Google Scholar] [CrossRef] [PubMed]
- Hugouvieux-Cotte-Pattat, N.; Condemine, G.; Shevchik, V.E. Bacterial pectate lyases, structural and functional diversity. Environ. Microbiol. Rep. 2014, 6, 427–440. [Google Scholar] [CrossRef] [PubMed]
- Marín-Rodríguez, M.C.; Orchard, J.; Seymour, G.B. Pectate lyases, cell wall degradation and fruit softening. J. Exp. Bot. 2002, 53, 2115–2119. [Google Scholar] [CrossRef] [PubMed]
- Sutherland, I.W. Polysaccharide lyases. FEMS Microbiol. Rev. 1995, 16, 323–347. [Google Scholar] [CrossRef] [PubMed]
- Kian, L.K.; Saba, N.; Jawaid, M.; Sultan, M.T.H. A review on processing techniques of bast fibers nanocellulose and its polylactic acid (PLA) nanocomposites. Int. J. Biol. Macromol. 2018, in press. [Google Scholar] [CrossRef] [PubMed]
- Mukhopadhyay, A.; Dutta, N.; Chattopadhyay, D.; Chakrabarti, K. Degumming of ramie fiber and the production of reducing sugars from waste peels using nanoparticle supplemented pectate lyase. Bioresour. Technol. 2013, 137, 202–208. [Google Scholar] [CrossRef] [PubMed]
- Basu, S.; Saha, M.N.; Chattopadhyay, D.; Chakrabarti, K. Degumming and characterization of ramie fibre using pectate lyase from immobilized Bacillus pumilus DKS1. Lett. Appl. Microbiol. 2009, 48, 593–597. [Google Scholar] [CrossRef] [PubMed]
- Zhou, Z.; Liu, Y.; Chang, Z.; Wang, H.; Leier, A.; Marquez-Lago, T.T.; Ma, Y.; Li, J.; Song, J. Structure-based engineering of a pectate lyase with improved specific activity for ramie degumming. Appl. Microbiol. Biotechnol. 2017, 101, 2919–2929. [Google Scholar] [CrossRef] [PubMed]
- Zhang, C.; Yao, J.; Zhou, C.; Mao, L.; Zhang, G.; Ma, Y. The alkaline pectate lyase PEL168 of Bacillus subtilis heterologously expressed in Pichia pastoris is more stable and efficient for degumming ramie fiber. BMC Biotechnol. 2013, 13, 26. [Google Scholar] [CrossRef] [PubMed]
- Berensmeier, S.; Singh, S.A.; Meens, J.; Buchholz, K. Cloning of the pelA gene from Bacillus licheniformis 14A and biochemical characterization of recombinant, thermostable, high-alkaline pectate lyase. Appl. Microbiol. Biotechnol. 2004, 64, 560–567. [Google Scholar] [CrossRef] [PubMed]
- Liu, Y.; Chen, G.; Wang, J.; Hao, Y.; Li, M.; Li, Y.; Hu, B.; Lu, F. Efficient expression of an alkaline pectate lyase gene from Bacillus subtilis and the characterization of the recombinant protein. Biotechnol. Lett. 2012, 34, 109–115. [Google Scholar] [CrossRef] [PubMed]
- Sukhumsiirchart, W.; Kawanishi, S.; Deesukon, W.; Chansiri, K.; Kawasaki, H.; Sakamoto, T. Purification, characterization, and overexpression of thermophilic pectate lyase of Bacillus sp. RN1 isolated from a hot spring in Thailand. Biosci. Biotechnol. Biochem. 2009, 73, 268–273. [Google Scholar] [CrossRef] [PubMed]
- Chiliveri, S.R.; Linga, V.R. A novel thermostable, alkaline pectate lyase from Bacillus tequilensis SV11 with potential in textile industry. Carbohydr. Polym. 2014, 111, 264–272. [Google Scholar] [CrossRef] [PubMed]
- Zheng, Y.; Huang, C.H.; Liu, W.; Ko, T.P.; Xue, Y.; Zhou, C.; Guo, R.T.; Ma, Y. Crystal structure and substrate-binding mode of a novel pectate lyase from alkaliphilic Bacillus sp. N16-5. Biochem. Biophys. Res. Commun. 2012, 420, 269–274. [Google Scholar] [CrossRef] [PubMed]
- Lombard, V.; Golaconda Ramulu, H.; Drula, E.; Coutinho, P.M.; Henrissat, B. The carbohydrate-active enzymes database (CAZy) in 2013. Nucleic. Acids Res. 2014, 42, D490–D495. [Google Scholar] [CrossRef] [PubMed]
- Zhai, C.; Cao, J.; Wang, Y. Cloning and expression of a pectate lyase gene from Bacillus alcalophillus NTT33. Enzyme Microb. Technol. 2003, 33, 173–178. [Google Scholar] [CrossRef]
- Sawada, K.; Ogawa, A.; Ozawa, T.; Sumitomo, N.; Hatada, Y.; Kobayashi, T.; Ito, S. Nucleotide and amino-acid sequences of a new-type pectate lyase from an alkaliphilic strain of Bacillus. Eur. J. Biochem. 2000, 267, 1510–1515. [Google Scholar] [CrossRef] [PubMed]
- Bekri, M.A.; Desair, J.; Keijers, V.; Proost, P.; Searle-van Leeuwen, M.; Vanderleyden, J.; Vande Broek, A. Azospirillum irakense produces a novel type of pectate lyase. J. Bacteriol. 1999, 181, 2440–2447. [Google Scholar] [PubMed]
- Walker, S.G.; Ryan, M.E. Cloning and expression of a pectate lyase from the oral spirochete Treponema pectinovorum ATCC 33768. FEMS Microbiol. Lett. 2003, 226, 385–390. [Google Scholar] [CrossRef]
- Yuan, P.; Meng, K.; Wang, Y.; Luo, H.; Shi, P.; Huang, H.; Tu, T.; Yang, P.; Yao, B. A low-temperature-active alkaline pectate lyase from Xanthomonas campestris ACCC 10048 with high activity over a wide pH range. Appl. Biochem. Biotechnol. 2012, 168, 1489–1500. [Google Scholar] [CrossRef] [PubMed]
- Petersen, T.N.; Brunak, S.; von Heijne, G.; Nielsen, H. SignalP 4.0: Discriminating signal peptides from transmembrane regions. Nat. Methods 2011, 8, 785–786. [Google Scholar] [CrossRef] [PubMed]
- Wilkins, M.R.; Gasteiger, E.; Bairoch, A.; Sanchez, J.C.; Williams, K.L.; Appel, R.D.; Hochstrasser, D.F. Protein identification and analysis tools in the ExPASy server. Methods Mol. Biol. 1999, 112, 531–552. [Google Scholar] [PubMed]
- Charnock, S.J.; Brown, I.E.; Turkenburg, J.P.; Black, G.W.; Davies, G.J. Convergent evolution sheds light on the anti-beta-elimination mechanism common to family 1 and 10 polysaccharide lyases. Proc. Natl. Acad. Sci. USA 2002, 99, 12067–12072. [Google Scholar] [CrossRef] [PubMed]
- Alahuhta, M.; Chandrayan, P.; Kataeva, I.; Adams, M.W.; Himmel, M.E.; Lunin, V.V. A 1.5 Å resolution X-ray structure of the catalytic module of Caldicellulosiruptor bescii family 3 pectate lyase. Acta Crystallogr. Sect. F Struct. Biol. Cryst. Commun. 2011, 67, 1498–1500. [Google Scholar] [CrossRef] [PubMed]
- Yuan, P.; Meng, K.; Shi, P.; Luo, H.; Huang, H.; Tu, T.; Yang, P.; Yao, B. An alkaline-active and alkali-stable pectate lyase from Streptomyces sp. S27 with potential in textile industry. J. Ind. Microbiol. Biotechnol. 2012, 39, 909–915. [Google Scholar] [CrossRef] [PubMed]
- Li, Z.; Bai, Z.; Zhang, B.; Li, B.; Jin, B.; Zhang, M.; Lin, F.; Zhang, H. Purification and characterization of alkaline pectin lyase from a newly isolated Bacillus clausii and its application in elicitation of plant disease resistance. Appl. Biochem. Biotechnol. 2012, 167, 2241–2256. [Google Scholar] [CrossRef] [PubMed]
- Wang, M.H.; Kim, J.G.; Ahn, S.E.; Lee, A.Y.; Bae, T.M.; Kim, D.R.; Hwang, Y.S. Potential role of pectate lyase and Ca(2+) in the increase in strawberry fruit firmness induced by short-term treatment with high-pressure CO2. J. Food Sci. 2014, 79, S685–S692. [Google Scholar] [CrossRef] [PubMed]
- Basu, S.; Roy, A.; Ghosh, A.; Bera, A.; Chattopadhyay, D.; Chakrabarti, K. Arg235 is an essential catalytic residue of Bacillus pumilus DKS1 pectate lyase to degum ramie fibre. Biodegradation 2011, 22, 153–161. [Google Scholar] [CrossRef] [PubMed]
- Shi, A.; Hu, H.; Zheng, F.; Long, L.; Ding, S. Biochemical characteristics of an alkaline pectate lyase PelA from Volvariella volvacea: Roles of the highly conserved N-glycosylation site in its secretion and activity. Appl. Microbiol. Biotechnol. 2015, 99, 3447–3458. [Google Scholar] [CrossRef] [PubMed]
- Shahid, M.; Kim, M.; Yeon, A.; Andres, A.M.; You, S.; Kim, J. Quantitative Proteomic Analysis Reveals Caffeine-Perturbed Proteomic Profiles in Normal Bladder Epithelial Cells. Proteomics 2018, 19, e1800190. [Google Scholar] [CrossRef] [PubMed]
- Tyanova, S.; Temu, T.; Carlson, A.; Sinitcyn, P.; Mann, M.; Cox, J. Visualization of LC-MS/MS proteomics data in MaxQuant. Proteomics 2015, 15, 1453–1456. [Google Scholar] [CrossRef] [PubMed]
- Hall, B.G. Building phylogenetic trees from molecular data with MEGA. Mol. Biol. Evol. 2013, 30, 1229–1235. [Google Scholar] [CrossRef] [PubMed]
- Biasini, M.; Bienert, S.; Waterhouse, A.; Arnold, K.; Studer, G.; Schmidt, T.; Kiefer, F.; Gallo Cassarino, T.; Bertoni, M.; Bordoli, L.; et al. SWISS-MODEL: Modelling protein tertiary and quaternary structure using evolutionary information. Nucleic Acids Res. 2014, 42, W252–W258. [Google Scholar] [CrossRef] [PubMed]
- Lessard, J.C. Molecular cloning. Methods Enzymol. 2013, 529, 85–98. [Google Scholar] [CrossRef] [PubMed]
- Brunelle, J.L.; Green, R. One-dimensional SDS-polyacrylamide gel electrophoresis (1D SDS-PAGE). Methods Enzymol. 2014, 541, 151–159. [Google Scholar] [CrossRef] [PubMed]
- Walker, J.M. The bicinchoninic acid (BCA) assay for protein quantitation. Methods Mol. Biol. 1994, 32, 5–8. [Google Scholar] [PubMed]
- Hugues, M.; Boivin, P.; Gauillard, F.; Nicolas, J.; Thiry, J.M.; Richard-Forget, F. Two lipoxygenases from germinated barley-heat and kilning stability. J. Food Sci. 1994, 59, 885–889. [Google Scholar] [CrossRef]
- Ghim, Y.S.; Chang, H.N. Diffusional falsification of kinetic constants on Lineweaver-Burk plots. J. Theor. Biol. 1983, 105, 91–102. [Google Scholar] [CrossRef]
- Wu, D.; Cui, L.; Yang, G.; Ning, X.; Sun, L.; Zhou, Y. Preparing rhamnogalacturonan II domains from seven plant pectins using Penicillium oxalicum degradation and their structural comparison. Carbohydr. Polym. 2018, 180, 209–215. [Google Scholar] [CrossRef] [PubMed]
- Hu, Y.; Yan, X.; Zhang, H.; Liu, J.; Luo, F.; Cui, Y.; Wang, W.; Zhou, Y. Cloning and expression of a novel alpha-1,3-arabinofuranosidase from Penicillium oxalicum sp. 68. AMB Express 2018, 8, 51. [Google Scholar] [CrossRef] [PubMed]
- Rudolf, F.; Friedrich, A. Reductive Alkaline Release of N-Glycans Generates a Variety of Unexpected, Useful Products. Proteomics 2018, 18. [Google Scholar] [CrossRef]
- Li, G.; Rao, L.; Xue, Y.; Zhou, C.; Zhang, Y.; Ma, Y. Cloning, expression, and characterization of a highly active alkaline pectate lyase from alkaliphilic Bacillus sp. N16-5. J. Microbiol. Biotechnol. 2010, 20, 670–677. [Google Scholar] [CrossRef] [PubMed]
- McCleary, B.V.; McGeough, P. A Comparison of Polysaccharide Substrates and Reducing Sugar Methods for the Measurement of endo-1,4-beta-Xylanase. Appl. Biochem. Biotechnol. 2015, 177, 1152–1163. [Google Scholar] [CrossRef] [PubMed]
Sample Availability: Not available. |










| Identified Peptide | Intensity (×1010) | Uniprot Accession No. | NCBI Accession No. | Signal Peptide 1 | PL Family | Pfam Family | Predicted Mw (kDa) 2 | Predicted pI |
|---|---|---|---|---|---|---|---|---|
| QPFDSDILDNTYR | 1.6987 | E3EEN8 | WP_013370345.1 | 1–33 | 10 | PF09492 | 45.24 | 9.41 |
| SKDGVELGTFDNEATTTEIR | ||||||||
| EPGTVNITGGGAYHAYDK | 1.4318 | E3EDF5 | WP_013369567.1 | 1–33 | 3 | PF03211 | 24.619 | 9.19 |
| TVVADPDTLGDGSQK | ||||||||
| VNMTLDNSDISNVK | ||||||||
| GADGSIQLGDFLK | 0.4472 | E3E7F9 | WP_013373703.1 | 1–34 | 9 | — | 46.988 | 5.50 |
| GLAASADDFVSLVPSITR | ||||||||
| GSDLIGSGTPSGNIGAR | ||||||||
| VIEIMNDLDLGWNEIPSAAK | 0.054712 | E0RB75 | WP_013308307.1 | 1–32 | 1 | PF00544 | 72.777 | 6.18 |
| VKLELSGSEIK |
| Procedure | Volume (mL) | Total Activity (U) | Total Protein (mg) | Specific Activity (U/mg) | Yield (%) | Purification |
|---|---|---|---|---|---|---|
| Purification | ||||||
| Fermentation broth | 200 | 2762.5 | 85 | 32.5 | 100.0 | 1.0 |
| SP Sepharose FF column | 9 | 1066.85 | 9.5 | 112.3 | 38.6 | 3.5 |
| Heteroexpression | ||||||
| Crude enzyme extract | 200 | 2,2766.4 | 216 | 105.4 | 100 | 1.0 |
| Ni-NTA column | 10 | 9889 | 34.1 | 290 | 43.4 | 2.7 |
| Metal Ion or Chemical | Relative Activity (%) | |
|---|---|---|
| 1 mM | 5 mM | |
| NaCl | 99.3 ± 1.9 | 86.7 ± 3.25 |
| KCl | 90.2 ± 2.0 | 79.0 ± 0.55 |
| CaCl2 | 195.5 ± 2.65 | 176.6 ± 3.2 |
| MgCl2 | 113.7 ± 0.55 | 94.5 ± 4.65 |
| FeSO4 | 65.1 ± 1.5 | 54.5 ± 0.65 |
| EDTA | 89.3 ± 0.15 | 63.1 ± 0.45 |
| ZnCl2 | 115.2 ± 0.95 | 88.0 ± 1.55 |
| AlCl3 | 119.6 ± 0.35 | 106.1 ± 3.1 |
| CoCl2 | 72.2 ± 3.4 | 51.4 ± 2.4 |
| SDS | 61.7 ± 1.95 | 37.7 ± 0.15 |
| Tween-20 | 108.0 ± 1.0 | 122.5 ± 0.55 |
| Triton X-100 | 8.5 ± 0.75 | 4.3 ± 0.15 |
© 2018 by the authors. Licensee MDPI, Basel, Switzerland. This article is an open access article distributed under the terms and conditions of the Creative Commons Attribution (CC BY) license (http://creativecommons.org/licenses/by/4.0/).
Share and Cite
Zhao, Y.; Yuan, Y.; Zhang, X.; Li, Y.; Li, Q.; Zhou, Y.; Gao, J. Screening of a Novel Polysaccharide Lyase Family 10 Pectate Lyase from Paenibacillus polymyxa KF-1: Cloning, Expression and Characterization. Molecules 2018, 23, 2774. https://doi.org/10.3390/molecules23112774
Zhao Y, Yuan Y, Zhang X, Li Y, Li Q, Zhou Y, Gao J. Screening of a Novel Polysaccharide Lyase Family 10 Pectate Lyase from Paenibacillus polymyxa KF-1: Cloning, Expression and Characterization. Molecules. 2018; 23(11):2774. https://doi.org/10.3390/molecules23112774
Chicago/Turabian StyleZhao, Yan, Ye Yuan, Xinyu Zhang, Yumei Li, Qiang Li, Yifa Zhou, and Juan Gao. 2018. "Screening of a Novel Polysaccharide Lyase Family 10 Pectate Lyase from Paenibacillus polymyxa KF-1: Cloning, Expression and Characterization" Molecules 23, no. 11: 2774. https://doi.org/10.3390/molecules23112774
APA StyleZhao, Y., Yuan, Y., Zhang, X., Li, Y., Li, Q., Zhou, Y., & Gao, J. (2018). Screening of a Novel Polysaccharide Lyase Family 10 Pectate Lyase from Paenibacillus polymyxa KF-1: Cloning, Expression and Characterization. Molecules, 23(11), 2774. https://doi.org/10.3390/molecules23112774
