Comparison of Binding Affinities of Water-Soluble Calixarenes with the Organophosphorus Nerve Agent Soman (GD) and Commonly-Used Nerve Agent Simulants
Abstract
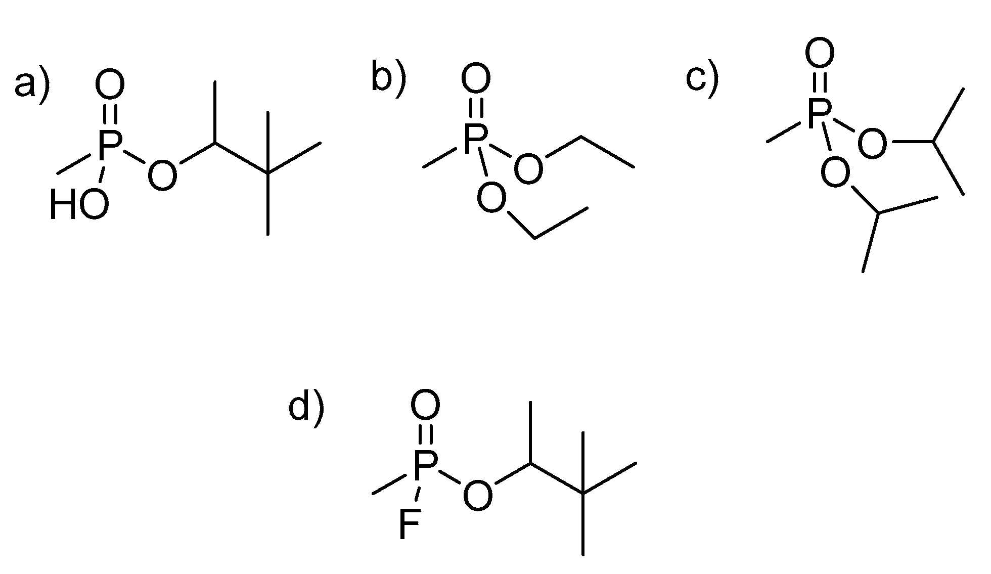
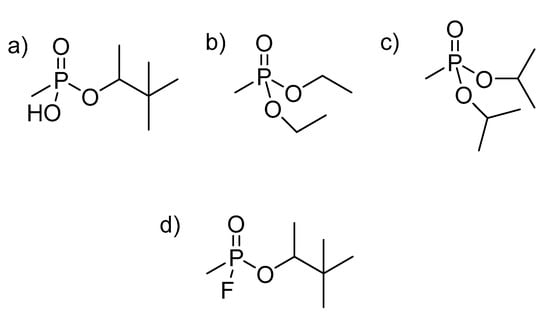
1. Introduction
2. Materials and Methods
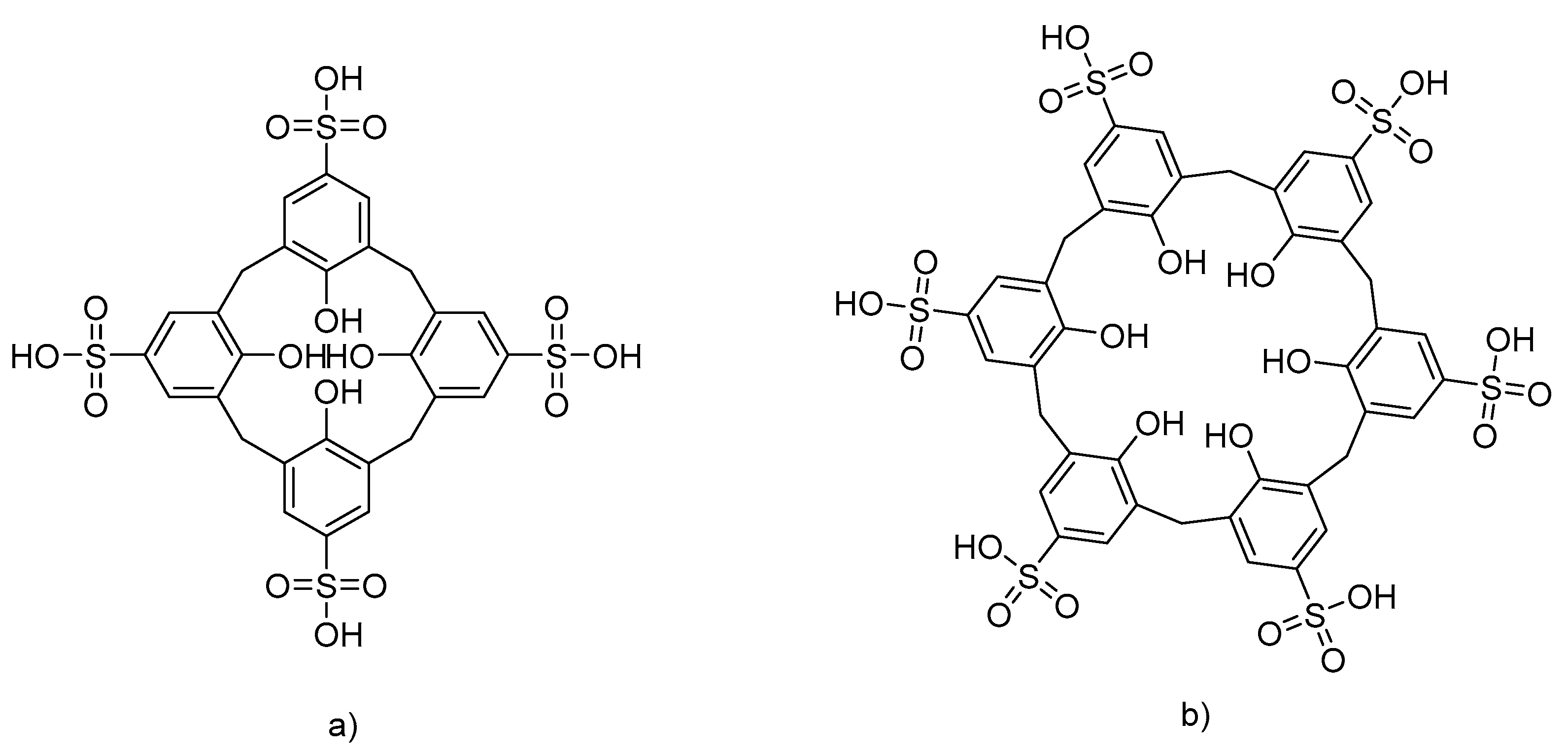
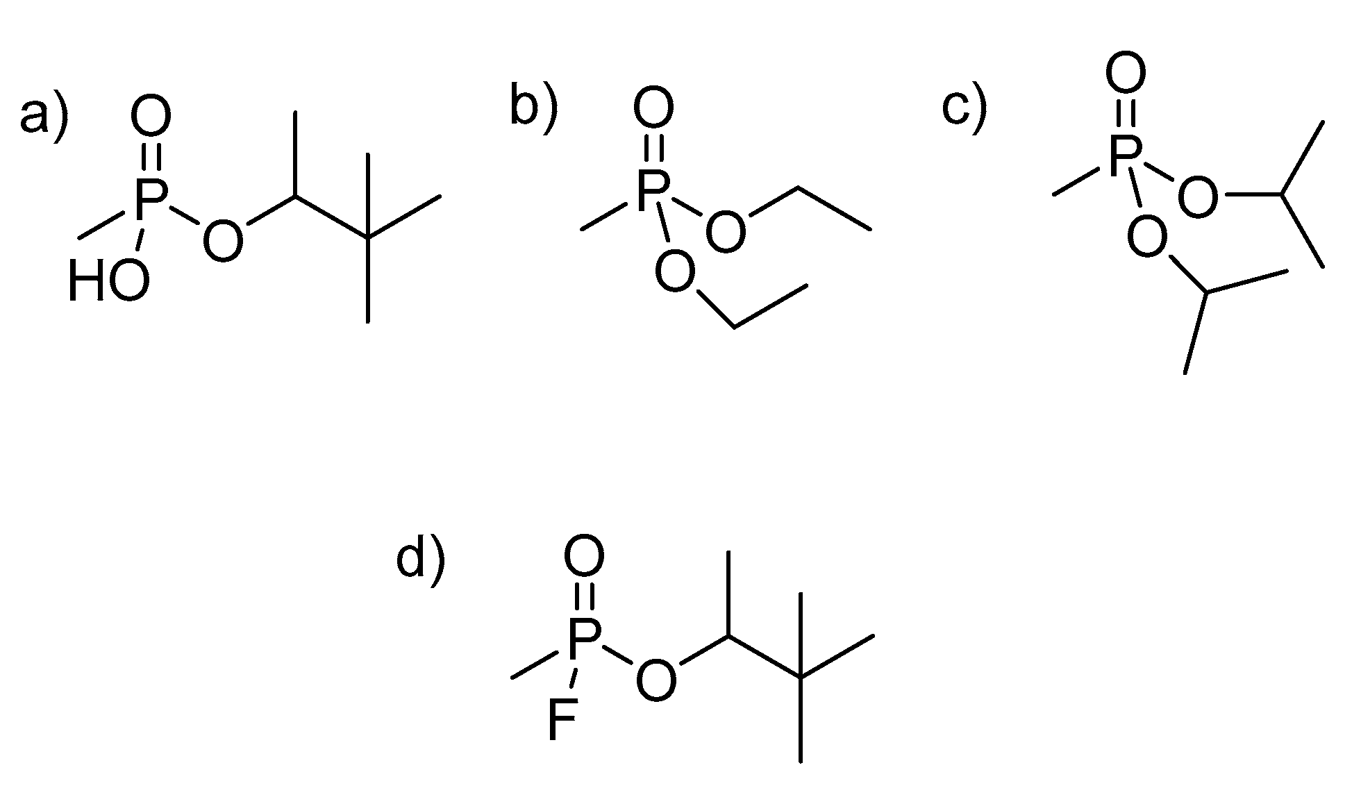
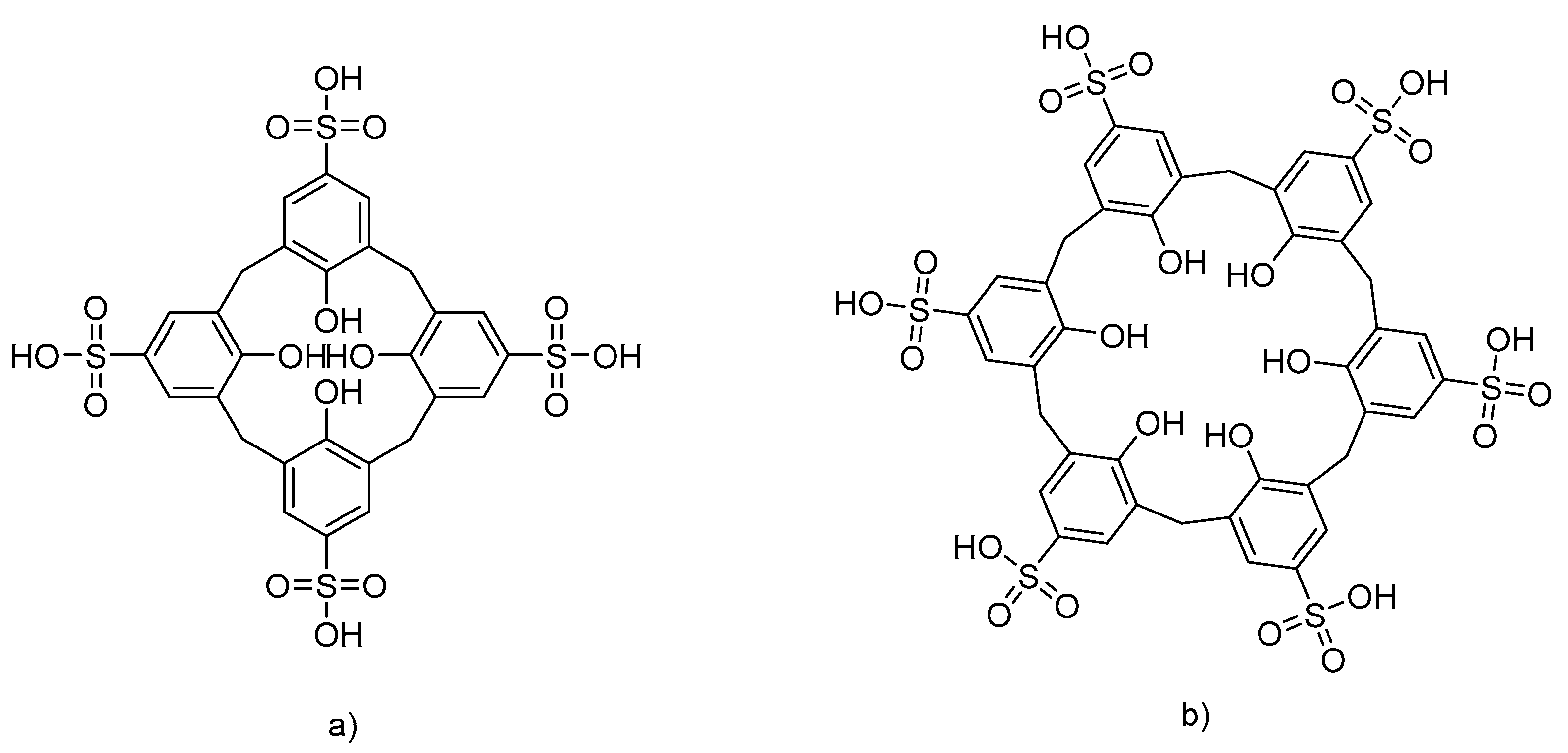
2.1. Materials
2.2. Experimental Methods
2.3. Computational Details
3. Results and Discussion
3.1. Experimental Investigation of Host–Guest Behaviour
3.2. Computational Studies of Host–Guest Complexation
3.3. Discussion of Host–Guest Behavior and Agent–Simulant Comparisons
4. Conclusions
Supplementary Materials
Acknowledgments
Author Contributions
Conflicts of Interest
References
- Timperley, C.M. (Ed.) General Overview. In Best Synthetic Methods: Organophosphorus (V) Chemistry; Elsevier: Oxford, UK, 2015; pp. 1–90. ISBN 978-0-08-098212-0. [Google Scholar]
- Thierman, H.; Aurbek, N.; Worek, F. Treatment of Nerve Agent Poisoning. In Chemical Warfare Toxicology: Volume 2: Management of Poisoning; Worek, F., Jenner, J., Thiermann, H., Eds.; Royal Society of Chemistry: Cambridge, UK, 2016; pp. 1–42. ISBN 978-1-78262-803-3. [Google Scholar]
- Kim, K.; Tsay, O.G.; Atwood, D.A.; Churchill, D.G. Destruction and Detection of Chemical Warfare Agents. Chem. Rev. 2011, 111, 5345–5403. [Google Scholar] [CrossRef] [PubMed]
- Convention on the Prohibition of the Development, Production, Stockpiling and Use of Chemical Weapons and on Their Destruction, Technical Secretariat of the Organisation for the Prohibition of Chemical Weapons, 2005. Available online: https:www.opcw.org/fileadmin/OPCW/CWC/CWC_en.pdf (accessed on 29 September 2017).
- Black, R.M.; Read, R.W. Environmental and biomedical sample analysis in support of allegations of use of chemical warfare agents. Toxin Rev. 2007, 26, 275–298. [Google Scholar] [CrossRef]
- Yokoyama, K.; Araki, S.; Murata, K.; Nishikitani, M.; Okumura, T.; Ishimatsu, S.; Takasu, N. Neurobehavioral and Central and Autonomic Nervous System Effects of Tokyo Subway Sarin Poisoning. J. Physiol. (Paris) 1998, 92, 317–323. [Google Scholar] [CrossRef]
- Rice, H.; Dalton, C.H.; Price, M.E.; Graham, S.J.; Green, A.C.; Jenner, J.; Groombridge, H.J.; Timperley, C.M. Toxicity and medical countermeasure studies on the organophosphorus nerve agents VM and VX. Proc. R. Soc. A 2015, 471, 20140891. [Google Scholar] [CrossRef] [PubMed]
- Sambrook, M.R.; Notman, S. Supramolecular chemistry and chemical warfare agents: From fundamentals of recognition to catalysis and sensing. Chem. Soc. Rev. 2013, 42, 9251–9267. [Google Scholar] [CrossRef] [PubMed]
- Bolliger, J.L.; Belengeur, A.M.; Nitschke, J.R. Enantiopure Water-Soluble [Fe4L6] Cages: Host-Guest Chemistry and Catalytic Activity. Angew. Chem. Int. Ed. 2013, 52, 7958–7962. [Google Scholar] [CrossRef] [PubMed]
- Hiscock, J.R.; Sambrook, M.R.; Cranwell, P.B.; Watts, P.; Vincent, J.C.; Xuereb, N.J.; Wells, N.J.; Raja, R.; Gale, P.A. Tripodal molecules for the promotion of phosphoester hydrolysis. Chem. Commun. 2014, 50, 6217–6220. [Google Scholar] [CrossRef] [PubMed]
- Hiscock, J.R.; Sambrook, M.R.; Ede, J.A.; Wells, N.J.; Gale, P.A. Disruption of a binary organogel by the chemical warfare agent soman (GD) and common organophosphorus simulants. J. Mater. Chem. A 2015, 3, 1230. [Google Scholar] [CrossRef]
- Désiré, B.; Saint-André, S. Inactivation of sarin and soman by cyclodextrins in vitro. Experientia 1987, 43, 395–397. [Google Scholar] [CrossRef] [PubMed]
- Letort, S.; Balieu, S.; Erb, W.; Géraldine, G.; Estour, F. Interactions of cyclodextrins and their derivatives with toxic organophosphorus compounds. Beilstein J. Org. Chem. 2016, 12, 204–228. [Google Scholar] [CrossRef] [PubMed]
- Worek, F.; Seeger, T.; Zengerle, M.; Kubik, S.; Thiermann, H.; Wille, T. Effectiveness of a substituted β-cyclodextrin to prevent cyclosarin toxicity in vivo. Toxicol. Lett. 2014, 226, 222–227. [Google Scholar] [CrossRef] [PubMed]
- Guo, D.-S.; Liu, Y. Supramolecular chemistry of p-sulfonatocalix[n]arenes and its biological applications. Acc. Chem. Res. 2014, 47, 1925–1934. [Google Scholar] [CrossRef] [PubMed]
- Arena, G.; Contino, A.; Gulino, F.G.; Magrí, A.; Sciotto, D.; Ungaro, R. Complexation of small neutral organic molecules by water soluble calix[4]arenes. Tetrahedron Lett. 2000, 41, 9327–9330. [Google Scholar] [CrossRef]
- Rehm, M.; Frank, M.; Schatz, J. Water-soluble calixarenes—Self-aggregation and complexation of noncharged aromatic guests in buffered aqueous solution. Tetrahedron Letts. 2009, 50, 93–96. [Google Scholar] [CrossRef]
- Lehn, J.M.; Meric, R.; Vigneron, J.-P.; Cesario, M.; Guilhem, J.; Pascard, C.; Asfari, Z.; Vicens, J. Binding of acetylcholine and other quaternary ammonium cations by sulfonated calixarenes. Crystal structure of a [choline-tetrasulfonated calix[4]arene] complex. Supramol. Chem. 1995, 5, 97–103. [Google Scholar] [CrossRef]
- Schneider, C.; Bierwisch, A.; Koller, M.; Worek, F.; Kubik, S. Detoxification of VX and Other V-Type Nerve Agents in Water at 37 °C and pH 7.4 by Substituted Sulfonatocalix[4]arenes. Angew. Chem. Int. Ed. 2016, 55, 12668–12672. [Google Scholar] [CrossRef] [PubMed]
- Lavoie, J.; Srinivasan, S.; Nagarajan, R. Using cheminformatics to find simulants for chemical warfare agents. J. Hazard. Mater. 2011, 194, 85–91. [Google Scholar] [CrossRef] [PubMed]
- Bartelt-Hunt, S.L.; Knappe, D.R.U.; Barlaz, M.A. A review of chemical warfare agent simulants for the study of environmental behaviour. Crit. Rev. Environ. Sci. Technol. 2008, 38, 112–136. [Google Scholar] [CrossRef]
- Willis, M.P.; Varady, M.J.; Pearl, T.P.; Fouse, J.C.; Riley, P.C.; Mantooth, B.A.; Lalain, T. Physics-based agent to simulant correlations for vapor phase mass transport. J. Hazard. Mater. 2013, 263, 479–485. [Google Scholar] [CrossRef] [PubMed]
- Sambrook, M.R.; Vincent, J.C.; Ede, J.A.; Gass, I.A.; Cragg, P.J. Experimental and computational study of the inclusion complexes of β-cyclodextrin with the chemical warfare agents soman (GD) and commonly used simulants. RSC Adv. 2017, 7, 38069–38076. [Google Scholar] [CrossRef]
- Sambrook, M.R.; Gass, I.A.; Cragg, P.J. Spectroscopic and inclusion properties of G-series chemical warfare agents and their simulants: A DFT study. Supramol. Chem. 2017. [Google Scholar] [CrossRef]
- Hynes, M.J. EQNMR: A computer program for the calculation of stability constants from nuclear magnetic resonance chemical shift data. J. Chem. Soc. Dalton Trans. 1993, 2, 311–312. [Google Scholar] [CrossRef]
- Spartan’16; Wavefunction Inc.: Irvine, CA, USA, 2016.
- Douteau-Guével, N.; Coleman, A.W.; Morel, J.-P.; Morel-Desrosiers, N. Complexation of the basic amino acids lysine and arginine by three sulfonatocalix[n]arenes (n = 5 4, 6 and 8) in water: Microcalorimetric determination of the Gibbs energies, enthalpies and entropies of complexation. J. Chem. Soc. Perkin Trans. 1999, 2, 629–633. [Google Scholar] [CrossRef]
- Zheng, Y.-S.; Zhang, C. Exceptional chiral recognition of racemic carboxylic acids by calix[4]arenes bearing optically pure α,β-amino alcohol groups. Org. Lett. 2004, 6, 1189–1192. [Google Scholar] [CrossRef] [PubMed]
- Li, S.-Y.; Xu, Y.-W.; Liu, J.-M.; Su, C.-Y. Inherently chiral calixarenes: Synthesis, optical resolution, chiral recognition and asymmetric catalysis. Int. J. Mol. Sci. 2011, 12, 429–455. [Google Scholar] [CrossRef] [PubMed]
- Sheehan, R.; Cragg, P.J. Supramolecular chemistry in silico. Supramol. Chem. 2008, 20, 443–451. [Google Scholar] [CrossRef]
- Miah, M.; Pavey, K.D.; Gun’ko, V.M.; Sheehan, R.; Cragg, P.J. Observation of transient metal inclusion in oxacalix[3]arenes. Supramol. Chem. 2004, 16, 185–192. [Google Scholar] [CrossRef]
- Suezawa, H.; Ishihara, S.; Umezawa, Y.; Tsuboyama, S.; Nishio, M. The aromatic CH/π hydrogen bond as an important factor in determining the relative stability of diastereomeric salts relevant to enantiomeric resolution: A crystallographic database study. Eur. J. Org. Chem. 2004, 4816–4822. [Google Scholar] [CrossRef]
- Douteau-Guével, N.; Coleman, A.W.; Morel, J.-P.; Morel, N. Complexation of basic amino acids by water-soluble calixarene sulphonates as a study of the possible mechanisms of recognition of calixarene sulphonates by proteins. J. Phys. Org. Chem. 1998, 11, 693–696. [Google Scholar] [CrossRef]
- Kalchenko, O.I.; Perret, F.; Morel-Desrosiers, N.; Coleman, A.W. A comparative study of the determination of the stability constants of inclusion complexes of p-sulfonatocalix[4]arene with amino acids by RP-HPLC and 1H NMR. J. Chem. Soc. Perkin Trans. 2001, 2, 258–263. [Google Scholar] [CrossRef]
- Douteau-Guével, N.; Perret, F.; Coleman, A.W.; Morel, J.-P.; Morel-Desrosiers, N. Binding of dipeptides and tripeptides containing lysine or arginine by p-sulfonatocalixarenes in water: NMR and microcalorimetric studies. J. Chem. Soc. Perkin Trans. 2002, 2, 524–532. [Google Scholar] [CrossRef]
- Lazar, A.; Da Silva, E.; Navaza, A.; Barbey, C.; Coleman, A.W. A new packing motif for para-sulfonatocalix[4]arene: The solid state structure of the para-sulfonatocalix[4]arene D-arginine complex. Chem. Commun. 2004, 2162–2163. [Google Scholar] [CrossRef] [PubMed]
- Li, H.; Song, J.-P.; Chao, J.-B.; Shuang, S.-M.; Dong, C. Study on the inclusion behavior of p-sulfonatocalix[6]arene with propranolol by spectrofluorimetry. Spectrochim. Acta Part A Mol. Biomol. Spectrosc. 2012, 97, 155–160. [Google Scholar] [CrossRef] [PubMed]
Sample Availability: Not available. |








| p-Sulfonatocalix[n]arene | Kassoc, n = 4 | Kassoc, n = 6 | ||
|---|---|---|---|---|
| No Buffer | Buffer | No Buffer | Buffer | |
| DIMP | 64 ± 2 | 20 ± 1 | 20 ± 8 | 16 ± 2 |
| DEMP | 53 ± 2 | 21 ± 2 | a | a |
| PMP | n/a | 20 ± 1 | b | 95 ± 24 |
| GD | n/a | 75 ± 2 | b | <10 |
| Guest | No Buffer | Buffer | ||
|---|---|---|---|---|
| O…HOS a | P=O…HOS | OH…O3S | OH…O3S | |
| DIMP | 1.859 | 1.642 | ||
| DEMP | 1.899 | |||
| PMP | 1.993 | 1.676 | 1.711 | 1.429 |
| GD | 2.143 | |||
| Guest | No Buffer | Buffer | ||
|---|---|---|---|---|
| O…HOS a | P=O…HOS | OH…O3S | OH…O3S | |
| DIMP | 1.183 | 1.750 | ||
| DEMP | 2.123 | |||
| PMP | 1.625, 1.670 | 1.768 | 1.573 | |
| GD | 2.441 | |||
| Guest | No Buffer | Buffer | ||
|---|---|---|---|---|
| C–H…π | α a | C–H…π | α a | |
| DIMP | 3.066 | 27.2 | 2.968 | 24.4 |
| DEMP | 3.402 | 23.5 | ||
| PMP | 3.051 | 25.8 | ||
| GD | 2.496 | 29.6 | 2.803 | 29.0 |
| 2.532 | 28.4 | |||
| Guest | No Buffer | Buffer | ||
|---|---|---|---|---|
| C–H…π | α a | C–H…π | α a | |
| DIMP | 2.313 | 31.6 | ||
| 2.398 | 31.1 | |||
| 2.741 | 29.4 | |||
| 2.807 | 29.0 | |||
| DEMP | 2.919 | 29.3 | ||
| PMP | 3.016 | 29.9 | ||
| GD | 2.931 | 29.0 | 3.266 | 25.4 |
© 2018 by the authors. Content includes material subject to © Crown copyright (2018), Dstl. This material is licensed under the terms of the Open Government Licence except where otherwise stated. To view this licence, visit http://www.nationalarchives.gov.uk/doc/open-government-licence/version/3 or write to the Information Policy Team, The National Archives, Kew, London TW9 4DU, or email: psi@nationalarchives.gsi.gov.uk.
Share and Cite
Ede, J.A.; Cragg, P.J.; Sambrook, M.R. Comparison of Binding Affinities of Water-Soluble Calixarenes with the Organophosphorus Nerve Agent Soman (GD) and Commonly-Used Nerve Agent Simulants. Molecules 2018, 23, 207. https://doi.org/10.3390/molecules23010207
Ede JA, Cragg PJ, Sambrook MR. Comparison of Binding Affinities of Water-Soluble Calixarenes with the Organophosphorus Nerve Agent Soman (GD) and Commonly-Used Nerve Agent Simulants. Molecules. 2018; 23(1):207. https://doi.org/10.3390/molecules23010207
Chicago/Turabian StyleEde, Jayne A., Peter J. Cragg, and Mark R. Sambrook. 2018. "Comparison of Binding Affinities of Water-Soluble Calixarenes with the Organophosphorus Nerve Agent Soman (GD) and Commonly-Used Nerve Agent Simulants" Molecules 23, no. 1: 207. https://doi.org/10.3390/molecules23010207
APA StyleEde, J. A., Cragg, P. J., & Sambrook, M. R. (2018). Comparison of Binding Affinities of Water-Soluble Calixarenes with the Organophosphorus Nerve Agent Soman (GD) and Commonly-Used Nerve Agent Simulants. Molecules, 23(1), 207. https://doi.org/10.3390/molecules23010207

