A Novel Brominated Alkaloid Securidine A, Isolated from the Marine Bryozoan Securiflustra securifrons
Abstract
1. Introduction
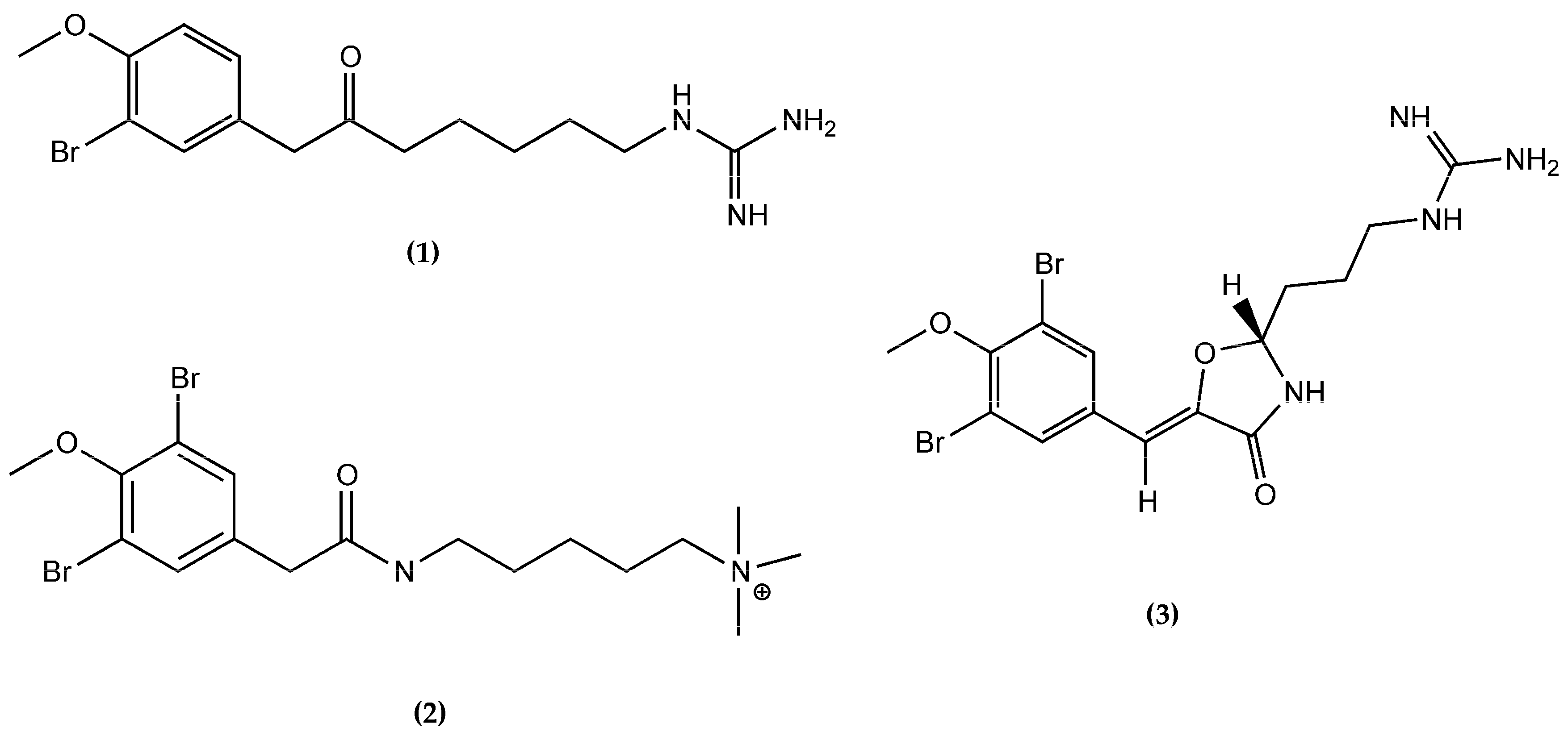
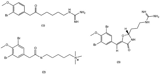
2. Results and Discussion
Bioactivity
3. Materials and Methods
3.1. Animal Material
3.2. Extraction
3.3. Isolation and Purification of Compound 1
3.4. Structure Determination
3.5. Bioassays
3.5.1. Cytotoxicity
3.5.2 Antibacterial Assay
3.5.3 Protein Tyrosine Phosphatase 1B Assay
3.5.4. Biofilm Assay
4. Conclusions
Supplementary Materials
Acknowledgments
Author Contributions
Conflicts of Interest
References
- Hansen, E.; Andersen, H.J. Screening for marine natural products with potential as chemotherapeutics for acute myeloid leukemia. Curr. Pharm. Biotechnol. 2016, 17, 71–77. [Google Scholar] [CrossRef] [PubMed]
- Hu, G.P.; Yuan, J.; Sun, L.; She, Z.G.; Wu, J.H.; Lan, X.J.; Zhu, X.; Lin, Y.C.; Chen, S.P. Statistical research on marine natural products based on data obtained between 1985 and 2008. Mar. Drugs 2011, 9, 514–525. [Google Scholar] [CrossRef] [PubMed]
- Sinko, J.; Rajchard, J.; Balounova, Z.; Fikotova, L. Biologically active substances from water invertebrates: A review. Vet. Med. Czech 2012, 57, 177–184. [Google Scholar]
- Avila, C.; Taboada, S.; Núñez-pons, L. Antarctic marine chemical ecology: What is next? Mar. Ecol. 2008, 29, 1–71. [Google Scholar] [CrossRef]
- Schumacher, M.; Kelkel, M.; Dicato, M.; Diederich, M. Gold from the sea: Marine compounds as inhibitors of the hallmarks of cancer. Biotechnol. Adv. 2011, 29, 531–547. [Google Scholar] [CrossRef] [PubMed]
- Christophersen, C. Secondary metabolites from marine bryozoans. A review. Acta. Chem. Scand. 1985, 39, 517–529. [Google Scholar] [CrossRef]
- Blackman, A.J.; Davies, N.W.; Ralph, C.E. Volatile and odorous compounds from the bryozoan Biflustra perfragilis. Biochem. Syst. Ecol. 1992, 20, 339–342. [Google Scholar] [CrossRef]
- Bock, P.E.; Gordon, D.P. Phylum bryozoa ehrenberg, 1831. In Animal Biodiversity: An Outline of Higher-Level Classification and Survey of Taxonomic Richness (Addenda 2013) Zootaxa; Zhang, Z.Q., Ed.; Magnolia Press: Auckland, New Zealand, 2013; Volume 3703, pp. 67–74. [Google Scholar]
- Sharp, J.H.; Winson, M.K.; Porter, J.S. Bryozoan metabolites: An ecological perspective. Nat. Prod. Rep. 2007, 24, 659–673. [Google Scholar] [CrossRef] [PubMed]
- Kiuru, P.; D’Auria, M.V.; Muller, C.D.; Tammela, P.; Vuorela, H.; Yli-Kauhaluoma, J. Exploring marine resources for bioactive compounds. Planta Med. 2014, 80, 1234–1246. [Google Scholar] [CrossRef] [PubMed]
- Wang, A.T.; Prinsep, M.R.; Martinus, R.D. Pterocellin A isolated from marine bryozoan Pterocella vesiculosa is cytotoxic to human HeLa cells via mitochondrial apoptotic processes. SpringerPlus 2016, 5, 1–11. [Google Scholar] [CrossRef] [PubMed]
- Wright, J.L. A new antibiotic from the marine bryozoan Flustra foliaceae. J. Nat. Prod. 1984, 47, 893–895. [Google Scholar] [CrossRef] [PubMed]
- Tadesse, M.; Tabudravu, J.N.; Jaspars, M.; Strom, M.B.; Hansen, E.; Andersen, J.H.; Kristiansen, P.E.; Haug, T. The antibacterial ent-eusynstyelamide B and eusynstyelamides D, E, and F from the Arctic bryozoan Tegella cf. spitzbergensis. J. Nat. Prod. 2011, 74, 837–841. [Google Scholar] [CrossRef] [PubMed]
- Sjöblom, T.; Bohlin, L.; Christophersen, C. Studies of Swedish marine organisms. II. Muscle-relaxant alkaloids from the marine bryozoan Flustra foliacea. Acta. Pharm. Suec. 1983, 20, 415–418. [Google Scholar] [PubMed]
- Leal, M.C.; Sheridan, C.; Osinga, R.; Dionisio, G.; Rocha, R.J.M.; Silva, B.; Rosa, R.; Calado, R. Marine microorganism-invertebrate assemblages: Perspectives to solve the “Supply Problem” in the initial steps of drug discovery. Mar. Drugs 2014, 12, 3929–3952. [Google Scholar] [CrossRef] [PubMed]
- Anthoni, U.; Nielsen, P.H.; Pereira, M.; Christophersen, C. Bryozoan secondary metabolites: A chemotaxonomical challenge. Comp. Biochem. Physiol. 1990, 96B, 431–437. [Google Scholar] [CrossRef]
- Blunt, J.W.; Copp, B.R.; Keyzers, R.A.; Munro, M.H.G.; Prinsep, M.R. Marine natural products. Nat. Prod. Rep. 2015, 32, 116–211. [Google Scholar] [CrossRef] [PubMed]
- Sonnewald, M.; Türkay, M. The megaepifauna of the Dogger Bank (North Sea): Species composition and faunal characteristics 1991–2008. Helgol. Mar. Res. 2012, 66, 63–75. [Google Scholar] [CrossRef]
- Ryland, J.S.; Hayward, P.J. Marine Flora and Fauna of the Northern United States Erect Bryozoa; National Marine Fisheries Service: Marmora, NJ, USA, 1991; pp. 1–47.
- Rahbaek, L.; Anthoni, U.; Christophersen, G.; Nielsen, P.H.; Petersen, B.O. Marine alkaloids. 18. Securamines and securines, halogenated indole-imidazole alkaloids from the marine bryozoan Securiflustra securifrons. J. Org. Chem. 1996, 61, 887–889. [Google Scholar] [CrossRef]
- Rahbæk, L.; Christophersen, C. Marine alkaloids. 19. Three new alkaloids, securamines E-G, from the marine bryozoan Securiflustra securifrons. J. Nat. Prod. 1997, 60, 175–177. [Google Scholar] [CrossRef]
- Chevolot, L.; Chevolot, A.M.; Gajhede, M.; Larsen, C.; Anthoni, U.; Christophersen, C. Marine alkaloids. 10. Chartelline A: A pentahalogenated alkaloid from the marine bryozoan Chartella papyracea. J. Am. Chem. Soc. 1985, 107, 4542–4543. [Google Scholar] [CrossRef]
- Anthoni, U.; Bock, K.; Chevolot, L.; Larsen, C.; Nielsen, P.H.; Christophersen, C. Chartellamide A and B, halogenated β-lactam indole-imidazole alkaloids from the marine bryozoan Chartella papyracea. J. Org. Chem. 1987, 52, 5638–5639. [Google Scholar] [CrossRef]
- Carle, J.S.; Christophersen, C. Bromo-substituted physostigmine alkaloids from a marine bryozoa Flustra foliacea. J. Am. Chem. Soc. 1979, 101, 4012–4013. [Google Scholar] [CrossRef]
- Carle, J.S.; Christophersen, C. Marine alkaloids. 2. Bromo alkaloids from a marine bryozoan Flustra foliacea. Isolation and structure elucidation. J. Org. Chem. 1980, 45, 1586–1589. [Google Scholar] [CrossRef]
- Carle, J.S.; Christophersen, C. Marine alkaloids. 3. Bromo-substituted alkaloids from the marine bryozoan Flustra foliacea, flustramine C and flustraminol A and B. J. Org. Chem. 1981, 46, 3440–3443. [Google Scholar] [CrossRef]
- Holst, P.; Anthoni, U.; Christophersen, C.; Nielsen, P. Marine alkaloids, 15. 2 alkaloids, flustramine-E and debromoflustramine-B, from the marine bryozoan Flustra foliacea. J. Nat. Prod. 1994, 57, 997–1000. [Google Scholar] [CrossRef] [PubMed]
- Peters, L.; König, G.M.; Wright, A.D.; Terlau, H. Four new bromotryptamine derivatives from the marine bryozoan Flustra foliacea. J. Nat. Prod. 2002, 65, 1633–1637. [Google Scholar] [CrossRef] [PubMed]
- Wulff, P.; Carlé, J.S.; Christophersen, C. Marine alkaloids—6. The first naturally occurring bromo-substituted quinoline from Flustra foliacea. Comp. Biochem. Physiol. Part B: Biochem. Mol. Biol. 1982, 71, 525–526. [Google Scholar] [CrossRef]
- Wulff, P.; Carl, J.S.; Christophersen, C. Marine alkaloids 5. Flustramide a and 6-bromo-nb-methyl-nb-formyltryptamine from the marine bryozoan Flustra foliacea. Comp. Biochem. Physiol. 1982, 71B, 523–524. [Google Scholar]
- Wulff, P.; Carlé, J.S.; Christophersen, C. Marine alkaloids. Part 4. A formamide, flustrabromine, from the marine bryozoan Flustra foliacea. J. Chem. Soc. JCS Perkin I 1981, 2895–2898. [Google Scholar] [CrossRef]
- Rochfort, S.J.; Moore, S.; Craft, C.; Martin, N.H.; Van Wagoner, R.M.; Wright, J.L.C. Further studies on the chemistry of the flustra alkaloids from the bryozoan Flustra foliacea. J. Nat. Prod. 2009, 72, 1773–1781. [Google Scholar] [CrossRef] [PubMed]
- Svenson, J. MabCent: Arctic marine bioprospecting in Norway. Fundam. Perspect. Nat. Prod. Res. 2013, 12, 567–578. [Google Scholar] [CrossRef] [PubMed]
- Tadesse, M.; Strøm, M.B.; Svenson, J.; Jaspars, M.; Milne, B.F.; Tørfoss, V.; Andersen, J.H.; Hansen, E.; Stensvåg, K.; Haug, T. Synoxazolidinones A and B: Novel bioactive alkaloids from the ascidian Synoicum pulmonaria. Org. lett. 2010, 12, 4752–4755. [Google Scholar] [CrossRef] [PubMed]
- Tadesse, M.; Svenson, J.; Sepčić, K.; Trembleau, L.; Engqvist, M.; Andersen, J.H. Isolation and synthesis of pulmonarin A and B, acetylcholinesterase inhibitors from the colonial ascidian Synoicum pulmonaria. J. Nat. Prod. 2014, 77, 364–369. [Google Scholar] [CrossRef] [PubMed]
- Macherla, V.; Liu, J.; Sunga, M.; White, D.; Grodberg, J.; Teisan, S.; Lam, K.; Potts, B.; Macherla, V. Lipoxazolidinones A, B, and C: Antibacterial 4-oxazolidinones from a marine actinomycete isolated from a Guam marine sediment. J. Nat. Prod. 2007, 70, 1454–1457. [Google Scholar] [CrossRef] [PubMed]
- Paulsen, V.S.; Blencke, H.-M.; Benincasa, M.; Haug, T.; Eksteen, J.J.; Styrvold, O.B.; Scocchi, M.; Stensvag, K. Structure-activity relationships of the antimicrobial peptide Arasin 1 - and mode of action studies of the N-terminal, proline-rich region. PLoS ONE 2013, 8, 1–11. [Google Scholar] [CrossRef] [PubMed]
- Igumnova, E.M.; Mishchenko, E.; Haug, T.; Blencke, H.-M.; Sollid, J.U.E.; Fredheim, E.G.A.; Lauksund, S.; Stensvåg, K.; Strøm, M.B. Synthesis and antimicrobial activity of small cationic amphipathic aminobenzamide marine natural product mimics and evaluation of relevance against clinical isolates including ESBL–CARBA producing multi-resistant bacteria. Bioorg. Med. Chem. 2016, 24, 5884–5894. [Google Scholar] [CrossRef] [PubMed]
- Solstad, R.; Li, C.; Isaksson, J.; Johansen, J.; Svenson, J.; Stensvag, K.; Haug, T.; Solstad, R. Novel antimicrobial peptides EeCentrocins 1, 2 and EeStrongylocin 2 from the edible sea urchin Echinus esculentus have 6-Br-Trp post-translational modifications: e0151820. PLoS ONE 2016, 11, 1–25. [Google Scholar] [CrossRef] [PubMed]
- Strøm, M.; Haug, B.; Skar, M.; Stensen, W.; Stiberg, T.; Svendsen, J.; Stroem, M. The pharmacophore of short cationic antibacterial peptides. J. Med. Chem. 2003, 46, 1567–1570. [Google Scholar] [CrossRef] [PubMed]
- Wang, L.J.; Jiang, B.; Wu, N.; Wang, S.Y.; Shi, D.Y. Natural and semisynthetic protein tyrosine phosphatase 1B (PTP1B) inhibitors as anti-diabetic agents. RSC Adv. 2015, 5, 48822–48834. [Google Scholar] [CrossRef]
- Trepos, R.; Cervin, G.; Hellio, C.; Pavia, H.; Stensen, W.; Stensvåg, K.; Svendsen, J.S.; Haug, T.; Svenson, J. Antifouling compounds from the sub-arctic ascidian Synoicum pulmonaria: Synoxazolidinones A and C, pulmonarins A and B, and synthetic analogues. J. Nat. Prod. 2014, 77, 2105–2113. [Google Scholar] [CrossRef] [PubMed]
Sample Availability: Samples of the compounds are available from the authors. |



| Position | δC, Type | δH (J in Hz) | COSY | 1H, 13C-HMBC b | 1H, 13C H2BC | ROESY |
|---|---|---|---|---|---|---|
| 1 | 56.6, CH3 | 3.84, s | 2 | 3 | ||
| 2 | 156.2, C | |||||
| 3 | 113.1, CH | 6.96, d (8.6) | 4 | 2,5,7 | 4 | 1,4 |
| 4 | 130.2, CH | 7.22, dd (8.6, 2.3) | 3,6 | 2,3,6,8 | 3 | 3,8 |
| 5 | 112.2, C | |||||
| 6 | 134.5, CH | 7.47, d (2.3) | 4 | 2,4,5,8 | 8 | |
| 7 | 130.5, C | |||||
| 8 | 42.4, CH2 | 3.41, s | 4,6,9 | 4,6,10 | ||
| 9 | 173.7, C | |||||
| 10 | 8.20, s | 11 | 9,11 | 11 | 8,11,12 w | |
| 11 | 39.8, CH2 | 3.20, q (6.4) | 10,12 | 9,(12/13) d | 12 | 10,12 |
| 12 | 27.5, CH2 | 1.56, m c | 11 | (11/14) d | 11 | 10 w,11 |
| 13 | 27.0, CH2 | 1.55, m c | 14 | (11/14) d | 14 | 14,15 w |
| 14 | 42.0, CH2 | 3.16, m c | 13,15 | 16,(12/13) d | 13 | 13,15 w |
| 15 | 7.57, s | 14 | 14 | 13 w,14 w | ||
| 16 | 158.8, C |
© 2017 by the authors. Licensee MDPI, Basel, Switzerland. This article is an open access article distributed under the terms and conditions of the Creative Commons Attribution (CC BY) license (http://creativecommons.org/licenses/by/4.0/).
Share and Cite
Michael, P.; Hansen, K.Ø.; Isaksson, J.; Andersen, J.H.; Hansen, E. A Novel Brominated Alkaloid Securidine A, Isolated from the Marine Bryozoan Securiflustra securifrons. Molecules 2017, 22, 1236. https://doi.org/10.3390/molecules22071236
Michael P, Hansen KØ, Isaksson J, Andersen JH, Hansen E. A Novel Brominated Alkaloid Securidine A, Isolated from the Marine Bryozoan Securiflustra securifrons. Molecules. 2017; 22(7):1236. https://doi.org/10.3390/molecules22071236
Chicago/Turabian StyleMichael, Priyanka, Kine Ø. Hansen, Johan Isaksson, Jeanette H. Andersen, and Espen Hansen. 2017. "A Novel Brominated Alkaloid Securidine A, Isolated from the Marine Bryozoan Securiflustra securifrons" Molecules 22, no. 7: 1236. https://doi.org/10.3390/molecules22071236
APA StyleMichael, P., Hansen, K. Ø., Isaksson, J., Andersen, J. H., & Hansen, E. (2017). A Novel Brominated Alkaloid Securidine A, Isolated from the Marine Bryozoan Securiflustra securifrons. Molecules, 22(7), 1236. https://doi.org/10.3390/molecules22071236

