Abstract
Thieno[3,2-d]pyrimidine as an effective pharmacophore has been extensively studied. However, its 2,6-substituted derivatives are rarely reported. In the present study, eighteen 2,6-substituted thieno[3,2-d]pyrimidine derivatives containing electrophilic warheads were designed based on the first known Fibroblast growth factor receptor-4 (FGFR4) inhibitor Blu9931. Unexpectedly, all of the derivatives exhibited negligible activity against FGFR4. However, most of the target compounds exhibited antiproliferative activities against four human cancer cell lines, including A431, NCI-H1975, Ramos and SNU-16. Compound 12 showed the most potent antiproliferative activities on the above four cell lines with IC50 values of 1.4 μM, 1.2 μM, 0.6 μM, and 2.6 μM, respectively. Additionally, the antiproliferative activity of 12 against MDA-MB-221 proved that 12 had the selectivity towards certain tumor cell lines. Furthermore, preliminary structure-activity relationship analysis was discussed based on the experimental data.
1. Introduction
Cancer is one of the most formidable enemies to the public health worldwide [1]. Despite the numerous achievements in the field of cancer pharmacotherapy, there is a continuous demand for novel agents with improved therapeutic efficacy, selectivity, and safety. Over the past few decades, more and more drugs with fused bicyclic pyrimidine scaffolds have been approved by the Food and Drug Administration (FDA) with significant biological activities, especially antitumor activities. These fused bicyclic pyrimidines exhibit anticancer function by targeting different kinases, such as Epidermal growth factor receptor (EGFR), Brutons tyrosine kinase (BTK), Janus Kinase (JAK), and Phosphatidylinositol 3 kinase (PI3K) (Figure 1) [2,3,4,5,6]. Considering broader applications of fused bicyclic pyrimidines in anticancer drugs, chemical modifications of the bicyclic pyrimidine scaffolds have been extensively studied. Previously, various thieno[3,2-d]pyrimidine derivatives have attracted attention due to their broad spectrum activities, such as GDC-0941 and Olmutinib (Figure 2) [7,8,9,10,11,12,13,14,15,16,17,18]. Although a large number of studies on derivatives of thieno[3,2-d]pyrimidine have been documented, the 2,6-substituted analogs are seldom reported.
Figure 1.
Structures of some Food and Drug Administration (FDA) approved drugs with bicyclic pyrimidine scaffold.
Figure 2.
A part of reported thieno[3,2-d]pyrimidine structures.
Recently, therapies using covalent drugs have been proved to be successful for various indications. Although there have been concerns about the toxicity of covalent drugs, the high potencies and prolonged effects might result in less frequent drug dosing and wide therapeutic margins for patients [19,20,21,22]. Many covalent drugs have been reported for the treatment of cancer by inhibiting different targets. Among these derivatives, Afatinib, an irreversible EGFR tyrosine kinase inhibitor (TKI) [23], was approved by the FDA for the treatment of metastatic non-small cell lung cancer in 2013 [24]. Ibrutinib, a selective irreversible BTK inhibitor, has been approved by FDA for treatment of patients with chronic lymphocytic leukemia, mantle cell lymphoma and Waldenstrom’s macroglobulinemia [25,26]. Blu9931, which contains a quinazoline core and an acrylamide electrophilic warhead, is the first selective small molecule inhibitor of FGFR4 (Figure 3) [27]. Evidence suggests that covalent drugs are a feasible antitumor strategy. It is worth mentioning that bicyclic pyrimidine scaffolds are widely used in covalent drug design.
Figure 3.
Structures of some covalent inhibitors.
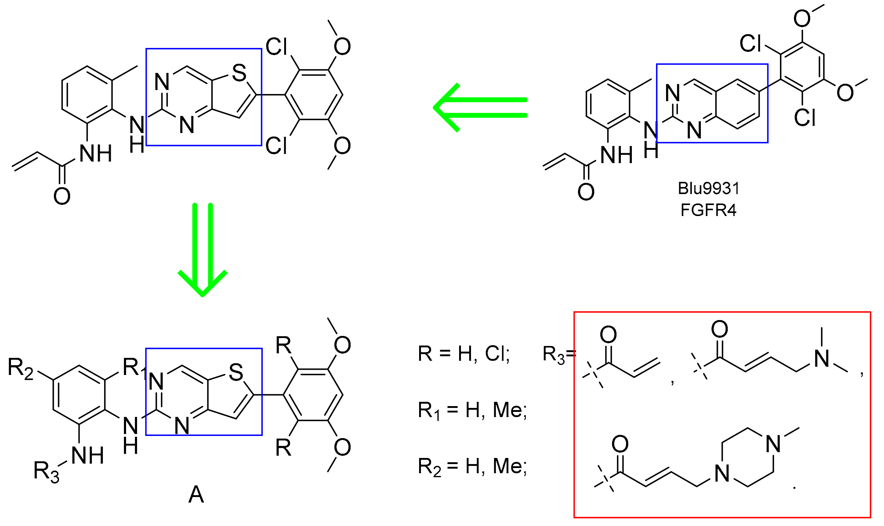
Based on previously published results and our continued interest in studying thieno[3,2-d]pyrimidine derivatives, we decided to design a series of 2,6-substituted thieno[3,2-d]pyrimidine compounds containing electrophilic warheads based on the first known FGFR4 inhibitor Blu9931. FGFR4 is a tyrosine kinase that regulates a wide range of important biological functions. The fibroblast growth factor 19 (FGF19) is the first FGF member exhibiting selective binding to its receptor FGFR4 [28]. Aberrant signaling through the FGF19/FGFR4 signaling complex has been shown to cause hepatocellsular carcinoma in mice and has indicated a similar role in humans [27]. Therefore, FGFR4 is a potential therapeutic target for anticancer drugs. In addition, FGFR1 is highly homologous to FGFR4. Herein, we presented the design, synthesis and antitumor activities of the compounds related to the general structure A (Figure 4). The preliminary structure-activity relationship was also discussed.
Figure 4.
Structures and design strategy for target compounds.
2. Results and Discussion
2.1. Chemistry
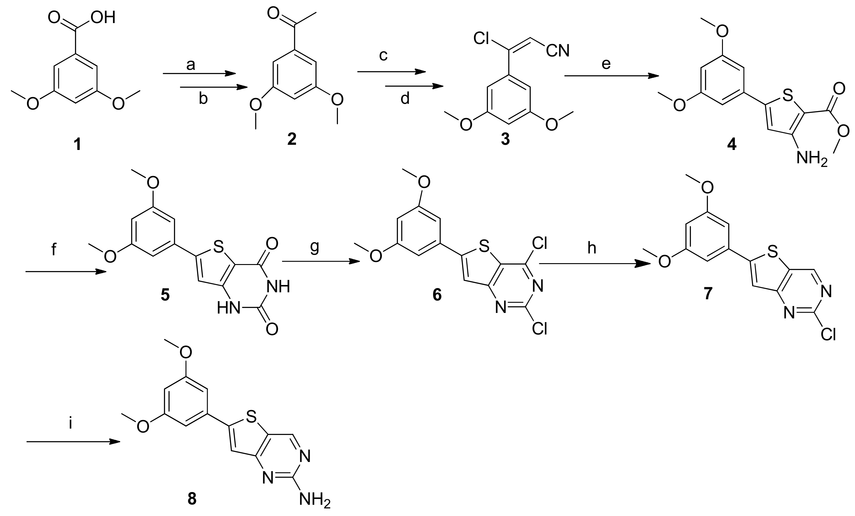
Detailed synthetic strategy to key intermediate 8 was illustrated in Scheme 1. Compound 4 was synthesized according to published procedures [29] and then treated with urea at 170 °C to produce compound 5. Subsequently, compound 5 was treated with POCl3 followed by the treatment with Pd/C/NaHCO3 to produce 7. The newly synthesized 7 was treated with NH3/EtOH (4 M) at 150 °C in a steel tube to afford 8.
Scheme 1.
Synthesis of key intermediate 8. Reagents and conditions: (a) i: thionyl chloride, reflux; ii: ethyl potassium malonate, Et3N, MgCl2, anhydrous MeCN, r.t., overnight; (b) 3 M HCl, EtOH, reflux, 3 h, 79%; (c) POCl3, anhydrous N,N-Dimethylformamide (DMF); (d) hydroxylamine hydrochloride, anhydrous MeCN, r.t., overnight , 40% over two steps; (e) methyl 2-mercaptoacetate, MeONa, anhydrous MeOH, 0–80 °C, 2 h, 96%; (f) urea, neat, 170 °C, 4 h, 89%; (g) POCl3, reflux, overnight, 65%; (h) Pd/C, NaHCO3, Ethyl acetate (EA), EtOH, r.t., overnight, 79%; (i) 4 M NH3/EtOH, 150 °C; 48 h, 67%.
The synthetic route for the synthesis of derivatives 12–29 was depicted in Scheme 2 and the chemical structures of 12–29 were shown in Table 1. The derivative 8 was involved in a nucleophilic aromatic substitution reaction in the presence of 9a–c to obtain crude products. Furthermore, reduction of the nitro group was carried out under basic conditions to give the compound 10a–c, which was then treated with sulfonyl chloride to give 11a–c. In addition, 10a–c and 11a–c were mixed with acryloyl chloride to afford the targets 12–17. On the other hand, 10a–c and 11a–c were treated with (E)-4-bromobut-2-enoyl chloride before reacting with 1-methylpiperazine or 30% dimethylamine solution in water to afford targets 18–29.
Scheme 2.
Synthesis of target compounds 12–29. Reagents and conditions: (a) NaH, anhydrous N,N-Dimethylformamide (DMF), r.t.; (b) Fe(OH)3, 80% hydrazine hydrate, EtOH, reflux; (c) Sulfonyl chloride, Dichloromethane (DCM) or Tetrahydrofuran (THF), −10 °C, 20 min; (d) i: Acryloyl chloride or (E)-4-bromobut-2-enoyl chloride, N,N-Diisopropylethylamine (DIPEA), anhydrous DCM, −10 °C; ii: DMF, NaI, 1-Methylpiperazine or 30% dimethylamine solution in water, r.t.
Table 1.
Structures of compounds 12–29.
2.2. Biological Evaluation
2.2.1. In Vitro Enzymatic Assays–FGFR1 and FGFR4
Firstly, the FGFR1 and FGFR4 enzymatic assays of compounds 12–29 were performed, since their structures are similar to the first small molecular FGFR4 inhibitor Blu9931. Unfortunately, all of the compounds lost the enzyme activities against FGFR1 and FGFR4 with less than 50% inhibition at 1 μM. The results summarized in Figures S1 and S2 (supplied in supplementary data) were expressed as inhibition rates, which were derived from double independent determinations (the information of positive controls can be found in supplementary data), suggesting that the interaction between Blu9931 and FGFR4 might be sensitive to the specific angle of two benzene rings.
2.2.2. In Vitro Cytotoxic Activities and SAR Analysis
The antiproliferative activity of compounds 12–29 against A431 (human skin squamous cell carcinoma), NCI-H1975 (human lung adenocarcinoma cell), Ramos (human B lymphoma cell) and SNU-16 (human gastric cancer cell) cell lines were tested. Using the approved drug Doxorubicin (ADR) as positive controls, the results of the mean values of experiments from three independent determinations, expressed as half-maximal inhibitory concentration (IC50) values, were summarized in Table 2.
Table 2.
Antiproliferative activity of 12–29 against A431, NCI-H1975, Ramos, and SNU-16.
As presented in Table 2, most of the target compounds exhibited moderate antiproliferative activities against Ramos cells. The different substituents of hydrogen or methyl in benzene ring were first investigated. Compound 12 exhibited moderate activity (IC50 = 0.6 μM), while the replacement of hydrogen with o-methyl group (compound 13) or p-methyl group (compound 14) resulted in a slight loss of activity (IC50 = 3.9 μM and 2.7 μM, respectively), suggesting that the antiproliferative activity is sensitive to small changes on the benzene ring adjacent to the pyrimidine side. To further identify the effects of the benzene ring next to the thiophene side on the biological profiles, compounds 15–17 were synthesized and tested. Dramatically reduced antitumor activities were observed when 12–14 were transformed into their respective dichloride substituted derivatives 15–17 (IC50 = 8.0 μM, 14.1 μM and 6.4 μM, respectively). The result suggests that the benzene ring next to the thiophene side plays an important role in antitumor activity. In addition, analogues 18–29 with different Michael acceptors displayed significantly reduced activity against Ramos cells compared with the corresponding compound with acryloyl group. Most of the compounds 12–29 also exhibited moderate to great antiproliferative activity against the other three cell lines. It is interesting to note that the structure-activity relationship analyses of 12–29 against the four tested cell lines were highly consistent.
Furthermore, the antiproliferative activity of the most potent compound 12 against NCI-H1581 (Human non-small cell lung cancer cell line), MDA-MB-231 (Human breast cancer cell line) was evaluated. The derivative 12 showed loss of antiproliferative activity against MDA-MB-221 (IC50 > 20 μM) indicating that 12 exhibits selectivity towards certain tumor cell lines (Table 3).
Table 3.
Antiproliferative activity of 12 against NCI-H1581, MDA-MB-231.
2.2.3. In Vitro Enzymatic Assay—BTK
BTK plays a crucial role in B cell lines growth and reproduction [30]. It has been well documented that most of the BTK inhibitors formed a covalent bond between its electrophilic warhead and a nucleophilic center in the BTK protein. As shown in Table 2, most of the target compounds displayed potent anti-proliferative activity on Ramos cells (B cell lines). Therefore, the inhibition of 12–29 against BTK at 10 nM, 100 nM and 500 nM were tested. Using Ibrutinib as the positive control, the results of the mean values of experiments from double independent determinations, expressed as inhibition rates, were exhibited in Figure S3 (supplied in Supplementary Data). Compounds 12–29 demonstrated less than 40% inhibition against BTK at 500 nM, and their inhibitory activities are much inferior to Ibrutinib. These results indicated that BTK is not the biological target for these compounds.
2.2.4. In Vitro Enzymatic Assays
To investigate the molecular mechanisms, we screened compound 12 against twenty selected tyrosine kinases. The results summarized in Table S3 (supplied in Supplementary Data) were expressed as inhibition rates, derived from three independent determinations (details related to positive controls can be found in Supplementary Data). Unfortunately, compound 12 was judged to have a negligible impact on the tested kinases.
3. Materials and Methods
3.1. Materials and Methods
All reagents and solvents were purchased from commercial suppliers and were further purified or dried if necessary. The 1H-NMR spectra and 13C-NMR spectra were recorded for CDCl3, MeOD, or Dimethyl sulfoxide-d6 (DMSO-d6) by a Bruker DRX-400 (400 MHz) (Bruker Biospin AG, Fällanden, Switzerland) with Tetramethylsilane (TMS) as an internal standard. Chemical shifts were reported as δ (ppm) and spin–spin coupling constants as J (Hz) values. The mass spectra were obtained on a Waters -SDQ mass spectrometer (Manchester, UK) or Waters SYNAPT G2 ESI-TOF-MS analyzer. Melting points were determined on an SGW X-4 melting point detector (Shanghai, China), uncorrected and reported in degrees Centigrade. The derivatives synthesized were purified by column chromatography using silica gel (200–300 mesh). The purity of all tested derivatives was established by High Performance Liquid Chromatography (HPLC) to be >95%.
3.2. General Synthesis
3.2.1. 1-(3,5-Dimethoxyphenyl)ethanone (2)
Step 1. 3,5-dimethoxybenzoyl chloride
3,5-dimethoxybenzoic acid (27.3 g, 150 mmol, compound 1) was suspended in 120 mL thionyl chloride, and the mixture was heated and held at reflux until 1 dissolved. Then, thionyl chloride was evaporated under reduced pressure conditions and the residue was diluted with 150 mL anhydrous acetonitrile.
Step 2. Ethyl 3,5-dimethoxybenzoate
Ethyl potassium malonate (51 g, 300 mmol) and magnesium chloride (36 g, 375 mmol) were suspended in 600 mL anhydrous acetonitrile, and 63 mL Et3N was added slowly. The mixture stirred at room temperature for 2 h. Then 3,5-dimethoxybenzoyl chloride in 50 mL anhydrous acetonitrile was added dropwise. The reaction mixture stirred at room temperature overnight. Dilute hydrochloric acid added to the mixture until pH < 5. The aqueous layer was extracted three times with ethyl acetate (EA) and the combined organic layers were washed with brine and then dried over anhydrous sodium sulfate, filtered and the solution was concentrated under reduced pressure to give the corresponding crude product.
Step 3. 1-(3,5-dimethoxyphenyl)ethanone (2)
The crude product from step 2 dissolved in 150 mL 3 M HCl and 50 mL ethanol. The reaction mixture was heated at reflux for 2 h. After cooling, the solvent was reduced under reduced pressure. The residue was separated on a silica gel column, eluting with a petroleum ether:ethyl acetate (PE/EA) (6:1 v/v) solvent system to give 2 (21.3 g, 79% over three steps); colorless oil; 1H-NMR (400 MHz, CDCl3) δ 7.08 (s, 2H), 6.64 (s, 1H), 3.83 (s, 6H), and 2.56 (s, 3H).
3.2.2. (E)-3-Chloro-3-(3,5-dimethoxyphenyl)acrylonitrile (3)
In addition, 15 mL POCl3 was added dropwise into 25 mL anhydrous DMF, the mixture stirred at room temperature for 15 min. Compound 2 (13.8 g, 78 mmol) in 30 mL anhydrous DMF was added to the mixture carefully and stirred for 20 min, and then the reaction was heated to 40 °C for 1 h (monitored by Thin Layer Chromatography, TLC). Then, the mixture was allowed to cool down to 25 °C, and 21.3 g hydroxylamine hydrochloride was added in batches slowly because of the intense heat released. Another 150 mL of anhydrous acetonitrile was added and the mixture stirred at room temperature for overnight. Then, the mixture poured into ice water, stirred for 5 h, filtered, and then the solid was washed by water and ether. The crude product was purified by eluting through a silica gel column with a 1:3 CH2Cl2/PE solvent system to give 3 (6.96 g, 40% over two steps); colorless oil; 1H-NMR (400 MHz, CDCl3) δ 6.76 (s, 2H), 6.58 (s, 1H), 6.00 (s, 1H), and 3.83 (s, 6H).
3.2.3. Methyl 3-Amino-5-(3,5-dimethoxyphenyl)thiophene-2-carboxylate (4)
Methyl 2-mercaptoacetate (3 mL, 33 mmol) was dissolved in 45 mL MeOH, MeONa (2.4 g, 45 mmol) was added slowly, and the mixture was stirred at 25 °C for half an hour. Compound 3 (6.72 g, 10 mmol) was added and then heated to reflux for 1 h (monitored by TLC), and then the mixture was allowed to cool down to 25 °C and poured into ice water, filtered, and then the filtrate was extracted with EA twice, and the combined organic layers were washed with brine and then dried over anhydrous sodium sulfate, filtered and concentrated. The crude product was purified by eluting through a silica gel column with a 1:8 EA/PE solvent system to give 4 (8.4 g, 96%); yellow oil; 1H-NMR (400 MHz, CDCl3) δ 6.74 (s, 1H), 6.72 (s, 2H), 6.46 (s, 1H), 5.46 (s, 2H), 3.84 (s, 3H), 3.82 (s, 6H).
3.2.4. 6-(3,5-Dimethoxyphenyl)thieno[3,2-d]pyrimidine-2,4(1H,3H)-dione (5)
Compound 4 (8.2 g, 28 mmol) was reacted with 40 g urea at 180 °C for 8 h (monitored by TLC). The mixture was cooled to 120 °C, then added into 500 mL NaOH (1 M) solution, and stirred for 1 h. After filtration, the solid was washed with water and dried by vacuum to obtain 5 (7.6 g, 89%); yellow solid; M.p.: >250 °C; 1H-NMR (400 MHz, DMSO-d6) δ 11.65 (s, 1H), 11.26 (s, 1H), 7.24 (s, 1H), 6.84 (s, 2H), 6.61 (s, 1H), 3.82 (s, 6H); 13C-NMR (101 MHz, DMSO-d6) δ 161.0, 158.8, 157.7, 151.5, 146.6, 134.0, 113.5, 110.0, 104.2, 101.5, 55.5; ESI-MS: m/z 305.1 [M + H]+.
3.2.5. 2,4-Dichloro-6-(3,5-dimethoxyphenyl)thieno[3,2-d]pyrimidine (6)
Compound 5 (7.5 g, 22 mmol) was dissolved in 30 mL POCl3. The solution was heated to reflux for overnight (monitored by TLC). The mixture was allowed to cool down to 40 °C, and then added to 300 mL ice water slowly, white solid precipitated slowly. The precipitate was collected, washed with water and dried to provide the desired product 6 (4.9 g, 65%); white solid; M.p.: >250 °C; 1H-NMR (400 MHz, CDCl3) δ 7.62 (s, 1H), 6.84 (d, 2H), 6.58 (s, 1H), 3.87 (s, 6H); 13C-NMR (101 MHz, CDCl3) δ 163.9, 161.5, 157.5, 156.4, 154.7, 133.7, 128.8, 119.4, 105.3, 102.5, 55.6; ESI-MS: m/z 341.0 [M + H]+.
3.2.6. 2-Chloro-6-(3,5-dimethoxyphenyl)thieno[3,2-d]pyrimidine (7)
To a solution of 6 (4.8 g, 14 mmol) and NaHCO3 (2.35 g, 28 mmol) in 20 mL EtOH and 20 mL EA, 10% Pd/C was added (960 mg, 20% by wt). The suspension was stirred at room temperature under an atmosphere of H2 for 23 h. A second portion of 10% Pd/C (980 mg, 20% by wt) was added after 12 h. The reaction mixture was filtered through Celite® with EtOAc washings. The filtrate was washed with H2O/brine (4:1), dried by MgSO4, filtered and concentrated under reduced pressure to provide 7 (3.4 g, 79%); light yellow solid; M.p.: >250 °C; 1H-NMR (400 MHz, CDCl3) δ 9.04 (s, 1H), 7.62 (s, 1H), 6.87 (s, 2H), 6.58 (s, 1H), 3.88 (s, 6H); 13C-NMR (101 MHz, CDCl3) δ 163.6, 161.4, 157.7, 157.2, 152.7, 134.1, 129.7, 119.0, 105.4, 102.2, 77.3, 77.0, 76.7, 55.6; ESI-MS: m/z 307.0 [M + H]+.
3.2.7. 6-(3,5-Dimethoxyphenyl)thieno[3,2-d]pyrimidin-2-amine (8)
Compound 7 (3.1 g, 10 mmol) was dissolved in 80 mL 4 M NH3/EtOH. The solution was heated to 150 °C for 48 h in sealed tube. The reaction mixture was cooled to room temperature and then poured into ice water, filtered through Celite® with EtOAc washings. The solid dried by vacuum to obtain compound 8 (1.9 g, 67%); Off-white solid; M.p.: 249.4–250.2 °C; 1H-NMR (400 MHz, DMSO-d6) δ 8.89 (s, 1H), 7.65 (s, 1H), 6.96 (s, 2H), 6.62 (s, 1H), 6.57 (s, 2H), 3.83 (s, 6H); 13C-NMR (101 MHz, DMSO-d6) δ 162.7, 161.8, 160.9 152.8, 152.3, 134.7, 119.5, 119.2, 104.5, 101.5, 55.5; ESI-MS: m/z 288.1 [M + H]+.
3.2.8. General Procedure 1 of the Synthesis of Compounds 10a–c
The solution of compound 8 (287 mg, 1 mmol) and NaH (60%, 80 mg, 2 mmol) in 10 mL anhydrous DMF was stirred for 30 min, corresponding o-fluoronitrobenzene (9a–c, 1.05 mmol) in 5 mL anhydrous DMF was added to the mixture dropwise. The reaction mixture was stirred for overnight and then poured into 100 mL water, filtered through Celite with water washings. The solid dried by vacuum to give corresponding crude products. To a solution of corresponding crude products (0.8 mmol) in 15 mL EtOH, Fe(OH)3 (43mg, 0.4 mmol) and Hydrazine hydrate (80%, 0.5 mL, 8 mmol) were added. The mixture was heated to 70 °C for about 4 h (monitored by TLC). The reaction mixture was cooled to room temperature and then filtered through Celite® with EtOAc washings. The filtrate was concentrated under reduced pressure to provide crude products and then the residue was purified through a silica gel column to give the corresponding 10a–c.
Preparation of 10a. From compound 9c (131 mg, 1.05 mmol), as that described in procedure 1, gave pure 10a (298 mg, 96%); off-white solid; M.p.: 209.2–210.2 °C; 1H-NMR (400 MHz, DMSO-d6) δ 9.02 (s, 1H), 8.51 (s, 1H), 7.80 (s, 1H), 7.42 (d, J = 7.1 Hz, 1H), 6.99 (d, J = 2.1 Hz, 2H), 6.93–6.86 (m, 1H), 6.75 (d, J = 6.9 Hz, 1H), 6.61 (dd, J = 7.0, 5.0 Hz, 2H), 4.88 (s, 2H), 3.83 (s, 6H); 13C-NMR (101 MHz, DMSO-d6) δ 162.3, 161.0, 159.4, 152.8, 142.3, 134.6, 125.3, 124.8, 120.7, 119.6, 116.2, 115.6, 104.4, 101.7, 55.5; ESI-MS: m/z 379.1 [M + H]+.
Preparation of 10b. From compound 9b (131 mg, 1.05 mmol), as that described in procedure 1, gave pure 10b (275 mg, 88%); yellow solid; M.p.: 180.0–181.2 °C; 1H-NMR (400 MHz, DMSO-d6) δ 8.96 (s, 1H), 8.28 (s, 1H), 7.76 (s, 1H), 6.95 (s, 2H), 6.88 (t, J = 7.6 Hz, 1H), 6.60 (s, 2H), 6.46 (d, J = 7.3 Hz, 1H), 4.71 (s, 2H), 3.81 (s, 6H), 2.06 (s, 3H); 13C-NMR (101 MHz, DMSO-d6) δ 162.6, 160.9, 160.1, 152.9, 152.5, 145.6, 136.5, 134.7, 126.4, 123.4, 120.3, 119.7, 117.8, 112.8, 104.4, 101.6, 55.5, 18.3; ESI-MS: m/z 393.2 [M + H]+.
Preparation of 10c. From compound 9b (131 mg, 1.05 mmol), as that described in procedure 1, gave pure 10c (282 mg, 90%); yellow solid; M.p.: 192.0–193.2 °C; 1H-NMR (400 MHz, CDCl3) δ 8.80 (s, 1H), 7.40 (s, 1H), 7.28 (s, 1H), 6.84 (d, J = 1.8 Hz, 2H), 6.82 (s, 1H), 6.68 (s, 1H), 6.65 (d, J = 8.0 Hz, 1H), 6.53 (s, 1H), 3.85 (s, 7H), 2.30 (s, 3H); 13C-NMR (101 MHz, CDCl3) δ 163.0, 161.2, 159.8, 154.5, 152.4, 141.9, 136.8, 135.1, 126.3, 123.2, 122.2, 120.0, 119.2, 117.7, 105.0, 101.7, 55.5, 21.2; ESI-MS: m/z 393.2 [M + H]+.
3.2.9. General Procedure 2 of the Synthesis of Compounds 11a–c
Corresponding 10a–c (0.35 mmol) was dissolved in anhydrous THF or anhydrous DCM (5 mL), and sulfonyl chloride (290 mg, 2.1 mmol) was added to the solution in portions at −10 °C. The resulting mixture stirred at 0 °C for 1 h (monitored by TLC). EA (20 mL) and Na2CO3 solution (20 mL) were added, and the layers were partitioned and separated. The organic layers were washed with water and brine, dried over anhydrous sodium sulfate, filtered and then the filtration was concentrated in the vacuum to give corresponding 11a–c.
Preparation of 11a. From compound 10a (133 mg, 0.35 mmol), as that described in procedure 2, gave pure 11a (128 mg, 82%); yellow solid; M.p.: >250 °C; 1H-NMR (400 MHz, CDCl3) δ 8.89 (s, 1H), 7.55–7.39 (m, 1H), 7.13 (s, 1H), 7.07 (m, 1H), 6.92–6.81 (m, 2H), 6.74 (s, 1H), 6.68 (s, 1H), 3.97 (s, 6H), 3.93–3.78 (m, 2H); 13C-NMR (101 MHz, CDCl3) δ 162.2, 159.3, 154.7, 152.7, 148.4, 141.4, 133.4, 126.5, 126.1, 125.6, 124.7, 123.7, 119.4, 117.2, 115.3, 98.2, 56.7; ESI-MS: m/z 447.0 [M + H]+.
Preparation of 11b. From compound 10b (138 mg, 0.35 mmol), as that described in procedure 2, gave pure 11b (127 mg, 79%); yellow solid; M.p.: >250 °C; 1H-NMR (400 MHz, DMSO-d6) δ 9.02 (s, 1H), 8.32 (s, 1H), 7.14 (s, 1H), 7.07 (s, 1H), 6.87 (t, J = 7.7 Hz, 1H), 6.59 (d, J = 7.8 Hz, 1H), 6.46 (d, J = 7.3 Hz, 1H), 4.72 (s, 2H), 3.97 (s, 6H), 2.07 (s, 3H); 13C-NMR (101 MHz, DMSO-d6) δ 161.8, 160.1, 154.5, 153.2, 145.7, 136.5, 132.6, 126.5, 124.2, 123.3, 121.5, 117.7, 113.4, 112.8, 99.4, 56.9, 18.3; ESI-MS: m/z 461.0 [M + H]+.
Preparation of 11c. From compound 10c (138 mg, 0.35 mmol), as that described in procedure 2, gave pure 11c (131 mg, 81%); yellow solid; M.p.: 229.6–231.4 °C; 1H-NMR (400 MHz, CDCl3) δ 8.87 (s, 1H), 7.27 (m, 1H), 7.11 (s, 1H), 6.80 (s, 1H), 6.67 (s, 2H), 3.97 (s, 6H), 2.29 (s, 3H); 13C-NMR (101 MHz, CDCl3) δ 162.3, 159.7, 154.7, 152.7, 148.3, 141.9, 136.8, 133.4, 126.3, 124.7, 123.4, 123.2, 120.0, 117.7, 115.3, 98.2, 56.1, 21.2; ESI-MS: m/z 461.0 [M + H]+.
3.2.10. General Procedure 3 of the Synthesis of Compounds 12–17
One of corresponding 10a–c and 11a–c (0.1 mmol) was dissolved in anhydrous DCM. DIPEA (0.04 mL) and 0.1 mL 10% Acryloyl chloride (anhydrous THF) were added to the solution dropwise at −10 °C. The resulting mixture was stirred for 1 h (monitored by TLC), DCM (20 mL) and NaHCO3 solution (20 mL) were then added, and the layers were partitioned and separated. The organic layers were washed with NH4Cl solution, washed with water and brine, dried over anhydrous sodium sulfate, filtered and the solution was then concentrated under reduced pressure to give corresponding crude product 12–17, which was furthermore purified through a silica gel column.
Preparation of 12. From compound 10a (38 mg, 0.1 mmol), as that described in procedure 3, gave pure 12 (21 mg, 50%); yellow solid; M.p.: 217.1–218.0 °C; 1H-NMR (400 MHz, DMSO-d6) δ 9.88 (s, 1H), 9.08 (s, 1H), 8.64 (s, 1H), 7.92 (d, J = 7.9 Hz, 1H), 7.84 (s, 1H), 7.56 (d, J = 8.2 Hz, 1H), 7.23 (t, J = 7.6 Hz, 1H), 7.12 (t, J = 7.6 Hz, 1H), 7.00 (s, 2H), 6.63 (s, 1H), 6.51 (dd, J = 16.6, 10.2 Hz, 1H), 6.28 (d, J = 17.0 Hz, 1H), 5.77 (d, J = 10.5 Hz, 1H), 3.83 (s, 6H); 13C-NMR (101 MHz, DMSO-d6) δ 163.8, 162.1, 161.0, 158.4, 153.4, 153.0, 134.5, 132.8, 131.5, 129.7, 127.2, 125.3, 124.6, 124.0, 123.4, 121.8, 119.5, 104.5, 101.8, 55.5; HPLC: method 1, room temperature, tg = 11.72 min, UV254 = 98%; HRMS (ESI) m/z calcd for C23H20N4O3S [M + H]+: 433.1329, found: 433.1350.
Preparation of 13. From compound 10b (39 mg, 0.1 mmol), as that described in procedure 3, gave pure 13 (18 mg, 40%); yellow solid; M.p.:184.5–185.6 °C; 1H-NMR (400 MHz, DMSO-d6) δ 9.52 (s, 1H), 8.99 (s, 1H), 8.33 (s, 1H), 7.77 (s, 1H), 7.71 (d, J = 7.0 Hz, 1H), 7.18 (t, J = 7.9 Hz, 1H), 7.10 (d, J = 7.6 Hz, 1H), 6.96 (d, J = 1.8 Hz, 2H), 6.60 (s, 1H), 6.51 (dd, J = 16.8, 10.1 Hz, 1H), 6.21 (d, J = 16.7 Hz, 1H), 5.69 (d, J = 10.3 Hz, 1H), 3.81 (s, 6H), 2.16 (s, 3H); 13C-NMR (101 MHz, DMSO-d6) δ 168.8, 163. 5, 162.4, 160.9, 159.5, 152.9, 150.8, 136.9, 134.9, 134.6, 131.8, 126.8, 126.5, 125.9, 121.0, 120.0, 104.4, 101.7, 55.5, 18.5; HPLC: method 2, room temperature, tg = 11.67 min, UV254 = 97%; HRMS (ESI) m/z calcd for C24H22N4O3S [M + H]+: 447.1485, found: 447.1495.
Preparation of 14. From compound 10c (39 mg, 0.1 mmol), as that described in procedure 3, gave pure 14 (16 mg, 36%); light yellow solid; M.p.: 239.0–240.1 °C; 1H-NMR (400 MHz, DMSO-d6) δ 9.82 (s, 1H), 9.05 (s, 1H), 8.55 (s, 1H), 7.82 (s, 1H), 7.74 (d, J = 8.2 Hz, 1H), 7.40 (s, 1H), 7.04 (d, J = 8.3 Hz, 1H), 6.99 (d, J = 2.1 Hz, 2H), 6.62 (s, 1H), 6.50 (dd, J = 17.0, 10.2 Hz, 1H), 6.28 (d, J = 17.0 Hz, 1H), 5.76 (t, J = 5.0 Hz, 1H), 3.83 (s, 6H), 3.34 (s, 4H), 2.50 (s, 4H), 2.31 (s, 3H); 13C-NMR (101 MHz, DMSO-d6) δ 163.6, 162.2, 161.0, 158.6, 153.2, 153.0, 134.5, 132.7, 131.5, 130.1, 129.8, 127.1, 125.8, 124.7, 124.3, 121.5, 119.6, 104.5, 101.8, 55.5, 20.5; HPLC: method 2, room temperature, tg = 12.05 min, UV254 = 98%; HRMS (ESI) m/z calcd for C24H22N4O3S [M+Na]+: 469.1305, found: 469.1299.
Preparation of 15. From compound 11a (45 mg, 0.1 mmol), as that described in procedure 3, gave pure 15 (22 mg, 44%); white solid; M.p.: 236.6–236.9 °C; 1H-NMR (400 MHz, CDCl3) δ 8.91 (s, 1H), 8.63 (s, 1H), 7.93 (s, 1H), 7.52 (s, 1H), 7.38 (s, 1H), 7.22 (d, J = 8.2 Hz, 1H), 7.15 (s, 1H), 6.68 (s, 1H), 6.35 (d, J = 16.9 Hz, 1H), 6.20 (dd, J = 16.8, 10.3 Hz, 1H), 5.69 (d, J = 10.2 Hz, 1H), 3.98 (s, 6H); 13C-NMR (101 MHz, DMSO-d6) δ 163.7, 161.2, 158.3, 154.5, 153.3, 148.0, 132.6, 132.4, 131.5, 130.1, 127.1, 125.3, 124.5, 124.4, 124.2, 123.7, 123.0, 113.3, 99.5, 56.9; HPLC: method 2, room temperature, tg = 11.37 min, UV254 = 97%; HRMS (ESI) m/z calcd for C23H18Cl2N4O3S [M+Na]+: 523.0369, found: 523.0371.
Preparation of 16. From compound 11b (46 mg, 0.1 mmol), as that described in procedure 3, gave pure 16 (24 mg, 47%); light yellow solid; M.p.: 142.5–143.8 °C; 1H-NMR (400 MHz, CDCl3) δ 8.89 (s, 1H), 8.49 (s, 1H), 8.05 (s, 1H), 7.24 (m, 1H), 7.13 (s, 1H), 7.09 (d, J = 7.5 Hz, 1H), 6.68 (s, 1H), 6.60 (s, 1H), 6.30 (d, J = 17.0 Hz, 1H), 6.14 (dd, J = 16.8, 10.2 Hz, 1H), 5.65 (d, J = 10.2 Hz, 1H), 3.98 (s, 6H), 2.31 (s, 3H); 13C-NMR (101 MHz, DMSO-d6) δ 163.5, 161.6, 159.5, 154.5, 153.2, 147.4, 136.9, 135.0, 132.5, 131.9, 126.8, 126.4, 125.9, 124.2, 122.2, 120.8, 113.4, 99.4, 56.9, 18.5; HPLC: method 2, room temperature, tg = 11.12 min, UV254 = 98%; HRMS (ESI) m/z calcd for C24H20Cl2N4O3S [M + H]+: 515.0706, found: 515.0715.
Preparation of 17. From compound 11c (46 mg, 0.1 mmol), as that described in Procedure 3, gave pure 17 (22 mg, 44%); white solid; M.p.: 258.2–259.6 °C; 1H-NMR (400 MHz, DMSO-d6) δ 9.81 (s, 1H), 9.11 (s, 1H), 8.59 (s, 1H), 7.69 (d, J = 8.2 Hz, 1H), 7.41 (s, 1H), 7.23 (s, 1H), 7.08 (s, 1H), 7.03 (d, J = 8.3 Hz, 1H), 6.50 (dd, J = 17.0, 10.2 Hz, 1H), 6.27 (dd, J = 17.0, 1.7 Hz, 1H), 5.76 (dd, J = 10.1, 1.7 Hz, 1H), 3.98 (s, 6H), 2.30 (s, 3H); 13C-NMR (101 MHz, DMSO-d6) δ 163.6, 161.3, 158.6, 154.5, 153.3, 147.7, 133.0, 132.4, 131.5, 130.2, 129.9, 127.0, 125.8, 124.7, 124.6, 124.2, 122.7, 113.3, 99.4, 56.9, 20.5; HPLC: method 2, room temperature, tg = 11.54 min, UV254 = 98%; HRMS (ESI) m/z calcd for C24H20Cl2N4O3S [M + H]+: 515.0706, found: 515.0723.
3.2.11. General Procedure 4 of the Synthesis of Compounds 18–29
Step 1. One of corresponding 10a–c and 11a–c (0.2 mmol) was dissolved in anhydrous DCM. DIPEA (0.07 mL) and (E)-4-bromobut-2-enoyl chloride (0.01 g/mL in anhydrous THF, 3 mL) were added to the solution at −5 °C. The resulting mixture was stirred for 2 h (monitored by TLC), DCM (10 mL) and water (10 mL) were added, the layers were partitioned and separated. The organic layers were washed with NaHCO3 solution, water and brine, dried over anhydrous sodium sulfate, filtered and the solution was concentrated under reduced pressure, used directly in the next step.
Step 2. One of corresponding crude product in the Step 1 (0.1 mmol) was dissolved in anhydrous DMF. NaI (46 mg, 0.3 mmol) and 0.07 mL (40%) dimethylamine solution in water were added. The resulting mixture was stirred at room temperature (monitored by TLC). EA (10 mL) and water (10 mL) were added, and the layers were partitioned and separated. The organic layers were washed with water and brine, dried over anhydrous sodium sulfate, filtered and concentrated, and then the residue was purified through a silica gel column to give corresponding 18–23.
Preparation of 18. From compound 10a (38 mg, 0.1 mmol), as that described in step 1 and step 2 of procedure 4, gave pure 18 (24 mg, 49%); yellow solid; M.p.: 175.1–175.9 °C; 1H-NMR (400 MHz, CDCl3) δ 8.81 (s, 1H), 8.55 (s, 1H), 7.88 (s, 1H), 7.58 (s, 2H), 7.40 (s, 1H), 7.22 (d, J = 4.1 Hz, 2H), 6.92 (dt, J = 12.2, 5.9 Hz, 1H), 6.84 (d, J = 2.1 Hz, 2H), 6.53 (t, J = 2.1 Hz, 1H), 6.06 (d, J = 15.4 Hz, 1H), 3.85 (s, 6H), 3.05 (d, J = 5.7 Hz, 2H), 2.22 (s, 6H); 13C-NMR (101 MHz, CDCl3) δ 172.5, 164.0, 162.6, 161.3, 159.1, 155.3, 152.3, 141.8, 134.9, 131.7, 126.2, 125.6, 124.9, 124.6, 122.9, 118.9, 105.0, 101.9, 60.2, 55.6, 45.3; HPLC: method 1, room temperature, tg = 11.94 min, UV280 = 96%; HRMS (ESI) m/z calcd for C26H27N5O3S [M + H]+: 490.1907, found: 490.1940.
Preparation of 19. From compound 10b (39 mg, 0.1 mmol), as that described in step 1 and step 2 of procedure 4, gave pure 19 (20 mg, 40%); yellow solid; M.p.: 151.2–152.9 °C; 1H-NMR (400 MHz, CDCl3) δ 8.79 (s, 1H), 8.37 (s, 1H), 8.08 (s, 1H), 7.36 (s, 1H), 7.24 (m, J = 8.0 Hz, 1H), 7.08 (d, J = 7.5 Hz, 1H), 6.91–6.84 (m, 2H), 6.83 (d, J = 2.2 Hz, 2H), 6.53 (t, J = 2.1 Hz, 1H), 5.99 (d, J = 15.3 Hz, 1H), 3.85 (s, 6H), 3.10–2.90 (m, 2H), 2.27 (s, 3H), 2.19 (s, 6H); 13C-NMR (101 MHz, CDCl3) δ 163.7, 162. 9, 161.3, 159.7, 155.4, 152.5, 141.7, 135.5, 135.2, 134.9, 127.2, 126.6, 126.3, 122.9, 120.8, 118.9, 105.0, 101.9, 60.2, 55.7, 45.4, 18.7; HPLC: method 1, room temperature, tg = 11.87 min, UV254 = 98%; HRMS (ESI) m/z calcd for C27H29N5O3S [M + H]+: 504.2064, found: 504.2082.
Preparation of 20. From compound 10c (39 mg, 0.1 mmol), as that described in step 1 and step 2 of procedure 4, gave pure 20 (17 mg, 34%); yellow solid; M.p.: 170.8–171.5 °C; 1H-NMR (400 MHz, DMSO-d6) δ 9.78 (s, 1H), 9.06 (s, 1H), 8.56 (s, 1H), 7.82 (s, 1H), 7.73 (d, J = 8.2 Hz, 1H), 7.41 (s, 1H), 7.04 (d, J = 8.5 Hz, 1H), 7.00 (s, 2H), 6.84–6.71 (m, 1H), 6.64 (s, 1H), 6.39 (d, J = 15.9 Hz, 1H), 3.84 (s, 6H), 3.27 (s, 2H), 2.32 (s, 9H); 13C-NMR (101 MHz, DMSO-d6) δ 163.5, 162.2, 161.0, 158.6, 153.2, 153.0, 134.5, 132.7, 130.0, 126.3, 125.7, 124.6, 124.4, 121.5, 119.6, 104.5, 101.8, 59.3, 55.5, 44.7, 20.5; HPLC: method 1, room temperature, tg = 12.46 min, UV254 = 99%; HRMS (ESI) m/z calcd for C27H29N5O3S [M + H]+: 504.2064, found: 504.2092.
Preparation of 21. From compound 11a (45 mg, 0.1 mmol), as that described in step 1 and step 2 of procedure 4, gave pure 21 (21 mg, 38%); yellow solid; M.p.: 231.7–232.5 °C; 1H-NMR (400 MHz, DMSO-d6) δ 9.79 (s, 1H), 9.14 (s, 1H), 8.70 (s, 1H), 7.87 (d, J = 7.9 Hz, 1H), 7.57 (d, J = 7.6 Hz, 1H), 7.26 (s, 1H), 7.21 (t, J = 7.5 Hz, 1H), 7.12 (d, J = 7.6 Hz, 1H), 7.08 (s, 1H), 6.76 (dt, J = 15.2, 5.8 Hz, 1H), 6.34 (d, J = 15.5 Hz, 1H), 3.98 (s, 6H), 3.05 (d, J = 5.5 Hz, 2H), 2.16 (s, 6H); 13C-NMR (101 MHz, DMSO-d6) δ 163.8, 161.3, 158.4, 154.5, 153.4, 147. 8, 141.8, 132.4, 130.2, 125.4, 125.1, 124.4, 124.2, 123.6, 123.0, 113.3, 99.5, 59.7, 56.9, 45.2; HPLC: method 1, room temperature, tg = 14.20 min, UV254 = 98%; HRMS (ESI) m/z calcd for C26H25Cl2N5O3S [M + H]+: 558.1128, found: 558.1158.
Preparation of 22. From compound 11b (46 mg, 0.1 mmol), as that described in step 1 and step 2 of procedure 4, gave pure 22 (24 mg, 42%); yellow solid; M.p.: >250 °C; 1H-NMR (400 MHz, DMSO-d6) δ 9.50 (s, 1H), 9.04 (s, 1H), 8.40 (s, 1H), 7.74 (d, J = 7.7 Hz, 1H), 7.18 (t, J = 7.8 Hz, 2H), 7.08 (d, J = 8.2 Hz, 2H), 6.70 (dt, J = 15.3, 6.2 Hz, 1H), 6.41 (d, J = 15.4 Hz, 1H), 3.97 (s, 6H), 3.21 (d, J = 4.4 Hz, 2H), 2.28 (s, 6H), 2.16 (s, 3H); 13C-NMR (101 MHz, DMSO-d6) δ 163.2, 161.6, 159.5, 154.5, 153.2, 147.4, 136.9, 135.2, 132.5, 130.3, 126.3, 125.9, 124.2, 122.2, 120.6, 113.3, 99.4, 58.9, 56.9, 44.0, 18.5; HPLC: method 2, room temperature, tg = 11.35 min, UV254 = 99%; HRMS (ESI) m/z calcd for C27H27Cl2N5O3S [M + H]+: 572.1284, found: 572.1327.
Preparation of 23. From compound 11c (46 mg, 0.1 mmol), as that described in step 1 and step 2 of procedure 4, gave pure 23 (19 mg, 33%); yellow solid; M.p.: 214.0–214.6 °C; 1H-NMR (400 MHz, CDCl3) δ 8.89 (s, 1H), 8.45 (s, 1H), 7.80 (s, 1H), 7.36 (d, J = 7.2 Hz, 1H), 7.16 (s, 1H), 7.14 (s, 1H), 7.00 (d, J = 7.8 Hz, 1H), 6.91 (dt, J = 15.0, 6.0 Hz, 1H), 6.68 (s, 1H), 6.03 (d, J = 15.4 Hz, 1H), 5.30 (s, 1H), 3.98 (s, 6H), 3.07 (d, J = 5.8 Hz, 2H), 2.36 (s, 3H), 2.24 (s, 6H); 13C-NMR (101 MHz, CDCl3) δ 163.8, 161.9, 159.3, 154.7, 152.8, 149.0, 141.5, 133.2, 126.4, 126.3, 125.2, 124.7, 124.4, 124.1 115.2, 98.2, 60.2, 56.7, 45.3, 21.2; HPLC: method 1, room temperature, tg = 12.66 min, UV254 = 95%; HRMS (ESI) m/z calcd for C27H27Cl2N5O3S [M + Na]+: 594.1104, found: 594.1091.
Step 3. Corresponding crude product in the step 1 (0.1 mmol) was dissolved in anhydrous DMF. NaI (46 mg, 0.3 mmol) and 0.02 mL N-Methylpiperazine were added. The resulting mixture was stirred at room temperature (monitored by TLC). EA (10 mL) and water (10 mL) were added, and the layers were partitioned and separated. The organic layers were washed with water and brine, and dried over anhydrous sodium sulfate. Filtered and the solution concentrated under reduced pressure, and then the residue was purified through a silica gel column to give corresponding 24–29.
Preparation of 24. From compound 10a (38 mg, 0.1 mmol), as that described in step 1 and step 3 of procedure 4, gave pure 24 (23 mg, 43%); yellow solid; M.p.: 182.9–183.7 °C; 1H-NMR (400 MHz, CDCl3) δ 8.82 (s, 1H), 8.50 (s, 1H), 7.88 (s, 1H), 7.55 (s, 1H), 7.48 (s, 1H), 7.41 (s, 1H), 7.21 (s, 2H), 6.91 (d, J = 9.3 Hz, 1H), 6.84 (d, J = 2.0 Hz, 2H), 6.53 (s, 1H), 6.04 (d, J = 15.3 Hz, 1H), 3.85 (s, 6H), 3.09 (d, J = 5.5 Hz, 2H), 2.42 (m, 8H), 2.23 (s, 3H); 13C-NMR (101 MHz, CDCl3) δ 163.9, 162.5, 161.3, 159.1, 155.4, 152.3, 141.7, 134.8, 131.7, 126.2, 125.7, 124.9, 124.7, 122.8, 118.8, 105.0, 101.8, 59.2, 55.6, 54.9, 53.2, 45.9; HPLC: method 1, room temperature, tg = 11.04 min, UV280 = 96%; HRMS (ESI) m/z calcd for C29H32N6O3S [M+Na]+: 567.2149, found: 567.2169.
Preparation of 25. From compound 10b (39 mg, 0.1 mmol), as that described in step 1 and step 3 of procedure 4, gave pure 25 (20 mg, 36%); yellow solid; M.p.: 156.5–157.8 °C;1H-NMR (400 MHz, CDCl3) δ 8.83 (s, 1H), 8.58 (s, 1H), 8.00 (s, 1H), 7.39 (s, 1H), 7.23 (s, 1H), 7.10 (d, J = 7.0 Hz, 1H), 6.84 (s, 2H), 6.82–6.69 (m, 2H), 6.54 (s, 1H), 5.99 (d, J = 15.0 Hz, 1H), 3.86 (s, 6H), 3.32 (s, 2H), 3.16 (s, 2H), 2.83 (s, 6H), 2.68 (s, 3H), 2.29 (s, 4H); 13C-NMR (101 MHz, MeOD) δ 166.3, 164.0, 162.9, 160.7, 156.5, 153.9, 141.6, 138.4, 136.1, 135.9, 132.1, 128.9, 127.9, 127.7, 123.3, 119.7, 105.8, 102.7, 59.5, 56.1, 55.2, 52.4, 44.8, 18.8; HPLC: method 1, room temperature, tg = 11.26 min, UV280 = 97%; HRMS (ESI) m/z calcd for C30H34N6O3S [M + H]+: 559.2486, found: 559.2494.
Preparation of 26. From compound 10c (39 mg, 0.1 mmol), as that described in step 1 and step 3 of procedure 4, gave pure 26 (19 mg, 34%); yellow solid; M.p.: 182.0–183.2 °C; 1H-NMR (400 MHz, CDCl3) δ 8.80 (s, 1H), 7.73 (s, 1H), 7.46 (d, J = 7.6 Hz, 1H), 7.37 (s, 1H), 7.02 (d, J = 7.3 Hz, 1H), 6.83 (d, J = 2.0 Hz, 2H), 6.82–6.72 (m, 1H), 6.53 (t, J = 1.9 Hz, 1H), 6.08 (d, J = 15.0 Hz, 1H), 3.85 (s, 6H), 3.17 (s, 2H), 3.14 (d, J = 5.5 Hz, 2H), 2.80 (s, 6H), 2.63 (s, 3H), 2.36 (s, 3H); 13C-NMR (101 MHz, CDCl3) δ 163.5, 161.3, 155.3, 139.8, 135.6, 134.8, 131.4, 129.0, 126.5, 125.0, 118.8, 105.0, 101.8, 58.1, 55.6, 53.8, 49.7, 43.5, 21.1; HPLC: method 1, room temperature, tg = 11.87 min, UV254 = 99%; HRMS (ESI) m/z calcd for C30H34N6O3S [M+Na]+: 581.2305, found: 581.2278.
Preparation of 27. From compound 11a (45 mg, 0.1 mmol), as that described in step 1 and step 3 of procedure 4, gave pure 27 (21 mg, 34%); off-white solid; M.p.: 160.1–160.7 °C; 1H-NMR (400 MHz, CDCl3) δ 8.91 (s, 1H), 8.46 (s, 1H), 7.88 (s, 1H), 7.56 (s, 1H), 7.29 (s, 1H), 7.22 (s, 2H), 7.16 (s, 1H), 6.93 (dt, J = 15.1, 6.1 Hz, 1H), 6.68 (s, 1H), 6.05 (d, J = 15.4 Hz, 1H), 3.98 (s, 6H), 3.11 (d, J = 5.8 Hz, 2H), 2.45 (s, 8H), 2.27 (s, 3H); 13C-NMR (101 MHz, CDCl3) δ 163.9, 161.8, 159.0, 154.7, 152.7, 149.1, 141.9, 133.1, 131.6, 126.2, 125.7, 124.9, 124.7, 124.4, 124.2, 115.1, 98.2, 59.3, 56.7, 55.0, 53.3, 46.0; HPLC: method 1, room temperature, tg = 11.63 min, UV254 = 97%; HRMS (ESI) m/z calcd for C29H30Cl2N6O3S [M + H]+: 613.1550, found: 613.1577.
Preparation of 28. From compound 11b (46 mg, 0.1 mmol), as that described in step 1 and step 3 of procedure 4, gave pure 28 (18 mg, 29%); white solid; M.p.: 225.0–226.2 °C; 1H-NMR (400 MHz, CDCl3) δ 8.85 (s, 1H), 8.46 (s, 1H), 8.01 (s, 1H), 7.23 (t, J = 7.9 Hz, 1H), 7.09 (s, 1H), 7.07 (d, J = 7.4 Hz, 1H), 6.96 (s, 1H), 6.87 (dt, J = 15.3, 6.2 Hz, 1H), 6.68 (s, 1H), 6.01 (d, J = 15.3 Hz, 1H), 3.97 (s, 6H), 3.07 (d, J = 6.1 Hz, 2H), 2.43 (s, 8H), 2.28 (s, 3H), 2.26 (s, 3H); 13C-NMR (101 MHz, CDCl3) δ 172.6, 163.7, 162.1, 159.5, 154.7, 152.9, 149.1, 141.5, 135.6, 135.1, 133.1, 127.1, 126.7, 124.4, 124.0, 115.2, 98.3, 59.2, 56.7, 55.0, 53.2, 45.9, 18.8; HPLC: method 1, room temperature, tg = 11.50 min, UV254 = 99%; HRMS (ESI) m/z calcd for C30H32Cl2N6O3S [M + H]+: 627.1706, found: 627.1736.
Preparation of 29. From compound 11c (46 mg, 0.1 mmol), as that described in step 1 and step 3 of procedure 4, gave pure 29 (22 mg, 35%); white solid; M.p.: 212.4–212.9 °C; 1H-NMR (400 MHz, CDCl3) δ 8.82 (s, 1H), 8.39 (s, 1H), 7.69 (s, 1H), 7.30 (d, J = 6.6 Hz, 1H), 7.14 (d, J = 13.1 Hz, 1H), 7.07 (s, 1H), 6.93 (d, J = 7.6 Hz, 1H), 6.85 (dd, J = 13.8, 7.4 Hz, 1H), 6.61 (s, 1H), 5.95 (d, J = 15.3 Hz, 1H), 3.90 (s, 6H), 3.03 (d, J = 5.9 Hz, 2H), 2.40 (s, 8H), 2.29 (s, 3H), 2.22 (s, 3H); 13C-NMR (101 MHz, DMSO-d6) δ 163.7, 161.3, 158.6, 154.5, 153.3, 147.7, 141.1, 133.1, 132.4, 130.3, 125.8, 125.7, 124.7, 125.6, 124.2, 122.7, 113.3, 99.4, 58.3, 56.8, 54.4, 52.4, 45.4, 20.5; HPLC: method 1, room temperature, tg = 12.03 min, UV254 = 96%; HRMS (ESI) m/z calcd for C30H32Cl2N6O3S [M + Na]+: 649.1526, found: 649.1482.
3.3. General Procedure for In Vitro Cell-Proliferation Assays
NCI-H1975, Ramos, and SNU-16 cells were maintained in Revolutions-Per-minute Indicator 1640 (RPMI 1640) medium (Gibco, Grand Island, NY, USA), A431 was maintained in Dulbecco’s Modified Eagle Medium (DMEM) medium (Gibco), MDA-MB-231 was cultured in L-15 medium (Gibco), and NCI-H1581 was cultured in ACL-4 (Gibco), and all of them were supplemented with 10% heat-inactivated fetal calf serum (FBS; Gibco) at 37 °C in a 5% CO2 humidified environment. Cells in 96-well plates were treated with gradient concentrations of compounds at 37 °C for 72 h. Cell proliferation assays in NCI-H1975, A431, MDA-MB-231 and NCI-H1581 were determined by using sulforhodamine B (SRB; Sigma, St. Louis, MO, USA). The antiproliferative activity of compounds, examined in Ramos and SUN-16 cell lines, was determined by using CCK-8 (Dojindo Laboratories, Kamimashiki-gun, Japan). The dosages corresponding to the half-maximal inhibition (IC50) were calculated using SoftMax pro-based nonlinear 4-parameter regression analysis (n = 3).
4. Conclusions
In summary, a series of 2,6-substituted thieno[3,2-d]pyrimidine containing electrophilic warheads derivatives were designed and synthesized. The derivatives possessed moderate antiproliferative properties against four tested cancer cell lines (A431, NCI-H1975, Ramos and SNU-16). Compound 12 showed the most potent cytotoxic activity on the four cell lines above with IC50 values of 1.4 μM, 1.2 μM, 0.6 μM, and 2.6 μM, respectively. However, the antiproliferative activity of 12 against MDA-MB-221 indicated that 12 had the selectivity towards certain tumor cell lines. The preliminary investigation showed that the acrylamide electrophilic warhead was more active than the other two warheads. It was interesting to note that an o-Me substituent on the benzene ring attached to the electrophilic warhead weakens the activity slightly while p-Me substituent results in a significant loss of activity. Another interesting phenomenon was that a dramatic loss in antitumor activity was observed when 12–14 were transformed into their dichloride substituted derivatives 15–17. In addition, compounds 12–29 demonstrated less than 40% inhibition against BTK at 500 nM, indicating that BTK might not be the biological target for these compounds. The enzymatic screen assays suggested that the selected twenty kinases might also not be the biological targets for the synthesized compounds. Thus, future efforts will focus on investigating the molecular mechanisms of the target compounds, especially 12. In summary, compound 12 is worth further research as a new potential anticancer agent.
Supplementary Materials
The following are available online. The general HPLC method, ESI-TOF-MS spectrums of 12–29, FGFR1 and FGFR4 enzymatic assay, BTK enzymatic assay, and in vitro enzymatic assays, Figure S1. FGFR1 inhibition rate of 12–29 at the concentration of 10 nM, 100 nM and 1000 nM, Table S1: Positive controls in FGFR1 enzymatic assay, Figure S2. FGFR4 inhibition rate of 12–29 at the concentration of 10 nM, 100 nM and 1000 nM, Table S2: Positive controls in FGFR4 enzymatic assay, Figure S3. BTK inhibition rate of 12–29 at the concentration of 10 nM, 100 nM and 1000 nM, Table S3–S6: Some positive controls in in vitro enzymatic screen assays.
Author Contributions
Q.Z. and W.L. participated in designing the target compounds. Q.Z. was the chief experimenter of chemistry, analyzed the experimental data and wrote the paper. Y.C., Z.H., and Q.S. performed all of the biological assays and participated in analyzing the data. W.L. and Y.C. participated in the corrections of the final manuscript.
Conflicts of Interest
The authors declare no conflict of interest.
Abbreviations
The following abbreviations are used in this manuscript:
| FDA | Food and Drug Administration |
| EGFR | Epidermal growth factor receptor |
| TKI | Tyrosine kinase inhibitors |
| BTK | Brutons tyrosine kinase |
| JAK | Janus kinase |
| PI3K | Phosphatidylinositol 3 kinase |
| FGFR4 | Fibroblast growth factor receptor-4 |
| FGF19 | Fibroblast growth factor 19 |
| EA | Ethyl acetate |
| DMF | N,N-Dimethylformamide |
| DIPEA | N,N-Diisopropylethylamine |
| ADR | Doxorubicin |
| DMSO | Dimethyl sulfoxide |
| HPLC | High Performance Liquid Chromatography |
| TLC | Thin Layer Chromatography |
| PE | Petroleum ether |
| ESI MS | Electrospray ionization mass spectrometry |
| HRMS | High resolution mass |
| TMS | Tetramethylsilane |
| RPMI 1640 | Revolutions-Per-minute Indicator 1640 |
| DMEM | Dulbecco’s Modified Eagle Medium |
| ELISA | Enzyme-linked immunosorbent assay |
References
- Siegel, R.L.; Miller, K.D.; Jemal, A. Cancer statistics, 2017. CA Cancer J. Clin. 2017, 67, 7–30. [Google Scholar] [CrossRef] [PubMed]
- Vitaku, E.; Smith, D.T.; Njardarson, J.T. Analysis of the structural diversity, substitution patterns, and frequency of nitrogen heterocycles among U.S. Fda approved pharmaceuticals. J. Med. Chem. 2014, 57, 10257–10274. [Google Scholar] [CrossRef] [PubMed]
- Wu, P.; Nielsen, T.E.; Clausen, M.H. Small-molecule kinase inhibitors: An analysis of fda-approved drugs. Drug Discov. Today 2016, 21, 5–10. [Google Scholar] [CrossRef] [PubMed]
- Tracy, S.; Mukohara, T.; Hansen, M.; Meyerson, M.; Johnson, B.E.; Jänne, P.A. Gefitinib Induces Apoptosis in the EGFRL858R Non–Small-Cell Lung Cancer Cell Line H3255. Cancer Res. 2004, 64, 7241. [Google Scholar] [CrossRef] [PubMed]
- Li, Z.; Xu, M.; Xing, S.; Ho, W.T.; Ishii, T.; Li, Q.; Fu, X.; Zhao, Z.J. Erlotinib effectively inhibits jak2v617f activity and polycythemia vera cell growth. J. Biol. Chem. 2007, 282, 3428–3432. [Google Scholar] [CrossRef] [PubMed]
- Burris, H.A., 3rd. Dual kinase inhibition in the treatment of breast cancer: Initial experience with the egfr/erbb-2 inhibitor lapatinib. Oncologist 2004, 9, 10–15. [Google Scholar] [CrossRef] [PubMed]
- Zhu, W.; Liu, Y.; Zhai, X.; Wang, X.; Zhu, Y.; Wu, D.; Zhou, H.; Gong, P.; Zhao, Y. Design, synthesis and 3d-qsar analysis of novel 2-hydrazinyl-4-morpholinothieno[3,2-d]pyrimidine derivatives as potential antitumor agents. Eur. J. Med. Chem. 2012, 57, 162–175. [Google Scholar] [CrossRef] [PubMed]
- Folkes, A.J.; Ahmadi, K.; Alderton, W.K.; Alix, S.; Baker, S.J.; Box, G.; Chuckowree, I.S.; Clarke, P.A.; Depledge, P.; Eccles, S.A.; et al. The identification of 2-(1H-indazol-4-yl)-6-(4-methanesulfonyl-piperazin-1-ylmethyl)-4-morpholin-4-yl-thieno[3,2-d]pyrimidine (gdc-0941) as a potent, selective, orally bioavailable inhibitor of class i pi3 kinase for the treatment of cancer. J. Med. Chem. 2008, 51, 5522–5532. [Google Scholar] [CrossRef] [PubMed]
- Mathieu, S.; Gradl, S.N.; Li, R.; Wen, Z.; Aliagas, I.; Gunznertoste, J.; Lee, W.; Pulk, R.; Zhao, G.; Alicke, B. Potent and selective aminopyrimidine-based b-raf inhibitors with favorable physicochemical and pharmacokinetic properties. J. Med. Chem. 2014, 55, 2869–2881. [Google Scholar] [CrossRef] [PubMed]
- Perspicace, E.; Marchais-Oberwinkler, S.; Hartmann, R.W. Synthesis and biological evaluation of thieno[3,2-d]pyrimidinones, thieno[3,2-d]pyrimidines and quinazolinones: Conformationally restricted 17b-hydroxysteroid dehydrogenase type 2 (17b-hsd2) inhibitors. Molecules 2013, 18, 4487–4509. [Google Scholar] [CrossRef] [PubMed]
- Liu, Z.; Wang, Y.; Lin, H.; Zuo, D.; Wang, L.; Zhao, Y.; Gong, P. Design, synthesis and biological evaluation of novel thieno[3,2-d]pyrimidine derivatives containing diaryl urea moiety as potent antitumor agents. Eur. J. Med. Chem. 2014, 85, 215–227. [Google Scholar] [CrossRef] [PubMed]
- Disch, J.S.; Evindar, G.; Chiu, C.H.; Blum, C.A.; Dai, H.; Jin, L.; Schuman, E.; Lind, K.E.; Belyanskaya, S.L.; Deng, J. Discovery of thieno[3,2-d]pyrimidine-6-carboxamides as potent inhibitors of sirt1, sirt2, and sirt3. J. Med. Chem. 2014, 56, 3666–3679. [Google Scholar] [CrossRef] [PubMed]
- Tan, Q.; Zhang, Z.; Hui, J.; Zhao, Y.; Zhu, L. Synthesis and anticancer activities of thieno[3,2-d]pyrimidines as novel hdac inhibitors. Bioorg. Med. Chem. 2014, 22, 358–365. [Google Scholar] [CrossRef] [PubMed]
- Liu, Z.; Wu, S.; Wang, Y.; Li, R.; Wang, J.; Wang, L.; Zhao, Y.; Gong, P. Design, synthesis and biological evaluation of novel thieno[3,2-d]pyrimidine derivatives possessing diaryl semicarbazone scaffolds as potent antitumor agents. Eur. J. Med. Chem. 2014, 87, 782–793. [Google Scholar] [CrossRef] [PubMed]
- Temburnikar, K.W.; Zimmermann, S.C.; Kim, N.T.; Ross, C.R.; Gelbmann, C.; Salomon, C.E.; Wilson, G.M.; Balzarini, J.; Seley-Radtke, K.L. Antiproliferative activities of halogenated thieno[3,2-d]pyrimidines. Bioorg. Med. Chem. 2014, 22, 2113–2122. [Google Scholar] [CrossRef] [PubMed]
- Refat, H.M.; Fadda, A.A.; El-Mekawy, R.E.; Sleat, A.M. Synthesis of some novel thieno[3,2-d]pyrimidine derivatives of pharmaceutical interest. Heterocycles 2015, 91, 2271. [Google Scholar] [CrossRef]
- Ross, C.R.; Temburnikar, K.W.; Wilson, G.M.; Seley-Radtke, K.L. Mitotic arrest of breast cancer mda-mb-231 cells by a halogenated thieno[3,2-d]pyrimidine. Bioorg. Med. Chem. Lett. 2015, 25, 1715–1717. [Google Scholar] [CrossRef] [PubMed]
- Kim, E.S. Erratum to: Olmutinib: First global approval. Drugs 2016, 76, 1233. [Google Scholar] [CrossRef] [PubMed]
- Baillie, T.A. Targeted covalent inhibitors for drug design. Angew. Chem. Int. Ed. Engl. 2016, 55, 13408–13421. [Google Scholar] [CrossRef] [PubMed]
- Bauer, R.A. Covalent inhibitors in drug discovery: From accidental discoveries to avoided liabilities and designed therapies. Drug Discov. Today 2015, 20, 1061–1073. [Google Scholar] [CrossRef] [PubMed]
- Barf, T.; Kaptein, A. Irreversible protein kinase inhibitors: Balancing the benefits and risks. J. Med. Chem. 2012, 55, 6243–6262. [Google Scholar] [CrossRef] [PubMed]
- Paola, V.; Botrugno, O.A.; Anna, C.; Giuseppe, C.; Paola, D.; Antonello, M.; Andrea, M.; Giuseppe, M.; Saverio, M.; Florian, T. Synthesis, biological activity and mechanistic insights of 1-substituted cyclopropylamine derivatives: A novel class of irreversible inhibitors of histone demethylase kdm1a. Eur. J. Med. Chem. 2014, 86, 352. [Google Scholar]
- Minkovsky, N.; Berezov, A. Bibw-2992, a dual receptor tyrosine kinase inhibitor for the treatment of solid tumors. Curr. Opin. Investig. Drugs 2008, 9, 1336–1346. [Google Scholar] [PubMed]
- Boehringer Ingelheim. US Fda Approves Gilotrif™ (afatinib)* as First-Line Treatment for Lung Cancer Patients with Egfr Mutations. 2013. Available online: http://us.boehringer-ingelheim.com/news_events/press_releases/press_release_archive/2013/07-12-13-fdaapproves-gilotrif-afatinib-first-line-treatment-metastatic-non-smallcell-lung-cancer-common-egfr-mutations.html (accessed on 17 May 2016).
- Brown, J.R. Ibrutinib (pci-32765), the first btk (bruton’s tyrosine kinase) inhibitor in clinical trials. Curr. Hematol. Malig. Rep. 2013, 8, 1–6. [Google Scholar] [CrossRef] [PubMed]
- Li, J.J.; Johnson, D.S. 8. Ibrutinib (Imbruvica): The First-in-Class Btk Inhibitor for Mantle Cell Lymphoma, Chronic Lymphocytic Leukemia, and Waldenstrom’s Macroglobulinemia; John Wiley & Sons, Inc.: Hoboken, NJ, USA, 2015. [Google Scholar]
- Hagel, M.; Miduturu, C.; Sheets, M.; Rubin, N.; Weng, W.; Stransky, N.; Bifulco, N.; Kim, J.L.; Hodous, B.; Brooijmans, N. First selective small molecule inhibitor of fgfr4 for the treatment of hepatocellular carcinomas with an activated fgfr4 signaling pathway. J. Hepatol. 2015, 5, 424–437. [Google Scholar] [CrossRef] [PubMed]
- Xie, M.H.; Holcomb, I.; Deuel, B.; Dowd, P.; Huang, A.; Vagts, A.; Foster, J.; Liang, J.; Brush, J.; Gu, Q. Fgf-19, a novel fibroblast growth factor with unique specificity for fgfr4. Cytokine 1999, 11, 729–735. [Google Scholar] [CrossRef] [PubMed]
- Ho, H.K.; Németh, G.; Ng, Y.R.; Pang, E.; Szántaikis, C.; Zsákai, L.; Breza, N.; Greff, Z.; Horváth, Z.; Pató, J. Developing fgfr4 inhibitors as potential anti-cancer agents via in silico design, supported by in vitro and cell-based testing. Curr. Med. Chem. 2013, 20, 1203–1217. [Google Scholar] [CrossRef] [PubMed]
- Harrison, C. Trial watch: Btk inhibitor shows positive results in b cell malignancies. Nat. Rev. Drug Discov. 2012, 11, 96. [Google Scholar] [CrossRef] [PubMed]
Sample Availability: Samples of the compounds 12–29 are available from the authors. |
© 2017 by the authors. Licensee MDPI, Basel, Switzerland. This article is an open access article distributed under the terms and conditions of the Creative Commons Attribution (CC BY) license (http://creativecommons.org/licenses/by/4.0/).























