UVA, UVB and UVC Light Enhances the Biosynthesis of Phenolic Antioxidants in Fresh-Cut Carrot through a Synergistic Effect with Wounding
Abstract
:1. Introduction
2. Results and Discussion
2.1. Effect of UVC and Different Wounding Intensity (A/W) on Total Phenolic, PAL Activity and AOX during Storage
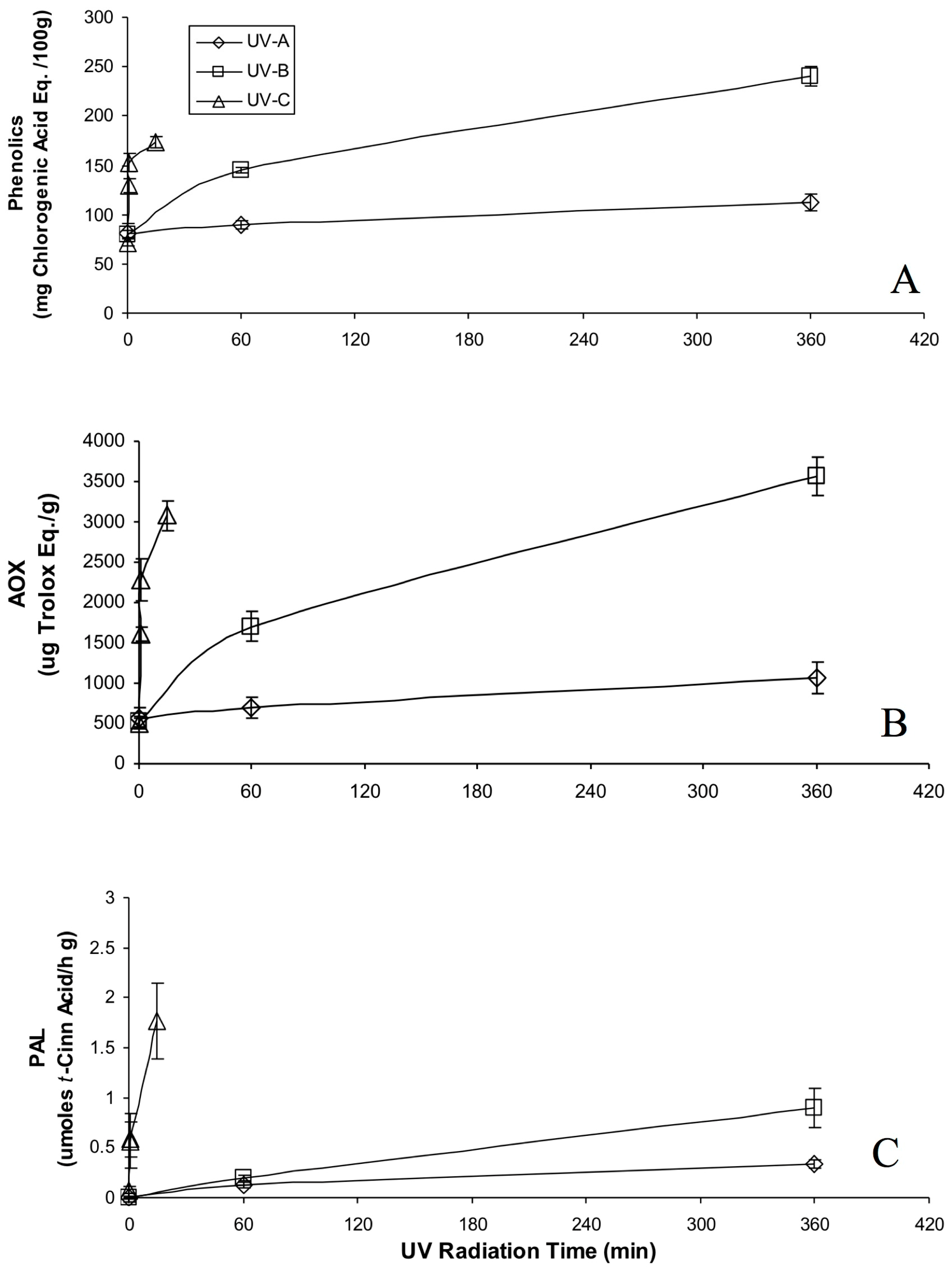
2.2. Wounded Carrot Exposed to UVA, UVB and UVC Lights
2.3. Potential Signaling Mechanism of UVA, UVB and UVC Radiation Stress in Carrot Tissue
3. Materials and Methods
3.1. Plant Materials and Reagents
3.2. Wounding and UV Radiation Stresses
3.3. Phenolics, AOX, and PAL Activity
3.4. Statistical Analysis
4. Conclusions
Supplementary Materials
Acknowledgments
Author Contributions
Conflicts of Interest
References
- Surjadinata, B.B.; Cisneros-Zevallos, L. Biosynthesis of phenolic antioxidants in carrot tissue increases with wounding intensity. Food Chem. 2012, 134, 615–624. [Google Scholar] [CrossRef] [PubMed]
- Jacobo-Velázquez, D.A.; Martínez-Hernández, G.B.; Rodríguez, S. C.; Cao, C.-M.; Cisneros-Zevallos, L. Plants as biofactories: Physiological role of reactive oxygen species on the accumulation of phenolic antioxidants in carrot tissue under wounding and hyperoxia stress. J. Agric. Food Chem. 2011, 59, 6583–6593. [Google Scholar] [CrossRef] [PubMed]
- Heredia, J.B.; Cisneros-Zevallos, L. The effect of exogenous ethylene and methyl jasmonate on pal activity, phenolic profiles and antioxidant capacity of carrots (Daucus carota) under different wounding intensities. Postharvest Biol. Technol. 2009, 51, 242–249. [Google Scholar] [CrossRef]
- Jacobo-Velázquez, D.A.; González-Agüero, M.; Cisneros-Zevallos, L. Cross-talk between signaling pathways: Phe link between plant secondary metabolite production and wounding stress response. Sci. Rep. 2015, 5, 8608. [Google Scholar] [CrossRef] [PubMed]
- Becerra-Moreno, A.; Benavides, J.; Cisneros-Zevallos, L.; Jacobo-Velázquez, D.A. Plants as biofactories: Glyphosate-induced production of shikimic acid and phenolic antioxidants in wounded carrot tissue. J. Agric. Food Chem. 2012, 60, 11378–11386. [Google Scholar] [CrossRef] [PubMed]
- Becerra-Moreno, A.; Redondo-Gil, M.; Benavides, J.; Nair, V.; Cisneros-Zevallos, L.; Jacobo-Velázquez, D.A. Combined effect of water loss and wounding stress on gene activation of metabolic pathways associated with phenolic biosynthesis in carrot. Front. Plant Sci. 2015, 6, 1–15. [Google Scholar] [CrossRef] [PubMed]
- Arakawa, O. Photoregulation of anthocyanin synthesis in apple fruit under UV-B and red light. Plant Cell Phys. 1988, 29, 1385–1389. [Google Scholar]
- Dong, Y.H.; Mitra, D.; Kootstra, A. Postharvest stimulation of skin color in Royal Gala apple. J. Am. Soc. Hortic. Sci. 1995, 120, 95–100. [Google Scholar]
- Jenkins, G.I.; Fuglev, G.; Christie, J.M. UV-B perception and signal transduction. In Plants and UV-B Responses to Environmental Change; Lumsden, P.J., Ed.; Cambridge University Press: Cambridge, UK, 1997; pp. 135–156. [Google Scholar]
- Cantos, E.; Espin, J.C.; Tomas-Barberan, F.A. Postharvest induction modeling method using UV irradiation pulses for obtaining resveratrol-enriched table grapes: A new “functional” fruit? J. Agric. Food Chem. 2001, 49, 5052–5058. [Google Scholar] [CrossRef] [PubMed]
- Reay, P.F.; Lancaster, J.E. Accumulation of anthocyanins and quercetin glycosides in ‘Gala’ and ‘Royal Gala’ apple fruit skin with UV-B-Visible irradiation: Modifying effects of fruit maturity, fruit side, and temperature. Sci. Hortic. 2001, 90, 57–68. [Google Scholar] [CrossRef]
- Mercier, J.; Arul, J.; Julien, C. Effect of food preparation on the isocoumarin, 6-methoxymellein, content of UV-treated carrots. Food Res. Int. 1994, 27, 401–404. [Google Scholar] [CrossRef]
- Formica-Oliveira, A.C.; Martínez-Hernández, G.B.; Aguayo, E.; Gómez, P.A.; Artés, F.; Artés-Hernández, F. UV-C and hyperoxia abiotic stresses to improve healthiness of carrots: Study of combined effects. J. Food Sci. Technol. 2016, 53, 3465–3476. [Google Scholar] [CrossRef] [PubMed]
- Avena-Bustillos, R.J.; Du, W.-X.; Woods, R.; Olson, D.; Breksa, A.P.; McHugh, T.H. Ultraviolet-B light treatment increases antioxidant capacity of carrot products. J. Sci. Food Agric. 2012, 92, 2341–2348. [Google Scholar] [CrossRef] [PubMed]
- Du, W.-X.; Avena-Bustillos, R.J.; Breksa, A.P.; McHugh, T.H. Effect of UV-B light and different cutting styles on antioxidant enhancement of commercial fresh-cut carrot products. Food Chem. 2012, 134, 1862–1869. [Google Scholar] [CrossRef] [PubMed]
- Hollosy, F. Effects of ultraviolet radiation on plant cells. Micron 2002, 33, 179–197. [Google Scholar] [CrossRef]
- Day, T.A.; Martin, G.; Vogelmann, T.C. Penetration of UV-B radiation in foliage: Evidence that epidermis behaves as a non-uniform filter. Plant Cell Environ. 1993, 16, 735–741. [Google Scholar] [CrossRef]
- Kovacs, E.; Keresztes, A. Effect of gamma and UV-B/C radiation on plant cells. Micron 2002, 33, 199–210. [Google Scholar] [CrossRef]
- Surjadinata, B.B. Wounding and Ultraviolet Radiation Stresses Affect the Phenolic Profile and Antioxidant Capacity of Carrot Tissue. Ph.D. Thesis, Texas A&M University, College Station, TX, USA, 2006. [Google Scholar]
- Torres-Contreras, A.M.; Nair, V.; Cisneros-Zevallos, L.; Jacobo-Velázquez, D.A. Effect of exogenous amylolytic enzymes on the accumulation of chlorogenic acid isomers in wounded potato tubers. J. Agric. Food Chem. 2014, 62, 7671–7675. [Google Scholar] [CrossRef] [PubMed]
- Reyes, L.F.; Villarreal, J.E.; Cisneros-Zevallos, L. The increase in antioxidant capacity after wounding depends on the type of fruit and vegetable tissue. Food Chem. 2007, 101, 1254–1262. [Google Scholar] [CrossRef]
- Carletti, P.; Masi, A.; Wonisch, A.; Grill, D.; Tausz, M.; Ferretti, M. Changes in antioxidant and pigment pool dimensions in UV-B irradiated maize seedlings. Environ. Exp. Bot. 2003, 50, 149–157. [Google Scholar] [CrossRef]
- Vincente, A.R.; Pineda, C.; Lemoine, L.; Civello, P.M.; Martinez, G.A.; Chaves, A.R. UV-C treatments reduce decay, retain quality and alleviate chilling injury in pepper. Postharvest Biol. Technol. 2005, 31, 69–78. [Google Scholar] [CrossRef]
- Hahlbrock, K.; Schell, D. Physiology and molecular biology of phenyl-propanoid metabolism. Ann. Rev. Plant Phys. Plant Mol. Biol. 1989, 40, 347–369. [Google Scholar] [CrossRef]
- Takeda, J.; Abe, S.; Hirose, Y.; Ozeki, Y. Effect of light and 2,4-dichlorophenoxyacetic acid on the level of mRNA for phenylalanine ammonia-lyase and chalcone synthase in carrot cells cultured in suspension. Phys. Plant 1993, 89, 4–10. [Google Scholar] [CrossRef]
- McDowell, J.M.; Dangl, J.L. Signal transduction in the plant immune response. Trends Biochem. Sci. 2000, 25, 79–82. [Google Scholar] [CrossRef]
- Saltveit, M.E. Wound induced changes in phenolic metabolism and tissue browning are altered by heat shock. Postharvest Biol. Techol. 2010, 21, 61–69. [Google Scholar] [CrossRef]
- Stratmann, J. Ultraviolet-B radiation co-opts defense signaling pathways. Trends Plant Sci. 2003, 8, 526–533. [Google Scholar] [CrossRef] [PubMed]
- Lafuente, M.T.; López-Gálvez, G.; Cantwell, M.; Yang, S.F. Factors influencing ethylene-induced isocoumarin formation and increased respiration in carrots. J. Am. Soc. Hortic. Sci. 1996, 121, 537–542. [Google Scholar]
- Jacobo-Velázquez, D.A.; Cisneros-Zevallos, L. Correlations of antioxidant activity against phenolic content revisited: A new approach in data analysis for food and medicinal plants. J. Food Sci. 2009, 74, R107–R113. [Google Scholar] [CrossRef] [PubMed]
- Arakawa, O. Effect of ultraviolet light on anthocyanin synthesis in light-colored sweet cherry, cv. Sato Nishiki. J. Jpn. Soc. Hortic. Sci. 1993, 62, 543–546. [Google Scholar] [CrossRef]
- Julkunen-Titto, R.; Haggman, H.; Apahalo, P.J.; Lavola, A.; Tegelberg, R.; Veteli, T. Growth and defense in deciduous trees and shrubs under UV-B. Environ. Pollut. 2005, 137, 404–414. [Google Scholar] [CrossRef] [PubMed]
- Artés-Hernández, F.; Robles, P.A.; Gómez, P.A.; Tomás-Callejas, A.; Artés, F. Low UV-C illumination for keeping overall quality of fresh-cut watermelon. Postharvest Biol. Techol. 2010, 55, 114–120. [Google Scholar] [CrossRef]
- Martínez-Hernández, G.B.; Gómez, P.A.; Pradas, I.; Artés, F.; Artés-Hernández, F. Moderate UV-C pretreatment as a qulity enhancer tool in fresh-cut Bimi® broccoli. Postharvest Biol. Techol. 2011, 62, 327–337. [Google Scholar] [CrossRef]
- Escalona, V.H.; Aguayo, E.; Martínez-Hernández, G.B.; Artés, F. UV-C doses to reduce pathogen and spoilage bacterial growth in vitro and in baby spinach. Postharvest Biol. Techol. 2010, 56, 223–231. [Google Scholar] [CrossRef]
- Herrlich, P.; Blattner, C.; Kenbel, A.; Rahmsdorf, H.J. Nuclear and non-nuclear targets of genotoxic agents in the induction of gene expression: Shared principles in yeast, rodents, man and plants. Biol. Chem. 1997, 378, 1217–1229. [Google Scholar] [PubMed]
- Frohnmeyer, H.; Staiger, D. Ultraviolet-B radiation-mediated responses in plants. Balancing damage and protection. Plant Phys. 2003, 133, 1420–1428. [Google Scholar] [CrossRef] [PubMed]
- Gyula, P.; Schafer, E.; Nagy, F. Light perception and signalling in higher plants. Curr. Opin. Plant Biol. 2003, 6, 446–452. [Google Scholar] [CrossRef]
- A-H-Mackerness, S.; Surplus, S.I.; Blake, P.; John, C.F.; Buchanan-Wollaston, V.; Jordan, B.R.; Thomas, B. Ultraviolet-B-induced stress and changes in gene expression in Arabidopsis thaliana: Role of signalling pathways controlled by jasmonic acid, ethylene and reactive oxygen species. Plant Cell Environ. 1999, 22, 1413–1423. [Google Scholar] [CrossRef]
- Green, R.; Fluhr, R. UV-B induced PR-1 accumulation is mediated by active oxygen species. Plant Cell 1995, 7, 203–212. [Google Scholar] [CrossRef] [PubMed]
- Rao, M.V.; Paliyath, G.; Ormrod, D.P. Ultraviolet-B- and ozone-induced biochemical changes in antioxidant enzymes of Arabidopsis thaliana. Plant Physiol. 1996, 10, 125–136. [Google Scholar] [CrossRef]
- Wang, Y.; Feng, H.; Qu, Y.; Jiaqiang, C.; Zhiguang, Z.; Zhang, M.; Wang, X.; An, L. The relationship between reactive oxygen species and nitric oxide in ultraviolet-B-induced ethylene production in leaves of maize seedlings. Environ. Exp. Bot. 2006, 1–2, 51–61. [Google Scholar] [CrossRef]
- Rabelo, M.C.; Bang, W.Y.; Nair, V.; Alves, R.E.; Jacobo-Velázquez, D.A.; Sreedharan, S.; Alcântara, M.R.; Cisneros-Zevallos, L. Ultraviolet-C light modulates vitamin C and phenolic biosynthesis in acerola fruit: Role of increased mitochondria activity and ROS production. Sci. Rep. 2017. under review. [Google Scholar]
- Surjadinata, B.B.; Cisneros-Zevallos, L. Modeling wound-induced respiration of fresh-cut carrots (Daucus carota L.). J. Food Sci. 2003, 68, 2735–2740. [Google Scholar] [CrossRef]
- Santana-Gálvez, J.; Cisneros-Zevallos, L.; Jacobo-Velázquez, D.A. Chlorogenic acid: Recent advances on its dual role as a food additive and a nutraceutical against metabolic syndrome. Molecules 2017, 22, 358. [Google Scholar] [CrossRef] [PubMed]
Sample Availability: Not available. |




| Exposure Time (h) | 5-CQA % | FA % | 4,5-diCQA % | Specific AOX (µg Trolox/mg Phenolic) 1 | |
|---|---|---|---|---|---|
| UVA | 0 | 66.7 | 7.7 | 25.6 | 703 ± 93.87 |
| 1 | 69.6 | 8.7 | 21.7 | 776 ± 119.74 | |
| 6 | 76.8 | 5.4 | 17.9 | 950 ± 118.15 | |
| UVB | 0 | 60.6 | 9.1 | 30.3 | 658 ± 50.63 |
| 1 | 79.0 | 4.8 | 16.1 | 1173 ± 118.18 | |
| 6 | 80.3 | 4.5 | 15.2 | 1485 ± 49.44 | |
| UVC | 0 | 51.9 | 11.1 | 37.0 | 712 ± 42.85 |
| 0.5 min | 71.7 | 6.5 | 21.7 | 1239 ± 31.79 | |
| 1 min | 75.0 | 4.2 | 20.8 | 1495 ± 90.72 | |
| 15 min | 83.6 | 2.7 | 13.7 | 1776 ± 73.98 |
© 2017 by the authors. Licensee MDPI, Basel, Switzerland. This article is an open access article distributed under the terms and conditions of the Creative Commons Attribution (CC BY) license (http://creativecommons.org/licenses/by/4.0/).
Share and Cite
Surjadinata, B.B.; Jacobo-Velázquez, D.A.; Cisneros-Zevallos, L. UVA, UVB and UVC Light Enhances the Biosynthesis of Phenolic Antioxidants in Fresh-Cut Carrot through a Synergistic Effect with Wounding. Molecules 2017, 22, 668. https://doi.org/10.3390/molecules22040668
Surjadinata BB, Jacobo-Velázquez DA, Cisneros-Zevallos L. UVA, UVB and UVC Light Enhances the Biosynthesis of Phenolic Antioxidants in Fresh-Cut Carrot through a Synergistic Effect with Wounding. Molecules. 2017; 22(4):668. https://doi.org/10.3390/molecules22040668
Chicago/Turabian StyleSurjadinata, Bernadeth B., Daniel A. Jacobo-Velázquez, and Luis Cisneros-Zevallos. 2017. "UVA, UVB and UVC Light Enhances the Biosynthesis of Phenolic Antioxidants in Fresh-Cut Carrot through a Synergistic Effect with Wounding" Molecules 22, no. 4: 668. https://doi.org/10.3390/molecules22040668
APA StyleSurjadinata, B. B., Jacobo-Velázquez, D. A., & Cisneros-Zevallos, L. (2017). UVA, UVB and UVC Light Enhances the Biosynthesis of Phenolic Antioxidants in Fresh-Cut Carrot through a Synergistic Effect with Wounding. Molecules, 22(4), 668. https://doi.org/10.3390/molecules22040668

