Abstract
Phenylethanoid glycosides (PhGs) are widely distributed in traditional Chinese medicines as well as in other medicinal plants, and they were characterized by a phenethyl alcohol (C6-C2) moiety attached to a β-glucopyranose/β-allopyranose via a glycosidic bond. The outstanding activity of PhGs in diverse diseases proves their importance in medicinal chemistry research. This review summarizes new findings on PhGs over the past 10 years, concerning the new structures, their bioactivities, including neuroprotective, anti-inflammatory, antioxidant, antibacterial and antivirus, cytotoxic, immunomodulatory, and enzyme inhibitory effects, and pharmacokinetic properties.
1. Introduction
Phenylethanoid glycosides (PhGs) are a class of water-soluble compounds widely distributed in traditional Chinese medicines (TCMs), as well as other medicinal plants. They have been detected in roots, stems, leaves, flowers, fruits and seeds without organ selectivity, while their concentrations in each organ may vary a lot [1,2]. As their names suggest, PhGs are characterized by a phenethyl alcohol (C6-C2) moiety attached to a β-glucopyranose/β-allopyranose via a glycosidic bond. The core structures are often abundantly decorated with substituents such as aromatic acids (e.g., caffeic acid, coumaric acid, cinnamic acid, ferulic acid, and isoferulic acid) and various saccharides (e.g., rhamnose, xylose, apiose, glucose, lyxose, allose and arabinose) through ester or glycosidic linkages, respectively. The outstanding activity of PhGs in diverse diseases proves their importance in medicinal chemistry research. Several reviews on PhGs regarding their isolation and purification, structure elucidation, chemotaxonomy and biotransformations, and pharmacological activities have been reported [3,4]. Recently, interest in PhGs has been growing, with a significantly increasing volume of literature describing PhGs′ novel structures, diverse bioactivities, and evident roles in the prevention and treatment of various human diseases as well as their pharmacokinetics having been reported. Such rich information prompted us to review papers on novel PhG structures, their pharmacological activities and pharmacokinetics published in the last decade.
2. Phytochemistry
Since a 2008 review [4], more than 100 new PhGs have been isolated and identified. Compared with the known PhGs reported in [4], some of the new ones differed in their core structures, while others differed in the number and/or position of the substituents. The new PhGs with a typical phenethyl alcohol (C6-C2) moiety attached to a β-glucopyranose/β-allopyranose are listed in Table 1.
Table 1.
The new phenylethanoid glycosides with typical phenethyl alcohol moieties attached to a β-glucopyranose/β-allopyranose.
In the table references for the first reports on specific PhGs as new compounds are given, and the plant sources and biological activities reported for the specific PhGs are also included. Most of the isolated new PhGs were glucopyranosides, and the allopyranosides, which are rarely found in the plant kingdom, were mainly isolated from Magnolia officinalis [32]. Generally, glucose, galactose, xylose, apiose, arabinose and rhamnose were the most frequently occurring saccharides, while lyxose only appeared in compound 82 from Teucrium chamaedris [45]. Aside from the most frequently occurring substituents at C-3/4/7 of the phenylethyl moiety, which were hydroxy and methoxy groups, a glucose moiety occurred at the C-4 of aglycone of compound 62 from M. officinalis [32]. Additionally, the most frequently occurring aromatic acids that form esters with the glucose/allose were caffeic, ferulic, coumaric, vanillic and syringic acids.
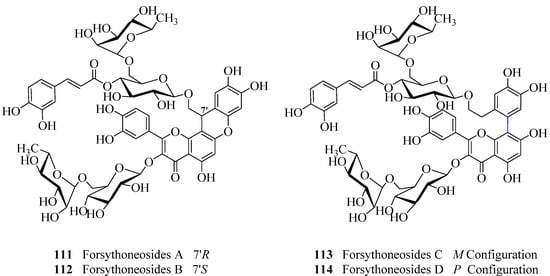
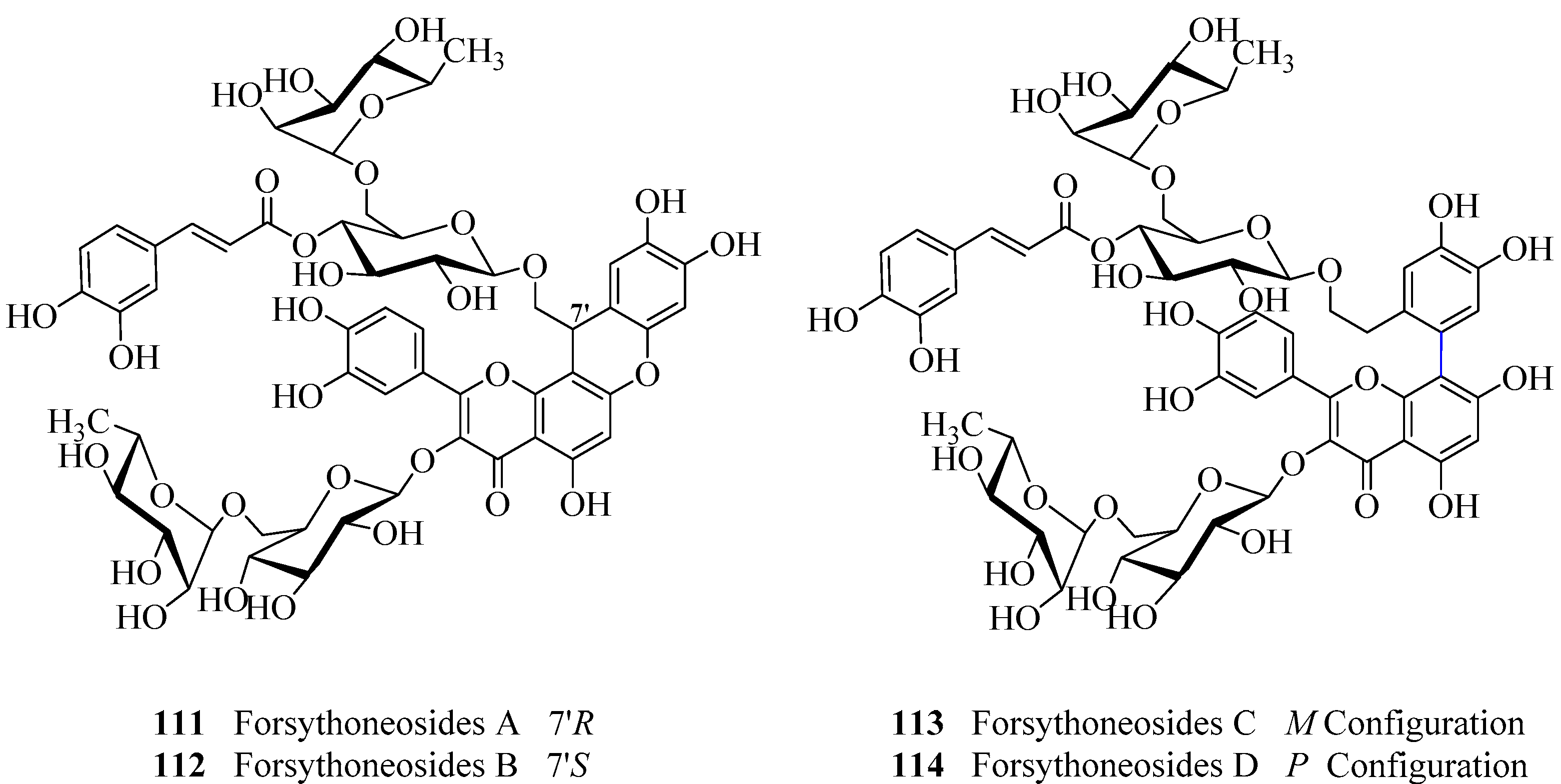
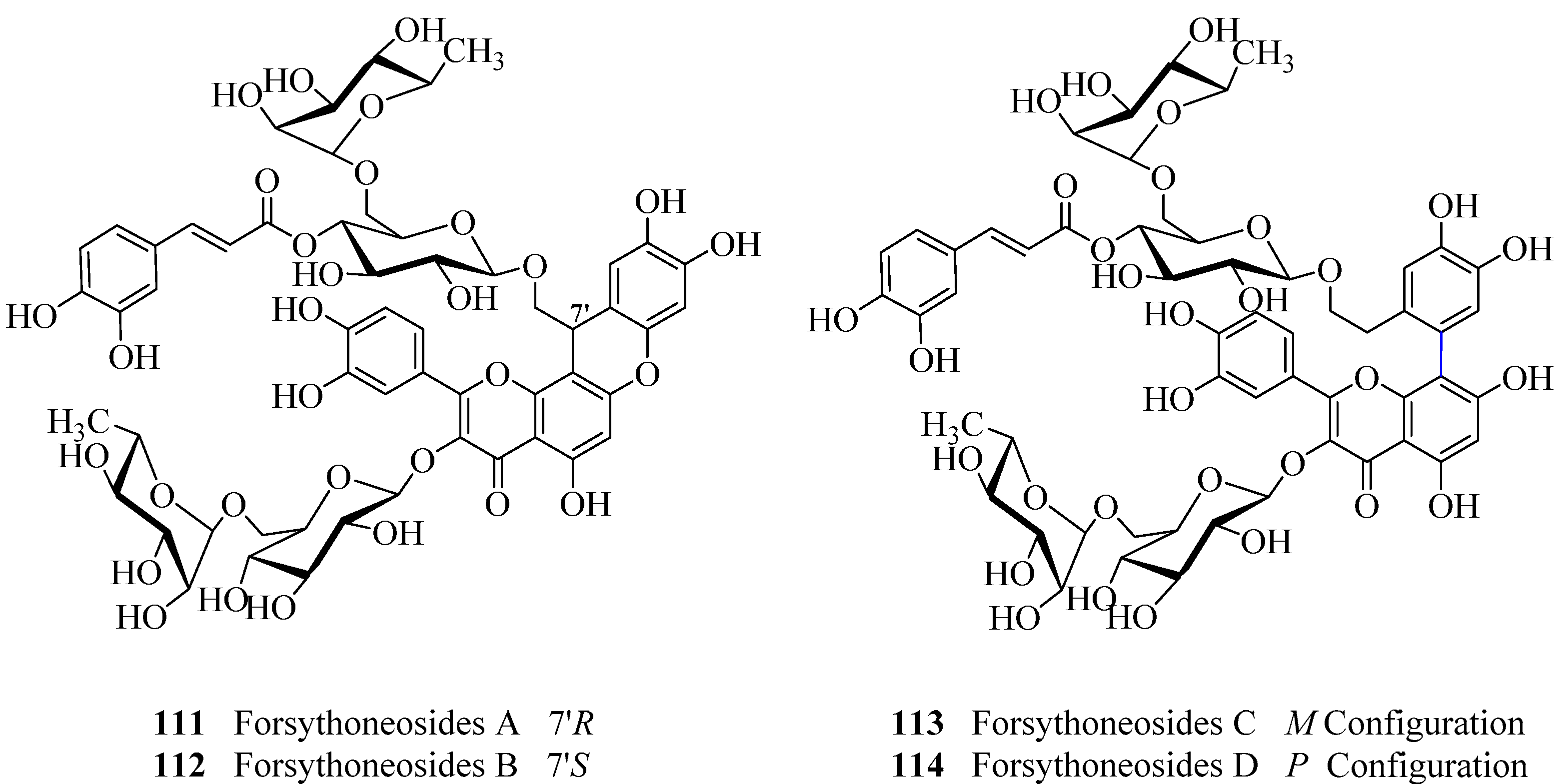
Figure 1 illustrates the new PhGs having varied core structures or special substituents. PhGs with a 7,2′-epoxy moiety are rare in the plant kingdom, e.g., compound 103 from Forsythia suspensa which is reported to possess antioxidant as well as antimicrobial activities [49], and compound 104 from Tarphochlamys affinis which was shown to have antioxidant as well as anti-HBV activities [50]. Compound 105 from Jacaranda mimosifolia with antioxidant activity is an example of a PhG with a substituent at C-8 [51]. Compound 106 with melanogenesis inhibitory activity as well as compounds 107 and 108 from Narcissus tazetta var. chinensis are examples of PhGs with substituents at C-2 [36]. Compounds 109 and 110 from F. suspensa are examples of PhGs with substituents at C-2 and C-5 of the phenylethyl moiety [20]. There were also adducts of other kinds of compound units fused to PhGs. Compounds 111–114 from F. suspensa with neuroprotective effects are four unusual adducts of a flavonoid unit fused to a phenylethanoid glycoside through a pyran ring or carbon-carbon bond [20]. Compounds 115 and 116 from Strobilanthes cusia are adducts of an indole alkaloid group fused to a phenylethanoid glycoside [52].


Figure 1.
The new phenylethanoid glycosides with varied core structures or special substituents.
3. Pharmacological Activity
The pharmacological activities of the PhGs are discussed by two ways. The pharmacological activities of the new PhGs, mainly focused on the hepatoprotective, antioxidant activity, cytotoxity, anti-inflammatory and α-glucosidase inhibitory, were listed in Table 1, while the pharmacological activities of the old PhGs which are listed in Table 2 were introduced in the following.
Table 2.
The old phenylethanoid glycosides whose pharmacological effects were reported after 2008.
3.1. Neuroprotective Effects
Parkinson’s disease is characterized by a selective degeneration of dopaminergic neurons in the substantia nigra pars compacta and consequently a reduction in striatal dopamine levels [53]. 1-Methyl-4-phenyl-1,2,3,6-tetrahydropyridine (MPTP) is known to cause Parkinsonism in rodents and non-human primates [54,55]. It can cause a partial lesion of the substantia nigra and a significant reduction in striatal dopamine levels [56], and the toxicity of MPTP depends on its biotransformation to its active metabolite 1-methyl-4-phenylpyridinium (MPP+) [57]. The potential neuroprotective and behavioral rescue effects of echinacoside (117) were evaluated in a mouse model of MPTP-induced dopaminergic neuronal damage. In which, an HPLC analysis was conducted to monitor the changes in the levels of striatal dopamine and its metabolites. The results showed that the reductions in the levels of dopamine and 3,4-dihydroxyphenylacetic acid (DOPAC) were partially prevented by pre-treatment of 117 (20 mg/kg) (dopamine, 0.86 ± 0.05 ng/mg tissue, p < 0.01; DOPAC, 0.93 ± 0.06 ng/mg tissue, p < 0.05). Tyrosine hydroxylase is the rate-limiting enzyme in dopamine biosynthesis. Immunostaining of the substantia nigra using an anti-tyrosine hydroxylase antibody demonstrated pre-treatment of 117 (20 mg/kg) for 15 days significantly reduced MPTP-induced tyrosine hydroxylase-positive dopaminergic neuron loss (p < 0.05). In addition, the pre-treatment with 117 can significantly reduce caspase-3 and caspase-8 activation induced by MPP+ in cerebellar granule neurons, which was regarded to be a possible mechanism on neuroprotection of 117 [58].
Pedicularioside A (118), leucosceptoside A (119), isoacteoside (120), acteoside (121), and arenariside (122) were studied to assess their effects on MPP+-induced cell death in rat mesencephalic neurons [59]. Compound 118 had the greatest neuroprotective effect among the five tested compounds. The pre-treatment with 118 inhibited MPP+-induced loss and death of dopaminergic neurons, and the immunohistochemistry results indicated that 118 inhibited expression of caspase-3 gene and cleavage of poly (ADP-ribose) polymerase in cultures exposed to MPP+. All suggested that the inhibition of caspase-3 gene expression of 118 protected mesencephalic neurons from MPP+-induced cell death.
Considerable evidence supported that oxidative stress worked as a common pathogenetic mechanism in Alzheimer’s disease (AD) [60,61]. In AD, oxidative stress was suspected to be mainly generated by β-amyloid peptide (Aβ) [62], and heme oxygenase-1 (HO-1) was a crucial factor in the response to oxidative injury, protecting neurons against Aβ-induced injury. Wang studied the neuroprotective mechanisms of 121 against Aβ25-35-induced cell death in PC12 cells. It showed that 121 was an activator of NF-E2-related factor 2 (Nrf2) and inducer of HO-1 expression. Compound 121 attenuated Aβ25-35-induced neurotoxicity by induction of HO-1 via extracellular regulated kinase (ERK) and PI3K/Akt signaling [63]. Similarly, the neuroprotective effects of salidroside (123) following traumatic brain injury were mediated, at least in part, through activation of the PI3K/Akt signaling pathway [64]. In another study, the neuroprotective effect of 121 on Aβ25-35-induced neurotoxicity in SH-SY5Y cells was investigated. A 3-[4,5-dimethylthiazol-2-yl]-2,5-diphenyl- tetrazolium bromide (MTT) reduction assay showed that 20 and 30 μg/mL of 121 significantly blocked cytotoxic effects of Aβ25-35 on cell viability and the result was also confirmed by calcein-AM staining assay through analysis of morphological nuclear changes and DNA fragmentation. Meanwhile, pretreatment with 20 μg/mL of 121 decreased the number of apoptotic cells and scavenged reactive oxygen species (ROS). The result indicated that 121 could protect SH-SY5Y cells against Aβ25-35-induced cell injury by attenuating ROS production and modulating apoptotic signal pathway through Bcl-2 family, cytochrome c, and caspase-3 [65]. Peng et al. [66] investigated the effects of 121 in improving learning and memory using a mouse model of senescence induced by a combination of D-galactose and AlCl3. Compound 121 was administered intragastrically at doses of 30, 60 and 120 mg/kg/day for 30 days after AD was induced. The results showed that the latency of step down was shortened in AD model mice and the number of errors decreased after treatment with all doses of 121. Neurons and Nissl bodies in the hippocampus were increased significantly with higher doses (60 and 120 mg/kg/day) of 121. The content of nitric oxide (NO), the activity of nitric oxide synthase and the expression of caspase-3 protein were decreased by 120 mg/kg/day of 121 compared with that in the AD model group [66]. In a previous study, anti-amnesic activities of 121 using scopolamine-induced amnesic mice with both passive avoidance and Morris water maze test were examined. In both tests, the prolonged oral treatment of 121 (0.1 and 1.0 mg/kg body weight respectively for 10 days) significantly improved the memory deficits, while, the acute treatment of 121 (1.0 and 2.5 mg/kg body weight for 1 day) showed positive effect only in the passive avoidance test [67].
As reported, the anti-apoptotic action of 117 was partially dependent on its anti-oxidative effects [68,69]. Kuang’s experiment indicated that 117 increased cell viability and decreased the apoptotic ratio by reducing ROS generation in H2O2-injured rat PC12 cell. In addition, compound 117 prevented H2O2-induced increase of the Bax/Bcl-2 ratio by down-regulating Bax protein expression and up-regulating Bcl-2 protein expression. The result suggested that 117 showed significant neuroprotective effects on H2O2-injured PC12 cell through the mitochondrial apoptotic pathway [70]. Similarly, the antioxidant property and neuroprotective effects of isocampneoside II (131) were studied on H2O2-induced oxidative injury in PC12 cells. Compound 131 inhibited cell apoptosis by decreasing the level of superoxide anion radical, inhibiting Bax/Bcl-2 ratio, and attenuating the decrease of superoxide dismutase (SOD) and catalase activity [71].
3.2. Antioxidant Activity
ROS are inevitably generated during the normal metabolism of living organisms, but excessive production leads to oxidative stress damage to cellular structures [72]. Oxidative stress is associated with the etiology of a wide range of chronic and acute disease such as malignant tumors, inflammation, cataracts, Parkinson’s and Alzheimer’s disease, hypertension, diabetes, atherosclerosis, cardiovascular diseases, cell death, and some immune disorders and the aging process [72,73]. PhGs have been reported to possess antioxidant properties. Forsythoside B (125), leucosceptoside B (126) and 121 were isolated from Verbascum xanthophoeniceum and exhibited potent antioxidant activities in 2, 2′-diphenyl-1-picrylhydrazyl (DPPH), oxygen radical absorbance capacity (ORACFL), hydroxyl radical averting capacity (HORACFL), ferric-reducing antioxidant power (FRAP) and superoxide anion radical scavenging assays [1]. In another study, Harput et al. reported calceorioside A (127) as well as 121 showed strong radical scavenging effects against DPPH, NO and superoxide anion radical comparable to that of known antioxidants [74]. Recently, DPPH· scavenging, anti-LP assays, ABTS+· scavenging, OH scavenging, superoxide anion radical scavenging, Cu2+-chelating and FRAP assays were used to evaluate the antioxidant activities of poliumoside (128), alyssonoside (129), brandioside (130), 121, 125 and their derivatives, and the tested compounds were all screened out as antioxidants [75]. The structure-activity relationship between PhGs and their antioxidant activities indicated that the ortho-dihydroxyphenyl group was the important group, and the steric hindrance, the number as well as the position of phenolic hydroxyl were also thought to play an important effect [76].
3.3. Anti-Inflammatory Effect
Pseudomonas aeruginosa is the major pathogen implicated in sepsis and pneumonia [77,78]. Total phenylethanoid glycosides (TPG) from Monochasma savatieri prolonged survival rate of mice with P. aeruginosa or Staphylococcus aureus infection-induced sepsis in vivo. Meanwhile, TPG could reduce the bacterial colony-forming units in lung tissue in mice model. In addition, TPG (60–180 mg/kg) had significantly reduced xylene-induced ear edema and cotton pellet-induced granulomat formation at a dose-dependent manner. Furthermore, the treatment of TPG (1.5 g/kg) for 15 days did not cause any death of rat and no organic toxicity at the dose equal to approximately 284 times of clinical dose used [79]. It was reported that compound induced HO-1 in macrophages through p38 mitogen-activated protein kinase (MAPK)/Nrf2 signaling and decreased the release of high mobility group box 1 (HMGB1) in lipopolysaccharide (LPS)-stimulated Raw264.7 cells and in cecal ligation and puncture (CLP)-induced septic mice. In vitro, compound 121 not only inhibited the release of HMGB1, the production of inducible nitric oxide synthase and NO, but also induced HO-1 expression in a concentration-dependent manner; in vivo, it increased survival and decreased the HMGB1 levels of serum and lung in CLP-induced sepsis [80]. In another study, the anti-inflammatory activity, the anti-nociceptive activity, and the wound healing activity of 121 were studied using a carrageenan-induced hind paw edema model in vivo, a p-benzoquinone-induced abdominal constriction test, and incision and excision models in vivo, respectively [81]. It was previously reported that 121 was more active than ibuprofen in the writhing test (67.6% and 50.0% at equimolar doses) and showed similar effects in the tail flick (topic and oral) at equivalent dose to ibuprofen [82]. Moreover, compound 121 was found to be active in a carrageenan-induced hind paw edema model and in p-benzoquinone-induced writhing in mice [83]. Penido et al., revealed that 121 exhibited a potent inhibitory effect on LPS-induced total leucocyte, neutrophil and eosinophil accumulation in the pelural cavity along with a potent antiulcerogenic activity against diclofenac-induced gastric ulcers at 100 mg/kg [84]. Meanwhile, the histological scores indicated that treatment with 121 ameliorated intestinal inflammation in both acute and chronic dextran sulphate sodium-induced colitis in vivo through inhibition of oxidative burst activity [85]. Cell adhesion molecules (CAMs) play a role in the pathogenesis of atherosclerosis and inflammation. Compounds and 6-O-acetyl-acteoside (132) inhibited IL-1β-activated expression of intercellular CAM-1 and vascular CAM-1 (VCAM-1) in human umbilical vein endothelial cells (HUVECs). Compounds 121 and dose-dependently inhibited VCAM-1 gene promoter activity in IL-1β-activated HUVECs and their inhibition on IL-1β-activated expression of CAMs was manifested by decreased phosphorylation of ERK and c-Jun N-terminal kinase (JNK) [86]. Georgiev et al., studied anti-inflammatory properties of and forsythoside (124) towards human keratinocytes. Compounds 121 and 124 were both equally effective inhibitors of IL-8 release at 50 mM, with more than 90% reduction of IL-8 at spontaneous levels. Meanwhile, they significantly and dose-dependently impaired the release of IFN-γ-induced MCP-1 and IP-10 as well as significantly reduced background and IFN-γ-induced levels of IL-8 mRNA [87]. In addition, the protective effect of 123 on ethanol-induced acute gastric ulcer and H2O2-induced gastric epithelial cell damage were investigated. Intragastrical treatment with 123 inhibited the overproduction of pro-inflammatory cytokines (interleukin-6, interleukin-1β and tumor necrosis factor-α), enhanced antioxidant activity and alleviated acute gastric ulcer as well as gastric epithelial cell damage through the MAPK/NF-κB pathway [88].
3.4. Antibacterial and Antivirus Activity
The antimicrobial activity of TPG from M. savatieri was studied in vivo and in vitro. In vitro, TPG showed significant bacteriostatic properties against S. aureus, P. aeruginosa, Escherichia coli, Enterococcus faecalis, and Streptococcus pneumoniae at a concentration between 0.0625 and 16 mg/mL [79]. The anti-influenza virus effect of TPG from Ligustrum purpurascens was reported in vivo and in vitro. In vivo, C57BL/6J mice were given oral administration of TPG once daily for five successive days. TPG significantly decreased the mouse lung index (p < 0.05), alleviated influenza-induced lethality and clinical symptoms, and subsequently enhanced mouse survival (p < 0.05). In vitro, TPG inhibited influenza A virus H1N1 infection of MDCK cells in a hemagglutination assay [89]. Besides, many pure PhGs also possessed potent antibacterial activity. Compounds 121 and 125 showed considerable antibacterial activities against all strains of S. aureus with the minimum inhibitory concentration (MIC) values ranging from 64 μg/L to 256 μg/L. Particularly, the activities of 121 (MIC = 2.1 × 10−4 and 4.1 × 10−4 M) and 125 (MIC = 3.4 × 10−4 M) against SA 1199B (NorA) and XU 212 (TetK/MecA), respectively, were comparable to those of the positive control, norfloxacin (MIC = 1.0 × 10−4 and 2.5 × 10−5 M) [90]. In addition, 4′′′-O-acetylacteoside (133) and 121 possessed significant inhibition of the formation of bacterial biofilms by E. coli UTI89 [91]. The antifungal/antimicrobial effect of PhGs may be largely due to the presence of phenolic hydroxyls which have high affinity with proteins [92].
3.5. Anti-Tumor Activity
The effects of 123 on the growth of human breast cancer in vitro and in vivo were evaluated, and it was found that 123 inhibited the proliferation of breast adenocarcinoma (MCF-7) cells with half maximal inhibitory concentration (IC50) value of 19.48 µM, and promoted the apoptosis of MCF-7 cells in a dose-dependent manner by increasing the activity of caspase, up-regulating the Bax expression, and down-regulating the Bcl-2 expression. In addition, compound 123 significantly diminished not only the weight but also the volume of tumor (p < 0.05) in a nude mouse mode. Compound 123 inhibited the intracellular ROS formation and MAPK pathway activation, which may contribute to the inhibition of tumor growth [93]. Compound 121 was reported to be a potent anti-cancer drug in the treatment of fibrosarcoma metastasis. It inhibited phorbol-12-myristate-13-acetate-induced matrix metalloproteinase-9 expression via Ca2+-dependent calmodulin-dependent protein kinase (CaMK)/ERK and JNK/nuclear factor-𝜅B (NF-𝜅B)-signaling pathways [94]. Cytotoxic activities of 121 and 127 against human larynx epidermoid carcinoma, human rhabdomyosarcoma and human MCF-7 cell lines were determined with the IC50 from 36.24 µg/mL to 64.6 µg/mL, and apoptotic cell death was observed in histological analysis [74]. In another study, compounds 119, 120, 121, 125, 129, and decaffeoyl-acteoside (134) from Marrubium thessalum were assayed by MTT and 3H-thymidine incorporation assays, and 120 and 121 showed tumor toxicity, while, they also showed low toxicity against peripheral blood mononuclear cells [95].
3.6. Immunomodulatory Effect
Autoimmune hepatitis (AIH) is a severe form of hepatitis. Studies have indicated that inflammatory cytokines and T lymphocytes play important roles in the pathogenesis of AIH [96,97]. Concanavalin A-induced hepatitis in a mouse model was regarded as the immune-mediated liver injury that resembles AIH occurring in human [98]. Hu et al., reported the intravenous (i.v.) injection of 123 dramatically reduced the levels of alanine aminotransferase and aspartic transaminase in the above mentioned mouse model, and partly suppressed the secretion of proinflammatory cytokines through downregulating the activity of NF-κB. Meanwhile, compound 123 altered the distribution of CD4+ and CD8+ T lymphocyte in the liver and spleen through regulating CXCL-10 and decreased the severity of liver injuries [99]. Song extracted TPG from L. purpurascens and tested the immune enhancement effect of the TPG using serum hemolysin antibody, phagocytosis, splenocyte antibody production, and NK cells activity assays. Mice treated with TPG showed an increase in the haemagglutination titre, the antibody production of spleen cells, MΦ phagocytosis of chicken RBCs and NK cell activity [100]. Huang et al., established a screening model of immunological activity by using dendritic cells as target cells to investigate the effects of 120 and 121 on the phenotypic and functional maturation of dendritic cells. Expressions of major histocompatibility complex (MHC) class II and costimulatory molecules were used as indicators of successful maturation, and dendritic cells treated with 120 and 121 expressed high level of class II MHC and costimulatory molecule CD86 (B7-2). In addition, increased naïve T cell stimulatory activity and decreased endocytosis further confirmed the functional maturation of dendritic cells [101].
3.7. Enzyme Inhibitory Activity
Prescott et al. found that 121, teucrioside (135) and lamiuside A (136) (caffeoyl phenylethanoid glycosides) were direct calcineurin inhibitors when assayed both in the presence and absence of calmodulin using p-nitrophenyl phosphate as substrate [102]. In Georgiev’s study, compound 125 and the phenylethanoid fractions from the Devil’s claw cultures showed higher butyrylcholinesterase inhibitory activity than that of galanthamine [103]. Compound 131 was found to significantly inhibit recombinant human aldose reductase with an IC50 value of 9.72 µM. Furthermore, it inhibited sorbitol formation in a rat lens incubated with a high concentration of glucose [104]. Meanwhile, the effect of pure PhG on improving glucose tolerance was also performed in vivo and in vitro. Compounds 117 and 121 inhibited the increase in postprandial blood glucose levels in starchloaded mice at doses of 250–500 mg/kg p.o. and also significantly improved glucose tolerance in starchloaded mice after 2 weeks of continuous administration at doses of 125 and/or 250 mg/kg/day p.o. without producing significant changes in body weight or food intake. In vitro, nine of pure PhGs demonstrated potent rat lens aldose reductase inhibitory activity. In particular, 2′-acetyl-acteoside (137) (0.071 µM) was similar to that of epalrestat (0.072 µM), a clinical aldose reductase inhibitor [105]. In an alloxan-induced diabetic mice model, compound 123 significantly reduced fasting blood glucose, total cholesterol, triglyceride and methane dicarboxylic aldehyde levels, and at same time increased serum insulin levels, SOD, glutathione peroxidase and catalase activities [106].
3.8. Other Pharmacological Effects
The effect of 121 on a 42-mer amyloid β protein aggregation was examined by using the thioflavin-T assay, transmission electron microscopy, and circular dichroism spectroscopy. Compound 121 strongly inhibited the aggregation of 42-mer amyloid β protein in a dose-dependent manner [107]. In another study, compound 121 appeared an inhibitory effect on DHT-induced secretion of both free and total prostate-specific antigen at all tested concentration in an in vitro model of human prostate epithelium [108]. He et al. studied the vasorelaxant activity of 117 and the results highlighted that 117 could evoke a significant endothelium-dependent vasorelaxation action mediated through the NO-cGMP pathway in an isolated rat thoracic aorta ring [109].
4. Pharmacokinetics
4.1. Pharmacokinetics of Echinacoside (117) and Acteoside (121)
Compounds 117 and 121 are the major PhGs in Herba Cistanchis, and 117 is widely present in plants. 117 contained additional glucose linking to C-6 of core saccharide compared with 121, and both of them exhibited good bioactivities [58,59,64,65]. In Caco-2 cell monolayer model, compounds 117, 120 and 121 were primarily transported via poorly absorbed passive diffusion down a concentration gradient without efflux [110], which was consistent with the result that the caffeic acid conjugates permeated poorly through the Caco-2 monolayers [111]. Though the absorption of 117 was poor, it was significantly increased when 117 was combined with verapamil and clove oil both in situ and in vitro [112].
PhGs were characterized by low intestinal absorption due to their physicochemical characteristics such as molecular sizes, degrees of polymerization and solubilities [113], but it is a growing recognition that not only the absorbed PhGs but also their metabolites may contribute to their pharmacological activities [114,115]. For example, the hydrolyzing metabolites of 117 and 121, such as hydroxytyrosol (HT) and 3-hydroxyphenylpropionic acid (3-HPP), possessed antioxidant [116,117], neuroprotective [118,119,120], and anti-inflammatory activities [121,122]. Identification of 117’s metabolites produced by human intestinal bacteria, biliary metabolites as well as urinary and fecal ones was reported. Eight phase II metabolites of parent compound (methyl ethers, glucuronides, and minor sulfates) were isolated and identified unambiguously from rat bile sample after i.v. administration of 117 [123]. Unlike the metabolites in rat bile, besides the phase II metabolites of parent compound, the degradation products and their glucuronic acid, sulfate, and methyl conjugations were identified in rat urine and feces [124]. PhGs were reported to be transformed by the intestinal bacteria before being absorbed into blood [125]. Compound 117 was found to be stable in simulated gastric juice and intestinal juice, whereas it could be metabolized by intestinal bacteria. Thirteen metabolites of compound 117 and five possible metabolic pathways, including hydroxylation, dehydroxylation, reduction, deglycosylation, and acetylation were identified using UPLC-quadrupole time-of-flight mass spectrometry (UPLC-Q-TOF-MS) with MSE technology and MetaboLynx software. In addition, HT and 3-HPP were found to be bioactive metabolites of 117. The fact that HT and 3-HPP possessed biological functions similar to those of 117, could potentially explain that 117 has prominent bioactivity but poor bioavailability [126].
Up to thirty-five metabolites were observed in the urine samples of rats orally administered with compound 121, through processes of oxidization, glucuronidation, sulfation, and methylation. Interestingly, the metabolism of 121 occurred much quickly than those of the degradation products, while the concentrations of metabolites from the degradation products were much higher than that of 121 [127]. The metabolic profiles of 121 produced by human or rat intestinal bacteria or intestinal enzyme in vitro were also reported. 3-HPP (56.13%), HT (24.77%) and reduction 121 or its isomers (18.07%) were the main products of 121 produced by the action of human bacteria, while 3-HPP (55.75%) and 134 (36.31%) were the main products of 121 produced by rat bacteria. The content of metabolite produced by intestinal enzyme was lower than that produced by intestinal bacteria, which indicated that intestinal bacteria had more impact on the absorption and metabolism of 121 than that of intestinal enzyme [128,129].
Further pharmacokinetic study was also reported to offer suitable references in PhGs’ clinical applications. Compound 121 was absorbed fast with low peak area, and the integral area under drug concentration-time curve (AUC) was small, which indicated few 121 were absorbed into the circulatory system. Its moderate elimination made less possibility of organ injury [130,131]. Interestingly, double peaks were seen from concentration-time curve of 121 in rat plasma [131,132]. And its absolute bioavailability was 0.12% [133]. The absorption of 117 was also fast with lower peak area, and elimination was faster than that of 121, but the absolute bioavailability of 117 with a value of 0.83% was a bit higher than that of 121 [134]. The different results of 117 and 121 may be ascribed to their structural difference, i.e., more than one glucose existed in the C-6 of 117, which meant that 117 was easier to be hydrolyzed and resulted in lower peak area as well as faster elimination. Another issue was that the value of Tmax of 117 obtained from the study performed by Yang [135] was prolonged to 90 min compared to Jia’s study [134]. Jia’s study was conducted in three groups of rats collected to develop a full pharmacokinetic profile whereas in Yang’s study the full pharmacokinetic profile was obtained from a group of rats.
With the development of analysis and extraction technology, more and more sensitive and specific methods were reposted. What’s more, simultaneous determination of more than one chemical marker and their pharmacokinetic studies were also reported. The microemulsion liquid chromatography (MELC) method [136] and the two-phase hollow fiber liquid phase microextraction coupled with a magnetofluid technique [137] for simultaneous determination of 117, 120, 121 and tubuloside B (139) in rat plasma after oral administration of Cistanche salsa extract by HPLC were developed. In the MELC method, the calibration curve for the four PhGs was linear in the range of 10–1000 ng/mL with the correlation coefficients greater than 0.9994. The RSDs of intra-day and inter-day precision were below 8.64% and the limits of detection (LOD) for the four PhGs were 0.4–1.3 ng/mL (S/N = 3). Under the MELC method, the calibration curve for PhGs was linear in the range of 0.1–100 ng/mL with correlation coefficients greater than 0.9996. The RSDs of intra-day and inter-day precision were below 8.74% and the LOD for the four PhGs were 8–15 pg/mL (S/N = 3).
4.2. Pharmacokinetics of Salidroside (123) and p-Tyrosol
Guo et al. [138] established an HPLC-tandem mass spectrometry method to determine 123 and its aglycone metabolite p-tyrosol in rat plasma after i.v. (50 mg/kg) and intragastric gavage (i.g.) (100 mg/kg) administration of 123 to rats. Both 123 and p-tyrosol were detected after i.v. administration, the T1/2 of elimination phase was prolonged 1.34 fold to 1.64 ± 0.30 h for p-tyrosol, comparing with that of 0.70 ± 0.21 h for 123. According to AUC0-∞ data, about 2% of 123 was present as the aglycone metabolite, p-tyrosol, in plasma. On the other hand, only 123 was detected after i.g. administration, with T1/2 value at 1.32 ± 0.22 h. It indicated that 123 was eliminated quickly after both i.v. and i.g. administrations in vivo. In addition, 123 may metabolize to p-tyrosol after i.g. administration, whereas it may be further metabolized to other metabolites, and resulted in undetectable p-tyrosol in the plasma sample [138]. The speculation was verified by Hu’s experiment, in which 123 and its deglycosylation phase I metabolite p-tyrosol were further metabolized to glucuronidation and sulfation products and mainly excreted through the urine excretion pathway [139]. Later, Guo’s research team studied the metabolism of 123 and p-tyrosol in liver tissues after i.v. administration of 123 (50 mg/kg) to rats, in which T1/2 values were 0.54 ± 0.06 h and 0.92 ± 0.03 h for 123 and p-tyrosol, respectively. In addition, the higher mean residence time and clearance (CL) values of p-tyrosol suggested that p-tyrosol was eliminated more slowly than 123 in liver tissues [140]. These differences in the pharmacokinetics parameters of 123 and p-tyrosol might be attributed to their chemical properties. Compound 123 is made up of aglycone p-tyrosol and a glucopyranose through glycosidic linkage, which makes it more water-soluble and consequently leads to a more rapid elimination than its aglycone [141]. The same goes for the deconjugation of flavonoid glucuronides, which could also lead to prolonged circulation and enhanced bioactivity in in vitro studies [141,142]. The elimination of 123 in rats was fast but slow (T1/2, 120.0 min) in beagle dogs after a single i.v. at a dose of 75 mg/kg [143], which indicated species difference existed in metabolism of 123. In addition, different dosages and administrative patterns might affect the bioavailability of 123. The bioavailability of 123 was calcaluted as 51.97% at dosages of 100 mg/kg i.g. and 50 mg/kg i.v. administration [138], 32.1% at dosages of 12 mg/kg oral and i.v. administration [144] and 98.0% at dosages of 25 mg/kg oral and 5 mg/kg i.v. administration [145].
4.3. Pharmacokinetics of Forsythoside (124)
It was found that 124 was rapidly absorbed into the circulation system and reached its peak concentration (Cmax, 122.2 ± 45.4 ng/mL) at around 20 min following oral administration (100 mg/kg) in rats. Similarly, its absolute bioavailability was also quite low with a value of 0.5% [146]. The potential hydrolysis in the gastrointestinal tract, poor permeability through the intestinal epithelial membrane and first-pass effect in the liver might be responsible for the low bioavailability of 124. Though the low permeability of 124 leads to low oral bioavailability of 124 [147,148], water-soluble chitosan at dosage of 50 mg/kg improved the bioavailability of 124 and the antioxidant activity in vivo [149]. Meanwhile, the metabolism and bioactivity studies of 124 also showed that its metabolites HT and dihydrocaffeic acid exhibited more potent anti-complement, antimicrobial and antiendotoxin effects than itself [150].
The pharmacokinetic characteristics of 124 in dogs after i.v. administration of 5, 10 or 20 mg/kg of 124, respectively, were also reported. The AUC and Cmax increased proportionally with the increasing doses, but CL and T1/2 were not dose-dependence. The result that 124 was eliminated quickly and its T1/2 was short, clued to that 124 should be given by continuous i.v. infusion to maintain clinical effect. Meanwhile, the relative large values of distribution volume (Vd, 1.10–1.90 L/kg) suggested that 124 was easily to distribute into tissues, which was beneficial to the treatment of infectious diseases in tissues [151]. It’s worth noting that T1/2 and Vd of 124 in dogs were different from those in rats [152], the species difference existed and deep reason needed further investigation.
The pharmacokinetics and hepatobiliary excretion of 124 in rats were also reported. The results indicated that hepatobiliary excretion was an important excretion path for 124. Furthermore, the disposition of 124 in blood and bile suggested that there was rapid exchange and equilibration between the blood and hepatobiliary systems [153].
A comparative pharmacokinetic study of 124 in rats after administration of Shuang-huang-lian (SHL) solutions via i.v., peroral or intratracheal routes was reported [154]. The plasma concentration of 124 reached the peak at 45 min with Cmax of 35.0 ± 7.1 ng/mL after oral administration of 1000 mg/kg SHL solutions. The absolute bioavailability was determined to be 0.72% for 124. Whereas, the intratracheal delivery produced the peak plasma concentration within 5 min, and the absolute bioavailability of 124 via pulmonary route was determined to be 25.8%. The absorption characteristic of 124 from the respiratory tract was distinct from that via the peroral route. Compared to peroral administration, pulmonary delivered chemical markers more rapidly and thoroughly absorbed.
4.4. Pharmacokinetics of Other PhGs
Plantamajoside (138) was a unique compound that characterizes Plantago asiatica. The mean plasma concentration-time profile of 138 in rats after oral administration of 10 g/kg (dry herb weight equivalent) was reported. The pharmacokinetic results showed 138 was quickly absorbed in rats with the time of 16.7 min to maximum plasma concentration (Cmax, 172.3 ± 35.1 ng/mL). The elimination rate constants was 0.28 ± 0.01 L/h and T1/2 was 2.46 ± 1.0 h [132]. Pharmacokinetics of tyrosol galactoside (140) following oral and i.v. administration both at a dose of 60 mg/kg were performed [155]. The oral bioavailability of 140 was about 27.9%, which was similar to that of compound 123 calculated at dosages of 12 mg/kg oral and i.v. administration [144].
5. Conclusions
The structural diversity of PhGs and the resulting biological properties, including neuroprotective, anti-inflammatory, antioxidant, anti-aging, memory enhancement, antibacterial, antivirus, cytotoxic, immunomodulatory, and enzyme inhibitory effects are attractive to those engaged in drug discovery. Pure PhGs and herbs rich in PhGs have been shown to possess multiple medical functions in vitro and in vivo. The poor permeability through the intestinal epithelial membrane, hydrolysis by enzymes in the gastrointestinal tract, and interaction with the enriched intestinal bacteria are the three possible reasons for the poor bioavailability of PhGs. Metabolic studies revealed that PhGs could be presumed to act as prodrugs, which were easily hydrolyzed in vivo and mainly metabolized into degradation products. There is a growing recognition that not only the absorbed parent PhGs, but also their metabolites may have the potential to be the effective ingredients, while most pharmacokinetic studies have focused on prototype compounds rather than their metabolites, so intensive studies of metabolite pharmacokinetics are required to shed light on the mechanisms underlying their systemic health effects of these compounds and confirm their clinical potential.
Acknowledgments
The research was financially supported by an 863 Project (2014AA022201) and a Basic Research Program of the Ministry of S&T of China (2015FY111500).
Author Contributions
Z.Z. Xue and B. Yang conceived and designed the paper; Z.Z. Xue wrote the paper and B. Yang reviewed the paper.
Conflicts of Interest
The authors declare no conflict of interest.
References
- Georgiev, M.I.; Alipieva, K.; Orhan, I.; Abrashev, R.; Denev, P.; Angelova, M. Antioxidant and cholinesterases inhibitory activities of Verbascum xanthophoeniceum Griseb and its phenylethanoid glycosides. Food Chem. 2011, 128, 100–105. [Google Scholar] [CrossRef] [PubMed]
- Kirmizibekmez, H.; Ariburnu, E.; Masullo, M.; Festa, M.; Capasso, A.; Yesilada, E.; Piacente, S. Iridoid, phenylethanoid and flavonoid glycosides from Sideritis trojana. Fitoterapia 2012, 83, 130–136. [Google Scholar] [CrossRef] [PubMed]
- Jimenez, C.; Riguera, R. Phenylethanoid glycosides in plants: Structure and biological activity. Nat. Prod. Rep. 1994, 11, 591–606. [Google Scholar] [CrossRef] [PubMed]
- Fu, G.M.; Pang, H.H.; Wong, Y.H. Naturally occurring phenylethanoid glycosides: Potential leads for new therapeutics. Curr. Med. Chem. 2008, 15, 2592–2613. [Google Scholar] [CrossRef] [PubMed]
- Noiarsa, P.; Ruchirawat, S.; Kanchanapoom, T. Acanmontanoside, a new phenylethanoid diglycoside from Acanthus montanus. Molecules 2010, 15, 8967–8972. [Google Scholar] [CrossRef] [PubMed]
- Araya, J.J.; Kindscher, K.; Timmermann, B.N. Cytotoxic cardiac glycosides and other compounds from Asclepias syriaca. J. Nat. Prod. 2012, 75, 400–407. [Google Scholar] [CrossRef] [PubMed]
- Ohta, T.; Nakamura, S.; Nakashima, S.; Oda, Y.; Matsumoto, T.; Fukaya, M.; Yano, M.; Yoshikawa, M.; Matsuda, H. Chemical structures of constituents from the whole plant of Bacopa monniera. J. Nat. Med. 2016, 70, 404–411. [Google Scholar] [CrossRef] [PubMed]
- Wan, J.F.; Yuan, J.Q.; Mei, Z.N.; Yang, X.Z. Phenolic glycosides from Boschniakia himalaica. Chin. Chem. Lett. 2012, 23, 579–582. [Google Scholar] [CrossRef]
- Bougandoura, A.; D’Abrosca, B.; Ameddah, S.; Scognamiglio, M.; Mekkiou, R.; Fiorentino, A.; Benayache, S.; Benayache, F. Chemical constituents and in vitro anti-infammatory activity of Cistanche violacea Desf (Orobanchaceae) extract. Fitoterapia 2016, 109, 248–253. [Google Scholar] [CrossRef] [PubMed]
- Nan, Z.D.; Zeng, K.W.; Shi, S.P.; Zhao, M.B.; Jiang, Y.; Tu, P.F. Phenylethanoid glycosides with anti-inflammatory activities from the stems of Cistanche deserticola cultured in Tarim desert. Fitoterapia 2013, 89, 167–174. [Google Scholar] [CrossRef] [PubMed]
- Pan, Y.N.; Morikawa, T.; Ninomiya, K.; Imura, K.; Yuan, D.; Yoshikawa, M.; Muraoka, O. Bioactive constituents from Chinese nature medicines: Four new acylated phenylethanoid oligoglycosides, kankanosides J1, J2, K1 and K2 from stems of Cistanche tubulosa. Chem. Pharm. Bull. 2010, 58, 575–578. [Google Scholar] [CrossRef] [PubMed]
- Morikawa, T.; Pan, Y.; Ninomiya, K.; Imura, K.; Matsuda, H.; Yoshikawa, M.; Yuan, D.; Muraoka, O. Acylated phenylethanoid oligoglycosides with hepatoprotective activity from the desert plant Cistanche tubulosa. Bioorg. Med. Chem. 2010, 18, 1882–1890. [Google Scholar] [CrossRef] [PubMed]
- Liu, X.M.; Li, J.; Jiang, Y.; Zhao, M.B.; Tu, P.F. Chemical constituents from Cistanche sinensis (Orobanchaceae). Biochem. Syst. Ecol. 2013, 47, 21–24. [Google Scholar] [CrossRef]
- Liu, Q.; Hu, H.J.; Li, P.F.; Yang, Y.B.; Wu, L.H.; Chou, G.X.; Wang, Z.T. Diterpenoids and phenylethanoid glycosides from the roots of Clerodendrum bungei and their inhibitory effects against angiotensin converting enzyme and α-glucosidase. Phytochemistry 2014, 103, 196–202. [Google Scholar] [CrossRef] [PubMed]
- Ma, Q.G.; Guo, Y.M.; Luo, B.M.; Liu, W.M.; Wei, R.R.; Yang, C.X.; Ding, C.H.; Xu, X.F.; He, M.H. Hepatoprotective phenylethanoid glycosides from Cirsium setosum. Nat. Prod. Res. 2015, 11, 1–6. [Google Scholar] [CrossRef] [PubMed]
- Wu, A.Z.; Zhai, Y.J.; Zhao, Z.X.; Zhang, C.X.; Lin, C.Z.; Zhu, C.C. Phenylethanoid glycosides from the stems of Callicarpa peii (hemostatic drug). Fitoterapia 2013, 84, 237–241. [Google Scholar] [CrossRef] [PubMed]
- Jin, Q.L.; Jin, H.G.; Shin, J.E.; Hong, J.; Woo, E.R. Phenylethanoid glycosides from Digitals purpurea L. Bull. Korean Chem. Soc. 2011, 32, 1721–1724. [Google Scholar] [CrossRef]
- Li, C.; Dai, Y.; Zhang, S.X.; Duan, Y.H.; Liu, M.L.; Chen, L.Y.; Yao, X.S. Quinoid glycosides from Forsythia suspensa. Phytochemistry 2014, 104, 105–113. [Google Scholar] [CrossRef] [PubMed]
- Kuang, H.X.; Xia, Y.G.; Yang, B.Y.; Liang, J.; Zhang, Q.B.; Li, G.Y. A new caffeoyl phenylethanoid glycosides from the unripe fruits of Forsythia suspense. Chin. J. Nat. Med. 2009, 7, 278–282. [Google Scholar] [CrossRef]
- Zhang, F.; Yang, Y.N.; Song, X.Y.; Shao, S.Y.; Feng, Z.M.; Jiang, J.S.; Li, L.; Chen, N.H.; Zhang, P.C. Forsythoneosides A-D, neuroprotective phenethanoid and flavone glycoside heterodimers from the fruits of Forsythia suspensa. J. Nat. Prod. 2015, 78, 2390–2397. [Google Scholar] [CrossRef] [PubMed]
- Qu, H.H.; Zhang, Y.M.; Chai, X.Y.; Sun, W.J. Isoforsythiaside, an antioxidant and antibacterial phenylethanoid glycoside isolated from Forsythia suspensa. Bioorg. Chem. 2012, 40, 87–91. [Google Scholar] [CrossRef] [PubMed]
- Wang, F.N.; Ma, Z.Q.; Liu, Y.; Guo, Y.Z.; Gu, Z.W. New phenylethanoid glycosides from the fruits of Forsythia suspense (Thunb.) Vahl. Molecules 2009, 14, 1324–1331. [Google Scholar] [CrossRef] [PubMed]
- Chen, Y.J.; Zhang, H.G.; Li, X. Phenylethanoid glycosides from the bark of Fraxinus mandschurica. Chem. Nat. Compd. 2009, 3, 330–332. [Google Scholar] [CrossRef]
- Wu, H.F.; Zhu, Y.D.; Zhang, L.J.; Zou, Q.Y.; Chen, L.; Shen, T.; Wang, X.F.; Ma, G.X.; Hu, B.R.; Hu, W.C.; et al. A new phenylethanoid glycoside from Incarvillea compacta. J. Asian Nat. Prod. Res. 2015, 2, 1–7. [Google Scholar]
- Martin, F.; Hay, A.E.; Condoretty, V.R.Q.; Cressend, D.; Reist, M.; Gupta, M.P.; Carrupt, P.A.; Hostettmann, K. Antioxidant phenylethanoid glycosides and a neolignan from Jacaranda caucana. J. Nat. Prod. 2009, 72, 852–856. [Google Scholar] [CrossRef] [PubMed]
- Julia, L.S.; Piccinelli, A.L.; Marzocco, S.; Leitão, S.G.; Lotti, C.; Autore, G.; Rastrelli, L. Phenylethanoid glycosides from Lantana fucata with in vitro anti-inflammatory activity. J. Nat. Prod. 2009, 72, 1424–1428. [Google Scholar]
- Sena Filho, J.G.; Nimmo, S.L.; Xavier, H.S.; Barbosa-Filho, J.M.; Cichewicz, R.H. Phenylethanoid and lignan glycosides from polar extracts of Lantana, a genus of verbenaceous plants widely used in traditional herbal therapies. J. Nat. Prod. 2009, 72, 1344–1347. [Google Scholar] [CrossRef] [PubMed]
- Li, Y.X.; Chen, Z.; Feng, Z.M.; Yang, Y.N.; Jiang, J.S.; Zhang, P.C. Hepatoprotective glycosides from Leonurus japonicus Houtt. Carbohydr. Res. 2012, 348, 42–46. [Google Scholar] [CrossRef] [PubMed]
- Yang, J.H.; Kondratyuk, T.P.; Jermihov, K.C.; Marler, L.E.; Qiu, X.; Choi, Y.; Cao, H.M.; Yu, R.; Sturdy, M.; Huang, R.; et al. Bioactive compounds from the fern Lepisorus contortus. J. Nat. Prod. 2011, 74, 129–136. [Google Scholar] [CrossRef] [PubMed]
- Hao, F.; Deng, J.; Wang, Y.H. A new phenylethanoid glucoside from Lagotis brevituba. Chin. J. Chin. Mater. Med. 2009, 16, 2054–2056. [Google Scholar]
- Porter, E.A.; Kite, G.C.; Veitch, N.C.; Geoghegan, I.A.; Larsson, S.; Simmonds, M.S.J. Phenylethanoid glycosides in tepals of Magnolia salicifolia and their occurrence in flowers of Magnoliaceae. Phytochemistry 2015, 117, 185–193. [Google Scholar] [CrossRef] [PubMed]
- Xue, Z.Z.; Yan, R.Y.; Yang, B. Phenylethanoid glycosides and phenolic glycosides from stem bark of Magnolia officinalis. Phytochemistry 2016, 127, 50–62. [Google Scholar] [CrossRef] [PubMed]
- Yu, S.X.; Yan, R.Y.; Liang, R.X.; Wang, W.H.; Yang, B. Bioactive polar compounds from stem bark of Magnolia officinalis. Fitoterapia 2012, 83, 356–361. [Google Scholar] [CrossRef] [PubMed]
- Li, M.; Shi, M.F.; Liu, Y.L.; Xu, Q.M.; Yang, S.L. Phenylethanoid glycosides from Monochasma savatieri and their anticomplement activity through the classical pathway. Planta Med. 2012, 78, 1381–1386. [Google Scholar] [CrossRef] [PubMed]
- Murata, T.; Miyase, T.; Yoshizaki, F. New phenolic compounds from Meehania urticifolia. J. Nat. Med. 2011, 65, 385–390. [Google Scholar] [CrossRef] [PubMed]
- Morikawa, T.; Ninomiya, K.; Kuramoto, H.; Kamei, I.; Yoshikawa, M.; Muraoka, O. Phenylethanoid and phenylpropanoid glycosides with melanogenesis inhibitory activity from the flowers of Narcissus tazetta var chinensis. J. Nat. Med. 2015, 70, 89–101. [Google Scholar] [CrossRef] [PubMed]
- Deng, R.X.; Duan, W.L.; Liu, P.; Yang, Y.L.; Yin, W.P. Secondary metabolites from the roots of Phlomis umbrosa. J. Asian Nat. Prod. Res. 2011, 13, 230–237. [Google Scholar] [CrossRef] [PubMed]
- Liu, P.; Deng, R.X.; Duan, H.Q.; Yin, W.P.; Zhao, T.Z. Phenylethanoid glycosides from the roots of Phlomis umbrosa. J. Asian Nat. Prod. Res. 2009, 11, 69–74. [Google Scholar] [CrossRef] [PubMed]
- Jabeen, B.; Riaz, N.; Saleem, M.; Naveed, M.A.; Ashraf, M.; Alam, U.; Rafiq, H.M.; Tareen, R.B.; Jabbar, A. Isolation of natural compounds from Phlomis stewartii showing α-glucosidase inhibitory activity. Phytochemistry 2013, 96, 443–448. [Google Scholar] [CrossRef] [PubMed]
- Yu, C.Y.; Sun, Y.C.; Chen, G. A new phenylethanoid glucoside from Plantago depressa Willd. Nat. Prod. Res. 2013, 27, 609–612. [Google Scholar] [CrossRef] [PubMed]
- Amakura, Y.; Yoshimura, A.; Yoshimura, M.; Yoshida, T. Isolation and characterization of phenolic antioxidants from Plantago Herb. Molecules 2012, 17, 5459–5466. [Google Scholar] [CrossRef] [PubMed]
- Phakeovilay, C.; Disadee, W.; Sahakitpichan, P.; Sitthimonchai, S.; Kittakoop, P.; Ruchirawat, S.; Kanchanapoom, T. Phenylethanoid and flavone glycosides from Ruellia tuberosa L. J. Nat. Med. 2013, 67, 228–233. [Google Scholar] [CrossRef] [PubMed]
- Delazara, A.; Delnavaziab, M.R.; Naharc, L.; Moghadama, S.B.; Mojarabab, M.; Guptad, A.; Williamsd, A.S.; Rahmane, M.M.; Sarkerf, S.D. Lavandulifolioside B: A new phenylethanoid glycoside from the aerial parts of Stachys lavandulifolia Vahl. Nat. Prod. Res. 2011, 25, 8–16. [Google Scholar] [CrossRef] [PubMed]
- Marino, S.D.; Festa, C.; Zollo, F.; Incollingo, F.; Raimo, G.; Evangelista, G.; Iorizzi, M. Antioxidant activity of phenolic and phenylethanoid glycosides from Teucrium polium L. Food Chem. 2012, 133, 21–28. [Google Scholar] [CrossRef]
- Pacifico, S.; D’Abrosca, B.; Pascarella, M.T.; Letizia, M.; Uzzo, P.; Piscopo, V.; Fiorentino, A. Antioxidant efficacy of iridoid and phenylethanoid glycosides from the medicinal plant Teucrium chamaedris in cell-free systems. Bioorgan. Med. Chem. 2009, 17, 6173–6179. [Google Scholar] [CrossRef] [PubMed]
- Taskova, R.M.; Kokubun, T.; Ryan, Y.K.G.; Garnock-jones, P.J.; Jensen, S.R. Phenylethanoid and iridoid glycosides in the New Zealand snow hebes (Veronica, Plantaginaceae). Chem. Pharm. Bull. 2010, 58, 703–711. [Google Scholar] [CrossRef] [PubMed]
- Taskova, R.M.; Kokubun, T.; Ryan, K.G.; Garnock-Jones, P.J.; Jensen, S.R. Iridoid and phenylethanoid glucosides from Veronica lavaudiana. J. Nat. Prod. 2011, 74, 1477–1483. [Google Scholar] [CrossRef] [PubMed]
- Taskova, R.M.; Kokubun, T.; Garnock-Jones, P.J.; Jensen, S.R. Iridoid and phenylethanoid glycosides in the New Zealand sun hebes (Veronica; Plantaginaceae). Phytochemistry 2012, 77, 209–217. [Google Scholar] [CrossRef] [PubMed]
- Kuang, H.X.; Xia, Y.G.; Liang, J.; Yang, B.Y.; Wang, Q.H. Lianqiaoxinoside B, a novel caffeoyl phenylethanoid glycoside from Forsythia suspensa. Molecules 2011, 16, 5674–5681. [Google Scholar] [CrossRef] [PubMed]
- Zhou, X.L.; Wen, Q.W.; Lin, X.; Zhang, S.J.; Li, Y.X.; Guo, Y.J.; Huang, B. A new phenylethanoid glycoside with antioxidant and anti-HBV activity from Tarphochlamys affinis. Arch. Pharm. Res. 2014, 37, 600–605. [Google Scholar] [CrossRef] [PubMed]
- Rana, A.; Bhangalia, S.; Singh, H.P. A new phenylethanoid glucoside from Jacaranda mimosifolia. Nat. Prod. Res. 2013, 27, 1167–1173. [Google Scholar] [CrossRef] [PubMed]
- Gu, W.; Zhang, Y.; Hao, X.J.; Yang, F.M.; Sun, Q.Y.; Morris-Natschke, S.L.; Lee, K.H.; Wang, Y.H.; Long, C.L. Indole alkaloid glycosides from the aerial parts of Strobilanthes cusia. J. Nat. Prod. 2014, 77, 2590–2594. [Google Scholar] [CrossRef] [PubMed]
- Oertel, W.H.; Ellgring, H. Parkinson′s disease-medical education and psychosocial aspects. Patient Educ. Couns. 1995, 26, 71–79. [Google Scholar] [CrossRef]
- Seniuk, N.A.; Tatton, W.G.; Greenwood, C.E. Dose-dependent destruction of the coeruleus-cortical and nigral-striatal projections by MPTP. Brain Res. 1990, 527, 7–20. [Google Scholar] [CrossRef]
- Hantraye, P.; Varastet, M.; Peschanski, M.; Riche, D.; Cesaro, P.; Willer, J.C.; Maziere, M. Stable Parkinsonian syndrome and uneven loss of striatal dopamine fibres following chronic MPTP administration in baboons. Neuroscience 1993, 53, 169–178. [Google Scholar] [CrossRef]
- Heikkila, R.E.; Hess, A.; Duvoisin, R.C. Dopaminergic neurotoxicity of 1-methyl-4-phenyl-1,2,5,6-tetrahydropyridine in mice. Science 1984, 224, 1451–1453. [Google Scholar] [CrossRef] [PubMed]
- Chiba, K.; Trevor, A.; Castagnoli, N., Jr. Metabolism of the neurotoxic tertiary amine, MPTP, by brain monoamine oxidase. Biochem. Biophys. Res. Commun. 1984, 120, 574–578. [Google Scholar] [CrossRef]
- Geng, X.C.; Tian, X.F.; Tu, P.F.; Pu, X.P. Neuroprotective effects of echinacoside in the mouse MPTP model of Parkinson’s disease. Eur. J. Pharmacol. 2007, 564, 66–74. [Google Scholar] [CrossRef] [PubMed]
- Li, Y.Y.; Lu, J.H.; Li, Q.; Zhao, Y.Y.; Pu, X.P. Pedicularioside A from Buddleia lindleyana inhibits cell death induced by 1-methyl-4-phenylpyridinium ions (MPP+) in primary cultures of rat mesencephalic neurons. Eur. J. Pharmacol. 2008, 579, 134–140. [Google Scholar] [CrossRef] [PubMed]
- Markesbery, W. Oxidative stress hypothesis in Alzheimer’s disease. Free Radic. Biol. Med. 1997, 23, 134–147. [Google Scholar] [CrossRef]
- Reddy, P.H. Amyloid precursor protein-mediated free radicals and oxidative damage: Implications for the development and progression of Alzheimer’s disease. J. Neurochem. 2006, 96, 1–13. [Google Scholar] [CrossRef] [PubMed]
- Behl, C.; Davis, J.; Lesley, R.; Schubert, D. Hydrogen peroxide mediates amyloid beta protein toxicity. Cell 1994, 77, 817–827. [Google Scholar] [CrossRef]
- Wang, H.Q.; Xu, Y.X.; Zhu, C.Q. Upregulation of heme oxygenase-1 by acteoside through ERK and PI3 K/Akt pathway confer neuroprotection against beta-amyloid-induced neurotoxicity. Neurotox. Res. 2012, 21, 368–378. [Google Scholar] [CrossRef] [PubMed]
- Chen, S.F.; Tsai, H.J.; Hung, T.H.; Chen, C.C.; Lee, C.Y.; Wu, C.H.; Wang, P.Y.; Liao, N.C. Salidroside improves behavioral and histological outcomes and reduces apoptosis via PI3K/Akt signaling after experimental traumatic brain injury. PLoS ONE 2012, 7, e45763. [Google Scholar] [CrossRef] [PubMed]
- Wang, H.Q.; Xu, Y.X.; Yan, J.; Zhao, X.Y.; Sun, X.B.; Zhang, Y.P.; Guo, J.C.; Zhu, C.Q. Acteoside protects human neuroblastoma SH-SY5Y cells against β-amyloid-induced cell injury. Brain Res. 2009, 1283, 139–147. [Google Scholar] [CrossRef] [PubMed]
- Peng, X.M.; Gao, L.; Huo, S.X.; Liu, X.M.; Yan, M. The mechanism of memory enhancement of acteoside (verbascoside) in the senescent mouse model induced by a combination of gal and AlCl3. Phytother. Res. 2015, 29, 1137–1144. [Google Scholar] [CrossRef] [PubMed]
- Lee, K.Y.; Jeong, E.J.; Lee, H.S.; Kim, Y.C. Acteoside of Callicarpa dichotoma attenuates scopolamine-induced memory impairments. Biol. Pharm. Bull. 2006, 29, 71–74. [Google Scholar] [CrossRef] [PubMed]
- Butterfield, D.A.; Howard, B.; Yatin, S.; Koppal, T.; Drake, J.; Hensley, K.; Aksenov, M.; Aksenova, M.; Subramaniam, R.; Varadarajan, S.; et al. Elevated oxidative stress in models of normal brain aging and Alzheimer’s disease. Life Sci. 1999, 65, 1883–1892. [Google Scholar] [CrossRef]
- Deng, M.; Zhao, J.Y.; Tu, P.F.; Jiang, Y.; Li, Z.B.; Wang, Y.H. Echinacoside rescues the SHSY5Y neuronal cells from TNF alpha-induced apoptosis. Eur. J. Pharmacol. 2004, 505, 11–18. [Google Scholar] [CrossRef] [PubMed]
- Kuang, R.; Sun, Y.G.; Yuan, W.; Lei, L.; Zheng, X.X. Protective effects of echinacoside, one of the phenylethanoid glycosides, on H2O2-induced cytotoxicity in PC12 cells. Planta Med. 2009, 75, 1499–1504. [Google Scholar] [CrossRef] [PubMed]
- Si, C.L.; Shen, T.; Jiang, Y.Y.; Wu, L.; Yu, G.J.; Ren, X.D.; Xu, G.H.; Hu, W.C. Antioxidant properties and neuroprotective effects of isocampneoside II on hydrogen peroxide-induced oxidative injury in PC12 cells. Food Chem. Toxicol. 2013, 59, 145–152. [Google Scholar] [CrossRef] [PubMed]
- Halliwell, B.; Gutteridge, J.M. Oxygen toxicity, oxygen radicals, transition metals and disease. Biochem. J. 1984, 219, 1–14. [Google Scholar] [CrossRef] [PubMed]
- Nie, W.; Zhu, P.; Huang, L.; Ye, J. The research progress of Callicarpa kwangtungensis Chun. Mod. Chin. Med. 2011, 13, 37–39. [Google Scholar]
- Harput, U.S.; Genc, Y.; Saracoglu, I. Cytotoxic and antioxidative activities of Plantago lagopus L. and characterization of its bioactive compounds. Food Chem. Toxicol. 2012, 50, 1554–1559. [Google Scholar] [CrossRef] [PubMed]
- Cai, H.; Xie, Z.Y.; Liu, G.H.; Sun, X.M.; Peng, G.T.; Lin, B.Q.; Liao, Q.F. Isolation, identification and activities of natural antioxidants from Callicarpa kwangtungensis Chun. PLoS ONE 2014, 9, e93000. [Google Scholar] [CrossRef] [PubMed]
- Yang, J.H.; Hu, J.P.; Rena, K.; Du, N.S. Structure-activity relationships of phenylethanoid glycosides in plants of Cistanche salsa on antioxidative activity. Zhong Yao Cai 2009, 32, 1067–1069. [Google Scholar] [PubMed]
- Lodise, T.P., Jr.; Patel, N.; Kwa, A.; Graves, J.; Furuno, J.P.; Graffunder, E.; Lomaestro, B.; McGregor, J.C. Predictors of 30-day mortality among patients with Pseudomonas aeruginosa blood stream infection: Impact of delayed appropriate antibiotic selection. Antimicrob. Agents Chem. 2007, 51, 3510–3515. [Google Scholar] [CrossRef] [PubMed]
- Kerr, K.G.; Snelling, A.M. Pseudomonas aeruginosa: A formidable and ever-present adversary. J. Hosp. Infect. 2009, 73, 338–344. [Google Scholar] [CrossRef] [PubMed]
- Liu, Y.L.; He, W.J.; Mo, L.; Shi, M.F.; Zhu, Y.Y.; Pan, S.; Li, X.R.; Xu, Q.M.; Yang, S.L. Antimicrobial, anti-inflammatory activities and toxicology of phenylethanoid glycosides from Monochasma savatieri Franch Ex Maxim. J. Ethnopharmacol. 2013, 149, 431–437. [Google Scholar] [CrossRef] [PubMed]
- Seo, E.S.; Oh, B.K.; Pak, J.H.; Yim, S.H.; Gurunathan, S.; Kim, Y.P.; Lee, K.J. Acteoside improves survival in cecal ligation and puncture-induced septic mice via blocking of high mobility group box 1 release. Mol. Cells 2013, 35, 348–354. [Google Scholar] [CrossRef] [PubMed]
- Akdemir, Z.; Kahraman, C.; Tatlı, II.; Akkol, E.K.; Süntar, I.; Keles, H. Bioassay-guided isolation of anti-inflammatory, antinociceptive and wound healer glycosides from the flowers of Verbascum mucronatum Lam. J. Ethnopharmacol. 2011, 136, 436–443. [Google Scholar] [CrossRef] [PubMed]
- Backhouse, N.; Delporte, C.; Apablaza, C.; Farías, M.; Goïty, L.; Arrau, S.; Negrete, R.; Castro, C.; Miranda, H. Antinociceptive activity of Buddleja globose (matico) in several models of pain. J. Ethnopharmacol. 2008, 119, 160–165. [Google Scholar] [CrossRef] [PubMed]
- Güvenç, A.; Okada, Y.; Kupeli Akkol, E.; Duman, H.; Okuyama, T.; Calis, I. Investigations of anti-inflammatory, antinociceptive, antioxidant and aldose reductase inhibitory activities of phenolic compounds from Sideritis brevibracteata. Food Chem. 2010, 118, 686–692. [Google Scholar] [CrossRef]
- Penido, C.; Costa, K.A.; Futuro, D.O.; Paiva, S.R.; Kaplan, M.A.C.; Figueiredo, M.R.; Henriques, M.G.M.O. Anti-inflammatory and anti-ulcerogenic properties of Stachytarpheta cayennensis. J. Ethnopharmacol. 2006, 104, 225–233. [Google Scholar] [CrossRef] [PubMed]
- Hausmann, M.; Obermeier, F.; Paper, D.H.; Balan, K.; Dunger, N.; Menzel, K.; Falk, W.; Schoelmerich, J.; Herfarth, H.; Rogler, G. In vivo treatment with the herbal phenylethanoid acteoside ameliorates intestinal inflammation in dextran sulphate sodium-induced colitis. Clin. Exp. Immunol. 2007, 148, 373–381. [Google Scholar] [CrossRef] [PubMed]
- Chen, C.H.; Song, T.Y.; Liang, Y.C.; Hu, M.L. Acteoside and 6-O-acetylacteoside downregulate cell adhesion molecules induced by IL-1β through inhibition of ERK and JNK in human vascular endothelial cells. J. Agric. Food Chem. 2009, 57, 8852–8859. [Google Scholar] [CrossRef] [PubMed]
- Georgiev, M.I.; Pastore, S.; Lulli, D.; Alipieva, K.; Kostyuk, V.; Potapovich, A.; Panetta, M.; Korkina, L. Verbascum xanthophoeniceum-derived phenylethanoid glycosides are potent inhibitors of inflammatory chemokines in dormant and interferon-gamma-stimulated human keratinocytes. J. Ethnopharmacol. 2012, 144, 754–760. [Google Scholar] [CrossRef] [PubMed]
- Chang, X.Y.; Luo, F.; Jiang, W.J.; Zhu, L.P.; Gao, J.; He, H.; Wei, T.T.; Gong, S.L.; Yan, T.H. Protective activity of salidroside against ethanol-induced gastric ulcer via the MAPK/NF-κB pathway in vivo and in vitro. Int. Immunopharmac. 2015, 28, 604–615. [Google Scholar] [CrossRef] [PubMed]
- Hu, X.P.; Shao, M.M.; Song, X.; Wu, X.L.; Qi, L.; Zheng, K.; Fan, L.; Liao, C.H.; Li, C.Y.; He, J.; et al. Anti-influenza virus effects of crude phenylethanoid glycosides isolated from Ligustrum purpurascens via inducing endogenous interferon-γ. J. Ethnopharmacol. 2015, 179, 128–136. [Google Scholar] [CrossRef] [PubMed]
- Nazemiyeh, H.; Rahman, M.M.; Gibbons, S.; Nahar, L.; Delazar, A.; Ghahramani, M.A.; Talebpour, A.H.; Sarker, S.D. Assessment of the antibacterial activity of phenylethanoid glycosides from Phlomis lanceolate against multiple-drug-resistant strains of Staphylococcus aureus. J. Nat. Med. 2008, 62, 91–95. [Google Scholar] [CrossRef] [PubMed]
- Ye, M.; Zhao, Y.; Norman, V.L.; Starks, C.M.; Rice, S.M.; Goering, M.G.; O′Neil-Johnson, M.; Eldridge, G.R.; Hu, J.F. Antibiofilm phenylethanoid glycosides from Penstemon centranthifolius. Phytother. Res. 2010, 24, 778–781. [Google Scholar] [PubMed]
- Prusky, D.; Keen, N.T. Involvement of preformed antifungal compounds in the resistance of subtropical fruits to fungal decay. Plant. Dis. 1993, 77, 114–119. [Google Scholar] [CrossRef]
- Zhao, G.; Shi, A.P.; Fan, Z.M.; Du, Y. Salidroside inhibits the growth of human breast cancer in vitro and in vivo. Oncol. Rep. 2015, 33, 2553–2560. [Google Scholar] [CrossRef] [PubMed]
- Hwang, Y.P.; Kim, H.G.; Choi, J.H.; Park, B.H.; Jeong, M.H.; Jeong, T.C.; Jeong, H.G. ACT inhibits PMA-induced matrix metalloproteinase-9 expression via CaMK/ERK- and JNK/NF-ƙB-dependent signaling. Mol. Nutr. Food Res. 2011, 55, 103–116. [Google Scholar] [CrossRef] [PubMed]
- Argyropoulou, A.; Samara, P.; Tsitsilonis, O.; Skaltsa, H. Polar constituents of Marrubium thessalum Boiss. & Heldr. (Lamiaceae) and their cytotoxic/cytostatic activity. Phytother. Res. 2012, 26, 1800–1806. [Google Scholar] [PubMed]
- Wolf, D.; Hallmann, R.; Sass, G.; Sixt, M.; Küsters, S.; Fregien, B.; Trautwein, C.; Tiegs, G. TNF-𝛼-induced expression of adhesion molecules in the liver is under the control of TNFR1-relevance for concanavalin A-induced hepatitis. J. Immunol. 2001, 166, 1300–1307. [Google Scholar] [CrossRef] [PubMed]
- Zuo, D.M.; Yu, X.F.; Guo, C.Q.; Wang, H.X.; Qian, J.; Yi, H.F.; Lu, X.L.; Lv, Z.P.; Subjeck, J.R.; Zhou, H.P.; et al. Scavenger receptor A restrains T-cell activation and protects against concanavalin A-induced hepatic injury. Hepatology 2013, 57, 228–238. [Google Scholar] [CrossRef] [PubMed]
- Tiegs, G.; Hentschel, J.; Wendel, A. A T cell-dependent experimental liver injury in mice inducible by concanavalin A. J. Clin. Investig. 1992, 90, 196–203. [Google Scholar] [CrossRef] [PubMed]
- Hu, B.J.; Zou, Y.; Liu, S.S.; Wang, J.; Zhu, J.L.; Li, J.B.; Bo, L.L.; Deng, X.M. Salidroside attenuates concanavalin A-induced hepatitis via modulating cytokines secretion and lymphocyte migration in mice. Mediat. Inflamm. 2014, 2014, 314081. [Google Scholar] [CrossRef] [PubMed]
- Song, X.; Li, C.Y.; Zeng, Y.; Wu, H.Q.; Huang, Z.; Zhang, J.; Hong, R.S.; Chen, X.X.; Wang, L.Y.; Hu, X.P.; et al. Immunomodulatory effects of crude phenylethanoid glycosides from Ligustrum purpurascens. J. Ethnopharmacol. 2012, 144, 584–591. [Google Scholar] [CrossRef] [PubMed]
- Huang, D.F.; Tang, Y.F.; Nie, S.P.; Wan, Y.; Xie, M.Y.; Xie, X.M. Effect of phenylethanoid glycosides and polysaccharides from the seed of Plantago asiatica L. on the maturation of murine bone marrow-derived dendritic cells. Eur. J. Pharmacol. 2009, 620, 105–111. [Google Scholar] [CrossRef] [PubMed]
- Prescott, T.A.K.; Veitch, N.C.; Simmonds, M.S.J. Direct inhibition of calcineurin by caffeoyl phenylethanoid glycosides from Teucrium chamaedrys and Nepeta cataria. J. Ethnopharmacol. 2011, 137, 1306–1310. [Google Scholar] [CrossRef] [PubMed]
- Georgiev, M.I.; Alipieva, K.; Orhan, I.E. Cholinesterases inhibitory and antioxidant activities of Harpagophytum procumbens from in vitro systems. Phytother. Res. 2012, 26, 313–316. [Google Scholar] [CrossRef] [PubMed]
- Kim, J.K.; Lee, Y.S.; Kim, S.H.; Bae, Y.S.; Lim, S.S. Inhibition of aldose reductase by phenylethanoid glycoside isolated from the seeds of Paulownia coreana. Biol. Pharm. Bull. 2011, 34, 160–163. [Google Scholar] [CrossRef] [PubMed]
- Morikawa, T.; Ninomiya, K.; Imamura, M.; Akaki, J.; Fujikura, S.; Pan, Y.; Yuan, D.; Yoshikawa, M.; Jia, X.G.; Li, Z.; et al. Acylated phenylethanoid glycosides, echinacoside and acteoside from Cistanche tubulosa, improve glucose tolerance in mice. J. Nat. Med. 2014, 68, 561–566. [Google Scholar] [CrossRef] [PubMed]
- Li, F.L.; Tang, H.; Xiao, F.R.; Gong, J.L.; Peng, Y.; Meng, X.L. Protective effect of salidroside from Rhodiolae. Radix on diabetes-induced oxidative stress in mice. Molecules 2011, 16, 9912–9924. [Google Scholar] [CrossRef] [PubMed]
- Kurisu, M.; Miyamae, Y.; Murakami, K.; Han, J.; Isoda, H.; Irie, K.; Shigemori, H. Inhibition of amyloid β aggregation by acteoside, a phenylethanoid glycoside. Biosci. Biotechnol. Biochem. 2013, 77, 1329–1332. [Google Scholar] [CrossRef] [PubMed]
- Marcoccia, D.; Georgiev, M.I.; Alipieva, K.I.; Lorenzetti, S. Inhibition of the DHT-induced PSA secretion by Verbascum xanthophoeniceum and Serenoa repens extracts in human LNCaP prostate epithelial cells. J. Ethnopharmacol. 2014, 155, 616–625. [Google Scholar] [CrossRef] [PubMed]
- He, W.J.; Fang, T.H.; Ma, X.; Zhang, K.; Ma, Z.Z.; Tu, P.F. Echinacoside elicits endothelium-dependent relaxation in rat aortic rings via an NO-cGMP pathway. Planta Med. 2009, 75, 1400–1404. [Google Scholar] [CrossRef] [PubMed]
- Gao, Y.; Zong, C.J.; Liu, F.; Fang, L.; Cai, R.L.; Shi, Y.; Chen, X.; Qi, Y. Evaluation of the intestinal transport of a phenylethanoid glycoside-rich extract from Cistanche deserticola across the Caco-2 cell monolayer model. PLoS ONE 2015, 10, e0116490. [Google Scholar] [CrossRef] [PubMed]
- Matthias, A.; Blanchfield, J.T.; Penman, K.G.; Toch, I.; Lang, C.S.; de Voss, J.J.; Lehmann, R.P.; Clin, J. Permeability studies of alkylamides and caffeic acid conjugates from echinacea using a Caco-2 cell monolayer model. J. Clin. Pharm. Ther. 2004, 29, 7–13. [Google Scholar] [CrossRef] [PubMed]
- Shen, J.Y.; Yang, X.L.; Yang, Z.L.; Kou, J.P.; Li, F. Enhancement of absorption and bioavailability of echinacoside by verapamil or clove oil. Drug Des. Dev. Ther. 2015, 9, 4685–4693. [Google Scholar]
- Martin, K.R.; Appel, C.L. Polyphenols as dietary supplements: A double-edged sword. Nutr. Diet. Suppl. 2010, 2, 1–12. [Google Scholar] [CrossRef]
- Guo, J.; Xue, C.; Duan, J.A.; Qian, D.; Tang, Y.; You, Y. Anticonvulsant, antidepressant-like activity of Abelmoschus manihot ethanol extract and its potential active components in vivo. Phytomedicine 2011, 18, 1250–1254. [Google Scholar] [CrossRef] [PubMed]
- Uhlenhut, K.; Hogger, P. Facilitated cellular uptake and suppression of inducible nitric oxide synthase by a metabolite of maritime pine bark extract (Pycnogenol). Free Radic. Biol. Med. 2012, 53, 305–313. [Google Scholar] [CrossRef] [PubMed]
- Gordon, M.H.; Paiva-Martins, F.; Almeida, M. Antioxidant activity of hydroxytyrosol acetate compared with that of other olive oil polyphenols. J. Agric. Food Chem. 2001, 49, 2480–2485. [Google Scholar] [CrossRef] [PubMed]
- Gómez-Ruiz, J.Á.; Leake, D.S.; Ames, J.M. In vitro antioxidant activity of coffee compounds and their metabolites. J. Agric. Food Chem. 2007, 55, 6962–6969. [Google Scholar]
- Koo, K.A.; Kim, S.H.; Oh, T.H.; Kim, Y.C. Acteoside and its aglycones protect primary cultures of rat cortical cells from glutamate-induced excitotoxicity. Life Sci. 2006, 79, 709–716. [Google Scholar] [CrossRef] [PubMed]
- Schaffer, S.; Podstawa, M.; Visioli, F.; Bogani, P.; Muller, W.E.; Eckert, G.P. Hydroxytyrosol-rich olive mill wastewater extract protects brain cells in vitro and ex vivo. J. Agric. Food Chem. 2007, 55, 5043–5049. [Google Scholar] [CrossRef] [PubMed]
- Wang, D.; Ho, L.; Faith, J.; Ono, K.; Janle, E.M.; Lachcik, P.J.; Cooper, B.R.; Jannasch, A.H.; D′Arcy, B.R.; Williams, B.A. Role of intestinal microbiota in the generation of polyphenol-derived phenolic acid mediated attenuation of Alzheimer’s disease β-amyloid oligomerization. Mol. Nutr. Food Res. 2015, 59, 1025–1040. [Google Scholar] [CrossRef] [PubMed]
- Larrosa, M.; Luceri, C.; Vivoli, E.; Pagliuca, C.; Lodovici, M.; Moneti, G.; Dolara, P. Polyphenol metabolites from colonic microbiota exert anti-inflammatory activity on different inflammation models. Mol. Nutr. Food Res. 2009, 53, 1044–1054. [Google Scholar] [CrossRef] [PubMed]
- Richard, N.; Arnold, S.; Hoeller, U.; Kilpert, C.; Wertz, K.; Schwager, J. Hydroxytyrosol is the major anti-inflammatory compound in aqueous olive extracts and impairs cytokine and chemokine production in macrophages. Planta Med. 2011, 77, 1890–1897. [Google Scholar] [CrossRef] [PubMed]
- Jia, C.Q.; Shi, H.M.; Jin, W.; Zhang, K.; Jiang, Y.; Zhao, M.B.; Tu, P.F. Metabolism of echinacoside, a good antioxidant, in rats: Isolation and identification of its biliary metabolites. Drug Metab. Dispos. 2009, 37, 431–438. [Google Scholar] [CrossRef] [PubMed]
- Wang, Y.X.; Hao, H.P.; Wang, G.J.; Tu, P.F.; Jiang, Y.; Liang, Y.; Dai, L.; Yang, H.; Lai, L.; Zheng, C.N.; et al. An approach to identifying sequential metabolites of a typical phenylethanoid glycoside, echinacoside, based on liquid chromatography-ion trap-time of flight mass spectrometry analysis. Talanta 2009, 80, 572–580. [Google Scholar] [CrossRef] [PubMed]
- Lei, L.; Song, Z.H.; Tu, P.F.; Li, Y.Z.; Wu, L.J.; Chen, F.K. Separation of echinacoside by reversed-phase preparative high performance liquid chromatography. Chin. J. Chromatogr. 2001, 19, 200–202. [Google Scholar]
- Li, Y.; Zhou, G.S.; Xing, S.H.; Tu, P.F.; Li, X.B. Identification of echinacoside metabolites produced by human intestinal bacteria using ultraperformance liquid chromatography-quadrupole time-of-flight mass spectrometry. J. Agric. Food Chem. 2015, 63, 6764–6771. [Google Scholar] [CrossRef] [PubMed]
- Qi, M.; Xiong, A.Z.; Li, P.F.; Yang, Q.M.; Yang, Li.; Wang, Z.T. Identification of acteoside and its major metabolites in rat urine by ultra-performance liquid chromatography combined with electrospray ionization quadrupole time-of-flight tandem mass spectrometry. J. Chromatogr. B 2013, 940, 77–85. [Google Scholar] [CrossRef] [PubMed]
- Cui, Q.L.; Pan, Y.N.; Xu, X.T.; Zhang, W.J.; Wu, X.; Qu, S.H.; Liu, X.Q. The metabolic profile of acteoside produced by human or rat intestinal bacteria or intestinal enzyme in vitro employed UPLC-Q-TOF-MS. Fitoterapia 2016, 109, 67–74. [Google Scholar] [CrossRef] [PubMed]
- Li, Y.; Zhou, G.S.; Peng, Y.; Tu, P.F.; Li, X.B. Screening and identification of three typical phenylethanoid glycosides metabolites from Cistanches Herba by human intestinal bacteria using UPLC/Q-TOF-MS. J. Pharm. Biomed. 2016, 118, 167–176. [Google Scholar] [CrossRef] [PubMed]
- Wu, P.P.; Huo, S.X.; Gao, L.; Li, J.M.; Lin, J.; Cai, L.M.; Yan, M.; Huang, Y.; KAISAIER, A. Pharmacokinetic study on acetoside in rats. Chin. J. Chin. Mater. Med. 2012, 37, 417–420. [Google Scholar]
- Gan, P.; Huo, S.X.; Bai, P.; Gao, L.; Peng, X.M.; He, Y.; Yan, M. Pharmacokinetics and tissue distribution of acteoside in rats. Chin. Pharmacol. Bull. 2014, 30, 417–420. [Google Scholar]
- Li, Y.J.; Gan, L.; Li, G.Q.; Deng, L.; Zhang, X.S.; Deng, Y.L. Pharmacokinetics of plantamajoside and acteoside from Plantago asiatica in rats by liquid chromatography-mass spectrometry. J. Pharm. Biomed. 2014, 89, 251–256. [Google Scholar] [CrossRef] [PubMed]
- Wu, Y.T.; Lin, L.C.; Sung, J.S.; Tsai, T.H. Determination of acetoside in Cistanche deserticola and Boschniakia rossica and its pharmacokinetics in freely-moving rats using LC-MS/MS. J. Chromatogr. B 2006, 844, 89–95. [Google Scholar] [CrossRef] [PubMed]
- Jia, C.Q.; Shi, H.M.; Wu, X.M.; Li, Y.Z.; Chen, J.J.; Tu, P.F. Determination of echinacoside in rat serum by reversed-phase high-performance liquid chromatography with ultraviolet detection and its application to pharmacokinetics and bioavailability. J. Chromatogr. B 2006, 844, 308–313. [Google Scholar] [CrossRef] [PubMed]
- Yang, H.; Wang, G.J.; Hao, H.P.; Tu, P.F.; Jiang, Y.; Wang, Q.; Zhang, Y.; Zheng, C.N.; Wang, Y.X.; Dai, L. A sensitive and specific liquid chromatography/tandem mass spectrometry method for determination of echinacoside and its pharmacokinetic application in rats. Biomed. Chromatogr. 2009, 23, 630–637. [Google Scholar] [CrossRef] [PubMed]
- Zhou, J.; Zhang, Q.; Sun, J.B.; Wang, F.Q.; Zeng, P. Simultaneous separation and determination of four phenylethanoid glycosides in rat plasma sample after oral administration of Cistanche salsa extract by microemulsion liquid chromatography. J. Chromatogr. B 2014, 951–952, 24–31. [Google Scholar] [CrossRef] [PubMed]
- Zhou, J.; Zhang, Q.; Sun, J.B.; Sun, X.L.; Ping, Z. Two-phase hollow fiber liquid phase microextraction based on magnetofluid for simultaneous determination of echinacoside, tubuloside B, acteoside and isoacteoside in rat plasma after oral administration of Cistanche salsa extract by high performance liquid chromatography. J. Pharm. Biomed. 2014, 94, 30–35. [Google Scholar]
- Guo, N.; Hu, Z.W.; Fan, X.X.; Zheng, J.; Zhang, D.H.; Xu, T.; Yu, T.; Wang, Y.; Li, H.Y. Simultaneous determination of salidroside and its aglycone metabolite p-tyrosol in rat plasma by liquid chromatography-tandem mass spectrometry. Molecules 2012, 17, 4733–4754. [Google Scholar] [CrossRef] [PubMed]
- Hu, Z.W.; Wang, Z.M.; Liu, Y.; Wu, Y.; Han, X.J.; Zheng, J.; Yan, X.F.; Wang, Y. Metabolite profile of salidroside in rats by ultraperformance liquid chromatography coupled with quadrupole time-of-flight mass spectrometry and high-performance liquid chromatography coupled with quadrupole-linear ion trap mass spectrometry. J. Agric. Food Chem. 2015, 63, 8999–9005. [Google Scholar] [CrossRef] [PubMed]
- Guo, N.; Ding, W.M.; Wang, Y.; Hu, Z.W.; Wang, Z.M.; Wang, Y. An LC–MS/MS method for the determination of salidroside and its metabolite p-tyrosol in rat liver tissues. Pharm. Biol. 2014, 52, 637–645. [Google Scholar] [CrossRef] [PubMed]
- Bartholome, R.; Haenen, G.; Hollman, P.C.H.; Bast, A.; Dagnelie, P.C.; Roos, D.; Keijer, J.; Kroon, P.A.; Needs, P.W.; Arts, I.C.W. Deconjugation kinetics of glucuronidated phase II flavonoid metabolites by β-glucuronidase from neutrophils. Drug Metab. Pharm. 2010, 25, 379–387. [Google Scholar] [CrossRef]
- Day, A.J.; Bao, Y.; Morgan, M.R.; Williamson, G. Conjugation position of quercetin glucuronides and effect on biological activity. Free Radic. Biol. Med. 2000, 29, 1234–1243. [Google Scholar] [CrossRef]
- Mao, Y.; Zhang, X.R.; Zhang, X.D.; Lu, G.C. Development of an HPLC method for the determination of salidroside in beagle dog plasma after administration of salidroside injection: Application to a pharmacokinetics study. J. Sep. Sci. 2007, 30, 3218–3222. [Google Scholar] [CrossRef] [PubMed]
- Yu, S.; Liu, L.; Wen, T.; Liu, Y.C.; Wang, D.L.; He, Y.X.; Liang, Y.; Liu, X.D.; Xie, L.; Wang, G.J.; Wei, W.Z. Development and validation of a liquid chromatographic/electrospray ionization mass spectrometric method for the determination of salidroside in rat plasma: Application to the pharmacokinetics study. J. Chromatogr. B 2008, 861, 10–15. [Google Scholar] [CrossRef] [PubMed]
- Chang, Y.W.; Yao, H.T.; Hsieh, S.H.; Lu, T.J.; Yeh, T.K. Quantitative determination of salidroside in rat plasma by on-line solid-phase extraction integrated with high-performance liquid chromatography/electrospray ionization tandem mass spectrometry. J. Chromatogr. B 2007, 857, 164–169. [Google Scholar] [CrossRef] [PubMed]
- Wang, G.N.; Pan, R.L.; Liao, Y.H.; Chen, Y.; Tang, J.T.; Chang, Q. An LC-MS/MS method for determination of forsythiaside in rat plasma and application to a pharmacokinetic study. J. Chromatogr. B 2010, 878, 102–106. [Google Scholar] [CrossRef] [PubMed]
- Zhou, W.; Di, L.Q.; Wang, J.; Shan, J.J.; Liu, S.J.; Ju, W.Z.; Cai, B.C. Intestinal absorption of forsythoside A in in situ single-pass intestinal perfusion and in vitro Caco-2 cell models. Acta Pharm. Sin. 2012, 33, 1069–1079. [Google Scholar] [CrossRef] [PubMed]
- Li, Y.X.; Zhang, R.Q.; Peng, C. Assessment and modulation of forsythiaside absorption with MDCKII cells and validation with in situ intestinal experiment. Eur. J. Drug Metab. Pharm. 2012, 37, 179–186. [Google Scholar] [CrossRef] [PubMed]
- Zhou, W.; Qin, K.M.; Shan, J.J.; Ju, W.Z.; Liu, S.J.; Cai, B.C.; Di, L.Q. Improvement of intestinal absorption of forsythoside A in weeping forsythia extract by various absorption enhancers based on tight junctions. Phytomedicine 2012, 20, 47–58. [Google Scholar] [CrossRef] [PubMed]
- Xing, S.H.; Peng, Y.; Wang, M.Y.; Chen, D.F.; Li, X.B. In vitro human fecal microbial metabolism of forsythoside A and biological activities of its metabolites. Fitoterapia 2014, 99, 159–165. [Google Scholar] [CrossRef] [PubMed]
- Shi, R.; Xuan, Z.; Ma, Y.; Liu, Y.; Lu, H.; Sun, T. Pharmacokinetics of forsythoside after intravenous administration in beagle dogs. Eur. J. Drug Metab. Pharm. 2009, 34, 101–105. [Google Scholar] [CrossRef]
- Li, Y.X.; Jiang, X.H.; Liang, H.Y.; Li, X. Determination of forsythiaside in rat plasma by high-performance liquid chromatography and its application to pharmacokinetic studies. Biomed. Chromatogr. 2008, 22, 361–366. [Google Scholar] [CrossRef] [PubMed]
- Chu, Y.; Wang, X.Y.; Guo, J.H.; Li, W.; Ma, X.H.; Zhu, Y.H. Pharmacokinetic study of unbound forsythiaside in rat blood and bile by microdialysis coupled with HPLC method. Eur. J. Drug Metab. Pharm. 2012, 37, 173–177. [Google Scholar] [CrossRef] [PubMed]
- Ye, J.X.; Wei, W.; Quan, L.H.; Liu, C.Y.; Chang, Q.; Liao, Y.H. An LC–MS/MS method for the simultaneous determination of chlorogenic acid, forsythiaside A and baicalin in rat plasma and its application to pharmacokinetic study of Shuang-huang-lian in rats. J. Pharm. Biomed. 2010, 52, 625–630. [Google Scholar] [CrossRef] [PubMed]
- Wang, Q.W.; Wang, Y.; Deng, Y.T.; Shi, T.R.; Liu, X.Y.; Sun, X.L.; Li, X.Y.; Zhou, D. A rapid determination of drug candidate tyrosol galactoside in rat plasma by HPLC and its application to the pharmacokinetics study. Eur. J. Drug Metab. Pharmacokinet. 2011, 35, 131–136. [Google Scholar] [CrossRef] [PubMed]
© 2016 by the authors. Licensee MDPI, Basel, Switzerland. This article is an open access article distributed under the terms and conditions of the Creative Commons Attribution (CC-BY) license ( http://creativecommons.org/licenses/by/4.0/).




