Abstract
This review describes the formation of six-membered heterocyclic compounds and their fused analogues under microwave activation using modern organic transformations including cyclocondensation, cycloaddition, multicomponents and other modular reactions. The review is divided according to the main heterocycle types in order of increasing complexity, starting with heterocyclic systems containing one, two and three heteroatoms and their fused analogues. Recent microwave applications are reviewed, with special focus on the chemistry of bioactive compounds. Selected examples from the 2006 to 2015 literature are discussed.
1. Introduction
Microwave (MW) irradiation is a technique widely used in organic synthesis, as demonstrated by more than 20 years of success stories. Indeed, the growing annual number of publications dealing with this topic is reliable to its importance and popularity (Figure 1). Since the pioneering works of Gedye and Giguere in 1986, more than 6000 articles devoted to MW irradiation have been published [1,2,3,4,5]. The technical accessibility (in terms of costs and simplicity) and the use of very mild conditions to carry out the reactions, associated to the global improvement of the syntheses in terms of conversion rates (yields), shortened reaction times and absence of side-products, contribute today to the huge popularity of the MW irradiation in organic chemistry [6]. In light of this indisputable success, MW has recently come to receive widespread global acceptance in academia and industry.
Figure 1.
Number of publications dealing with MW-assisted synthesis of heterocycles. This curve has been obtained using “SciFinder®”.
Heterocycle-containing molecules are extensively studied for their synthesis and their applications not only in medicinal chemistry, but also in optics, electronics and material sciences [7,8]. Therefore, in the last decade, considerable efforts have been performed in designing and carrying out innovative synthetic protocols in heterocyclic chemistry to optimize more eco-sustainable approaches [9].
These processes, also called green chemistry, have been applied not only in the field of medicinal chemistry, but also to natural products and polymer syntheses, material sciences, nanotechnology, essential oil extraction and biochemical processes [10,11,12,13,14]. In addition, the MW-assisted organic syntheses can also lead in short time to large libraries of small-sized heterocyclic compounds featuring high molecular diversity with potential bioactivities [15,16].
MW-assisted syntheses of heterocycles have been extensively reported in the last years, as outlined in Figure 1. Nevertheless, the specific purpose of the present review is to highlight substantive recent applications of MW-irradiation to improve the synthesis of heterocycles formed through cyclocondensation, cycloaddition and other modular reactions. To this end, we selected in this review a panel of new synthetic routes used to prepare highly functionalized heterocyclic compounds with potential bioactivities. We focused this work on the results published in the last decade (2006–2015), which is the most prolific period for this specific topic as illustrated in Figure 1.
In this review, the survey of the 6-membered heterocycles and their fused analogues’ syntheses is arranged according to the number of heteroatoms. Three, four and five-membered ring systems have been previously reviewed by our group and are not addressed in this issue [17]; the synthesis of seven-membered ring and macrocyclic systems will be reviewed by us shortly.
2. Synthesis of Heterocyclic Compounds
2.1. Six-Membered Heterocycles with One Heteroatom
2.1.1. Pyridines, Dihydropyridines, Piperidines
Pyridines form a class of compounds exhibiting potential activities against a wide range of biological targets [18,19,20]. Its derivatives have been designed and synthesized as therapeutic agents [21,22,23,24], as herbicides, fungicides, pesticides and as fluorescent dyes [25,26]. They have been commonly used as scaffolds for natural product synthesis (e.g., NAD nucleotides, pyridoxol (vitamin B6), and pyridine alkaloids) [27,28,29].
A wide range of practical syntheses of pyridine derivatives using MW-irradiation have been reported in the last decade [30,31,32,33,34]. In a recent work, Hu et al. [30] synthesized a series of novel polyfunctionalized pyrido[2,3-b]indoles. This unusual tricyclic scaffold is found in some natural compounds such as grossularine-1 (1) and -2 (2), mescengricin (3) and a GABA modulator 4 having antianxiolitic properties (Figure 2). The reported synthesis by Hu et al. involved three- or four-component domino reactions, under MW-irradiation, and in the presence of 3-aroylmethylidene-2-oxindoles 5, anilines 6, and acetylenedicarboxylates 7, with or without alcohols 8. Interestingly, the authors observed that a selective transesterification only occurs in the case of the four-component reaction (Scheme 1).
Figure 2.
Representative examples of bioactive pyridines.
Scheme 1.
MCR domino reactions leading to polyfunctionalized pyrido[2,3-b]indoles.
On the other hand, El-Borai et al. [31] described a new synthesis of pyrazolo[3,4-b]pyridine derivatives through a one-pot multi-component reaction. In this synthesis, 5-amino-1-phenyl-3-(pyridin-3-yl)-1H-pyrazole (11) was allowed to react with either 4-anisaldehyde (12) and p-substituted α-keto-nitriles 13 or with pyruvic acid (16) and some aromatic aldehydes 15 in acetic acid (Scheme 2). The reaction was carried out by conventional heating and under MW irradiation. The authors reported that the use of MW lead to shortened reaction times and higher yields compared to those obtained by conventional heating.
Scheme 2.
One-pot MCR reaction affording pyrazolo[3,4-b]pyridines.
These newly synthesized compounds were screened for their antibacterial activity against Gram-positive bacteria (Bacillus) and Gram-negative bacteria (Escherichia coli, Enterobacter cloaca and E. serratia), and also for their antifungal activity against Fusarium oxysporum and Penicillium expansum. Most of the compounds showed higher antibacterial potencies against the Gram-negative bacteria rather than the Gram-positive bacteria and fungi.
6-Amino-3,5-dicarbonitrile-2-thio-pyridines 21 are usually synthesized under base catalysis. The first example of such a reaction catalyzed by a Lewis acid was recently reported by Sridhar et al. [32]. This synthesis was carried out by means of an efficient one-pot multi-component reaction, which combines aliphatic, aryl, or heteroaryl aldehydes 18 with malononitrile (19) and thiophenol (20) in the presence of ZnCl2 either under MW-irradiation or conventional heating conditions. In both cases, the compounds were obtained in moderate to good yield; nevertheless, MW-irradiation allowed shortened reaction times (Scheme 3).
Scheme 3.
First example of acid-catalyzed synthesis of 6-Amino-3,5-dicarbonitrile-2-thio-pyridines.
Another new method allowing the preparation of highly functionalized pyridine derivatives was established by Linder et al. [33]. In this synthesis, 6H-1,2-oxazines 22 and various alkynes 23 reacted in the presence of a Lewis acid catalyst and under MW-irradiation leading to polyfunctionnalized pyridines 24 (Scheme 4).
Scheme 4.
Synthesis of functionalized pyridines through [4 + 2] cycloaddition.
This procedure leads to higher yields compared to conventional syntheses. The authors hypothesized that the addition of the Lewis acid (TiCl4 or BF3·OEt2) on the oxazine induced the formation of an 1,2-azapyrylium ion which remains stable even at high temperature. Moreover, the authors postulated that MW-irradiation is mandatory for completing its formation. Next, this azapyrylium ion reacts with substituted alkyne in a [4 + 2] cycloaddition to give a bridged intermediate. The last step of the reaction is a retro Diels-Alder reaction, leading to the expected pyridines.
A novel one-step synthesis of thieno[2,3-b]pyridine derivatives 27 catalyzed by ytterbium(III) triflate under solvent-free conditions was reported by Wieke et al. [34]. Thus, in the presence of a catalytic amount of Yb(OTf)3 and under MW irradiation with silica gel, several series of 2-amino-3-thiophene-carbonitriles 25 reacted easily with different ketones 26 to afford, in only 5 minutes, the corresponding amino-thieno[2,3-b]pyridines 27 in good to excellent yields. Importantly, the catalyst could be easily recovered and reused several times (Scheme 5).
Scheme 5.
Solvent-free synthesis of functionalyzed thieno[2,3-b]pyridines.
1,4-Dihydropyridine derivatives have a wide range of biological and pharmaceutical activities and are also involved in hydride transfer from the reduced nicotinamide adenine dinucleotide (NADH and NADPH) coenzymes, and analogues thereof, which mediate hydrogen transfer reactions in biological systems [35,36,37].
Among the 1,4-dihydropyridine derivatives, nifedipine (28), amlodipine (29) and nimodipine (30) [38,39] (Scheme 6) are potent calcium channel antagonists, used clinically for the treatment of cardiovascular diseases such as hypertension and angina pectoris [40]. In addition, others 1,4-dihydropyridines have been discovered as potent calcium channel agonists (such as BAY K 8644 (31)) [41,42].
Scheme 6.
Representative examples of bioactive 1,4-dihydropyridines
Surprisingly, very few examples of 1,4-dihydropyridines syntheses under MW-irradiation have been described. Kuraitheerthakumaran et al. [43] reported a simple and efficient three-component protocol starting from β-ketoester 32, aldehydes 33 and ammonium acetate (34). The reactions were performed under solvent-free conditions using lanthanum oxide as a catalyst. This new method provided the expected products 35 in excellent yields (90%–98%) after short reaction times (40–80 s) in comparison to the classical Hantzsch methods (Scheme 7) [44,45,46].
Scheme 7.
Solvent-free three-component reaction leading to 1,4-dihydropyridines.
Ladani et al. [47] synthesized new 1,4-dihydropyridine derivatives by a MW-assisted Hantzsch condensation via three-components reactions involving tetrazolo[1,5-a]quinoline-4-carbaldehydes 36, ethyl/methyl acetoacetate 37 and ammonium acetate (Scheme 8). The resulting series of 1,4-dihydropyridines 38 were screened for their antimicrobial activity. Some of these newly synthesized compounds showed better fungicidal activity, specifically against R. oryzae, than the standard drugs ampicillin and griseofulvin. Conversely, they displayed poor bactericidal activity.
Scheme 8.
MW-assited Hantzsch reaction affording 1,4-dihydropyridines.
Compounds containing a piperidine moiety represent a large class of natural products and their syntheses have become an interesting topic due to their relevance as bioactive components in pharmaceutical science in recent years (Figure 3) [48,49,50].
Figure 3.
Representative examples of bioactive piperidines.
An interesting example of piperidine synthesis has been described by Ravindran et al. [51]. This approach proceeded through the condensation of diphenacyl anilines 43 with different arylidene acetophenones 44 in the presence of a catalytic amount of sodium ethoxide. This one-pot tandem sequence involved a Michael addition-aldol reaction ring closure and afforded highly substituted piperidines 45 in good yields (Scheme 9).
Scheme 9.
Synthesis of pyridines through one-pot procedure.
2.1.2. Quinolines
Quinolines and their derivatives are important heterocyclic compounds because of their wide-ranging biological activities [52,53,54] and interesting photochemical properties [55]. For example, chloroquine (46) has been used for its antimalarial activity for more than 60 years; [56,57,58] bedaquiline (47), an inhibitor of the mycobacterial ATP synthase, has been approved to treat multi-drug resistant tuberculosis, [59] and cabozantinib (48), a multitargeted receptor tyrosine kinase inhibitor, showed effective anticancer activity and has been marketed for the treatment of medullary thyroid cancer (Figure 4) [60].
Figure 4.
Representative examples of bioactive quinolines.
Therefore, in the last decade, several new synthetic routes to quinoline derivatives under MW-irradiation have been reported [61,62,63,64,65,66]. Kulkarni et al. [61] described a solid acid-catalyzed synthesis of substituted quinolines via a MW-assisted three-component domino reaction between anilines, aldehydes and terminal aryl alkynes. The reaction was catalyzed by montmorillonite K-10, a strong and environmentally safe solid acid and performed under solvent-free conditions. The synthetic pathway involved the formation of an imine by condensation of para-substituted anilines 49 and aldehydes 50, followed by nucleophilic attack of phenylacetylene 51 on the formed imine, intramolecular cyclization and aromatization. The K-10 catalyst was recovered during five successive reaction cycles, remained very stable, showed no sign of deactivation and provided excellent yields. The combination of solid acid catalysis, multicomponent domino reaction approach and microwave irradiation provided the quinolones 52 in excellent selectivities and short reaction times (Scheme 10).
Scheme 10.
Solid acid-catalyzed synthesis of substituted quinolines.
Another green-chemistry related approach was recently reported by Kumar et al. [62] for the synthesis of novel quinolin-4-ylmethoxy-chromen-2/-4-ones 56, 58 under MW conditions. The protocol involves a one-pot reaction of aromatic amines 53 and aldehydes 54, and a propargylated-flavone (55) or -coumarin (57) using YbCl3 (2 mol%) as catalyst. The reactions were carried out at 100 °C, and led to the expected products with excellent yields after a short reaction time (4 min). The authors hypothesized a three step mechanism: domino-imine formation between the aldehyde and the amine, activation of the imine by the catalyst and subsequent addition to the acetylenyl derivative leading to a cyclization, and finally oxidation of the intermediate. According to this model, Yb3+ as catalyst enhances the electrophilicity of the imine, and therefore plays a key role either in imine formation and cyclization steps. Importantly, the reaction occurs in water, which does not deactivate nor decompose the catalyst (Scheme 11).
Scheme 11.
One-pot green synthesis of quinolin-4-ylmethoxy-chromen-2/-4-ones.
These highly functionalized quinolone derivatives have been examined for their in vitro antibacterial activity against Gram-positive (S. aureus and B. subtilis) and Gram-negative (E. coli and S. flexneri) bacteria, and also for their antifungal potential against Candida albicans. Their activities were compared to those of marketed drugs, i.e., ampicillin and cefadroxil (antiobiotic) and fluconazole (antifungal). Several compounds exhibited better or equally potent antibacterial potencies, expressed as in vitro minimum inhibitory concentration values (MIC), as the reference drugs against the four bacteria of the panel (MIC values in the 0.4–6 mg/mL range). The structure activity relationship study highlights the relevance of the heterocyclic moiety of the quinoline scaffold. Promising results have been also obtained in anti-fungal assay, since one compound exhibited a MIC value of 0.4 mg/mL, which is ten times better than fluconazole.
Very recently, Li et al. [63] have developed a new synthesis of tetracyclic indolo[2,3-b]quinolone derivatives 61 via domino heterocyclization of 3-aroylidene-2-oxindoles 59 with enaminones 60 in a sealed vessel under microwave irradiation. The reaction cascades consisted of an initial Michael addition, tautomerism, intramolecular cyclization, and dehydration leading to aromatization (Scheme 12). This methodology showed attractive properties, such as short reaction times, high yields and operational simplicity.
Scheme 12.
Domino reactions leading to indolo[2,3-b]quinolones.
Barluenga et al. [64] have developed the synthesis of tetrahydroquinoline derivatives 65, 66 by tandem palladium catalysis under MW irradiation. This method is based on the cross-coupling of tosylhydrazone derivatives 62, 63 with 1,2-dihalogenated aromatic benzenes 64 under Pd catalysis, followed by an intramolecular C-N bond-forming reaction (Scheme 13). The reaction took between 15 and 120 min, and provided a series of isoquinoline derivatives in low to good yields (30%–90%).
Scheme 13.
Tetrehydroquinolines synthesis through palladium catalyzed cross-coupling/intramolecular C-N bond forming tandem reaction.
Devi Bala et al. [65] have described a new Hantzsch condensation method for the regioselective synthesis of a library of tetrahydrobenzo[g]quinolines under microwave irradiation (Scheme 14). The products were obtained in excellent yields and short reaction times, starting from 2-hydroxy-1,4-naphthaquinone (67), aromatic aldehydes 68, methyl or ethyl acetoacetate 69 and ammonium acetate in ethanol as solvent. All reactions were performed in a sealed vial and irradiated in a focused microwave at 100 °C, or conducted by classical heating in an oil bath for 4 h. The mechanistic study of this reaction points out the total regioselectivity of the intramolecular condensation, which occurs during the last step. This is probably due to the higher electrophilicity of the carbonyl at the non-conjugated 3-position related to these of the carbonyl at the conjugated 1-position (Scheme 15).
Scheme 14.
Hantzsch condensation leading to tetrahydrobenzo[g]quinolones.
Scheme 15.
Mechanistic study of the tetrahydrobenzo[g]quinolone synthesis reported by Devi Bala et al. [65].
This synthetic pathway showed a significant acceleration of the reaction under MW (10 min) compared to the conventional heating (4 h), and leads to the expected tetrahydrobenzo[g]quinolones 70 in high yields.
The use of nickel nanoparticles as a heterogeneous catalyst for the synthesis of polyhydro-quinoline derivatives 74 via solvent-free Hantzsch condensation was described by Sapkal et al. [66]. In this work, a one-pot four component reaction involving aromatic aldehydes 71, dimedone (72), ethyl acetoacetate (73) and ammonium acetate led to polyhydroquinoline derivatives in excellent yields after short reaction times (Scheme 16). All reactions were performed using nanosized nickel particles and microwave activation. Moreover, the catalyst was recovered and reused for the same reaction during four consecutive runs without any apparent loss of activity.
Scheme 16.
Synthesis of polyhydro-quinolines through a solvent-free Hantzsch procedure.
2.1.3. Pyrans
A huge variety of bioactive compounds include a pyran ring, especially sugars, and several pyrene derivatives. They feature a broad-spectrum bioactivities such as anti-inflammatory, sedative, anti-tubercular, anti-protozoal, anti-bacterial and anti-fungal properties [67,68,69,70]. New strategies for the synthesis of pyrene derivatives have been developed in recent years [71,72]. Peng and Song [72] have used the ionic liquid [2-aemim][PF6] (1-methyl-3-(2-aminoethyl)imidazolium hexafluorophosphate) for the one-pot synthesis of 4H-pyran derivatives under focused MW-irradiation. A mixture of aromatic aldehydes 75 with malononitrile (76) and ethyl acetoacetate (77) was reacted at 100 °C using a combination of [2-aemim][PF6] (78) and water as solvent, and the microwave-mediated cyclization occurred rapidly (1–4 min). The expected 4H-pyran derivatives 79 have been isolated in excellent yields (Scheme 17). Moreover, the aqueous amino-functionalized ionic liquid has been recycled, and the same batch of solvent has been used more than seven times.
Scheme 17.
One-pot synthesis of 4H-pyrans using a mixture of water and ionic liquid as solvent.
A very interesting chemioselective synthesis under MW-activation of highly functionalized indolyl-pyran derivatives has been reported by Kamalraja et al. [72]. These synthetic pyrans are described as analogues of some important bioactive compounds such as nortopsentins A–C (80); [73,74] hamacanthin B (81); [75,76] meridianins A–E (82) (Figure 5) [77,78].
Figure 5.
Representative examples of bioactive indolyl-pyran natural prodcuts.
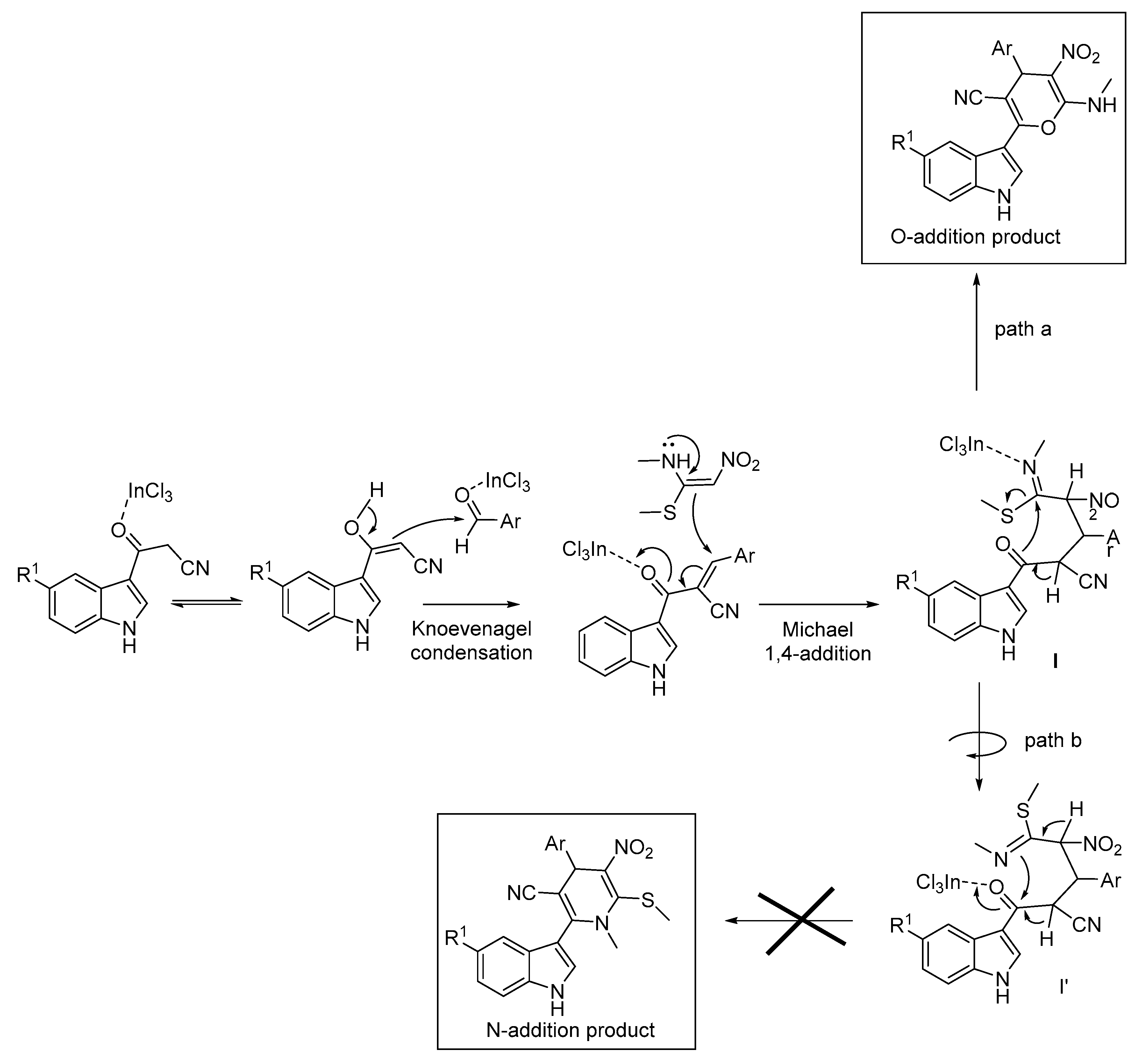
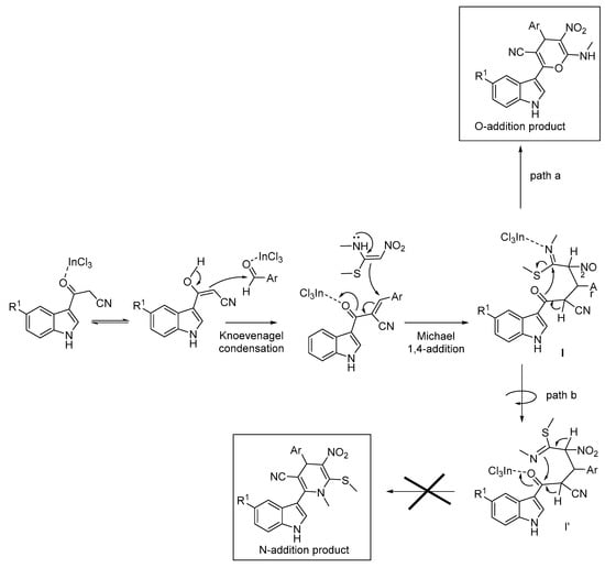
The procedure consists of a three-component solvent-free coupling of substituted 3-cyanoacetyl indoles 83, various aromatic aldehydes 84, and (E)-N-methyl-1-(methylthio)-2-nitroethenamine (85), in the presence of InCl3 as a catalyst. The syntheses were completed within 3–7 min and the pure indolylpyrans 86 were isolated in high yields (Scheme 18). According to the authors’ hypothesis, this reaction is divided in three steps (Scheme 19). Firstly, the 3-cyanoacetylindole is tautomerized, and condensed with the aromatic aldehyde through a Knoevenagel condensation. The resulting intermediate, a Michael acceptor, which undergoes the addition of (E)-N-methyl-1-(methylthio)-2-nitroethamine, affording the open-chain intermediate I. Lastly, this intermediate is cyclized through a O-addition according to path a. However, intermediate I is also in equilibrium with an alternative rotameric form (I’), whose N-cyclization, according to path b, could lead to dihydropyridine. The authors reported that they never observed the formation of this latter adduct, underlying the exceptional regio- and chemoselectivities of their original synthetic route.
Scheme 18.
Three-component solvent-free coupling reaction leading to indolyl-pyrans.
Scheme 19.
Mechanistic study of the indolyl-pyrans synthesis reported by Kamalraja et al. [72].
2.1.4. Benzopyrones: Coumarins and Chromones
Benzopyrones are an important class of oxygenated heterocycles, widely distributed in plants, including edible vegetables and fruits [79] and many of them have broad and interesting ranges of biological activities [80,81,82,83]. The two more important benzopyrone derivatives are the chromones and coumarins.
Chromone (chromen-4-one or 1,4-benzopyrone) derivatives, exemplified by compounds like 87–89 (Figure 6) are widespread in Nature, particularly in flowers as pigments, and have interesting biological activities such as antiviral, [84], antioxidant [85,86], anti-inflammatory [87,88], and anticancer properties [89]. Some of them have been also reported as kinase inhibitors [90,91]. Several chromone derivatives have been reported for their clinical use as therapeutic agents. For example, khellin (Figure 6), a natural product extracted from the seeds of the plant Ammi visnaga, was the first chromone-based therapy mainly used for centuries in the Mediterranean medicine as a diuretic, relaxant and also in the treatment of angina, asthma and vitiligo, a melanoma-driven pigmentation [92,93,94]. Daflon® (diosmin) is a venotropic drug used in the treatment of venous diseases and hemorrhoids, while Lomudal® (sodium cromoglycate) is clinically used for the treatment of asthma and allergies (Figure 6) [95,96].
Figure 6.
Representative examples of bioactive chromones.
Besides their pharmacological interest, several chromones, particularly 3-hydroxychromones, also exhibit interesting fluorescence properties. They have been used for several applications such as protein and nucleic acid labelling [97,98]. Recently, 2-aryl-3-hydroxychromones have been also studied as ratiometric dyes [99,100]. Indeed, 2-aryl-3-hydroxychromones when excited give rise to two emission bands induced by an Excited State Intramolecular Proton Transfer (ESIPT) process, Scheme 20). Upon excitation, the normal excited molecules (N *) may undergo the ESIPT reaction producing the tautomer (T *) excited form. Both states are highly emissive, the T* band being in general red-shifted comparing to the N * band, as reported for triazolyl- and thienyl-hydroxychromones (Scheme 20) [100,101,102].
Scheme 20.
Use of hydroxychromones as ratiometric dyes.
3,4-Dihydro-α-lapachone (90), and its isomer 3,4-dihydro-β-lapachone (91) are the most important members of the dihydrochromene derivatives coupled with ortho- and para-quinones. These natural products have been isolated from many varieties of plants, fungi, and insects [103]. Their antibiotic activity has been successfully used against the Gram-negative bacteria genus Brucella [104], and against multidrug-resistant strains of Staphylococcus aureus [105]. Dihydro-α-lapachone inhibits the mycelial growth of several fungi (such as B. cinerea, Colletotrichum acutatum Simmonds and M. grisea) and is active in vivo on rice and tomato plants [106,107] (Figure 7).
Figure 7.
Representative examples of bioactive dihydrochromenes.
The coumarin (1,2-benzopyrone) scaffold occurs in a wide variety of plant extracts including cassia, lavender, yellow sweet clover and woodruff [108]. It also found in fruits (e.g., bilberry, cloudberry), green tea and other foods such as chicory. Coumarin derivatives possess a remarkable range of biological properties including antioxidant [109,110], vasorelaxant [111], antiviral (92, 93) [112,113], anti-cancer (94, 95), and anti-inflammatory activities [114,115]. Lastly, suksdorfin (96), another natural compound isolated from the fruit of Lomatium suksdorfii, exhibits a significant anti-HIV activity as it inhibits the viral replication in the T-cell line with an EC50 in the 2.5 µM range [116] (Figure 8).
Figure 8.
Representative examples of bioactive coumarines.
Different synthetic methods have been developed for the preparation of the chromene derivatives. Shekhar et al. [117] have reported an efficient green synthesis of substituted 4H-1-benzopyrans (chromenes) and 1H-naphtho[2,1-b]pyrans (benzochromenes) via a one-pot three-component condensation of a phenol 99 or naphthalen-2-ol (102), an aromatic aldehyde 97, 101, and an active methylene-containing compound 98. The reaction was carried out in the presence of 5 Å molecular sieves as an inexpensive catalyst under solvent-free microwave irradiation conditions (Scheme 21). The formation of the benzopyran products involved an initial Knoevenagel reaction between the aldehyde and the activated methylene derivative to afford the arylidene intermediate. This step is followed by the alkylation of naphthalen-2-ol or phenol derivatives and the final cyclization. A library of new benzopyrans products 100, 103 was obtained in excellent yields (70%–95%) after short reaction times (4–15 min).
Scheme 21.
Chromenes and benzochromenes synthesis through one-prot three-component reactions.
In a similar approach, Wang et al. [118] have reported a new one-pot two-step tandem synthesis of highly functionalized benzo[a]pyrano[2,3-c]phenazine derivatives 109 under MW-irradiation. The authors used this method for the combinatorial synthesis of a benzo[a]-pyrano[2,3-c]phenazine libraries, which are analogues of biologically active compounds [119,120,121]. This reaction was achieved by the simple condensation of 2-hydroxynaphthalene-1,4-dione (104), diamines 105, aldehydes 107 and malonitrile (108). Expected compounds are obtained in short reaction times and in good to excellent yields (Scheme 22).
Scheme 22.
One-pot two-step tandem synthesis of benzo[a]pyrano[2,3-c]phenazines.
Patil et al. [122] have described a fast and efficient method to synthesize substituted chromenes 113 using MW-activation. The reaction was achieved in a single step by the cyclocondensation of 3-dimethylaminophenol (110), substituted naphthaldehydes 111 and malononitrile (112) with few drops of TEA and MW-irradiated at 150 °C for 5 min under pressure. In a preliminar assay, several chromenes showed high anti-proliferative activities (IC50 in the 7–640 nM range) against several human cancer cell lines (including melanoma, prostate and glioma). Moreover, these molecules do not exert cytotoxicity against normal astrocytes (Scheme 23).
Scheme 23.
One-step procedure leading to chromenes.
To synthesize a diverse set of 2-alkyl-substituted 4-chromanones 116, Fridén-Saxin et al. [123] have developed an efficient method, which consisted on a base-promoted condensation of 2-hydroxyacetophenones 114 and various aldehydes 115. These reactions were performed using diisopropylamine in ethanol at 170 °C and afforded the required products in moderate to high yields within one hour (Scheme 24).
Scheme 24.
Base-promoted synthesis of 2-alkyl-substituted 4-chromanones.
These substituted chromones have been evaluated as novel inhibitors of the NAD-dependent deacetylase sirtuin-2 (SIRT2), which deregulation is involved in age-related diseases (e.g., neurodegenerative disorders). In this study, 6,8-dibromo-2-pentyl-chroman-4-one has been highlighted as the best SIRT2 inhibitor, exhibiting an IC50 of 1.5 μM [124].
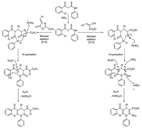
The synthesis of thiochromone derivatives has been studied by Wen et al. [125], who reported two new strategies to synthesize series of unusual fused tricyclic thiochromeno [2,3-b]pyridines 119 and 123 in good yields. These derivatives were obtained by domino reaction involving β-(2-chloroaroyl) thioacetanilides 117, 120, activated 4-arylidene-2-phenyloxazol-5(4H)-ones 118 or aromatic aldehydes 121 and ethyl 2-cyanoacetate (122) under MW-irradiation (Scheme 25). The authors hypothesized that this domino process occurs in three successive steps (Scheme 26). The first reaction consists in a Michael addition of the thioacetanilide anion to the oxazolone (or to the cyanophenylacrylate intermediate obtained through the Knovenagel condensation of various aromatic aldehydes with ethyl 2-cyanoacetate). The resulting intermediate undergoes an N-cyclization, and lastly the o-chlorine of the aryl group is substituted by the mercapto group through an intramolecular nucleophilic substitution (SNAr). Importantly, no side products other than HCl, which is trapped by the trimethylamine, are formed through this tandem [3+3] annulation procedure and the final compounds are easily purified by recrystallisation. In addition, the authors have demonstrated the efficiency of MW irradiation in detriment of classical heating by dramatically reducing the reaction time and improving the yield for these two domino cyclocondensation processes, leading to a huge variety of unusual and highly functionalized tricyclic derivatives.
Scheme 25.
Domino reactions leading to thiochromones.
Scheme 26.
Mechanistic study of the thiochromones synthesis reported by Wen et al. [125].
The domino Knoevenagel-hetero-Diels-Alder process is a very efficient tool for one-pot syntheses of polyheterocyclic compounds such as dihydropyrans. In this context, Jha et al. [126] reported an efficient two-step synthesis of indole-annulated dihydropyrano[3,4-c]chromene derivatives 127 via the Knoevenagel condensation of indolin-2-ones 124 with O-propargylated salicylaldehyde derivatives 125, followed by a microwave-assisted intramolecular hetero-Diels–Alder reaction of the resulting (Z)-3-(2-(prop-2-ynyloxy)benzyl-idene)indolin-2-ones 126 in the presence of CuI (20 mol %) (Scheme 27).
Scheme 27.
One-pot domino Knoevenagel-hetero-Diels-Alder reactions of dihydropyrano[3,4-c]chromenes.
In this latter step, the unreactive terminal alkyne is activated by copper through the formation of a π complex. Importantly, a conventional heating failed to afford the cyclized product, even after 72 h of heating in acetonitrile. However, during the hetero-Diels-Alder reaction, the authors observed the formation of a mixture of fully non-polar side-products, which characterizations were impossible. Importantly, other catalysts, such as mesoporous zirconium phosphate [127], nanocrystalline sulfated-zirconia [128] and trifluoroacetic acid, have also been used in this type of reaction and showed also high catalytic activity [129].
Hellal et al. [130] have reported an efficient approach for the synthesis of novel series of isocoumarins under strong acidic conditions using TFA as solvent. The process consisted of a Michael-type (6-endo-dig) cyclization of various heterocyclic esters by employing a combination of Brønsted and Lewis acid catalysts. O-alkynylaryl esters 128, 131, containing nitrogen atoms, were first obtained by means of a Sonogashira coupling reaction and were next cyclized in trifluoroacetic acid (a Brønsted acid) as solvent in the presence of a catalytic amount of Cu(OTf)2 (a Lewis acid) under MW-irradiation, leading to a variety of heterocyclic lactones 129, 130, 132 in excellent yields. For example, analogues of nicotinate bearing electron-donating groups on the phenyl moiety, led to the corresponding lactones in excellent yields (94%–98%), and the tetrahydropyridine derivative provided the expected product in 89% yield (Scheme 28).
Scheme 28.
Isocoumarins synthesis under a strong acidic media.
2.2. Six-Membered Heterocycles with Two Heteroatoms
2.2.1. Pyridazines
Pyridazine is a six-membered ring with two adjacent nitrogen atoms. It is mainly used in medicinal chemistry as building block. The pyridazine structure is found within a number of herbicides and several pharmaceutical drugs (Figure 9) [131,132,133,134,135,136]. Substituted pyridazines have attracted much attention in the fields of organic chemistry for mechanistic investigations [137,138,139,140,141,142,143], as well as in the field of natural products synthesis [140,143,144,145,146].
Figure 9.
Representative examples of bioactive pyridazines.
3,6-Di(pyridin-2-yl)pyridazines are an interesting class of compounds because of their metal-coordinating ability resulting in the self-assembly into [2 × 2] grid-like metal complexes with copper(I) or silver(I) ions. These compounds and other substituted pyridazines can be prepared by inverse-electron demand Diels-Alder reactions between acetylenes and 1,2,4,5-tetrazines. Hoogenboom et al. [147] reported that the cycloaddition of 3,6-di(pyridin-2-yl)-1,2,4,5-tetrazine (137) with acetylenes 138 could be accelerated from several days in refluxing toluene or DMF to several hours in dichloromethane at 150 °C under MW-activation (Scheme 29). Moreover, they described a novel mechanism for the synthesis of substituted 3,6-di(pyridin-2-yl)pyridazines in which ketones and aldehydes were used as dienophiles in the inverse-electron demand Diels-Alder reaction with tetrazine under MW activation leading to the desired compounds in moderate to good yields (Scheme 30).
Scheme 29.
Inverse-electron demand Diels-Alder reaction with alkynes affording mono-substituted 3,6-Di(pyridin-2-yl)pyridazines.
Scheme 30.
Inverse-electron demand Diels-Alder reaction with ketones or aldehydes affording di-substituted 3,6-Di(pyridin-2-yl)pyridazines.
Other routes for the synthesis of pyridazine derivatives were described by many scholars [148]. For example a MW-assisted and solvent-free synthesis of 3,4,6-triarylpyridazines 146 and their derivatives has been described by Mecadon et al. [149] starting from 1,2-dicarbonyls 143, active methylene carbonyl species 144, and hydrazine (145) using potassium hydroxide on alumina (KOH-alumina) as a mild, efficient, and recyclable catalyst (Scheme 31). This method led to the expected pyridazines with high yields (73%–89%) after only a few minutes.
Scheme 31.
Solvent-free synthesis of 3,4,6-triarylpyridazines using KOH-alumina as catalyst.
2.2.2. Pyrimidines, Quinazolines
Pyrimidine is a six-membered ring containing two nitrogen atoms at positions 1 and 3 of the heterocycle. Pyrimidine derivatives usually exhibit a huge variety of biological activities, and could be used in therapy as anti-protozoan agents (e.g., 147 exhibits in vitro an MIC value of 0.25 µg/mL against Plasmodium falciparum [150]), anti-cancer agents (e.g., 148 is a selective adenosine A1 receptor antagonist [151] and 149 is a phosphotidylinositol C kinase inhibitor) [152], or as antibacterial agents (e.g., 150 shows antitubercular activity against Mycobacterium tuberculosis at the concentration of 12.5 μg/mL) (Figure 10) [153].
Figure 10.
Representative examples of bioactive pyrimidines.
Novel synthetic strategies using MW-assisted solution-phase synthesis [154,155] and/or MW-assisted solvent-free synthesis [152,153,154,155] have been extensively used in the last decade for the synthesis of such derivatives. In this context, Jiang et al. [156] have described a new synthetic route for the preparation of highly functionalized thiopyrano-, pyrano[4,3-d]pyrimidine derivatives incorporating a benzylic core at position 8 of a fused pyran (or thiopyran) nucleus regiospecifically. This synthesis was achieved by using readily available aromatic aldehydes 151, tetrahydropyran-4-one (or tetrahydrothiopyran-4-one, 152), and aryl amidines 153 under MW irradiation through a one-pot four-component reaction (Scheme 32). The expected thiopyran- and pyrano[4,3-d]pyrimidines 154 have been obtained in good to excellent yields and short reaction times.
Scheme 32.
One-pot four-component reaction leading to thiopyran- and pyrano[4,3-d]pyrimidines.
Several therapeutic agents contain thiazolo[3,2-c]pyrimidine motives, as shown in Figure 11. They possess a range of biological activities including antituberculotic, anti-tumour, bronchodilators, antidepressants, analgesic, anti-human immunodeficiency virus (HIV)-1, anti-inflammatory, anti-microbial and anti-diuretic effects.
Figure 11.
Representative examples of bioactive thiazolo[3,2-c]pyrimidines.
This prompted Yildirim et al. [157] to develop a green procedure leading to new series of these derivatives through Mannich reactions under MW-irradiation. This method involved a multicomponent cyclization of 2-(nitromethylene)thiazolidine (160), various aliphatic or aromatic amines 161 and formaldehyde (162) in water (Scheme 33). The use of MW activation improved the product yields and significantly shortened the reaction times related to a conventional heating. This green cyclization protocol required neither organic solvent for the reaction or purification of final compounds [158,159,160].
Scheme 33.
Green syntheses of thiazolo[3,2-c]pyrimidines via a Manninch reaction.
An elegant protocol for the synthesis of substituted 3,4-dihydropyrimidin-2(1H)-ones 167 under MW-irradiation has been highlighted by Varma et al. [161]. This involves the condensation of an acetoacetate 164, substituted benzaldehydes 165 and urea or thiourea 166, using polystyrenesulfonic acid (PSSA). The reaction occurs efficiently in water without addition of organic solvent (Scheme 34). The use of polymer supported, low toxic and inexpensive PSSA as a catalyst has rendered this method eco-friendly, with a very simple isolation procedure by filtration of the precipitated products.
Scheme 34.
Eco-friendly synthesis of 3,4-dihydropyrimidin-2(1H)-ones using polystyrenesulfonic acid in aqueous media.
Hosamani et al. [162] recently compared MW-assisted and conventional syntheses of a new series of fluorinated coumarin-pyrimidine hybrids. The reactions proceeded through the cyclic-condensation of substituted chalconated coumarins 168 with 2-(4-fluorophenyl) acetamidine hydrochloride (169) in DMF, leading to the 3-(2-(4-fluorobenzyl)-4-(substituted phenyl) pyrimidin-6-yl)-2H-chromen-2-ones 170. Improved yields and shortened reaction times have been observed when using MW-irradiation compared to conventional heating (Scheme 35). These newly-synthesized compounds were evaluated in vitro for their cytotoxicity against human lung carcinoma cell line A-549 and against the aggressive human breast adenocarcinoma cell line MDA-MB-231, and compared to these of cisplatin, a reference compound used clinically in cancer treatment. In this assay, several molecules exhibited significant cytotoxicity against these two cancer cell lines as underlined by their IC50 values, which are below 10 μM. Moreover, the most active compounds exhibited a cytotoxicity against A-549 cell line close to these of cisplatin, IC50 = 1.89 μM and are more potent than this reference drug against the MDA-MB-231 cell line.
Scheme 35.
MW-assisted synthesis of fluorinated coumarin-pyrimidine hybrid molecules with promising cytotoxic activites against A-549 and MDA-MB-231 cancer cell lines.
MW-assisted solvent-free synthesis has been widely employed for the preparation of pyrimidine derivatives [163,164,165,166,167]. Thus, Burgula et al. [166] have reported a green procedure for the single-step preparation of series of uracil and cytosine nucleobases 174 and 175. Uracil analogues were synthesized by treatment of the respective β-ketoesters or β-aldehydoester 171 with urea, whereas the cytosine derivatives were obtained from benzoylacetonitriles 172 or N,N-diethylamide precursors (Scheme 36). For these syntheses, using BF3·Et2O as Lewis acid significantly enhanced the reaction yields as well as the conversion rates.
Scheme 36.
Green synthesis of uracil and cytosine analogues.
MW-assisted solvent-free conditions have been also used for a Biginelli multicomponent reaction as illustrated by the synthesis of a new series of 5-unsubstituted-3,4-dihydropyrimidin-2(1H)-ones 179 [167]. The procedure involved a three-component, one-pot condensation of an aromatic aldehyde 176, acetophenone (177) and urea (178), using ZnI2 as catalyst (Scheme 37). This procedure not only provides improved yields related to the conventional Biginelli conditions, but also expands the scope of this process to a larger variety of substrates.
Scheme 37.
Solvent-free Biginelli multicomponent reaction leading to dihydropyrimidinones.
The pyridopyrimidine motive is found in a large variety of bioactive substances including several marketed drugs. For example, this system is present in AZD8055 (180), a selective ATP-competitive PI3KAkt-mTOR signaling pathway inhibitor [168], piritrexim (181), a lipid-soluble inhibitor of dihydrofolate reductase (DHFR) that displays high potency for the treatment of metastatic urothelial cancer [169], and pyrido[2,3-d]pyrimidine 182 that is a hepatitis C virus inhibitor [170] (Figure 12). Other pyridopyrimidine derivatives have also been reported for their potential use as anticardiovascular [171], anti-inflammatory [172,173], antibacterial [174,175], and anti-Parkinson agents [176].
Figure 12.
Representative examples of bioactive pyridopyrimidines.
In this context, novel series of pyridopyrimidines were synthesized by Basiri et al. [177] through a one pot four-component MW-assisted reaction. This procedure, under solvent-free condition, involved 4-piperidone hydrochloride monohydrate (183), aromatic aldehydes 184 and urea or thiourea 185, in the presence of catalytic amount of solid sodium ethoxide (Scheme 38). Interestingly, the reactions were completed in 30 seconds only, affording the expected pyridopyrimidines 186 in excellent yields and with a high degree of purity. This reaction proceeds through a domino sequence involving Michael addition, condensation and tautomerization, as outlined in Scheme 39.
Scheme 38.
One-pot, solvent free, four-component procedure affording pyridopyrimidines.
Scheme 39.
Mechanistic study of the pyridopyrimidines synthesis reported by Basiri et al. [177].
The newly synthesized pyridopyrimidine derivatives were evaluated in vitro for their potencies as inhibitors of the acetyl-cholinesterase (AChE) and the butyrylcholinesterase (BChE). Among them, two compounds are 2.5 times (IC50 = 0.8 µM) and 1.5 times (IC50 = 1.37 µM) more potent in inhibiting AChE than galanthamine, which is the reference inhibitor for these enzymes. It is noteworthy that pyrimidinone derivatives are better AChE inhibitors than pyrimidinthiones. In addition, these newly synthesized pyridopyrimidines derivatives exhibited IC50 values ranging from 1.18 to 18.90 μM in BChE inhibition, and therefore displayed better activities than the reference drug. The structure-activity relationship study underlines that the unsubstituted and ortho-substituted derivatives are more potent BChE inhibitors than their meta-, para-, and disubstituted analogues.
Quinazoline derivatives are commonly used in medicinal chemistry as anti-malarial and anti-cancer agents [178,179,180,181,182,183]. Doxazosin mesylate (187, Cardura®), a drug used in the treatment of hypertension [184], gefitinib (188, Iressa®) and erlotinib (189, Tarceva®) are epidermal growth factor receptor inhibitors approved for the treatment of lung cancer and are relevant examples of marketed drugs encompassing such heterocyclic motive [185,186] (Figure 13).
Figure 13.
Representative examples of bioactive quinazolines.
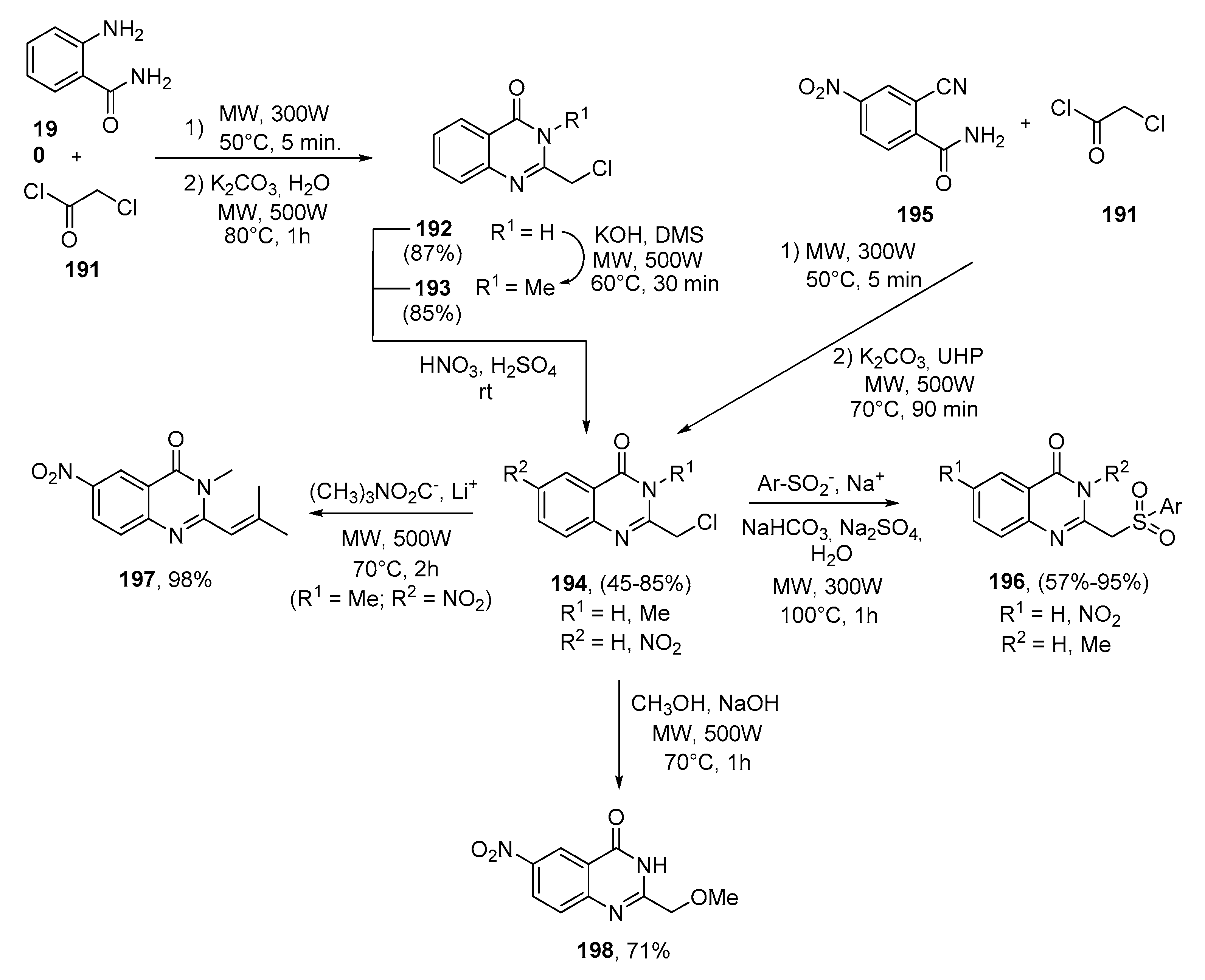
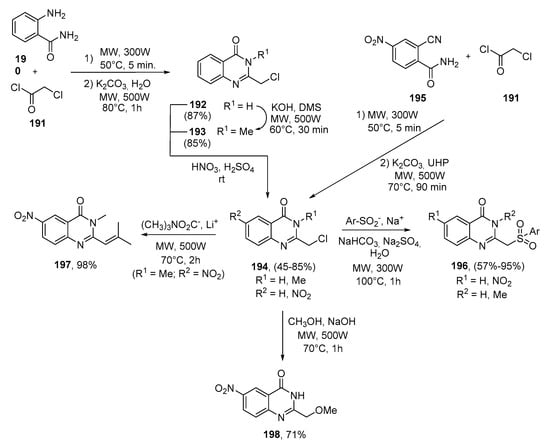
In the last decade, numerous syntheses of highly functionalized series of quinazoline derivatives have been described in the literature [187,188,189,190,191,192,193,194,195,196,197,198,199]. Kabri et al. [187] reported several studies devoted to the synthesis of 2-substituted quinazolines (Scheme 40). The key intermediates for this synthesis were easily obtained through green procedures. On the one hand, 2-aminobenzamide (190) reacted under MW-activation with chloroacetylchloride (191) to afford N-(2-aminophenyl)-2-chloroacetamide, an intermediate which could be cyclized into 2-chloromethylquinazoline-4(3H)-one (192) in basic aqueous media and under MW activation. The treatment of 192 under MW-activation by dimethylsulfate in a mixture of water and THF leads to the corresponding N-methylated derivative 193. The nitration of 192 or 193 using a mixture of HNO3 and H2SO4 leads regioselectively to 3-methyl-6-nitroquinazolin-4(3H)-one derivatives 194. On the other hand, to avoid the last nitration step, the authors described an alternative route consisting in the use of 2-methyl-5-nitrobenzonitrile (195) as starting material.
Scheme 40.
MW-assisted synthesis of 2-substituted quinazolines.
These key intermediates 194 have been functionalized at position 2 according to different green procedures. On the one hand, these derivatives have been submitted to S-alkylations using sodium salts of various benzenesulfinic acid as alkylating agents. These syntheses occurred in aqueous media via a SN2 mechanism to afford the quinazoline series 196; the MW-irradiation improved drastically conversion rates and reaction times related to conventional conditions. On the other hand, ethylenic derivatives 197 have been obtained by applying MW-activation to a radical SRN1 reaction. To this end, 194 derivatives have been treated by a series of nitropropane anions. The resulting C-alkylated intermediate is unstable, and nitrous acid is eliminated rapidly in basic medium, due to the acidity of the methylene protons, resulting in the formation of 197. Under microwave irradiation, this conversion occurs quantitatively, in 15 min. This reaction has been extended to a series of various nitronate anions. Otherwise, the substitution of the chlorine by a methoxy group using MeOH in a basic medium leads to compound 198 with 71% yield even under MW-activation.
The functionalized quinazolinones 196, 197 and 198 have been chlorinated using POCl3 through a MW-assisted chlorination procedure, affording the corresponding 199 derivatives in 70%–90% yield (Scheme 41). Then, these intermediates have been used as substrates in Suzuki-Miyaura cross-coupling reactions, to be functionalized in position 4 (compound 200). The use of MW-irradiation allowed significant improvements in terms of reaction times and conversion rates; unfortunately, these reactions were not compatible with aqueous media.
Scheme 41.
Quinazolinones functionalization through a MW-assisted Suzuki-Miyaura cross-coupling reaction.
In a search for new phosphodiesterases inhibitors with potential application in stroke treatment, Redondo et al. [195] have reported new syntheses of new 2-thiooxoquinazolinone derivatives (203, 206, Scheme 42). These compounds were easily obtained under MW-irradiation by cyclocondensation reactions involving functionalized anthranilic acid derivatives 201, 204 and isocyanates or isothiocyanates 202, 205.
Scheme 42.
MW-assisted synthesis of 2-thiooxoquinazolinone with potential application in stroke treatment.
These newly synthesized compounds exhibit an overall anti-inflammatory potency, and they exert a neuroprotective activity as demonstrated by the reduction of the nitrite production in a primary neural cells culture model. In addition, in a permanent middle cerebral artery occlusion stroke model, one of these molecules improved the behavioral outcome.
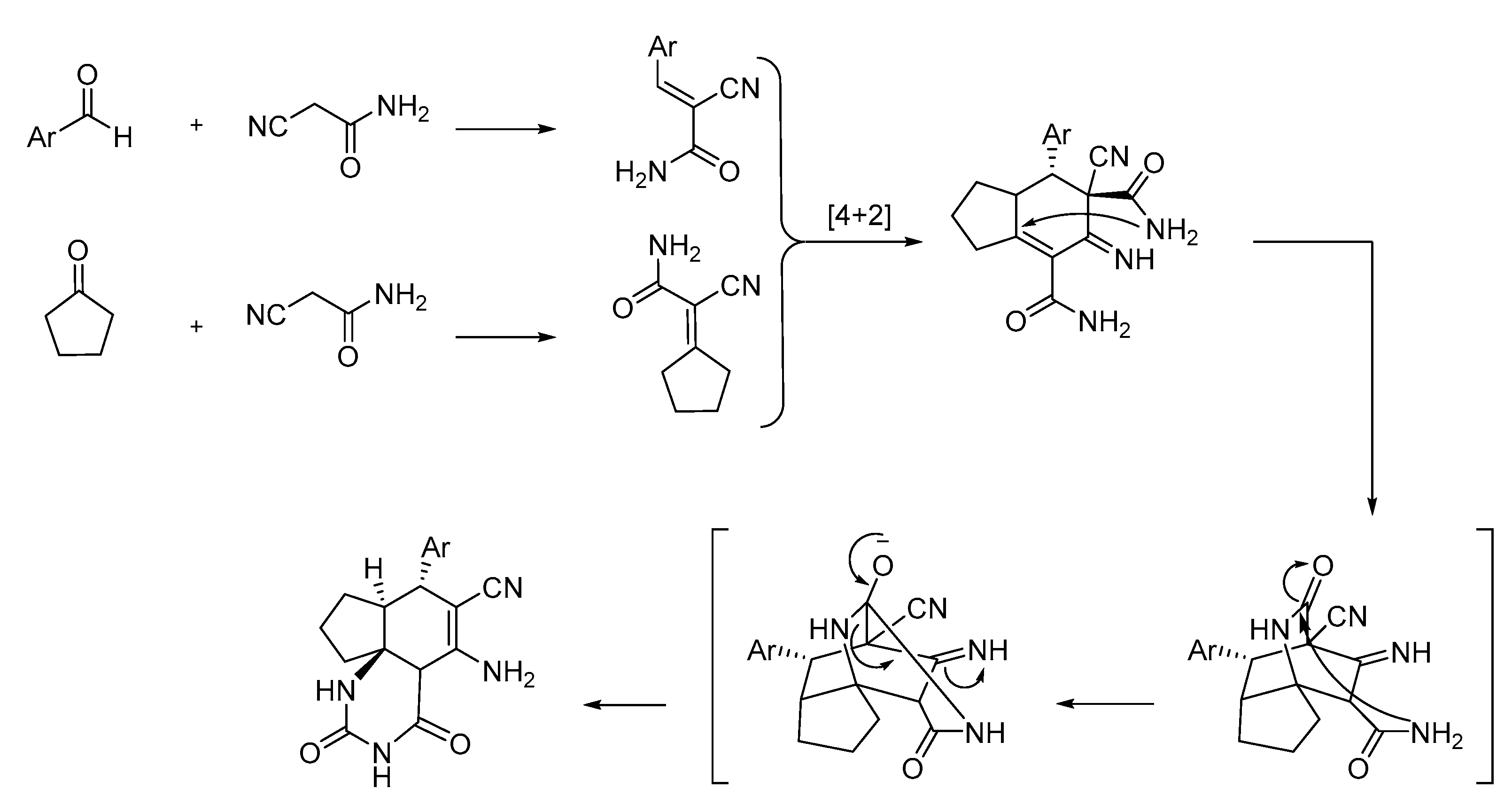
A new multi-functionalized quinazoline synthesis through a four-component domino reaction has been described by Jiang et al. [196]. A series of pyrido[3,4-i]quinazoline derivatives 210 were synthesized in good to excellent yields by MW-irradiation from a mixture of aromatic aldehydes 207, various cyclic carbonyl compounds 208 and cyanoacetamide (209) in ethylene glycol using K2CO3 as base (Scheme 43). The reactions were completed in only 10–24 min, and water was the major byproduct, making workup and purification very convenient.
Scheme 43.
Four-component domino reactions affording pyrido[3,4-i]quinazolines.
The authors hypothesized, as a key step for the domino reaction, the tandem formation of two Knoevenagel intermediates, and their subsequent [4 + 2] cycloaddition, as outlined in Scheme 44. This new MW-assisted process allowed exceptional chemo-, regio- and stereoselectivity of this synthesis, as illustrated by the excellent control of the stereochemistry of the four stereogenic centers of the final quinazoline. Importantly, the X-ray crystal analyses, combined with NMR studies, allowed the unambiguous determination of the absolute configuration of the final compounds.
Scheme 44.
Mechanistic study of the pyrido[3,4-i]quinazoline synthesis reported by Jiang et al. [196].
Zhang et al. [197] have reported the first example of iron-catalyzed C–N coupling reactions in aqueous media to afford N-heterocycles. This procedure has been applied for the green synthesis of quinazolinone derivatives 213 from substituted 2-halobenzoic acids 211 and amidines 212 via MW-activation. The cyclization reaction is catalyzed by iron chloride in the presence or not of a ligand such as L-proline in water (Scheme 45). The expected products were obtained with moderated to high yields, even with inactive substrates such as guanidines.
Scheme 45.
First example of iron-catalyzed C–N coupling in aqueous media leading to quinazolinones.
A simple and green one-pot synthesis of octahydroquinazolinone derivatives under solvent-free MW-assisted conditions has been described Niralwad et al. [198]. The reaction was performed by adding substituted benzaldehydes 214, dimedone (215) and urea (or thiourea) 216 in the presence of ammonium metavanadate as catalyst (Scheme 46). The procedure afforded the desired octahydro-quinazolinone derivatives 217 in high yields after a short reaction time.
Scheme 46.
MCR reaction leading to octahydroquinazolinones using ammonium metavanadate as catalyst.
A novel series of quinazolinone amino acid ester and quinazolinone amino acid hydrazides were prepared by Khattab et al. [199] under MW-irradiation and compared with conventional conditions. For example, the reaction of methyl (2-aminobenzamido) ester derivatives 218 with different aldehydes under conventional conditions (reflux for 8 h) or by using MW irradiation (10 min) afforded the substituted quinazolinone amino acid esters 219. In a second step, these intermediates reacted with hydrazine hydrate using conventional heating (8 h) or microwave irradiation (10 min) to yield the corresponding hydrazides 220 (Scheme 47). MW-irradiation afforded the expected hydrazides with shortened reaction times and improved yields compared to conventional heating.
Scheme 47.
MW-assisted synthesis of quinazolinones with a potential activity as MAO inhibitiors.
Moreover, these compounds have been studied for their activity on monoamine oxidases (MAO). Indeed, three compounds exhibited IC50 values in the 2–3.6 nM range against MAO-A which is close to the value obtained with the standard inhibitor, clorgyline (IC50 = 2.9 nM). Interestingly, these compounds do not exhibit oral and parental acute toxicity as demonstrated by in vivo experiments on male mice. In this assay, the animals tolerated up to 300 mg/Kg of the drug (oral administration) and up to 125 mg/Kg dose by parenteral administration.
2.2.3. Piperazines, Pyrazines and Oxazines
Many pharmacological drugs feature a piperazine motive. Among them, diketopiperazines and their higher-functionalized analogues, the epithiodiketopiperazines, are common motifs that can be found in several natural products [200,201,202,203]. Overall, 2,5-diketopiperazine derivatives emerged in the last decade as very attractive molecules in drug discovery [204,205,206,207,208,209,210]. Indeed, these derivatives usually exhibit various biological properties [211], including antitumor [212,213] antiviral [214], antifungal [215,216] antibacterial [217,218] or antifouling activities [219]. Interestingly, their role in the bitter taste of coffee, beer, cacao and chocolate has been highlighted [220]. In addition, the use of these diketopiperazines as organic catalysts for the hydrocyanation of imines has been previously reported (Figure 14) [221].
Figure 14.
Representative examples of bioactive piperazines.
A series of diketopiperazines has been synthesized by Jida et al. through the four component Ugi procedure in the presence of acetic acid, and under MW-irradiation at 180 °C [204]. Interestingly, the reduction of these molecules using LiAlH4 afforded the corresponding functionalized piperazines in good yields (Scheme 48).
Scheme 48.
MW-assisted Ugi 4-component reaction leading to piperazines.
Jainta et al. [205] have described a MW-assisted stereoselective one-pot synthesis of symmetrical and unsymmetrical 2,5-diketopiperazines (Scheme 49). The reaction was carried out via a facile condensation of unprotected amino acids 232 by a phosphite-promoted one-step coupling reaction. This method leads to the expected compounds 233 with good overall yields. This strategy can be used for large-scale synthesis and is compatible with several protecting groups. Importantly, neither racemization nor inversion of the stereochemistry has been reported when chiral starting materials were used. Lastly, the final work-up, which consist on a simple filtration step in order to remove the ammonium salts and ionic liquid is very easy and no further purifications are required. Therefore, the expected 2,5-diketopiperazines were obtained in quantitative yields.
Scheme 49.
One-pot stereoselective synthesis of 2,5-diketopiperazines.
A general and efficient method for the synthesis of spiro-2,5-diketopiperazines (e.g. 238, spiro-DKPs) has been described by Jam et al. [206]. In the first step of this preparation, spiro-amino acids were synthesized by combining in the one hand, stereoselective alkylation reactions for amino acid construction (Schoellkopf synthesis) and on the other hand, a Grubbs ring-closing metathesis catalyzed by ruthenium complexes. Next, the Boc-protected dipeptides containing spiro-amino acids were cyclized through MW activation in water to afford the corresponding spiro-DKPs in high yields and short reaction times (Scheme 50).
Scheme 50.
Synthetic route to spiro-fused 2,5-diketopiperazines via sequential Schoellkopf ring-closing metathesis reactions.
Gao et al. [207] have reported practical synthesis of a huge variety of sterically hindered N-arylpiperazine derivatives 241. The reaction proceeded by mixing 2,2′-(4-nitrophenylsulfonyl-azanediyl)bis(ethane-2,1-diyl)bis(4-nitrobenzenesulfonate) (239) and substituted anilines 240 under MW-irradiation (Scheme 51). This method can be used in parallel and also in combinatorial chemistry for the preparation of different libraries of highly functionalized piperazines, since the synthesis are completed within short times.
Scheme 51.
MW-assisted synthesis of sterically hindered N-arylpiperazines.
Pyrazine is a six membered hetero-aromatic ring usually found in the structure of numerous natural products and synthetic compounds, some of which are used in the food industry for their flavor properties [222,223,224]. Moreover, they are versatile synthetic intermediates [225], and many functionalized pyrazines possess pharmacological activities, such as antiviral [226,227] (242, 243), ATR kinase inhibitor [228] (244), antitumor [229], vascular endothelial growth factor inhibitory activity [230], or as epithelial sodium channel blockers [231] (Figure 15).
Figure 15.
Representative examples of bioactive pyrazines.
Original synthetic heterocycles, such as substituted dicyanopyrazines 247, 248, have been synthesized using a domestic MW oven [232]. The reaction proceeded by a cyclocondensation of diaminomalonitrile with ketones (e.g., acenaphthenequinone, 245) or an ester 246 in the presence of triethylamine in ethanol (Scheme 52), and the expected products were obtained with good to excellent yields.
Scheme 52.
MW-assisted synthesis of dicyanopyrazines.
Moreover, Alfonsi et al. [233] have reported the synthesis of pyrazines derivatives and other series of N-heterocycles 250, 251 by tandem imination/annulation of γ- and δ-ketoalkynes 249. The reaction was achieved by the intramolecular cyclization of 2-acetyl-1-propargylpyrroles in the presence of ammonia under MW irradiation leading mostly to the pyrazine derivatives (Scheme 53). The authors suggest that the reaction proceeds firstly by the formation of the imine, catalyzed by a Lewis acid (TiCl4). This intermediate undergoes intramolecular 6-exo-dig cyclization, by reacting with the triple bond activated by TiCl4 (Scheme 54). Then, the resulting 3,4-dihydropyrrolo[1,2-a]pyrazine derivatives 251 lead to the thermodynamically more stable pyrrolo[1,2-a]pyrazines 250.
Scheme 53.
Synthesis of pyrrolo[1, 2-a]pyrazines through a imination/annulation tandem reaction.
Scheme 54.
Mechanistic study of the pyrrolo[1, 2-a]pyrazines synthesis reported by Alfonsi et al. [233].
These results prompted the authors to use also 2-alkynylbenzaldehydes 252 as starting material for this annulation reaction. As anticipated, these compounds afforded the isoquinolines 253 under MW-irradiation and in the presence of ammonia, but no catalyst was required in this case due to the higher reactivity of the aldehyde (Scheme 55). This annulation proceeded regiospecificaly, through a 6-endo-dig mechanism. The authors hypothesized a mechanism involving the formation of an imine, subsequent cyclization and then proton shift. They reported a total regioselectivity for the cyclization, since they never observed the formation of any 5-exo-dig cyclization adduct. They demonstrated that this selectivity could be attributed to a higher thermodynamic stability of the zwitterionic intermediate resulting from the 6-endo-dig mechanism (Scheme 56).
Scheme 55.
Synthesis of isoquinolines through a imination/annulation tandem reaction.
Scheme 56.
Mechanistic study of the isoquinolines synthesis reported by Alfonsi et al. [233]
Derivatives of 2(1H)-pyrazinones are considered as important scaffolds for drug design due to their widespread biological activities [234,235,236,237,238,239]. In this context, Gising et al. [237] have reported a rapid and versatile one-pot MW-assisted two steps synthesis of N-1 and C-6 functionalized 3,5-dichloro-2(1H)-pyrazinones 258. In the first step, the reaction of a primary amine 254, an aldehyde 255 and trimethylsilyl cyanide (256) in 1,2-dimethoxyethane under MW-irradiation leads to substituted α-aminonitriles 257. In the second step, the expected pyrazinones are obtained through the cyclocondensation of the α-aminonitrile with oxalyl chloride in the presence of gaseous HCl in 1,2-dimethoxyethane; this second step occurs also under MW-irradiation (Scheme 57).
Scheme 57.
Two-step synthesis of 2(1H)-pyrazinones.
An original synthetic route to pyrazolo[3,4-b]pyrazine derivatives 261 has been described by Quiroga et al. [239], which proceeds through a MW-induced cyclocondensation of ortho-aminonitrosopyrazoles 259 and cyclic β-diketones 260 in DMF through an extension of the Ehrlich-Sachs reaction (Scheme 58). According to the authors’ hypothesis, the reaction is initiated by chemo-selective addition of the enol tautomer of the diketone to the nitroso group of the pyrazole, resulting in formation of an imine. This intermediate undergoes an intramolecular N-cyclization involving the amino group (NH2) of the pyrazole and the remaining carbonyl group (Scheme 59). The compounds were isolated in moderate to good yields, and easily purified via recrystallizations. The use of classical heating instead of MW required longer reaction times and led to lower conversion rates.
Scheme 58.
MW-assisted Ehrlich-Sachs type reaction leading to pyrazolo[3,4-b]pyrazines.
Scheme 59.
Mechanistic study of the pyrazolo[3,4-b]pyrazines synthesis reported by Quiroga et al. [239].
Oxazine derivatives are also considered as important pharmacophores in drug discovery (Figure 16). Indeed, a large number of natural and synthetic bioactive compounds contain a 2H-1,4-benzoxazine scaffold [240]. For instance, the enediyne antitumor antibiotic, C-1027 [241] consists of a 2-methylene-3,4-dihydro-3-oxo-2H-1,4-benzoxazine moiety in the chromophore subunit. Many derivatives of 2H-1,4-benzoxazine have been reported as plant resistance factors against insects and also microbial diseases [242], serotonin-3 (5-HT3) receptor antagonists [243,244,245], potassium channel modulators [246], etc. The 3,4-dihydro-3-oxo-2H-1,4-benzoxazine scaffold is also considered a bioisoster for 2(3H)-benzoxazolone [247] and is used as a privileged scaffold in drug design. Benzo[1,4]oxazin-3-one derivatives also exhibit multiple biological activities, such as anti-inflammatory [248], antiulcer [249], antipyretic [250], antihypertensive [251], and antifungal properties [252]. Some of them also act as 5-HT ligands [253], DP receptor antagonists [254] and integrin antagonists [255]. Therefore, the benzo[1,4]-oxazin-3-one scaffold can be pointed out as a very “privileged pharmacophore” [256,257,258].
Figure 16.
A typical example of bioactive oxazine.
A two-component solvent-free procedure for the synthesis of 2-oxazines 265 under thermal and MW conditions has been described by Ge et al. [259]. Thus, mono- and bisoxazines were selectively synthesized in good to excellent yields and with shortened reaction times (Scheme 60). The authors have improved the reaction by using a combination of sulfur along with Co(NO3)2 as the catalytic system. In addition, the catalyst can be reused at least seven times without significant loss of activity.
Scheme 60.
Two-component solvent-free synthesis of 2-oxazines.
De Moliner et al. [260] reported the synthesis of novel series of triazolo-fused oxazinones 270, in a two step procedure. The synthesis occurs through a MW-assisted Passerini cycloaddition process. In this protocol, the authors have obtained the three-component adducts in moderate to good yields, by reacting α-azido aldehydes, generated in situ by oxidation of corresponding α-azido alcohols with iodobenzoïc acid (IBX, 266) with isocyanides 267 and various propiolic acids 268 (Scheme 61). The triazolo-fused dihydro-oxazinones have been obtained as an equimolar mixture of diastereoisomers through a straightforward azide-alkyne dipolar cycloaddition.
Scheme 61.
Two-step synthesis of triazolo-fused oxazinones via a Passerini cycloaddition process.
Xing et al. [261] have reported a MW-assisted one-pot synthesis of highly functionalized 3,4-dihydro-3-oxo-2H-1,4-benzoxazines 275. The reaction proceeded via an Ugi four-component reaction and intramolecular O-alkylation sequence of 2-aminophenols 271, aromatic aldehydes 273, α-bromoalkanoic acids 272 and isocyanides 274, using K2CO3 in methanol (Scheme 62). Further post-modification has been showcased by the MW-assisted CuI catalyzed intramolecular amidation within 3,4-dihydro-3-oxo-2H-1,4-benzoxazines 276 affording an original heterocyclic scaffold 277 (Scheme 63).
Scheme 62.
One-pot, Ugi four-component reaction affording 3,4-dihydro-3-oxo-2H-1,4-benzoxazines.
Scheme 63.
Functionalization of 3,4-dihydro-3-oxo-2H-1,4-benzoxazines through a MW-assisted CuI catalyzed intramolecular amidation.
2.3. Six-Membered Heterocycles with Three or Four Nitrogen: Triazines and Tetrazines
The π-deficient triazines [262] and tetrazines [262,263] are relevant building blocks for more complex molecules as such heterocycles can be used as reactants in LUMO diene-controlled [4+2] inverse electron demand Diels–Alder cycloaddition processes, which efficiently lead to substituted dihydropyridazines, pyridazines, pyrimidines, or pyridine derivatives [264]. The pioneering work dealing with this so-called Carboni–Lindsey reaction has been reviewed by Boger [265]. Triazine and tetrazine derivatives are commonly used as commercial dyes [266], as insecticides [267] and more recently as pharmaceutical agents (Figure 17) [268,269]. Many examples of Diels–Alder reactions leading to new series of triazines and tetrazines have been described in the last decade [262], and among them several proceeded through a MW-assisted procedure. In marked contrast to the triazine derivatives, which have been extensively reviewed in recent years, MW-assisted syntheses of tetrazines remain more underreported, and this review has allowed us to highlight some representative preparations of this system.
Figure 17.
Representative examples of bioactive triazines and tetrazines.
A practical MW-assisted method for the direct transformation of aldehydes 281 and primary alcohols 282 into triazines in aqueous media was described by Shie et al. [270] The alcohols and aldehydes reacted with iodine in aqueous ammonia to provide the corresponding nitrile intermediates 283, which readily underwent [2+3] cycloadditions with dicyandiamide (284) under MW-irradiation at approximately 80 °C for 15–30 min to give the corresponding 4-aryl-2,6-diamino-1,3,5 triazines 285 in 69%–83% yields (Scheme 64). This method circumvents the problem of prior preparation of nitrile compounds from halides and toxic cyanides. The one-pot tandem reactions were conducted in aqueous media, and the products were obtained simply by filtration. In comparison with the previously reported heating methods, microwave irradiation has an advantage in shortening reaction times and increasing the transformation yields.
Scheme 64.
One-pot tandem reaction in aqueous media leading to 1,3,5-triazines.
Recently, Li et al. [271] have developed an efficient method for the synthesis of a series of N-arylamino substituted 1,3,5-triazines, which consist on a base-promoted domino [3+2+1] heterocyclization between aromatic isothiocyanates 286 and aryl amidines 287 in the presence of NaOH under MW-activation. The synthesis showed attractive properties such as concise one-pot conditions, short reaction times (15–24 min), and easy purification of the crude material. In addition, final 1,3,5-triazine derivatives 288 have been obtained with good yields (60%–78%) (Scheme 65).
Scheme 65.
Base-promoted one-pot domino [3+2+1] heterocyclizations to 1,3,5-triazines.
Moreover, Moody and co-workers [272,273] have reported the synthesis of 1,2,4-triazines using a new two-step sequence for the conversion of hydrazides 289 to triazines 291. The key steps are N–H insertion by a copper carbene intermediate derived from α-diazo-β-ketoesters 290 into the hydrazide, followed by reaction with ammonium acetate to give 1,2,4-triazines. The authors showed that the use of copper(II) combined with MW-irradiation accelerate the reaction. A diverse set of trifluoromethyl-1,2,4-triazines 291 have been obtained in moderate to good yields (28%–91%) (Scheme 66).
Scheme 66.
Two-step synthesis of 1,2,4-triazines.
Using another process, Bigot et al. [274] have prepared new 1,2,4-triazine derivatives 293 in excellent yields (62%–92%) by the reaction of oxazolines 292 with excess of hydrazine hydrochloride in methanol under MW-irradiation for 1 h at 90 °C (Scheme 67).
Scheme 67.
MW-synthesis of 1,2,4-triazines by reaction of oxazolines with hydrazine hydrochloride.
On account of the simultaneous presence of four nitrogen atoms in the ring, tetrazines are even more reactive towards nucleophilic agents than triazines, including inverse electron demand in Diels–Alder reactions. Therefore, no data on Diels–Alder reactions of 1,2,3,4-tetrazines and 1,2,3,5-tetrazines have been published, and the term tetrazines will henceforth refer to 1,2,4,5-tetrazines (s-tetrazines).
Sagot et al. [275] have reported the efficient synthesis of poly(2,6-pyridinediyl-dihydro-s-tetrazinylene) (295) from pyridine-2,6-diamidrazone (294) under MW-activation. The reaction conditions were optimized, and the best result was obtained by the application of an irradiation power of 40 W at 150 °C for 20 min to give the polymer in a 47% yield (Scheme 68).
Scheme 68.
Synthesis of poly(2,6-pyridinediyl-dihydro-s-tetrazinylene) under MW-irradiation.
Kanagarajan et al. [276] have reported an efficient one-pot solvent-free condensation of urea or thiourea (296), diverse aromatic aldehydes 298, and ammonium acetate (297) in the presence of repeatedly usable heterogeneous catalyst NaHSO4–SiO2 under MW-irradiation. The reactions proceeded faster (120–180 s at 75–78 °C) and with better yields (68%–80%) of 6-aryl-1,2,4,5-tetrazinane-3-thiones(ones) 299 than under conventional heating at 75 °C for 30–70 min (Scheme 69).
Scheme 69.
One-pot solvent-free synthesis of tetrazines.
3. Conclusions
The examples described in this review illustrate that MW-assisted synthesis lead to various heterocyclic systems on an easy and rapid way. We reviewed herein the synthesis of six-membered rings (one to four heteroatoms) and their fused analogues that feature interesting pharmaceutical activities. Many of the early reactions were performed in a dedicated monomode MW-reactor and in simple or “adapted” domestic instruments and some of them also respect the basic rules of green chemistry.
This review is not intended to be exhaustive in its content, but rather to emphasize significant examples where MW irradiation has been either facilitating the synthesis or has afforded a clear methodological advantage over classical and conventional thermal methods. The description of the combination of heterocyclic chemistry and MW irradiation has also shown that performing MW-assisted reactions should be considered with particular attention. A few of these considerations can be applied generally for conducting MW-assisted reactions and include the following: (a) the ratio between the quantity of catalyst or the material and the support or the solvent is very important; (b) for solid starting materials, the use of solid supports can offer operational, economic and environmental benefits over conventional methods. Other aspects can comprise unanswered questions relating to the existence of “intrinsic MW effects,” and the scalability, and overall energy efficiency of this technique (Figure 18).
Figure 18.
MW-assisted green and efficient processes for the development of new bioactives molecules.
This technology is still under-used and has the potential to have a large impact on the fields of catalysis, screening, combinatorial chemistry, medicinal chemistry and drug development.
Acknowledgments
This work was funded by grants from the CNRST-Morocco, CNRS-France, the University Mohammed V, Rabat and University of Nice Sophia antipolis. Also, it was supported by Egide PHC Toubkal (30330ZF, MA/14/304). The authors are indebted to Prof. Philippe Belmont for its invitation to present this work in the Molecule Heterocycle Topical Issue.
Author Contributions
M.D., A.S., H.M., L.D., R.B., K.B. participated in the writing of the review article. All authors read and approved the final manuscript.
Conflicts of Interest
The authors declare no conflict of interest.
Abbreviations
The following abbreviations are used in this manuscript:
| ATP | Adenosine TriPhosphate |
| ATR | Ataxia Telangiectasia and Rad3-related protein |
| BINAP | 2,2′-Bis(diphenylphosphino)-1,1′-binaphthyl |
| DBU | 1,8-Diazabicyclo[5.4.0]undec-7-ene |
| DCB | 1,4-Dichlorobenzene |
| DIPA | Diisopropylamine |
| DMS | DiMethyl Sulfate |
| GABA | Gamma-AminoButyric Acid |
| HATU | 1-[Bis(dimethylamino)methylene]-1H-1,2,3-triazolo[4,5-b]pyridinium-3-oxid hexafluorophosphate |
| HBTU | 2-(1H-benzotriazol-1-yl)-1,1,3,3-tetramethyluronium hexafluorophosphate |
| HOBt | Hydroxybenzotriazole |
| HPLC | High-Performance Liquid Cchromatography |
| IC50 | Half maximal inhibitory concentration |
| LUMOdiene | Lowest Unoccupied Molecular Orbital in the dienophile |
| MIC | Minimum Inhibitory Concentration |
| MW | Microwave |
| NAD | Nicotinamide Adenine Dinucleotide |
| NADPH | Nicotinamide Adenine Dinucleotide Phosphate Hydrogen |
| Nos | The nosyl group |
| Pbf | 2,2,4,6,7-Pentamethyldihydrobenzofuran-5-sulfonyl |
| PEG | Polyethylene glycol |
| PPE | PolyPhosphoric Ester |
| SES | The 2-(trimethylsilyl)ethanesulfonyl group |
| SNAr | Nucleophilic aromatic substitution |
| TBAB | Tetrabutylammonium bromide |
| TBDMS | Tert-butyldimethylsilyl |
| TEA | Triethylamine |
| TFA | Trifluoroacetic acid |
| U-4CR | Ugi four-Component Reaction |
| UHP | Urea Hydrogen Peroxide |
References
- Bougrin, K.; Loupy, A.; Soufiaoui, M. Microwave-assisted solvent free heterocyclic synthesis. J. Photochem. Photobiol. C Photochem. Rev. 2005, 6, 139–167. [Google Scholar] [CrossRef]
- Kappe, C.O.; Dallinger, D. Controlled microwave heating in modern organic synthesis: Highlights from the 2004–2008 literature. Mol. Divers. 2009, 13, 71–193. [Google Scholar] [CrossRef] [PubMed]
- Caddick, S.; Fitzmaurice, R. Microwave enhanced synthesis. Tetrahedron 2009, 65, 3325–3355. [Google Scholar] [CrossRef]
- Appukkuttan, P.; Mehta, V.P.; van der Eycken, E. Microwave-assisted cycloaddition reactions. Chem. Soc. Rev. 2010, 39, 1467–1477. [Google Scholar] [CrossRef] [PubMed]
- Marzag, H.; Saber, A.; Bougrin, K.; Benhida, R. Microwave-assisted cycloaddition reactions in carbo- and heterocyclic chemistry. Curr. Org. Chem. 2014, 18, 2139–2180. [Google Scholar]
- De la Hoz, A.; Loupy, A. Microwaves in Organic Synthesis, 3rd ed.; Wiley-VCH: Weinheim, Germany, 2012. [Google Scholar]
- Eicher, T.; Hauptmann, S.; Speicher, A. The Chemistry of Heterocycles: Structures, Reactions, Synthesis, and Applications, 3rd ed.; Wiley-VCH: Weinheim, Germany, 2013. [Google Scholar]
- Chauhan, M.; Kumar, R. A comprehensive review on bioactive fused heterocycles as purine-utilizing enzymes inhibitors. Med. Chem. Res. 2015, 24, 2259–2282. [Google Scholar] [CrossRef]
- Dallinger, D.; Kappe, C.O. Microwave-assisted synthesis in water as solvent. Chem. Rev. 2007, 107, 2563–2591. [Google Scholar] [CrossRef] [PubMed]
- Pedersen, S.L.; Pernille Tofteng, A.; Malika, L.; Jensen, K.J. Microwave heating in solid-phase peptide synthesis. Chem. Soc. Rev. 2012, 41, 1826–1844. [Google Scholar] [CrossRef] [PubMed]
- Chauveau, E.; Marestin, C.; Mercier, R. Microwave-assisted synthesis of tetrasubstituted aryl imidazole based polymers via cascade polycondensation process. Polymer 2014, 55, 6435–6438. [Google Scholar] [CrossRef]
- Pineiro, M. Microwave-assisted synthesis and reactivity of porphyrins. Curr. Org. Synth. 2014, 11, 89–109. [Google Scholar] [CrossRef]
- Zhu, Y.J.; Chen, F. Microwave-assisted preparation of inorganic nanostructures in liquid phase. Chem. Rev. 2014, 114, 6462–6555. [Google Scholar] [CrossRef] [PubMed]
- Chemat, F.; Cravotto, G. (Eds.) Microwave-Assisted Extraction for Bioactive Compounds; Springer: New York, NY, USA, 2013.
- Polshettiwar, V.; Varma, R.S. Greener and expeditious synthesis of bioactive heterocycles using microwave irradiation. Pure Appl. Chem. 2008, 80, 777–790. [Google Scholar] [CrossRef]
- Kumar, R.; Ermolat’ev, D.S.; van der Eycken, E.V. Synthesis of differentially substituted 2-aminoimidazolidines via a microwave-assisted tandem Staudinger/aza-Wittig cyclization. J. Org. Chem. 2013, 78, 5737–5743. [Google Scholar] [CrossRef] [PubMed]
- Driowya, M.; Bougrin, K.; Benhida, R. Recent advances in microwave-assisted heterocyclic chemistry. Synthesis of three, four and five-membred heterocycles. In Targets in Heterocyclic Systems-Chemistry and Properties; Attanasi, O.A., Spinelli, D., Eds.; Royal Society of Chemistry: Cambridge, UK, 2011; Volume 15, pp. 327–371. [Google Scholar]
- Nagender, P.; Reddy, G.M.; Kumar, R.N.; Poornachandra, Y.; Kumar, C.G.; Narsaiah, B. Synthesis, cytotoxicity, antimicrobial and anti-biofilm activities of novel pyrazolo[3,4-b]pyridine and pyrimidine functionalized 1,2,3-triazole derivatives. Bioorg. Med. Chem. Lett. 2014, 24, 2905–2908. [Google Scholar] [CrossRef] [PubMed]
- Guo, K.; Mutter, R.; Heal, W.; Reddy, T.R.K.; Cope, H.; Pratt, S.; Thompson, M.J.; Chen, B.N. Synthesis and evaluation of a focused library of pyridine dicarbonitriles against prion disease. Eur. J. Med. Chem. 2008, 43, 93–106. [Google Scholar] [CrossRef] [PubMed]
- Altaf, A.A.; Shahzad, A.; Gul, Z.; Rasool, N.; Badshah, A.; Lal, B.; Khan, E. A review on the medicinal importance of pyridine derivatives. J. Drug Des. Med. Chem. 2015, 1, 1–11. [Google Scholar]
- Lohray, B.B.; Lohray, V.B.; Srivastava, B.K. Novel tetrahydro-thieno pyridyl oxazolidinone: An antibacterial agent. Bioorg. Med. Chem. 2004, 17, 4557–4564. [Google Scholar] [CrossRef] [PubMed]
- Thompson, A.M.; Bridges, A.J.; Fry, D.W. Tyrosine kinase inhibitors. 7. 7-amino-4-(phenylamino)- and 7-amino-4[(phenylmethyl)amino]pyrido[4,3-d]pyrimidines: A new class of inhibitors of the tyrosine kinase activity of the epidermal growth factor receptor. J. Med. Chem. 1995, 38, 3780–3788. [Google Scholar] [CrossRef] [PubMed]
- Rewcastle, G.W.; Palmer, B.D.; Thompson, A.M. Tyrosine kinase inhibitors. 9. Synthesis and evaluation of fused tricyclic quinazoline analogues as ATP site inhibitors of the tyrosine kinase activity of the epidermal growth factor receptor. J. Med. Chem. 1996, 39, 1823–1835. [Google Scholar] [CrossRef] [PubMed]
- Smaill, J.B.; Palmer, B.D.; Rewcastle, G.W. Tyrosine kinase inhibitors. 15. 4-(phenylamino)quinazoline and 4-(phenylamino)pyrido[d]pyrimidine acrylamides as irreversible inhibitors of the atp binding site of the epidermal growth factor receptor. J. Med. Chem. 1999, 42, 1803–1815. [Google Scholar] [CrossRef] [PubMed]
- Merja, B.C.; Joshi, A.M.; Parikh, K.A. Synthesis and biological evaluation of pyrido[1,2-a]pyrimidine and isoxazoline derivatives. Indian J. Chem. Sect. B 2004, 4, 909–912. [Google Scholar] [CrossRef]
- Chaki, H.; Yamabe, H.; Sugano, M.; Morita, S.; Bessho, T.; Tabata, R.; Saito, K.I.; Egawa, M.; Tobe, A.; Morinaka, Y. Design and syntheses of 4-acylaminopyridine derivatives: Novel high affinity choline uptake enhancers II. Bioorg. Med. Chem. Lett. 1995, 5, 1495–1500. [Google Scholar] [CrossRef]
- Balasubramanian, M.; Keay, J.G. Comprehensive Heterocyclic Chemistry II; Katritzky, A.R., Rees, C.W., Scriven, E.V.F., Eds.; Pergamon Press: London, UK, 1996; Volume 5, pp. 245–300. [Google Scholar]
- Wagenaar, M.M.; Gibson, D.M.; Clardy, J. Akanthomycin, a new antibiotic pyridone from the entomopathogenic fungus akanthomyces gracilis. Org. Lett. 2002, 4, 671–673. [Google Scholar] [CrossRef] [PubMed]
- Dolle, R.E.; Nicolaou, K.C. Total synthesis of elfamycins: Aurodox and efrotomycin. 1. Strategy and construction of key intermediates. J. Am. Chem. Soc. 1985, 107, 1691–1694. [Google Scholar] [CrossRef]
- Hu, J.D.; Cao, C.D.; Lin, W.; Hu, M.-H.; Huang, Z.-B.; Shi, D.-Q. Selective synthesis of polyfunctionalized pyrido[2,3-b]indoles by multicomponent domino reactions. J. Org. Chem. 2014, 79, 7935–7944. [Google Scholar] [CrossRef] [PubMed]
- El-borai, M.A.; Rizk, H.F.; Abd-Aal, M.F.; El-Deeb, I.Y. Synthesis of pyrazolo[3,4-b]pyridines under microwave irradiation in multi-component reactions and their antitumor and antimicrobial activities—Part 1. Eur. J. Med. Chem. 2012, 48, 92–96. [Google Scholar] [CrossRef] [PubMed]
- Sridhar, M.; Ramanaiah, B.C.; Narsaiah, C.; Mahesh, B.; Kumaraswamy, M.; Mallu, K.K.R.; Ankathi, V.M.; Shanthan Rao, P. Novel ZnCl2-catalyzed one-pot multicomponent synthesis of 2-amino-3,5-dicarbonitrile-6-thio-pyridines. Tetrahedron Lett. 2009, 50, 3897–3900. [Google Scholar] [CrossRef]
- Linder, I.; Gerhard, M.; Schefzig, L.; Andrä, M.; Bentz, C.; Reissig, H.-U.; Zimmer, R. A modular synthesis of functionalized pyridines through Lewis-acid-mediated and microwave-assisted cycloadditions between azapyrylium intermediates and alkynes. Eur. J. Org. Chem. 2011, 2011, 6070–6077. [Google Scholar] [CrossRef]
- Weike, S.; Shaozheng, G.; Zhi, H.; Ren’er, C. Microwave-assisted novel synthesis of amino-thieno[3,2-b]pyridines under solvent-free conditions. Tetrahedron Lett. 2010, 51, 5718–5720. [Google Scholar]
- Hilgeroth, A.; Wiese, M.; Billich, A. Synthesis and biological evaluation of the first N-alkyl cage dimeric 4-aryl-1,4-dihydropyridines as novel nonpeptidic HIV-1 protease inhibitors. J. Med. Chem. 1999, 42, 4729–4732. [Google Scholar] [CrossRef] [PubMed]
- Chhillara, A.K.; Arya, P.; Mukherjee, C.; Kumar, P.; Yadav, Y.; Sharma, A.K.; Yadav, V.; Gupta, J.; Dabur, R.; Jhac, H.N.; et al. Microwave-assisted synthesis of antimicrobial dihydropyridines and tetrahydropyrimidin-2-ones: Novel compounds against aspergillosis. Bioorg. Med. Chem. 2006, 14, 973–981. [Google Scholar] [CrossRef] [PubMed]
- Fasani, E.; Fagnoni, M.; Dondi, D.; Albini, A. Intramolecular electron transfer in the photochemistry of some nitrophenyldihydropyridines. J. Org. Chem. 2006, 71, 2037–2045. [Google Scholar] [CrossRef] [PubMed]
- Iqbal, N.; Akula, M.R.; Vo, D.; Matowe, W.C.; McEwen, C.A.; Wolowyk, M.W.; Knaus, E.E. Synthesis, rotamer orientation, and calcium channel modulation activities of alkyl and 2-phenethyl 1,4-dihydro-2,6-dimethyl-3-nitro-4-(3- or 6-substituted-2-pyridyl)-5-pyridinecarboxylates. J. Med. Chem. 1998, 41, 1827–1837. [Google Scholar] [CrossRef] [PubMed]
- Vanden Eynde, J.J.; Mayence, A. Synthesis and aromatization of hantzsch 1,4-dihydropyridines under microwave irradiation. An Overview. Molecules 2003, 8, 381–391. [Google Scholar] [CrossRef]
- Flaim, S.F.; Zelis, R. Clinical use of calcium entry blockers. Fed. Proc. 1981, 40, 2877–2881. [Google Scholar] [PubMed]
- Schramm, M.; Thomas, G.; Towart, R.; Franckowiak, G. Novel dihydropyridines with positive inotropic action through activation of Ca2+ channels. Nature 1983, 303, 535–537. [Google Scholar] [CrossRef] [PubMed]
- Triggle, D.J.; Rampe, D. 1,4-Dihydropyridine activators and antagonists: Structural and functional distinctions. Trends Pharmacol. Sci. 1989, 12, 507–511. [Google Scholar] [CrossRef]
- Kuraitheerthakumaran, A.; Pazhamalai, S.; Gopalakrishnan, M. An efficient and solvent-free one-pot synthesis of 1,4-dihydropyridines under microwave irradiation. Chin. Chem. Lett. 2011, 22, 1199–1202. [Google Scholar] [CrossRef]
- Sharma, S.D.; Hazarika, P.; Konwar, D. A simple, green and one-pot four-component synthesis of 1,4-dihydropyridines and their aromatization. Catal. Commun. 2008, 9, 709–714. [Google Scholar] [CrossRef]
- Debache, A.; Ghalem, W.; Boulcina, R. An efficient one-step synthesis of 1,4-dihydropyridines via a triphenylphosphine-catalyzed three-component Hantzsch reaction under mild conditions. Tetrahedron Lett. 2009, 50, 5248–5250. [Google Scholar] [CrossRef]
- Sridhar, R.; Perumal, P.T. A new protocol to synthesize 1,4-dihydropyridines by using 3,4,5-trifluorobenzeneboronic acid as a catalyst in ionic liquid: Synthesis of novel 4-(3-carboxyl-1H-pyrazol-4-yl)-1,4-dihydropyridines. Tetrahedron 2005, 61, 2465–2470. [Google Scholar] [CrossRef]
- Ladani, N.K.; Mungra, D.C.; Patel, M.P.; Patel, R.G. Microwave assisted synthesis of novel Hantzsch 1,4-dihydropyridines, acridine-1,8-diones and polyhydroquinolines bearing the tetrazolo[1,5-a]quinoline moiety and their antimicrobial activity assess. Chin. Chem. Lett. 2011, 22, 1407–1410. [Google Scholar] [CrossRef]
- Finke, P.E.; Oates, B.; Mills, S.G.; MacCoss, M.; Malkowitz, L.; Springer, M.S.; Gould, S.L.; Demartino, J.A.; Carella, A.; Carver, G.; et al. Antagonists of the human CCR5 receptor as anti-HIV-1 agents. Part 4: Synthesis and structure–Activity relationships for 1-[N-(Methyl)-N-(phenylsulfonyl)amino]-2-(phenyl)-4-(4-(N-(alkyl)-N-(benzyloxycarbonyl)amino)piperidin-1-yl)butanes. Bioorg. Med. Chem. Lett. 2001, 11, 2475–2479. [Google Scholar] [CrossRef]
- Trabaco, A.A.; Aerts, N.; Alvarez, R.M.; Andres, J.I.; Boeckx, I.; Fernandez, J.; Gomez, A.; Janssens, F.E.; Leenaerts, J.E.; Lucas, A.I.D.; et al. 4-Phenyl-4-[1H-imidazol-2-yl]-piperidine derivatives as non-peptidic selective δ-opioid agonists with potential anxiolytic/antidepressant properties. Part 2. Bioorg. Med. Chem. Lett. 2007, 17, 3860–3863. [Google Scholar] [CrossRef] [PubMed]
- Takaya, Y.; Tasaka, H.; Chiba, T.; Uwai, K.; Tanitsu, M.; Kim, H.S.; Wataya, Y.; Miura, M.; Takeshita, M.; Oshima, Y. New type of febrifugine analogues, bearing a quinolizidine moiety, show potent antimalarial activity against plasmodium malaria parasite. J. Med. Chem. 1999, 42, 3163–3166. [Google Scholar] [CrossRef] [PubMed]
- Ravindran, G.; Muthusubramanian, S.; Perumal, S. A convenient one-pot synthesis of highly substituted piperidines through a Michael addition-aldol cyclization sequence. ARKIVOC 2008, 13, 57–64. [Google Scholar]
- Solomon, V.R.; Haq, W.; Srivastava, K.; Puri, S.K.; Katti, S.B. Synthesis and antimalarial activity of side chain modified 4-aminoquinoline derivatives. J. Med. Chem. 2007, 50, 394–398. [Google Scholar] [CrossRef] [PubMed]
- Chauhan, P.M.S.; Srivastava, S.K. Present trends and future strategy in chemotherapy of malaria. Curr. Med. Chem. 2001, 8, 1535–1542. [Google Scholar]
- Michael, J.P. Quinoline, quinazoline and acridone alkaloids. Nat. Prod. Rep. 2007, 24, 223–246. [Google Scholar] [CrossRef] [PubMed]
- Kim, J.I.; Shin, I.-S.; Kim, H.; Lee, J.-K. Efficient electrogenerated chemiluminescence from cyclometalated Iridium(III) complexes. J. Am. Chem. Soc. 2005, 127, 1614–1615. [Google Scholar] [CrossRef] [PubMed]
- Kouznetsov, V.V.; Gomez-Barrio, A. Recent developments in the design and synthesis of hybrid molecules basedon aminoquinoline ring and their antiplasmodial evaluation. Eur. J. Med. Chem. 2009, 44, 3091–3113. [Google Scholar] [CrossRef] [PubMed]
- Kaur, K.; Jain, M.; Reddy, R.P.; Jain, R. Quinolines and structurally related heterocycles as antimalarials. Eur. J. Med. Chem. 2010, 45, 3245–3264. [Google Scholar] [CrossRef] [PubMed]
- Blackie, M.A. Metal Containing chloroquinolines: Beyond hit and miss antimalarial efficacy to solid science. Mini Rev. Med. Chem. 2013, 13, 597–606. [Google Scholar] [CrossRef] [PubMed]
- Jain, P.P.; Degani, M.S.; Raju, A.; Ray, M.; Rajan, M.G. Rational drug design based synthesis of novel arylquinolines as anti-tuberculosis agents. Bioorg. Med. Chem. Lett. 2013, 23, 6097–6105. [Google Scholar] [CrossRef] [PubMed]
- Karras, S.; Pontikides, N.; Krassas, G.E. Pharmacokinetic evaluation of cabozantinib for the treatment of thyroid cancer. Expert Opin. Drug Metab. Toxicol. 2013, 9, 507–515. [Google Scholar] [CrossRef] [PubMed]
- Kulkarni, A.; Török, B. Microwave-assisted multicomponent domino cyclization–aromatization: An efficient approach for the synthesis of substituted uinolines. Green Chem. 2010, 12, 875–878. [Google Scholar] [CrossRef]
- Kumar, S.; Patel, A.; Ahmed, N. Microwave-assisted expeditious and efficient synthesis of novel quinolin-4-ylmethoxychromen-2- and -4-ones catalyzed by YbCl3 under a solvent free one-pot three component domino reaction and their antimicrobial activity. RSC Adv. 2015, 5, 93067–93080. [Google Scholar] [CrossRef]
- Li, MY.; Xu, H.W.; Fan, W.; Ye, Q.; Wang, X.; Jiang, B.; Wang, S.L.; Tu, S.J. New formal [3+3] cycloaddition of enaminones for forming tetracyclic indolo[2,3-b]quinolines under microwave irradiation. Tetrahedron 2014, 70, 1004–1010. [Google Scholar] [CrossRef]
- Barluenga, J.; Quinones, N.; Cabal, M.P.; Aznar, F.; Valdés, C. Tosylhydrazide-promoted Palladium-catalyzed reaction of β-aminoketones with o-dihaloarenes: Combining organocatalysis and transition-metal catalysis. Angew. Chem. 2011, 123, 2398–2401. [Google Scholar] [CrossRef]
- Bala, B.D.; Balamurugan, K.; Perumal, S. Facile, four-component, domino reactions for the regioselective synthesis of tetrahydrobenzo[g]quinolones. Tetrahedron Lett. 2011, 52, 4562–4566. [Google Scholar] [CrossRef]
- Sapkal, S.B.; Shelke, K.F.; Shingate, B.B.; Shingare, M. Nickel nanoparticle-catalyzed facile and efficient one-pot synthesis of polyhydroquinoline derivatives via Hantzsch condensation under solvent-free conditions. Tetrahedron Lett. 2009, 50, 1754–1756. [Google Scholar] [CrossRef]
- Park, S.; Kim, H.-S.; Ok, K.; Kim, Y.; Park, H.-D.; Byun, Y. Design, synthesis and biological evaluation of 4-(alkyloxy)-6-methyl-2H-pyran-2-one derivatives as quorum sensing inhibitors. Bioorg. Med. Chem. Lett. 2015, 25, 2913–2917. [Google Scholar] [CrossRef] [PubMed]
- Kumar, A.; Reddy, V.B.; Sharad, S.; Dube, U.; Kapur, S. A facile one-pot green synthesis and antibacterial activity of 2-amino-4H-pyrans and 2-amino-5-oxo-5,6,7,8-tetrahydro-4H-chromenes. Eur. J. Med. Chem. 2009, 44, 3805–3809. [Google Scholar] [CrossRef] [PubMed]
- Pinto, M.M.M.; Sousa, M.E.; Nascimento, M.S. Xanthone derivatives: New insights in biological activities. Curr. Med. Chem. 2005, 12, 2517–2538. [Google Scholar] [CrossRef] [PubMed]
- Moharram, S.; Zhou, A.; Wiebe, L.I.; Knaus, E.E. Design and synthesis of 3′- and 5′-O-(3-benzenesulfonylfuroxan-4-yl)-2′-deoxyuridines: Biological evaluation as hybrid nitric oxide donor—Nucleoside anticancer agents. J. Med. Chem. 2004, 47, 1840–1846. [Google Scholar] [CrossRef] [PubMed]
- Peng, Y.; Song, G. Amino-functionalized ionic liquid as catalytically active solvent for microwave-assisted synthesis of 4H-pyrans. Catal. Commun. 2007, 8, 111–114. [Google Scholar] [CrossRef]
- Kamalraja, J.; Perumal, P.T. Microwave assisted InCl3 mediated regioselective synthesis of highly functionalized indolylpyran under solvent-free condition and its chemical transformation to indolyltriazolylpyran hybrids. Tetrahedron Lett. 2014, 55, 3561–3564. [Google Scholar] [CrossRef]
- Sakemi, S.; Sun, H.H. Nortopsentins A, B, and C. Cytotoxic and antifungal imidazolediylbis [indoles] from the sponge Spongosorites ruetzleri. J. Org. Chem. 1991, 56, 4304–4307. [Google Scholar]
- Kawasaki, I.; Yamashita, M.; Ohta, S. Total synthesis of nortopsentins A-D, marine alkaloids. Chem. Pharm. Bull. 1996, 44, 1831–1839. [Google Scholar] [CrossRef]
- Kouko, T.; Matsumura, K.; Kawasaki, T. Total synthesis of marine bisindole alkaloids, (+)-hamacanthins A, B and (−)-antipode of cis-dihydrohamacanthin B. Tetrahedron 2005, 61, 2309–2318. [Google Scholar] [CrossRef]
- Higuchi, K.; Takei, R.; Kouko, T.; Kawasaki, T. Total synthesis of marine bisindole alkaloid (+)-cis-dihydrohamacanthin B. Synthesis 2007, 5, 669–674. [Google Scholar] [CrossRef]
- Jiang, B.; Yang, C.G.; Xiong, W.N.; Wang, J. Synthesis and cytotoxicity evaluation of novel indolylpyrimidines and indolylpyrazines as potential antitumor agents. Bioorg. Med. Chem. 2001, 9, 1149–1154. [Google Scholar] [CrossRef]
- Gompel, M.; Leost, M.; Joffe, E.B.K.; Puricelli, L.; Franco, L.H.; Palermo, J.; Meijer, L. Meridianins, a new family of protein kinase inhibitors isolated from the Ascidian Aplidium meridianum. Bioorg. Med. Chem. Lett. 2004, 14, 1703–1707. [Google Scholar] [CrossRef] [PubMed]
- Curini, M.; Cravotto, G.; Epifano, F.; Giannone, G. Chemistry and biological activity of natural and synthetic prenyloxycoumarins. Curr. Med. Chem. 2006, 13, 199–222. [Google Scholar] [CrossRef] [PubMed]
- Yu, D.; Suzuki, M.; Xie, L.; Morris-Natschke, S.L.; Lee, K.-H. Recent progress in the development of coumarin derivatives as potent anti-HIV agents. Med. Res. Rev. 2003, 23, 322–345. [Google Scholar] [CrossRef] [PubMed]
- Khan, K.M.; Saify, Z.S.; Khan, M.Z.; Choudhary, M.I.; Perveen, S.; Chohan, Z.H.; Supuran, C.T.; Ullah, Z.; Rahman, A.U. Synthesis of coumarin derivatives with cytotoxic, antibacterial and antifungal activity. J. Enz. Inhib. Med. Chem. 2004, 19, 373–379. [Google Scholar] [CrossRef]
- Borges, F.; Roleira, F.; Milhazes, N.; Santana, L.; Uriarte, E. Simple coumarins and analogues in medicinal chemistry: Occurrence, synthesis and biological activity. Curr. Med. Chem. 2005, 12, 887–916. [Google Scholar] [CrossRef] [PubMed]
- Kulkarni, M.V.; Kulkarni, G.M.; Lin, C.H.; Sun, C.M. Recent advances in coumarins and 1-azacoumarins as versatile biodynamic agents. Curr. Med. Chem. 2006, 13, 2795–2818. [Google Scholar] [CrossRef] [PubMed]
- Bhat, A.S.; Yu, D.L.; Chen, C.H.; Brossi, A.; Lee, K.H. Anti-AIDS agents. 60. Substituted 3′R,4′R-di-O-(−)-camphanoyl-2′,2′-dimethyldihydropyrano[2,3-f]chromone (DCP) analogues as potent anti-HIV agents. J. Med. Chem. 2004, 47, 4072–4082. [Google Scholar]
- Bennett, C.J.; Caldwell, S.T.; McPhail, D.B.; Morrice, P.C.; Duthie, G.G.; Hartley, R.C. Potential therapeutic antioxidants that combine the radical scavenging ability of myricetin and the lipophilic chain of vitamin E to effectively inhibit microsomal lipid peroxidation. Bioorg. Med. Chem. 2004, 12, 2079–2098. [Google Scholar] [CrossRef] [PubMed]
- Krishnamachari, V.; Levine, L.H.; Zhou, C.; Pare, P.W. In vitro flavon-3-ol oxidation mediated by a bring hydroxylation pattern. Chem. Res. Toxicol. 2004, 17, 795–804. [Google Scholar] [CrossRef] [PubMed]
- Kim, H.P.; Son, K.H.; Chang, H.W.; Kang, S.S. Anti-inflammatory plant flavonoids and cellular action mechanisms. J. Pharmacol. Sci. 2004, 96, 229–245. [Google Scholar] [CrossRef] [PubMed]
- Middleton, E.; Kandaswami, C.; Theoharides, T.C. The effects of plant flavonoids on mammalian cells: Implications for inflammation, heart disease, and cancer. Pharmacol. Rev. 2000, 52, 673–751. [Google Scholar] [PubMed]
- Bauvois, B.; Puiffe, M.L.; Bongui, J.B.; Paillat, S.; Monneret, C.; Dauzonne, D. Synthesis and biological evaluation of novel flavone-8-acetic acid derivatives as reversible inhibitors of aminopeptidase N/CD13. J. Med. Chem. 2003, 46, 3900–3913. [Google Scholar] [CrossRef] [PubMed]
- Griffin, R.J.; Fontana, G.; Golding, B.T.; Guiard, S.; Hardcastle, I.R.; Leahy, J.J.J.; Martin, N.; Richardson, C.; Rigoreau, L.; Stockley, M.; et al. Selective benzopyranone and pyrimido[2,1-a]isoquinolin-4-one inhibitors of DNA-dependent protein kinase: Synthesis, Structure-activity studies, and radiosensitization of a human tumor cell line in vitro. J. Med. Chem. 2005, 48, 569–585. [Google Scholar] [CrossRef] [PubMed]
- Leahy, J.J.J.; Golding, B.T.; Griffin, R.J.; Hardcastle, I.R.; Richardson, C.; Rigoreau, L.; Smith, G.C.M. Identification of a highly potent and selective DNA-dependent protein kinase (DNA-PK) inhibitor (NU7441) by screening of chromenone libraries. Bioorg. Med. Chem. Lett. 2004, 14, 6083–6087. [Google Scholar] [CrossRef] [PubMed]
- Edwards, A.M.; Howell, J.B.L. The chromones: History, chemistry and clinical development. A tribute to the work of Dr R.E.C. Altounyan. Clin. Exp. Allergy 2000, 30, 756–774. [Google Scholar] [CrossRef] [PubMed]
- Nordlund, J.J. The Pigmentary System: Physiology and Pathophysiology, 2th ed.; Blackwell Publishing, Inc.: Malden, MA, USA, 2006. [Google Scholar]
- de Leeuw, J.; Assen, Y.J.; van der Beek, N.; Bjerring, P.; Neumann, H.A.M. Treatment of vitiligo with khellin liposomes, ultraviolet light and blister roof transplantation. J. Eur. Acad. Dermatol. Venereol. 2011, 25, 74–81. [Google Scholar] [CrossRef] [PubMed]
- Holgate, S.T.; Polosao, R. Treatment strategies for allergy and asthma. Nat. Rev. Immunol. 2008, 8, 218–230. [Google Scholar] [CrossRef] [PubMed]
- Frick, R.W. Three treatments for chronic venous insufficiency: Escin, hydroxyethylrutoside, and Daflon. Angiology 2000, 51, 197–205. [Google Scholar] [CrossRef] [PubMed]
- Dziuba, D.; Benhida, R.; Burger, A. A mild and efficient protocol for the protection of 3-hydroxychromones under phase-transfer catalysis. Synthesis 2011. [Google Scholar] [CrossRef]
- Dziuba, D.; Postupalenko, V.Y.; Spadafora, M.; Klymchenko, A.S.; Guérineau, V.; Mély, Y.; Benhida, R.; Burger, A. The oligonucleotides incorporating a 3-hydroxychromone as a fluorescent base surrogate: A bicolor ratiometric fluorescent probe able to detect DNA—Protein interactions. J. Am. Chem. Soc. 2012, 34, 10209–10213. [Google Scholar] [CrossRef] [PubMed]
- Dziuba, D.; Karpenko, I.A.; Barthes, N.P.F.; Michel, B.Y.; Klymchenko, A.S.; Benhida, R.; Demchenko, A.P.; Mély, Y.; Burger, A. Rational design of a solvatochromic fluorescent uracil analogue with dual-band ratiometric response based on 3-hydroxychromone. Chem. Eur. J. 2014, 20, 1998–2079. [Google Scholar] [CrossRef] [PubMed]
- Spadafora, M.; Postopalenko, V.; Klemchenko, A.; Mély, Y.; Burger, A.; Benhida, R. Efficient synthesis of ratiometric fluorescent nucleosides featuring 3-hydroxy-chromone nucleobases. Tetrahedron 2009, 65, 7809–7816. [Google Scholar] [CrossRef]
- Peyron, C.; Navarre, J.M.; Dubreuil, D.; Vierling, P.; Benhida, R. A stereo- and regio-controlled synthesis of bromothiophenyl-C-nucleosides. Tandem bromination-glycosydation via halogen dance process. Tetrahedron Lett. 2008, 49, 6171–6174. [Google Scholar] [CrossRef]
- Guezguez, R.; Bougrin, K.; El Akri, K.; Benhida, R. Efficient microwave-assisted solvent-free synthesis of α- and β-2′-deoxy-1,2,3-triazolyl-nucleosides. Tetrahedron Lett. 2006, 47, 4807–4811. [Google Scholar] [CrossRef]
- Hannedouche, S.; Souchard, J.P.; Jacquemond-Collet, I.; Moulis, C. Molluscicidal and radical scavenging activity of quinones from the root bark of Caryopteris × clandonensis. Fitoterapia 2002, 73, 520–522. [Google Scholar] [CrossRef]
- De Lima, O.G.; D’Albuquerque, I.L.; de Lima, C.G. Antibiotic substances in higher plants. XX. Antimicrobial activity of some derivatives of lapachol as compared with xyloidone, a new natural O-naphthoquinone isolated from extracts of heartwood of Tabebuia avellanedae. Rev. Inst. Antibiot. Univ. Recife 1962, 4, 3–17. [Google Scholar]
- Machado, T.B.; Pinto, A.V.; Pinto, M.C.F.R.; Leal, I.C.R.; Silva, M.G.; Amaral, A.C.F.; Kuster, R.M.; Netto dos Santos, K.R. In vitro activity of Brazilian medicinal plants, naturally occurring naphthoquinones and their analogues, against methicillin-resistant Staphylococcus aureus. Int. J. Antimicrob. Agents 2003, 21, 279–284. [Google Scholar] [CrossRef]
- Cho, J.Y.; Kim, H.Y.; Choi, G.J.; Jang, K.S.; Lim, H.K.; Lim, C.H.; Cho, K.Y.; Kim, J.C. Dehydro-α-lapachone isolated from Catalpa ovata stems: Activity against plant pathogenic fungi. Pest. Manage. Sci. 2006, 62, 414–418. [Google Scholar] [CrossRef] [PubMed]
- Lee, T.; Kashiwada, Y.; Huang, L.; Snider, J.; Cosentino, M.; Lee, K.H. Suksdorfin: An anti-HIV principle from Lomatium suksdorfii, its structure-activity correlation with related coumarins, and synergistic effects with anti-AIDS nucleosides. Bioorg. Med.Chem. 1994, 2, 1051–1056. [Google Scholar] [CrossRef]
- O’Kennedy, R.; Thornes, R.D. Coumarins: Biology, Applications and Mode of Action; John Wiley & Sons: Chichester, UK, 1997. [Google Scholar]
- Kontogiorgis, C.A.; Savvoglou, K.; Hadjipavlou-Litina, D.J. Antiinflammatory and antioxidant evaluation of novel coumarin derivatives. J. Enzyme Inhib. Med. Chem. 2006, 21, 21–29. [Google Scholar] [CrossRef] [PubMed]
- Guilet, D.; Helesbeux, J.J.; Seraphin, D.; Sevenet, T.; Richomme, P.; Bruneton, J. Novel cytotoxic 4-phenylfuranocoumarins from Calophyllum dispar. J. Nat. Prod. 2001, 64, 563–568. [Google Scholar] [CrossRef] [PubMed]
- Vilar, S.; Quezada, E.; Santana, L.; Uriarte, E.; Yanez, M.; Fraiz, N.; Alcaide, C.; Cano, E.; Orallo, F. Design, synthesis, and vasorelaxant and platelet antiaggregatory activities of coumarin-resveratrol hybrids. Bioorg. Med. Chem. Lett. 2006, 16, 257–261. [Google Scholar] [CrossRef] [PubMed]
- Yeh, J.Y.; Coumar, M.S.; Horng, J.T.; Shiao, H.Y.; Kuo, F.-M.; Lee, H.-L.; Chen, I.C.; Chang, C.W.; Tang, W.F.; Tseng, S.N.; et al. Anti-influenza drug discovery: Structure-activity relationship and mechanistic insight into novel angelicin derivatives. J. Med. Chem. 2010, 53, 1519–1533. [Google Scholar] [CrossRef] [PubMed]
- Hwu, J.R.; Singha, R.; Hong, S.C.; Chang, Y.H.; Das, A.R.; Vliegen, I.; de Clercq, E.; Neyts, J. Synthesis of new benzimidazole-coumarin conjugates as anti-hepatitis C virus agents. Antiviral Res. 2008, 77, 157–162. [Google Scholar] [CrossRef] [PubMed]
- Kontogiorgis, C.A.; Hadjipavlou-Litina, D.J. Synthesis and antiinflammatory activity of coumarin derivatives. J. Med. Chem. 2005, 48, 6400–6408. [Google Scholar] [CrossRef] [PubMed]
- Fylaktakidou, K.C.; Hadjipavlou-Litina, D.J.; Litinas, K.E.; Nicolaides, D.N. Natural and synthetic coumarin derivatives with anti-inflammatory/antioxidant activities. Curr. Pharm. Design 2004, 10, 3813–3826. [Google Scholar] [CrossRef]
- Ghate, M.D.; Kulkarni, M.V.; Shobha, R.; Kattimani, S.Y. Synthesis of vanillin ethers from 4-(bromomethyl) coumarins as anti-inflammatory agents. Eur. J. Med. Chem. 2003, 38, 297–304. [Google Scholar] [CrossRef]
- Shekhar, A.C.; Kumar, A.R.; Sathaiaha, G.; Raju, K.; Shanthan Rao, P.; Sridhar, M.; Narsaiah, B.; Surya Srinivas, P.V.S.; Sridhar, B. An efficient one-pot synthesis of substituted 1H-naphtho[2,1-b]pyrans and 4H-1-benzopyrans (=chromenes) under solvent-free microwave-irradiation conditions. Helv. Chim. Acta 2012, 95, 502–508. [Google Scholar] [CrossRef]
- Wang, S.-L.; Wu, F.-Y.; Cheng, C.; Zhang, G.; Liu, Y.-P.; Jiang, B.; Shi, F.; Tu, S.-J. Multicomponent synthesis of poly-substituted benzo[a]pyrano[2,3-c]phenazine derivatives under microwave heating. ACS Comb. Sci. 2011, 13, 135–139. [Google Scholar] [CrossRef] [PubMed]
- Andrade-Nieto, V.; Goulart, M.; da Silva, J.F.; da Silva, M.J.; Pinto, M.; Pinto, A.; Zalis, M.; Carvalho, L.; Krettli, A. Antimalarial activity of phenazines from lapachol, β-lapachone and its derivatives against Plasmodium falciparum in vitro and Plasmodium berghei in vivo. Bioorg. Med. Chem. Lett. 2004, 14, 1145–1149. [Google Scholar] [CrossRef] [PubMed]
- Neves-Pinto, C.; Malta, V.R.S.; Pinto, M.D.C.F.R.; Santos, R.; Castro, S.; Pinto, A. A trypanocidal phenazine derived from β-lapachone. J. Med. Chem. 2002, 45, 2112–2115. [Google Scholar] [CrossRef] [PubMed]
- Gamage, S.; Spicer, J.; Rewcastle, G.; Milton, J.; Sohal, S.; Dangerfield, W.; Mistry, P.; Vicker, N.; Charlton, P.; Denny, W. Structure-activity relationships for pyrido-, imidazo-, pyrazolo-, pyrazino-, and pyrrolophenazinecarboxamides as topoisomerase-targeted anticancer agents. J. Med. Chem. 2002, 45, 740–743. [Google Scholar] [CrossRef] [PubMed]
- Patil, S.A.; Wang, J.; Li, X.S.; Chen, J.; Jones, T.S.; Ahmed, A.H.; Patil, R.; Seibel, W.L.; Li, W.; Miller, D.D. New substituted 4H-chromenes as anticancer agents. Bioorg. Med.Chem. Lett. 2012, 22, 4458–4461. [Google Scholar] [CrossRef] [PubMed]
- Fridén-Saxin, M.; Pemberton, N.; Andersson, K.S.; Dyrager, C.; Friberg, A.; Grøtli, M.; Luthman, K. Synthesis of 2-alkyl-substituted chromone derivatives using microwave irradiation. J. Org. Chem. 2009, 74, 2755–2759. [Google Scholar] [CrossRef] [PubMed]
- Fridén-Saxin, M.; Seifert, T.; Landergren, M.R.; Suuronen, T.; Lahtela-Kakkonen, M.; Jarho, E.M.; Luthman, K. Synthesis and evaluation of substituted chroman-4-one and chromone derivatives as sirtuin 2-selective inhibitors. J. Med. Chem. 2012, 55, 7104–7113. [Google Scholar] [CrossRef] [PubMed]
- Wen, L.R.; Sun, J.H.; Li, M.; Sun, E.T.; Zhang, S.S. Application of β-(2-chloroaroyl) thioacetanilides in synthesis: An unusual and highly efficient access to thiochromeno[2,3-b]pyridine derivatives. J. Org. Chem. 2008, 73, 1852–1863. [Google Scholar] [CrossRef] [PubMed]
- Jha, M.; Guy, S.; Chou, T.Y. Microwave assisted synthesis of indole-annulated dihydropyrano[3,4-c]chromene derivatives via hetero-Diels–Alder reaction. Tetrahedron Lett. 2011, 52, 4337–4341. [Google Scholar] [CrossRef]
- Sinhamahapatra, A.; Sutradhar, N.; Pahari, S.; Bajaj, H.C.; Panda, A.B. Mesoporous zirconium phosphate: An efficient catalyst for the synthesis of coumarin derivatives through Pechmann condensation reaction. Appl. Catal. A Gen. 2011, 394, 93–100. [Google Scholar] [CrossRef]
- Tyagi, B.; Mishra, M.K.; Jasra, R.V. Microwave-assisted solvent free synthesis of hydroxy derivatives of 4-methyl coumarin using nano-crystalline sulfated-zirconia catalyst. J. Mol. Catal. A Chem. 2008, 286, 41–46. [Google Scholar] [CrossRef]
- Katkevičs, M.; Kontijevskis, A.; Mutule, I.; Sūna, E. Microwave-promoted automated synthesis of a coumarin library. Chem. Heterocycl. Compd. 2007, 43, 151–159. [Google Scholar] [CrossRef]
- Hellal, M.; Bourguignon, J.J.; Bihel, F.J.J. 6-endo-dig Cyclization of heteroarylesters to alkynes promoted by Lewis acid catalyst in the presence of Brønsted acid. Tetrahedron Lett. 2008, 49, 62–65. [Google Scholar] [CrossRef]
- May, M.V.D.; Bommele, K.M.; Boss, H.; Hatzelmann, A.; Slingerland, M.V.; Sterk, G.J.; Timmerman, H. Synthesis and structure-activity relationships of cis-tetrahydrophthalazinone/pyridazinone hybrids: A novel series of potent dual PDE3/PDE4 inhibitory agents. J. Med. Chem. 2003, 46, 2008–2016. [Google Scholar]
- Carotti, A.; Catto, M.; Leonetti, F.; Campagna, F.; Soto-Otero, R.; Méndez-Alvarez, E.; Thull, U.; Testa, B.; Altomare, C. Synthesis and monoamine oxidase inhibitory activity of new pyridazine-, pyrimidine- and 1,2,4-triazine-containing tricyclic derivatives. J. Med. Chem. 2007, 50, 5364–5371. [Google Scholar] [CrossRef] [PubMed]
- Betti, L.; Zanelli, M.; Giannacini, G.; Manetti, F.; Schenone, S.; Strappaghetti, G. Synthesis of new piperazine–pyridazinone derivatives and their binding affinity toward α1-, α2-adrenergic and 5-HT1A serotoninergic receptors. Bioorg. Med. Chem. Lett. 2006, 14, 2828–2836. [Google Scholar] [CrossRef] [PubMed]
- Demirayak, S.; Karaburun, A.C.; Beis, R. Some pyrrole substituted aryl pyridazinone and phthalazinone derivatives and their antihypertensive activities. Eur. J. Med. Chem. 2004, 39, 1089–1095. [Google Scholar] [CrossRef] [PubMed]
- Rodriguez-Ciria, M.; Sanz, A.M.; Yunta, M.J.; Gomez-Contreras, F.; Navarro, P.; Fernandez, I.; Pardo, M.; Cano, C. Synthesis and cytotoxic activity of N,N-bis-{3-[N-(4-chlorobenzo[g]-phthalazin-1-yl)]aminopropyl}-N-methylamine: A new potential DNA bisintercalator. Bioorg. Med. Chem. 2003, 11, 2143–2148. [Google Scholar] [CrossRef]
- Demange, L.; Nait-Abdellah, F.; Lozach, O.; Ferandin, Y.; Gresh, N.; Meijer, L.; Galons, H. Potent inhibitors of CDK5 derived from roscovitine: Synthesis, biological evaluation and molecular modelling. Bioorg. Med. Chem. Lett. 2013, 23, 125–131. [Google Scholar] [CrossRef] [PubMed]
- Carboni, R.A.; Lindsey, R.V. Reactions of tetrazines with unsaturated compounds. A new synthesis of pyridazines. J. Am. Chem. Soc. 1959, 81, 4342–4346. [Google Scholar] [CrossRef]
- Heldmann, D.K.; Sauer, J. Synthesis of metallated (metal = Si, Ge, Sn) pyridazines by cycloaddition of metal substituted alkynes to 1,2,4,5-tetrazine. Tetrahedron Lett. 1997, 38, 5791–5794. [Google Scholar] [CrossRef]
- Sauer, J.; Heldmann, D.K.; Hetzenegger, J.; Krauthan, J.; Sichert, H.; Schuster, J. 1,2,4,5-Tetrazine: Synthesis and reactivity in [4+2] cycloadditions. Eur. J. Org. Chem. 1998, 1998, 2885–2896. [Google Scholar] [CrossRef]
- Soenen, D.R.; Zimpleman, J.M.; Boger, D.L. Synthesis and inverse electron demand diels-alder reactions of 3,6-bis(3,4-dimethoxybenzoyl)-1,2,4,5-tetrazine. J. Org. Chem. 2003, 68, 3593–3598. [Google Scholar] [CrossRef] [PubMed]
- Hoogenboom, R.; Kickelbick, G.; Schubert, U.S. Synthesis and characterization of novel substituted 3,6-di(2-pyridyl)pyridazine metal-coordinating ligands. Eur. J. Org. Chem. 2003, 2003, 4887–4896. [Google Scholar] [CrossRef]
- Helm, M.D.; Moore, J.E.; Plant, A.; Harrity, J.P.A. Synthesis of highly substituted pyridazines through alkynyl boronic ester cycloaddition reactions. Angew. Chem. Int. Ed. 2005, 44, 3889–3892. [Google Scholar] [CrossRef] [PubMed]
- Sauer, J. Comprehensive heterocyclic chemistry II. Pergamon. Lond. 1996, 6, 901–965. [Google Scholar]
- Boger, D.L.; Schaum, R.P.; Garbaccio, R.M. Regioselective inverse electron demand diels-alder reactions of N-acyl 6-amino-3-(methylthio)-1,2,4,5-tetrazines. J. Org. Chem. 1998, 63, 6329–6337. [Google Scholar] [CrossRef] [PubMed]
- Sparey, T.J.; Harrison, T. Inverse electron demand Diels-Alder reactions of 3,6-dichloro-[1,2,4,5]tetrazine. Tetrahedron Lett. 1998, 39, 5873–5874. [Google Scholar] [CrossRef]
- Che, D.; Wegge, T.; Stubbs, M.T.; Seitz, G.; Meier, H.; Methfessel, C. exo-2-(Pyridazin-4-yl)-7-azabicyclo[2.2.1]heptanes: Syntheses and nicotinic acetylcholine receptor agonist activity of potent pyridazine analogues of (±)-epibatidine. J. Med. Chem. 2001, 44, 47–51. [Google Scholar] [CrossRef] [PubMed]
- Hoogenboom, R.; Moore, B.C.; Schubert, U.S. Microwave-assisted synthesis of 3,6-di(pyridin-2-yl)pyridazines: Unexpected ketone and aldehyde cycloadditions. J. Org. Chem. 2006, 71, 4903–4909. [Google Scholar] [CrossRef] [PubMed]
- Horikoshi, S.; Iida, S.; Kajitani, M.; Sato, S.; Serpone, N. Chemical reactions with a novel 5.8-GHz microwave apparatus. 1. Characterization of properties of common solvents and application in a Diels–Alder organic synthesis. Org. Process. Res. Dev. 2008, 12, 257–263. [Google Scholar] [CrossRef]
- Mecadon, H.; Myrboh, B. Potassium hydroxide impregnated Alumina (KOH-Alumina) as a recyclable catalyst for the solvent-free multicomponent synthesis of highly functionalized substituted pyridazines and/or substituted pyridazin-3(2H)-ones under microwave irradiation. ISRN Org. Chem. 2011. [Google Scholar] [CrossRef] [PubMed]
- Agarwal, A.; Srivastava, K.; Purib, S.K.; Chauhana, P.M.S. Synthesis of 2,4,6-trisubstituted pyrimidines as antimalarial agents. Bioorg. Med. Chem. 2005, 13, 4645–4650. [Google Scholar] [CrossRef] [PubMed]
- Chang, L.C.W.; Spanjersberg, R.F.; Künzel, J.K.V.F.D.; Krieger, T.M.; Hout, G.V.D.; Beukers, M.W.; Brussee, J.; IJzerman, A.P. 2,4,6-Trisubstituted pyrimidines as a new class of selective adenosine A1 receptor antagonists. J. Med. Chem. 2004, 47, 6529–6540. [Google Scholar] [CrossRef] [PubMed]
- Bailey, J.P.; Giles, M.B.; Pass, M. 2,4,6-Trisubstituted Pyrimidines as Phosphotidylinositol (pi) 3-Kinase Inhibitors and Their Use in the Treatment of Cancer. Patent WO 2006005914 A1, 19 January 2006. [Google Scholar]
- Agarwal, A.; Srivastava, K.; Puri, S.K.; Sinha, S.; Chauhana, P.M.S. A small library of trisubstituted pyrimidines as antimalarial and antitubercular agents. Bioorg. Med. Chem. Lett. 2005, 15, 5218–5221. [Google Scholar] [CrossRef] [PubMed]
- Nie, A.; Wang, J.; Huang, Z. Microwave-assisted solution-phase parallel synthesis of 2,4,6-trisubstituted pyrimidines. J. Comb. Chem. 2006, 8, 646–648. [Google Scholar] [CrossRef] [PubMed]
- Guo, C. A facile synthesis of pyrimidin-4-ones. Tetrahedron Lett. 2010, 51, 548–549. [Google Scholar] [CrossRef]
- Jiang, B.; Xue, L.-Y.; Wang, X.-H.; Tu, M.-S.; Liu, Y.-P.; Tu, S.-J. Microwave-assisted multicomponent reaction of aryl amidines: Regiospecific synthesis of new polysubstituted thiopyrano-, and pyrano[4,3-d]pyrimidines. Tetrahedron Lett. 2012, 53, 1261–1264. [Google Scholar] [CrossRef]
- Yildirim, M.; Celikel, D.; Durust, Y.; Knight, D.W.; Kariuki, B.M. A rapid and efficient protocol for the synthesis of novel nitrothiazolo[3,2-c]pyrimidines via microwave-mediated Mannich cyclisation. Tetrahedron 2014, 70, 2122–2128. [Google Scholar] [CrossRef]
- Fatima, S.; Sharma, A.; Saxena, R.; Tripathi, R.; Shukla, S.K.; Pandey, S.K.; Tripathi, R.; Tripathi, R.P. One pot efficient diversity oriented synthesis of polyfunctional styryl thiazolopyrimidines and their bio-evaluation as antimalarial and anti-HIV agents. Eur. J. Med. Chem. 2012, 55, 195–204. [Google Scholar] [CrossRef] [PubMed]
- Beck, J.P.; Curry, M.A.; Chorvat, R.J.; Fitzgerrald, L.W.; Gillian, P.J.; Zaczek, R.; Trainor, G.L. Thiazolo[4,5-d]pyrimidine thiones and -ones as corticotropin-releasing hormone (CRH-R1) receptor antagonists. Bioorg. Med. Chem. Lett. 1999, 9, 1185–1188. [Google Scholar] [CrossRef]
- Al-Omary, F.A.M.; Hassan, G.S.; El-Messery, S.M.; El-Subbagh, H.I. Substituted thiazoles V. Synthesis and antitumor activity of novel thiazolo[2,3-b]quinazoline and pyrido[4,3-d]thiazolo[3,2-a]pyrimidine analogues. Eur. J. Med. Chem. 2012, 47, 65–72. [Google Scholar] [CrossRef] [PubMed]
- Polshettiwar, V.; Varma, R.S. Biginelli reaction in aqueous medium: A greener and sustainable approach to substituted 3,4-dihydropyrimidin-2(1H)-ones. Tetrahedron Lett. 2007, 48, 7343–7346. [Google Scholar] [CrossRef]
- Hosamani, K.M.; Reddy, D.S.; Devarajegowda, H.C. Microwave-assisted synthesis of new fluorinated coumarin–pyrimidine hybrids as potent anticancer agents, their DNA cleavage and X-ray crystal studies. RSC Adv. 2015, 5, 11261–11271. [Google Scholar] [CrossRef]
- Matloobi, M.; Kappe, C.O. Microwave-assisted solution- and solid-phase synthesis of 2-amino-4-arylpyrimidine derivatives. J. Comb. Chem. 2007, 9, 275–284. [Google Scholar] [CrossRef] [PubMed]
- Movassaghi, M.; Hill, M.D. Single-step synthesis of pyrimidine derivatives. J. Am. Chem. Soc. 2006, 128, 14254–14255. [Google Scholar] [CrossRef] [PubMed]
- Avalos, M.; Babiano, R.; Cintas, P.; Hursthouse, M.B.; Jiménez, J.L.; Lerma, E.; Light, M.E.; Palacios, J.C. A one-pot domino reaction in constructing isoorotate bases and their nucleosides. Tetrahedron Lett. 2006, 47, 1989–1992. [Google Scholar] [CrossRef]
- Burgula, L.N.; Radhakrishnan, K.; Kundu, M.L. Synthesis of modified uracil and cytosine nucleobases using a microwave-assisted method. Tetrahedron Lett. 2012, 53, 2639–2642. [Google Scholar] [CrossRef]
- Liang, B.; Wang, X.; Wang, J.X.; Du, Z. New three-component cyclocondensation reaction: Microwave-assisted one-pot synthesis of 5-unsubstituted-3,4-dihydropyrimidin-2(1H)-ones under solvent-free conditions. Tetrahedron 2007, 63, 1981–1986. [Google Scholar] [CrossRef]
- Liu, Q.S.; Chang, J.W.; Wang, J.H.; Kang, S.A.; Thoreen, C.C.; Markhard, A.; Hur, W.; Zhang, J.M.; Sim, T.; Sabatini, D.M.; et al. Discovery of 1-(4-(4-Propionylpiperazin-1-yl)-3-(trifluoromethyl)phenyl)-9-(quinolin-3-yl)benzo[h][1,6]naphthyridin-2(1H)-one as a Highly Potent, Selective Mammalian Target of Rapamycin (mTOR) Inhibitor for the Treatment of Cancer. J. Med. Chem. 2010, 53, 7146–7155. [Google Scholar] [CrossRef] [PubMed]
- Lassiter, L.K.; Tummala, M.K.; Hussain, M.H.; Stadler, W.M.; Petrylak, D.P.; Carducci, M.A. Phase II open-label study of oral piritrexim in patients with advanced carcinoma of the urothelium who have experienced failure with standard chemotherapy. Clin. Genitourin. Cancer 2008, 6, 31–35. [Google Scholar] [CrossRef] [PubMed]
- Krueger, A.C.; Madigan, D.L.; Beno, D.W.; Betebenner, D.A.; Carrick, R.; Green, B.E.; He, W.P.; Liu, D.C.; Maring, C.J.; McDaniel, K.F.; et al. Novel Hepatitis C virus replicon inhibitors: Synthesis and structure–activity relationships of fused pyrimidine derivatives. J. Bioorg. Med. Chem. Lett. 2012, 22, 2212–2215. [Google Scholar] [CrossRef] [PubMed]
- Fjellstrom, O.; Deinum, J.; Sjogren, T.; Johansson, C.; Geschwindner, S.; Nerme, V.; Legnehed, A.; McPheat, J.; Olsson, K.; Bodin, C.; et al. Characterization of a small molecule inhibitor of plasminogen activator inhibitor type 1 that accelerates the transition into the latent conformation. J. Biol. Chem. 2013, 288, 873–885. [Google Scholar] [CrossRef] [PubMed]
- Gong, H.W.; Qi, H.; Sun, W.; Zhang, Y.; Jiang, D.; Xiao, J.H.; Yang, X.H.; Wang, Y.; Li, S. Design and synthesis of a series of pyrido[2,3-d]pyrimidine derivatives as CCR4 antagonists. Molecules 2012, 17, 9961–9970. [Google Scholar] [CrossRef] [PubMed]
- El-Gazzar, A.R.B.A.; Hafez, H.N. Synthesis of 4-substituted pyrido[2,3-d]pyrimidin-4(1H)-one as analgesic and anti-inflammatory agents. Bioorg. Med. Chem. Lett. 2009, 19, 3392–3397. [Google Scholar] [CrossRef] [PubMed]
- Narayana, B.L.; Rao, A.R.R.; Rao, P.S. Synthesis of new 2-substituted pyrido[2,3-d]pyrimidin-4(1H)-ones and their antibacterial activity. Eur. J. Med. Chem. 2009, 44, 1369–1376. [Google Scholar] [CrossRef] [PubMed]
- Saundane, A.R.; Vijaykumar, K.; Vaijinath, A.V.; Walmik, P. Synthesis, antimicrobial and antioxidant activities of some new indole derivatives containing pyridopyrimidine and pyrazolopyridine moieties. Med. Chem. Res. 2013, 22, 806–817. [Google Scholar] [CrossRef]
- Wendt, J.A.; Deeter, S.D.; Bove, S.E.; Knauer, C.S.; Brooker, R.M.; Augelli-Szafran, C.E.; Schwarz, R.D.; Kinsora, J.J.; Kilgore, K.S. Synthesis and SAR of 2-aryl pyrido[2,3-d]pyrimidines as potent mGlu5 receptor antagonists. Bioorg. Med. Chem. Lett. 2007, 17, 5396–5399. [Google Scholar] [CrossRef] [PubMed]
- Basiri, A.; Murugaiyah, V.; Osman, H.; Kumar, R.S.; Kia, Y.; Ali, M.A. An expedient, ionic liquid mediated multi-component synthesis of novel piperidone grafted cholinesterase enzymes inhibitors and their molecular modeling study. Bioorg. Med. Chem. 2013, 21, 3022–3031. [Google Scholar] [CrossRef] [PubMed]
- Horn, K.S.V.; Burda, W.N.; Fleeman, R.; Shaw, L.N.; Manetsch, R. Antibacterial activity of a series of N2,N4-disubstituted quinazoline-2,4-diamines. J. Med. Chem. 2014, 57, 3075–3093. [Google Scholar] [CrossRef] [PubMed]
- Pereira, M.F.; Chevrot, R.; Rosenfeld, E.; Thiery, V.; Besson, T. Synthesis and evaluation of the antimicrobial activity of novel quinazolinones. J. Enzyme Inhib. Med. Chem. 2007, 22, 577–583. [Google Scholar] [CrossRef] [PubMed]
- Alagarsamy, V.; Pathak, U.S. Synthesis and antihypertensive activity of novel 3-benzyl-2-substituted-3H-[1,2,4]triazolo[5,1-b]quinazolin-9-ones. Bioorg. Med. Chem. 2007, 15, 3457–3462. [Google Scholar] [CrossRef] [PubMed]
- Collins, I.; Workman, P. New approaches to molecular cancer therapeutics. Nat. Chem. Biol. 2006, 2, 689–700. [Google Scholar] [CrossRef] [PubMed]
- Lagoja, I.M. Pyrimidine as constituent of natural biologically active compounds. Chem. Biodivers. 2005, 2, 1–50. [Google Scholar] [CrossRef] [PubMed]
- Schreiber, S.L. Small molecules: The missing link in the central dogma. Nat. Chem. Biol. 2005, 1, 64–66. [Google Scholar] [CrossRef] [PubMed]
- Young, R.A.; Brogden, R.N. Doxazosin: A review of its pharmacodynamic and pharmacokinetic properties, and therapeutic efficacy in mild or moderate hypertension. Drugs 1988, 35, 525–541. [Google Scholar] [CrossRef] [PubMed]
- Gundla, R.; Kazemi, R.; Sanam, R.; Muttineni, R.; Sarma, J.A.R.P.; Dayam, R.; Neamati, N. Discovery of novel small-molecule inhibitors of human epidermal growth factor receptor-2: Combined ligand and target-based approach. J. Med. Chem. 2008, 51, 3367–3377. [Google Scholar] [CrossRef] [PubMed]
- Luth, A.; Lowe, W. Syntheses of 4-(indole-3-yl)quinazolines—A new class of epidermal growth factor receptor tyrosine kinase inhibitors. Eur. J. Med. Chem. 2008, 43, 1478–1488. [Google Scholar] [CrossRef] [PubMed]
- Kabri, Y.; Gellis, A.; Vanelle, P. Microwave-assisted synthesis in aqueous medium of new quinazoline derivatives as anticancer agent precursors. Green Chem. 2009, 11, 201–208. [Google Scholar] [CrossRef]
- Kabri, Y.; Gellis, A.; Vanelle, P. Synthesis of original 2-substituted 4-arylquinazolines by microwave-irradiated suzuki–miyaura cross-coupling reactions. Eur. J. Org. Chem. 2009, 2009, 4059–4066. [Google Scholar] [CrossRef]
- Hill, M.D.; Movassaghi, M. Observations on the use of microwave irradiation in azaheterocycle synthesis. Tetrahedron Lett. 2008, 49, 4286–4288. [Google Scholar] [CrossRef]
- Ferrini, S.; Ponticelli, F.; Taddei, M. Convenient synthetic approach to 2,4-disubstituted quinazolines. Org. Lett. 2007, 9, 69–72. [Google Scholar] [CrossRef] [PubMed]
- Portela-Cubillo, F.; Scott, J.S.; Walton, J.C. Microwave-promoted syntheses of quinazolines and dihydroquinazolines from 2-aminoarylalkanone O-phenyl oximes. J. Org. Chem. 2009, 74, 4934–4942. [Google Scholar] [CrossRef] [PubMed]
- Li, G.; Kakarla, R.; Gerritz, S.W.; Pendri, A.; Ma, B. A facile one-step synthesis of 5-chloro-imidazo[1,5-a]quinazoline by microwave irradiation. Tetrahedron Lett. 2009, 50, 6048–6052. [Google Scholar] [CrossRef]
- Chilin, A.; Marzaro, G.; Zanatta, S.; Guiotto, A. A microwave improvement in the synthesis of the quinazoline scaffold. Tetrahedron Lett. 2007, 48, 3229–3231. [Google Scholar] [CrossRef]
- Saari, R.; Törmä, J.C.; Nevalainen, T. Microwave-assisted synthesis of quinoline, isoquinoline, quinoxaline and quinazoline derivatives as CB2 receptor agonists. Bioorg. Med. Chem. 2011, 19, 939–950. [Google Scholar] [CrossRef] [PubMed]
- Redondo, M.; Zarruk, J.G.; Ceballos, P.; Pérez, D.I.; Pérez, C.; Perez-Castillo, A.; Moro, M.A.; Brea, J.; Val, C.; Cadavid, M.I.; et al. Neuroprotective efficacy of quinazoline type phosphodiesterase 7 inhibitors in cellular cultures and experimental stroke model. Eur. J. Med. Chem. 2012, 47, 175–185. [Google Scholar] [CrossRef] [PubMed]
- Jiang, B.; Tu, S.J.; Kaur, P.; Wever, W.; Li, G. Four-component domino reaction leading to multifunctionalized quinazolines. J. Am. Chem. Soc. 2009, 131, 11660–11661. [Google Scholar] [CrossRef] [PubMed]
- Zhang, X.; Ye, D.; Sun, H.; Guo, D.; Wang, J.; Huang, H.; Zhang, X.; Jiang, H.; Liu, H. Microwave-assisted synthesis of quinazolinone derivatives by efficient and rapid iron-catalyzed cyclization in water. Green Chem. 2009, 11, 1881–1888. [Google Scholar] [CrossRef]
- Niralwad, K.S.; Shingate, B.B.; Shingare, M.S. Microwave-assisted one-pot synthesis of octahydroquinazolinone derivatives using ammonium metavanadate under solvent-free condition. Tetrahedron Lett. 2010, 51, 3616–3618. [Google Scholar] [CrossRef]
- Khattab, S.N.; Haiba, N.S.; Asal, A.M.; Bekhit, A.A.; Amer, A.; Abdel-Rahman, H.M.; El-Faham, A. Synthesis and evaluation of quinazoline amino acid derivatives as mono amine oxidase (MAO) inhibitors. Bioorg. Med. Chem. 2015, 23, 3574–3585. [Google Scholar] [CrossRef] [PubMed]
- Liu, J.F.; Kaselj, M.; Isome, Y.; Ye, P.; Sargent, K.; Sprague, K.; Cherrak, D.; Wilson, C.J.; Si, Y.; Yohannes, D.; et al. Design and synthesis of a quinazolinone natural product-templated library with cytotoxic activity. J. Comb. Chem. 2006, 8, 7–10. [Google Scholar] [CrossRef] [PubMed]
- Edmondson, S.; Danishefsky, S.J.; Sepp-Lorenzino, L.; Rosen, N. Total synthesis of spirotryprostatin A, leading to the discovery of some biologically promising analogues. J. Am. Chem. Soc. 1999, 121, 2147–2155. [Google Scholar] [CrossRef]
- Movassaghi, M.; Schmidt, M.A.; Ashenhurst, J.A. Concise total synthesis of (+)-WIN 64821 and (−)-ditryptophenaline. Angew. Chem. 2008, 120, 1507–1509. [Google Scholar] [CrossRef]
- Tan, R.X.; Jensen, P.R.; Williams, P.G.; Fenical, W. Isolation and structure assignments of rostratins A−D, cytotoxic disulfides produced by the marine-derived fungus Exserohilum rostratum. J. Nat. Prod. 2004, 67, 1374–1382. [Google Scholar] [CrossRef] [PubMed]
- Jida, M.; Soueidan, M.; Willand, N.; Agbossou-Niedercorn, F.; Pelinski, L.; Laconde, G.; Deprez-Poulain, R.; Deprez, B. A facile and rapid synthesis of N-benzyl-2-substituted piperazines. Tetrahedron Lett. 2011, 52, 1705–1708. [Google Scholar] [CrossRef]
- Jainta, M.; Nieger, M.; Bräse, S. Microwave-assisted stereoselective one-pot synthesis of symmetrical and unsymmetrical 2,5-diketopiperazines from unprotected amino acids. Eur. J. Org. Chem. 2008, 2008, 5418–5424. [Google Scholar] [CrossRef]
- Jam, F.; Tullberg, M.; Luthman, K.; Grøtli, M. Microwave assisted synthesis of spiro-2,5-diketopiperazines. Tetrahedron 2007, 63, 9881–9889. [Google Scholar] [CrossRef]
- Gao, R.; Canney, D.J. A Versatile and practical microwave-assisted synthesis of sterically hindered N-arylpiperazines. J. Org. Chem. 2010, 75, 7451–7453. [Google Scholar] [CrossRef] [PubMed]
- Carlsson, A.C.; Jam, F.; Tullberg, M.; Pilotti, A.; Ioannidis, P.; Luthman, K.; Grøtli, M. Microwave-assisted synthesis of the Schöllkopf chiral auxiliaries: (3S)- and (3R)-3,6-dihydro-2,5-diethoxy-3-isopropyl-pyrazine. Tetrahedron Lett. 2006, 47, 5199–5201. [Google Scholar] [CrossRef]
- Tullberg, M.; Grøtli, M.; Luthman, K. Efficient synthesis of 2,5-diketopiperazines using microwave assisted heating. Tetrahedron 2006, 62, 7484–7491. [Google Scholar] [CrossRef]
- Wang, H.J.; Earley, W.G.; Lewis, R.M.; Srivastava, R.R.; Zych, A.J.; Jenkins, D.M.; Fairfax, D.J. An efficient one-pot, two-step synthesis of 4-substituted 1-heteroarylpiperazines under microwave irradiation conditions. Tetrahedron Lett. 2007, 48, 3043–3046. [Google Scholar] [CrossRef]
- Wennemers, H.; Conza, M.; Nold, M.; Krattiger, P. Diketopiperazine receptors: A novel class of highly selective receptors for binding small peptides. Chem. Eur. J. 2001, 7, 3342–3347. [Google Scholar] [CrossRef]
- Kanoh, K.; Kohno, S.; Katada, J.; Takahashi, J.; Uno, I. (−)-Phenylahistin arrests cells in mitosis by inhibiting tubulin polymerization. J. Antibiot. 1999, 52, 134–141. [Google Scholar] [CrossRef] [PubMed]
- Nicholson, B.; Lloyd, G.K.; Miller, B.R.; Palladino, M.A.; Kiso, Y.; Hayashi, Y.; Neuteboom, S.T.C. NPI-2358 is a tubulin-depolymerizing agent: In vitro evidence for activity as a tumor vascular-disrupting agent. Anti-Cancer Drugs 2006, 17, 25–31. [Google Scholar] [CrossRef] [PubMed]
- Sinha, S.; Srivastava, R.; de Clercq, E.; Singh, R.K. Synthesis and antiviral properties of arabino and ribonucleosides of 1,3-dideazaadenine, 4-nitro-1,3-dideazaadenine and diketopiperazine. Nucleosides Nucleotides Nucleic Acids 2004, 23, 1815–1824. [Google Scholar] [CrossRef] [PubMed]
- Houston, D.R.; Synstad, B.; Eijsink, V.G.H.; Stark, M.J.R.; Eggleston, I.M.; Van Aalten, D.M.F. Structure-based exploration of cyclic dipeptide chitinase inhibitors. J. Med. Chem. 2004, 47, 5713–5720. [Google Scholar] [CrossRef] [PubMed]
- Byun, H.G.; Zhang, H.; Mochizuki, M.; Adachi, K.; Shizuri, Y.; Lee, W.J.; Kim, S.K. Novel antifungal diketopiperazine from marine fungus. J. Antibiot. 2003, 56, 102–106. [Google Scholar] [CrossRef] [PubMed]
- Fdhila, F.; Vázquez, V.; Sánchez, J.L.; Riguera, R. dd-Diketopiperazines: Antibiotics active against Vibrio anguillarum isolated from marine bacteria associated with cultures of Pecten maximus. J. Nat. Prod. 2003, 66, 1299–1301. [Google Scholar] [CrossRef] [PubMed]
- Abraham, W.R. Controlling pathogenic gram-negative bacteria by interfering with their biofilm formation. Drug Des. Rev. 2005, 2, 13–33. [Google Scholar] [CrossRef]
- Li, X.; Dobretsov, S.; Xu, Y.; Xiao, X.; Hung, O.S.; Qian, P.Y. Antifouling diketopiperazines produced by a deep-sea bacterium, Streptomyces fungicidicus. Biofouling 2006, 22, 187–194. [Google Scholar] [CrossRef] [PubMed]
- Stark, T.; Hofmann, T. Structures, sensory activity, and dose/response functions of 2,5-diketopiperazines in roasted cocoa nibs (Theobroma cacao). J. Agric. Food Chem. 2005, 53, 7222–7231. [Google Scholar] [CrossRef] [PubMed]
- Becker, C.; Hoben, C.; Schollmeyer, D.; Scherr, G.; Kunz, H. Investigation of diketopiperazines containing a guanidino-functionalized sidechain as potential catalysts of enantioselective strecker reactions. Eur. J. Org. Chem. 2005, 2005, 1497–1499. [Google Scholar] [CrossRef]
- Maga, J.A. Pyrazines in foods: An update. Crit. Rev. Food Sci. Nutr. 1982, 16, 1–48. [Google Scholar] [CrossRef] [PubMed]
- Leunissen, M.; Davidson, V.J.; Kakuda, Y. Analysis of volatile flavor components in roasted peanuts using supercritical fluid extraction and gas chromatography-mass spectrometry. J. Agric. Food Chem. 1996, 44, 2694. [Google Scholar] [CrossRef]
- Wailzer, B.; Klocker, J.; Buchbauer, G.; Ecker, G.; Wolschann, P. Prediction of the aroma quality and the threshold values of some pyrazines using artificial neural networks. J. Med. Chem. 2001, 44, 2805–2813. [Google Scholar] [CrossRef] [PubMed]
- Barlin, G.B. The Chemistry of Heterocyclic Compounds; Wiley: New York, NY, USA, 1982. [Google Scholar]
- Walker, J.A.; Liu, W.; Wise, D.S.; Drach, J.C.; Townsend, L.B. Synthesis and antiviral evaluation of certain novel pyrazinoic acid C-nucleosides. J. Med. Chem. 1998, 41, 1236–1241. [Google Scholar] [CrossRef] [PubMed]
- De Clercq, E. Yet another ten stories on antiviral drug discovery (part D): Paradigms, paradoxes, and paraductions. Med. Res. Rev. 2010, 30, 667–707. [Google Scholar] [CrossRef] [PubMed]
- Jean-Damien, C.; Durrant, S.; Kay, D.; O’donnell, M.; Knegtel, R.; Maccormick, S.; Pinder, J.; Virani, A.; Young, S.; Binch, H.; et al. Composés Utiles Comme Inhibiteurs de l′atr Kinase. Patent WO2010054398A1, 14 May 2010. [Google Scholar]
- Hazeldine, S.T.; Polin, L.; Kushner, J.; White, K.; Bouregeois, N.M.; Crantz, B.; Palo mino, E.; Corbett, T.H.; Horwitz, J.P., II. Synthesis and biological evaluation of some bioisosteres and congeners of the antitumor agent, 2-{4-[(7-chloro-2-quinoxalinyl)oxy]phenoxy}propionic acid (XK469). J. Med. Chem. 2002, 45, 3130–3137. [Google Scholar] [CrossRef] [PubMed]
- Kuo, G.H.; DeAngelis, A.; Emanuel, S.; Wang, A.; Zhang, Y.; Connolly, P.J.; Chen, X.; Gruninger, R.H.; Rugg, C.; Pesquera, A.F.; et al. Synthesis and identification of [1,3,5]triazine-pyridine biheteroaryl as a novel series of potent cyclin-dependent kinase inhibitors. J. Med. Chem. 2005, 48, 4535–4546. [Google Scholar] [CrossRef] [PubMed]
- Hirsh, A.J.; Molino, B.F.; Zhang, J.; Astakhova, N.; Geiss, W.B.; Sargent, B.J.; Swenson, B.D.; Usyatinsky, A.; Wyle, M.J.; Boucher, R.C.; Smith, R.T.; Zamurs, A.; Johnson, M.R. Design, synthesis, and structure-activity relationships of novel 2-substituted pyrazinoylguanidine epithelial sodium channel blockers: drugs for cystic fibrosis and chronic bronchitis. J. Med. Chem. 2006, 49, 4098–4115. [Google Scholar] [CrossRef] [PubMed]
- El-Shaieb, K.M. Microwave irradiation assisted facile synthesis of new imidazole, pyrazine, and benzodiazocine derivatives using diaminomaleonitrile. Heteroatom Chem. 2006, 17, 365–368. [Google Scholar] [CrossRef]
- Alfonsi, M.; Dell’Acqua, M.; Facoetti, D.; Arcadi, A.; Abbiati, G.; Rossi, E. Microwave-promoted synthesis of N-heterocycles by tandem imination/annulation of γ- and δ-ketoalkynes in the presence of ammonia. Eur. J. Org. Chem. 2009, 2009, 2852–2862. [Google Scholar] [CrossRef]
- Haffner, C.D.; Diaz, C.J.; Miller, A.B.; Reid, R.A.; Madauss, K.P.; Hassell, A.; Hanlon, M.H.; Porter, D.J.T.; Becherer, J.D.; Carter, L.H. Pyrrolidinyl pyridone and pyrazinone analogues as potent inhibitors of prolyl oligopeptidase (POP). Bioorg. Med. Chem. Lett. 2008, 18, 4360–4363. [Google Scholar] [CrossRef] [PubMed]
- Trujillo, J.I.; Huang, H.C.; Neumann, W.L.; Mahoney, M.W.; Long, S.; Huang, W.D.; Garland, J.; Kusturin, C.; Abbas, Z.; South, M.S.; et al. Design, synthesis, and biological evaluation of pyrazinones containing novel P1 needles as inhibitors of TF/VIIa. Bioorg. Med. Chem. Lett. 2007, 17, 4568–4574. [Google Scholar] [CrossRef] [PubMed]
- Hopkins, C.R.; Neuenschwander, K.; Scotese, A.; Jackson, S.; Nieduzak, T.; Pauls, H.; Liang, G.Y.; Sides, K.; Cramer, D.; Cairns, J.; et al. Novel pyrazinone inhibitors of mast cell tryptase: Synthesis and SAR evaluation. Bioorg. Med. Chem. Lett. 2004, 14, 4819–4823. [Google Scholar] [CrossRef] [PubMed]
- Gising, J.; Örtqvist, P.; Sandström, A.; Larhed, M. A straightforward microwave method for rapid synthesis of N-1, C-6 functionalized 3,5-dichloro-2(1H)-pyrazinones. Org. Biomol. Chem. 2009, 7, 2809–2815. [Google Scholar] [CrossRef] [PubMed]
- Zheng, L.W.; Shao, J.H.; Zhao, B.X.; Miao, J.Y. Synthesis of novel pyrazolo[1,5-a]pyrazin-4(5H)-one derivatives and their inhibition against growth of A549 and H322 lung cancer cells. Bioorg. Med. Chem. Lett. 2011, 21, 3909–3913. [Google Scholar] [CrossRef] [PubMed]
- Quiroga, J.; Sánchez, N.E.; Acosta, P.; Insuasty, B.; Abonia, R. Microwave-assisted synthesis of fused pyrazolo[3,4-b]pyrazines by the reaction of ortho-aminonitrosopyrazoles and cyclic β-diketones. Tetrahedron Lett. 2012, 53, 3181–3187. [Google Scholar] [CrossRef]
- Sainsbury, M. Oxazines, Thiazines and Their Benzoderivatives. In Comprehensive Heterocyclic Chemistry; Katritzky, A.R., Rees, C.W., Eds.; Pergamon: New York, NY, USA, 1984; Volume 3, pp. 995–1038. [Google Scholar]
- Minami, Y.; Yoshida, K.; Azuma, R.; Saeki, M.; Otani, T. Structure of an aromatization product of C-1027 chromophore. Tetrahedron Lett. 1993, 34, 2633–2636. [Google Scholar] [CrossRef]
- Niemeyer, H.M. Hydroxamic acids (4-hydroxy-1,4-benzoxazin-3-ones), defence chemicals in the gramineae. Phytochemistry 1988, 27, 3349–3358. [Google Scholar] [CrossRef]
- Kawakita, T.; Kuroita, T.; Yasumoto, M.; Sano, M.; Inaba, K.; Fukuda, T.; Tahara, T. Synthesis and pharmacology of 3,4-dihydro-3-oxo-1,4-benzoxazine-8-carboxamide derivatives, a new class of potent serotonin-3 (5-HT3) receptor antagonists. Chem. Pharm. Bull. 1992, 40, 624–630. [Google Scholar] [CrossRef] [PubMed][Green Version]
- Kuroita, T.; Sakamori, M.; Kawakita, T. Design and synthesis of 6-chloro-3,4-dihydro-4-methyl-2H-1,4-benzoxazine-8-carboxamide derivatives as potent serotonin-3 (5-HT3) receptor antagonists. Chem. Pharm. Bull. 1996, 44, 756–764. [Google Scholar] [PubMed]
- Kuroita, T.; Marubayashi, N.; Sano, M.; Kanzaki, K.; Inaba, K.; Kawakita, T. Benzoxazines. II. Synthesis, conformational analysis, and structure--activity relationships of 3,4-dihydro-2H-1,4-benzoxazine-8-carboxamide derivatives as potent and long-acting serotonin-3 (5-HT3) receptor antagonists. Chem. Pharm. Bull. 1996, 44, 2051–2060. [Google Scholar] [CrossRef] [PubMed]
- Sebille, S.; Tullio, P.D.; Boverie, S.; Antoine, M.H.; Lebrun, P.; Pirotte, B. Recent developments in the chemistry of potassium channel activators: The cromakalim analogs. Curr. Med. Chem. 2004, 11, 1213–1222. [Google Scholar] [CrossRef] [PubMed]
- Poupaert, J.; Carato, P.; Colacino, E. 2(3H)-benzoxazolone and bioisosters as “privileged scaffold” in the design of pharmacological probes. Curr. Med. Chem. 2005, 12, 877–885. [Google Scholar] [CrossRef] [PubMed]
- Wahidulla, S.; Bhattacharjee, J.J. Benzoxazinoids from acanthus illicifolius. J. Indian Inst. Sci. 2001, 81, 485–489. [Google Scholar]
- Katsura, Y.; Nishino, S.; Takasugi, H. Studies on antiulcer drugs. I. Synthesis and antiulcer activities of imidazo[1,2-alpha]pyridinyl-2-oxobenzoxazolidines-3-oxo-2H-1,4-benzoxaz ines and related compounds. Chem. Pharm. Bull. 1991, 39, 2937–2943. [Google Scholar] [CrossRef] [PubMed]
- Hassan, G.S. Synthesis and pharmacological evaluation of certain furo-1,3-benzoxazole and furo-1,4-benzoxazine derivatives as analgesic, antipyretic and anti-inflammatory agents. Alexandria J. Pharm. Sci. 2004, 18, 129–137. [Google Scholar]
- Kajino, N.; Shibouta, Y.; Nishikawa, K.; Meguro, K. Synthesis and biological activities of new 2-substituted 1, 4-benzoxazine derivatives. Chem. Pharm. Bull. 1991, 39, 2896–2905. [Google Scholar] [CrossRef] [PubMed]
- Fringuelli, R.; Pietrella, D.; Schiaffella, F.; Guarraci, A.; Perito, S.; Bistoni, F.; Vecchiarelli, A. Anti-Candida albicans properties of novel benzoxazine analogues. Bioorg. Med. Chem. 2002, 10, 1681–1686. [Google Scholar] [CrossRef]
- Dougherty, K.J.; Bannatyne, B.A.; Jankowska, E.; Krutki, P.; Maxwell, D.J. Membrane receptors involved in modulation of responses of spinal dorsal horn interneurons evoked by feline group II muscle afferents. J. Neurosci. 2005, 25, 584–593. [Google Scholar] [CrossRef] [PubMed]
- Iwahashi, M.; Kobayashi, K.; Nambu, F. Carboxyoic Acid Compounds and Drugs Containing the Compounds as the Active Ingredient. Patent WO 2003078409 A1, 25 September 2003. [Google Scholar]
- Vianello, P.; Bandiera, T. Novel Substituted Benzoxazines as Integrin antagonists. US Patent 20030073688 A1, 17 April 2003. [Google Scholar]
- Austin, J.F.; MacMillan, D.W.C. Enantioselective organocatalytic indole alkylations. design of a new and highly effective chiral amine for iminium catalysis. J. Am. Chem. Soc. 2002, 124, 1172–1173. [Google Scholar] [CrossRef] [PubMed]
- Triggle, D.J. The 1,4-dihydropyridine nucleus: A pharmacophoric template Part 1. Actions at ion channels. Mini-Rev. Med. Chem. 2003, 3, 215–223. [Google Scholar] [CrossRef] [PubMed]
- DeSimone, R.W.; Currie, K.S.; Mitchell, S.A.; Darrow, J.W.; Pippin, D.A. Privileged structures: Applications in drug discovery. Comb. Chem. High. Throughput Screen. 2004, 7, 473–493. [Google Scholar] [CrossRef] [PubMed]
- Ge, H.; Liu, P.; Li, W.; Sun, W.; Li, J.; Yang, B.; Shi, Z. S–Co(II) cascade catalysis: Cyclocondensation of aromatic nitriles with alkamine. Tetrahedron 2013, 69, 6591–6597. [Google Scholar] [CrossRef]
- De Moliner, F.; Crosignani, S.; Galatini, A.; Riva, R.; Basso, A. Novel application of α-azido aldehydes in multicomponent reactions: Synthesis of triazolo-fused dihydrooxazinones via a passerini reaction—Dipolar cycloaddition strategy. ACS Comb. Sci. 2011, 13, 453–457. [Google Scholar] [CrossRef] [PubMed]
- Xing, X.; Wu, J.; Fenga, G.; Dai, W.M. Microwave-assisted one-pot U-4CR and intramolecular O-alkylation toward heterocyclic scaffolds. Tetrahedron 2006, 62, 6774–6781. [Google Scholar] [CrossRef]
- Prokhorov, A.M.; Kozhevnikov, D.N. Reactions of triazines and tetrazines with dienophiles. Chem. Heterocycl. Comp. 2012, 48, 1153–1176. [Google Scholar] [CrossRef]
- Saracoglu, N. Recent advances and applications in 1,2,4,5-tetrazine chemistry. Tetrahedron 2007, 63, 4199–4236. [Google Scholar] [CrossRef]
- Kovalev, E.G.; Postovskii, I.Y.; Rusinov, G.L.; Shegal, I.L. Cycloaddition to sym-tetrazines (the Carboni Lindsey reaction). Chem. Heterocycl. Compd. 1981, 17, 1063–1076. [Google Scholar] [CrossRef]
- Anderson, E.D.; Boger, D.L. inverse electron demand diels-alder reactions of 1,2,3-triazines: Pronounced substituent effects on reactivity and cycloaddition scope. J. Am. Chem. Soc. 2011, 133, 12285–12292. [Google Scholar] [CrossRef] [PubMed]
- Liu, J.; Wang, K.; Zhang, X.; Li, C.; You, X. Triazine dyes as photosensitizers for dye-sensitized solar cells. Tetrahedron 2013, 69, 190–200. [Google Scholar] [CrossRef]
- Trimble, A.J.; Lydy, M.J. Effects of triazine herbicides on organophosphate insecticide toxicity in Hyalella azteca. Arch. Environ. Contam. Toxicol. 2006, 51, 29–34. [Google Scholar] [CrossRef] [PubMed]
- Rao, G.W.; Hu, W.X. Synthesis, X-ray crystallographic analysis, and antitumor activity of 1-acyl-3,6-disubstituted phenyl-1,4-dihydro-1,2,4,5-tetrazines. Bioorg. Med. Chem. Lett. 2005, 15, 3174–3176. [Google Scholar] [CrossRef] [PubMed]
- Hu, W.X.; Rao, G.W.; Sun, Y.Q. Synthesis and antitumor activity of s-tetrazine derivatives. Bioorg. Med. Chem. Lett. 2004, 14, 1177–1181. [Google Scholar] [CrossRef] [PubMed]
- Shie, J.J.; Fang, J.M. Microwave-assisted one-pot tandem reactions for direct conversion of primary alcohols and aldehydes to triazines and tetrazoles in aqueous media. J. Org. Chem. 2007, 72, 3141–3144. [Google Scholar] [CrossRef] [PubMed]
- Li, N.; Tu, M.S.; Jiang, B.; Wang, X.; Tu, S.J. Domino [3+2+1] heterocyclization of isothiocyanates with aryl amidines leading to polysubstituted 1,3,5-triazine derivatives. Tetrahedron Lett. 2013, 54, 1743–1746. [Google Scholar] [CrossRef]
- Shi, B.; Lewis, W.; Campbell, I.B.; Moody, C.J. A Concise route to pyridines from hydrazides by metal carbene N-H insertion, 1,2,4-triazine formation, and diels-alder reaction. Org. Lett. 2009, 11, 3686–3688. [Google Scholar] [CrossRef] [PubMed]
- Honey, M.A.; Pasceri, R.; Lewis, W.; Moody, C.J. Diverse trifluoromethyl heterocycles from a single precurs. J. Org. Chem. 2012, 77, 1396–1405. [Google Scholar] [CrossRef] [PubMed]
- Bigot, A.; Blythe, J.; Pandya, C.; Wagner, T.; Loiseleur, O. DAST-mediated cyclization of α,α-disubstituted-α-acylaminoketones: Efficient and divergent synthesis of unprecedented heterocycles. Org. Lett. 2011, 13, 192–195. [Google Scholar] [CrossRef] [PubMed]
- Sagot, E.; Le Roux, A.; Soulivet, C.; Pasquinet, E.; Poullain, D.; Girard, E.; Palmashave, P. Synthesis of linear and hyperbranched tetrazine-based polyhetarylene assemblies with high nitrogen content. Tetrahedron 2007, 63, 11189–11194. [Google Scholar] [CrossRef]
- Kanagarajan, V.; Sureshkumar, P.; Thanusu, J.; Gopalakrishnan, M. Environmentally safe one-pot solvent-free synthesis of 6-aryl-1,2,4,5-tetrazinane-3-thiones(ones) catalyzed by NaHSO4-SiO2. Russ. J. Org. Chem. 2009, 45, 1707–1713. [Google Scholar] [CrossRef]
© 2016 by the authors. Licensee MDPI, Basel, Switzerland. This article is an open access article distributed under the terms and conditions of the Creative Commons by Attribution (CC-BY) license ( http://creativecommons.org/licenses/by/4.0/).






















































































