Abstract
Factor Xa (FXa) plays a significant role in the blood coagulation cascade and it has become a promising target for anticoagulation drugs. Three oral direct FXa inhibitors have been approved by the FDA for treating thrombotic diseases. By structure-activity relationship (SAR) analysis upon these FXa inhibitors, a series of novel anthranilamide-based FXa inhibitors were designed and synthesized. According to our study, compounds 1a, 1g and 1s displayed evident FXa inhibitory activity and excellent selectivity over thrombin in in vitro inhibition activities studies. Compounds 1g and 1s also exhibited pronounced anticoagulant activities in in vitro anticoagulant activity studies.
1. Introduction
Thromboembolic diseases such as myocardial infarction (MI), pulmonary embolism (PE), deep vein thrombosis (DVT) and ischemic strokes are the major causes of mortality all over the world in the 21st century [1,2,3]. The typical method for treating and preventing these diseases is to use anticoagulant drugs [4]. For example, vitamin K antagonists (VKAs), low-molecular-weight heparins (LMWHs) and warfarin are validated in the prevention and treatment of these thrombotic disorders [5], but they still have many shortcomings in clinical applications including the inconvenience of frequent monitoring, interactions with many drugs and food, and slow onset action [6,7]. These shortcomings further accelerate the need for development of new oral anticoagulants with efficacy and safety.
Factor Xa (FXa), which is located at the junction of the intrinsic and extrinsic pathways in the coagulation cascade and catalyzes the conversion of prothrombin to thrombin, plays a pivotal role in the blood coagulation cascade and has become a promising target for anticoagulation effects [4,8]. It is well demonstrated that selective FXa inhibitors can decrease the generation of thrombin without affecting the existing thrombin level which means that selective FXa inhibitors can play an ideal antithrombotic effects without influencing normal hemostasis and decrease the risk of bleeding [9,10,11]. Three oral direct FXa inhibitors have been approved by the FDA for treating thrombotic diseases and several FXa inhibitors have entered the stage of clinical research or biological testing (Figure 1) [2,12,13,14]. However, they still have many drawbacks, such as drug interactions, narrow indications and long treatment duration [15]. Therefore, new antithrombotic drugs still need to be developed for addressing these issues.
Figure 1.
Oral direct FXa inhibitors.
From the structures above, FXa inhibitors have three components which make up the pharmacophore: core scaffold, P1 and P4. This typical structure can help these molecules combine with FXa, P1 locates at the S1 pocket and P4 locates at the S4 pocket (Figure 2) [16]. Presented if Figure 3 here are several examples can help us understand this more clearly [17,18,19,20,21,22,23].
Figure 2.
X-ray crystal structure of rivaroxaban in complex with human FXa.
Figure 3.
Examples of the molecules with typical structure.
Interestingly, we found that for both rivaroxaban and betrixaban employed a carboxamide group to connect the scaffold, P1 and P4. Based on analysis of the X-ray crystal structure of rivaroxaban complexed with human FXa, it was found that there are two hydrogen bonds formed between rivaroxaban and the residue Gly219 in FXa [12]. Similarly, betrixaban possesses two hydrogen bonds with residues Gly218 and Gly216 in FXa [24], so we hypothesized that the key factor for FXa inhibitors docked to human FXa might be the carboxamide group. Based on the structures of rivaroxaban, betrixaban and darexaban, we have designed a series of novel FXa inhibitors employing anthranilamide as the scaffold (Figure 4). Through metabolism of rivaroxaban in vivo [25], we can find that the main metabolic pathway is the hydrolysis of the amide bond. We reversed the carbonyl and amino connection order of betrixaban with the expectation that the designed compounds may display different toxicity data or participate in different metabolic pathways in humans.
Figure 4.
Design of anthranilamide-based FXa inhibitors.
2. Results and Discussion
2.1. Synthesis
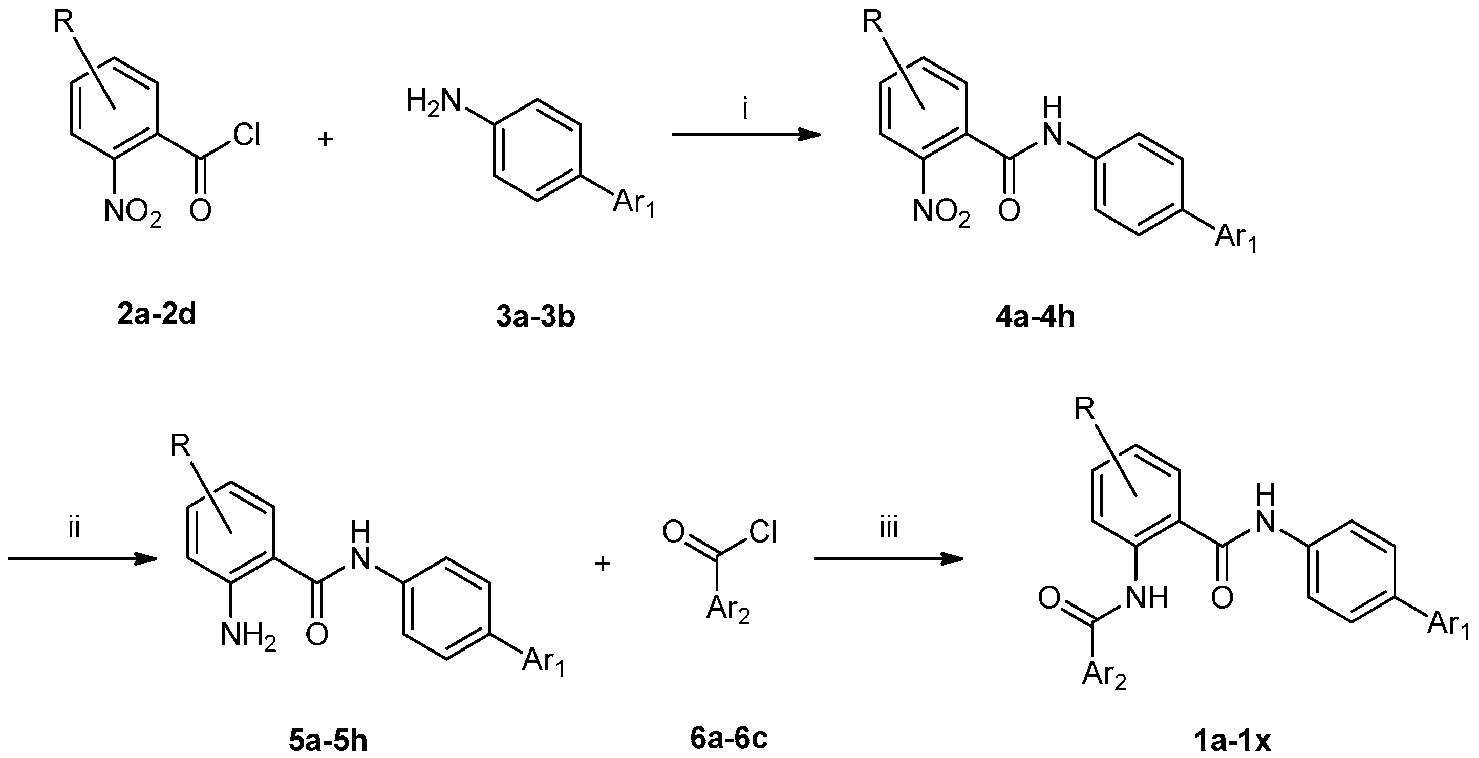
The synthetic routes used in this study are illustrated in Scheme 1. All the starting material are commercial available. As shown in Scheme 1, the acylation [26] of 3a–3b respectively with a series of o-nitrobenzoyl chloride 2a–2d provided 4a–4h, which were subsequently reduced with Zn, NH4Cl to provide the corresponding anilines 5a–5h in satisfied yields. Acylation [26] of 5a–5h respectively with 6a–6c yielded the target compounds 1a–1x.
Scheme 1.
Synthetic route of compounds 1a–1x. Reagents and conditions: (i) THF, K2CO3, DMAP, reflux, 2 h; (ii) Zn, NH4Cl, H2O, THF, MeOH, 40 °C, 2 h; (iii) THF, K2CO3, DMAP, reflux, 4 h.
2.2. Biological Activities and Discussion
2.2.1. In Vitro Inhibition Activity Studies on FXa
All the targeted compounds were evaluated in vitro for investigating their FXa inhibitory activity, using rivaroxaban as the positive control in this assay. The assay results (Table 1) showed that several designed compounds exhibited inhibitory activity against FXa with IC50 values at the nanomole level from 951.3 to 23.0 nM. In particular compound 1g was the most promising FXa inhibitor in this series with an IC50 value of 23.0 nM. The results indicated that the compounds with a 3-methyl-substituted scaffold (1j–1l, 1v–1x) possessed relative poor inhibitory activity against FXa, with IC50 values at a micromole level no matter what kind of Ar1 and Ar2 in Table 1 they linked with. When the Ar1 group was pyridin-2(1H)-one, the compounds (1a–1l) demonstrated that the affinity with FXa ranking was electron withdrawing group substituted scaffold < electron donating group scaffold < non-substituted scaffold. Through Table 1 can also be found that using 5-chlorothiophene as P1 (Ar2) the anticoagulant activity was much better than in other cases (1a = 30.9 nM, Ki = 22.0 nM; 1g = 23.0 nM, Ki = 16.4 nM; 1s = 76.2 nM, Ki = 54.4 nM; Km = 2.4). We also show an inhibition profile figure of the most potent compounds 1a, 1g and 1s in Figure 5.
Table 1.
The structures of the target compounds 1a–1x and their biological activity evaluation.
Figure 5.
The inhibition profile figures of 1a, 1g and 1s.
2.2.2. Selectivity vs. Thrombin and Prothrombin Time (PT) Assay
To evaluate the inhibitory activity against FXa of compounds 1a, 1g and 1s more accurately, these compounds were chosen to assess degree of selectivity versus thrombin and the extension of the prothrombin time (PT). Compounds 1a, 1g and 1s showed no inhibition effect on thrombin, with IC50 values far higher than 10 μM. They showed similar selectivity against thrombin as rivaroxaban which is far more than 6.9 μM [27]. The prothrombin time (PT) assay results are shown in Table 2, where compounds 1g and 1s also show good anticoagulant activity, judging by their 2 × PT value of 19.7 and 24.2 μM in rat plasma and 12.8 μM and 10.4 μM in human plasma.
Table 2.
The anticoagulant activity of 1g and 1s.
2.2.3. Docking Simulation Studies on the Interaction of Compounds 1g and 1s with FXa
Computer-based docking simulation studies were used to analyze the binding mode of compounds 1g and 1s at the active site of FXa. As shown in Figure 6, the pyridine moiety of 1g and morpholino unit of 1s are located at the sides of the phenyl groups of Tyr99 and Phe174 of the S4 aryl binding pocket, while its aryl ring is oriented perpendicularly, extending across the face of Trp215. Two hydrogen bonds are formed between 1g and the residue Gly216 and Gly218 in FXa and one hydrogen bond is formed between 1s and the amino acid Gly218 of FXa. In the S1 pocket of FXa, there is an interaction between the chlorine substituent of the thiophene moiety and the aromatic ring of Tyr228 at the bottom of the S1 pocket. They thus show similar interactions with FXa as rivaroxaban reported before [12].
Figure 6.
The interactions of compounds 1g and 1s with the active site of FXa.
3. Materials and Methods
3.1. General Information
Reagents and solvents were obtained from commercial suppliers and used as received without further purification. All reactions were monitored by thin layer chromatography. 1H-NMR spectra (400 MHz) were recorded for DMSO-d6 solutions on an AV400 NMR (Bruker, Billerica, MA, USA), MS were measured on a Finnigan LCQ Mass (Thermo Fisher Scientific, Cambridge, MA, USA), HRMS were measured on a miorOTOF-QII instrument (Bruker Daltonics, Billerica, MA, USA) and melting points (uncorrected) were determined on a YRT-3 Melting Point Tester (Precision Instrument of Tianjin University, Tianjin, China).
3.2. Chemistry
2-Nitro-N-(4-(2-oxopyridin-1(2H)-yl)phenyl)benzamide (4a). To a stirred solution of 1-(4-aminophenyl)pyridin-2(1H)-one (3a) (0.90 g, 4.8 mmol), K2CO3 (0.80 g, 5.8 mmol) and DMAP (0.05 g, 0.4 mmol) in THF (20 mL), solution of 2-nitrobenzoyl chloride (2a) (1.15 g, 6.24 mmol) in THF (5 mL) was added at room temperature and the mixture was refluxed for 2 h. The reaction mixture was cooled down to room temperature and concentrated under reduced pressure. Then water (100 mL) was added to the mixture and stirred for 10 min at room temperature. The resulting precipitate was collected by filtration. The reaction was monitored by TLC with EA. White solid product (1.46 g, 90%). MS: [M + H]+ 336.22. 1H-NMR: δ ppm 6.30 (t, J = 6.4 Hz, 1H), 6.47 (d, J = 9.2 Hz, 1H), 7.39 (d, J = 8.8 Hz, 2H), 7.49 (t, J = 4.4 Hz, 1H), 7.63 (d, J = 6.8 Hz, 1H), 7.76–7.80 (m, 4H), 7.89 (t, J = 7.6 Hz, 1H), 8.17 (d, J = 8.0 Hz, 1H), 10.84 (s, NH).
5-Chloro-2-nitro-N-(4-(2-oxopyridin-1(2H)-yl)phenyl)benzamide (4b). Compound 4b was prepared from 3a and 5-chloro-2-nitrobenzoyl chloride (2b) according to the procedure described for the preparation of 4a. White solid product (1.64 g, 92%). MS: [M + H]+ 370.05. 1H-NMR: δ ppm 6.31 (t, J = 6.8 Hz, 1H), 6.47 (d, J = 9.2 Hz, 1H), 7.40 (d, J = 8.4 Hz, 2H), 7.50 (t, J = 2.4 Hz, 1H), 7.63 (d, J = 8.8 Hz, 1H), 7.76 (d, J = 6.8 Hz, 2H), 7.86 (d, J = 6.4 Hz, 1H), 8.00 (s, 1H), 8.20 (d, J = 8.8 Hz, 1H), 10.88 (s, NH).
5-Methyl-2-nitro-N-(4-(2-oxopyridin-1(2H)-yl)phenyl)benzamide (4c). Compound 4c was prepared from 3a and 5-methyl-2-nitrobenzoyl chloride (2c) according to the procedure described for the preparation of 4a. White solid product (1.50 g, 89%). MS: [M + H]+ 350.42. 1H-NMR: δ ppm 2.43 (s, 3H), 6.31 (t, J = 6.4 Hz, 1H), 6.47 (d, J = 9.2 Hz, 1H), 7.38 (d, J = 8.8 Hz, 2H), 7.50 (t, J = 4.8 Hz, 1H), 7.55–7.64 (m, 3H), 7.76 (d, J = 9.2 Hz, 2H), 8.08 (d, J = 8.4 Hz, 1H), 10.78 (s, NH).
3-Methyl-2-nitro-N-(4-(2-oxopyridin-1(2H)-yl)phenyl)benzamide (4d). Compound 4d was prepared from 3a and 3-methyl-2-nitrobenzoyl chloride (2d) according to the procedure described for the preparation of 4a. White solid product (1.54 g, 91%). MS: [M + H]+ 350.10. 1H-NMR: δ ppm 2.36 (s, CH3), 6.30 (t, J = 6.4 Hz, 1H), 6.46 (d, J = 9.2 Hz, 1H), 7.38–7.40 (m, 2H), 7.49 (t, J = 8.8 Hz, 1H), 7.62 (d, J = 8.8 Hz, 1H), 7.64–7.67 (m, 2H), 7.69–7.73 (m, 1H),7.77 (d, J = 8.8 Hz, 2H), 10.87 (s, NH).
2-Nitro-N-(4-(3-oxomorpholino)phenyl)benzamide (4e). Compound 4e was prepared from 4-(4-aminophenyl)morpholin-3-one (3b) and 2a according to the procedure described for the preparation of 4a. White solid product (1.54 g, 93 %). MS: [M + H] + 342.09. 1H-NMR: δ ppm 3.71 (t, J = 4.8 Hz, CH2), 3.97 (t, J = 4.8 Hz, CH2), 4.19 (s, 2H), 7.37 (d, J = 8.8 Hz, 2H), 7.67 (d, J = 8.8 Hz, 2H), 7.74–7.78 (m, 2H), 7.87 (t, J = 7.6 Hz, 1H), 8.15 (d, J = 8.0 Hz, 1H), 10.72 (s, NH).
5-Chloro-2-nitro-N-(4-(3-oxomorpholino)phenyl)benzamide (4f). Compound 4f was prepared from 3b and 2b according to the procedure described for the preparation of 4a. White solid product (1.67 g, 94%). MS: [M + H]+ 376.05. 1H-NMR: δ ppm 3.72 (t, J = 10.0 Hz, 2H), 3.97 (t, J = 10.0 Hz, 2H), 4.19 (s, 2H), 7.38 (d, J = 8.4 Hz, 2H), 7.66 (d, J = 8.8 Hz, 2H), 7.84 (d, J = 8.8 Hz, 2H), 7.94 (s, 1H), 8.18 (d, J = 8.8 Hz, 2H), 10.77 (s, NH).
5-Methyl-2-nitro-N-(4-(3-oxomorpholino)phenyl)benzamide (4g). Compound 4g was prepared from 3b and 2c according to the procedure described for the preparation of 4a. White solid product (1.55 g, 90%). MS: [M + H]+ 355.99. 1H-NMR: δ ppm 2.47 (s, CH3), 3.71 (t, J = 4.8 Hz, CH2), 3.97 (t, J = 4.8 Hz, CH2), 4.19 (s, CH2), 7.37 (d, J = 8.8 Hz, 2H), 7.55 (d, J = 8.8 Hz, 2H), 7.57 (s, 1H), 7.67 (d, J = 8.8 Hz, 2H), 8.07 (d, J = 8.4 Hz, 1H), 10.66 (s, NH).
3-Methyl-2-nitro-N-(4-(3-oxomorpholino)phenyl)benzamide (4h). Compound 4h was prepared from 3b and 2d according to the procedure described for the preparation of 4a. White solid product (1.53 g, 89%). MS: [M + H]+ 356.19. 1H-NMR: δ ppm 2.36 (s, CH3), 3.72 (t, J = 4.8 Hz, CH2), 3.98 (t, J = 4.8 Hz, CH2), 4.20 (s, CH2), 7.38 (d, J = 8.8 Hz, 2H), 7.65–7.24 (m, 5H), 10.76 (s, NH).
2-Amino-N-(4-(2-oxopyridin-1(2H)-yl)phenyl)benzamide (5a). To a 250 mL round bottom flask, 4a (1.40 g, 3.9 mmol), zinc powder (2.05 g, 31.2 mmol), NH4Cl (2.11 g, 39 mmol), methanol (30 mL), THF (30 mL) and water (15 mL) were added. The mixture stirred at 40 °C for 2 h. The reaction mixture was filtered, washed with DMF and the filtrate was concentrated under reduced pressure. Then water (200 mL) was added to the mixture and stirred for 0.5 h. The residue was filtered and washed with water to yield the title compound as a white solid product (1.13 g, 89%). The reaction was monitored by TLC with EA. MS: [M + H]+ 306.10. 1H-NMR: δ ppm 6.30 (t, J = 6.4 Hz, 1H), 6.34 (s, NH2), 6.46 (d, J = 8.8 Hz, 1H), 6.60 (t, J = 7.2 Hz, 1H), 6.76 (d, J = 8.4 Hz, 1H), 7.21 (t, J = 7.2 Hz, 1H), 7.33–7.36 (m, 2H), 7.49 (t, J = 8.8 Hz, 1H), 7.61–7.65 (m, 2H), 7.83 (d, J = 8.8 Hz, 2H), 10.14 (s, NH).
2-Amino-5-chloro-N-(4-(2-oxopyridin-1(2H)-yl)phenyl)benzamide (5b). Compound 5b was prepared from 4b according to the procedure described for the preparation of 5a. White solid product (1.29 g, 91%). MS: [M + H]+ 340.10. 1H-NMR: δ ppm 6.30 (t, J = 5.2 Hz, 1H), 6.47 (d, J = 10.4 Hz, 1H), 6.48 (s, NH2), 6.78 (d, J = 9.2 Hz, 1H), 7.24 (d, J = 6.8 Hz, 1H), 7.35 (d, J = 8.8 Hz, 2H), 7.49 (t, J = 7.2 Hz, 1H), 7.63 (d, J = 8.4 Hz, 1H), 7.70 (s, 1H), 7.80 (d, J = 8.8 Hz, 2H), 10.24 (s, NH).
2-Amino-5-methyl-N-(4-(2-oxopyridin-1(2H)-yl)phenyl)benzamide (5c). Compound 5c was prepared from 4c according to the procedure described for the preparation of 5a. White solid product (1.23 g, 92%). MS: [M + H]+ 320.04. 1H-NMR: δ ppm 2.22 (s, CH3), 6.11 (s, NH2), 6.30 (t, J = 6.4 Hz, 1H), 6.46 (d, J = 8.8 Hz, 1H), 6.68 (d, J = 8.4 Hz, 1H), 7.04 (d, J = 8.0 Hz, 1H), 7.34 (d, J = 8.8 Hz, 2H), 7.44 (s, 1H), 7.49 (t, J = 8.8 Hz, 1H), 7.63 (d, J = 8.8 Hz, 1H), 7.81 (d, J = 8.8 Hz, 2H), 10.11 (s, NH).
2-Amino-3-methyl-N-(4-(2-oxopyridin-1(2H)-yl)phenyl)benzamide (5d). Compound 5d was prepared from 4d according to the procedure described for the preparation of 5a. White solid product (1.20 g, 90%). MS: [M + H]+ 320.04. 1H-NMR: δ ppm 2.12 (s, CH3), 6.13 (s, NH2), 6.30 (t, J = 6.8 Hz, 1H), 6.46 (d, J = 9.2 Hz, 1H), 6.58 (t, J = 7.2 Hz, 1H), 7.15 (d, J = 7.2 Hz, 1H), 7.34 (d, J = 8.8 Hz, 2H), 7.47–7.54 (m, 2H), 7.62 (d, J = 8.4 Hz, 1H), 7.82 (d, J = 8.8 Hz, 2H), 10.17 (s, NH).
2-Amino-N-(4-(3-oxomorpholino)phenyl)benzamide (5e). Compound 5e was prepared from 4e according to the procedure described for the preparation of 5a. White solid product (1.21 g, 93%). MS: [M + H]+ 312.04. 1H-NMR: δ ppm 3.71 (t, J = 4.8 Hz, CH2), 3.96 (t, J = 4.8 Hz, CH2), 4.18 (s, CH2), 6.31 (s, NH2), 6.58 (t, J = 7.2 Hz, 1H), 6.74 (d, J = 8.0 Hz, 1H), 7.13 (t, J = 8.4 Hz, 1H), 7.33 (d, J = 7.2 Hz, 2H), 7.61 (d, J = 8.8 Hz, 1H), 7.72 (d, J = 8.8 Hz, 2H), 10.03 (s, NH).
2-Amino-5-chloro-N-(4-(3-oxomorpholino)phenyl)benzamide (5f). Compound 5f was prepared from 4f according to the procedure described for the preparation of 5a. White solid product (1.28 g, 89%). MS: [M + H]+ 345.97. 1H-NMR: δ ppm 3.71 (t, J = 4.8 Hz, CH2), 3.96 (t, J = 4.8 Hz, CH2), 4.19 (s, CH2), 6.46 (s, NH2), 6.78 (d, J = 8.8 Hz, 1H), 7.23 (d, J = 8.8 Hz, 2H), 7.34 (d, J = 8.8 Hz, 2H), 7.68 (d, J = 7.6 Hz, 2H), 7.72 (s, 1H), 10.14 (s, NH).
2-Amino-5-methyl-N-(4-(3-oxomorpholino)phenyl)benzamide (5g). Compound 5g was prepared from 4g according to the procedure described for the preparation of 5a. White solid product (1.22 g, 90%). MS: [M + H]+ 326.07. 1H-NMR: δ ppm 2.21 (s, CH3), 3.71 (t, J = 4.8 Hz, CH2), 3.96 (t, J = 4.8 Hz, CH2), 4.19 (s, CH2), 6.09 (s, NH2), 6.67 (d, J = 8.4 Hz, 1H), 7.03 (d, J = 8.0 Hz, 1H), 7.33 (d, J = 8.8 Hz, 2H), 7.42 (s, 1H), 7.72 (d, J = 8.8 Hz, 2H), 10.01 (s, NH).
2-Amino-3-methyl-N-(4-(3-oxomorpholino)phenyl)benzamide (5h). Compound 5h was prepared from 4h according to the procedure described for the preparation of 5a. White solid product (1.23 g, 91%). MS: [M + H]+ 326.03. 1H-NMR: δ ppm 2.11 (s, CH3), 3.71 (t, J = 4.8 Hz, CH2), 3.96 (t, J = 4.8 Hz, CH2), 4.19 (s, CH2), 6.11 (s, NH2), 6.56 (t, J = 7.6 Hz, 1H), 7.13 (d, J = 6.8 Hz, 1H), 7.33 (d, J = 8.8 Hz, 2H), 7.51 (d, J = 7.6 Hz, 1H), 7.72 (d, J = 8.8 Hz, 2H), 10.06 (s, NH).
5-Chloro-N-(2-((4-(2-oxopyridin-1(2H)-yl)phenyl)carbamoyl)phenyl)thiophene-2-carboxamide (1a). To a stirred solution of 5a (0.30 g, 0.98 mmol), K2CO3 (0.16 g, 1.18 mmol) and DMAP (0.01 g, 0.08 mmol) in THF (10 mL), solution of 5-chlorothiophene-2-carbonyl chloride (6a) (0.23 g, 1.27 mmol) in THF (5 mL) was added at room temperature and the mixture was refluxed for 4 h. The reaction mixture was cool down to room temperature and water (30 mL) was added. The resulting precipitate was collected by filtration. The authentic sample was prepared by recrystallization from DMF/MeOH. The reaction was monitored by TLC with EA. White solid product (0.27 g, 60%), m.p. > 250 °C. 1H-NMR: δ ppm 6.31 (t, J = 6.4 Hz, 1H), 6.47 (d, J = 9.2 Hz, 1H), 7.27 (d, J = 4.0 Hz, 1H), 7.32 (t, J = 7.2 Hz, 1H), 7.38 (d, J = 8.4 Hz, 2H), 7.50 (t, J = 8.8 Hz, 1H), 7.59–7.64 (m, 3H), 7.81 (d, J = 8.4 Hz, 2H), 7.92 (d, J = 7.6 Hz, 1H), 8.22 (d, J = 8.4 Hz, 1H), 10.67 (s, NH), 11.52 (s, NH). HRMS (ESI) calcd. for C23H16ClN3O3S: [M + Na]+ m/z: 472.0499, found: 472.0482.
2-(4-Fluorobenzamido)-N-(4-(2-oxopyridin-1(2H)-yl)phenyl)benzamide (1b). Compound 1b was prepared from 5a and 4-fluorobenzoyl chloride (6b) according to the procedure described for the preparation of 1a. White solid product (0.24 g, 56%), m.p. > 250 °C. 1H-NMR: δ ppm 6.31 (t, J = 6.8 Hz, 1H), 6.47 (d, J = 8.8 Hz, 1H), 7.31 (t, J = 7.6 Hz, 1H), 7.37–7.42 (m, 4H), 7.50 (t, J = 8.8 Hz, 1H), 7.60–7.64 (m, 2H), 7.81 (d, J = 8.8 Hz, 2H), 7.93 (d, J = 7.6 Hz, 1H), 7.96–8.00 (m, 2H), 8.39 (d, J = 8.0 Hz, 1H), 10.68 (s, NH), 11.56 (s, NH). HRMS (ESI) calcd. for C25H18FN3O3: [M + Na]+ m/z: 450.1230, found: 450.1222.
2-(4-Chlorobenzamido)-N-(4-(2-oxopyridin-1(2H)-yl)phenyl)benzamide (1c). Compound 1c was prepared from 5a and 4-chlorobenzoyl chloride (6c) according to the procedure described for the preparation of 1a. White solid product (0.28 g, 63%), m.p. > 250 °C. 1H-NMR: δ ppm 6.31 (t, J = 6.4 Hz, 1H), 6.47 (d, J = 9.2 Hz, 1H), 7.32 (t, J = 7.2 Hz, 1H), 7.38 (d, J = 8.8 Hz, 2H), 7.50 (t, J = 8.8 Hz, 1H), 7.60–7.65 (m, 4H), 7.81 (d, J = 8.8 Hz, 2H), 7.92 (d, J = 8.4 Hz, 3H), 8.38 (d, J = 8.0 Hz, 1H), 10.68 (s, NH), 11.57 (s, NH). HRMS (ESI) calcd. for C25H18ClN3O3: [M + Na]+ m/z: 466.0934, found: 466.0933.
5-Chloro-N-(4-chloro-2-((4-(2-oxopyridin-1(2H)-yl)phenyl)carbamoyl)phenyl)thiophene-2-carboxamide (1d). Compound 1d was prepared from 5b and 6a according to the procedure described for the preparation of 1a. White solid product (0.31 g, 65%), m.p. > 250 °C. 1H-NMR: δ ppm 6.31 (t, J = 6.8 Hz, 1H), 6.47 (d, J = 9.2 Hz, 1H), 7.27 (d, J = 4.0 Hz, 1H), 7.39 (d, J = 8.8 Hz, 2H), 7.50 (t, J = 8.8 Hz, 1H), 7.62–7.69 (m, 3H), 7.80 (d, J = 8.8 Hz, 2H), 7.96 (d, J = 2.4 Hz, 1H), 8.19 (d, J = 8.8 Hz, 1H), 10.73 (s, NH), 11.41 (s, NH). HRMS (ESI) calcd. for C23H15Cl2N3O3S: [M + Na]+ m/z: 506.0109, found: 506.0104.
5-Chloro-2-(4-fluorobenzamido)-N-(4-(2-oxopyridin-1(2H)-yl)phenyl)benzamide (1e). Compound 1e was prepared from 5b and 6b according to the procedure described for the preparation of 1a. White solid product (0.25 g, 55%), m.p. > 250 °C. 1H-NMR: δ ppm 6.30 (t, J = 6.8 Hz, 1H), 6.47 (d, J = 9.2 Hz, 1H), 7.40 (t, J = 8.8 Hz, 4H), 7.50 (t, J = 6.8 Hz, 1H), 7.62 (d, J = 1.6 Hz, 1H), 7.63 (d, J = 1.6 Hz, 1H), 7.68 (d, J = 8.8 Hz, 2H), 7.95–7.99 (m, 3H), 7.36 (d, J = 8.8 Hz, 1H), 10.74 (s, NH), 11.44 (s, NH). HRMS (ESI) calcd. for C25H17ClFN3O3: [M + Na]+ m/z: 484.0840, found: 484.0845.
5-Chloro-2-(4-chlorobenzamido)-N-(4-(2-oxopyridin-1(2H)-yl)phenyl)benzamide (1f). Compound 1f was prepared from 5b and 6c according to the procedure described for the preparation of 1a. White solid product (0.29 g, 60%), m.p. > 250 °C. 1H-NMR: δ ppm 6.30 (t, J = 6.0 Hz, 1H), 6.47 (d, J = 9.6 Hz, 1H), 7.39 (d, J = 8.4 Hz, 2H), 7.50 (t, J = 6.8 Hz, 1H), 7.62–7.70 (m, 4H), 7.78 (d, J = 8.0 Hz, 2H), 7.91 (d, J = 8.8 Hz, 2H), 7.97 (s, 1H), 8.34 (d, J = 9.6 Hz, 1H), 10.74 (s, NH), 11.45 (s, NH). HRMS (ESI) calcd. for C25H17Cl2N3O3: [M + Na]+ m/z: 500.0545, found: 500.0539.
5-Chloro-N-(4-methyl-2-((4-(2-oxopyridin-1(2H)-yl)phenyl)carbamoyl)phenyl)thiophene-2-carboxami-de (1g). Compound 1g was prepared from 5c and 6a according to the procedure described for the preparation of 1a. White solid product (0.27 g, 58%), m.p. > 250 °C. 1H-NMR: δ ppm 2.39 (s, CH3), 6.31 (t, J = 6.4 Hz, 1H), 6.47 (d, J = 9.2 Hz, 1H), 7.26 (d, J = 4 Hz, 1H), 7.25–7.43 (m, 3H), 7.50 (t, J = 8.8 Hz, 1H), 7.61–7.64 (m, 2H), 7.72 (s, 1H), 7.81 (d, J = 8.8 Hz, 2H), 8.08 (d, J = 8.4 Hz, 1H), 10.62 (s, NH), 11.38 (s, NH). HRMS (ESI) calcd. for C24H18ClN3O3S: [M + Na]+ m/z: 486.0655, found: 486.0648.
2-(4-Fluorobenzamido)-5-methyl-N-(4-(2-oxopyridin-1(2H)-yl)phenyl)benzamide (1h). Compound 1h was prepared from 5c and 6b according to the procedure described for the preparation of 1a. White solid product (0.27 g, 61%), m.p. > 250 °C. 1H-NMR: δ ppm 2.39 (s, CH3), 6.30 (t, J = 6.4 Hz, 1H), 6.47 (d, J = 9.2 Hz, 1H), 7.37–7.44 (m, 5H), 7.49 (t, J = 8.8 Hz, 1H), 7.62 (d, J = 5.6 Hz, 1H), 7.74 (s, 1H), 7.80 (d, J = 8.8 Hz, 2H), 7.94–7.98 (m, 2H), 8.27 (d, J = 8.4 Hz, 1H), 10.64 (s, NH), 11.43 (s, NH). HRMS (ESI) calcd. for C26H20FN3O3: [M + Na]+ m/z: 464.1386, found: 464.1379.
2-(4-Chlorobenzamido)-5-methyl-N-(4-(2-oxopyridin-1(2H)-yl)phenyl)benzamide (1i). Compound 1i was prepared from 5c and 6c according to the procedure described for the preparation of 1a. White solid product (0.29 g, 63 %), m.p. > 250 °C. 1H-NMR: δ ppm 2.39 (s, CH3), 6.30 (t, J = 7.2 Hz, 1H), 6.47 (d, J = 9.2 Hz, 1H), 7.38 (d, J = 8.8 Hz, 2H), 7.43 (d, J = 8.4 Hz, 1H), 7.50 (t, J = 8.8 Hz, 1H), 7.62–7.64 (m, 3H), 7.73 (s, 1H), 7.80 (d, J = 8.8 Hz, 2H), 7.91 (d, J = 8.8 Hz, 2H), 8.25 (d, J = 8.4 Hz, 1H), 10.64 (s, NH), 11.44 (s, NH). HRMS (ESI) calcd. for C26H20ClN3O3: [M + Na]+ m/z: 480.1091, found: 480.1083.
5-Chloro-N-(2-methyl-6-((4-(2-oxopyridin-1(2H)-yl)phenyl)carbamoyl)phenyl)thiophene-2-carboxami-de (1j). Compound 1j was prepared from 5d and 6a according to the procedure described for the preparation of 1a. White solid product (0.23 g, 50%), m.p. > 250 °C. 1H-NMR: δ ppm 2.27 (s, CH3), 6.28 (t, J = 6.8 Hz, 1H), 6.45 (d, J = 9.2 Hz, 1H), 7.22 (d, J = 4.0 Hz, 1H), 7.30–7.34 (m, 2H), 7.37 (d, J = 7.6 Hz, 1H), 7.46–7.52 (m, 3H), 7.59 (d, J = 6.8 Hz, 1H), 7.77 (d, J = 8.8 Hz, 2H), 7.84 (d, J = 4.4 Hz, 1H), 10.10 (s, NH), 11.42 (s, NH). HRMS (ESI) calcd. for C24H18ClN3O3S: [M + Na]+ m/z: 486.0655, found: 486.0649.
2-(4-Fluorobenzamido)-3-methyl-N-(4-(2-oxopyridin-1(2H)-yl)phenyl)benzamide (1k). Compound 1k was prepared from 5d and 6b according to the procedure described for the preparation of 1a. White solid product (0.22 g, 46%), m.p. > 250 °C. 1H-NMR: δ ppm 2.28 (s, CH3), 6.27 (t, J = 6.8 Hz, 1H), 6.44 (d, J = 9.2 Hz, 1H), 7.29–7.32 (m, 5H), 7.46–7.50 (m, 3H), 7.57 (d, J = 8.8 Hz, 1H), 7.77 (d, J = 8.8 Hz, 2H), 7.98–8.01 (m, 2H), 9.99 (s, NH), 11.41 (s, NH). HRMS (ESI) calcd. for C26H20FN3O3: [M + Na]+ m/z: 464.1386, found: 464.1381.
2-(4-Chlorobenzamido)-3-methyl-N-(4-(2-oxopyridin-1(2H)-yl)phenyl)benzamide (1l). Compound 1l was prepared from 5d and 6c according to the procedure described for the preparation of 1a. White solid product (0.22 g, 48%), m.p. > 250 °C. 1H-NMR: δ ppm 2.28 (s, CH3), 6.27 (t, J = 6.4 Hz, 1H), 6.44 (d, J = 8.8 Hz, 1H), 7.30 (d, J = 8.8 Hz, 2H), 7.36 (t, J = 7.6 Hz, 1H), 7.46–7.50 (m, 3H), 7.56–7.59 (m, 3H), 7.77 (d, J = 8.4 Hz, 2H), 7.94 (d, J = 8.4 Hz, 2H), 10.05 (s, NH), 10.42 (s, NH). HRMS (ESI) calcd. for C26H20ClN3O3: [M + Na]+ m/z: 480.1091, found: 480.1087.
5-Chloro-N-(2-((4-(3-oxomorpholino)phenyl)carbamoyl)phenyl)thiophene-2-carboxamide (1m). Compound 1m was prepared from 5e and 6a according to the procedure described for the preparation of 1a. White solid product (0.29 g, 63%), m.p. > 250 °C. 1H-NMR: δ ppm 3.72 (t, J = 4.8 Hz, CH2), 3.97 (t, J = 4.8 Hz, CH2), 4.19 (s, CH2), 7.27 (d, J = 4.0 Hz, 1H), 7.30 (t, J = 7.2 Hz, 1H), 7.38 (d, J = 8.8 Hz, 2H), 7.58–7.60 (m, 2H), 7.72 (d, J = 8.8 Hz, 2H), 7.91 (d, J = 7.6 Hz, 1H), 8.24 (d, J = 8.4 Hz, 1H), 10.57 (s, NH), 11.60 (s, NH). HRMS (ESI) calcd. for C22H18ClN3O4S: [M + Na]+ m/z: 478.0604, found: 478.0613.
2-(4-Fluorobenzamido)-N-(4-(3-oxomorpholino)phenyl)benzamide (1n). Compound 1n was prepared from 5e and 6b according to the procedure described for the preparation of 1a. White solid product (0.27 g, 62%), m.p. > 250 °C. 1H-NMR: δ ppm 3.72 (t, J = 4.8 Hz, CH2), 3.97 (t, J = 4.8 Hz, CH2), 4.19 (s, CH2), 7.29 (t, J = 7.6 Hz, 1H), 7.36–7.42 (m, 4H), 7.61 (t, J = 7.8 Hz, 1H), 7.71 (d, J = 8.8 Hz, 2H), 7.92 (d, J = 8.0 Hz, 1H), 7.95–7.99 (m, 2H), 8.42 (d, J = 8.4 Hz, 1H), 10.58 (s, NH), 11.64 (s, NH). HRMS (ESI) calcd. for C24H20FN3O4: [M + Na]+ m/z: 456.1336, found: 456.1386.
2-(4-Chlorobenzamido)-N-(4-(3-oxomorpholino)phenyl)benzamide (1o). Compound 1o was prepared from 5e and 6c according to the procedure described for the preparation of 1a. White solid product (0.30 g, 67%), m.p. > 250 °C. 1H-NMR: δ ppm 3.59 (t, J = 4.8 Hz, CH2), 3.71 (t, J = 4.8 Hz, CH2), 4.19 (s, CH2), 7.30 (t, J = 7.2 Hz, 1H), 7.37 (d, J = 8.8 Hz, 2H), 7.60–7.65 (m, 3H), 7.71 (d, J = 9.2 Hz, 2H), 7.91 (d, J = 8.4 Hz, 3H), 8.40 (d, J = 8.0 Hz, 1H), 10.58 (s, NH), 11.64 (s, NH). HRMS (ESI) calcd. for C24H20ClN3O4: [M + Na]+ m/z: 472.1040, found: 472.1035.
5-Chloro-N-(4-chloro-2-((4-(3-oxomorpholino)phenyl)carbamoyl)phenyl)thiophene-2-carboxamide (1p). Compound 1p was prepared from 5f and 6a according to the procedure described for the preparation of 1a. White solid product (0.32 g, 65%), m.p. > 250 °C. 1H-NMR: δ ppm 3.72 (t, J = 4.8 Hz, CH2), 3.97 (t, J = 4.8 Hz, CH2), 4.19 (s, CH2), 7.26 (s, 1H), 7.38 (d, J = 8.8 Hz, 2H), 7.62–7.71 (m, 4H), 7.95 (d, J = 2.0 Hz, 1H), 8.22 (d, J = 8.8 Hz, 1H), 10.63 (s, NH), 11.49 (s, NH). HRMS (ESI) calcd. for C22H17Cl2N3O4S: [M + Na]+ m/z: 512.0215, found: 512.0205.
5-Chloro-2-(4-fluorobenzamido)-N-(4-(3-oxomorpholino)phenyl)benzamide (1q). Compound 1q was prepared from 5f and 6b according to the procedure described for the preparation of 1a. White solid product (0.29 g, 63%), m.p. > 250 °C. 1H-NMR: δ ppm 3.71 (t, J = 4.8 Hz, CH2), 3.97 (t, J = 4.8 Hz, CH2), 4.19 (s, CH2), 7.33–7.43 (m, 4H), 7.65–7.70 (m, 3H), 7.95–7.98 (m, 3H), 8.39 (d, J = 8.8 Hz, 1H), 10.65 (s, NH), 11.54 (s, NH). HRMS (ESI) calcd. for C24H19ClFN3O4: [M + Na]+ m/z: 490.0946, found: 490.0940.
5-Chloro-2-(4-chlorobenzamido)-N-(4-(3-oxomorpholino)phenyl)benzamide (1r). Compound 1r was prepared from 5f and 6c according to the procedure described for the preparation of 1a. White solid product (0.32 g, 66%), m.p. > 250 °C. 1H-NMR: δ ppm 3.71 (t, J = 4.8 Hz, CH2), 3.97 (t, J = 4.8 Hz, CH2), 4.19 (s, CH2), 7.37 (d, J = 8.8 Hz, 2H), 7.63 (d, J = 8.4 Hz, 2H), 7.67–7.72 (m, 3H), 7.91 (d, J = 8.4 Hz, 2H), 7.96 (d, J = 2.4 Hz, 1H), 8.37 (d, J = 8.8 Hz, 1H), 10.65 (s, NH), 11.52 (s, NH). HRMS (ESI) calcd. for C24H19Cl2N3O4: [M + Na]+ m/z: 506.0650, found: 506.0644.
5-Chloro-N-(4-methyl-2-((4-(3-oxomorpholino)phenyl)carbamoyl)phenyl)thiophene-2-carboxamide (1s). Compound 1s was prepared from 5g and 6a according to the procedure described for the preparation of 1a. White solid product (0.30 g, 63%), m.p. > 250 °C. 1H-NMR: δ ppm 2.37 (s, CH3), 3.72 (t, J = 4.8 Hz, CH2), 3.97 (t, J = 4.8 Hz, CH2), 4.19 (s, CH2), 7.25 (d, J = 3.6 Hz, 1H), 7.36–7.42 (m, 3H), 7.60 (d, J = 3.2 Hz, 1H), 7.70 (d, J = 8.8 Hz, 3H), 8.10 (d, J = 8.0 Hz, 1H), 10.52 (s, NH), 11.45 (s, NH). HRMS (ESI) calcd. for C23H20ClN3O4S: [M + Na]+ m/z: 492.0761, found: 492.0754.
2-(4-Fluorobenzamido)-5-methyl-N-(4-(3-oxomorpholino)phenyl)benzamide (1t). Compound 1t was prepared from 5g and 6b according to the procedure described for the preparation of 1a. White solid product (0.28 g, 63%), m.p. > 250 °C. 1H-NMR: δ ppm 2.38 (s, CH3), 3.72 (t, J = 4.8 Hz, CH2), 3.97 (t, J = 4.8 Hz, CH2), 4.19 (s, CH2), 7.36–7.43 (m, 5H), 7.69–7.73 (m, 3H), 7.94–7.97 (m, 2H), 8.29 (d, J = 8.4 Hz, 1H), 10.54 (s, NH), 11.49 (s, NH). HRMS (ESI) calcd. for C25H22FN3O4: [M + Na]+ m/z: 470.1492, found: 470.1487.
2-(4-Chlorobenzamido)-5-methyl-N-(4-(3-oxomorpholino)phenyl)benzamide (1u). Compound 1u was prepared from 5g and 6c according to the procedure described for the preparation of 1a. White solid product (0.28 g, 60%), m.p. > 250 °C. 1H-NMR: δ ppm 2.39 (s, CH3), 3.72 (t, J = 4.8 Hz, CH2), 3.97 (t, J = 4.8 Hz, CH2), 4.19 (s, CH2), 7.37 (d, J = 8.8 Hz, 2H), 7.42 (d, J = 8.0 Hz, 1H), 7.63 (d, J = 8.4 Hz, 2H), 7.69–7.73 (m, 2H), 7.90 (d, J = 8.8 Hz, 2H), 8.27 (d, J = 8.4 Hz, 1H), 10.54 (s, NH), 11.51 (s, NH). HRMS (ESI) calcd. for C25H22ClN3O4: [M + Na]+ m/z: 486.1197, found: 486.1185.
5-Chloro-N-(2-methyl-6-((4-(3-oxomorpholino)phenyl)carbamoyl)phenyl)thiophene-2-carboxamide (1v). Compound 1v was prepared from 5h and 6a according to the procedure described for the preparation of 1a. White solid product (0.24 g, 51%), m.p. > 250 °C. 1H-NMR: δ ppm 2.22 (s, CH3), 3.68 (t, J = 4.8 Hz, CH2), 3.95 (t, J = 4.8 Hz, CH2), 4.17 (s, CH2), 7.24 (d, J = 7.6 Hz, 1H), 7.31 (d, J = 9.2 Hz, 2H), 7.39 (t, J = 8.8 Hz, 1H), 7.55 (d, J = 8.8 Hz, 1H), 7.6 (d, J = 8.8 Hz, 2H), 7.70–7.79 (m, 2H), 10.10 (s, NH), 10.29 (s, NH). HRMS (ESI) calcd. for C23H20ClN3O4S: [M + Na]+ m/z: 492.0761, found: 492.0755.
2-(4-Fluorobenzamido)-3-methyl-N-(4-(3-oxomorpholino)phenyl)benzamide (1w). Compound 1w was prepared from 5h and 6b according to the procedure described for the preparation of 1a. White solid product (0.19 g, 43%), m.p. > 250 °C. 1H-NMR: δ ppm 2.49 (s, CH3), 3.67 (t, J = 4.8 Hz, CH2), 3.94 (t, J = 4.8 Hz, CH2), 4.16 (s, CH2), 7.27–7.36 (m, 5H), 7.47 (t, J = 7.6 Hz, 2H), 7.67 (d, J = 8.4 Hz, 2H), 7.97–8.01 (m, 2H), 9.98 (s, NH), 10.28 (s, NH). HRMS (ESI) calcd. for C25H22FN3O4: [M + Na]+ m/z: 470.1492, found: 470.1488.
2-(4-Chlorobenzamido)-3-methyl-N-(4-(3-oxomorpholino)phenyl)benzamide (1x). Compound 1x was prepared from 5h and 6c according to the procedure described for the preparation of 1a. White solid product (0.21 g, 46%), m.p. > 250 °C. 1H-NMR: δ ppm 2.27 (s, CH3), 3.67 (t, J = 4.8 Hz, CH2), 3.95 (t, J = 4.8 Hz, CH2), 4.17 (s, CH2), 7.28 (d, J = 8.8 Hz, 2H), 7.34 (t, J = 6.8 Hz, 1H), 7.47 (t, J = 8.4 Hz, 2H), 7.56 (d, J = 8.4 Hz, 2H), 7.67 (d, J = 8.4 Hz, 2H), 7.93 (d, J = 8.0 Hz, 2H), 10.03 (s, NH), 10.29 (s, NH). HRMS (ESI) calcd. for C25H22ClN3O4: [M + Na]+ m/z: 486.1197, found: 486.1196.
3.3. Inhibition of FXa in Vitro
The inhibition of FXa was measured using human FXa (Hyphen BioMed, Paris, France) and chromogenic substrate CS-11(22) (Hyphen BioMed, Paris, France) in 384-well microtiter plates at room temperature. The synthesized compounds (1a–1x) and Rivaroxaban were dissolved in DMSO at a concentration of 10 mM and then serially diluted to spanning a range of 30 nM to 100 μM, respectively. 2 μL of FXa (56.8 nM), 16 μL of Tris buffer (adjust to pH 7.4 with HCl containing 0.3 M NaCl and 50 mM Tris) and 3 μL of test compound were added to the well, respectively. The negative control was composed of the same mixed solutions except replacing test compound with DMSO. The positive control was composed of the same mixed solutions except replacing test compound with rivaroxaban. After incubated at 37 °C for 5 min, 8 μL of FXa substrate solution (3.5 mM) was added and then incubated at 37 °C for 25 min. The FXa activity was measured at 405 nm using a SpectraMax M5 (Molecular Devices, Sunnyvale, CA, USA). The IC50 was calculated by the software named SPSS (IBM, North Castle, NY, USA) and the Probit function in it.
3.4. Thrombin Inhibition in Vitro of 1a, 1g and 1s
The inhibition of thrombin was measured using human FIIa (Hyphen BioMed, Paris, France) and chromogenic substrate CS-01(38) (Hyphen BioMed, Paris, France) in 384-well microtiter plates at room temperature. The compounds 1a, 1g and 1s and Rivaroxaban were dissolved in DMSO to a concentration of 10 mM and then serially diluted to spanning a range of 10 μM to 100 μM, respectively. 2 μL of FIIa (3 NIH/mL), 20 μL of Tris buffer (adjust to pH 7.4 with HCl) containing 0.3 M NaCl and 50 mM Tris and 2 μL of test compound were added to the well, respectively. The negative control was composed of the same mixed solutions except replacing test compound with DMSO. The positive control was composed of the same mixed solutions except replacing test compound with Rivaroxaban. After incubated at 37 °C for 5 min, 3 μL of FIIa substrate solution (4 mM) was added and then incubated at 37 °C for 25 min. The FIIa activity was measured at 405 nm using a SpectraMax M5 (Molecular Devices).
3.5. Prothrombin Time (PT) Assay
A commercially available automatic coagulometer (Steellex Science Instrument Co., Ltd., Beijing, China) was employed to measure PT. The clotting times were also measured using the instrument itself, in accordance with the manufacturer’s instructions. Increasing concentrations of inhibitor or solvent were added to rat (Sprague-Dawley rats, Shanchuanhong Experimental Animals Co., Ltd., Tianjin, China) and human (29 Years old, male, Chinese) plasma and incubated for 3 min at 37 °C. Prothrombin time (PT) was determined by automatic coagulometer.
3.6. Docking Simulation Study
FXa structure was selected from the protein data bank (PDB code: 2xbv) and prepared using Protein Preparation Wizard in Schrödinger package, including assigning bond orders, adding hydrogen atoms, deleting water molecules, creating disulfide bonds and capping terminals. The original ligand of the protein structure-XBV was used as the docking center to generate the receptor grid parameters. The box size was set as 12 Å. Compounds 1g and 1s were prepared using the LigPrep module in Schrödinger. Epik method was used to determine possible ionization state of ligands at pH 7.0 ± 2.0 and low-energy conformers were produced using OPLS-2005 force field. Molecular docking calculations were performed by using Glide module with default parameters at standard precision in Schrödinger.
4. Conclusions
In this study, we designed and synthesized a series of novel potent FXa inhibitors based on the anthranilamide scaffold. In vitro inhibition activity studies showed that compounds 1a, 1g and 1s displayed evident FXa inhibition and excellent selectivity over thrombin. Compounds 1g and 1s also exhibited pronounced anticoagulant activity in in vitro anticoagulant activity studies. Further docking simulation study also disclosed that the interaction of compounds 1g and 1s with FXa was very similar to that of rivaroxaban. Therefore, compounds 1g and 1s with an anthranilamide scaffold could be considered as lead compounds for exploring new FXa inhibitors with better medicinal effects and further modification of this structure for better antithrombotic activity is still in progress.
Acknowledgments
This project was supported by the Scientific and Technological Plan Projects of Tianjin (No. 12ZCZDSY01100).
Author Contributions
Wenzhi Wang conceived, designed and performed the synthetic experiment part; Xiaoli Fu analyzed the data; Fancui Meng conceived, designed and performed the docking simulation study part; Shijun Zhang conceived, designed and performed the pharmacological test part; Wenzhi Wang wrote the paper. Yongnan Xu, Changjiang Huang, Weiren Xu and Jing Yuan assisted paper revision.
Conflicts of Interest
The authors declare no conflict of interest.
References
- Turpie, A.G. Advances in oral anticoagulation treatment: The safety and efficacy of rivaroxaban in the prevention and treatment of thromboembolism. Ther. Adv. Hematol. 2012, 3, 309–323. [Google Scholar] [CrossRef] [PubMed]
- Lee, Y.K.; Player, M.R. Developments in factor Xa inhibitors for the treatment of thromboembolic disorders. Med. Res. Rev. 2011, 31, 202–283. [Google Scholar] [CrossRef] [PubMed]
- Lau, D.H.; Alasady, M.; Brooks, A.G.; Sanders, P. Incidence and prognostic impact of new-onset atrial fibrillation in patients with septic shock: A prospective observational study. Rev. Cardiovasc. Ther. 2010, 8, 941–948. [Google Scholar] [CrossRef] [PubMed]
- Leadley, R.J. Coagulation factor Xa inhibition: Biological background and rationale. Curr. Top. Med. Chem. 2001, 1, 151–159. [Google Scholar] [CrossRef] [PubMed]
- Fareed, J.; Thethi, I.; Hoppensteadt, D. Old versus new oral anticoagulants: Focus on pharmacology. Annu. Rev. Pharmacol. Toxicol. 2012, 52, 79–99. [Google Scholar] [CrossRef] [PubMed]
- Bassand, J.P. Review of atrial fibrillation outcome trials of oral anticoagulant and antiplatelet agents. Europace 2012, 14, 312–324. [Google Scholar] [CrossRef] [PubMed]
- Ansell, J.; Hirsh, J.; Poller, L.; Bussey, H.; Jacobson, A.; Hylek, E. The pharmacology and management of the vitamin K antagonists. Chest 2004, 126 (Suppl. S3), 204s–233s. [Google Scholar] [CrossRef] [PubMed]
- Bukowska, A.; Zacharias, I.; Weinert, S.; Skopp, K.; Hartmann, C.; Huth, C.; Goette, A. Coagulation factor Xa induces an inflammatory signalling by activation of proteaseactivated receptors in human atrial tissue. Eur. J. Pharmacol. 2013, 718, 114–123. [Google Scholar] [CrossRef] [PubMed]
- Xue, T.; Ding, S.; Guo, B.; Zhou, Y.; Sun, P.; Wang, H.; Chu, W.; Gong, G.; Wang, Y.; Chen, X.; et al. Design, synthesis, and structure-activity and structure pharmacokinetic relationship studies of novel [6,6,5] tricyclic fused oxazolidinones leading to the discovery of a potent, selective, and orally bioavailable FXa inhibitor. J. Med. Chem. 2014, 57, 7770–7791. [Google Scholar] [CrossRef] [PubMed]
- Galanis, T.; Thomson, L.; Palladino, M.; Merli, G.J. New oral anticoagulants. J. Thromb. Thrombolysis. 2011, 31, 310–320. [Google Scholar] [CrossRef] [PubMed]
- Bauer, K. Recent progress in anticoagulant therapy: Oral direct inhibitors of thrombin and factor Xa. J. Thromb. Haemost. 2011, 9, 12–19. [Google Scholar] [CrossRef] [PubMed]
- Elisabeth, P.; Susanne, R.; Alexander, S.; Dagmar, K.; Frank, M. The discovery and development of Rivaroxaban, an oral, direct factor Xa inhibitor. Nat. Rev. Drug Discov. 2011, 10, 61–75. [Google Scholar]
- Pancras, C.W.; Donald, J.P.; Zhang, D.L. Preclinical discovery of apixaban, a direct and orally bioavailable factor Xa inhibitor. J. Thromb. Thrombolysis 2011, 31, 478–492. [Google Scholar]
- Maignan, S.; Guilloteau, J.P.; Choi-Sledeski, Y.M.; Becker, M.R.; Ewing, W.R.; Pauls, H.W.; Spada, A.P.; Mikol, V. Molecular Structures of Human Factor Xa Complexed with Ketopiperazine Inhibitors: Preference for a Neutral Group in the S1 Pocket. J. Med. Chem. 2003, 46, 685–690. [Google Scholar] [CrossRef] [PubMed]
- Mega, J.L.; Braunwald, E.; Wiviott, S.D.; Bassand, J.P.; Bhatt, D.L.; Bode, C.; Burton, P.; Cohen, M.; Cook, B.N.; Fox, K.A.; et al. Rivaroxaban in patients with a recent acute coronary syndrome—Edinburgh Research Explorer. N. Engl. J. Med. 2012, 366, 9–19. [Google Scholar] [CrossRef] [PubMed]
- Roehrig, S.; Straub, A.; Pohlmann, J.; Lampe, T.; Pernerstorfer, J.; Schlemmer, K.H.; Reinemer, P.; Perzborn, E. Discovery of the Novel antithrombotic Agent 5-Chloro-N-({(5S)-2-oxo-3-[4-(3-oxomorpholin-4-yl)phenyl]-1,3-oxazolidin-5-yl}methyl)thiophene-2-carboxamide (BAY 59–7939): An Oral, Direct Factor Xa Inhibitor. J. Med. Chem. 2005, 48, 5900–5908. [Google Scholar] [CrossRef] [PubMed]
- Imaeda, Y.; Kuroita, T.; Sakamoto, H.; Kawamoto, T.; Tobisu, M.; Konishi, N.; Hiroe, K.; Kawamura, M.; Tanaka, T.; Kubo, K. Discovery of Imidazo[1,5-c]imidazol-3-ones: Weakly Basic, Orally Active Factor Xa Inhibitors. J. Med. Chem. 2008, 51, 3422–3436. [Google Scholar] [CrossRef] [PubMed]
- Rami, A.A.; Akul, Y.M.; Umesh, R.D. Potent direct inhibitors of factor Xa based on the tetrahydroisoquinoline scaffold. Eur. J. Med. Chem. 2012, 54, 771–783. [Google Scholar]
- Matter, H.; Defossa, E.; Heinelt, U.; Blohm, P.M.; Schneider, D.; Müller, A.; Herok, S.; Schreuder, H.; Liesum, A.; Brachvogel, V.; et al. Design and Quantitative Structure-Activity Relationship of 3-Amidinobenzyl-1H-indole-2-carboxamides as Potent, Nonchiral and Selective Inhibitors of Blood Coagulation Factor Xa. J. Med. Chem. 2002, 45, 2749–2769. [Google Scholar] [CrossRef] [PubMed]
- Yu, K.L.; Daniel, J.P.; Tian, B.L.; Tho, V.T. 7-Fluoroindazoles as Potent and Selective Inhibitors of Factor Xa. J. Med. Chem. 2008, 51, 282–297. [Google Scholar]
- Nagata, T.; Yoshino, T.; Haginoya, N.; Yoshikawa, K.; Nagamochi, M.; Kobayashi, S.; Komoriya, S.; Yokomizo, A.; Muto, R.; Yamaguchi, M.; et al. Discovery of N-[(1R,2S,5S)-2-{[(5-chloroindol-2-yl)carbonyl]amino}-5-(dimethylcarbamoyl)cyclohexyl]-5-methyl-4,5,6,7-tetrahydrothiazolo[5,4-c]pyridine-2-carboxamide hydrochloride: A novel, potent and orally active direct inhibitor of factor Xa. Bioorg. Med. Chem. 2009, 17, 1193–1206. [Google Scholar] [CrossRef] [PubMed]
- Pruitt, J.R.; Pinto, D.J.; Estrella, M.J.; Bostrom, L.L.; Knabb, R.M.; Wong, P.C.; Wright, M.R.; Wexler, R.R. Isoxazolines and Isoxazoles as Factor Xa Inhibitors. Bioorg. Med. Chem. Lett. 2000, 10, 685–689. [Google Scholar] [CrossRef]
- Pinto, D.J.; Orwat, M.J.; Wang, S.; Fevig, J.M.; Quan, M.L.; Amparo, E.; Cacciola, J.; Rossi, K.A.; Alexander, R.S.; Smallwood, A.M.; et al. Discovery of 1-[3-(Aminomethyl)phenyl]-N-[3-fluoro-2′-(methylsulfonyl)-[1,1′-biphenyl]-4-yl]-3-(trifluoromethyl)-1H-pyrazole-5-carboxamide (DPC423), a Highly Potent, Selective, and Orally Bioavailable Inhibitor of Blood Coagulation Factor Xa. J. Med. Chem. 2001, 44, 3422–3436. [Google Scholar] [CrossRef]
- Corte, J.R.; Fang, T.N.; Pinto, D.J.; Han, W.; Hu, Z.; Jiang, X.J.; Li, Y.L.; Gauuan, J.F.; Hadden, M.; Orton, D.; et al. Structure-activity relationships of anthranilamide-based factor Xa inhibitors containing piperidinone and pyridinone P4 moieties. Bioorg. Med. Chem. Lett. 2008, 18, 2845–2849. [Google Scholar] [CrossRef] [PubMed]
- Weinz, C.; Schwarz, T.; Kubitza, D.; Mueck, W.; Lang, D. Metabolism and Excretion of Rivaroxaban, an Oral, Direct Factor Xa Inhibitor, in Rats, Dogs, and Humans. Drug. Metab. Dispos. 2008, 37, 1056–1064. [Google Scholar] [CrossRef] [PubMed]
- Doležal, M.; Zitko, J.; Kesetovicová, D.; Kunes, J.; Svobodová, M. Substituted N-Phenylpyrazine-2-carboxamides: Synthesis and Antimycobacterial Evaluation. Molecules 2009, 14, 4180–4189. [Google Scholar] [CrossRef] [PubMed]
- Gerotziafas, T.G.; Samama, M.M. Heterogeneity of Synthetic Factor Xa Inhibitors. Curr. Pharm. Des. 2005, 11, 3855–3876. [Google Scholar] [CrossRef] [PubMed]
- Sample Availability: Samples of the compounds 1a–1x are available from the authors.
© 2016 by the authors. Licensee MDPI, Basel, Switzerland. This article is an open access article distributed under the terms and conditions of the Creative Commons by Attribution (CC-BY) license ( http://creativecommons.org/licenses/by/4.0/).











