Abstract
In this review, the most recent advances (2014–2016) on the synthesis of new polymer-supported catalysts are reported, focusing the attention on the synthetic strategies developed for their preparation. The polymer-supported catalysts examined will be organic-based polymers and organic-inorganic hybrids and will include, among others, polystyrenes, poly-ionic liquids, chiral ionic polymers, dendrimers, carbon nanotubes, as well as silica and halloysite-based catalysts. Selected examples will show the synthesis and application in the field of organocatalysis and metal-based catalysis both for non-asymmetric and asymmetric transformations.
1. Introduction
Polymer-supported catalysts are a topic of paramount importance. The continuously increasing number of publications on the topic demonstrates the interest of the scientific community toward the development of this kind of materials. Such kinds of catalytic materials present some advantages over their homogeneous counterparts, but also some disadvantages that, in some cases may limit their application in industry [1]. Their solubility profile may help both in the catalyst and in product recovery [2]. On the other hand, their higher cost, due to the longer synthetic strategies, the possible leaching of the active catalytic species with lower activity upon recycling, and their possible lower overall catalytic activity, may diminish their usefulness. Nevertheless, even considering a narrow timeframe (2014–2016) the number of publications is quite impressive and many efforts are currently devoted in order to avoid the above disadvantages. Therefore, we have focused our attention only on a selected number of papers and selected topics. A useful way to classify polymer-supported catalysts is based on the type of catalysed reactions or supports employed. Here, we have pointed the focus on the organocatalytic reactions and metal-catalysed reactions in order to highlight the synthetic importance in non-asymmetric and asymmetric transformations. Moreover, starting from the catalytic application of organic or organic-inorganic hybrid polymeric supported catalysts, we also discuss the new synthetic developments regarding the preparation of such polymeric supports.
2. Organocatalysed Non-Asymmetric Reactions
2.1. Brønsted Acid Catalysed Reactions
Acid-catalysed reactions represent one of the most important technologies applied in the chemical industry. Mineral acids, used in homogeneous phase reactions, usually show high catalytic activity, but they suffer several drawbacks, such as occurrence of side reactions, corrosion of the equipment and the production of large amounts of acidic wastes. These reactions require tedious procedures for isolation of the products, which could cause environmental issues. In order to improve catalyst separation and recycling, various solid catalysts are widely used. Among them, sulfonic acid group functionalized polymer materials exhibit outstanding activity and reasonable recyclability in several acid-catalysed organic reactions, including esterification and Beckmann reactions.
2.1.1. Esterification Reactions
Recently, Zhang et al. reported the synthesis of poly-ionic liquid (PIL) acid 3 and its use as a catalyst in esterification reactions (Scheme 1) [3]. The acid 3 was obtained by polymerization of ionic liquid monomer 2 with styrene and ethyleneglycol dimethacrylate in the presence of azobisiso-butyronitrile (AIBN). Ionic liquid monomer 2 was prepared in two synthetic steps: (a) reaction between 4-vinylpyridine and 1,4-butylsultone; (b) treatment of intermediate 1 with trifluoromethane-sulfonic acid. Under optimized conditions, the poly-ionic liquid acid 3 was then used in the synthesis of various esters at appropriate reaction temperatures and times, and quantitative yields were achieved. The activity and stability of the catalyst were maintained after five recycles. Furthermore, the continuous formation of methyl methacrylate was investigated using a fixed bed reactor and the methyl methacrylate product was obtained in high yield (>96%).
Scheme 1.
Synthesis of poly ionic liquid acid 3 and its catalytic activity in esterification reactions.
In 2013, Minakawa et al. reported the use of the macroporous phenolsulfonic acid-formaldehyde resin 4 as a heterogeneous polymeric acid catalyst in the direct dehydrative esterification of alcohols and carboxylic acids. The corresponding esters were obtained in 91%–95% yield without removal of water (Scheme 2) [4]. In 2016, the resin 4 was employed with excellent results (yields of 91%–95%) in the esterification of oleic acid with various alcohols and its recyclability was evaluated [5]. The intrinsic physical properties of resin 4 allowed increasing the yield by shifting the equilibrium toward esterification without the need for a water-removal procedure. In fact, the slightly hydrophilic meso-/macroporous structure of the resins could absorb fairly hydrophilic substrates and transform them into more hydrophobic esters, which in turn could readily be excluded from the catalyst surface. After esterification, the resin was filtered, washed with ethanol and treated with concentrated sulfuric acid in order to regenerate the active sulfonic acid sites. The catalyst was recyclable up to at least 30 times without any significant loss in its activity. Thanks to its surface properties and porous structure, resin 4 exhibited higher catalytic activity than a variety of commercially available heterogeneous solid-acid catalysts tested in the esterification of oleic acid and methanol (Montmorillonite K-10, Amberlyst 15, Amberlite IRA 400, sulfonated ZrO2, H-ZSM-5, PTSA).
Scheme 2.
Esterification of carboxylic acids catalysed by resin 4.
The same year, poly(styrene sulphonic acid) was anchored onto polyhedral oligomeric octavinyl-silsesquioxanes (o-POSS) [6], thus providing novel hydrophobic POSS-derived solid acid catalysts for esterification of glycerol, an unavoidable side product of the biodiesel production process. These POSS-derived solid acid catalysts, denoted as 5a–d (Scheme 3), were prepared through two synthetic steps: (a) free radical copolymerization of octavinylsilsesquioxanes [7,8] with sodium p-styrene sulfonate varying their molar ratio and (b) treatment of the obtained copolymers with H2SO4. POSS-derived solid acid catalysts 5a, 5b, 5c, 5d were formed with molar ratios of POSS to Ph-SO3H of approximately 1:1, 1:2, 1:3, and 1:4, respectively. All synthesized catalysts presented high conversions (above 95%) with remarkable combined selectivity (above 99%) towards glyceryl diacetate (DAG) and glyceryl triacetate (TAG) in the esterification of glycerol with acetic acid at 120 °C. After each cycle, the catalyst was separated from the reaction system by filtration and reused for five-run tests without any decrease of catalytic activity. The application of 5b was extended to the esterification of various substrates (Scheme 3), obtaining high conversions (81%–99%).
Scheme 3.
Synthesis of POSS-based poly(styrenesulphonic acid) catalysts 5a–c and their use in esterification.
In comparison to reported solid catalysts [9,10], the esterification of glycerol with acetic acid catalysed by 5a–c, was demonstrated to be superior, considering the acetic acid molar ratio, the reaction time, and the catalyst preparation. Application of 5a–c in the acetalization of glycerol also gave excellent results in terms of activity and reusability [6].
Recently, carbon nanotube-based solid sulfonic acids were reported as catalysts for production of fatty acid methyl esters via transesterification and esterification [11]. The investigated materials were obtained by covalent grafting of multi-walled carbon nanotubes (CNT) with sulfonic acid-functionalized polymers. In detail, polyelectrolyte brush-modified solid acid 7a and 7b were prepared by sulfonation of poly(1-vinylimidazole)-grafted multi-walled CNT 6a and poly(4-vinylpyridine)-grafted multi-walled CNT 6b, respectively, with chlorosulfonic acid (Scheme 4). The precursors 6a and 6b were synthesized by an in situ radical polymerization of 1-vinylimidazole and 4-vinylpyridine monomer, respectively, in the presence of multi-walled CNTs. The polyelectrolyte brush-modified solid acid 7c was obtained by acidification of poly(sodium 4-styrenesulfonate)-grafted CNT 6c, prepared by an in situ polymerization of sodium p-styrenesulfonate monomer in the presence of multi-walled CNTs. At first, the resulting catalytic materials were tested in transesterification of glyceryl triacetate and glyceryl tributyrate with methanol. All of the solid sulfonic acids 7a–c showed excellent catalytic performance giving high conversions after 10 and 5 h. The methanolysis of glyceryl triacetate was proved to be much faster than the methanolysis of glyceryl tributyrate. In both reactions, the activity of catalysts 7a–c decreased in the following order 7a > 7b > 7c. In addition to the transesterification of triglycerides, catalysts 7a–c were also effective for esterification of C18 mono-unsaturated oleic acid with methanol giving excellent yields of methyl oleate. The reusability of catalyst 7a was investigated by transesterification of glyceryl tributyrate with methanol at a low glyceryl tributyrate conversion level. The conversion of glyceryl tributyrate decreased from 52.4% to 40.9% after six cycles. The elemental analysis of recovered catalyst revealed a decrease of –SO3H concentration compared to fresh catalyst. Therefore, the loss of activity of catalyst was presumably due to partial cleavage of polymeric chains covalently linked on the CNTs, which resulted in a partial loss of catalytic active sites (–SO3H groups).
Scheme 4.
Carbon nanotube-based solid sulfonic acids 7a–c as catalysts for synthesis of methyl esters via transesterification and esterification.
2.1.2. Beckmann Reactions
Two series of sulfonic acid-functionalized porous hyper-crosslinked polymers, denoted as series 9 and series 11, were synthesized in two synthetic steps (Scheme 5) [12]. The first step was the self-condensation of the rigid bischloromethyl monomers, α,α′-dichloro-p-xylene (for the series 9) or 4,4′-bis(chloromethyl)-1,1′-biphenyl (for series 11), via FeCl3-induced Friedel-Crafts alkylation. The second step consisted in the treatment of each material 8 or 10 synthesized in the first step, with a variable amount of ClSO3H (2, 4, 8, 16 mL per gram of porous hypercrosslinked polymer) thus obtaining the two series of materials 9 or 11, respectively. All the SO3H-functionalized solid acids presented high conversions (98.1%–99.9%) in the Beckmann rearrangement of cyclohexanone oxime in benzonitrile at 130 °C after 6 h.
Scheme 5.
Synthesis of sulfonic acid-functionalized hyper-crosslinked polymers, series 7 and 9, and their use in the Beckmann rearrangement of cyclohexanone oxime.
The series 11 demonstrated superior selectivity. The highest selectivity (83.4%) was found with the sample of series 11 obtained by sulfonation with 4 mL of ClSO3H. The authors attributed the good catalytic performance of the 9 and 11 materials to their high acidic density, narrow dispersed pores size in the junction of micro and mesopores, large surface area of the polymeric framework and a special nano-confinement effect that was beneficial in promoting catalytic activities. In the case of small pore size, only a limited amount of substrate molecules such as cyclohexanone oxime could be accommodated within the inner pore space, promoting the efficient collision of the substrate with the acidic sites on the pore wall, which thereby accelerated the reaction.
Recently, Li et al. reported the first example of heterogeneous Beckmann reaction catalysed by non-post sulfonated polymer material [13]. Particularly, polymer 13 (Scheme 6) was prepared by acidification of polymer 12 obtained by copolymerization of divinylbenzene and sodium p-styrene sulfonate [14]. The sulfonic acid group-functionalized polymer 13 was tested in the Beckmann rearrangement of cyclohexanone oxime; a conversion of 100% with relatively high selectivity of 75% was obtained after 1 h at 130 °C in PhCN. High conversions and selectivities were also observed for other ketoximes, showing high efficiency and good substrate compatibility. Recyclability in the Beckmann rearrangement of cyclohexanone oxime was studied. The catalyst 13 was easily recovered by centrifugation and reused in the next run. However, a significant decrease of the conversion (conversion of only 20%) was observed. Good reusability was achieved by regenerating the recovered catalyst with dilute H2SO4. With this simple treatment, the catalyst showed superior reusability and displayed a considerably high activity, even after five recycling runs.
Scheme 6.
Synthesis of sulfonic acid-functionalized polymer 13 and its use as catalyst in Beckmann rearrangement.
2.2. Synthesis of Cyclic Carbonates
Rojas et al. reported the synthesis of a series of urethane-based poly(ionic liquid)s (PILs) and their application as catalysts in the cycloaddition of CO2 to propylene oxide [15]. Urethane-based PILs were synthesized by addition of hexamethylenediisocyanate to dimethylolbutanoic acid and poly-(tetramethylene ether) glycol (PTMG Mn = 1000 or 2000 g/mol), and subsequent exchange reaction with 1-butyl-3-methylimidazolium chloride (Scheme 7). In addition to 14a, without chain extension, different urethane-based PILs with chain extension 14b, 15a, 15b and 15c were prepared by adding diethanolamine (for 14b and 15a), hydrazine (for 15b) and ethylenediamine (for 15c) as chain extenders, and by varying the molecular weight of the polyol. Variation of compositions of PILs influenced their thermal and physical properties as well as their catalytic activity. The PILs with superior Mn (PTMG 2000) and higher chain extender length (15a and 15c) exhibited higher activity. In fact, the chain extension improved the mobility of the PILs favouring the diffusion and solubility of CO2 in material, thus increasing its interaction with the active sites. These results were similar to those obtained with 1-butyl-3-methylimidazolium chloride in the same conditions (conversion 84%).The authors proposed a possible mechanism that clarified the role of the imidazolium cation and the nucleophilic group COO−. After each reaction, the urethane-based PILs were recovered and reused up to five times without a significant loss of its catalytic activity.
Scheme 7.
Urethane-based poly(ionic liquid)s as catalysts 14a–b and 15a–c in the cycloaddition of CO2 to propylene oxide.
Dani et al. developed a systematic approach to understand the relation between structure of porous PILs and their properties, by testing a set of porous PILs as catalysts in the coupling reaction between CO2 and ethylene oxide under very mild conditions (room temperature and low pressure) by means of in-situ FTIR spectroscopy within 14 h of reaction [16]. In this regard, the series of porous PILs, 16a–d and 17a–d (Scheme 8), were prepared through alkylation of non-ionic co-polymers 16–17 synthesized by a precipitation polymerization method using vinylimidazole (VIm) as functional monomer and DVB as cross-linking agent. Polymers 16 and 17 were obtained at volume ratio of DVB:VIm of 5:5 and 3:7, respectively. The effect of the counter anion (I−, Br− and BF4−), the length of the alkyl chain (methyl and butyl) and the cross-link degree were investigated. The catalytic performances of PILs depended on the presence of a sufficient surface area and were proportional to the VIm content. The catalyst activity increased with increasing the nucleophilicity of the anion (I− > Br−) and length of alkyl chains, that stabilized the imidazole cation and reduced the electrostatic attraction between the ion-pair, so that the anion was more available to catalyse the reaction. PILs with BF4− showed no activity due to the low nucleophilicity of BF4− anion, whose high delocalized charge was not sufficient to allow the ring opening of ethylene oxide. Non-ionic co-polymers 16–17 showed very low activity. Finally, the catalytic activity of Poly(mVIm+I−) was very low, despite the higher concentration of active sites, as a consequence of the absence of porosity and then of the low accessibility to the active sites.
Scheme 8.
Synthesis of poly(ionic liquid)s 16a–d and 17a–d and their use in the formation of ethylene carbonate.
In 2014, a series of multilayered covalently-supported ionic liquid phase (mlc-SILP) materials 18, 19a–b, 20a–b, 21a–b were synthesised by grafting different bis-vinylimidazolium salts on thiol-functionalised silica (Scheme 9) [17]. Covalently-supported imidazolium salts represent an interesting class of recyclable catalysts with excellent stability and durability [18,19]. Bis-imidazolium salts with different organic linkers (ethane, butane, octane, p-xylene) between the two imidazolium units and two types of halides as counterions (X = Br or I) were used. Since the materials were synthesized using an excess of bis-imidazolium salts with respect to the SH groups of thiol-functionalized silica, a cross-linked oligomeric network of imidazolium units on the silica support was obtained. The catalytic activity of materials 18, 19a–b, 20a–b, 21a–b was valued and compared in the coupling reaction between CO2, under supercritical conditions, and two different epoxides, an aliphatic terminal epoxide (1,2-epoxyhexane) and an aromatic terminal epoxide (styrene oxide). With all catalysts, higher epoxide conversions were observed with styrene oxide as compared to 1,2-epoxy-hexane.
Scheme 9.
Preparation of mlc-SILP materials 18, 19a–b, 20a–b, 21a–b and their use as catalysts in the synthesis of styrene carbonate.
The materials 20b and 21b, having octane and p-xylene as linker, respectively, and iodide as counterion, were identified as the most active catalysts. These results indicated that the leaving ability of the halide played a role in determining the reaction rate and that a better separation between the imidazolium units, obtained with the linker with the longest chain (octane), could prove favourable for simultaneous reaction at both of them. The results with these new catalysts were markedly superior compared to the previous optimum mlc-SILP catalyst (SiO2–p-xylene–Br) [20]. Material 20b was also employed in the synthesis of cyclic carbonates from different epoxides and CO2. In this case, higher carbonate yields were observed with the terminal epoxides, while cyclohexene oxide and cyclopentene oxide showed lower reactivity, leading to only low carbonate yields.
Recently, a new type of stable highly cross-linked cationic polymer microspheres, denoted as 22, was solvothermally synthesized from the reaction of 1,2,4,5-tetrakis(bromomethyl)benzene and 4,4′-bipyridine (Scheme 10) [21]. Various solvents, including THF, toluene, acetonitrile, and ethyl acetate were applied. The spherical particles 22 (with sizes of approximately 2–3 nm) formed in THF were the most stable and exhibited high activity and selectivity in the coupling reaction between CO2 and different substituted epoxides at 120 °C under metal-free and solvent-free conditions. In addition, spherical particles 22, insoluble in the reaction system, had good recyclability, which was mainly attributed to the cross-linked covalent cationic structure. After the reaction, the cross-linked cationic polymer microspheres 22 could be easily recycled by filtration or centrifugation and reused six successive times without a significant decrease in the efficiency or structural deterioration.
Scheme 10.
Synthesis of poly(ionic liquid) 22 and its application in the formation of cyclic carbonates.
Among ionic liquids used as catalysts for the cycloaddition of CO2, the quaternary phosphonium-based ionic liquids have not been extensively studied due to their less tailored structures, limited heterogenizing method and required harsh reaction conditions. In 2014, phosphonium-based ionic liquids functionalized with hydroxyl and carboxyl groups showed good catalytic activity in the synthesis of cyclic carbonates in the absence of co-catalyst and solvent [22]. In light of the superiority of the functionalized phosphonium-based ionic liquids, recently polymer nanoparticles grafted with hydroxyl-functionalized phosphonium-based ionic liquid 24 were prepared by radical copolymerization of diphenyl(p-vinylphenyl)(3-hydroxylpropyl)-phosphonium bromide (23) with ethylene glycol dimethylacrylate (EGDMA) (Scheme 11) [23]. Under optimized conditions, the cross-linked polymer 24 exhibited good catalytic activity in the coupling reaction between CO2 and various terminal epoxides (yield 90.0%–97.3%). Cyclohexene oxide gave relatively low activity (46.8%), due to large steric hindrance. The catalytic activity was comparable to that of homogeneous catalyst 23 (99.5% of propylene carbonate) and was higher than homopolymers synthesized using 23 and EGDMA as monomers. Besides, 24 exhibited superior catalytic performance than polymer nanoparticles synthesized by copolymerization of triphenylpropylphosphonium bromide with EGDMA, showing the important role of hydroxyl groups. The catalyst had a good thermal stability and excellent reusability up to six cycles without any significant loss of activity.
Scheme 11.
Preparation of phosphonium-based poly(ionic liquid) 24 and its use as catalyst in the synthesis of cyclic carbonates.
Most immobilized organocatalyst systems for the conversion of epoxides to cyclic carbonates, require operating temperatures above 100 °C, which challenges their overall sustainability. The following example reports a recyclable catalyst system that promotes the conversion of CO2 under mild conditions. The bifunctional catalyst 25, where the triazolium and pyrogallol units were linked to distinct positions along the polymer backbone, was prepared starting from azidomethyl polystyrene and tested as catalyst in coupling reaction between CO2 and 1,2-epoxyhexane at 45 °C (Scheme 12) [24].
Scheme 12.
Preparation of bifunctional resin 25 and its use as catalyst in the synthesis of cyclic carbonates.
This bifunctional resin 25 maintained its activity level for a longer period than binary catalyst system 26 and the one-component bifunctional catalyst 27. An appreciable reduction in activity only started to occur after five runs, but a regenerative treatment with methyl iodide permitted the recovery of catalytic activity; for example, the resin 25 was used in 11 consecutive runs giving a total of 938 turnovers/1,2,3-trihydroxybenzene unit which was significantly higher than those that might be obtained with 26 or 27. The bifunctional catalyst 25 was employed in the synthesis of other cyclic carbonates. High yields were obtained with terminal epoxides and low yields with internal epoxides. Among internal epoxides, only conversion of indene oxide proceeded smoothly (yield > 99%).
A new class of nanoporous polymers incorporating sterically-confined N-heterocyclic carbenes (NP–NHCs), as heterogeneous nanoporous organocatalysts for the conversion of CO2 into cyclic carbonates at atmospheric pressure, was reported [25]. Particularly, the nanoporous polymer NP–NHC 33 was prepared following the synthetic strategy depicted in Scheme 13.
Scheme 13.
Preparation of NHC-nanoporous polymer 33 and its application in the synthesis of cyclic carbonates.
At first, a tetrahedral core based on tetraphenyl methane incorporating 2,6-diisopropyl aniline moieties at the terminal positions, denoted as 30, was synthesized by reaction between tetrakis(4-bromophenyl)methane (28) and borane 29. After, three synthetic steps led to the polymer 33: (a) copolymerization of 30 with glyoxal in order to obtain the polymer 31; (b) reaction with paraformaldehyde in the presence of HCl to form 32 having the corresponding imidazolium chloride moieties and (c) generation of sterically-confined N-heterocyclic carbenes 33 by neutralization of the imidazolium chloride moieties with potassium tert-butoxide in THF. The catalytic activity of the NP–NHC polymer 33 was tested in the conversion of CO2 into cyclic carbonates under atmospheric pressure of CO2 (0.1 MPa) at 120 °C with 5 wt % catalyst loading. Excellent yields (92%–98%) and 100% product selectivity were obtained with mono aliphatic substituted terminal epoxides. Traces or no conversion for the phenyl and benzyl substituted epoxides were observed. According to the authors, this could be due to the molecular sieving property of polymer 33, conferred by the pore diameter of polymer (~0.4 nm), which was less than that of kinetic diameter of the aromatic epoxides. In addition, the catalyst was recycled four times without any change in activity and product yields.
2.3. C–C Bond Forming Reactions
In 2014, the solid phase synthesis of poly(propylene imine) (PPI) dendrimers was described for first time [26]. Particularly, polymer-supported PPI dendrimer 34 was prepared by synthesizing poly(propylene imine) dendrimer up to third generation on crosslinked polystyrene. An iterative method, which included a double Michael addition of acrylonitrile to the amino groups of the polymer support and subsequent LiAlH4 reduction of the nitrile groups to amino groups, was followed (Scheme 14). Material 34 was employed as heterogeneous catalyst in Knoevenagel condensations. Using only 0.5 mol % of catalyst 34, α,β-unsaturated nitriles were obtained in excellent yield (98%–100%) in ethanol at room temperature. The yields of the products obtained with this catalyst were similar to those obtained with polystyrene-supported PAMAM dendrimers [27] in the same conditions but with the catalyst 34 the reaction time was shorter. The catalyst 34 was recovered by simple filtration and reused up to eight times without loss of catalytic activity.
Scheme 14.
Preparation of polystyrene-supported poly(propylene imine) dendrimer 34 and its application as catalyst in Knoevenagel condensation.
The following year, polysilane-supported poly(propyleneimine) dendrimer 35 was used as catalyst in Knoevenagel condensations, showing the first example of PPI dendrimer grafted polysilane catalyst (Scheme 15) [28]. The material 35 was prepared by synthesizing the third-generation PPI dendrimer on the aminoethylpolysilane according to the general strategy of solid phase synthesis. The aminoethylpolysilane was previously prepared by condensation of trichoromethylsilane through Grignard coupling followed by the conversion of chloride groups in aminoethyl moieties with excess of ethylenediamine (EDA). Using 3 mol % of catalyst 35, α,β-unsaturated nitriles were obtained in high yield carrying out the reaction at 30 °C and at 50 °C. Recycling of catalyst 35 was studied in the Knoevenagel condensation between benzaldehyde and malononitrile. Four cycles were carried out and the yields gradually decreased from 100% to 92%.
Scheme 15.
Polysilane-supported (polypropyleneimine) dendrimer 35 and its catalytic activity in Knoevenagel condensation.
A new hydrophobic mesoporous poly(ionic liquid) was used as a recyclable solid-base catalyst for solvent-free Knoevenagel condensations [29]. This material, denoted as 37, was prepared in two synthetic steps: (a) synthesis of polymer 36 by radical copolymerization of 1-aminoethyl-3-vinylimidazolium bromide hydrobromide with divinylbenzene varying the molar ratio of two monomers; (b) ion-exchange reaction with a NaOH solution (Scheme 16). Among the various molar ratios tested in the first step, the molar ratio 1:1 was optimal. In fact, the mesoporous poly(ionic liquid) 37 with equimolar amounts of divinylbenzene and ionic liquid precursor exhibited the best catalytic activity (conversion 99%) in solvent-free Knoevenagel condensation between benzaldehyde and ethyl cyanoacetate at 70 °C. It was also tested in Knoevenagel condensation with various substrates, giving high conversions (93%–99%) at 70 °C in a short reaction time. The authors proposed a possible synergistic Lewis–Brønsted dual-base-center mechanism that justified high catalytic activity. The material 37 was used for six cycles without significant loss of activity.
Scheme 16.
Preparation of poly(ionic liquid) 37 and its application in Knoevenagel condensation.
In 2014, Seo and Chung reported the first successfully recyclable catalytic system for benzoin condensation [30]. Particularly, poly(4-vinylimidazolium) iodide [31] 39 was prepared by polymerization of 4-vinylimidazolium 38, synthesized starting from histamine. Subsequently, the polymer was tested as an organic pre-catalyst in benzoin condensations (Scheme 17). Under optimized conditions, diverse functionalized benzoin products were obtained in 48%–96% yield with benzyl as by-product in various yields (less than 7%). In all cases, pre-catalyst 39 exhibited higher catalytic activity than the corresponding monomeric analogue 38. Moreover, 39 showed higher catalytic activity and reusability in the benzoin condensation reaction compared to the polymerized pre-catalysts obtained from 1-vinylimidazolium [32,33]. The pre-catalyst 39 was recovered and reused without loss of performance over seven cycles. The material 39 showed high catalytic activity even in the tandem formation of γ-butyrolactone from benzaldehyde and methyl acrylate [31].
Scheme 17.
Synthesis of poly(ionic liquid) 39 and its use as catalyst in benzoin condensation.
In 2015 Wang and Chen reported the first highly efficient and fully recyclable heterogeneous catalyst systems for self-coupling of furaldehydes, particularly furfural and 5-hydroxymethylfurfural [34]. At first, three pre-catalyst structures 41, 43a, 43b were prepared by grafting of the respective triethoxysilylpropyl functionalized azolium salts 44, 46a, 46b onto the silica surface (Scheme 18). The catalytic performances of 41, 43a, 43b were investigated in self-coupling reactions of furfural and 5-hydroxymethylfurfural into their respective furoins.
Scheme 18.
Preparation of silica-supported ionic-liquids 41, 43a–b and their application as catalysts in the synthesis of furoins.
Benzimidazolium pre-catalyst 43b, carrying a long-chain (C12) substituent, showed the best catalytic activity, producing furoins with high yields (94.3%–96.6%). According to the authors, the higher activity of 43b could be attributed to presence of sterically demanding substituents, that facilitated the shift of the Wanzlick equilibrium (equilibrium between the carbene and its corresponding dimer) toward the formation of free carbenes [35]. The long-chain alkyl group placed in the proximity of the carbene center could also provide a hydrophobic protection pocket for the catalyst to minimize its decomposition or poisoning caused by adventitious protic or oxidative sources. After this preliminary study, the Merrifield’s peptide resin, an organic support, was utilized to synthesize the grafted salt pre-catalyst 44 (Scheme 19) [34]. 1-Dodecylbenzimidazole, prepared from reaction between benzimidazolide and dodecyl bromide, was grafted onto the Merrifield’s peptide resin through alkylation of the 1-dodecylbenzimidazole with the benzyl chloride functional group contained in the resin. In presence of DBU or KOtBu, the pre-catalyst 44 showed excellent catalytic activity in the self-coupling reaction of furfural (96.8% yield with DBU and 96.5% with KOtBu) and in the self-coupling reaction of 5-hydroxymethylfurfural (94.7% with DBU and 93.3% with KOtBu). Both catalytic systems 43b and 44 showed excellent recyclability in furfural self-coupling without loss of the catalytic activity after ten cycles. This result was obtained by adopting a catalyst recycling procedure that involves activation of the pre-catalyst with a base to generate the NHC catalyst and recycle of the catalyst by quenching the reaction with HCl to convert the catalyst back to the pre-catalyst.
Scheme 19.
Preparation of poly(ionic liquid) 44 and its application in the synthesis of furoins.
2.4. Miscellaneous Examples
A new porous polymerized organocatalyst with high surface area, hierarchical porosity, and superior chemical stability was prepared and employed as an efficient heterogeneous catalyst in the oxidation of alcohols. In detail, the porous polymerized organocatalyst 47 was synthesized from solvothermal polymerization of vinyl-functionalized 2,2,6,6-tetramethylpiperidine monomer 46 in the presence of AIBN at 100 °C, followed by oxidation with m-chloroperbenzoic acid (m-CPBA) (Scheme 20) [36]. Monomer 46 was synthesized by nucleophilic substitution reaction between 2,2,6,6-tetramethyl-4-piperidylamine and 4,4′-(bromomethylene)-bis(vinylbenzene) (45), previously prepared starting from 4-vinylbenzaldehyde. The use of 1 mol % of 47 in oxidation of various substituted alcohols at 0 °C led to the corresponding aldehydes and ketones with very high conversions (>99%) and selectivities (96%–>99%). The reaction with benzyl alcohol was also carried out with 0.1 mol % and 0.05 mol % of catalyst, obtaining a conversion of 99% after 10 and 20 h respectively. Furthermore, catalyst 47 was more active than TEMPO immobilized on MCM-41 [37]. The same conversions were achieved using polymers with superior surface area, obtained by copolymerization of monomer 46 and divinylbenzene. Catalyst 47 was used for five cycles without significant loss of activity.
Scheme 20.
Preparation of porous polymerized organocatalyst 47 and its application in the oxidation of alcohols.
The first application of thiazolium-based compounds as catalysts for the etherification reaction of alcohols was reported [38]. Thiazolium hybrid material 49 was prepared by a radical reaction between a mercaptopropyl-modified SBA-15 mesoporous silica and large excess of bis-vinyl-thiazolium salt 48 (Scheme 21) and successively employed in the etherification reaction of 1-phenyl-ethanol under solvent-free conditions at 160 °C testing different gas phases (oxygen, air, nitrogen and argon). After 24 h, an almost quantitative conversion (93%) was observed in both oxygen and air with a better selectivity toward ether in air (86%) than oxygen (73%). Under a nitrogen or argon atmosphere, a decrease of conversion (55%, 57% respectively) and an increase of selectivity (93%, 91% respectively) were observed. Furthermore, thiazolium hybrid material 49 displayed higher conversion and selectivity compared to the analogous imidazolium-based material, thus showing that the nature of the N-heterocyclic ring had a determinant impact on the performances of the reaction.
Scheme 21.
Silica-immobilized polythiazolium network 49 and its activity in etherification.
The authors proposed a possible reaction mechanism. The supported thiazolium-based material 49 was also used with success in the etherification reaction of benzyl alcohol and diphenylmethanol under air. Recycle experiments were carried out in the etherification reaction of 1-phenylethanol; excellent catalytic performances were preserved in seven catalytic runs.
A simple, green, and efficient strategy for the synthesis of benzoxazoles and benzothiazoles was developed [39] by using the mesoporous poly(melamine–formaldehyde) 50 [40,41,42] prepared starting from melamine and paraformaldehyde (Scheme 22). Polymer 50 acted as bifunctional catalyst and, under the optimized catalytic conditions, led to benzoxazoles and benzothiazoles with good and excellent yields (71%–99%) by reaction of substituted 2-aminophenols with benzaldehydes using dioxygen as oxidant. Traces of products were obtained using aliphatic aldehydes and 2-methyl-benzaldehydes. The authors proposed a possible reaction mechanism. The catalyst was used six cycles without significant loss of catalytic performance.
Scheme 22.
Mesoporous poly(melamine–formaldehyde) 50 as catalyst for the synthesis of benzoxazoles and benzothiazoles.
Recently, Vaccaro et al. reported the first application of a supported base as catalyst for the phospha-Michael addition of phosphorus nucleophiles to a variety of electron-poor alkenes [43]. The synthesis of different types of diethyl and dimethyl phosphonates under solvent free conditions in presence of 20 mol % of dimethylperhydro-1,3,2-diazaphosphorine-supported on polystyrene (PS-BEMP) 51 [44,45] as heterogeneous catalyst was carried out (Scheme 23). Good yields (78%–85%) were obtained using two phosphorus nucleophiles, diethyl phosphite and dimethyl phosphite, and a wide array of aromatic and non-aromatic α,β-unsaturated ketones as electrophiles.
Scheme 23.
Synthesis of diethyl and dimethyl phosphonates catalysed by (PS-BEMP) 51.
This protocol was also extended to α,β-unsaturated esters and nitriles. Good yields were obtained with methyl acrylate (79%–85%), less satisfactory results with methyl crotonate (34%–52%). Excellent results were obtained with the α,β-unsaturated nitriles, acrylonitrile and cinnamonitrile (yields: 76%–90%). Catalyst 51 was not recyclable: all attempts to reuse the recovered catalyst in consecutive reaction runs failed.
3. Organocatalysed Asymmetric Reactions
Organocatalysis is a useful synthetic method also applied in asymmetric reactions and polymer immobilization of chiral catalysts is still a topic of interest [46,47]. In this section, one example of asymmetric α-amination of 1,3-dicarbonyl compounds and some examples of C–C forming reactions including aza-Henry reaction, Michael addition, α-alkylation of aldehyde, Diels–Alder reaction and aldol reaction, are reported. Finally, an example of the enantioselective flow synthesis of pyranonaphthoquinones is also described. In this contest, chiral supported organocatalysts based on bifunctional thioureas, a fluorinated amine, imidazolidinones, proline derivatives and a squaramide were examined.
In 2015, the synthesis of polymer-supported bifunctional thiourea organocatalyst 56 and its application in the enantioselective α-amination of 1,3-dicarbonyl compounds with azodicarboxylates were investigated (Scheme 24) [48]. Catalyst 56 was prepared in few steps from 4-amino-2-(trifluoro-methyl)benzoic acid avoiding the use of linkers/spacers. The Fmoc-protected amino acid 52 was immobilized onto a 1% DVB Merrifield resin, affording the material 53, and successively was deprotected, achieving the PS-supported amino ester 54. Then, the formation of the isothiocyanate resin 55 and subsequent reaction with enantiopure (1R,2R)-2-(piperidin-1-yl)cyclohexylamine led to polymer-supported bifunctional thiourea organocatalyst 56. Catalyst 56 was tested in the enantioselective α-amination of a family of cyclic 1,3-dicarbonyl compounds with di-tert-butyl azo-dicarboxylate and diethyl azodicarboxylate. High yields and enantioselectivity values were obtained with 5 mol % of the bifunctional catalyst in toluene. Recycling experiments in the α-amination of ethyl 2-oxocyclopentanecarboxylate with diethyl azodicarboxylate were carried out. High isolated yields and ee′s were consistently recorded over nine cycles, regenerating the catalyst with triethylamine after each run. The α-amination of ethyl 2-oxocyclopentanecarboxylate with di-tert-butyl azodicarboxylate catalysed by resin 56 was also carried out in continuous flow. This experiment led to the desired product with 93% ee in 71% isolated yield with a productivity of 4.88 mmolprod mmolcat−1·h−1, a TON of 37 and the residence time of 21 min.
Scheme 24.
Synthesis of organocatalyst 56 and its use in the enantioselective α-amination of 1,3-dicarbonyl compounds.
Novel bifunctional ureas and thioureas immobilized on sulfonylpolystyrene were prepared and used as recoverable and reusable organocatalysts in the stereoselective aza-Henry reaction under solvent-free conditions [49]. These catalysts (62a–f) were prepared by the synthetic strategy shown in Scheme 25. At first, the 1,2 diamines 58a–b and the 1,6-diamine 58c were synthesized starting from Boc-glycine and 6-(N-Boc-amino)hexanoic acid, respectively, by reaction with dibenzylamine or benzyl methylamine and successive reduction of corresponding amides 57a–c with lithium aluminum hydride. Then, chiral triamines 60a–d were obtained by reaction of L-valine with diamines 58a–c or the commercially available 1,6-N,N′-dimethyl hexane diamine and sequential chemoselective reduction of the amide function with lithium aluminium hydride, followed by hydrogenolysis of the benzyl groups in case of amines 59a–c. Chiral triamines 60a–d were immobilized on sulfonylpolystyrene, affording materials 61a–d. Finally, the deprotection with trifluoroacetic acid and the condensation with 3,5-bis(trifluoromethyl) phenyl isocyanate or isothiocyanate led to supported ureas and thioureas 62a–f. Optimization of the reaction conditions and screening of catalysts 62a–f were studied in the reaction of N-Boc-benzaldimine with nitromethane. The activity and enantioselectivity of the catalysts were dependent on the length of the tether connecting the urea or thiourea functionality with the polymer. The catalysts 62e–f, derived from 1,6-hexane diamine, showed the best performances, in 5 mol % loading without solvent and at room temperature. Under these conditions, the catalyst 62e and 62f were tested in the reaction of nitromethane with different N-Boc aldimines. A general trend showed that the catalyst 62f was better than 62e, giving products in higher yields and enantioselectivities except for two imines with substituents with strong electron withdrawing effect and an imine derived from 1-naphtaldehyde. Catalysts 62e and 62f were recycled for three and five times, respectively, without loss of enantioselectivity and with slight decrease in the activity.
Scheme 25.
Preparation of supported organocatalysts 62a–f and use of 62e–f in aza-Henry reaction.
Recently, two sets of supported chiral thioureas, denoted as 67a–b and 67c–d, which differed in the length of the tether connecting the thiourea group to the polymer chain and in the effective functionalization, were prepared by copolymerization of styrene, divinylbenzene and novel styrylthiourea 66a or 66b respectively (Scheme 26) [50].
Scheme 26.
Preparation of supported thiourea-based organocatalysts 67a–d and use of 67c in aza-Henry and Michael reactions.
Styrylthioureas 66a and 66b were synthesized starting from commercially available N,N′-dimethylethylenediamine and N,N′-dimethyl-1,6-hexanediamine, respectively, by a common synthetic strategy which consisted in the following steps: (a) monoalkylation of previous diamines with 4-vinylbenzyl chloride to afford 63a and 63b; (b) reaction between Boc-L-valine and 63a or 63b; (c) reduction of the amide groups of 64a and 64b with LiAlH4; (d) removal of Boc protecting group by treatment with TFA; (e) reaction between 3,5-(bis)trifluoromethylisothiocyanate and triamine 65a or 65b.
The catalytic activity of supported chiral thioureas 67a–d was tested in aza-Henry reactions between of N-Boc-benzaldimine and nitromethane without solvent. The catalyst 67c was used to extend the aza-Henry reaction between different aromatic N-Boc-aldimines and nitroalkanes. In the presence of catalyst 67c, moderate to good enantioselectivities (ee: 72%–88%) and yields (51%–84%) were obtained in reactions with nitromethane. The two α-nitroamines with two contiguous stereocenters, synthesized starting from nitroethane and nitropropane, were obtained with high yields (75%–84%) and enantioselectivities (ee: 88% for both examples), but with only moderate diastereoselectivity in case of the reaction with nitroethane (76:24). The catalyst 67c was also employed in stereoselective nitro-Michael addition between various nitroolefins and nucleophiles with different cyclic structures and activating groups. Moderate to high yields (79%–95%), diastereoselectivities (75:25–91:9) and enantioselectivities (74%–92%) were obtained. The recyclability was studied for both aza-Henry reaction and nitro-Michael addition. In both cases, the catalyst 67c showed to be recyclable maintaining the level of stereocontrol and the catalytic activity.
Sagamanova et al. reported the synthesis of the novel polystyrene-supported fluorinated organocatalyst 71 and its application in enantioselective Michael addition of aldehydes to nitroalkenes (Scheme 27) [51]. The supported organocatalyst 71 was prepared by co-polymerization of the chiral divinylated derivative 70 with styrene. The monomer 70 was synthesized by addition of 4-vinylphenyl magnesium bromide (prepared in situ) to the Boc-L proline methyl ester, followed by removal Boc group in basic media and deoxyfluorination of the obtained amino alcohol 69 by treatment with diethylaminosulfur trifluoride (DAST).
Scheme 27.
Synthesis of the polystyrene-supported fluorinated organocatalyst 71 and its application in the enantioselective Michael addition of aldehydes to nitroalkenes.
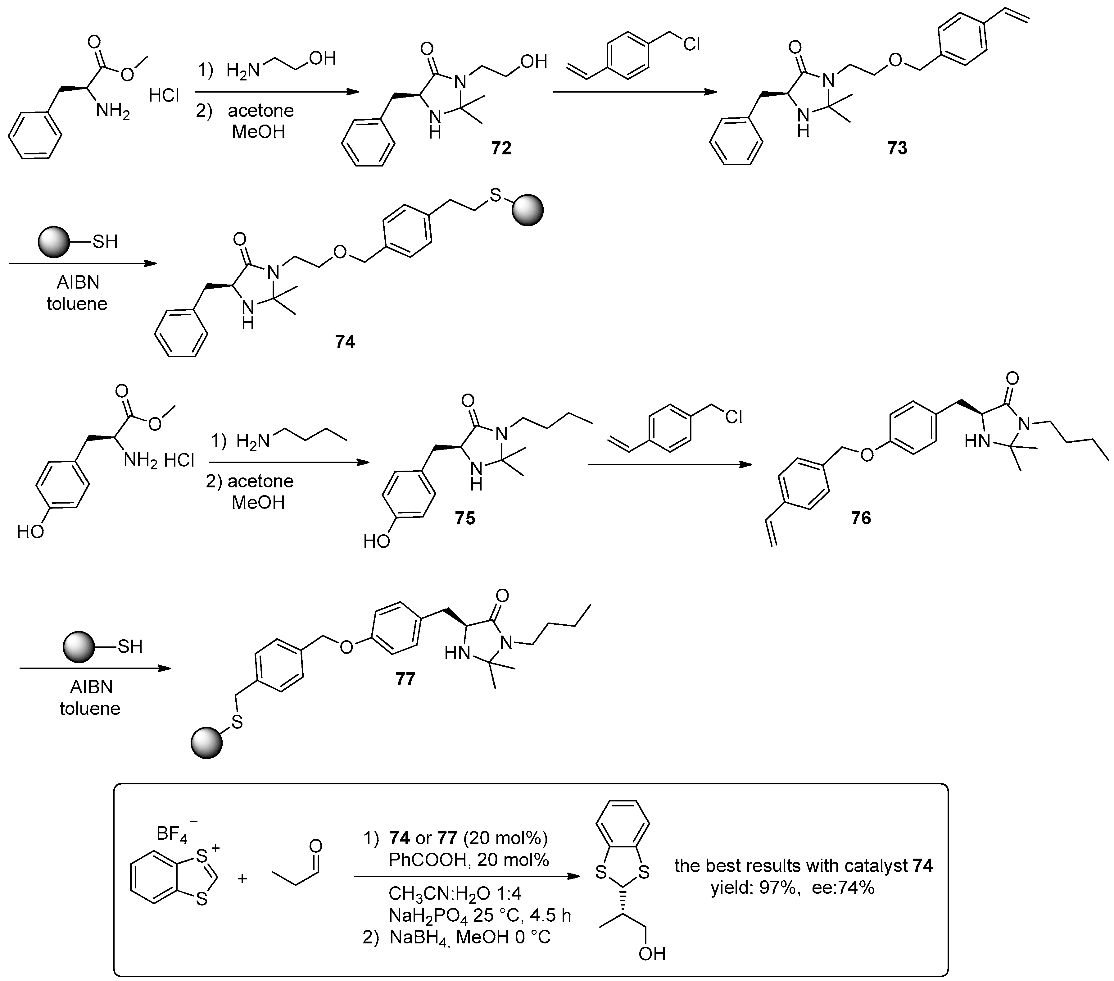
Effect of additives, reaction medium, loading of catalyst in addition of propanal to β-nitrostyrene were studied. The catalyst 71 (10 mol %) was employed in enantioselective Michael addition of a wide variety of aldehydes with β-nitrostyrene and in addition of propanal with different nitroalkenes under optimized conditions (10 mol % of catalyst, 10 mol % of 4-nitrophenol as additive, CH2Cl2 as solvent and room temperature). Michael adducts were obtained with excellent yields and stereoselectivities. Furthermore, high streoselectivities and yields were obtained in reaction between isovaleraldehyde or isobutyraldehyde and different nitroalkenes, varying the type of additive or loading of catalyst and additive. Recycling experiments were carried out in reaction between propanal and β-nitrostyrene. The catalyst was recycled eight times. The stereoselectivity remained constant in all runs and some progressive loss of activity was observed in the last cycles. The catalyst 71 was also applied in a carefully designed continuous flow set-up, which allowed the facile isolation of the desired Michael adducts without chromatographic purification. The multigram synthesis of a single Michael adduct over a 13 h period and the sequential generation of a library of enantiopure Michael adducts from different combinations of substrates (16 examples, 16 runs, 18.5 h total operation) were observed. The immobilized system showed comparable activity with the batch process. Two polystyrene-supported imidazolidinone catalysts, 74 and 77, were also prepared (Scheme 28) [52].
Scheme 28.
Preparation of supported organocatalysts 74 and 77 and their use in the asymmetric α-alkylation of propanal.
In catalyst 74, the chiral imidazolidinone unit was linked to polystyrene through the N-3 atom. In catalyst 77, the chiral imidazolidinone unit was linked to polystyrene through the 4-position of the phenyl ring. Polystyrene-supported imidazolidinone catalysts 74 and 77 were prepared starting from L-phenylalanine methyl ester and tyrosine methyl ester, respectively, by a procedure, which included the synthesis of an amide with ethanolamine in the first case or with butylamine in the second case, followed by reaction with acetone. Both imidazolidinones thus synthesized, 72 and 75, were modified with 4-(chloromethyl)styrene and anchored to mercaptomethyl-modified polystyrene resin by the thiol-ene addition in presence of AIBN. The catalytic activity of two polystyrene-supported catalysts 74 and 77 was compared towards the asymmetric α-alkylation of propanal with benzodithiolylium tetrafluoroborate in CH3CN as solvent and in presence of benzoic acid as additive. Catalyst 74 proved to be more active and enantioselective than 77, affording the final products with yield of 97% and ee of 74% at the same levels of activity and enantioselectivity of the unsupported counterpart 73. Catalyst 74 was highly recyclable for at least eight cycles with no loss of activity and enantioselectivity, whereas with catalyst 77 the yield and enantioselectivity decreased upon recycling.
Chiral polyethers, containing imidazolidinone repeating units, were synthesized and employed as catalysts in asymmetric Diels–Alder reaction [53]. These polyethers, denoted as 81a–e(HX), were prepared following the synthetic route depicted in Scheme 29. At first, the bisphenol-type chiral imidazolidinone monomer 79 was afforded by reaction between the Boc-protected (S)-tyrosine and 4-hydroxyphenylethylamine, followed by deprotection of N-Boc group and reaction with acetone.
Scheme 29.
Synthesis of polyetheres 81a–e(HX) and use of 81c-TFA as catalyst in asymmetric Diels-Alder reaction.
Then, the Williamson synthesis of the chiral bisphenols 79 with dihalides afforded to polyethers 80a–e, whose acid treatment led to the polyethers 81a–e(HX), having imidazolidinone salt in each repeating unit. Various types of dihalides (X–R–X) including allylic dihalide, alkyl dihalide, and benzylicdihalides and various types of acid, including HBF4, CF3COOH, CH3SO3H, TolSO3H, HCl, HClO4, were used to prepare these chiral polyethers. Effect of achiral linker R and counter anion of iminium cation on the enantioselectivity were investigated in the Diels–Alder reaction of cinnamaldehyde and cyclopentadiene. The chiral imidazolidinone polymer 81c-TFA, having p-xylyl as linker and CF3CO2− as counter anion, exhibited the highest enantioselectivities (exo ee 93%, endo ee 97%). After the completion of the reaction, the polymeric catalyst 81c-TFA was recovered by simple decantation. The acid retreatment of the recovered polymeric catalyst allowed to repeatedly use the catalyst without the loss of catalytic activity.
The first example of monolithic reactor containing a chiral organocatalyst was reported [54]. Particularly, the monolithic organocatalyst 84 was provided by radical copolymerisation of divinylbenzene and the properly modified enantiomerically pure imidazolidinone 83 inside a stainless steel column in the presence of dodecanol and toluene as porogens and AIBN as initiator (Scheme 30).
Scheme 30.
Synthesis of polymer-supported organocatalyst 84 and its application for catalysis in flow.
The enantiomerically pure imidazolidinone 83 was synthesized by the following synthetic strategy. The imidazolidinone 75, synthesized starting from (S)-tyrosine methyl ester, was modified with propargyl bromide to afford the derivative 82 bearing a carbon-carbon triple bond. This latter was reacted with 4-(azidomethyl)styrene in the presence of CuCl and tris[(1-benzyl-1H-1,2,3-triazol-4-yl)methyl]amine (TBTA), thus obtaining the monomer 83.
Diels–Alder reactions between cyclopentadiene and three different α,β-unsaturated aldehydes were carried out under continuous-flow conditions through the monolithic reactor containing the imidazolidinone organocatalyst 84 activated by treatment with HBF4. Diels-Alder adducts were obtained in high yield (73%–97%) and excellent enantioselectivities (ee’s: 83%–94% for endo diasteroisomer, ee’s: 75%–91% for exo diastereoisomer). Three different stereoselective transformations in continuo (Diels–Alder, 1,3-dipolar nitrone-olefin cycloaddition, and Friedel–Crafts alkylation) were also carried out in the same catalytic reactor for a total of more than 300 h on stream. Excellent results were obtained in the case of Diels–Alder and 1,3-dipolar nitrone-olefin cycloaddition (99% yield, 93% ee and 71% yield, 90% ee, at 25 °C, respectively).
The polymer-supported organocatalyst 84 was also used for preparing a packed-bed reactor, whereby the intermolecular organocatalysed enantioselective alkylation of aldehydes was performed for the first time under continuous flow conditions (Scheme 30) [55]. Excellent enantioselectivities at different flow rates were obtained in asymmetric alkylation of propionaldehyde with 1,3-benzo-dithiolylium tetrafluoroborate, tropylium tetrafluoroborate or bis[4-(dimethylamino)phenyl]-methylium tetrafluoroborate at room temperature. Excellent results were also obtained in continuous flow alkylation of phenylacetaldehyde and octanal with 1,3-benzodithiolylium tetrafluoroborate.
In 2014, Karjalainen et al. reported the synthesis and application of new polymeric chiral ionic liquids (PCILs) as artificial aldolase biomimetic systems for the aldol reaction [56]. These polymers were prepared by controlled radical polymerization of monomeric units containing chiral ionic liquids (CILs). In detail, the racemic and enantiopure monomers (±)-85 and (+)-(S,S)-85 were polymerized by reversible addition–fragmentation chain transfer (RAFT) polymerization, in order to afford the corresponding polymers PCIL-(±)-86 and PCIL-(+)-86 and, by atom transfer radical polymerization (ATRP), in order to afford the polymers PCIL-(±)-87 and PCIL-(+)-87, respectively (Scheme 31). Then, the exchange of the respective chloride counter ion with the L-prolinate anion led to new type polymeric catalysts PCIL-(±)-88, PCIL-(+)-88, PCIL-(±)-89, PCIL-(+)-89. All polymers bearing l-proline units and polymers PCIL-(+)-86 and PCIL-(+)-87 not bearing proline units were tested as catalysts for the aldol reaction between p-nitrobenzaldehyde and acetone in water. The reaction was performed with 40 mol % loading of the corresponding polymeric catalysts at room temperature for 20 h. The polymers PCIL-(+)-86 and PCIL-(+)-87 showed some catalytic activity (15% and 41% of conversion respectively). The polymeric derivatives bearing l-proline units consumed almost quantitatively the aldehyde but had a very poor stereoselectivity. Different amounts of the dehydrated product were also observed. These chiral polymeric catalysts were more active than the corresponding monomeric counterpart, when the reaction was carried out in water or in the presence of water.
Scheme 31.
Preparation of polymeric chiral ionic liquids, PCILs-86-89.
Sagamanova et al. reported the preparation of polynorbornene–supported proline 93a–d and 94d and their application as catalysts in the direct asymmetric aldol reaction [57]. The catalysts 93a–d and 94b were prepared following the synthetic strategy depicted in the Scheme 32. In the first step, the ω-bromoalkyl functionalized polynorbornene (90a–d), having bromoalkyl chains of different length (n = 1 and 4) and two levels of functionalization for each bromoalkyl chain length, were prepared by Ni–catalyzed copolymerization of norbornene and ω-bromoalkylnorbornenes [58]. Then, copolymers 90a–d were treated with sodium azide to afford ω-azidoalkyl functionalized polynorbornene 91a–d. Copolymer 90b (x/y = 1.6; n = 1) was also treated with p-ethynylbenzoic acid to afford the alkynyl functionalized resin 92b. Copolymers 91a–d and 92b were transformed into catalytic resins 93a–d and 94b through two complementary alkyne-azide click reactions followed by deprotection of N-Boc and t-butyl ester group with TFA in dichloromethane. Catalysts 93a–d, used in 10 mol % loading in combination with 10 mol % of TFA as additive, were tested in reaction between cyclohexanone and p-nitrobenzaldehyde in DMSO:H2O (87:13) as solvent and at room temperature. Catalysts 93a–c showed similar behaviour in terms of conversion, diastereo- and enantioselectivity. Copolymer 93d, in turn, led to much lower conversion and decrease of stereoselectivity. These results indicated influence on catalytic performance of the functionalization level of the catalytic polymers, since 93d was much less functionalized than 93a–c.
Scheme 32.
Synthesis of polynorbornene-supported proline 93a–d and 94d and their application in aldol reaction.
The catalyst 93b was also employed in aldol reactions of a wide range of aromatic aldehydes affording the anti-aldol products in high yields and diastereo- and enantioselectivities. Catalyst 94b provided a series of the aldol adducts with excellent yields and stereoselectivities in a 50:50 mixture of DMF and water as solvent, in shorter reaction times compared to those of catalyst 90b and without the need for adding acid. The recyclability of polymers 93b and 94b was studied in aldol reaction between cyclohexanone and p-nitrobenzaldehyde. Copolymer 93b was recycled seven times affording the aldol product with constant stereoselectivity and with only slight decrease of catalytic activity in every cycle. Catalyst 94b, on the contrary, was recycled and reused for at least seven runs without any appreciable loss in yield or in stereoselectivity, showing the very positive effect of the p-phenylene carboxylate spacer on the chemical stability of the polynorbornene-supported organocatalyst.
Polystyrene-immobilized triazolylproline organocatalyst 97 was prepared and employed in asymmetric cross- and self-aldol reactions of aldehydes (Scheme 33) [59]. The heterogeneous catalyst 97 was obtained by radical copolymerization of the proline derivative 96 with styrene and DVB and successive deprotection of both the Boc group and the tert-butyl ester with TFA. The monomer 96, bearing a pendant vinyl group, was prepared by click reaction between (2S,4R)-N-Boc-4-azido-l-proline tert-butyl ester and bifunctional linker 95 obtained starting from p-chloromethylstyrene and 4-ethynylbenzyl alcohol. The asymmetric cross-aldol reaction between a series of aromatic aldehydes and donor aliphatic aldehydes catalyzed by 10 mol % of catalyst 97 in water led to aldol adducts in very good yields and ee values. The same reactions were also carried out in wet DMSO, obtaining an improvement of ee values but a decrease of yield in some cases. In presence of catalyst 97, the self-aldol reaction of propanal, butanal and 3-phenylpropanal in water as the only solvent gave moderate to good yields and high enantioselectivities. Recyclability of catalyst 97 was studied in the self-aldol reaction of butanal. It was recovered by simple filtration and recycled 10 times showing a moderate decrease of catalytic activity at the end of the recycling test.
Scheme 33.
Synthesis of polystyrene-immobilized triazolylproline organocatalyst 97 and its application in the asymmetric cross and self-aldol reactions of aldehydes.
A new polystyrene-supported squaramide for the enantioselective flow synthesis of pyranonaphthoquinones was reported [60]. In detail, PS-squaramide 100 was prepared following an synthetic strategy that consisted in immobilization of intermediate 98 onto the Wang resin, containing a bis-phenylmethylene ether handle, and in successive nucleophilic displacement with the enantiopure (1R,2R)-2-(piperidin-1-yl)cyclohexanamine (Scheme 34). After having studied the behavior of resin in batch by the addition of 2-hydroxy-1,4-naphthoquinone to (E)-2-nitro-3-phenyl-allyl acetate, the continuous flow experiment was addressed. A new device, in which a packed bed reactor loaded with PS-squaramide 100 was coupled with the T-junction connecting the saturated solution of sodium bicarbonate and the coil reactor, was assembled. A library of enantioenriched pyranonaphthoquinones was prepared by sequential pumping of different solutions containing hydroxynaphthoquinone and a representative set of Morita-Baylis-Hillman acetates. The total residence time of the each process including two sequential reactions—the organocatalyzed Michael addition and the base promoted cyclizations—and in-line work-up was only 30 min. All the pyranonaphthoquinones prepared with this methodology showed excellent stereoselectivities and good yields.
Scheme 34.
Synthesis of PS-squaramide 100 and its application in the enantioselective flow synthesis of pyranonaphthoquinones.
4. Metal-Catalysed Non-Asymmetric Reactions
4.1. Epoxidation of Alkenes
In 2014, Leng et al. reported the first amphiphilic polyoxometalate(POM)-paired ionic polymer-based heterogeneous epoxidation system [61]. The new amphiphilic POM-paired ionic copolymer 102 was prepared by anion-exchange of functionalized-ionic liquid copolymer 101 with the [PO4(WO3)4]3− species (Scheme 35). Copolymer 101 was synthesized by the free radical copolymerization of 3-dodecyl-1-vinylimidazolium bromide and 3-propionic acid-1-vinyl-imidazolium bromide using AIBN as initiator.
Scheme 35.
Preparation of POM-paired ionic polymer 102 and its use in the epoxidation of alkenes.
The catalytic performance of catalyst 102 was evaluated in the epoxidation of various alkenes with H2O2 as oxidant and ethyl acetate as solvent. Liquid–liquid–solid three-phase reaction systems were observed and good to excellent conversions (48%–100%) were obtained. The reusability of catalyst 102 was studied in epoxidation of cyclooctene and 1-octene. The catalyst was recovered by filtration and reused for five cycles. A slight gradual loss of activity was observed, while the selectivity was preserved. The results of ICP-AES elemental analysis for the reacted filtrate showed that less than 1.6 wt % of the total W in the catalyst leached into the reaction media. This could have led to the gradual decrease in activity observed in the recycling tests.
In the same year, epoxidation of olefins with H2O2 was also carried out in presence of the amphiphilic composite 106, constituted by a magnetic Fe3O4 core and a dodecylamine-modified polyoxometalate-paired poly-(ionic liquid) shell [62]. The material 106 was prepared in the following way (Scheme 36). First, the 3-propionic acid-1-vinylimidazolium chloride was adsorbed on Fe3O4 surface via chemisorption interaction between the functional group –COOH and iron ion (see material 103). Next, the polymerization of the vinyl imidazole ionic liquid in presence of potassium peroxodisulfate (KPS) led to poly-(ionic liquid) coating on Fe3O4 core 104.
Scheme 36.
Preparation of catalyst 106 and its application in the epoxidation of alkenes.
Afterward, the anion-exchange of poly-(ionic liquid) network with H3PW12O40, followed by treatment with dodecylamine, provided the material 106. In presence of 106 as catalyst and acetonitrile as solvent, high conversion values (77%–100%) and selectivities (95%–100%) were obtained. The catalytic reusability was studied in epoxidation of D,L-limonene. After the reaction, the catalyst was easily separated by an external magnet. The recovered catalyst showed a slow decrease in activity (89% conversion) in the third run but the initial catalytic activity (95% conversion) was restored after treatment with dodecylamine. The result of ICP-AES analysis showed that less than 0.9 wt % of W has been leached into the reaction media.
Recent studies have shown that the incorporation of POSS into organic or inorganic polymer could create a micro/mesoporous matrix without using a template [63,64]. In light of this and taking into account that porous framework structure of the solid catalysts would favour the increase of their catalytic performances, Lengh et al. reported the synthesis of POSS-derived mesoporous poly(ionic liquids) 109a–e in order to obtain the amphiphilic mesostructured polyoxometalate-based ionic hybrids 110a–e (Scheme 37) [65]. The introduction of the POSS unit could permit to control the pore structure and wettability of material. The preparation of POSS-derived mesoporous poly(ionic liquids) 109a–e was carried by free radical copolymerization of octa(N-vinylimidazole-silsesquioxane)(POSS–IM, 107) with 1,1-(butane-1,4-diyl)-bis(3-vinylimidazolium) dibromide (108), by varying the molar ratio of bis-vinylimidazolium salt 108 to POSS–IM 107.
Scheme 37.
Synthesis of amphiphilic mesostructured polyoxometalate-based ionic hybrids 110a–e and their use as catalysts in the epoxidation of alkenes.
This latter was previously synthesized via nucleophilic substitution reaction of chlorine groups of octa(3-chloropropyl silsesquioxane) with vinyl imidazole. Afterwards, the anion-exchange of polymeric frameworks 109a–e with the Keggin-type H3PW12O40 provided mesoporous POM-based ionic hybrids 110a–e. The hybrids 110a–e were applied in H2O2-based epoxidation of cyclooctene at 70 °C in acetonitrile as solvent. The materials 110d and 110e, exhibited the best results (both 99% conversion and 100% selectivity). Furthermore, low conversions were obtained with corresponding POSS-free polyoxometalate-based ionic hybrids and with homogeneous H3PW12O40. The material 110d was also tested with different substrates obtaining good catalytic activities (51.6%–91.7% conversion) and selectivities (57.3%–99.2%). The catalytic reusability of 110d was studied in epoxidation of cyclooctene. The catalyst, recovered by filtration, was reused for three run tests without loss of catalytic activity. The result of ICP-AES analysis showed that less than 1.1 wt % W of 110d has been leached into the reaction media.
The study of amphiphilic porous POSS incorporated polyoxometalate-paired polymeric hybrids as catalysts for epoxidation reactions was expanded investigating the synthesis and application of the new hybrid catalyst 112 (Scheme 38) [66]. This material was prepared by radical copolymerization of octavinyl POSS, 3-dodecyl-1-vinylimidazolium bromide and 3-propionic acid-1-vinylimidazolium bromide in 1:3:5 mole ratio, respectively, followed by ion exchange in aqueous solution with the previously prepared H3[PO4(WO3)4]. Based on previous studies, this molar ratio permitted to obtain the optimum specific surface (24 cm2·g−1) and pore volume (0.175 cm3·g−1). Higher molar ratio of dodecyl imidazole ionic liquid to carboxylic acid functionalized imidazole ionic liquid led to less porous systems, most probably due to the blockage of the channels because of dodecyl groups. Good to excellent activities (49%–99% conversion) and high selectivities (94%–100%) were obtained, applying the catalyst 112 in epoxidation of various alkenes with H2O2 in acetonitrile as solvent at 70 °C. Finally, the reusability of 112 was evaluated on the epoxidation of cyclooctene. The catalyst was recovered by centrifugation and reused for four runs without observing loss in catalytic activity. Moreover, results of ICP-AES analysis showed that about 3.1 wt % W in the catalyst has been leached into the reaction media in the first run, but in the following runs, the leaching was negligible.
Scheme 38.
Synthesis of hybrid catalyst 112 and its application in the epoxidation of alkenes.
Recently, additional series of POSS-derived mesostructurated and amphiphilic copolymer-polyoxometalate catalysts were successfully synthesized using ionic liquids bearing hydrophobic alkyl chains as the building blocks [67]. Particularly, the catalysts 114a–d were prepared by free radical copolymerization of octavinyl POSS (o-POSS) with ([3-octyl-1-vinylimidazolium]Br) by varying the molar ratio of liquid ionic (IL) to o-POSS and successively carrying out the anion-exchange with H3PW12O40 in aqueous solution (Scheme 39). Catalysts 114e–g were synthesized by copolymerization of o-POSS with imidazole ionic liquids bearing different alkyl chains (C4H9, C12H25, C16H33) keeping the molar ratio IL:o-POSS 8:1 and carrying out the ion-exchange in the same way. The optimum specific surface (25.0 m2/g) and pore volume (0.175 cm3/g) were obtained with 114b. The catalytic performances of various catalysts were assessed in the epoxidation of cyclooctene with aqueous H2O2 as oxidant and acetonitrile as solvent. All catalysts of series showed high conversions (81%–>99%) and selectivity (>99%). Catalyst 114b was also employed in epoxidation of various alkenes obtaining good to excellent conversions (51%–>99%) and selectivity (66%–100%). The catalytic reusability of 114b was evaluated in the epoxidation of cyclooctene. The catalyst was recovered by filtration and then reused for four runs without observing loss in catalytic activity.
Scheme 39.
Synthesis of POSS-derived mesostructurated and amphiphilic copolymer-polyoxometalate catalysts 114a–g and their application in the epoxidation of alkenes.
Zhao et al. also reported an effective hybrid catalyst based on polyoxometalate and polymer [68]. This new catalyst, denoted as 115, was constituted by the linear positively charged polymer, poly(dimethyl diallyl) ammonium, and the polyoxometalate[γ-1,2-H2SiV2W10O40]4− (Scheme 40). Catalyst 115 was used in the epoxidation of various allylic alcohols using only one equivalent of hydrogen peroxide in water under mild reaction conditions. trans-2-Hexen-1-ol, cis-2-penten-1-ol and crotyl alcohol were oxidized to the corresponding epoxides in high yields (79%–88%). Poor reactivity was showed for the oxidation of 2-methyl-2-propen-1-ol (38% yield). Catalyst 115 could be recovered and reused. An emulsion was formed when the catalyst was dispersed in an aqueous reaction system. After the reaction, the organic products were separated from the aqueous phase by extraction with ethyl acetate and the catalyst, remained in the aqueous solution as stable emulsion, could be used for the next run. The reuse of the catalyst for epoxidation of crotyl alcohol was reported; after three consecutive reuses, there was no significant loss of initial catalytic activity. This catalyst was also used in heterogeneous oxidation of sulfides with good results [67].
Scheme 40.
Epoxidation of allylic alcohols catalysed by 115.
A wide range of polymer-supported Mo(VI) complexes have been successfully employed as catalysts for alkene epoxidation over the last few decades [69]. In 2014, the synthesis and application of the polymer-supported diimine molybdenum carbonyl complexes pre-catalysts 118a–b (Scheme 41) were described [70]. Molybdenum hexacarbonyl was immobilized onto polystyrene-diimines 117a and 117b, that were produced by functionalization of aldehydic polystyrene with ethylene diamine and successive reaction with benzaldehyde or 4-nitrobenzaldehyde. Tetracarbonyl coordination of the supported ligands with the molybdenum carbonyl, the pentacarbonyl and tri-carbonyl coordination of them were assumed. Resins 118a–b were used in the epoxidation of different alkenes under optimized conditions (tert-butylhydroperoxide –TBHP– as oxidant and CCl4 as solvent), showing to be active and selective. Conversions and selectivities obtained with 118a were in the 32%–94% and 69%–100% range, respectively, while those obtained with 118b in the 48%–100% and 80%–100% range, respectively. The reusability of pre-catalysts 118a and 118b was investigated in epoxidation of cyclooctene; the pre-catalysts were reused six times without any loss of their initial activities.
Scheme 41.
Polymer-supported diimine molybdenum carbonyl complexes 118a–b as pre-catalysts for alkene oxidation.
A new process, which employed polybenzimidazole-supported Mo(VI) complex 119 as catalyst for epoxidation of cyclododecene and dodecene with TBHP as oxidant, was investigated (Scheme 42) [71]. The polymer-supported Mo(VI) complex 119 was prepared through ligand exchange procedure carried out in presence of polybenzimidazole and an excess of molybdenyl acetylacetonate relative to polymer bound ligands under reflux in toluene. The catalytic activity of 119 was studied under different reaction conditions in a batch reactor. The optimum reaction conditions for epoxidation of both cyclododecene and dodecene were found at 80 °C, 0.3 mol % Mo catalyst loading and 2.5:1 feed molar ratio of alkene to TBHP. About 98% yield of 1,2-epoxycyclododecane and about 79% yield of 1,2-epoxydodecane were obtained at 350 min.
Scheme 42.
Preparation of polybenzimidazole-supported Mo(VI) complex 119 and its application in the epoxidation of cyclododecene and dodecene.
The leaching of any catalytically active Mo species from the polymer-supported catalyst 119 was investigated by supernatant studies. The results of supernatant studies of cyclododecene epoxidation revealed that catalytically active Mo species were leached from the polymer matrix, especially at the first three consecutive reactions, causing a decrease of conversion from 96% to 31%. No evidence of Mo leaching was showed for dodecene epoxidation. The authors suggested that the leaching of Mo species from catalyst 119 might be due to the release of Mo species contained in the microgels as a result of mechanical attrition of the polymer catalyst beads. However, they also suggested that this effect would be absent in continuous epoxidation process using a reactive distillation column, as the catalyst would be firmly packed inside a fixed column.
Zhang et al. described application of two covalent metalloporphyinic polymers (CMPs) based on the azo (–N=N–) linkage, as catalysts for epoxidation of alkenes [72]. These materials, denoted as azo-CMP-120 and azo-CMP-121, were obtained by reaction between manganese meso-tetra (4-nitro-phenyl)porphyrin and p-phenylenediamine or benzidine respectively, in DMF at 150 °C in the presence of potassium hydroxide under N2 atmosphere (Scheme 43).
Scheme 43.
Metalloporphyinic polymers azo-CMP-120 and azo-CMP-121 as catalysts for the epoxidation of alkenes.
Activity of catalysts was compared in epoxidation of styrene with TBHP in acetonitrile at 70 °C. The catalyst azo-CMP-120 displayed a better performance than azo-CMP-121. Styrene oxide was obtained with yields of 82% and 69% with azo-CMP-120 and azo-CMP-121 respectively. The catalyst azo-CMP-120 was also employed in epoxidation of other olefins showing high yields with cyclic olefin (79%–100%) and lower yields with linear olefin (35%–58%). Low yield was obtained in reaction with trans-stilbene (31%). The catalyst azo-CMP-120 was recycled five times with a slight decrease in catalytic activity. Recently, Mn(III)salophen supported on nanosilica triazine dendrimer 124 was synthesized and used as new nanocatalyst for epoxidation of different alkenes with NaIO4 (Scheme 44) [73].
Scheme 44.
Preparation of Mn(III)salophen supported on nanosilica triazine dendrimer 124 and its catalytic activity in the epoxidation of alkenes.
Catalyst 124 was prepared by coordination reaction of nano-silica-supported triazine dendritic polymer (G2) 123 with Mn(salophen)Cl. Polymer 123 was previously synthesized starting from a propylamine-functionalized nano-silica by using an iterative method that included the nucleophilic substitution reaction between the chloride groups of cyanuric chloride and amino groups of nano-silica followed by reaction with bis(3-aminopropyl)amine [74]. The optimization of epoxidation reaction conditions was studied and several alkenes were oxidized to their corresponding epoxides in good to excellent yield (52%–95%) in CH3CN/H2O at room temperature with 4 mol % of catalyst 124. The reusability of 124 was studied in the epoxidation of cyclooctene. The catalyst was separated by simple filtration and reused four runs without significant loss of its initial activity.
4.2. C–C Coupling Reactions
In 2014, the self-supported oximepalladacycle 127 was synthesized by using a polymeric ligand based on the polyether ether ketone architecture and employed as pre-catalyst in Suzuki–Miyaura reactions (Scheme 45) [75]. In detail, the self-supported oximepalladacycle 127 was prepared in three synthetic steps: (a) copolymerization of 4,4′-dihydroxybenzophenone with 1,12-dibromododecane to afford 125; (b) conversion of ketone groups into oximes in order to obtain 126; and (c) cyclization in the presence of Li2PdCl4. The Pd loading level was 0.77 mmol/g. Use of 127 as pre-catalyst in the Suzuki–Miyaura reactions between aryl bromides and phenylboronic acid at 80 °C led to biphenyl products with excellent yields (96%–99%) in short reaction times. Higher temperatures and longer times were needed for the reactions with aryl chlorides; only with activated aryl chlorides biphenyl products were obtained in moderate yields (42%–65%). The recyclability of 127 was studied. Catalyst 127 was recovered by filtration, after having cooled the reaction mixture to room temperature and added ether and water to facilitate its precipitation. It was reused up to four times giving excellent yields with low levels of Pd leaching.
Scheme 45.
Synthesis of self-supported oximepalladacycle 127 and its application in Suzuki coupling.
In the same year, cross-linked polyallylamine polymer-supported iminopyridylphosphine palladium(II) complexes were prepared and used as heterogeneous catalysts for Suzuki–Miyaura and Heck cross coupling reactions [76]. These new materials, 130a and 130b, were synthesized as depicted in Scheme 46. First, the cross-linked polyallylamine polymer 128 was prepared by copolymerization of polyallyamine hydrochloride salt with epichlorohydrin under basic conditions and successive ion exchange with sodium hydrogen carbonate. Then, the amino-groups of 128 were functionalized by 6-(diphenylphosphino) picolinaldehyde or 2-(diphenylphosphino)benzaldehyde to form cross-linked polyallylamine polymer-supported phosphine–Schiff bases 129a or 129b respectively. Finally, the complexation of 129a and 129b with Pd led to materials 130a and 130b (Pd loading 130b: 0.57 mmol/g; Pd loading 130a: and 0.5 mmol/g). The catalytic activity of 130a and 130b was compared in the coupling of bromobenzene with phenylboronic acid under optimized conditions (dioxane, K2CO3, 0.05 mol % of catalyst, reflux). Catalyst 130a was found to be more efficient than catalyst 130b. Catalyst 130a was also employed in Suzuki reaction between different aryl halides and substituted phenylboronic acids. High yields were obtained with aryl iodides and bromides (90%–99%). Low to high yields with aryl chlorides (35%–95%) were obtained. The reaction between 4-amino-1-chlorobenzene and phenylboronic acid only gave 35% of desired product, while the reaction between 4-chloronitrobenzene and 4-methoxyphenylboronic gave better result (yield 95%). The use of catalyst 130a in Heck reaction of aryl halides with terminal olefins also gave good yields (68%–95%). Recycling experiments were carried out for the cross-coupling of bromobenzene and phenylboronic acid. The catalyst was recovered by filtration and reused at least five times without significant loss of activity.
Scheme 46.
Polymer-supported iminopyridylphosphine palladium(II) complexes 130a–b as catalysts for cross-coupling reactions.
Recently, triphenylphosphine ligand and palladium nanoparticles were immobilized in situ in a polymer synthesized by palladium catalysed Suzuki–Miyaura reaction between tris(4-bromo-phenyl)amine and benzene-1,4-diboronic acid, to which tris(4-chlorophenyl) phosphine participated [77]. The optimization of this procedure by using Pd2(dba)3 led to Pd heterogeneous catalyst 131 (Scheme 47). The amount of Pd in the catalyst, determined by ICP-AES, was 1.81 wt %. Application of catalyst 131 in Suzuki–Miyaura reaction of aryl chlorides and bromides with aryl boronic acids allowed to obtain the corresponding biphenyl compounds in good to excellent yields (70%–99%). The reusability of the catalyst was tested in the cross coupling of 4-chlorotoluene with phenylboronic acid. It was reused five times; a slight deactivation of catalyst was observed.
Scheme 47.
Synthesis of Pd heterogeneous catalyst 131 and its application in Suzuki–Miyaura reaction.
The application of Pd nanoparticles supported on poly(N-vinylpyrrolidone)-grafted silica as heterogeneous catalysts for Sonogashira and Suzuki coupling reactions was also reported [78]. In detail, catalyst 134 was obtained by treatment of poly(N-vinylpyrrolidone)-grafted silica 133 with PdCl2 in DMF (Scheme 48). Support 133 was afforded by reaction between acryloyl chloride and aminopropyl silica and subsequent copolymerization of the thus obtained material 132 with 1-vinyl-2-pyrrolidone in the presence of benzoyl peroxide as initiator.
Scheme 48.
Preparation of heterogeneous catalyst 134 and its use in cross-coupling reactions.
Catalyst 134 contained an average of 0.25 mmol·g−1 of Pd. Under optimized conditions (0.5 mol % of catalyst, 2 eq. K2CO3, DMF, 100 °C and tetrabutylammonium bromide (TBAB) only for reactions with aryl chlorides), Sonogashira-Hagihara cross-coupling reaction between phenylacetylene with different aryl halides was carried out. High yields were obtained unlike the less active 4-chloroanisole, which led to coupling product in 35% of yield. Catalyst 134 was recovered by filtration and recycled successfully for seven runs. A total Pd leaching of about 3% from the supported system after the third and sixth run was observed. Use of catalyst 134 in Suzuki coupling reaction between phenylboronic acid and different aryl halides, in the presence of K2CO3 as base and DMF as solvent, provided biaryls with good yields. Ortho- and meta-substituted aryl halides gave the corresponding products after 24 with only 30% and 40% of yield. Similar to the Sonogashira reaction, aryl chlorides gave the coupling products in the presence of TBAB. The recycling experiments for the reaction of phenylboronic acid with iodobenzene were carried out; the catalyst was used six times with no considerable leaching.
Kodicherla et al. reported the first Sonogashira coupling reaction catalysed by polystyrene-supported Cu(II) complex [79]. The polystyrene-supported Cu(II) N,N-dimethyl-ethylenediamine complex 136 was prepared by treatment of polymer-bound N,N-dimethylethylenediamine 135 with an ethanolic solution of CuBr2 at 50 °C (Scheme 49). Polymeric ligand 135 was synthesized by reaction between chloromethylated polystyrene and N,N-dimethylethylenediamine in refluxing acetonitrile. The amount of copper incorporated into the polymer, determined by atomic absorption spectroscopy, was 0.98 mmol/g. Application of catalyst 136 in Sonogashira cross-coupling reaction between phenylacetylene and aryl iodides containing electron withdrawing or donating substituents gave the corresponding biarylacetylenes in good yields (66%–85%). The reusability of the catalyst 136 was studied in reaction between iodobenzene and phenylacetylene. Not much decrease in the activity of catalyst was observed even after four cycles. During the course of Sonogashira coupling reactions, 0.4% of copper was lost into solution after the first run. After four recycles loss of 7% was observed. This catalyst was also applied in N-arylation of indoles [79].
Scheme 49.
Polystyrene-supported Cu(II) complex 136 as catalyst for Sonogashira reaction.
In 2011, a new concept of heterogeneous materials based on highly cross-linked imidazolium salts anchored on silica gel as supports for palladium nanoparticles in high loadings was developed [80]. This topic was extended with the preparation of the material 137 as catalyst for the Heck reaction (Scheme 50) [81]. Material 137 was prepared by treatment of highly cross-linked imidazolium-based support 21a with an aqueous solution of Na2PdCl4, followed by reduction reaction with NaBH4 in ethanol. Material 137 was employed in 0.1 mol % in Heck reaction between styrenes or methyl acrylate and various aryl iodides in DMF/H2O 4:1 in the presence of TEA at 90 °C, showing good results. Under these conditions, catalyst 137 released Pd species in solution and the leached Pd species catalysed the reaction. Adding a six-fold amount of the imidazolium-based support 21a, they were very efficiently scavenged. The new supported Pd species (0.5–0.6 wt %) were not catalytically active. The non-catalytic activity of low loaded Pd material was explained assuming that such Pd species were strongly bound into the inner surface of the multilayered structure of support 21a. The use of the highly cross-linked imidazolium-based materials as palladium scavengers was also extended [82].
Scheme 50.
Palladium on highly cross-linked imidazolium-based material 137 as catalyst for Heck reaction.
A novel and highly sustainable protocol for flow Heck reaction in presence of the catalyst 138, constituted by palladium (10 wt %) supported on cross-linked imidazolium network, was reported (Scheme 51) [83]. Flow reactors and protocols were defined in order to optimize the recovery and reuse of the catalyst, minimize waste and in particular, the amount of organic solvent needed to isolate the final products. The flow protocol was defined by charging a mixture of the catalyst 138 (0.1 mol %) and the supported base, diethylaminomethyl-polystirene (PS-TEA) (1.5 equiv.), in a stainless steel HPLC column, while the reactants solution was charged in another glass column, acting as the reservoir. After setting the temperature at 130 °C, the reaction mixture was cyclically pumped through the columns at a 2.0 mL/min flow rate for the time required to obtain quantitative conversion. Reusability of catalyst 138 was investigated in Heck reaction to methyl cinnamate. The reuse of the catalyst was repeated for four consecutive runs, achieving a TON of about 4000 and a TOF of about 0.08 s−1. No apparent activity loss was observed and a Pd content of about 4 ppm was found in the products obtained after each cycle of the flow protocol. Furthermore, the CH3CN aqueous azeotrope used in the reaction was distilled off and recovered with a high purity (GLC analysis), totally comparable to the starting azeotropic mixture, thus being reusable without affecting the reaction yield. The flow procedure at 130 °C was extended to the reactions between two aryl iodide and styrene or methyl acrylate, obtaining good yields (76%–97%) and Pd content into the products <5 ppm. The combination of the flow technique and sustainable reaction conditions led to a substantial reduction of the waste production, as proved by the low E-factor value of 12.
Scheme 51.
Palladium on highly cross-linked imidazolium-based material 138 as catalyst for Heck reaction in flow.
Taking advantage of application of highly cross-linked imidazolium-based materials as supports for palladium nanoparticles, another approach for the palladium immobilization, based on the highly loaded thiazolidine-functionalized silica support 49, was described (Scheme 21) [84]. The thiazolidine-based support 49 was treated with an aqueous solution of Na2PdCl4 and successively with sodium borohydride, to afford the catalyst 139 (Scheme 52). Catalyst 139 in 0.1 mol % loading was used in the Suzuki–Miyaura reaction between phenylboronic acid or 4-formylphenylboronic acid and a set of aryl bromides (or iodides) in ethanol/water at 50 °C in the presence of K2CO3 as base. Biphenyl compounds were obtained in high yields (58%–99%). The catalyst was also used in the Heck reaction between aryl iodides and methyl acrylate or styrene. Good to excellent yields were obtained, except in the reaction between 2-iodothiophene and methyl acrylate. The recyclability was studied in Suzuki reaction. The catalyst was used three times without loss of catalytic activity.
Scheme 52.
Palladium on highly loaded thiazolidine-functionalized silica 139 as catalyst for Suzuki and Heck reactions.
New polymer supports for palladium catalysts were prepared by immobilization of poly(amidoamine) PAMAM type hyperbranched systems on an epoxy-functionalized polymer(GMA resin) derived from terpolymers of glycidyl methacrylate, styrene, and divinylbenzene [85]. The supported PAMAM 141 and 142 were synthesized considering two methods (Scheme 53). The first included the immobilization of the zeroth order PAMAM dendrimer 140 [86] on the GMA resin. The second relied on multi-stage chemical modification of the GMA resin in turn with tris(2-aminoethyl)-amine (TAEA), methyl acrylate and ethylenediamine (EDA). Palladium(II) ions were immobilized onto supported PAMAM 141 and 142 thus obtaining the catalysts 141-Pd and 142-Pd with Pd(II) loading of 16.3 and 8.1% Pd(II) ions, respectively. Polymer-supported Pd(II) complexes 141-Pd and 142-Pd were tested as catalysts in the Suzuki–Miyaura reaction. Kinetic plots obtained for the reaction of bromobenzene with phenylboronic acid performed in the presence of 141-Pd and 142-Pd, in i-PrOH–H2O mixture, at 70 °C, using KOH as base and 0.5 mol % of catalyst, showed that 141-Pd was more active than 142-Pd. Therefore, 141-Pd was used for the further catalytic studies with a series aryl bromides and phenylboronic acid obtaining high conversions (90%–100%). An incomplete conversion (about 90%) was noted only in the case of p-bromophenol. The recyclability of catalyst 141-Pd was studied in the reaction of p-bromoanisole with phenylboronic acid. The catalyst beads were reused nine times without regeneration. Despite, the loading of palladium diminished in about 9% after 5th run and about 12.5% after 10th run, the efficiency of 141-Pd was not influenced.
Scheme 53.
Palladium on supported PAMAM, 141-Pd and 142-Pd, for Suzuki coupling.
Recently, polyamidoamine dendrimers (PAMAM) were also immobilized onto single-walled carbon nanotubes (SWCNTs) to obtain suitable supports for palladium nanoparticles [87]. In detail, hybrid supports SWCNT–PAMAM 144a and 144b were prepared by direct reaction between pristine SWCNTs and cystamin-based PAMAM dendrimers 2.5 G 143a and 3.0 G 143b, respectively (Scheme 54). Then, heterogeneous catalysts 144a-Pd and 144b-Pd were obtained by treatment of 144a and 144b with [PdCl4]2− and successive reduction with sodium borohydride, respectively. By this strategy, materials 144a and 144b were uniformly decorated with small palladium nanoparticles with mean diameters of 3.2 and 1.6 nm, respectively, in 10 wt % loading of Pd. Both catalysts were tested in Suzuki–Miyaura and Mizoroki–Heck reactions and catalyst 144b-Pd showed the best performances. The authors proposed a “release and catch” mechanism [88] for both reactions. During the Suzuki reaction, the re-deposition of soluble Pd-species was highly effective. During the Heck coupling instead, part of the soluble Pd species was stabilized by both the base and the solvent and subsequently leached away. The reusability of nanocatalyst 144b-Pd was also studied. It was shown to be recyclable at least four times in the Suzuki reaction and six times in the Heck coupling with quantitative yields.
Scheme 54.
Synthesis of SWCNT-PAMAM-Pd hybrids 144a–b-Pd and their use in cross coupling reactions.
A novel strategy for the preparation of highly efficient Pd-based heterogeneous catalyst, using a porous organic polymer containing phenanthroline ligands, was reported [89]. Particularly, catalyst 147 was obtained by metalation with Pd(OAc)2 of polymer organic 146 synthesized through the copolymerization of divinylbenzene and vinyl-functionalized phenanthroline monomer 145 under solvothermal conditions (Scheme 55). The activity of catalyst 147 was tested in Suzuki, Heck and Sonogashira reactions. The Suzuki coupling between phenylboronic acid and aryl bromides or aryl iodides at 80 °C gave biphenyl products with excellent yields (94%–99%). In presence of less reactive aryl chlorides, relatively low yields (24%–34%) were obtained even when the reactions were carried out at a higher temperature (120 °C), over a longer reaction time and with a higher catalyst loading (0.05 g instead of 0.01 g for 1 mmol of halide). The Sonogashira coupling between benzyne and aryl bromides or aryl iodides at 120 °C gave the corresponding biarylacetylenes in high yields (93%–99%) without CuI co-catalyst. In the case of Heck coupling, catalyst 147 again exhibited very high activity and selectivity, converting aryl iodides and bromides with high yields (97%–99%). In all reactions, material 147 was more active than the corresponding Pd-based homogeneous catalyst used under the same conditions. Furthermore, the catalyst was found to be recyclable. It was used for five recycling trials without significant loss of the catalytic activity and leaching of Pd. According authors, this result might be reasonably attributed to the strong coordination between the Pd species and the phenanthroline moieties.
Scheme 55.
Preparation of polymer-supported Pd-catalyst 147 and its application in cross coupling reactions.
Halloysite, a double-layered aluminosilicate mineral that has a predominantly hollow tubular structure, has been also used as support for ionic liquid (IL) phase-based materials. External surface functionalization of halloysite nanotubes (HNTs) with ILs was achieved through grafting of 3-mercaptopropyl trimethoxysilane by microwave irradiation, followed by anchorage of 3-octyl-1-vinylimidazolium bromide via thiol-ene reaction (Scheme 56) [90,91]. MW irradiation allowed obtaining high loading onto the HNTs surface compared to those obtained through conventional synthesis. Treatment with Na2PdCl4 in water followed by reduction with NaBH4 gave the Pd-based catalyst 149. This latter was used in Suzuki reactions between phenylboronic acid and several aryl halides in ethanol/water with a catalytic loading of 1.0 or 0.1 mol %. Reactions were carried out under MW irradiation at 120 °C for 10 min to give the corresponding biphenyls in good to excellent yields. Up to five cycles were performed using catalyst 149 at 1.0 mol % loading.
Scheme 56.
Preparation of material 149 and its application in Suzuki reaction.
In addition, the Pd-based halloysite-bis-triazolium salt 152 was prepared. In this case, the starting material was the azido-functionalized HNTs 150. The HNTs modified with the bis-triazolium salt were obtained using the bis-alkyne 151 and a reactions sequence based on two click reactions, first with the azido-HNT 150, then with NaN3, followed by quaternization with 1-bromobutane (Scheme 57) [92]. Palladium was immobilized from Na2PdCl4 solution followed by reduction. Catalyst 152 was used (0.1 mol %) in the Suzuki–Miyaura reaction between phenylboronic acid and a set of aryl halides in water at 120 °C in the presence of K2CO3 as base. All the reactions were run for 10 min under MW irradiation. High conversions were obtained with anisole derivatives, lower yields with other substrates but an increasing in their conversion was achieved carrying out a reaction in mixture water/ethanol (1:1). Recycling of catalyst was investigated by the reaction between phenylboronic acid and 3-bromoanisole. Catalyst was recovered by centrifugation and reused in the same reaction in five cycles. Biphenyl-3-anisole was afforded in 99%–90% for five cycles.
Scheme 57.
Preparation of material 152 and its application in Suzuki reaction.
In 2015, the synthesis of highly-functionalized biaryls via Suzuki–Miyaura cross-coupling catalyzed by Pd nanoparticles supported on the amino-functionalized mesoporous metal–organic framework MIL-101-NH2 (Pd-MIL-101-NH2, see Scheme 58) was proposed [93]. This catalytic system with a palladium loading of 8 wt % was known to have the optimal amount of palladium impregnated in MIL-101-NH2 [94,95] for this type of applications [96]. In presence of 1 mol % of Pd-MIL-101-NH2, the coupling of boronic acids or pinacolate esters with heteroaryl iodides and bromides was investigated. Heteroatom-functionalized biaryls were obtained in excellent yields at mild temperatures (20 or 50 °C) and in very short reaction times (10 min–4 h) (Scheme 58a). Influence of steric effect given by substitution in phenylboronic acids or aryl halides was also evaluated. For this reason, a series of reactions was carried (Scheme 58b). High yields were obtained with all substituted boronic acids, except that with boronic acids containing electron-withdrawing and bulky ortho substituents with which the desired products were not obtained. The presence of bulky and electro-withdrawing ortho functionality in aryl halide determined only a slight decrease of yield. Superior results were obtained when the heterocyclic moiety belonged to the boron transmetallation partners (Scheme 58c); a better tolerance towards multiple coordinating heteroatoms was noticed. The Pd leaching was investigated observing its dependence on the nature of the substrates and the reaction condition. In absence of heteroatoms in substrates, the Pd content in solution after filtration of the catalyst was in most cases <0.1 ppm. However, when one N atom was present in the aryl halides, leached Pd amount was very small (2.8–5.0 ppm) and proved to be dependent on the reaction time and temperature. At elevated temperatures and under MW irradiation, even higher levels of Pd could be detected (12–14 ppm). After having studied Pd-MIL-101-NH2 under batch conditions, its behavior in continuous-flow conditions was investigated. For the first time, metallic nanoparticles supported on metal–organic framework were employed in a packed-bed micro-flow reactor for catalytic applications. Twelve biaryls were synthesized without replacing the catalyst, demonstrating the potential of the catalyst for large-scale applications (Scheme 58d). The catalyst showed a good stability under a continuous flow regime with very slight leaching of metallic species.
Scheme 58.
Synthesis of highly-functionalized biaryls via Suzuki–Miyaura cross-coupling catalyzed by Pd-MIL-101-NH2.
4.3. Miscellaneous Examples
In order to increase the catalytic activity toward the synthesis of cyclic carbonate, by cycloaddition reaction of CO2 to epoxides, bifunctional catalysis based on both Lewis acids and quaternary ammonium salts can be used. Ionic polymer microsphere (see also Scheme 10) bearing Co(III)-Salen moiety were used for this scope [97]. Particularly, the new bifunctional solid catalyst TBB-Bpy@Salen-Co 155 was synthesized by grafting a Salen-Co III Schiff base 154 onto cross-linked TBB-Bpy ionic polymer 153, prepared by reaction between TBB (1,2,4,5-tetrakis(bromomethyl)-benzene,) and Bpy (4,4′-bipyridine) in a one-pot solvothermal method (Scheme 59).
Scheme 59.
Synthesis of TBB-Bpy@Salen-Co 155 and its application in the cycloaddition of CO2 to epoxides.
The catalyst was applied in the cycloaddition reaction of CO2 to various epoxides at 60 °C–80 °C, even at low CO2 pressure (0.2 MPa) under solvent-free conditions and without any additives. The corresponding cyclic carbonates were obtained with high conversions and excellent selectivities. The TON was approximately 300–500 moles of product per mole of catalyst based on Co. A possible synergistic mechanism that involved the active sites of catalyst functionalized with Co atoms and Br was proposed. The catalyst recyclability was investigated by cycloaddiction of propylene oxide. The solid catalyst was recovered by filtration and reused for five cycles without any significant loss of activity or selectivity. ICP-AES elemental analysis revealed 4.62 wt % Co in the catalyst recovered after five runs, which was very similar to that found for the fresh catalyst (4.71 wt % Co), thus indicating the heterogeneous nature of the catalyst.
Similar ionic polymers were also used to stabilize AuNPs for oxidation reactions. Zhang et al. reported the application of gold nanoparticles supported on a nanoporous ionic organic network (PION) as catalysts for alcohol oxidation (Scheme 60) [98]. For this reason, the PION 156, having a high ionic density (three cation–anion pairs per unit), was synthesized by nucleophilic substitution between commercial 1,3,5-tris(bromomethyl)benzene and 1,2-bis(4-pyridyl)ethylene. Gold nanoparticles (Au NPs) were supported on PION 156 by ion exchange reaction with AuCl4−ions and successive chemical reduction with freshly prepared aqueous solution of NaBH4. The new hybrid material thus obtained, denoted as 157, presented quite small Au NPs (mean size: 2.2 nm) and homogeneously dispersed on the polymer support. In presence of catalyst 157 and in toluene as solvent, the aerobic oxidation of a saturated alcohols was carried out affording the corresponding ketones with high yields and selectivities.
Scheme 60.
Synthesis of gold nanoparticles supported on nanoporous ionic organic network 157 and its use as catalysts for alcohol oxidation.
The recyclabily of catalyst 157 was investigated by cyclohexanol oxidation. It was recovered by centrifugation and reused over five runs maintaining its catalytic activity. Furthermore, the liquid phase of the reaction mixture was also collected by hot filtration after the first run and analyzed by inductively coupled plasma mass spectrometry. A very low amount of dissolved gold (0.1% of the total gold) was detected in the solution at the end of the reaction.
Restrepo et al. investigated the efficiency of twelve different composites (158a–d, 159a–d, 160a–d), constituted by gold nanoparticles immobilized onto imidazolium-based supported ionic liquid like phases (AuNPs-SILLPs), as catalysts for microwave-assisted selective oxidation of 1-phenyl-ethanol in water with H2O2 as oxidant (Scheme 61) [99]. SILLPs with different variables [100,101], including the functionalization degree, resin morphology (gel-type vs. macroporous resins) and the alkyl substitution of the imidazolium moiety (–Me, –But, or –Dec), were evaluated. The effect of these different supports on the mean reaction rate was studied by a Design of Experiments (DoE) based on the Taguchi methods [102], carrying out the 1-phenylethanol oxidation reaction at two different temperatures (100 and 150 °C) and several reaction times (15, 30, 60 and 120 min). The DoE analysis suggested that the increase of the chain length on the imidazolium, following the order –Me, –But and –Dec, led to an enhancement of the reaction rate. This trend also matched the one observed for AuNPs size distribution. Increasing the length of alkyl chain, a bigger AuNPs size distribution was observed. The larger reaction rates were found for AuNPs-SILLPs based on macroporous resins. The effect of the ionic liquid loading was the least pronounced. The DoE analysis also indicated that in many cases there was an enhancement of the catalytic efficiency with the increase of AuNPs sizes. Finally the reusability of the AuNPs-SILLPs was evaluated by testing AuNPs-SILLP 160b. The catalytic activity decreased for consecutive uses from 67% to 39%, 37% and 35% for the 2nd–4th cycles, because of the lixiviation of the active metal species from the stabilized NPs. In order to improve the applicability of these catalytic systems, a polymer cocktail containing the initial catalytic composite AuNPs-SILLPs 160b along with the corresponding basic SILPs (R = Dec. X = OH–, macro, 3.45 mmol OH-/g), which acted simultaneously as a scavenger for the lixiviated species and as a base to modify the catalytic process, was evaluated. A positive effect was observed. The yield in the first cycle increased in comparison with the reaction performed in the absence of the basic SILLP (82% vs. 67%) and the catalytic activity decreased at a lower extent (73% for the 2nd, 58% for the 3rd and 45% for the 4th use). Finally, synthesis of some PdNPs-SILLPs was also performed. Under similar conditions, catalytic activity of AuNPs-SILLPs was to proved to be better than that of PdNPs-SILLPs.
Scheme 61.
AuNPs-SILLPs 158a–d, 159a–d, 160a–d as catalysts for microwave-assisted selective oxidation of 1-phenyl-ethanol in water.
Recently, the polystyrene-linked tris(triazolyl)methanecopper (I) cationic catalyst 162 was reported for the general carbene transfer reaction in batch and flow reactions [103]. It was prepared by reaction between the polystyrene-supported tris(triazolyl) methyl complex 161 and [Cu(MeCN)4][PF6] in dichloromethane at room temperature (Scheme 62). It was applied, in 5.2 mol % loading, in the reaction of ethyl diazoacetate (EDA) with six substrates under batch conditions, obtaining high yields. The recyclability is evaluated in each reaction. The catalyst was separated by filtration and reused for five consecutive reaction cycles, keeping the reaction time constant. Essentially constant yields were observed; a slight decrease was noticed only with less reactive cyclohexane in the C–H bond insertion reaction. Furthermore, these six reactions were also carried out with a single catalyst sample in a sequential manner. Each reaction was repeated two times, and no decrease in activity was detected in twelve consecutive experiments. Then, the catalytic system was also investigated in continuous flow. Under optimized reaction conditions involving a flow rate as high as 500 µL·min-1 (equivalent to 1 min residence time), the preparation of small libraries of compounds was carried out by reaction of five different substrates with EDA. Four different types of carbene transfer (O–H insertion, N–H insertion, C–H insertion and cyclopropenation) in a sequential manner were carried out. Except for the cyclopropenation case, productivities in flow were significantly higher (up to four times) than those recorded for the same reactions in batch.
Scheme 62.
Preparation of polystyrene-linked tris(triazolyl)methanecopper (I) cationic catalyst 162 and its application in carbene transfer reaction in batch and flow conditions.
5. Metal-Catalysed Asymmetric Reactions
Supported metal-based catalysts can be also used in asymmetric transformations. In this section, two examples of metal-catalysed asymmetric C–C forming reactions, including the allylation of ketones and the Henry reaction, and three examples of asymmetric hydrogenation are described.
Synthesis of the supported 1,1-binaphthol (BINOL) ligand 169 and its application in the titanium-catalysed asymmetric allylation of ketones were reported [104]. Supported BINOL ligand 169 was prepared by anchoring the enantiopure 6-ethynyl-BINOL 168 to an azidomethylpolystyrene resin through a copper-catalysed alkyne-azide cycloaddition reaction (Scheme 63). The enantiopure 6-ethynyl-BINOL 168, having a suitable alkyne anchoring linker, was synthesized by the following route. The selective monoesterification of the hydroxyl groups of (R)-1,1–binaphthol (163) with bulky pivaloyl chloride was performed, to allow the successive chemoselective bromination at the 6-position and thus avoid the 6,6′-difunctionalization of the naphthyl groups. The obtained bromo derivative 165 was treated with pivaloyl chloride, and subsequently with trimethylsilylacetylene to introduce the trimethylsilylethynyl substituent, by a palladium-catalysed Sonogashira coupling reaction, and thus to furnish intermediate 167. Finally, the hydrolysis and desilylation of latter intermediate by treatment with K2CO3 in methanol afforded the enantiopure 6-ethynyl-BINOL 168. The supported BINOL ligand 169 was employed in the asymmetric allylation of a series of ketones with tetraallyltin under optimized conditions in presence of titanium(IV) isopropoxide and 2-propanol in CH2Cl2. The polystyrene (PS)-supported BINOL ligand 169 was converted into its diisopropoxytitanium derivative in situ and the asymmetric allylation mediated by the so-formed PS-supported (BINOLate)Ti species led to alcohols with high yield (67%–96%) and enantiomeric excesses (70%–95%). Recycling of the PS-supported (BINOLate)Ti species was investigated through the asymmetric allylation of 3-methylacetophenone. The catalyst was recovered by filtration and reused. A decrease in enantioselectivity was observed. It was established by ICP-MS analysis that up to 96% of its initial titanium content is leached from the resin in a single reaction cycle. Based on these results, the intercycle remetallation with titanium tetraisopropoxidewas carried out to obtain the effective reuse. By using this approach, both yield and enantioselectivity were essentially preserved after three consecutive reaction cycles. Supported BINOL ligand 169 was also employed in the tandem asymmetric allylation/epoxidation of (E)-2-benzylidenecyclohexanone and the tandem asymmetric allylation/Pauson–Khand reaction of 1-(2-(phenylethynyl)phenyl)ethanone, obtaining final products with high stereoselectivity in both cases.
Scheme 63.
Synthesis the supported BINOL ligand 169 and its application in the titanium-catalysed asymmetric allylation of ketones.
Several kinds of polytopic chiral ligands based on the bis(oxazoline) and azabis(oxazoline) motifs were used in the preparation of coordination polymers having copper as the ligand connecting metal [105]. Particularly, the ditopic ligands 170a–c bearing tert-butyl, phenyl and indanyl substituents, respectively, the different ditopic ligand 171 bearing triazole units in the linker, the tritopic 172 and tetratopic 173 ligands were used (Scheme 64). The coordination polymers, formed by mixing the corresponding polytopic ligand (170–173) and Cu(OAc)2 in the appropriate Cu/Ligand molar ratio, were tested as recoverable catalytic systems for the Henry reaction of o-anisaldehyde with nitromethane or nitroethane. During the reactions, the polymers disassembled due to competitive coordination of either the reactants or the reaction solvent. The resulting soluble monomeric metal complexes acted as true homogeneous catalysts. At the end of each reaction, the release–capture strategy for the recovery and reuse of enantioselective catalysts, based on the precipitation of an insoluble coordination polymer, was shown to be effective in all cases. In the reaction between o-anisaldehyde and nitromethane, the best performances were obtained with ditopic ligand 171. The use of the complex 171-Cu(OAc)2 provided excellent results in both yield and enantioselectivity (96% and 91% respectively). It was reused up to 12 runs without loss of enantioselectivity and activity. In the reaction between o-anisaldehyde and nitroethane, the best performances were obtained with ligand 170c. The 170c-Cu(OAc)2 could be reused up to 14 runs with a slight decrease in yield, diastereo- or enantioselectivity.
Scheme 64.
Henry reaction catalysed by coordination polymers 170–173-Cu(OAc)2.
A new approach of fabricating core–shell structured solid catalysts for the asymmetric transfer hydrogenation (ATH) of aromatic ketones with [Cp*RhCl2]2 (Cp* = pentamethylcyclopentadiene) as metal precursor was investigated [106]. In detail, the hybrid core–shell nanospheres 176 with N-(para-toluenesulfonyl)-1,2-diphenylethylenediamine-polystyrene (TsDPEN–PS) in the core and poly(methyl acrylate)-functionalized silica in the shell were fabricated by two synthetic steps (Scheme 65). In the first step, TsDPEN–PS latex nanoparticles 175 were prepared through the emulsion polymerization of a mixture of chiral monomer 174 and styrene. In the second step (the coating process), the hydrolysis and condensation of the mixture of tetraethoxysilane and poly(methyl acrylate)-functionalized alkoxysilyl (PMA-organosilane), in presence of TsDPEN–PS latex nanoparticles 175 and cetyltrimethylammonium bromide (CTAB) as a structure-directing agent, were carried out.
Scheme 65.
Preparation of the hybrid core–shell nanospheres 160 and its use in the Rh-catalysed ATH of aromatic ketones.
The hybrid core–shell nanospheres 176 with different compositions and surface properties were tested in the Rh-catalysed ATH of acetophenone in aqueous HCOONa. The core–shell structured solid catalyst 177 was generated in situ by reaction between the hybrid core–shell nanospheres 176 and [Cp*RhCl2]2 (Cp* = pentamethylcyclopentadiene). The studies showed that the presence of CTAB and poly(methyl acrylate) polymer in the shell favoured high activity, which was mainly due to the increased surface hydrophobicity. Furthermore, the hybrid core–shell nanospheres 176, obtained by using 10 mol % of the chiral monomer, in the process of the formation of the core, and 10 mol % of PMA–organosilane, in process of the formation of shell, were employed in the Rh-catalysed ATH of a wide range of simple aromatic ketones obtaining high enantioselectivities (ee: 73%–99%). The catalyst was separed through filtration and was recycled. Recycling study was carried out by ATH of acetophenone. After each run, the reaction time was prolonged to maintain the catalytic activity but the ee value of each run kept up well. The gradual decrease in the catalytic activity was due to the slight loss of Rh, which was confirmed by inductively coupled plasma analysis (5.4% in total Rh loading).
Recently, the modular solid-phase synthesis of a library of 16 supported phosphine–phosphite (P–OP) ligands, denoted as 181a–r, and its application in rhodium catalysed asymmetric hydrogenation were reported (Scheme 66) [107]. Variations in structure of supported phosphine–phosphite (P–OP) ligands 181a–r were generated by using phosphines bearing different substituents (R1), cyclic sulfates having a varying backbone length (n) and different substituents (R2) and by employing various chlorophosphites. The starting synthons of the solid-phase synthesis were supported phosphine–boranes 178a–b, synthesized starting from Merrifield resin and primary lithium phosphides having different substituents (R1). Upon deprotonation of 178a–b with lithium diisopropylamide (LDA), the lithiated phosphine–boranes reacted with a cyclic sulphate, affording compounds 179a–h. Subsequently, the sulfate group was hydrolysed and the borane group removed by treatment with an excess of 1,4-diazabicyclo[2.2.2]octane (DABCO, 10 equiv.). Finally, the resulting hydroxyalkyl phosphines reacted with chlorophosphite reagents yielding supported phosphine–phosphite ligands 181a–r. The library of 16 supported phosphine–phosphite ligands 181a–r was employed in the asymmetric hydrogenation of three substrates. The complexation was performed prior to catalysis by suspending the resin-bound ligands in dichloromethane in the presence of rhodium precursor ([Rh(COD)2]BF4). In all cases, full conversion was achieved and enantioselectivities up to 98% were observed. The reusability of 181i was assessed. It could be successfully reused for 11 reaction cycles with only a minor loss of activity and no decrease in selectivity.
Scheme 66.
Synthesis of polymer supported phosphine–phosphite ligands 181a–r and their application in rhodium catalysed asymmetric hydrogenation.
The synthesis and application of magnetic Noyori-type ruthenium catalysts for ATH reactions were reported [108]. Particularly, Noyori-type ruthenium catalyst 182 (Scheme 67) was immobilized on magnetic supports constituted by carbon coated cobalt nanoparticles (Co/C) and a polymer matrix. Among the supports prepared varying the polymer matrix and the linker, the immobilized ligand 184 gave the best results. This latter was performed by further functionalization of diphenyl vinyl functionalized nanoparticles 183, via co-polymerization with vinyl substituted diamine ligand 174 and DVB in a ratio of 1:50:50 (Scheme 67). Thanks to the complexation in situ of ligand 184 with [RuCl2(p-cymene)]2, the active ruthenium catalyst, denoted as 185, was obtained. In presence of 185, a variety of aromatic ketones was reduced to their corresponding alcohols in an aqueous medium and with formic acid as hydrogen source. Good yields (81%–100%) and selectivities (91%–99% ee) were obtained. Furthermore, the heterogeneous catalyst 185 was recovered quantitatively by a magnetic decantation and reused 10 times showing high enantioselectivities and a gradual decrease in yield after the sixth run.
Scheme 67.
Synthesis of immobilized ligand 184 and its application in the Ru-catalysed ATH of aromatic ketones.
6. Conclusions
The immobilization of catalysts on polymer supports has proved to be a fundamental approach to realize recoverable and reusable catalytic systems. A great variety of strategies has been employed both in organocatalysis and in metal-based catalysis. Polystyrene-supported catalysts were prepared by grafting of an organocatalyst or a suitable ligand onto functionalized preformed polystyrene or, conversely, by copolymerization of styrene and/or divinylbenzene with a monomer containing the organocatalyst or ligand. Dendrimers immobilized on polymers have received great attention both as organocatalysts and as supports for metal catalysts. Furthermore, the application of poly(ionic liquid)s as heterogeneous catalysts allowed to overcome some drawbacks related to the use of relatively large amount of ionic liquid and the separation of products and catalyst. New organic-inorganic hybrid materials, including ionic liquid phase-based materials, were reported. Beside catalysts anchored as pendants groups on polymer support, new self-supported catalysts, in which the catalyst was incorporated in the main chain, were also described. However, the application of polymer supported catalysts, in some cases, has shown drawbacks such as decrease of catalytic activity and leaching of catalyst. This is a challenging field of research, which incites the design of new catalytic systems and new creative protocols for further improvement.
Acknowledgments
University of Palermo is gratefully acknowledged for financial support.
Conflicts of Interest
The authors declare no conflict of interest.
References
- Hübner, S.; de Vries, J.G.; Farina, V. Why Does Industry Not Use Immobilized Transition Metal Complexes as Catalysts? Adv. Synth. Catal. 2016, 358, 3–25. [Google Scholar] [CrossRef]
- Toy, P.H. Reengineering Classic Organic Reactions Using Polymeric Tools. Pure Appl. Chem. 2014, 86, 1651–1661. [Google Scholar] [CrossRef]
- Zhang, J.; Zhang, S.; Han, J.; Hu, Y.; Yan, R. Uniform acid poly ionic liquid-based large particle and its catalytic application in esterification reaction. Chem. Eng. J. 2015, 271, 269–275. [Google Scholar] [CrossRef]
- Minakawa, M.; Baek, H.; Yamada, Y.M.A.; Han, J.W.; Uozumi, Y. Direct Dehydrative Esterification of Alcohols and Carboxylic Acids with a Macroporous Polymeric Acid Catalyst. Org. Lett. 2013, 15, 5798–5801. [Google Scholar] [CrossRef] [PubMed]
- Kim, Y.H.; Han, J.; Jung, B.Y.; Baek, H.; Yamada, Y.M.A.; Uozumi, Y.; Lee, Y.S. Production of Valuable Esters from Oleic Acid with a Porous Polymeric Acid Catalyst without Water Removal. Synlett 2016, 27, 29–32. [Google Scholar]
- Leng, Y.; Zhao, J.; Jiang, P.; Lu, D. POSS-derived solid acid catalysts with excellent hydrophobicity for highly efficient transformations of glycerol. Catal. Sci. Technol. 2016, 6, 875–881. [Google Scholar] [CrossRef]
- Yang, B.; Li, J.; Wang, J.; Xu, H.; Guang, S.; Li, C. Poly(vinyl pyrrolidone-co-octavinyl polyhedral oligomeric silsesquioxane) Hybrid Nanocomposites: Preparation, Thermal Properties, and Tg Improvement Mechanism. J. Appl. Polym. Sci. 2009, 111, 2963–2969. [Google Scholar] [CrossRef]
- Wang, W.; Jie, X.; Fei, M.; Jiang, H. Synthesis of core-shell particles by batch emulsion polymerization of styrene and octavinyl polyhedral oligomeric silsesquioxane. J. Polym. Res. 2011, 18, 13–17. [Google Scholar] [CrossRef]
- Wang, B.; Shen, Y.; Sun, J.; Xu, F.; Sun, R. Conversion of platform chemical glycerol to cyclic acetals promoted by acidic ionic liquids. RSC Adv. 2014, 4, 18917–18923. [Google Scholar] [CrossRef]
- Singh, S.; Patel, A. Selective Green Esterification and Oxidation of Glycerol over 12-Tungstophosphoric Acid Anchored to MCM-48. Ind. Eng. Chem. Res. 2014, 53, 14592–14600. [Google Scholar] [CrossRef]
- Liu, H.; Chen, J.; Chen, L.; Xu, Y.; Guo, X.; Fang, D. Carbon Nanotube-Based Solid Sulfonic Acids as Catalysts for Production of Fatty Acid Methyl Ester via Transesterification and Esterification. ACS Sustain. Chem. Eng. 2016, 4, 3140–3150. [Google Scholar] [CrossRef]
- Li, J.; Wang, X.; Chen, G.; Li, D.; Zhou, Y.; Yang, X.; Wang, J. Hypercrosslinked organic polymer based carbonaceous catalytic materials: Sulfonic acid functionality and nano-confinement effect. Appl. Catal. B Environ. 2015, 176–177, 718–730. [Google Scholar] [CrossRef]
- Li, D.; Mao, D.; Li, J.; Zhou, Y.; Wang, J. In situ functionalized sulfonic copolymer toward recyclable heterogeneous catalyst for efficient Beckmann rearrangement of cyclohexanone oxime. Appl. Catal. A Gen. 2016, 510, 125–133. [Google Scholar] [CrossRef]
- Liu, F.; Kong, W.; Qi, C.; Zhu, L.; Xiao, F.-S. Design and Synthesis of Mesoporous Polymer-Based Solid Acid Catalysts with Excellent Hydrophobicity and Extraordinary Catalytic Activity. ACS Catal. 2012, 2, 565–572. [Google Scholar] [CrossRef]
- Rojas, M.F.; Bernard, F.L.; Aquino, A.; Borges, J.; Vecchia, F.D.; Menezes, S.; Ligabue, R.; Einloft, S. Poly(ionic liquid)s as efficient catalyst in transformation of CO2 to cyclic carbonate. J. Mol. Catal. A Chem. 2014, 392, 83–88. [Google Scholar] [CrossRef]
- Dani, A.; Groppo, E.; Barolo, C.; Vitillo, J.G.; Bordiga, S. Design of high surface area poly(ionic liquid)s to convert carbon dioxide into ethylene carbonate. J. Mater. Chem. A 2015, 3, 8508–8518. [Google Scholar] [CrossRef]
- Agrigento, P.; Al-Amsyar, S.M.; Soree, B.; Taherimehr, M.; Gruttadauria, M.; Aprile, C.; Pescarmona, P.P. Synthesis and high-throughput testing of multilayered supported ionic liquid catalysts for the conversion of CO2 and epoxides into cyclic carbonates. Catal. Sci. Technol. 2014, 4, 1598–1607. [Google Scholar] [CrossRef]
- Giacalone, F.; Gruttadauria, M. Covalently Supported Ionic Liquid Phases: An Advanced Class of Recyclable Catalytic Systems. ChemCatChem 2016, 8, 664–684. [Google Scholar] [CrossRef]
- Xin, B.; Hao, J. Imidazolium-based ionic liquids grafted on solid surfaces. Chem. Soc. Rev. 2014, 43, 7171–7187. [Google Scholar] [CrossRef] [PubMed]
- Aprile, C.; Giacalone, F.; Agrigento, P.; Liotta, L.F.; Martens, J.A.; Pescarmona, P.P.; Gruttadauria, M. Multilayered Supported Ionic Liquids as Catalysts for Chemical Fixation of Carbon Dioxide: A High-Throughput Study in Supercritical Conditions. ChemSusChem 2011, 4, 1830–1837. [Google Scholar] [CrossRef] [PubMed]
- Leng, Y.; Lu, D.; Jiang, P.; Zhang, C.; Zhao, J.; Zhang, W. Highly cross-linked cationic polymer microspheres as an efficient catalyst for facile CO2 fixation. Catal. Commun. 2016, 74, 99–103. [Google Scholar] [CrossRef]
- Dai, W.-L.; Jin, B.; Luo, S.-L.; Luo, X.-B.; Tu, X.-M.; Au, C.-T. Functionalized phosphonium-based ionic liquids as efficient catalysts for the synthesis of cyclic carbonate from expoxides and carbon dioxide. Appl. Catal. A Gen. 2014, 470, 183–188. [Google Scholar] [CrossRef]
- Dai, W.; Zhang, Y.; Tan, Y.; Luo, X.; Tu, X. Reusable and efficient polymer nanoparticles grafted with hydroxyl-functionalized phosphonium-based ionic liquid catalyst for cycloaddition of CO2 with epoxides. Appl. Catal. A Gen. 2016, 514, 43–50. [Google Scholar] [CrossRef]
- Whiteoak, C.J.; Henseler, A.H.; Ayats, C.; Kleij, A.W.; Pericas, M.A. Conversion of oxiranes and CO2 to organic cyclic carbonates using a recyclable, bifunctional polystyrene-supported organocatalyst. Green Chem. 2014, 16, 1552–1559. [Google Scholar] [CrossRef]
- Talapaneni, S.N.; Buyukcakir, O.; Je, S.H.; Srinivasan, S.; Seo, Y.; Polychronopoulou, K.; Coskun, A. Nanoporous Polymers Incorporating Sterically Confined N-Heterocyclic Carbenes for Simultaneous CO2 Capture and Conversion at Ambient Pressure. Chem. Mater. 2015, 27, 6818–6826. [Google Scholar] [CrossRef]
- Gopalakrishna Panicker, R.K.; Krishnapillai, S. Synthesis of on resin poly(propylene imine) dendrimer and its use as organocatalyst. Tetrahedron Lett. 2014, 55, 2352–2354. [Google Scholar] [CrossRef]
- Krishnan, G.R.; Sreekumar, K. First Example of Organocatalysis by Polystyrene-Supported PAMAM Dendrimers: Highly Efficient and Reusable Catalyst for Knoevenagel Condensations. Eur. J. Org. Chem. 2008, 2008, 4763–4768. [Google Scholar] [CrossRef]
- Mangala, K.; Sreekumar, K. Dendrimer functionalized polysilane: An efficient and recyclable organocatalyst. J. Appl. Polym. Sci. 2015, 132, 41593–41599. [Google Scholar] [CrossRef]
- Wang, X.; Li, J.; Chen, G.; Guo, Z.; Zhou, Y.; Wang, J. Hydrophobic Mesoporous Poly(ionic liquid)s towards Highly Efficient and Contamination-Resistant Solid-Base Catalysts. ChemCatChem 2015, 7, 993–1003. [Google Scholar] [CrossRef]
- Seo, U.R.; Chung, Y.K. Poly(4-vinylimidazolium) iodides: A highly recyclable organocatalyst precursor for benzoin condensation reaction. RSC Adv. 2014, 4, 32371–32374. [Google Scholar] [CrossRef]
- Seo, U.R.; Chung, Y.K. Poly(4-vinylimidazolium)s/Diazabicyclo[5.4.0]undec-7-ene/Zinc(II) Bromide-Catalyzed Cycloaddition of Carbon Dioxide to Epoxides. Adv. Synth. Catal. 2014, 356, 1955–1961. [Google Scholar] [CrossRef]
- Pinaud, J.; Vignolle, J.; Gnanou, Y.; Taton, D. Poly(N-heterocyclic-carbene)s and their CO2 Adducts as Recyclable Polymer-Supported Organocatalysts for Benzoin Condensation and Transesterification Reactions. Macromolecules 2011, 44, 1900–1908. [Google Scholar] [CrossRef]
- Coupillaud, P.; Pinaud, J.; Guidolin, N.; Vignolle, J.; Fèvre, M.; Veaudecrenne, E.; Mecerreyes, D.; Taton, D. Poly(ionic liquid)s based on imidazolium hydrogen carbonate monomer units as recyclable polymer-supported N-heterocyclic carbenes: Use in organocatalysis. J. Polym. Sci. Part A Polym. Chem. 2013, 51, 4530–4540. [Google Scholar]
- Wang, L.; Chen, E.Y.X. Recyclable Supported Carbene Catalysts for High-Yielding Self-Condensation of Furaldehydes into C10 and C12 Furoins. ACS Catal. 2015, 5, 6907–6917. [Google Scholar] [CrossRef]
- Iwamoto, K.-I.; Kimura, H.; Oike, M.; Sato, M. Methylene-bridged bis(benzimidazolium) salt as a highly efficient catalyst for the benzoin reaction in aqueous media. Org. Biomol. Chem. 2008, 6, 912–915. [Google Scholar] [CrossRef] [PubMed]
- Huangfu, Y.; Sun, Q.; Pan, S.; Meng, X.; Xiao, F.-S. Porous Polymerized Organocatalysts Rationally Synthesized from the Corresponding Vinyl-Functionalized Monomers as Efficient Heterogeneous Catalysts. ACS Catal. 2015, 5, 1556–1559. [Google Scholar] [CrossRef]
- Brunel, D.; Fajula, F.; Nagy, J.B.; Deroide, B.; Verhoef, M.J.; Veum, L.; Peters, J.A.; van Bekkum, H. Comparison of two MCM-41 grafted TEMPO catalysts in selective alcohol oxidation. Appl. Catal. A Gen. 2001, 213, 73–82. [Google Scholar] [CrossRef]
- Bivona, L.A.; Quertinmont, F.; Beejapur, H.A.; Giacalone, F.; Buaki-Sogo, M.; Gruttadauria, M.; Aprile, C. Thiazolium-Based Catalysts for the Etherification of Benzylic Alcohols under Solvent-Free Conditions. Adv. Synth. Catal. 2015, 357, 800–810. [Google Scholar] [CrossRef]
- Yang, D.; Liu, P.; Zhang, N.; Wei, W.; Yue, M.; You, J.; Wang, H. Mesoporous Poly(melamine–formaldehyde): A Green and Recyclable Heterogeneous Organocatalyst for the Synthesis of Benzoxazoles and Benzothiazoles Using Dioxygen as Oxidant. ChemCatChem 2014, 6, 3434–3439. [Google Scholar] [CrossRef]
- Tan, M.X.; Sum, Y.N.; Ying, J.Y.; Zhang, Y. A mesoporous poly-melamine-formaldehyde polymer as a solid sorbent for toxic metal removal. Energy Environ. Sci. 2013, 6, 3254–3259. [Google Scholar] [CrossRef]
- Tan, M.X.; Gu, L.; Li, N.; Ying, J.Y.; Zhang, Y. Mesoporous poly-melamine-formaldehyde (mPMF)—A highly efficient catalyst for chemoselective acetalization of aldehydes. Green Chem. 2013, 15, 1127–1132. [Google Scholar] [CrossRef]
- Tan, M.X.; Zhang, Y.; Ying, J.Y. Mesoporous Poly(Melamine–Formaldehyde) Solid Sorbent for Carbon Dioxide Capture. ChemSusChem 2013, 6, 1186–1190. [Google Scholar] [CrossRef] [PubMed]
- Strappaveccia, G.; Bianchi, L.; Ziarelli, S.; Santoro, S.; Lanari, D.; Pizzo, F.; Vaccaro, L. PS-BEMP as a basic catalyst for the phospha-Michael addition to electron-poor alkenes. Org. Biomol. Chem. 2016, 14, 3521–3525. [Google Scholar] [CrossRef] [PubMed]
- Bonollo, S.; Lanari, D.; Longo, J.M.; Vaccaro, L. E-factor minimized protocols for the polystyryl-BEMP catalyzed conjugate additions of various nucleophiles to a,b-unsaturated carbonyl compounds. Green Chem. 2012, 14, 164–169. [Google Scholar] [CrossRef]
- Zvagulis, A.; Bonollo, S.; Lanari, D.; Pizzo, F.; Vaccaro, L. 2-tert-Butylimino-2-diethylamino-1,3-dimethylperhydro-1,3,2-diazaphosphorine Supported on Polystyrene (PS-BEMP) as an Efficient Recoverable and Reusable Catalyst for the Phenolysis of Epoxides under Solvent-Free Conditions. Adv. Synth. Catal. 2010, 352, 2489–2496. [Google Scholar] [CrossRef]
- Itsuno, S.; Hassan, M.M. Polymer-immobilized chiral catalysts. RSC Adv. 2014, 4, 52023–52043. [Google Scholar] [CrossRef]
- Gruttadauria, M.; Giacalone, F. Catalytic Methods in Asymmetric Synthesis: Advanced Materials, Techniques, and Applications; Wiley: Hoboken, NJ, USA, 2011. [Google Scholar]
- Kasaplar, P.; Ozkal, E.; Rodriguez-Escrich, C.; Pericas, M.A. Enantioselective a-amination of 1,3-dicarbonyl compounds in batch and flow with immobilized thiourea organocatalysts. Green Chem. 2015, 17, 3122–3129. [Google Scholar] [CrossRef]
- Pedrosa, R.; Andres, J.M.; Avila, D.P.; Ceballos, M.; Pindado, R. Chiral ureas and thioureas supported on polystyrene for enantioselective aza-Henry reactions under solvent-free conditions. Green Chem. 2015, 17, 2217–2225. [Google Scholar] [CrossRef]
- Andrés, J.M.; de La Cruz, N.; Valle, M.; Pedrosa, R. Bottom-Up Synthesis of Supported Thioureas and Their Use in Enantioselective Solvent-Free Aza-Henry and Michael Additions. ChemPlusChem 2016, 81, 86–92. [Google Scholar] [CrossRef]
- Sagamanova, I.; Rodríguez-Escrich, C.; Molnár, I.G.; Sayalero, S.; Gilmour, R.; Pericàs, M.A. Translating the Enantioselective Michael Reaction to a Continuous Flow Paradigm with an Immobilized, Fluorinated Organocatalyst. ACS Catal. 2015, 5, 6241–6248. [Google Scholar] [CrossRef]
- Salvo, A.M.P.; Giacalone, F.; Noto, R.; Gruttadauria, M. Recyclable Heterogeneous and Low-Loading Homogeneous Chiral Imidazolidinone Catalysts for α-Alkylation of Aldehydes. ChemPlusChem 2014, 79, 857–862. [Google Scholar] [CrossRef]
- Itsuno, S.; Oonami, T.; Takenaka, N.; Haraguchi, N. Synthesis of Chiral Polyethers Containing Imidazolidinone Repeating Units and Application as Catalyst in Asymmetric Diels–Alder Reaction. Adv. Synth. Catal. 2015, 357, 3995–4002. [Google Scholar] [CrossRef]
- Chiroli, V.; Benaglia, M.; Puglisi, A.; Porta, R.; Jumde, R.P.; Mandoli, A. A chiral organocatalytic polymer-based monolithic reactor. Green Chem. 2014, 16, 2798–2806. [Google Scholar] [CrossRef]
- Porta, R.; Benaglia, M.; Puglisi, A.; Mandoli, A.; Gualandi, A.; Cozzi, P.G. A Catalytic Reactor for the Organocatalyzed Enantioselective Continuous Flow Alkylation of Aldehydes. ChemSusChem 2014, 7, 3534–3540. [Google Scholar] [CrossRef] [PubMed]
- Karjalainen, E.; Izquierdo, D.F.; Marti-Centelles, V.; Luis, S.V.; Tenhu, H.; Garcia-Verdugo, E. An enzymatic biomimetic system: Enhancement of catalytic efficiency with new polymeric chiral ionic liquids synthesised by controlled radical polymerisation. Polym. Chem. 2014, 5, 1437–1446. [Google Scholar] [CrossRef]
- Sagamanova, I.K.; Sayalero, S.; Martinez-Arranz, S.; Albeniz, A.C.; Pericas, M.A. Asymmetric organocatalysts supported on vinyl addition polynorbornenes for work in aqueous media. Catal. Sci. Technol. 2015, 5, 754–764. [Google Scholar] [CrossRef]
- Martínez-Arranz, S.; Albéniz, A.C.; Espinet, P. Versatile Route to Functionalized Vinylic Addition Polynorbornenes. Macromolecules 2010, 43, 7482–7487. [Google Scholar] [CrossRef]
- Llanes, P.; Sayalero, S.; Rodriguez-Escrich, C.; Pericas, M.A. Asymmetric cross- and self-aldol reactions of aldehydes in water with a polystyrene-supported triazolylproline organocatalyst. Green Chem. 2016, 18, 3507–3512. [Google Scholar] [CrossRef]
- Osorio-Planes, L.; Rodriguez-Escrich, C.; Pericas, M.A. Removing the superfluous: A supported squaramide catalyst with a minimalistic linker applied to the enantioselective flow synthesis of pyranonaphthoquinones. Catal. Sci. Technol. 2016, 6, 4686–4689. [Google Scholar] [CrossRef]
- Leng, Y.; Wu, J.; Jiang, P.; Wang, J. Amphiphilic phosphotungstate-paired ionic copolymer as a highly efficient catalyst for triphase epoxidation of alkenes with H2O2. Catal. Sci. Technol. 2014, 4, 1293–1300. [Google Scholar] [CrossRef]
- Leng, Y.; Zhao, J.; Jiang, P.; Wang, J. Amphiphilic Polyoxometalate-Paired Polymer Coated Fe3O4: Magnetically Recyclable Catalyst for Epoxidation of Bio-Derived Olefins with H2O2. ACS Appl. Mater. Interfaces 2014, 6, 5947–5954. [Google Scholar] [CrossRef] [PubMed]
- Seino, M.; Wang, W.; Lofgreen, J.E.; Puzzo, D.P.; Manabe, T.; Ozin, G.A. Low-k Periodic Mesoporous Organosilica with Air Walls: POSS-PMO. J. Am. Chem. Soc. 2011, 133, 18082–18085. [Google Scholar] [CrossRef] [PubMed]
- Lin, H.; Ou, J.; Zhang, Z.; Dong, J.; Zou, H. Ring-opening polymerization reaction of polyhedral oligomeric silsesquioxanes (POSSs) for preparation of well-controlled 3D skeletal hybrid monoliths. Chem. Commun. 2013, 49, 231–233. [Google Scholar] [CrossRef] [PubMed]
- Leng, Y.; Liu, J.; Jiang, P.; Wang, J. POSS-Derived Mesostructured Amphiphilic Polyoxometalate-based Ionic Hybrids as Highly Efficient Epoxidation Catalysts. ACS Sustain. Chem. Eng. 2015, 3, 170–176. [Google Scholar] [CrossRef]
- Leng, Y.; Zhao, J.; Jiang, P.; Wang, J. Amphiphilic porous polyhedral oligomeric silsesquioxanes (POSS) incorporated polyoxometalate-paired polymeric hybrids: Interfacial catalysts for epoxidation reactions. RSC Adv. 2015, 5, 17709–17715. [Google Scholar] [CrossRef]
- Zhao, J.; Leng, Y.; Jiang, P.; Wang, J.; Zhang, C. POSS-derived mesoporous ionic copolymer-polyoxometalate catalysts with a surfactant function for epoxidation reactions. New J. Chem. 2016, 40, 1022–1028. [Google Scholar] [CrossRef]
- Zhao, W.; Yang, C.; Cheng, Z.; Zhang, Z. A reusable catalytic system for sulfide oxidation and epoxidation of allylic alcohols in water catalyzed by poly(dimethyl diallyl) ammonium/polyoxometalate. Green Chem. 2016, 18, 995–998. [Google Scholar] [CrossRef]
- Vaz, P.D.; Nunes, C.D. The Versatility of Immobilized Mo Complexes in Organic Transformations—Epoxidation and Metathesis Reactions. Curr. Org. Chem. 2012, 16, 89–114. [Google Scholar] [CrossRef]
- Grivani, G.; Halili, A. Polymer-supported diimine molybdenum carbonyl complexes as highly reusable and efficient pre-catalysts in epoxidation of alkenes. J. Iran. Chem. Soc. 2014, 11, 163–168. [Google Scholar] [CrossRef]
- Mbeleck, R.; Mohammed, M.L.; Ambroziak, K.; Sherrington, D.C.; Saha, B. Efficient epoxidation of cyclododecene and dodecene catalysed by polybenzimidazole supported Mo(VI) complex. Catal. Today 2015, 256, 287–293. [Google Scholar] [CrossRef]
- Zhang, W.; Jiang, P.; Wang, Y.; Zhang, J.; Zhang, P. Directing two azo-bridged covalent metalloporphyrinic polymers as highly efficient catalysts for selective oxidation. Appl. Catal. A Gen. 2015, 489, 117–122. [Google Scholar] [CrossRef]
- Fardjahromi, M.A.; Moghadam, M.; Tangestaninejad, S.; Mirkhani, V.; Mohammadpoor-Baltork, I. Manganese(iii)salophen supported on a silica containing triazine dendrimer: An efficient catalyst for epoxidation of alkenes with sodium periodate. RSC Adv. 2016, 6, 20128–20134. [Google Scholar] [CrossRef]
- Isfahani, A.L.; Mohammadpoor-Baltork, I.; Mirkhani, V.; Khosropour, A.R.; Moghadam, M.; Tangestaninejad, S.; Kia, R. Palladium Nanoparticles Immobilized on Nano-Silica Triazine Dendritic Polymer (Pdnp-nSTDP): An Efficient and Reusable Catalyst for Suzuki–Miyaura Cross-Coupling and Heck Reactions. Adv. Synth. Catal. 2013, 355, 957–972. [Google Scholar] [CrossRef]
- Yang, Y.-C.; Toy, P.H. Self-Supported Ligands as a Platform for Catalysis: Use of a Polymeric Oxime in a Recyclable Palladacycle Precatalyst for Suzuki–Miyaura Reactions. Synlett 2014, 25, 1319–1324. [Google Scholar]
- Liu, X.; Zhao, X.; Lu, M. Novel polymer supported iminopyridylphosphine palladium(II) complexes: An efficient catalyst for Suzuki–Miyaura and Heck cross-coupling reactions. J. Organomet. Chem. 2014, 768, 23–27. [Google Scholar] [CrossRef]
- Chen, T.; Mao, F.; Qi, Z.; Li, Y.; Chen, R.; Wang, Y.; Huang, J. Immobilized palladium nanoparticles within polymers as active catalysts for Suzuki–Miyaura reaction. RSC Adv. 2016, 6, 16899–16903. [Google Scholar] [CrossRef]
- Tamami, B.; Farjadian, F.; Ghasemi, S.; Allahyari, H.; Mirzadeh, M. Palladium Nanoparticles Supported on Poly(N-vinylpyrrolidone)-Grafted Silica as an Efficient Catalyst for Copper-Free Sonogashira and Suzuki Cross-Coupling Reactions. J. Braz. Chem. Soc. 2015, 26, 1591–1598. [Google Scholar] [CrossRef]
- Kodicherla, B.; Perumgani, C.P.; Mandapati, M.R. A reusable polystyrene-supported copper (II) catalytic system for N-arylation of indoles and Sonogashira coupling reactions in water. Appl. Catal. A Gen. 2014, 483, 110–115. [Google Scholar] [CrossRef]
- Gruttadauria, M.; Liotta, L.F.; Salvo, A.M.P.; Giacalone, F.; La Parola, V.; Aprile, C.; Noto, R. Multi-Layered, Covalently Supported Ionic Liquid Phase (mlc-SILP) as Highly Cross-Linked Support for Recyclable Palladium Catalysts for the Suzuki Reaction in Aqueous Medium. Adv. Synth. Catal. 2011, 353, 2119–2130. [Google Scholar] [CrossRef]
- Pavia, C.; Giacalone, F.; Bivona, L.A.; Salvo, A.M.P.; Petrucci, C.; Strappaveccia, G.; Vaccaro, L.; Aprile, C.; Gruttadauria, M. Evidences of release and catch mechanism in the Heck reaction catalyzed by palladium immobilized on highly cross-linked-supported imidazolium salts. J. Mol. Catal. A Chem. 2014, 387, 57–62. [Google Scholar] [CrossRef]
- Buscemi, R.; Giacalone, F.; Orecchio, S.; Gruttadauria, M. Cross-Linked Imidazolium Salts as Scavengers for Palladium. ChemPlusChem 2014, 79, 421–426. [Google Scholar] [CrossRef]
- Petrucci, C.; Strappaveccia, G.; Giacalone, F.; Gruttadauria, M.; Pizzo, F.; Vaccaro, L. An E-Factor Minimized Protocol for a Sustainable and Efficient Heck Reaction in Flow. ACS Sustain. Chem. Eng. 2014, 2, 2813–2819. [Google Scholar] [CrossRef]
- Bivona, L.A.; Giacalone, F.; Vaccaro, L.; Aprile, C.; Gruttadauria, M. Cross-Linked Thiazolidine Network as Support for Palladium: A New Catalyst for Suzuki and Heck Reactions. ChemCatChem 2015, 7, 2526–2533. [Google Scholar] [CrossRef]
- Bukowska, A.; Bukowski, W.; Bester, K.; Flaga, S. Linkage of the PAMAM type dendrimer with the gel type resin based on glycidyl methacrylate terpolymer as a method of preparation of the polymer support for the recyclable palladium catalyst for Suzuki–Miyaura cross-coupling reactions. RSC Adv. 2015, 5, 49036–49044. [Google Scholar] [CrossRef]
- Tang, M.X.; Redemann, C.T.; Szoka, F.C. In Vitro Gene Delivery by Degraded Polyamidoamine Dendrimers. Bioconjug. Chem. 1996, 7, 703–714. [Google Scholar] [CrossRef] [PubMed]
- Giacalone, F.; Campisciano, V.; Calabrese, C.; La Parola, V.; Syrgiannis, Z.; Prato, M.; Gruttadauria, M. Single-Walled Carbon Nanotube–Polyamidoamine Dendrimer Hybrids for Heterogeneous Catalysis. ACS Nano 2016, 10, 4627–4636. [Google Scholar] [CrossRef] [PubMed]
- Gruttadauria, M.; Giacalone, F.; Noto, R. "Release and catch" catalytic systems. Green Chem. 2013, 15, 2608–2618. [Google Scholar] [CrossRef]
- Dai, Z.; Chen, F.; Sun, Q.; Ji, Y.; Wang, L.; Meng, X.; Xiao, F.-S. A Pd-metalated porous organic polymer as a highly efficient heterogeneous catalyst for C–C couplings. Chin. J. Catal. 2016, 37, 54–60. [Google Scholar] [CrossRef]
- Massaro, M.; Riela, S.; Lazzara, G.; Gruttadauria, M.; Milioto, S.; Noto, R. Green conditions for the Suzuki reaction using microwave irradiation and a new HNT-supported ionic liquid-like phase (HNT-SILLP) catalyst. Appl. Organomet. Chem. 2014, 28, 234–238. [Google Scholar] [CrossRef]
- Massaro, M.; Riela, S.; Cavallaro, G.; Gruttadauria, M.; Milioto, S.; Noto, R.; Lazzara, G. Eco-friendly functionalization of natural halloysite clay nanotube with ionic liquids by microwave irradiation for Suzuki coupling reaction. J. Organomet. Chem. 2014, 749, 410–415. [Google Scholar] [CrossRef]
- Massaro, M.; Riela, S.; Cavallaro, G.; Colletti, C.G.; Milioto, S.; Noto, R.; Parisi, F.; Lazzara, G. Palladium supported on Halloysite-triazolium salts as catalyst for ligand free Suzuki cross-coupling in water under microwave irradiation. J. Mol. Catal. A Chem. 2015, 408, 12–19. [Google Scholar] [CrossRef]
- Pascanu, V.; Hansen, P.R.; Bermejo Gómez, A.; Ayats, C.; Platero-Prats, A.E.; Johansson, M.J.; Pericàs, M.À.; Martín-Matute, B. Highly Functionalized Biaryls via Suzuki–Miyaura Cross-Coupling Catalyzed by Pd@MOF under Batch and Continuous Flow Regimes. ChemSusChem 2015, 8, 123–130. [Google Scholar] [CrossRef] [PubMed]
- Férey, G.; Mellot-Draznieks, C.; Serre, C.; Millange, F.; Dutour, J.; Surblé, S.; Margiolaki, I. A Chromium Terephthalate-Based Solid with Unusually Large Pore Volumes and Surface Area. Science 2005, 309, 2040–2042. [Google Scholar] [CrossRef] [PubMed]
- Bernt, S.; Guillerm, V.; Serre, C.; Stock, N. Direct covalent post-synthetic chemical modification of Cr-MIL-101 using nitrating acid. Chem. Commun. 2011, 47, 2838–2840. [Google Scholar] [CrossRef] [PubMed]
- Pascanu, V.; Yao, Q.; Bermejo Gómez, A.; Gustafsson, M.; Yun, Y.; Wan, W.; Samain, L.; Zou, X.; Martín-Matute, B. Sustainable Catalysis: Rational Pd Loading on MIL-101Cr-NH2 for More Efficient and Recyclable Suzuki–Miyaura Reactions. Chem. Eur. J. 2013, 19, 17483–17493. [Google Scholar] [CrossRef] [PubMed]
- Leng, Y.; Lu, D.; Zhang, C.; Jiang, P.; Zhang, W.; Wang, J. Ionic Polymer Microspheres Bearing a CoIII–Salen Moiety as a Bifunctional Heterogeneous Catalyst for the Efficient Cycloaddition of CO2 and Epoxides. Chem. Eur. J. 2016, 22, 8368–8375. [Google Scholar] [CrossRef] [PubMed]
- Zhang, P.; Qiao, Z.-A.; Jiang, X.; Veith, G.M.; Dai, S. Nanoporous Ionic Organic Networks: Stabilizing and Supporting Gold Nanoparticles for Catalysis. Nano Lett. 2015, 15, 823–828. [Google Scholar] [CrossRef] [PubMed]
- Restrepo, J.; Porcar, R.; Lozano, P.; Burguete, M.I.; García-Verdugo, E.; Luis, S.V. Microwave-Assisted Selective Oxidation of 1-Phenyl Ethanol in Water Catalyzed by Metal Nanoparticles Immobilized onto Supported Ionic Liquidlike Phases. ACS Catal. 2015, 5, 4743–4750. [Google Scholar] [CrossRef]
- Isabel Burguete, M.; Garcia-Verdugo, E.; Luis, S.V.; Restrepo, J.A. Preparation of polymer-supported gold nanoparticles based on resins containing ionic liquid-like fragments: Easy control of size and stability. Phys. Chem. Chem. Phys. 2011, 13, 14831–14838. [Google Scholar] [CrossRef] [PubMed]
- Restrepo, J.; Lozano, P.; Burguete, M.I.; García-Verdugo, E.; Luis, S.V. Gold nanoparticles immobilized onto supported ionic liquid-like phases for microwave phenylethanol oxidation in water. Catal. Today 2015, 255, 97–101. [Google Scholar] [CrossRef]
- Roy, R. A Primer on the Taguchi Method; Society of Manufacturing Engineers: Dearborn, MI, USA, 1990. [Google Scholar]
- Maestre, L.; Ozkal, E.; Ayats, C.; Beltran, A.; Diaz-Requejo, M.M.; Perez, P.J.; Pericas, M.A. A fully recyclable heterogenized Cu catalyst for the general carbene transfer reaction in batch and flow. Chem. Sci. 2015, 6, 1510–1515. [Google Scholar] [CrossRef]
- Yadav, J.; Stanton, G.R.; Fan, X.; Robinson, J.R.; Schelter, E.J.; Walsh, P.J.; Pericas, M.A. Asymmetric Allylation of Ketones and Subsequent Tandem Reactions Catalyzed by a Novel Polymer-Supported Titanium–BINOLate Complex. Chem. Eur. J. 2014, 20, 7122–7127. [Google Scholar] [CrossRef] [PubMed]
- Angulo, B.; Garcia, J.I.; Herrerias, C.I.; Mayoral, J.A.; Minana, A.C. Polytopic bis(oxazoline)-based ligands for recoverable catalytic systems applied to the enantioselective Henry reaction. Org. Biomol. Chem. 2015, 13, 9314–9322. [Google Scholar] [CrossRef] [PubMed]
- Wei, J.; Zhang, X.; Zhang, X.; Zhao, Y.; Li, R.; Yang, Q. Facile Synthesis of Hybrid Core–Shell Nanospheres for the Asymmetric Transfer Hydrogenation of Aromatic Ketones. ChemCatChem 2014, 6, 1368–1374. [Google Scholar]
- Heutz, F.J.L.; Kamer, P.C.J. Modular solid-phase synthesis, catalytic application and efficient recycling of supported phosphine–phosphite ligand libraries. Dalton Trans. 2016, 45, 2116–2123. [Google Scholar] [CrossRef] [PubMed]
- Eichenseer, C.M.; Kastl, B.; Pericàs, M.A.; Hanson, P.R.; Reiser, O. Synthesis and Application of Magnetic Noyori-Type Ruthenium Catalysts for Asymmetric Transfer Hydrogenation Reactions in Water. ACS Sustain. Chem. Eng. 2016, 4, 2698–2705. [Google Scholar] [CrossRef]
© 2016 by the authors. Licensee MDPI, Basel, Switzerland. This article is an open access article distributed under the terms and conditions of the Creative Commons Attribution (CC-BY) license ( http://creativecommons.org/licenses/by/4.0/).


































































