Abstract
Two new β-bergamotane sesquiterpenoids, E-β-trans-5,8,11-trihydroxybergamot-9-ene (1) and β-trans-2β,5,15-trihydroxybergamot-10-ene (2), were isolated from the marine-derived fungus Aspergillus fumigatus YK-7, along with three known terpenoids 3–5. Their structures were determined by spectroscopic methods (1D and 2D NMR, HR-ESI-MS). Antiproliferative effects on human leukemic monocyte lymphoma U937 and human prostate cancer PC-3 cell lines were measured in vitro. Compound 4 exhibited potent activity against the U937 cell line with an IC50 value of 4.2 μM.
1. Introduction
Microbial secondary metabolites are an important source of lead compounds for new drug development [1,2]. Aspergillus fumigatus has been found to generate many structurally and biologically diversified metabolites [3]. Among them, fumagillin is a meroterpenoid, and its derivatives have been studied for their potential use in the treatment of microsporidiosis [4] and amebiasis [5], and for their antiangiogenic properties exemplified by the irreversible inhibition of human type 2 methionine aminopeptidase (MetAP2) [6]. In our search for novel antitumor compounds from marine microorganisms, an extract of the fungus Aspergillus fumigatus YK-7, which was isolated from the sea mud of intertidal zone collected from Yingkou, China, exhibited significant activity against the U937 human leukemic monocyte lymphoma cell line (IC50 < 6.25 μg/mL). Previous investigation of this fungus had led to the isolation of fourteen 2,5-diketopiperazines [7]. In the course of our ongoing study on this fungus, two new β-bergamotane sesquiterpenoids 1 and 2 having a rare skeleton among fungal-derived metabolites and three known terpenoids 3–5 (Figure 1) were isolated from its fermentation broth. Compounds 1 and 2 may be the important intermediates in the biosynthesis of fumagillin and its derivatives [8]. Details of the isolation, structure elucidation, and cell growth inhibitory activities of these metabolites against U937 human leukemic monocyte lymphoma and PC-3 human prostate cancer cell lines are described here.
Figure 1.
Structures of compounds 1–5.
Figure 1.
Structures of compounds 1–5.

2. Results and Discussion
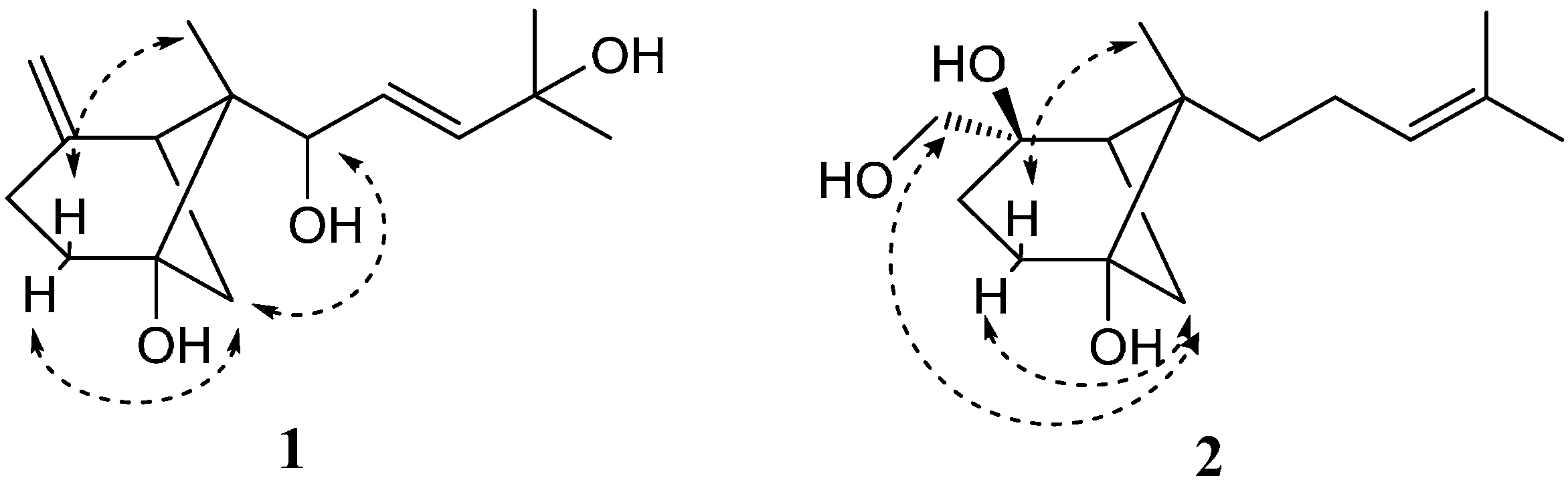
Compound 1 was obtained as a colorless oil. The molecular formula was demonstrated to be C15H24O3, indicating four degrees of unsaturation, based on HR-ESI-MS (m/z 275.1587 [M + Na]+; calc. 275.1623) in combination with NMR data. The 13C-NMR spectrum showed 15 carbon signals. Analyses of the 1H-, 13C-NMR, and HSQC spectra of 1 (Table 1) revealed the presence of three tertiary methyls (δH 0.80, δC 10.9; δH 1.33, δC 29.8; δH 1.33, δC 30.1), terminal (δH 4.57 and 4.67, δC 108.0; δC 147.9) and 1, 2-disubstituted (δH 5.66, δC 125.4; δH 5.88, δC 140.5) double bonds, an oxymethine (δH 4.85, δC 74.5), and two oxygenated quaternary carbons (δC 70.9; 76.7). These spectroscopic features together with the molecular formula indicated that 1 was a sesquiterpenoid. Since two double bonds accounted for two of the four degrees of unsaturation, 1 was concluded to be bicyclic. The HMBC spectrum of 1 (Figure 2) showed that the exomethylene protons H-15 (δH 4.57 and 4.67) were correlated with C-1 (δC 42.2), C-2 (δC 147.9), and C-3 (δC 25.3), and H-3 (δH 2.32 and 2.61) and H-7 (δH 1.91) were correlated with the oxygenated carbon C-5 (δC 76.7). These results, as well as the COSY correlations (Figure 2) of H-1 (δH 2.33) with H-7 (δH 1.91 and 2.47) and of H-3 (δH 2.32 and 2.61) with H-4 (δH 1.79 and 1.98), indicated the presence of a 4-methylene cyclohexanol ring. Specifically, the HMBC correlations of H-1 (δH 2.33), H-7 (δH 1.91), and H-4 (δH 1.79) with C-6 (δC 52.5), and of CH3-14 (δH 0.80) with C-1 (δC 42.2), C-5 (δC 76.7), and C-6 (δC 52.5), led to the assignment of a 6-methylbicyclo[3.1.1]heptane skeleton. Additionally, the COSY correlations from H-8 to H-10, and the HMBC correlations of the olefinic proton H-9 (δH 5.66) with the oxygenated carbon C-11 (δC 70.9), and of the olefinic proton H-10 (δH 5.88) with C-12 (δC 29.8) and C-13 (δC 30.1) suggested the presence of a 1,4-dihydroxy-4-methylpent-2-enyl side chain in 1. The linkage of the two moieties was secured by the HMBC correlations of H-8 (δH 4.85) and H-9 (δH 5.66) with C-6 (δC 52.5). Therefore, compound 1 was established as a β-5,8,11-trihydroxybergamot-9-ene [9,10].
The geometry of the Δ9 double bond was assigned as E on the basis of a coupling constant 15.7 Hz (JH-9,10). The 6-methyl-endo configuration was determined by NOESY correlations (Figure 3) of H-4β (δH 1.98) with CH3-14 (δH 0.80), H-7 (δH 1.91) with H-4α (δH 1.79), and of H-7 (δH 2.47) with H-8 (δH 4.85), and was further confirmed by the comparison of 1H-NMR chemical shift data for CH3-14 (δH 0.80) with the literature values (δH 0.71 for β-trans-bergamotene; δH 1.23 for β-cis-bergamotene) [11]. Thus, the structure of 1 was assigned as E-β-trans-5,8,11-trihydroxybergamot-9-ene, although the absolute configuration was not defined.
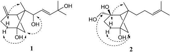
Compound 2 was obtained as colorless needles. The molecular formula C15H26O3 from HR-ESI-MS (m/z 277.1737 [M + Na]+; calc. 277.1780) indicated that it possessed two more hydrogen atoms than compound 1. The 1H- and 13C-NMR data of 2 (Table 1) showed similarity to those of 1, suggesting the presence of another β-bergamotane skeleton. However, a hydroxymethyl group (δH 3.34 and 3.47; δC 69.4) linked to the oxygenated carbon C-2 (δC 76.5) in 2 replaced the exomethylene group in 1, which was confirmed by the HMBC correlations (Figure 2) of H-15 (δH 3.34 and 3.47) with C-1 (δC 39.7), C-2 (δC 76.5), and C-3 (δC 29.4). Moreover, the side chain in 2 was different from that in 1, which was established as 4-methylpent-3-enyl by the COSY correlations (Figure 2) from H-8 to H-10, and the HMBC correlations of H-9 (δH 2.03 and 2.10) with C-11 (δC 131.8), and of the olefinic proton H-10 (δH 5.15) with C-12 (δC 17.8) and C-13 (δC 25.8). NOESY correlations (Figure 3 of H-4β (δH 2.05)/CH3-14 (δH 1.18), H-4α (δH 1.75)/H-7 (δH 1.47), and H-7 (δH 1.47)/H-15 (δH 3.34 and 3.47) indicated the 6-methyl-endo configuration and the α-orientation of the hydroxymethyl group. Consequently, the structure of 2 was defined as β-trans-2β,5,15-trihydroxybergamot-10-ene. The known compounds alismol (3) [12], pyripyropene E (4) [13], and helvolic acid (5) [14,15], were identified by comparison of their spectroscopic data with those reported in the literature.
Table 1.
1H- and 13C-NMR data for compounds 1 and 2 in CDCl3.
| 1 | 2 | |||
|---|---|---|---|---|
| Position | δC a | δH b (J in Hz) | δC a | δH b (J in Hz) |
| 1 | 42.2 | 2.33, d (7.5) | 39.7 | 2.15, m |
| 2 | 147.9 | 76.5 | ||
| 3 | 25.3 | 2.32, 2.61, m | 29.4 | 1.82, 1.86, m |
| 4 | 31.5 | 1.79 (α), 1.98 (β), m | 30.8 | 1.75 (α), 2.05 (β), m |
| 5 | 76.7 | 76.2 | ||
| 6 | 52.5 | 46.9 | ||
| 7 | 36.1 | 1.91, d (10.0) | 36.1 | 1.47, 2.17, m |
| 2.47, dd (10.0, 7.5) | ||||
| 8 | 74.5 | 4.85, d (6.1) | 34.5 | 1.45, 1.70, m |
| 9 | 125.4 | 5.66, dd (15.7, 6.1) | 23.2 | 2.03, 2.10, m |
| 10 | 140.5 | 5.88, d (15.7) | 124.9 | 5.15, t (7.1) |
| 11 | 70.9 | 131.8 | ||
| 12 | 29.8 | 1.33, s | 17.8 | 1.62, s |
| 13 | 30.1 | 1.33, s | 25.8 | 1.68, s |
| 14 | 10.9 | 0.80, s | 17.8 | 1.18, s |
| 15 | 108.0 | 4.57, br. s | 69.4 | 3.34, d (10.8) |
| 4.67, br. s | 3.47, d (10.8) | |||
a Recorded at 75 MHz; b Recorded at 300 MHz.
Figure 2.
Key 1H-1H COSY and HMBC correlations of compounds 1 and 2.
Figure 2.
Key 1H-1H COSY and HMBC correlations of compounds 1 and 2.

Figure 3.
Key NOESY correlations of compounds 1 and 2.
Figure 3.
Key NOESY correlations of compounds 1 and 2.

All compounds were evaluated in vitro for cell growth inhibitory activities against the U937 and PC-3 cell lines (IC50 values are shown in Table 2). Compound 4 exhibited potent selective inhibition against U937 cell line, with the IC50 value of 4.2 μM, and 1, 3, and 5 exhibited weak activities against U937 cell line with IC50 values of 84.9, 61.7, and 57.5 μM, respectively. All the compounds didn’t show antiproliferative effect in PC-3 cell lines.
Table 2.
Antiproliferative activity (IC50 (μM)) of compounds 1–5 on U937 and PC-3 cells a.
| Compound | U937 Cells | PC-3 Cells |
|---|---|---|
| 1 | 84.9 ± 2.4 | >100 |
| 2 | >100 | >100 |
| 3 | 67.1 ± 1.9 | >100 |
| 4 | 4.2 ± 0.3 | >100 |
| 5 | 57.5 ± 3.2 | >100 |
| Doxorubicin hydrochloride | 0.021 ± 0.002 | 0.73 ± 0.04 |
a U937 cells were treated for 3 days, and PC-3 cells were treated for 4 days. IC50 value is the concentration that inhibited 50% of cell growth. The data shown are means ± S.D. of three independent experiments.
3. Experimental Section
3.1. General Procedures
Optical rotations were obtained on a Perkin-Elmer 241MC polarimeter (Perkin-Elmer, Waltham, MA, USA). The IR spectra were recorded on Bruker IFS-55 spectrometer (Bruker Optics, Ettlingen, Germany). NMR spectra were recorded on Bruker ARX-300 or AV-600 NMR spectrometers (Bruker Biospin, Fallanden, Switzerland), with TMS as the internal standard. HR-ESI-MS was performed on a Bruker microTOF-Q mass spectrometer (Bruker Daltonics, Billerica, MA, USA). Chromatographic silica gel (200–300 mesh) was purchased from Qingdao Marine Chemical Factory (Qingdao, China), and ODS (50 μm) was obtained from YMC Co. Ltd. (Kyoto, Japan). The RP-HPLC analysis and semi-preparation were conducted using a Hitachi L2130 series pumping system (Hitachi, Tokyo, Japan) equipped with a Hitachi L2400 UV detector (Hitachi, Tokyo, Japan) and a YMC-PACK ODS-AM column (250 × 10 mm, 5 μm, YMC, Kyoto, Japan). TLC spots were visualized under UV light (Zhengzhou Greatwall Scientific Industrial and Trade Co., Ltd., Zhengzhou, China) and with 10% H2SO4 in EtOH followed by heating.
3.2. Fungal Material
The fungus, YK-7, was isolated from an intertidal zone sea mud sample collected from Yingkou, China, and identified as Aspergillus fumigatus by its morphological characteristics and ITS sequences [7,16]. A voucher strain was deposited at −80 °C in School of Traditional Chinese Materia Medica, Shenyang Pharmaceutical University (Shenyang, China).
3.3. Extraction and Isolation
The fungus was cultivated at 28 °C for 7 days while shaking at 165 rpm in 300 500 mL flasks containing a liquid medium (150 mL per flask) composed of 3 g of yeast extract, 1 g of corn steep liquor, 20 g of mannitol, 10 g of monosodium glutamate, 10 g of glucose, 20 g of maltose, 0.5 g of KH2PO4, and 0.3 g of MgSO4·7H2O, per 1000 mL seawater at pH 6.5.
The fermented whole broth (45 L) was filtered through a cheesecloth into the supernatant and the mycelia. The supernatant was concentrated under reduced pressure to about 5 L, partitioned with EtOAc (3 × 5 L) at room temperature, and then dried by rotary evaporation to yield a crude extract (21 g), which showed significant growth inhibitory activity against the U937 cell line (IC50 < 6.25 μg/mL). The crude extract was subjected to column chromatography (CC) (SiO2; CHCl3/MeOH gradient) to yield 17 fractions, Fr. 1–17. Fr. 2 (100:1) was purified by repeated CC (SiO2; petroleum ether (PE)/acetone 100:15; and ODS; MeOH/H2O 65:35) to afford 5 (15 mg). Fr. 3 (100:2) was subjected to repeated CC (SiO2; PE/acetone 100:25; and ODS; MeOH/H2O 90:10) to afford 3 (21 mg). Fr. 5 (100:5) was fractionated by CC (ODS; MeOH/H2O) to give seven subfractions, subfrs. 5-1–5-7. Subfr. 5-3 (40:60) was purified by CC (SiO2; PE/acetone 2:1) to afford 2 (3 mg). Subfr. 5-4 (50:50) was further subjected to CC (SiO2; PE/acetone 4.5:1) to yield 1 (3 mg). The mycelia were extracted with acetone (3 × 3 L) at room temperature and then dried by rotary evaporation. The crude extract (250 g; IC50 < 6.25 μg/mL) was subjected to CC (SiO2; CHCl3/MeOH gradient) to yield 14 fractions, Fr. 1–14. Fr. 2 (100:1) was separated by CC (SiO2; PE/acetone gradient) to give six subfractions, subfrs. 2-1–2-6. Subfr. 2-4 (5:1) was further purified by semipreparative HPLC (MeOH/H2O 85:15; tR = 38 min) to afford 4 (6 mg).
E-β-trans-5,8,11-trihydroxybergamot-9-ene (1): colorless oil;
−21.6 (c 0.11, MeOH); IR(KBr) νmax 3426, 2920, 2851, 1643, 1460, 1384, 1129, 879 cm−1; 1H- and 13C-NMR data, see Table 1; HR-ESI-MS m/z 275.1587 [M + Na]+ (Calcd for C15H24O3Na, 275.1623). The IR, NMR, and HR-MS spectra of compound 1 can be found at Supplementary Material (Figures S1–S8).
β-trans-2β,5,15-trihydroxybergamot-10-ene (2): colorless needles (MeOH); mp 115–116 °C;
−18.5 (c 0.10, MeOH); IR(KBr) νmax 3405, 2921, 2852, 1642, 1452, 1383, 1150, 1052, 954 cm−1; 1H- and 13C-NMR data, see Table 1; HR-ESI-MS m/z 277.1737 [M + Na]+ (Calcd for C15H26O3Na, 277.1780). The IR, NMR, and HR-MS spectra of compound 2 can be found at Supplementary Material (Figures S9–S16).
3.4. Cell Culture and Growth-Inhibition Assay
The growth inhibitory assay was performed as described previously [17,18]. Human leukemic monocyte lymphoma U937 and human prostate cancer PC-3 cell lines (American Type Culture Collection, Rockville, MD, USA) were cultured in RPMI-1640 medium (Gibco, New York, NY, USA) supplemented with 100 U/mL penicillin, 100 μg/mL streptomycin, 1 mmol glutamine, and 10% heat-inactivated fetal bovine serum. The growth-inhibitory ability of these crude extracts and isolated compounds was calculated and expressed as the ratio of the cell number in treated group to that of the untreated group. The concentration that inhibited half of the cell growth, IC50, was calculated. Doxorubicin hydrochloride (Hua Bo Technology Co. Ltd., Beijing, China) was used as a positive control, and 0.1% DMSO was used as a negative control.
Supplementary Materials
The IR, NMR, and HR-MS spectra of compounds 1 and 2 are available online at: http://www.mdpi.com/1420-3049/21/1/31/s1.
Acknowledgments
This work was supported by the National Natural Science Foundation of China (Grant No. 81302672).
Author Contributions
Y.W. performed the experiments for the isolation, structure elucidation, and cell growth-inhibition assay; Y.W., D.-H.L., Z.-L.L., and Y.-J.S. analyzed the spectroscopic data and elucidated the structure of the new molecules; Y.W. wrote the paper; T.L., J.B., and H.-M.H. supervised the research work and revised the manuscript.
Conflicts of Interest
The authors declare no conflict of interest.
References
- Xu, L.; Meng, W.; Cao, C.; Wang, J.; Shan, W.; Wang, Q. Antibacterial and antifungal compounds from marine fungi. Mar. Drugs 2015, 13, 3479–3513. [Google Scholar] [CrossRef] [PubMed]
- Gribble, G.-W. Biological activity of recently discovered halogenated marine natural products. Mar. Drugs 2015, 13, 4044–4136. [Google Scholar] [CrossRef] [PubMed]
- Frisvad, J.-C.; Rank, C.; Nielsen, K.-F.; Larsen, T.-O. Metabolomics of Aspergillus fumigatus. Med. Mycol. 2009, 47, S53–S71. [Google Scholar] [CrossRef] [PubMed]
- Molina, J.-M.; Tourneur, M.; Sarfati, C.; Chevret, S.; de Gouvello, A.; Gobert, J.-G.; Balkan, S.; Derouin, F. Fumagillin treatment of intestinal microsporidiosis. N. Engl. J. Med. 2002, 346, 1963–1969. [Google Scholar] [CrossRef] [PubMed]
- Killough, J.-H.; Magill, G.-B.; Smith, R.-C. The treatment of amebiasis with fumagillin. Science 1952, 115, 71–72. [Google Scholar] [CrossRef] [PubMed]
- Kruger, E.-A.; Figg, W.-D. TNP-470: An angiogenesis inhibitor in clinical development for cancer. Expert Opin. Investig. Drugs 2000, 9, 1383–1396. [Google Scholar] [CrossRef] [PubMed]
- Wang, Y.; Li, Z.-L.; Bai, J.; Zhang, L.-M.; Wu, X.; Zhang, L.; Pei, Y.-H.; Jing, Y.-K.; Hua, H.-M. 2,5-Diketopiperazines from the marine-derived fungus Aspergillus fumigatus YK-7. Chem. Biodivers. 2012, 9, 385–393. [Google Scholar] [CrossRef] [PubMed]
- Lin, H.-C.; Tsunematsu, Y.; Dhingra, S.; Xu, W.; Fukutomi, M.; Chooi, Y.-H.; Cane, D.-E.; Calvo, A.-M.; Watanabe, K.; Tang, Y. Generation of complexity in fungal terpene biosynthesis: Discovery of a multifunctional cytochrome P450 in the fumagillin pathway. J. Am. Chem. Soc. 2014, 13, 4426–4436. [Google Scholar] [CrossRef] [PubMed]
- Nozoe, S.; Kobayashi, H.; Morisaki, N. Isolation of β-trans-bergamotene from Aspergillus fumigatus, a fumagillin producing fungi. Tetrahedron Lett. 1976, 17, 4625–4626. [Google Scholar] [CrossRef]
- Zhang, P.; Bao, B.; Dang, H.-T.; Hong, J.; Lee, H.-J.; Yoo, E.-S.; Bae, K.-S.; Jung, J.-H. Anti-inflammatory sesquiterpenoids from a sponge-derived fungus Acremonium sp. J. Nat. Prod. 2009, 72, 270–275. [Google Scholar] [CrossRef] [PubMed]
- Kulkarni, Y.-S.; Niwa, M.; Ron, E.; Snider, B.-B. Synthesis of terpenes containing the bicyclo[3.1.1]heptane ring system by the intramolecular [2 + 2] cycloaddition reaction of vinylketenes with alkenes. Preparation of chrysanthenone, β-pinene, β-cis-bergamotene, β-trans-bergamotene, β-copaene, and β-ylangene and lemnalol. J. Org. Chem. 1987, 52, 1568–1576. [Google Scholar]
- Peng, G.-P.; Tian, G.; Huang, X.-F.; Lou, F.-C. Guaiane-type sesquiterpenoids from Alisma orientalis. Phytochemistry 2003, 63, 877–881. [Google Scholar] [CrossRef]
- Tomoda, H.; Tabata, N.; Yang, D.-J.; Takayanagi, H.; Nishida, H.; Ōmura, S. Pyripyropenes, novel ACAT inhibitors produced by Aspergillus fumigatus III. Structure elucidation of pyripyropenes E to L. J. Antibiot. 1995, 48, 495–503. [Google Scholar] [CrossRef] [PubMed]
- Zhao, J.-L.; Mou, Y.; Shan, T.-J.; Li, Y.; Zhou, L.-G.; Wang, M.-G.; Wang, J.-G. Antimicrobial metabolites from the endophytic fungus Pichia guilliermondii isolated from Paris polyphylla var. yunnanensis. Molecules 2010, 15, 7961–7970. [Google Scholar] [CrossRef] [PubMed]
- Lee, S.-Y.; Kinoshita, H.; Ihara, F.; Igarashi, Y.; Nihira, T. Identification of novel derivative of helvolic acid from Metarhizium anisopliae grown in medium with insect component. J. Biosci. Bioeng. 2008, 105, 476–480. [Google Scholar] [CrossRef] [PubMed]
- Henry, T.; Iwen, P.-C.; Hinrichs, S.-H. Identification of Aspergillus species using internal transcribed spacer regions 1 and 2. J. Clin. Microbiol. 2000, 38, 1510–1515. [Google Scholar] [PubMed]
- Wang, F.; Hua, H.-M.; Pei, Y.-H.; Chen, D.; Jing, Y.-K. Triterpenoids from the resin of Styrax tonkinensis and their antiproliferative and differentiation effects in human leukemia HL-60 cells. J. Nat. Prod. 2006, 69, 807–810. [Google Scholar] [CrossRef] [PubMed]
- Mosmann, T. Rapid colorimetric assay for cellular growth and survival: Application to proliferation and cytotoxicity assays. J. Immunol. Methods 1983, 65, 55–63. [Google Scholar] [CrossRef]
- Sample Availability: Sample of the compound 5 is available from the authors.
© 2015 by the authors. Licensee MDPI, Basel, Switzerland. This article is an open access article distributed under the terms and conditions of the Creative Commons by Attribution (CC-BY) license ( http://creativecommons.org/licenses/by/4.0/).