Abstract
Polylactide (PLA) represents one of the most promising biomedical polymers due to its biodegradability, bioresorbability and good biocompatibility. This work highlights the synthesis and characterization of PLAs using novel diethylzinc/gallic acid (ZnEt2/GAc) and diethylzinc/propyl gallate (ZnEt2/PGAc) catalytic systems that are safe for human body. The results of the ring-opening polymerization (ROP) of rac-lactide (rac-LA) in the presence of zinc-based catalytic systems have shown that, depending on the reaction conditions, “predominantly isotactic”, disyndiotactic or atactic PLA can be obtained. Therefore, the controlled and stereoselective ROP of rac-LA is discussed in detail in this paper.
1. Introduction
Polymeric biomaterials (aliphatic polyesters, polyanhydrides, polyethers, polyamides, polyorthoesters or polyurethanes) signify one of the most interesting fields in current material chemistry. Among these materials, polylactide (PLA) is probably the most important biomedical polymer [1] and has previously been applied to the production of cell scaffolds, drug delivery systems (DDSs), sutures in tissue engineering and prostheses for tissue replacements [2,3,4,5,6,7,8].
Two methods for PLA preparation are commonly known: the polycondensation of lactic acid and the ring-opening polymerization (ROP) of lactide (LA) [1]. The polycondensation process is hampered by the typical limitations of step polymerization, whereas ROP of LA can be initiated by metal complexes and organic compounds or enzymes, both with and without alcohol [1,9,10,11,12].
Metal complexes are desirable because they can give rise to controlled polymerizations and can therefore yield materials with a well-defined number-average molecular weight (Mn), as well as a narrow polydispersity index (PD) [1,13]. These initiators are metal alkoxide or amide coordination compounds (sometimes formed in situ), which are particularly useful because of their selectivity, rate and lack of side reactions. However, metal residues are undesirable for medical or pharmaceutical applications and in these cases, a low toxicity organocatalytic or enzyme catalytic systems are favorable [1].
There are two primary mechanisms for the ROP of LA: the coordination insertion mechanism for metal complexes and the activated monomer mechanism for organo/cationic initiators [1,13]. The key initiator or catalyst parameters are polymerization control, rate and stereocontrol. Stereocontrol is an important parameter, because the PLA’s tacticity influences its properties (e.g., isotactic PLA is crystalline, whereas atactic PLA is amorphous). PLA tacticity is dependent on both the type of LA and the selected initiator or catalyst [14,15,16].
During initiator selection, the biocompatibility and toxicity of the initiator or catalytic system are important issues, especially in the case of medical or pharmaceutical applications. In general, the metal-based initiators or catalysts remain in the macromolecule and during degradation, are likely to be converted into an oxide or hydroxide. For example, some Sn-, Zn- or Zr-based initiator/catalyst systems are generally considered non-toxic [1,13].
The development of reproducible and efficient DDS requires fine tailoring of the properties of the applied PLA. The microstructure of PLA (isotactic, syndiotactic, heterotactic and atactic) influences the kinetics of the biodegradation process [1,13,14,15,16].
Zinc compounds are attractive catalytic systems because they combine high activity with relatively low toxicity [1,17,18,19,20,21,22,23,24,25,26,27,28,29,30,31,32,33,34,35,36,37]. The carboxylates, halides, amino acid salts, alkoxides, phenoxy-diamine, bis(phenoxy diamine), phenoxy-imine, phenoxy imine amine, guanidinate, bis(phenoxy), calixarene and amino bis(pyrazolyl) complexes of zinc as initiators have been investigated [19,20,21,30,31,32,33,38,39]. Furthermore, the oxides have been used in ROP of rac-LA as heterogeneous catalysts [1,2].
In our recent study, we found catalytic systems composed of diethylzinc/gallic acid (ZnEt2/GAc) and diethylzinc/propyl gallate (ZnEt2/PGAc), synthesized for the first time, to be quite effective in the ROP of ε-caprolactone (CL). Polymerization in bulk at 40–80 °C produced poly(ε-caprolactone) (PCL) with a high yield (ca. 100% in some cases). Most importantly, when the ROP of CL was carried out in the presence of ZnEt2/PGAc catalytic system at 40–60 °C within 48 h or at 80 °C within 6 h, no macrocyclic products were formed [40].
However, the ring-opening homopolymerization of rac-LA alongside the application of the above-mentioned Zn-catalytic systems has not previously been studied. Therefore, in this work, the effects of temperature, reaction time and Zn-catalytic system dosage on the ROP of rac-LA were examined in detail. We believe that the produced PLAs, which had a well-defined microstructure, can be practically applied as “long”, “medium” or “short term” DDSs.
2. Results and Discussion
Catalytic systems were obtained in the reaction of ZnEt2 with natural GAc (or PGAc) at a molar ratio of 3:1. rac-LA polymerizations in the presence of ZnEt2/GAc or ZnEt2/PGAc catalytic systems were carried out at zinc to monomer molar ratio of 1:50 or 1:100 at 40–80 °C (Scheme 1, Table 1, Table 2, Table 3 and Table 4). Toluene, tetrahydrofuran or dichloromethane were used as a reaction medium. The effects of the reaction medium, temperature and reaction time on the monomer conversion, product molecular weight, as well as the microstructure of the synthesized polyesters were investigated.
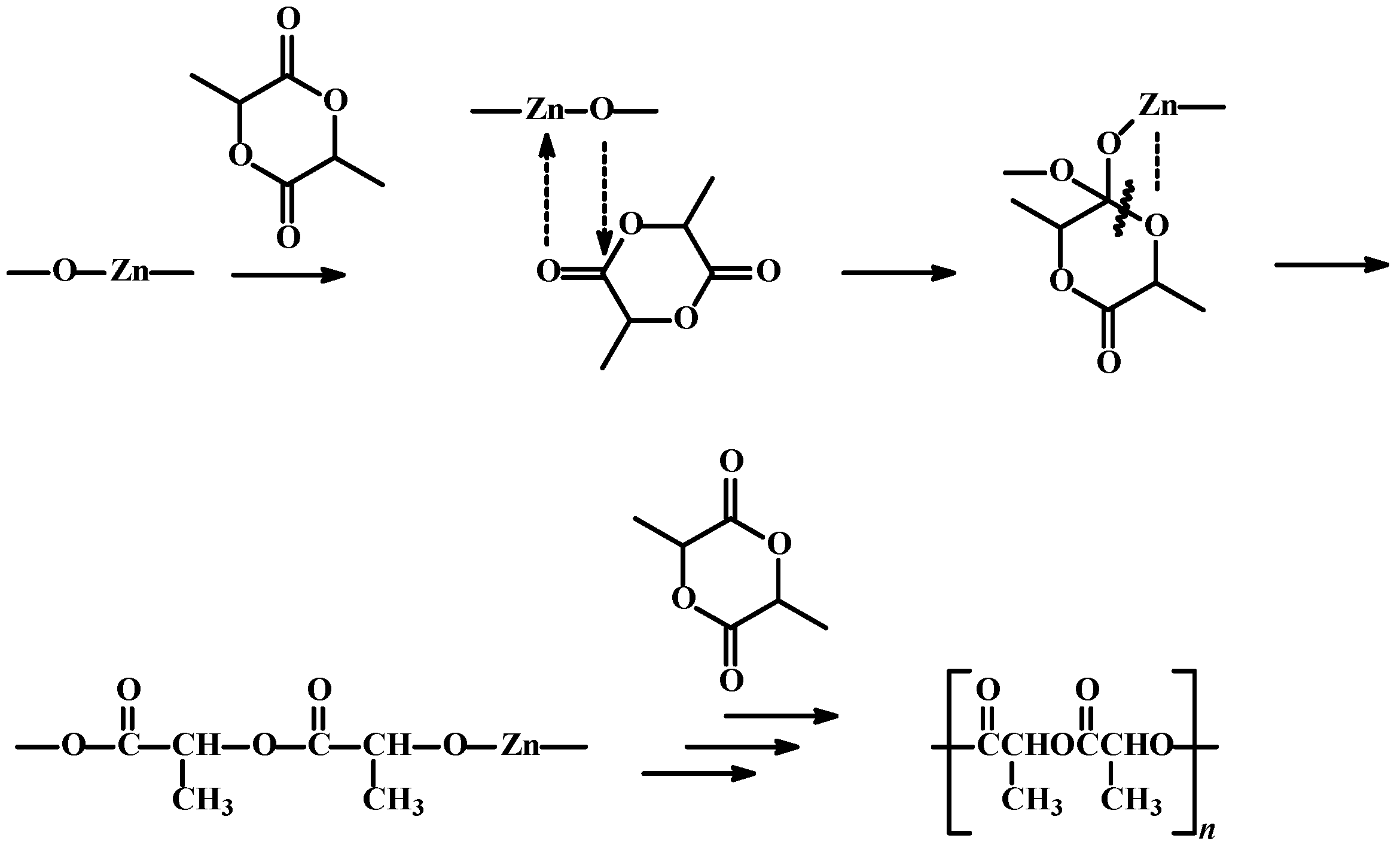
Scheme 1.
ROP of rac-LA in the presence of zinc-based catalytic systems.
Scheme 1.
ROP of rac-LA in the presence of zinc-based catalytic systems.

We found that ROP of rac-LA produced PLAs terminated with hydroxyl chain end groups under these conditions. The chemical structures of the obtained PLAs were confirmed by 1H- or 13C-NMR and FT-IR studies (see the Experimental Section). The molecular weight and polydispersity of the synthesized polyesters were also determined.
Table 1.
Ring-opening polymerization of rac-LA in toluene in the presence of ZnEt2/GAc catalytic system.
| Entry | Molar Ratio [Zn]/[rac-LA]0 | Temp. (°C) | Time (h) | Yield a (%) | Conv. b (%) | Mn c (Da) | PD c | MC d (%) | Mv e (Da) | Mn f (Da) | p2 | Li | T |
|---|---|---|---|---|---|---|---|---|---|---|---|---|---|
| PLA 1 | 1/50 | 40 | 16 | 36 | 39 | 2500 | 1.26 | 3 | 2800 | 2700 | 0.70 | 2.86 | 0 |
| PLA 2 | 1/50 | 40 | 48 | 44 | 48 | 3200 | 1.48 | 9 | 3400 | 2900 | - | - | 0.22 |
| PLA 3 | 1/50 | 60 | 16 | 35 | 40 | 2000 | 1.18 | 3 | 2400 | 2100 | - | - | 0.19 |
| PLA 4 | 1/50 | 60 | 24 | 43 | 47 | 3000 | 1.54 | 10 | 3300 | 3200 | - | - | 0.22 |
| PLA 5 | 1/50 | 60 | 48 | 48 | 52 | 3300 | 2.71 | 22 | 3400 | 3100 | - | - | 0.57 |
| PLA 6 | 1/50 | 80 | 48 | 58 | 64 | 4000 | 3.39 | 33 | 4000 | 3700 | - | - | 0.85 |
| PLA 7 | 1/100 | 40 | 16 | 28 | 32 | 2100 | 1.49 | 6 | 2500 | 2300 | - | - | 0.08 |
| PLA 8 | 1/100 | 40 | 48 | 39 | 43 | 5400 | 1.56 | 7 | 5700 | 5200 | - | - | 0.14 |
| PLA 9 | 1/100 | 60 | 24 | 38 | 43 | 5600 | 1.63 | 9 | 5800 | 5300 | - | - | 0.17 |
| PLA 10 | 1/100 | 60 | 48 | 43 | 48 | 6000 | 2.49 | 18 | 6300 | 6100 | - | - | 0.47 |
| PLA 11 | 1/100 | 80 | 6 | 37 | 41 | 5200 | 2.32 | 6 | 5500 | 5000 | - | - | 0.36 |
| PLA 12 | 1/100 | 80 | 16 | 44 | 47 | 5900 | 2.48 | 17 | 6200 | 5800 | - | - | 0.41 |
| PLA 13 | 1/100 | 80 | 24 | 47 | 52 | 6600 | 2.67 | 30 | 6600 | 6200 | - | - | 0.49 |
| PLA 14 | 1/100 | 80 | 48 | 52 | 57 | 6800 | 3.21 | 39 | 7100 | 6400 | - | - | 0.76 |
a calculated by the weight method; b calculated from 1H-NMR analysis (spectra of a crude reaction mixture; the conversion has been calculated by the integration of the characteristic signal of the monomer (δ = 5.03 ppm) and the polymer chain (ranged from δ = 5.13 to 5.18 ppm)); c determined by GPC; Mn corrected by a factor of ca. 0.58 [41]; d MC (macrocyclic content) determined by MALDI TOF MS; e determined by viscosity method (K = 2.21 × 10−4 dL/g and α = 0.77) [42,43,44]; f determined by 1H-NMR; p2—coefficient of stereoselectivity calculated from the equation presented in [45]; T—transesterification coefficient [15]; Li = 2/pi—average length of lactyl units [46].
Table 2.
Ring-opening polymerization of rac-LA in tetrahydrofuran and dichloromethane in the presence of ZnEt2/GAc catalytic system.
| Entry | Molar Ratio [Zn]0/[rac-LA]0 | Medium | Temp. (°C) | Time (h) | Yield a (%) | Conv. b (%) | Mn c (Da) | PD c | MC d (%) | Mv e (Da) | Mn f (Da) | p2 | Li | T |
|---|---|---|---|---|---|---|---|---|---|---|---|---|---|---|
| PLA 15 | 1/50 | THF | 40 | 16 | 23 | 26 | 1600 | 1.29 | 6 | 1800 | 1300 | 0.63 | 3.17 | 0 |
| PLA 16 | 1/50 | THF | 40 | 48 | 37 | 41 | 2500 | 2.25 | 13 | 2700 | 2100 | - | - | 0.33 |
| PLA 17 | 1/50 | THF | 60 | 48 | 43 | 47 | 2900 | 3.08 | 29 | 3200 | 2600 | - | - | 0.64 |
| PLA 18 | 1/100 | THF | 40 | 48 | 32 | 36 | 4500 | 2.37 | 11 | 4700 | 4300 | - | - | 0.26 |
| PLA 19 | 1/100 | THF | 60 | 48 | 35 | 38 | 4700 | 2.91 | 24 | 4900 | 3800 | - | - | 0.59 |
| PLA 20 | 1/50 | CH2Cl2 | 40 | 24 | traces | traces | - | - | - | - | - | - | - | - |
| PLA 21 | 1/50 | CH2Cl2 | 40 | 48 | 21 | 23 | 1300 | 2.86 | 17 | 1700 | 1200 | - | - | 0.42 |
| PLA 22 | 1/100 | CH2Cl2 | 40 | 48 | 16 | 17 | 2100 | 2.32 | 14 | 2400 | 2000 | - | - | 0.37 |
a calculated by the weight method; b calculated from 1H-NMR analysis (spectra of a crude reaction mixture; the conversion has been calculated by the integration of the characteristic signal of the monomer (δ = 5.03 ppm) and the polymer chain (ranged from δ = 5.13 to 5.18 ppm)); c determined by GPC; Mn corrected by a factor of ca. 0.58 [41]; d MC (macrocyclic content) determined by MALDI TOF MS; e determined by viscosity method (K = 2.21 × 10−4 dL/g and α = 0.77) [42,43,44]; f determined by 1H-NMR; p2—coefficient of stereoselectivity calculated from the equation presented in [45]; T—transesterification coefficient [15]; Li = 2/pi—average length of lactyl units [46].
Table 3.
Ring-opening polymerization of rac-LA in toluene in the presence of ZnEt2/PGAc catalytic system.
| Entry | Molar Ratio [Zn]0/[rac-LA]0 | Temp. (°C) | Time (h) | Yield a (%) | Conv. b (%) | Mn c (Da) | PD c | MC d (%) | Mv e [Da] | Mn f [Da] | p2 | Li | T |
|---|---|---|---|---|---|---|---|---|---|---|---|---|---|
| PLA 23 | 1/50 | 40 | 16 | 39 | 43 | 2700 | 1.19 | 2 | 3100 | 2900 | 0.92 | 2.17 | 0 |
| PLA 24 | 1/50 | 40 | 48 | 61 | 69 | 4500 | 1.42 | 11 | 4800 | 4200 | - | - | 0.13 |
| PLA 25 | 1/50 | 60 | 16 | 53 | 58 | 3600 | 1.28 | 3 | 4100 | 3900 | 0.58 | 3.38 | 0 |
| PLA 26 | 1/50 | 60 | 24 | 59 | 65 | 4100 | 1.38 | 7 | 4400 | 4300 | - | - | 0.05 |
| PLA 27 | 1/50 | 60 | 48 | 68 | 74 | 4600 | 2.36 | 13 | 4900 | 4400 | - | - | 0.46 |
| PLA 28 | 1/50 | 80 | 48 | 83 | 91 | 5700 | 3.04 | 31 | 5900 | 5200 | - | - | 0.74 |
| PLA 29 | 1/100 | 40 | 16 | 35 | 39 | 4800 | 1.18 | 3 | 5300 | 5200 | 0.90 | 2.22 | 0 |
| PLA 30 | 1/100 | 40 | 48 | 54 | 61 | 7700 | 1.27 | 5 | 8100 | 7400 | 0.72 | 2.77 | 0 |
| PLA 31 | 1/100 | 60 | 16 | 42 | 46 | 5700 | 1.32 | 6 | 6200 | 5800 | 0.60 | 3.33 | 0 |
| PLA 32 | 1/100 | 60 | 24 | 56 | 62 | 7900 | 1.31 | 8 | 8300 | 7500 | 0.61 | 3.28 | 0 |
| PLA 33 | 1/100 | 60 | 48 | 63 | 68 | 8700 | 1.89 | 16 | 8900 | 8500 | - | - | 0.38 |
| PLA 34 | 1/100 | 80 | 6 | 54 | 59 | 7600 | 1.39 | 4 | 7800 | 7200 | - | - | 0.16 |
| PLA 35 | 1/100 | 80 | 16 | 62 | 68 | 8600 | 1.48 | 16 | 9000 | 8300 | - | - | 0.27 |
| PLA 36 | 1/100 | 80 | 24 | 67 | 73 | 9300 | 2.06 | 25 | 9500 | 9100 | - | - | 0.39 |
| PLA 37 | 1/100 | 80 | 48 | 75 | 82 | 9900 | 2.47 | 37 | 10,300 | 9400 | - | - | 0.59 |
a calculated by the weight method; b calculated from 1H-NMR analysis (spectra of a crude reaction mixture; the conversion has been calculated by the integration of the characteristic signal of the monomer (δ = 5.03 ppm) and the polymer chain (ranged from δ = 5.13 to 5.18 ppm)); c determined by GPC; Mn corrected by a factor of ca. 0.58 [41]; d MC (macrocyclic content) determined by MALDI TOF MS; e determined by viscosity method (K = 2.21 × 10−4 dL/g and α = 0.77) [42,43,44]; f determined by 1H-NMR; p2—coefficient of stereoselectivity calculated from the equation presented in [45]; T—transesterification coefficient [15]; Li = 2/pi—average length of lactyl units [46].
Table 4.
Ring-opening polymerization of rac-LA in tetrahydrofuran and dichloromethane in the presence of ZnEt2/PGAc catalytic system.
| Entry | Molar ratio [Zn]0/[rac-LA]0 | Medium | Temp. (°C) | Time (h) | Yield a (%) | Conv. b (%) | Mn c (Da) | PD c | MC d (%) | Mv e [Da] | Mn f [Da] | p2 | Li | T |
|---|---|---|---|---|---|---|---|---|---|---|---|---|---|---|
| PLA 38 | 1/50 | THF | 40 | 16 | 29 | 31 | 2000 | 1.35 | 7 | 2300 | 1800 | 0.71 | 2.82 | 0 |
| PLA 39 | 1/50 | THF | 40 | 48 | 40 | 46 | 2900 | 1.69 | 18 | 3300 | 2600 | - | - | 0.19 |
| PLA 40 | 1/50 | THF | 60 | 48 | 47 | 51 | 3300 | 2.61 | 22 | 3700 | 3100 | - | - | 0.49 |
| PLA 41 | 1/100 | THF | 40 | 48 | 38 | 41 | 5100 | 1.82 | 12 | 5700 | 4700 | - | - | 0.07 |
| PLA 42 | 1/100 | THF | 60 | 48 | 39 | 44 | 5500 | 2.39 | 26 | 5600 | 4900 | - | - | 0.44 |
| PLA 43 | 1/50 | CH2Cl2 | 40 | 16 | 15 | 17 | 1200 | 1.74 | 18 | 1500 | 1100 | - | - | 0.27 |
| PLA 44 | 1/50 | CH2Cl2 | 40 | 48 | 36 | 39 | 2400 | 2.89 | 29 | 2600 | 2100 | - | - | 0.53 |
| PLA 45 | 1/100 | CH2Cl2 | 40 | 48 | 32 | 34 | 4200 | 1.92 | 23 | 4700 | 3800 | - | - | 0.38 |
a calculated by the weight method; b calculated from 1H-NMR analysis (spectra of a crude reaction mixture; the conversion has been calculated by the integration of the characteristic signal of the monomer (δ = 5.03 ppm) and the polymer chain (ranged from δ = 5.13 to 5.18 ppm)); c determined by GPC; Mn corrected by a factor of ca 0.58 [41]; d MC (macrocyclic content) determined by MALDI TOF MS; e determined by viscosity method (K = 2.21 × 10−4 dL/g and α = 0.77) [42,43,44]; f determined by 1H-NMR; p2—coefficient of stereoselectivity calculated from the equation presented in [45]; T—transesterification coefficient [15]; Li = 2/pi—average length of lactyl units [46].
As shown in Table 1, Table 2, Table 3 and Table 4, the yield of the ROP process was dependent on the rac-LA/catalytic system’s molar ratio, reaction medium, temperature and reaction time.
The ROP yield of the rac-LA process ranged from 16% to 58% for ZnEt2/GAc (Table 1 and Table 2) and from 15% to 83% for ZnEt2/PGAc catalytic systems (Table 3 and Table 4). Only in one case (PLA 20, Table 2) the polymeric product was obtained in a trace amount. It was found that this type of solvent had an essential influence on the process’ yield, that is, toluene was found to be an optimum polymerization medium. For ZnEt2/PGAc catalytic system, the yields of PLA were in the range of 35%–83% (medium—toluene, Table 3), 29%–47% (medium—THF, Table 4) and 15%–36% (medium—CH2Cl2, Table 4). In comparison, the yields of the ROP products of rac-LA catalyzed by ZnEt2/GAc ranged from 28% to 58% (medium—toluene, Table 1), 23%–43% (medium—THF, Table 2) and 0%–21% (medium—CH2Cl2, Table 2). Moreover, the ROP yields increased when the reaction temperature was raised from 40 to 80 °C. For example, PLAs were obtained with a high yield: 61% (PLA 24), 68% (PLA 27) and 83% yields (PLA 28), respectively (Table 3). The PLA yield tended to decrease with increasing of rac-LA/catalytic system molar ratio. For PLA 27, PLA 28, PLA 33 and PLA 37, the corresponding yield values were 68%, 83%, 63% and 75%, respectively (Table 3). The process yield also increased with the reaction time increasing. For example, PLAs were obtained with 53% (PLA 25, reaction time 16 h), 59% (PLA 26, reaction time 24 h) and 68% yields (PLA 27, reaction time 48 h), respectively (Table 3).
The molecular weight of PLAs was also dependent on the rac-LA/catalytic system molar ratio, reaction medium, temperature and reaction time (Table 1, Table 2, Table 3 and Table 4). The average molecular mass (Mn) values of PLA increased when the reaction time, reaction temperature and rac-LA/catalytic system molar ratio were increased. The Mn values of PLA determined by the GPC were in the range of 1200–9900 Da (ZnEt2/PGAc catalytic system, Table 3 and Table 4) and 1300–6800 Da (ZnEt2/GAc catalytic system, Table 1 and Table 2). When the process was carried out in the presence of a ZnEt2/PGAc catalytic system (where the molar ratio of catalyst to monomer was 1:100, reaction temp. 80 °C), the Mn results were: 9900 Da for PCL 37 (reaction time 48 h), 9300 Da for PLA 36 (reaction time 24 h) and 8600 Da for PLA 35 (reaction time 16 h) (Table 3). In comparison, when the ZnEt2/GAc catalytic system was used, Mn results were 6800 Da for PLA 14 (reaction time 48 h), 6600 Da for PLA 13 (reaction time 24 h) and 5900 Da for PLA 12 (reaction time 16 h), respectively (Table 1).
As was shown, the PLAs obtained in the presence of ZnEt2/PGAc catalytic system were generally characterized by a higher Mn when compared to the PLAs synthesized in the presence of ZnEt2/GAc. Moreover, when ROP was carried out in toluene, the synthesized PLAs were characterized by a higher Mn than that of PLAs synthesized in THF or CH2Cl2. The Mn values determined from GPC were comparable to the viscosity analysis results (Mv), as well as those of Mn calculated from 1H-NMR.
As is known, in the MALDI-TOF MS spectra of PLA, two populations of chains can be observed (the even number and the odd number of lactyl units). An odd number of lactyl units shows that the PLA chain undergoes intra- and intermolecular transesterification. In our results, the MALDI-TOF MS spectra of the synthesized PLAs comprise two or three series of peaks (Figure 1). The primary series (I) corresponded to PLA macromolecule terminated with a hydroxyl group and a hydrogen atom (residual mass: ca. 41 Da, Na+ adduct). The third series of peaks (III) also corresponded to PLA molecules terminated with a hydroxyl group and hydrogen atom (residual mass: ca. 57 Da, K+ adduct). The second series of peaks, which had low intensity (almost unnoticeable) (II), corresponded to cyclic molecules (residual mass: ca. 23 Da, Na+ adduct). The content of this population was determined on the basis of the intensity ratio of the peaks for linear and cyclic PLA. As was shown, the content of cyclic products generally increased with increasing of the temperature and polymerization time. In our previous paper, we reported that when ROP of CL was carried out in the presence of ZnEt2/PGAc catalytic system at 40–60 °C within 48 h or at 80 °C within 6 h, macrocyclic products did not formed [40]. As shown in Table 1, Table 2, Table 3 and Table 4, trends of macrocyclization process during ROP of rac-LA in the presence of ZnEt2/PGAc were similar. The macrocyclic content (MC) for PLAs obtained in the presence of ZnEt2/PGAc catalytic system was low when compared to the MC of PLAs obtained in the presence of the ZnEt2/GAc catalytic system (Table 1, Table 2, Table 3 and Table 4). For PLA 23, PLA 1, PLA 29 and PLA 7, the corresponding MC values were 2%, 3%, 3% and 6%, respectively.
Figure 1.
MALDI TOF MS spectrum of PLA obtained in the presence ZnEt2/PGAc catalytic system (PLA 26).
Figure 1.
MALDI TOF MS spectrum of PLA obtained in the presence ZnEt2/PGAc catalytic system (PLA 26).

In summary, our results clearly show that ZnEt2/PGAc is a more effective catalytic system for the promotion of the polymerization of rac-LA, compared to ZnEt2/GAc. The rac-LA monomer had almost completely been consumed in the presence of ZnEt2/PGAc within 48 h at 80 °C (Table 3, PLA 28, conversion 91%). In comparison, the maximum conversion for ROP of rac-LA catalyzed by ZnEt2/GAc was 64% in the same reaction condition (Table 1, PLA 6). The same trend was observed in our previous experiments concerning ROP of CL in the presence of ZnEt2/PGAc or ZnEt2/GAc catalytic systems. This likely demonstrates that only -OZn- active species are formed in the first case (ZnEt2/PGAc) whereas in the second case (ZnEt2/GAc), -COOZn- species are also formed [40].
It has been established that the physico-chemical, biological and biodegradation properties of PLA are dramatically dependent on the stereochemistry of PLA. Although zinc compounds have been extensively studied, these are the highest stereoselectivity, achieved by zinc-based catalysts from rac-LA to date [47,48,49,50,51,52,53].
The microstructure of the PLA was evaluated by homonuclear-decoupled 1H-NMR and 13C-NMR spectra. The tetrad peaks in 1H-NMR spectra were assigned as noted in the literature [49]. Tetrads (for the methine carbon) or hexads (for the carbonyl carbon) distribution were also observed in the 13C-NMR [45].
The literature notes that when an intermolecular transesterification process does not occur during polymerization, the carbonyl carbon region exhibits several lines that correspond to 11 hexads, resulting from a pair addition of enantiomers of LA. When the transesterification process occurs, new lines can be observed in the spectrum of carbonyl region as a combination of 21 hexads containing ss segment [45]. Moreover, when intermolecular transesterification process do not occur during polymerization, the resonanse lines due to iss, sss and ssi tetrads are not observed in the methine region [45,46,47,48,49,50,51,52,53,54,55,56].
The values of transesterification coefficient (T) were calculated from the proportion of iss tetrad in 1H- or 13C-NMR data using Bernoullian statistics [54].
T was calculated using the following equation:
T = (isi0 − isi)/(isi0 − 0.125)
The experimental isi relative weight can essentially vary from 0.125 (random linkage of lactyl units) to 0.25 (Bernoullian addition of pairs). It is known that T values varying from 0 to 1 and in a stereoselective process the upper limit related to the isi tetrad relative weights is higher [11].
In our study, a racemic mixture of LA was polymerized (for the ratio of enantiomers, k = 1). It is possible to assume that the probabilities of the enantiomer addition to the growing chain terminated with the same enantiomer are equal pRR/RR = pSS/SS = p1. The probabilities of the enantiomer’s addition to the growing chain terminated with opposite enantiomers are equal pRR/SS = pSS/RR = p2 (because pRR/RR + pSS/RR = 1 and pSS/SS + pRR/SS = 1) [45].
It is therefore possible to calculate the intensity values of the individual sequences:
- -
- for tetrads
(iii) = p13 + 1.5p12p2 + 0.5p1p22
(iis) = (sii) = 0.5p12p2 + 0.5p1p22
(isi) = 0.5p12p2 + p1p22 + 0.5p23
(sis) = 0.5p1p22 + 0.5p23
- -
- for hexads
(iiiii) = p13 + 0.5p12p2
(iiiis) = (siiii) = (iisii) = 0.5p12p2
(iiisi) = (isiii) = 0.5p12p2 + 0.5p1p22
(iisis) = (siiis) = (sisii) = 0.5p1p22
(isisi) = 0.5p1p22 + 0.5p23
(sisis) = 0.5p23
The coefficient probabilities p1 and p2 were calculated from the above equations using the intensities of signals in the 13C-NMR spectrum [45]. In this work, the influence of the types of catalytic systems, as well as the reaction time and temperature on the chain microstructure was investigated.
As shown in Table 3 and Figure 2 and Figure 3, when rac-LA was employed using a ZnEt2/PGAc catalytic system (40 °C within 16–48 h or 60 °C within 16–24 h), the intermolecular transesterification process was not observed (T = 0). For example, for a polyester obtained in the presence of ZnEt2/PGAc catalytic system (60 °C within 16 h, Table 3), the calculated coefficient of stereoselectivity p2 was 0.58 (PLA 25), whereas the average length of lactyl units Li = 3.38 (when no ss sequences were present in the polymer chain, this coefficient may be defined as p2 = 2/Li, where Li is the average length of the isotactic microblocks). In our research, the “predominantly isotactic” PLA (PLA 25) was obtained in the conditions stated above. As is commonly known, the ROP process of rac-LA enables the following to form:
isotactic PLA (T = 0, p1 = 1, p2 = 0) ...SSSSSS... + ...RRRRRR...“predominantly isotactic” PLA (T = 0, p1 = 0.5, p2 = 0.5, Li = 4) ...SSSRRRSSSSRRR...“completely disyndiotactic” (heterotactic) PLA (T = 0, p1 = 0, p2 = 1, Li = 2) ...SSRRSSRRSSRR...
In the 13C-NMR spectra of PLA obtained in the presence of ZnEt2/PGAc catalytic system (40 °C within 16–48 h or 60 °C within 16–24 h), no lines due to tetrads and hexads containing the ss sequences were present (Figure 2 and Figure 3). In contrast, when ROP of rac-LA was carried out in the presence of ZnEt2/PGAc catalytic system at 40–80 °C within 48 h (Table 3), in the presence of ZnEt2/GAc catalytic system at 40 °C within 24–48 h, or at 60–80 °C within 6–48 h (Table 1), the intermolecular transesterification process was observed (T ≠ 0). As noted, the values of T generally increased with increasing of the temperature and polymerization time. For example, the T was 0.13 (temp. process 40 °C), 0.46 (temp. process 60 °C), 0.74 (temp. process 80 °C) for PLA 24, PLA 27 and PLA 28, respectively. Furthermore, when ROP of rac-LA was carried out at, e.g., 80 °C within 48 h (the presence of ZnEt2/GAc catalytic system), stereocontrol was not observed and an atactic material was obtained (Table 1, PLA 14, Figure 4). The analysis of the intensities of the lines due to tetrads and the calculated transesterification coefficient T = 0.85 indicated strong intermolecular transesterification of PLA chain (e.g., PLA 6), that in consequence leads to the formation of the atactic polymer (Figure 5).
Figure 2.
13C-NMR spectra of “predominantly isotactic” PLA (methine region) (p2 = 0.58, PLA 25).
Figure 2.
13C-NMR spectra of “predominantly isotactic” PLA (methine region) (p2 = 0.58, PLA 25).

Figure 3.
13C-NMR spectra of “predominantly isotactic” PLA (carbonyl region) (p2 = 0.58, PLA 25).
Figure 3.
13C-NMR spectra of “predominantly isotactic” PLA (carbonyl region) (p2 = 0.58, PLA 25).

Figure 4.
Homonuclear decoupled 1H-NMR spectra of the methine region of polylactide (PLA 14).
Figure 4.
Homonuclear decoupled 1H-NMR spectra of the methine region of polylactide (PLA 14).

Figure 5.
13C-NMR spectra of atactic PLA (methine region) (PLA 6).
Figure 5.
13C-NMR spectra of atactic PLA (methine region) (PLA 6).

Scheme 2.
The stereostructures of PLA.
Scheme 2.
The stereostructures of PLA.

It is worth noting that, when ROP of rac-LA was carried out in the presence of a ZnEt2/PGAc catalytic system at 40 °C within 16 h, the microstructure of the examined polyester almost corresponded to a “completely disyndiotactic” polymer (PLA 23, PLA 29) (Table 3, Figure 6). In this instance, the values of p2 were roughly 0.92 and 0.90. During the reaction progress, the transesterification process tended to reduce the chain’s microstructure regularity. An analogous trend was observed by Bero when ROP of rac-LA was carried out in the presence of lithium tert-butoxide [55].
Figure 6.
13C-NMR spectra of disyndiotactic PLA (methine region) (p2 = 0.92, PLA 23).
Figure 6.
13C-NMR spectra of disyndiotactic PLA (methine region) (p2 = 0.92, PLA 23).

The results of ROP of rac-LA in the presence of ZnEt2/PGAc have also demonstrated that, depending on the conditions, “predominantly isotactic”, disyndiotactic or atactic PLA can be obtained. It is also worth noting that, when the process was carried out in the presence of a ZnEt2/PGAc catalytic system (40 °C within 16–48 h or 60 °C within 16–24 h), intermolecular transesterification was not observed. Generally, we can find that when the temperature and the reaction time have been increased, the microstructure of obtained PLA has been changed in the following way: disyndiotactic, “predominantly isotactic” and “completely atactic”.
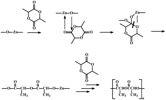
We assume that ROP of rac-LA catalyzed by ZnEt2/GAc or ZnEt2/PGAc probably follows a coordination-insertion mechanism. The acidic metal center loosely binds and activates the lactide to attack by the -ZnO- group. The intermediate undergoes acyl bond cleavage of the lactide ring to generate a -ZnO- species and a growing chain end capped with an ester group (Scheme 3). However, it is difficult to obtain molecular zinc complexes (from the reaction of ZnEt2 with GAc or PGAc), due to the strong association tendency of the products in the reaction medium [40]. However, the relevant kinetic and mechanistic studies are underway and will be presented in our next paper.
Scheme 3.
The hypothetical mechanism of ROP of rac-LA in the presence of ZnEt2/GAc and ZnEt2/PGAc catalytic systems.
Scheme 3.
The hypothetical mechanism of ROP of rac-LA in the presence of ZnEt2/GAc and ZnEt2/PGAc catalytic systems.

3. Experimental Section
3.1. Materials
rac-Lactide (3,6-dimethyl-1,4-dioxane-2,5-dione, 99%, rac-LA) was purchased from Sigma-Aldrich Co. (Poznan, Poland) and further purified by crystallization from anhydrous toluene. Prior to use, the solvents (toluene, THF, CH2Cl2; Sigma-Aldrich, Co., Poznan, Poland) were dried over potassium or phosphorus pentoxide. Diethylzinc (ZnEt2, solution 15 wt % in toluene, Sigma-Aldrich, Co.), gallic acid (3,4,5-trihydroxybenzoic acid, GAc, 97.5%–102.5%, Sigma-Aldrich, Co.) and propyl gallate (3,4,5-trihydroxybenzoic acid propyl ester, PGAc, ≥98%, Sigma-Aldrich, Co.) were used as received from the manufacturer.
3.2. Synthesis of the Catalytic Systems
The diethylzinc/gallic acid (ZnEt2/GAc) and diethylzinc/propyl gallate (ZnEt2/PGAc) catalytic systems were prepared each time in an argon atmosphere at room temperature immediately before reaction. The synthesis of catalytic systems was carried out in three-necked, 100 mL round-bottomed flasks. Each glass vessel was equipped with a magnetic stirrer. The flasks contained a mixture of ZnEt2 (0.0177 mol) and GAc (or PGAc) (0.0059 mol) at a molar ratio of 3 to 1 and toluene as a solvent (35 mL). The reactions were carried out for about 2 h [40].
3.3. Synthesis of Polylactide
The ROP of rac-LA was carried out in triplicate, in a glass tube in the presence of ZnEt2/GAc or ZnEt2/PGAc as catalysts. The required amount of monomer and ZnEt2/GAc or ZnEt2/PGAc was placed in a 10 mL glass ampoule in an argon atmosphere. The reaction vessel was then kept standing in a thermostated oil bath at 40, 60 or 80 °C for 6 to 48 h. When the reaction time was completed, the cold reaction product was dissolved in CH2Cl2 and precipitated from distilled water with diluted hydrochloric acid (5% aqueous solution). The organic phase was separated, washed with distilled water and dried in a vacuum for 2 to 3 days.
3.4. Spectroscopy Data
3.4.1. NMR Data
1H-NMR (CDCl3, δ, ppm): 5.10–5.25 (1H, q, -CH(CH3)-), 4.38 (1H, q, -CH(CH3)OH, end group), 1.50–1.60 (3H, d, -CH3);
13C-NMR (CDCl3, δ, ppm): 169.8 (-C(O)O-), 69.5 (-OC(O)CH(CH3)O-), 67.2(-OC(O)CH(CH3)OH, end group), 20.6 (-OC(O)CH(CH3)OH, end group), 17.1 (-OC(O)CH(CH3)O-);
3.4.2. FT-IR Data
(KBr, cm−1): 2997 (υasCH3), 2947 (υsCH3), 2882 (υCH), 1760 (υC=O), 1452 (δasCH3), 1348–1388 (δsCH3), 1368–1360 (δ1CH+δsCH3), 1315–1300 (δ2CH), 1270 (δCH + υCOC), 1215–1185 (υasCOC + rasCH3), 1130 (rasCH3), 1100–1090 (υsCOC), 1045 (υC-CH3), 960–950 (rCH3 + υCC), 875–860 (υC-COO), 760–740 (δC=O), 715–695 (γC=O), 515 (δ1C-CH3 + δCCO), 415 (δCCO), 350 (δ2C-CH3 + δCOC), 300–295 (δCOC + δ2C-CH3), 240 (τCC);
3.5. Measurements
The intrinsic viscosity of PLAs was determined in N,N-dimethylformamide (DMF) (at 30 °C) using a Stabinger Viscometer SVM 3000. The concentrations of the PLA solutions in DMF were as follow: 0.2%, 0.4%, 0.6%, 0.8% and 1%. The viscosity average molecular weight was calculated with the Mark–Houwink equation using the following constants: K = 2.21 × 10−4 dL/g and α = 0.77 [42,43,44].
Number-average molecular weight and polydispersity were determined by gel permeation chromatography (GPC). The GPC instrument (GPC Max + TDA 305, Viscotek) was equipped with Jordi DVB Mixed Bed columns (one guard and two analytical) at 30 °C in CH2Cl2 (HPLC grade, Sigma-Aldrich) and at a flow rate of 1 mL/min, with RI detection and calibration based on narrow PS standards (ReadyCal Set, Fluka). The results were processed with OmniSEC software (ver. 4.7. Houston, TX, USA).
MALDI-TOF mass spectra were performed in a linear mode using an ultrafleXtreme™ (Bruker Daltonics, Coventry, UK) mass spectrometer using a nitrogen gas laser and DCTB as a matrix. The PLA samples were dissolved in THF (5 mg/mL) and mixed with a solution of DCTB.
The polymerization products were characterized by means of 1H- or 13C-NMR (using Varian 300 MHz recorded, Palo Alto, CA, USA) in deuterated chloroform (CDCl3) at room temperature. FT-IR spectra (PerkinElmer, Waltham, MA, USA) were measured from KBr pellets.
4. Conclusions
In this study, we described for the first time the synthesis and characterization of polylactides obtained in the presence of two zinc-based catalytic systems. The biocompatible ZnEt2/GAc and ZnEt2/PGAc catalytic systems were shown to be effective for the coordination-insertion ring-opening polymerization of rac-lactide (rac-LA). Zinc catalytic systems were proven as promising catalysts not only for molecular weight control, but also for stereocontrol. It was found that when rac-LA was polymerized with ZnEt2/PGAc catalytic system (40 °C within 16–48 h or 60 °C within 16–24 h), the intermolecular transesterification process was not observed. Furthermore, “predominantly isotactic” PLA was obtained in these reaction conditions. In addition, when ROP of rac-LA was carried out in the presence of a ZnEt2/PGAc catalytic system (40 °C within 16 h), the microstructure of the examined polyester practically corresponds to “completely disyndiotactic” polymer. Efforts aimed at subsequent improvement of the stereocontrol of ROP of rac-LA in the presence of ZnEt2/GAc and ZnEt2/PGAc catalytic systems, as well as understanding the origin of isoselectivity and detailed reaction mechanisms, are currently underway in our laboratory.
Acknowledgments
This work was financially supported by National Science Centre of Poland (OPUS-5 research scheme, grant number DEC-2013/09/B/ST5/03480 entitled: “Elaboration of anti-cancer drug implantational delivery system immobilized on polymer matrix”). We would like to thank Piotr Goś from Medical University of Warsaw for the technical support. The authors are indebted to Andrzej Plichta (Warsaw University of Technology) for the GPC measurements, Monika Pisklak, Violetta Kowalska (Medical University of Warsaw) and Paweł Horeglad (Centre of New Technologies, University of Warsaw) for the spectroscopy measurements.
Author Contributions
The contributions of the respective authors are as follows: K.Ż., U.P., E.O. and M.S. gave the concept of work, synthesized and characterized products, interpreted the results, wrote the whole article, and made discussions and conclusions. All authors have contributed to, read and approved the manuscript.
Conflicts of Interest
The authors declare no conflict of interest.
References
- Platel, R.H.; Hodgson, L.M.; Williams, C.K. Biocompatible initiators for lactide polymerization. Polym. Rev. 2008, 48, 11–63. [Google Scholar] [CrossRef]
- Gupta, B.; Revagade, N.; Hilborn, J. Poly(lactic acid) fiber: An overview. Prog. Polym. Sci. 2007, 34, 455–482. [Google Scholar] [CrossRef]
- Xiao, L.; Wang, B.; Yang, G.; Gauthier, M. Poly(lactic acid)-based biomaterials: Synthesis, modification and applications. In Biomedical Science, Engineering and Technology; Ghista, D.N., Ed.; InTech Europe: Rijeka, Croatia, 2012; pp. 247–282. [Google Scholar]
- Lasprilla, A.J.R.; Martinez, G.A.R.; Lunelli, B.H.; Jardini, A.L.; Filho, R.M. Poly-lactic acid synthesis for application in biomedical devices—A review. Biotechnol. Adv. 2012, 30, 321–328. [Google Scholar] [CrossRef] [PubMed]
- Olędzka, E.; Horeglad, P.; Gruszczyńska, Z.; Plichta, A.; Nałęcz-Jawecki, G.; Sobczak, M. Polylactide conjugates of camptothecin with different drug release abilities. Molecules 2014, 19, 19460–19470. [Google Scholar] [CrossRef] [PubMed]
- Sobczak, M.; Korzeniowska, A.; Goś, P.; Kołodziejski, W.L. Preparation and characterization of polyester- and poly(ester-carbonate)-paclitaxel conjugates. Eur. J. Med. Chem. 2011, 46, 3047–3051. [Google Scholar] [CrossRef] [PubMed]
- Sobczak, M.; Hajdaniak, M.; Goś, P.; Olędzka, E.; Kołodziejski, W.L. Use of aliphatic poly(amide urethane)s for the controlled release of 5-fluorouracil. Eur. J. Med. Chem. 2011, 46, 914–918. [Google Scholar] [CrossRef] [PubMed]
- Sobczak, M.; Nałęcz-Jawecki, G.; Kołodziejski, W.L.; Goś, P.; Żółtowska, K. Synthesis and study of controlled release of ofloxacin from polyester conjugates. Int. J. Pharm. 2010, 402, 37–43. [Google Scholar] [CrossRef] [PubMed]
- Kricheldorf, H.R.; Berl, M.; Scharnagl, N. Poly(lactones). 9. Polymerization mechanism of metal alkoxide initiated polymerizations of lactide and various lactones. Macromolecules 1988, 21, 286–293. [Google Scholar] [CrossRef]
- Kowalski, A.; Duda, A.; Penczek, S. Kinetics and mechanism of cyclic esters polymerization initiated with Tin(II) octoate. 3. Polymerization of l,l-dilactide. Macromolecules 2000, 33, 7359–7370. [Google Scholar] [CrossRef]
- Marshall, E.L.; Gibson, V.C.; Rzepa, H.S. A computational analysis of the ring-opening polymerization of rac-lactide initiated by single-site β-diketiminate metal complexes: Defining the mechanistic pathway and the origin of stereocontrol. J. Am. Chem. Soc. 2005, 127, 6048–6051. [Google Scholar] [CrossRef] [PubMed]
- Ryner, M.; Stridsberg, K.; Albertsson, A.C.; von Schenck, H.; Svensson, M. Mechanism of ring-opening polymerization of 1,5-dioxepan-2-one and l-lactide with stannous 2-ethylhexanoate. A theoretical study. Macromolecules 2001, 34, 3877–3881. [Google Scholar] [CrossRef]
- Rasal, R.M.; Janorkar, A.V.; Hirt, D.E. Poly(lactic acid) modifications. Prog. Polym. Sci. 2010, 35, 338–356. [Google Scholar] [CrossRef]
- Kasperczyk, J. NMR investigation of biodegradable polyesters for medical application. Macromol. Symp. 2001, 175, 19–31. [Google Scholar] [CrossRef]
- Coudane, J.; Ustariz-Peyret, C.; Schwach, G.; Vert, M. More about the stereodependence of dd and ll pair linkages during the ring-opening polymerization of racemic lactide. J. Polym. Sci. A Polym. Chem. 1997, 35, 1651–1658. [Google Scholar] [CrossRef]
- Spassky, N.; Simic, V.; Montaudo, M.S.; Hubert-Pfalzgraf, L.G. Inter- and intramolecular ester exchange reactions in the ring-opening polymerization of (d,l)-lactide using lanthanide alkoxide initiators. Macromol. Chem. Phys. 2000, 201, 2432–2440. [Google Scholar] [CrossRef]
- Schwach, G.; Coudane, J.; Engel, R.; Vert, M. Zn lactate as initiator of d,l-lactide ring opening polymerization comparison with Sn octoate. Polym. Bull. 1996, 37, 771–776. [Google Scholar] [CrossRef]
- Stanford, M.J.; Dove, A.P. One-pot synthesis of α,ω-chain end functional, stereoregular, star-shaped poly(lactide). Macromolecules 2009, 42, 141–147. [Google Scholar] [CrossRef]
- Kreiser-Saunders, I.; Kricheldorf, H.R. Polylactones, 39. Zn lactate-catalyzed copolymerization of l-lactide with glycolide or ɛ-caprolactone. Macromol. Chem. Phys. 1998, 199, 1081–1087. [Google Scholar]
- Kricheldorf, H.R.; Damrau, D.-O. Polylactones, 43. Polymerization of l-lactide catalyzed by zinc amino acid salts. Macromol. Chem. Phys. 1998, 199, 1747–1752. [Google Scholar] [CrossRef]
- Kricheldorf, H.R.; Damrau, D.-O. Polylactones, 37. Polymerizations of l-lactide initiated with Zn(II) l-lactate and other resorbable Zn salts. Macromol. Chem. Phys. 1997, 198, 1753–1766. [Google Scholar] [CrossRef]
- Schwach, G.; Coudane, J.; Engel, R.; Vert, M. Ring opening polymerization of d,l-lactide in the presence of zinc metal and zinc lactate. Polym. Int. 1998, 46, 177–182. [Google Scholar] [CrossRef]
- Chisholm, M.H.; Huffman, J.C.; Phomphrai, K. Monomeric metal alkoxides and trialkyl siloxides: (BDI)Mg(OtBu)(THF) and (BDI)Zn(OSiPh3)(THF). Comments on single site catalysts for ring-opening polymerization of lactides. Dalton Trans. 2001, 3, 222–224. [Google Scholar] [CrossRef]
- Chisholm, M.H.; Gallucci, J.; Phomphrai, K. Coordination chemistry and reactivity of monomeric alkoxides and amides of magnesium and zinc supported by the diiminato ligand CH(CMeNC6H3–2,6-iPr2)2. A comparative study. Inorg. Chem. 2002, 41, 2785–2794. [Google Scholar] [CrossRef] [PubMed]
- Chisholm, M.H.; Phomphrai, K. Conformational effects in β-diiminate ligated magnesium and zinc amides. Solution dynamics and lactide polymerization. Inorg. Chim. Acta 2003, 350, 121–125. [Google Scholar] [CrossRef]
- Chisholm, M.H.; Gallucci, J.C.; Phomphrai, K. Lactide polymerization by well-defined calcium coordination complexes: Comparisons with related magnesium and zinc chemistry. Chem. Commun. 2003, 1, 48–49. [Google Scholar] [CrossRef]
- Hill, M.S.; Hitchcock, P.B. Synthesis of C2 and Cs symmetric zinc complexes supported by bis(phosphinimino)methyl ligands and their use in ring opening polymerisation catalysis. Dalton Trans. 2002, 24, 4694–4702. [Google Scholar] [CrossRef]
- Dove, A.P.; Gibson, V.C.; Marshall, E.L.; White, A.J.P.; Williams, D.J. Magnesium and zinc complexes of a potentially tridentate β-diketiminate ligand. Dalton Trans. 2004, 4, 570–578. [Google Scholar] [CrossRef] [PubMed]
- Chisholm, M.H.; Eilerts, N.W.; Huffman, J.C.; Iyer, S.S.; Pacold, M.; Phomphrai, K. Molecular design of single-site metal alkoxide catalyst precursors for ring-opening polymerization reactions leading to polyoxygenates. 1. Polylactide formation by achiral and chiral magnesium and zinc alkoxides, (η3-l)MOR, where l = trispyrazolyl- and trisindazolylborate ligands. J. Am. Chem. Soc. 2000, 122, 11845–11854. [Google Scholar]
- Williams, C.K.; Brooks, N.R.; Hillmyer, M.A.; Tolman, W.B. Metalloenzyme inspired dizinc catalyst for the polymerization of lactide. Chem. Commun. 2002, 18, 2132–2133. [Google Scholar] [CrossRef]
- Chisholm, M.H.; Gallucci, J.C.; Zhen, H.H.; Huffman, J.C. Three-coordinate zinc amide and phenoxide complexes supported by a bulky Schiff base ligand. Inorg. Chem. 2001, 40, 5051–5054. [Google Scholar] [CrossRef] [PubMed]
- Chen, H.Y.; Tang, H.Y.; Lin, C.C. Ring-opening polymerization of lactides initiated by zinc alkoxides derived from NNO-tridentate ligands. Macromolecules 2006, 39, 3745–3752. [Google Scholar] [CrossRef]
- Breyfogle, L.E.; Williams, C.K.; Young, V.G.; Hillmyer, M.A.; Tolman, W.B. Comparison of structurally analogous Zn2, Co2, and Mg2 catalysts for the polymerization of cyclic esters. Dalton Trans. 2006, 7, 928–936. [Google Scholar] [CrossRef] [PubMed]
- Lian, B.; Thomas, C.M.; Casagrande, O.L., Jr.; Lehmann, C.W.; Roisnel, T.; Carpentier, J.F. Aluminum and zinc complexes based on amino-bis(pyrazolyl) ligand: Synthesis, structures and use in MMA and lactide polymerization. Inorg. Chem. 2007, 46, 328–340. [Google Scholar] [CrossRef] [PubMed]
- Huang, B.H.; Lin, C.N.; Hsueh, M.L.; Athar, T.; Lin, C.C. Well-defined sterically hindered zinc aryloxides: Excellent catalysts for ring-opening polymerization of ε-caprolactone and L-lactide. Polym. J. 2006, 47. [Google Scholar] [CrossRef]
- Bukhaltsev, E.; Frish, L.; Cohen, Y.; Vigalok, A. Single-site catalysis by bimetallic zinc calixarene inclusion complexes. Org. Lett. 2005, 7, 5123–5126. [Google Scholar] [CrossRef] [PubMed]
- Coles, M.P.; Hitchcock, P.B. Zinc guanidinate complexes and their application in ringopening polymerisation catalysis. Eur. J. Inorg. Chem. 2004, 13, 2662–2672. [Google Scholar] [CrossRef]
- Dobrzynski, P. Initiation process of l-lactide polymerization carried out with zirconium (IV) acetylacetonate. J. Polym. Sci. A Polym. Chem. 2004, 42, 1886–1900. [Google Scholar] [CrossRef]
- Kricheldorf, H.R.; Serra, A. Polylactones: 6. Influence of various metal salts on the optical purity of Poly(l-lactide). Polym. Bull. 1985, 14, 497–502. [Google Scholar] [CrossRef]
- Żółtowska, K.; Sobczak, M.; Olędzka, E. Novel zinc-catalytic systems for ring-opening polymerization of ε-caprolactone. Molecules 2015, 20, 2816–2827. [Google Scholar] [CrossRef] [PubMed]
- Kowalski, A.; Duda, A.; Penczek, S. Polymerization of l,l-lactide initiated by aluminum isopropoxide trimer or tetramer. Macromolecules 1998, 31, 2114–2122. [Google Scholar] [CrossRef]
- Channuan, W.; Siripitayananon, J.; Molloy, R.; Sriyai, M.; Davis, F.J.; Mitchell, G.R. The structure of crystallisable copolymers of l-lactide, ε-caprolactone and glycolid. Polym. J. 2005, 46, 6411–6428. [Google Scholar] [CrossRef]
- Nijenhuis, A.J.; Grijpma, D.W.; Pennings, A.J. Lewis acid catalyzed polymerization of l-lactide. Kinetics and mechanism of the bulk polymerization. Macromolecules 1992, 25, 6419–6424. [Google Scholar] [CrossRef]
- Gupta, A.P.; Kumar, V. New emerging trends in synthetic biodegradable polymers—Polylactide: A critique. Eur. Polym. J. 2007, 43, 4053–4074. [Google Scholar] [CrossRef]
- Kasperczyk, J.E. Microstructure analysis of Poly(lactic acid) obtained by lithium tert-butoxide as initiator. Macromolecules 1995, 28, 3937–3939. [Google Scholar] [CrossRef]
- Kasperczyk, J.; Bero, M. Stereoselective polymerization of racemic d,l-lactide in the presence of butyllithium and butylmagnesium. Structural investigations of the polymers. Polymer 2000, 41, 391–395. [Google Scholar] [CrossRef]
- Stanford, M.J.; Dove, A.P. Stereocontrolled ring-opening polymerisation of lactide. Chem. Soc. Rev. 2010, 39, 486–494. [Google Scholar] [CrossRef] [PubMed]
- Thomas, C.M. Stereocontrolled ring-opening polymerization of cyclic esters: Synthesis of new polyester microstructures. Chem. Soc. Rev. 2010, 39, 165–173. [Google Scholar] [CrossRef] [PubMed]
- Dijkstra, P.J.; Du, H.; Feijen, J. Single site catalysts for stereoselective ring-opening polymerization of lactides. Polym. Chem. 2011, 2, 520–527. [Google Scholar] [CrossRef]
- Piedra-Arroni, E.; Ladaviere, C.; Amgoune, A.; Bourissou, D. Ring-opening polymerization with Zn(C6F5)2-based Lewis pairs: Original and efficient approach to cyclic polyesters. J. Am. Chem. Soc. 2013, 135, 13306–13309. [Google Scholar] [CrossRef] [PubMed]
- Wang, H.; Ma, H. Highly diastereoselective synthesis of chiral aminophenolate zinc complexes and isoselective polymerization of rac-lactide. Chem. Commun. 2013, 49, 8686–8688. [Google Scholar] [CrossRef] [PubMed]
- Honrado, M.; Otero, A.; Fernandez-Baeza, J.; Sanchez-Barba, L.F.; Lara-Sanchez, A.; Tejeda, J.; Carrion, M.P.; Martinez-Ferrer, J.; Garces, A.; Rodriguez, A.M. Efficient synthesis of an unprecedented enantiopure hybrid scorpionate/cyclopentadienyl by diastereoselective nucleophilic addition to a fulvene. Organometallics 2013, 32, 3437–3440. [Google Scholar] [CrossRef]
- Zell, M.T.; Padden, B.E.; Paterick, A.J.; Thakur, K.A.M.; Kean, R.T.; Hillmyer, M.A.; Munson, E.J. Unambiguous determination of the 13C- and 1H-NMR stereosequence assignments of polylactide using high-resolution solution NMR spectroscopy. Macromolecules 2002, 35, 7700–7707. [Google Scholar] [CrossRef]
- Bero, M.; Kasperczyk, J.; Jedlinski, Z.J. Coordination polymerization of lactides, 1. Structure determination of obtained polymers. Macromol. Chem. Phys. 1990, 191, 2287–2296. [Google Scholar] [CrossRef]
- Bero, M.; Dobrzyński, P.; Kasperczyk, J. Synthesis of disyndiotactic polylactide. J. Polym. Sci. A. Polym. Chem. 1999, 37, 4038–4042. [Google Scholar] [CrossRef]
- Darensbourg, D.J.; Choi, W.; Karroonnirun, O.; Bhuvanesh, N. Ring-opening polymerization of cyclic monomers by complexes derived from biocompatible metals. Production of Poly(lactide), poly(trimethylene carbonate), and their copolymers. Macromolecules 2008, 41, 3493–3502. [Google Scholar] [CrossRef]
- Sample Availability: Samples of the synthesized compounds are available from the authors.
© 2015 by the authors. Licensee MDPI, Basel, Switzerland. This article is an open access article distributed under the terms and conditions of the Creative Commons by Attribution (CC-BY) license ( http://creativecommons.org/licenses/by/4.0/).