Abstract
In this article we describe a new methodology for the total synthesis of 3,4-unsubstituted coumarins from commercially available starting materials. Six examples were prepared, including five naturally occurring coumarins—7-hydroxy-6,8-dimethoxy-coumarin (isofraxidin), 7-hydroxy-6-methoxycoumarin (scopoletin), 6,7,8-trimethoxy-coumarin, 6,7-dimethoxycoumarin (scoparone), and 7,8-dihydroxycoumarin (daphnetin) and one synthetic coumarin, 7-hydroxy-6-ethoxycoumarin. Moreover, five important o-hydroxybenzaldehyde intermediates were also obtained, namely 2,4-dihydroxy-3,5-dimethoxybenzaldehyde, 2,4-dihydroxy-5-methoxybenzaldehyde, 5-ethoxy-2,4-dihydroxy-benzaldehyde, 2-hydroxy-3,4,5-trimethoxybenzaldehyde, and 2-hydroxy-4,5-dimethoxy-benzaldehyde. The method developed herein involves just three or four steps and allows for the rapid synthesis of these important molecules in excellent yields. This is the first synthesis of 6,7,8-trimethoxycoumarin and 7-hydroxy-6-ethoxycoumarin.
1. Introduction
Coumarins (2H-1-chromene-2-ones) are abundant in Nature and are common motifs found in drugs, dyes, spices, and agricultural chemicals. In particular, 3,4-unsubstituted coumarins are the most common naturally occurring coumarins, which show potential antimalarial [1], antioxidant [2,3,4,5,6], antimicrobial [7], anti-inflammatory [8], and antitumor [9,10,11] activity, however, their abundance in plants is very low and the purification processes are complex. Therefore, various methods have been developed for the total synthesis of coumarins [11,12,13,14,15,16,17,18,19,20,21,22], including the Perkin [23], Pechmann [24], and Knoevenagel reactions [25]. These reactions mostly lead to coumarins with substituents at the 3- or 4-position. A one-pot Wittig reaction/cyclization has been adopted by de Kimpe for the synthesis of 3,4-unsubstituted coumarins [26]. Herein, we report the highly efficient total synthesis of five naturally occurring coumarins, as well as a synthetic 3,4-unsubstituted coumarin (Figure 1). To the best of our knowledge, this is the first report on the total synthesis of coumarins 3 and 4.
Figure 1.
The structure of the synthesized coumarins.
Figure 1.
The structure of the synthesized coumarins.

2. Results and Discussion
Coumarins 1, 2, and 3 were synthesized from simple starting materials (Scheme 1). The hydroxyl group was protected using pivaloyl chloride [27] to give the corresponding products in 100% yield. These compounds were then iodinated in 80%, 77%, 80% yields, respectively, using N-iodo-succinimide [28,29], followed by hydrolysis using cuprous oxide, pyridine-2-aldoxime, tetrabutylammonium bromide, and cesium hydroxide [30]. The resulting o-hydroxybenzaldehydes were finally reacted with ethyl (triphenylphosphoranylidene) acetate in N,N-diethylaniline, forming coumarins 1, 2, and 3 as described above [26].
Scheme 1.
Syntheses of coumarins 1, 2, and 3.
Scheme 1.
Syntheses of coumarins 1, 2, and 3.

Reagents and conditions: (a) (CH3)3COCl, DMAP, Et3N, CH2Cl2; (b) 10 NIS, CF3COOH, CH3CN, reflux; 11,12 N-iodosuccinimide (NIS), CF3SO3H, MeOH; (c) CsOH, syn-2-pyridinealdoxime, Cu2O, Bu4NBr, N2, H2O; (d) (C6H5)3P=CHCOOCH2CH3, Et2NPh, N2, reflux.
It was envisaged that this method could be applied to the synthesis of 6,7-dimethoxy-8-hydroxycoumarin (34) and 5,6,7,8-tetrahydroxycoumarin (35) (Scheme 2).
Scheme 2.
Attempted syntheses of coumarins 34, 35.
Scheme 2.
Attempted syntheses of coumarins 34, 35.

Reagents and conditions: (a) 26 (CH3)3COCl, DMAP, Et3N, CH2Cl2; 27 MeSO4, K2CO3, CH3CN; (b) 28 NIS, CF3COOH, CH3CN, reflux; 29 NIS, CF3SO3H, MeOH; (c) CsOH, syn-2-pyridinealdoxime, Cu2O, Bu4NBr, N2, H2O.
Protection of the hydroxyl groups using pivaloyl chloride and iodination of the resulting compounds proceeded as expected, but hydrolysis of the iodo-compounds 30 and 31 failed to afford the desired products 32 and 33. It was presumed that both electronic effects and steric hindrance of the three methoxy groups and the hydroxyl group at the ortho position of 30 and 31 affected the success of these reactions.
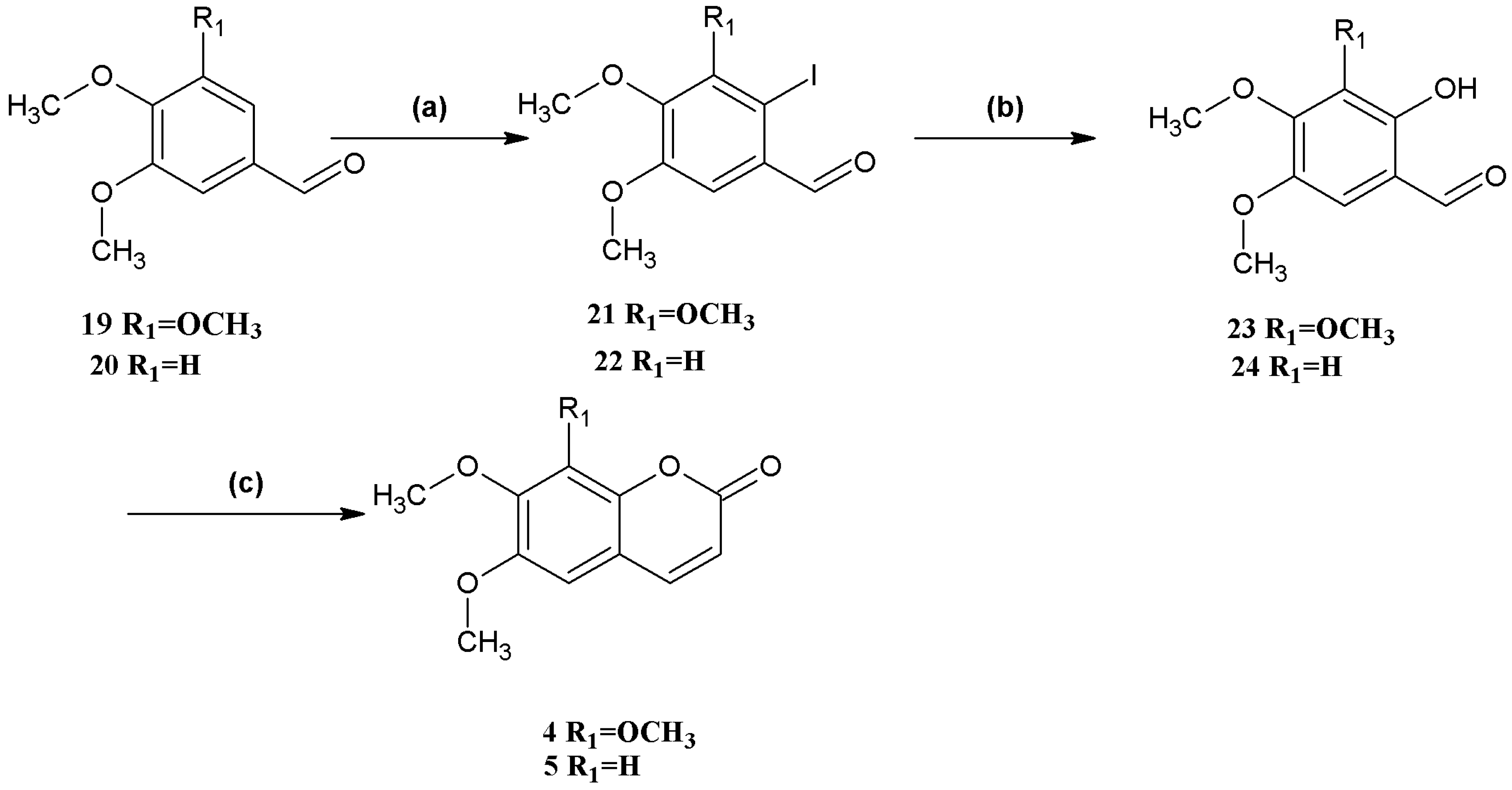
Synthesis of coumarins 4 and 5 (Scheme 3) began with the iodination of 3,4,5-trimethoxybenzaldehyde (19) and veratraldehyde (20), respectively, both in 99% yield. Hydrolysis of 2-iodo-3,4,5-trimethoxybenzaldehyde (21) and 2-iodo-4,5-dimethoxybenzaldehyde (22) afforded 2-hydroxy-3,4,5-trimethoxybenzaldehyde (23) and 2-hydroxy-4,5-dimethoxybenzaldehyde (24) in 83% and 85% yield, respectively. Finally, the o-hydroxybenzaldehydes 23 and 24 were converted to the corresponding coumarins 4 and 5. The overall yield of 4 and 5 was higher compared to that of compounds 1–3.
Scheme 3.
Syntheses of coumarins 4 and 5.
Scheme 3.
Syntheses of coumarins 4 and 5.

Reagents and conditions: (a) 19 NIS, CF3COOH, CH3CN, reflux; 20 NIS, CF3SO3H, MeOH; (b) CsOH, syn-2-pyridinealdoxime, Cu2O, Bu4NBr, N2, H2O; (c) (C6H5)3P=CHCOOCH2CH3, Et2NPh, N2, reflux.
Finally, daphnetin (6) was synthesized using the one-pot Wittig/cyclization reaction from commercially available 2,3,4-trihydroxybenzaldhyde in 65% yield (Scheme 4).
Scheme 4.
Synthetic procedures of coumarin 6.
Scheme 4.
Synthetic procedures of coumarin 6.

Reagents and conditions: (a) (C6H5)3P=CHCOOCH2CH3, Et2NPh, N2, reflux.
This result for daphnetin (6) was identical compared to the previously reported synthesis [26]. Similarly for scopoletin (2), the overall yield of 50.4% (for four steps) is comparable to that of the previously reported synthesis (52.8%) [24]. However, for isofraxidin (1) and scoparone (5), the yields of 57.6% and 77.4% are significantly higher compared to those obtained previously [23,25]. The key step in this novel method is the hydrolysis of the iodinated compound, as substituents on the phenyl group have a great influence on this reaction. Activating groups can reduce the probability of hydrolysis and steric hindrance at the ortho position also influences the reaction.
3. Experimental
All solvents and commercially available reagents were purchased from the suppliers and used without further purification. 1H-NMR and 13C-NMR spectra were recorded using Bruker DPX 500 (Bruker, Billerica, MA, USA) and 300 spectrometers, respectively. Spectra were recorded in CDCl3 and DMSO solutions and chemical shifts are reported in parts per million (ppm) relative to tetramethylsilane (TMS) as the standard. IR spectra were recorded on an Infinity Spectrum One spectrophotometer (Shimadzu, Kyoto, Japan). Mass spectra (Applied Biosystems, Toronto, Canada) were recorded on an Agilent 1100 Series VS (ES, 4000 V) mass spectrometer. Melting points were measured using a Büchi B-450 apparatus (Shanghaishenguang, Shanghai, China). Flash chromatography was performed with ACROS silica gel (particle size 0.030–0.040 mm, pore diameter ca. 6 nm) using a glass column.
3.1. General Procedure for the Synthesis of Coumarins 1–6
The appropriate o-hydroxybenzaldehyde (1 mmol) and ethyl(triphenylphosphoranylidene) acetate (1.2 mmol) were dissolved in N,N-diethylaniline (1.5 mL) and the resulting mixture was stirred under a N2 atmosphere and reflux for 15 min. The solvent was removed under reduced pressure (1 mmHg, 52 °C) and the resulting brown oil was purified by column chromatography (petroleum ether-ethyl acetate, 3:1).
7-Hydroxy-6,8-dimethoxy-2H-chromen-2-one (Isofraxidin, 1). Yellow solid. Yield: 80%. mp (°C): 147–148.5 (lit. 148–149) [13]. 1H-NMR (500 MHz, CDCl3): 3.95 (s, 3H, OCH3), 4.10 (s, 3H, OCH3), 6.16 (s, 1H, Ar), 6.29 (d, J = 9.5 Hz, 1H, 3-CH), 6.66 (s, 1H, OH), 7.60 (d, J = 9.5 Hz, 1H, 4-CH); 13C-NMR (75 MHz, CDCl3) 56.6 (OCH3), 61.2 (OCH3), 105.0 (C-5), 110.7 (C-4a), 112.5 (C-3), 135.2 (C-8), 143.5 (C-7), 144.5 (C-8a), 145.3 (C-4), 146.1 (C-6), 160.6 (C-2); IR (KBr, cm−1) 1699 (C=O), 1570 (C=C), 3327 (br, OH); HRMS (EI): m/z 223 [M+H+].
7-Hydroxy-6-methoxy-2H-chromen-2-one (Scopoletin, 2). Yellow solid. Yield: 85%. mp (°C): 202.7–204.4 (lit. 204) [15]. 1H-NMR (500 MHz, CDCl3): 3.82 (s, 3H, OCH3), 6.23 (d, J = 9.5 Hz, 1H, 3-CH), 6.79 (s, 1H, Ar), 7.23 (s, 1H, Ar), 7.92 (d, J = 9.5 Hz, 1H, 4-CH), 10.33 (s, 1H, OH); 13C-NMR (75 MHz, CDCl3) 56.4 (OCH3), 103.2 (C-8), 110.0 (C-5), 111.0 (C-3), 112.1 (C-4a), 144.9 (C-4), 145.7 (C-6), 150.0 (C-7), 151.6 (C-8a), 161.1 (C-2); IR (KBr, cm−1) 1558 (C=C), 1683 (C=O), 3334 (br, OH). HRMS (EI): m/z 193 [M+H+].
7-Hydroxy-6-ethoxy-2H-chromen-2-one (3). Yellow solid. Yield: 80%. mp (°C): 138.5–142.0. 1H-NMR (500 MHz, CDCl3): 1.37 (t, J = 7.0 Hz, 3H, CH3), 4.06 (q, J = 7.0 Hz, 2H, OCH2-), 6.23 (d, J 9.5 Hz, 1H, 3-CH), 6.81 (s, 1H, Ar), 7.90 (d, J = 9.5 Hz, 1H, 4-CH), 10.27 (s, 1H, CHO); 13C-NMR (75 MHz, CDCl3) 15.1 (CH3), 64.8 (-CH2O-), 103.2 (C-8), 111.0 (C-5), 111.2 (C-3), 112.1 (C-4a), 144.8 (C-4), 144.9 (C-6), 149.9 (C-7), 151.9 (C-8a), 161.1 (C-2); IR (KBr, cm−1) 1558 (C=C), 1699 (C=O), 1716, 3383 (br, OH);.HRMS (EI): m/z 207 [M+H+].
6,7,8-Trimethoxy-2H-chromen-2-one (Dimethylfraxetin, 4). Yellow solid. Yield: 81%. mp (°C): 103.8–104.5 (lit. 104–105) [31]. 1H-NMR (500 MHz, CDCl3): 3.91 (s, 3H, OCH3), 4.00 (s, 3H, OCH3), 4.04 (s, 3H, OCH3), 6.35 (d, J = 9.5 Hz,1H, 3-CH), 6.69 (s, 1H, Ar), 7.63 (d, J = 9.5 Hz, 1H, 4-CH); 13C-NMR (75 MHz, CDCl3) 56.3 (OCH3), 61.5 (OCH3), 61.8 (OCH3), 103.7 (C-5), 114.3 (C-4a), 115.2 (C-8), 141.2 (C-6), 143.1 (C-7), 143.5 (C-4), 145.9 (C-8), 150.1 (C-8a), 160.5 (C-2); IR (KBr, cm−1) 1566 (C=C), 1716 (C=O). HRMS (EI): m/z 237 [M+H+].
6,7-Dimethoxy-2H-chromen-2-one (Scoparone, 5). Yellow solid. Yield: 91%. mp (°C): 142.6–148.4 (lit. 145–146) [18]. 1H-NMR (500 MHz, CDCl3): 3.81 (s, 3H, OCH3), 3.87 (s, 3H, OCH3), 6.30 (d, J = 9.5 Hz, 1H, 3-CH), 7.07 (s, 1H, Ar), 7.25 (s, 1H, Ar), 7.955 (d, J = 9.5 Hz, 1H, 4-CH); 13C-NMR (75 MHz, CDCl3) 56.3 (OCH3), 56.6 (OCH3), 100.5 (C-8) 109.3 (C-5), 111.6 (C-4a), 113.1 (C-3), 144.8 (C-6), 146.3 (C-4), 149.9 (C-8a), 153.0 (C-7), 161.0 (C-2); IR (KBr, cm−1) 1516 (C=C), 1558, 1708 (C=O), 1616, 3566 (br, OH). HRMS (EI): m/z 207 [M+H+].
7,8-Dihydroxy-2H-chromen-2-one (Daphnetin, 6). Yellow solid. Yield: 65%. mp (°C): 265.7–267.2 (lit. 265−268) [21]. 1H-NMR (500 MHz, CDCl3): 6.20 (d, J = 6.5 Hz, 1H, 3-CH), 6.81 (s, 1H, Ar), 7.03 (s, 1H, Ar), 7.91 (d, J = 7.0 Hz, 1H, 4-CH), 9.79 (d, J = 7.0 Hz, 1H, OH), 9.80 (d, J =7.0Hz, 1H, OH); 13C-NMR (75 MHz, CDCl3) 111.7 (C-3), 112.5 (C-4a), 112.9 (C-6), 119.3 (C-5), 132.6 (C-8), 144.2 (C-8a), 145.6 (C-4), 150.1 (C-7), 160.9 (C-2); IR (KBr, cm−1) 1674 (C=O), 1508 (C=C), 1589. HRMS (EI): m/z 179 [M+H+].
3.2. General Procedure for the Synthesis of Compounds 10–12
The corresponding phenol (3 mmol) was dissolved in dichloromethane (5 mL) and 4-dimethylamiopyridine (0.1 mmol) was added. The reaction was stirred for 0.5 h before addition of pivaloyl chloride (6 mmol) followed by dropwise addition of triethylamine (6 mmol). The reaction mixture was stirred at room temperature for 2 h. The reaction solution was poured into dichloromethane (100 mL) and washed with saturated sodium chloride solution (2 × 100 mL) and saturated sodium bicarbonate solution (2 × 100 mL). The organic phase was collected, dried over anhydrous magnesium sulfate, and filtered, and then the solvent was removed in vacuo to obtain compounds 10–12.
4-Formyl-2,6-dimethoxyphenyl-2,2-dimethylpropanoate (10, C14H18O5). Yellow solid. Yield 100%. mp (°C): 108–110.9. 1H-NMR (CDCl3, 500 MHz): 1.39 (s, 9H, C(CH3)3), 3.88 (s, 6H, OCH3), 7.14 (s, 2H, Ar), 9.91 (s, 1H, CHO); 13C-NMR (75 MHz, CDCl3) 27.2 (CH3), 29.7 (CH3), 39.2 (CC=O), 56.37 (2 × OCH3), 106.2 (C-3,5) 134.1 (C-1), 134.4 (C-4), 153.0 (C-2,6), 175.8 (C=O), 191.2 (CHO); IR (KBr, cm−1) 1751 (C=O), 1691, 1608; MS (EI): m/z 267 [M+H+].
4-Formyl-2-methoxyphenyl-2,2-dimethylpropanoate (11, C13H16O4). White solid. Yield: 100%. mp (°C): 83.8–95.0. 1H-NMR (500 MHz, CDCl3): 1.38 (s, 9H, C(CH3)), 3.88 (s, 3H, OCH3), 7.19 (d, J = 7.5Hz, 1H, Ar), 7.46 (s, 1H, Ar), 7.48 (d, J = 7.5 Hz, 1H, Ar), 9.95 (s, 1H, CHO); 13C-NMR (75 MHz, CDCl3) 27.2 (3 × CH3), 39.2(CC=O), 56.1 (OCH3), 110.8 (C-2), 123.4 (C-6), 124.8 (C-5), 135.1 (C-1), 145.6 (C-4), 152.1 (C-3), 176.1 (-COO-), 191.2 (CHO); IR (KBr, cm−1) 1689 (C=O), 1749. MS (EI): m/z 237 [M+H+].
2-Ethoxy-4-formylphenyl-2,2-dimethylpropanoate (12, C14H18O4). White solid. Yield: 100%. mp (°C): 83.8–85.3. 1H-NMR (500 MHz, CDCl3): 1.38 (s, 9H, C(CH3)3), 1.41 (d, J = 7.0 Hz, 3H, CH3), 4.10 (t, J = 7.0 Hz, 2H, OCH2-), 7.19 (d, J = 8.5 Hz, 1H, Ar), 7.46 (s, 1H, Ar), 7.46 (d, J = 7.0 Hz, 1H, Ar), 9.93 (s, 1H, CHO); 13C-NMR (75 MHz, CDCl3) 14.6 (CH3), 27.2 (CH3), 39.2 (CC=O), 64.5 (-OCH2-), 111.4 (C-2), 123.3 (C-6), 124.6 (C-5), 135.0 (C-1), 145.6 (C-4), 151.4 (C-3), 176.0 (C=O), 191.2 (CHO); IR (KBr, cm−1) 1699 (C=O), 1602; MS (EI): m/z 251 [M+H+].
3.3. General Procedure for the Synthesis of 13, 21, 22.
The appropriate benzaldehyde (3 mmol) was dissolved in acetonitrile (5 mL) and N-iodosuccinimide (6 mmol) was added. Trifluoroacetic acid (0.3 μmol) was then added dropwise and the reaction mixture was heated under reflux for 6 h. After cooling to room temperature, the reaction solution was quenched by the addition of sodium sulfite (3 mmol) and stirred for five minutes. Subsequently, CH2Cl2 (100 mL) was added and the solution was extracted with saturated sodium chloride solution (3 × 100 mL). The organic phase was collected, dried over anhydrous magnesium sulfate, and filtered, and the solvent was removed in vacuo. Column chromatography (petroleum ether-ethyl acetate, 40:1) afforded the corresponding iodinated compound.
4-Formyl-3-iodo-2,6-dimethoxyphenyl-2,2-dimethylpropanoate (13, C14H17O5). Yellow solid. Yield: 80%. mp (°C): 100.7–102.5. 1H-NMR (500 MHz, CDCl3): 1.40 (s, 9H, C(CH3)3), 3.86 (s, 3H, OCH3), 3.85 (s, 3H, OCH3), 7.37 (s, 1H, Ar), 10.08 (s, 1H, CHO); 13C-NMR (75 MHz, CDCl3) 27.1 (CH3), 39.3 (CC=O), 56.5 (OCH3), 61.5 (OCH3), 90.3 (C-2), 108.6 (C-6), 133.0 (C-4), 139.0 (C-1), 153.0 (C-5), 152.3 (C-3), 175.3 (C=O), 191.0 (C=O), 195.2 (C=O); IR (KBr, cm−1) 1691 (C=O), 1759; MS (EI): m/z 393 [M+H+].
2-Iodo-3,4,5-trimethoxybenzaldehyde (21, C10H11O3). Yellow solid. Yield: 99%. mp (°C): 67.6–68.1. 1H-NMR (500 MHz, CDCl3): 3.97 (s, 3H, OCH3), 3.92 (s, 3H, OCH3), 3.91 (s, 3H, OCH3), 7.35 (s, 1H, OCH3), 10.05 (s, 1H, CHO); 13C-NMR (75 MHz, CDCl3) 61.2 (OCH3), 61.0 (OCH3), 56.3 (OCH3), 91.6 (C-2), 108.6 (C-6), 130.6 (C-1), 147.8 (C-4), 153.0 (C-5), 154.1 (C-3), 195.3 (CHO); IR (KBr, cm−1) 1687 (C=O); MS (EI): m/z 323 [M+H+].
2-Iodo-4,5-dimethoxybenzaldehyde (22, C9H9O2). Yellow solid. Yield: 99%. mp (°C):: 145.1–145.5. 1H-NMR (500 MHz, CDCl3): 3.92 (s, 3H, OCH3), 3.96 (s, 3H, OCH3), 7.31 (s, 1H, Ar), 7.42 (s, 1H, Ar), 9.87 (s, 1H, Ar); 13C-NMR (75 MHz, CDCl3) 56.1 (OCH3), 56.5 (OCH3), 92.8 (C-4), 111.1 (C-5), 121.8 (C-1), 128.4 (C-6), 149.8 (C-3), 154.5 (C-2), 194.9 (CHO); IR (KBr, cm−1) 1672 (C=O); MS (EI): m/z 293 [M+H+].
3.4. General Procedure for the Synthesis of 14 and 15
The appropriate benzaldehyde (3 mmol) was dissolved in methanol (20 mL) and N-iodosuccinimide (6 mmol) was added. Trifluoromethanesulfonic acid (6 mmol) was then added dropwise and the reaction mixture was stirred at room temperature for 6 h. The reaction was quenched by the addition of sodium sulfite and the reaction mixture was stirred for five minutes. Subsequently, dichloromethane (100 mL) was added and the solution was extracted with saturated sodium chloride solution (3 × 100 mL). The organic phase was collected, dried over anhydrous magnesium sulfate, and filtered; then, the solvent was removed in vacuo. Column chromatography (petroleum ether-ethyl acetate, 40:1) afforded the corresponding iodinated compound.
4-Formyl-5-iodo-2-methoxyphenyl-2,2-dimethylpropanoate (14, C13H15O4). Yellow solid. Yield: 77%. mp (°C): 98.4. 1H-NMR (500 MHz, CDCl3): 1.36 (s, 9H, C(CH3)3), 3.86 (s, 3H, OCH3), 7.50 (s, 1H, Ar), 7.58 (s, 1H, Ar), 9.96 (s, 1H, CHO); 13C-NMR (75 MHz, CDCl3) 27.1 (3 × CH3), 39.2 (CC=O), 56.2 (OCH3), 89.6 (C-2), 112.7 (C-6), 133.2 (C-3), 134.1 (C-1), 145.7 (C-4), 152.3 (C-5), 175.7 (-COO-), 194.9 (CHO); IR (KBr, cm−1) 1693 (C=O), 1751; MS (EI): m/z 363 [M+H+].
2-Ethoxy-4-formyl-5-iodophenyl-2,2-dimethylpropanoate (15, C14H17O4). Yellow solid. Yield: 80%. mp (°C): 81.7–83.8. 1H-NMR (500 MHz, CDCl3): 1.37 (s, 9H, C(CH3)3), 1.39 (t, J = 7.0 Hz, 3H, -CH3), 4.08 (q, J = 7.0 Hz, 2H, OCH2-), 7.47 (s, 1H, Ar), 7.58 (s, 1H, Ar), 9.95 (s, 1H, CHO); 13C-NMR (75 MHz, CDCl3) 14.5 (CH3), 27.1 (CH3), 39.2 (CC=O), 64.7 (-OCH2-), 89.4 (C-2), 113.3 (C-6), 133.1 (C-3), 134.0 (C-1), 145.8 (C-4), 151.6 (C-5), 175.7 (C=O), 195.0 (CHO); IR (KBr, cm−1) 1685 (C=O), 1759; MS (EI): m/z 377 [M+H+].
3.5. General Procedure for the Synthesis of 16–18, 23 and 24
To the appropriate iodinated compound (2 mmol) was added Cu2O (0.1 mmol), pyridine-2-aldoxime (0.2 mmol), tetrabutylammonium bromide (0.4 mmol), cesium hydroxide monohydrate (10 mmol), and water (2 mL) and the mixture was stirred under N2 atmosphere for 10 h. The reaction mixture was acidified to pH 5–7 with 1 M hydrochloric acid. The aqueous layer was extracted with dichloromethane (3 × 100 mL). The organic phases were combined, dried over anhydrous magnesium sulfate, and filtered; the solvent was then removed in vacuo. Column chromatography (petroleum ether-ethyl acetate: 20:1) afforded the corresponding phenol.
2,4-Dihydroxy-3,5-dimethoxybenzaldehyde (16, C9H10O5). Yellow solid. Yield: 90%. mp (°C): 87.5–89.8. 1H-NMR (500 MHz, CDCl3): 3.91 (s, 3H, OCH3), 4.01 (s, 3H, OCH3), 6.41 (s, 1H, Ar), 6.75 (s, 1H, OH), 9.70 (s, 1H, OH), 11.30 (s, 1H, CHO); 13C-NMR (75 MHz, CDCl3) 56.6 (OCH3), 60.9 (OCH3), 108.9 (C-6), 112.9 (C-1), 134.6 (C-3), 141.2 (C-4), 146.9 (C-2), 151.6 (C-5), 194.6 (CHO); IR (KBr, cm−1) 3350 (br, OH), 1650 (C=O); MS (EI): m/z 199 [M+H+].
2,4-Dihydroxy-5-methoxybenzaldehyde (17, C8H8O4). Yellow solid. Yield: 77%. mp (°C): 152.1−153.2. 1H-NMR (500 MHz, CDCl3): 3.92 (s, 3H, OCH3), 6.41 (s, 1H, Ar), 6.53 (s, 1H, Ar), 6.89 (s, 1H, OH), 9.68 (s, 1H, OH), 11.34 (s, 1H, CHO); 13C-NMR (75 MHz, CDCl3) 56.5 (OCH3), 103.2 (C-3), 112.9 (C-1), 113.3 (C-6), 140.7 (C-5), 154.4 (C-4), 159.6 (C-2), 193.8 (CHO); IR (KBr, cm−1) 3292 (br, OH), 1635 (C=O); MS (EI): m/z 169 [M+H+].
5-Ethoxy-2,4-dihydroxybenzaldehyde (18, C9H10O4). Yellow solid. Yield: 77%. mp (°C): 131.8−134.4. 1H-NMR (500 MHz, CDCl3): 1.47 (t, J = 7.0 Hz, 3H, CH3), 4.12 (q, J = 7.0 Hz, 2H, OCH2-), 6.49 (s, 1H, Ar), 6.53 (s, 1H, Ar), 6.88 (s, 1H, OH), 9.65 (s, 1H, OH), 11.33 (s, 1H, CHO); 13C-NMR (75 MHz, CDCl3) 14.8 (CH3), 65.3 (-CH2O), 103.1 (C-3), 113.3 (C-1), 113.9 (C-6), 139.9 (C-5), 154.6 (C-4), 159.5 (C-2), 193.8 (CHO); IR (KBr, cm−1) 1627 (C=O), 1699, 3367 (br, OH); MS (EI): m/z 183 [M+H+].
2-Hydroxy-3,4,5-trimethoxybenzaldehyde (23, C10H12O4). Yellow solid. Yield: 83%. mp (°C): 46.0–46.6. 1H-NMR (500 MHz, CDCl3): 3.87 (s, 3H, OCH3), 3.94 (s, 3H, OCH3), 4.05 (s, 3H, OCH3), 6.78 (s, 1H), 9.78 (s, 1H, OH), 11.01 (s, 1H, CHO); 13C-NMR (75 MHz, CDCl3) 61.4 (OCH3), 61.1 (OCH3), 56.5 (OCH3), 109.2 (C-6), 115.2 (C-1), 141.0 (C-3), 146.3 (C-4), 150.3 (C-2), 151.8 (C-5), 194.9 (CHO); IR (KBr, cm−1) 1641 (C=O), 3240 (br, OH); MS (EI): m/z 213 [M+H+].
2-Hydroxy-4,5-dimethoxybenzaldehyde (24, C9H10O3). Yellow solid. Yield: 85%. mp (°C): 105.5–112.8. 1H-NMR (500 MHz, CDCl3): 3.88 (s, 3H, OCH3), 3.94 (s, 3H, OCH3), 6.48 (s, 1H, Ar), 6.91 (s, 1H, Ar), 9.71 (s, 1H, OH), 11.40 (s, 1H, CHO); 13C-NMR (75 MHz, CDCl3) 56.4 (OCH3), 56.4 (OCH3), 100.1 (C-3), 112.9 (C-1), 113.2 (C-6), 143.0 (C-5), 157.2 (C-2), 159.4 (C-4), 194.0 (CHO); IR (KBr, cm−1) 1624 (C=O), 3446 (br, OH); MS (EI): m/z 183 [M+H+].
4. Conclusions
A novel method for the total synthesis of six coumarins and five important intermediates has been developed. In most cases, the overall yields of these products are higher than those previously reported. Furthermore, this is the first reported total synthesis of 7-hydroxy-6-ethoxycoumarin (3) and 6,7,8-trimethoxycoumarin (4). All of these coumarins and advanced intermediates will be evaluated for their activity, and the results will be reported in due course.
Acknowledgments
This work was financially supported by Fundamental Research Funds for the Central Universities (DL12EA01) and the Heilongjiang Postdoctoral Scientific Research Fund (LBH-Q11182).
Conflicts of Interest
The authors declare no conflict of interest.
References
- Cubukcu, B.; Bray, D.H.; Warhurst, D.C.; Mericli, A.H.; Ozhatay, N.; Sariyar, G. In vitro antimarlarial activity of crude extracts and compounds from Artemisia abrotanum L. Phytother. Res. 1990, 4, 203–204. [Google Scholar] [CrossRef]
- Huang, H.-Y.; Ko, H.-H.; Jin, Y.-J.; Yang, S.-Z.; Shih, Y.-A.; Chen, I.-S. Dihydrochalcone glucosides and antioxidant activity from the roots of Anneslea fragrans var. lanceolata. Phytochemistry 2012, 78, 120–125. [Google Scholar] [CrossRef]
- Shafiullah, K.; Naheed, R.; Nighat, A.; Abdul, M.; Aziz-ur-Rehmana; Lubna, I.; Mehreen, L. Antixoidant constituent from Cotoneaster racemiflora. J. Asian Nat. Prod. Res. 2009, 11, 44–48. [Google Scholar] [CrossRef]
- Shaw, C.-Y.; Chen, C.-H.; Hsu, C.-C.; Chen, C.-C.; Tsai, Y.-C. Antioxidant properties of scopoletin isolated from Sinomonium acutum. Phytother. Res. 2003, 17, 823–825. [Google Scholar] [CrossRef]
- Thuong, P.T.; Hung, T.M.; Ngoc, T.M.; Ha, D.T.; Min, B.S.; Kwack, S.J.; Kang, T.S.; Choi, J.S.; Bae, K. Antioxidant activity of coumarins from Korean medicinal plants and their structure-activity relationships. Phytother. Res. 2010, 24, 101–106. [Google Scholar] [CrossRef]
- Deianaa, M.; Rosaa, A.; Casua, V.; Cottigliab, F.; Bonsignoreb, L.; Dessìa, M.A. Chemical composition and antioxidant activity of extracts from Daphne gnidium L. J. Am. Oil Chem. Soc. 2003, 80, 65–70. [Google Scholar] [CrossRef]
- Smyth, T.; Ramachandran, V.N.; Smyth, W.F. A study of the antimicrobial activity of selected naturally occurring and synthetic coumarins. Int. J. Antimicrob. Ag. 2009, 33, 421–426. [Google Scholar] [CrossRef]
- Niu, X.; Xing, W.; Li, W.; Fan, T.; Hu, H.; Li, Y. Isofraxidin exhibited anti-inflammatory effects in vivo and inhibited TNF-α production in LPS-induced mouse peritoneal macrophages in vitro via the MAPK pathway. Int. Immunopharmacol. 2012, 14, 164–171. [Google Scholar] [CrossRef]
- Jiménez-Orozco, F.A.; Rosales, A.A.R.; Vega-López, A.; Domínguez-López, M.L.; García-Mondragón, M.J.; Maldonado-Espinoza, A.; Lemini, C.; Mendoza-Patiño, N.; Mandoki, J.J. Differential effects of esculetin and daphnetin on in vitro cell proliferation and in vivo estrogenicity. Eur. J. Pharmacol. 2011, 668, 35–41. [Google Scholar] [CrossRef]
- Liu, H.; Li, Z.; Yu, L.; Zhang, Y. Antitumor activity and mechanisms of scoparone. J. Zhong Guo Yao Li Tong Xun 2005, 22, 40–41. [Google Scholar]
- Liu, W.; Hua, J.; Zhou, J.; Zhang, H.; Zhu, H.; Cheng, Y.; Gust, R. Synthesis and in vitro antitumor activity of novel scopoletin derivatives. Bioorg. Med. Chem. Lett. 2012, 22, 5008–5012. [Google Scholar] [CrossRef]
- Rouesac, F.; Leclerc, A. An efficient synthesis of isofraxidin. Synth. Commun. 1993, 23, 1147–1153. [Google Scholar] [CrossRef]
- Chen, W. Total synthesis of isofraxidin. Chin. J. Med. Chem. 1996, 6, 269–271. [Google Scholar]
- Chen, W.A. Convenient total synthesis of isofraxidin, a natural coumarin. Indian J. Chem. Sect. B Org. Chem. Incl. Med. Chem. 1996, 35, 1085–1087. [Google Scholar]
- Demyttenaere, J.; Syngel, K.V.; Markusse, A.P.; Vervisch, S.; Debenedetti, S.; de Kimpe, N. Synthesis of 6-methoxy-4H-1-benzopyran-7-ol, a character donating component of the fragrance of Wisteria sinensis. Tetrahedron 2002, 58, 2163–2166. [Google Scholar] [CrossRef]
- Crosby, D.G. Improved synthesis of scopoletin. J. Org. Chem. 1961, 26, 1215–1217. [Google Scholar] [CrossRef]
- Hauer, H.; Ritter, T.; Grotemeier, G. An improved and large scale synthesis of the natural coumarin scopoletin. Arch. Pharm. 1995, 328, 737–738. [Google Scholar] [CrossRef]
- Hao, S.; Zong, G.; Wei, Y.; Meng, Z. Synthesis and pesticidal activity of 6,7-dimethoxy coumarin. J. Qingdao Agric. Univ. 2007, 24, 241–244. [Google Scholar]
- Zhang, S.; Ma, J.; Chen, S.; Li, H.; Xin, J. Improved synthesis techniques of 6,7-dimethoxy coumarin. J. Hebei Univ. Sci. Technol. 2007, 28, 24–28. [Google Scholar]
- Tanaka, H.; Kato, I.; Ito, K. Total synthesis of daphnetin, a coumarin lignold. Chem. Pharm. Bull. 1986, 34, 628–632. [Google Scholar] [CrossRef]
- Ahmed, B.; Khan, S.A.; Alam, T. Synthesis and antihepatotoxic activity of some heterocyclic compounds containing the 1,4-dioxane ring system. Pharmazie 2003, 58, 173–176. [Google Scholar]
- Curini, M.; Epifano, F.; Maltese, F.; Marcotullio, M.C.; Gonzales, S.P.; Rodriguez, C. Synthesis of collinin an antiviral coumarin. Aust. J. Chem. 2003, 56, 59–60. [Google Scholar] [CrossRef]
- Aslam, K.; Khosa, M.K.; Jahan, N.; Nosheen, S. Synthesis and application of coumarin. Pak. J. Pharm. 2010, 23, 449–454. [Google Scholar]
- Mahesh, K.P.; Swapnil, S.M.; Manikrao, M.S. Coumarin synthesises via Pechmann condensation in Lewis acidic chloroaluminate ionic liquid. Tetrahedron Lett. 2001, 42, 9285–9287. [Google Scholar] [CrossRef]
- Shaabani, A.; Ghadari, R.; Rahmati, A.; Rezayan, A.H. Coumarin synthesis via Knoevenagel Condensation Reation in 1,1,3,3-N,N,N'N'-tetramethylguanidinium trifluoroacetate ionic liquid. J. Iran Chem. Soc. 2009, 6, 710–714. [Google Scholar] [CrossRef]
- Harayama, T. Synthtic studies on aromatic heterocyclic compounds. Pharm. Soc. Japan 2006, 126, 543–564. [Google Scholar]
- Kraus, G.A.; Cui, W.; Seo, Y.H. The reaction of Aryl triflates and Aryl pivalates with electrophiles. The triflate as a meta-directing group. Tetrahedron Lett. 2002, 43, 7077–7078. [Google Scholar] [CrossRef]
- Castanet, A.-S.; Colobert, F.; Broutin, P.-E. Mild and regioselective iodination of electron-rich aromatics with N-iodosuccinimide and catalytic trifluoroacetic acid. Tetrahedron Lett. 2002, 43, 5047–5048. [Google Scholar] [CrossRef]
- Olah, G.A.; Wang, Q.; Sandford, G.; Surya, P.G.K. Iodination of deactivated aromatics with N-iodosuccinimide in trifluoromethanesulfonic acid (NIS-CF3SO3H) via in situ generated superelectrophilic iodine (I) trifluoromethanesulfonate. J. Org. Chem. 1993, 58, 3194–3195. [Google Scholar] [CrossRef]
- Yang, D.; Fu, H. A simple and practical copper-catalyzed approach to substituted phenols from Aryl halides by using water as the solvent. Chem. Eur. J. 2010, 16, 2366–2370. [Google Scholar] [CrossRef]
- Qi, S.; Wu, D.; Luo, X. Coumarins and ellagic acids from sapium chihsinianum S. Lee. Nat. Prod. Res. Dev. 2004, 16, 297–299. [Google Scholar]
- Sample Availability: Samples of the compounds 1–6 are available from the authors.
© 2013 by the authors; licensee MDPI, Basel, Switzerland. This article is an open access article distributed under the terms and conditions of the Creative Commons Attribution license (http://creativecommons.org/licenses/by/3.0/).