Abstract
Hydrazonyl bromides 2a,b reacted with active methylene compounds (dibenzoylmethane, acetylacetone, ethyl acetoacetate, phenacyl cyanide, acetoacetanilide, ethyl cyanoacetate, cyanoacetamide and malononitrile) to afford the corresponding 1,3,4,5-tetrasubstituted pyrazole derivatives 5-12a,b. Reaction of 12a,b with formamide, formic acid and triethyl orthoformate give the pyrazolo[3,4-d]pyrimidine, pyrazolo[3,4-d]pyrimidin-4(3H)one and 5-ethoxymethylene-aminopyrazole-4-carbo-nitrile derivatives 13-15a,b, respectively. Compounds 15a,b reacted with benzhydrazide and hydrazine hydrate to afford pyrazolo[4,3-e][1,2,4]triazolo[1,5-c]pyrimidine and [4-iminopyrazolo-[3,4-d]pyrimidin-5-yl]amine derivatives 16a,b and 17a,b. Reactions of compounds 17a,b with triethyl orthoformate and carbon disulfide give the corresponding pyrazolo[4,3-e]-[1,2,4]triazolo[1,5-c]pyrimidine derivatives 18a,b and 19a,b, respectively.
Introduction
Pyrazole and fused heterocyclic pyrazole derivatives constute an interesting class of heterocycles due to their synthetic versatility and effective biological activities [1,2,3]. Pyrazolo[3,4-d]pyrimidine derivatives have been found to possess antitumor and antileukemia activity [4,5,6,7], pyrazolo[4,3-e]-1,2,4-triazolo[1,5-c]pyrimidine derivatives have been found to be highly potent and selective human A3 [8,9,10,11], A2A [10] and A 2B [11] adenosine receptor antagonists. On the other hand, hydrazonyl halides have been shown to be biologically active depending on the nature of the groups on the carbon and nitrogen atoms. For example, C-acetyl and C-ethoxyhydrazonyl halides were reported to be active against red spider mites on beans and apple trees [12], whereas their C-aryl and C-aroyl analogues exhibit antiviral and antimicrobial [13] properties and C-alkylmethanohydrazonyl halides possess miticidal, insecticidal and herbicidal properties [14]. Moreover, many selectively fluoro-substituted organic compounds show peculiar pharmacological and agrOCHemical properties [15,16,17,18,19,20]. In continuation of our work concerning the preparation of hydrazonyl halides [21,22,23] and their reactions in the synthesis of heterocyclic compounds [24,25,26,27], we decided here, on one hand, to synthesize C-(4-fluorophenyl)- [28], and C-(2,4-dichlorophenyl)-N-(4-nitrophenyl)methanohydrazonyl bromides [29], which have received very little attention [29,30], surmising that both might have biological activity, and, on the other hand, to synthesize some new heterocyclic derivatives with anticipated biological activity.
Results and Discussion
Reaction of hydrazonyl bromides 2a,b with dibenzoylmethane in sodium ethoxide solution at room temperature gave, as the sole separable product, 3-aryl-4-benzoyl-1-(4-nitrophenyl)-5-phenylpyrazoles 5a,b (Scheme 1).
Scheme 1.
Scheme 1.

The assignments of the structures of products 5a,b were based on their correct elemental analyses and spectroscopic data. Their 1H-NMR spectra revealed only the expected aromatic proton multiplet signals at δ 7.1-8.4 ppm. The IR spectra of each product showed two characteristic absorption bands at 1644-1650 cm-1 and 1593-1594 cm-1, assignable to a conjugated benzoyl carbonyl and C=N groups, respectively.
Compound 5a was also obtained when the nitrilimine 3a [generated in situ from the reaction of triethylamine with hydrazonyl bromide 2a] was reacted with dibenzoylmethane in tetrahydrofuran. This finding supports the mechanism suggested earlier for a similar reaction [29], whereby the carbanion – acting as a base – reacts with the hydrazonyl bromide to form a nitrilimine dipole 3, which adds to the enol tautomers of the active methylene compounds used to form 4, which then loses one molecule of water to give the pyrazole product.
Acetylacetone, ethyl acetoacetate, phenacyl cyanide, acetoacetanilide reacted with 2a,b under similar reaction conditions and gave the corresponding pyrazole derivatives 6-9, respectively (Scheme 1). Similarly, 2a,b reacted with ethyl cyanoacetate and cyanoacetamide to give ethyl 5-amino-3-aryl-1-(4-nitrophenyl)pyrazole-4-carboxylates 10a,b and 5-amino-3-aryl-1-(4-nitrophenyl)-pyrazole-4-carboxamide derivatives 11a,b, respectively (Scheme 2). The structures were confirmed by the correct elemental analyses (Table 2) and spectroscopic data (Table 3).
Scheme 2.
Scheme 2.

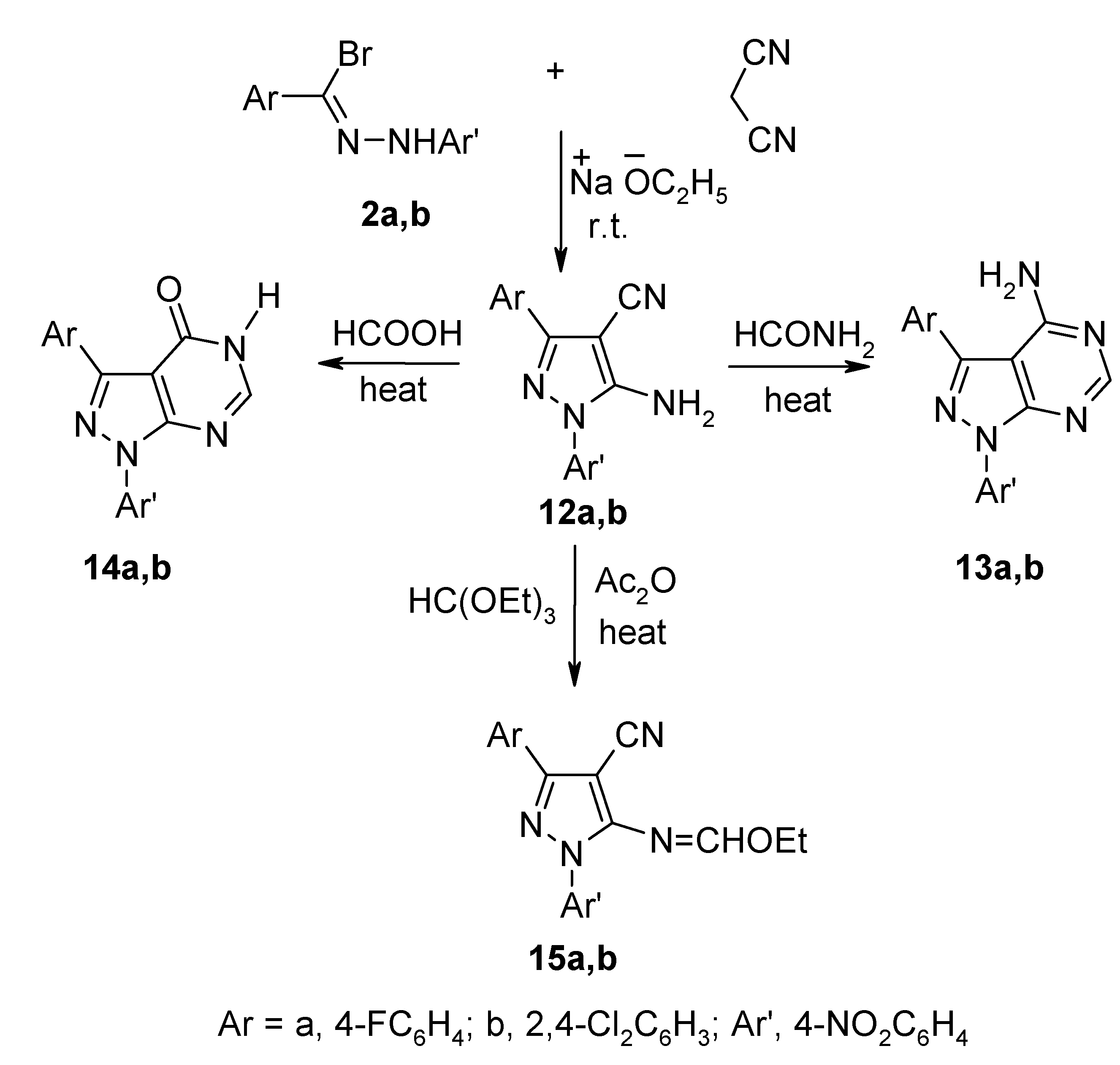
In addition, treatment of 2a,b with malononitrile in the presence of sodium ethoxide afforded the 5-aminopyrazole-4-carbonitrile derivatives 12a,b (Scheme 3). The structural assignments of these products were based on their elemental analyses and spectral data. Their IR spectra showed absorption bands near υ 3420-3300 cm-1, assignable to the NH2 stretching vibrations and a characteristic band near υ 2210 cm‑1, corresponding to a C≡N linkage. Their 1H-NMR spectra showed a characteristic signal near δ 6.80 ppm, assignable to the NH2 protons. The proposed structures of 12a,b were also supported by their chemical reactivity. Thus, since they contain a β–enaminonitrile moiety, which is well known to be highly reactive, they were used as intermediates for the synthesis of new pyrazolo[3,4-d]pyrimidine derivatives. Refluxing compounds 12a,b with excess formamide and formic acid gave the corresponding 4-amino-3-aryl-1-(4-nitrophenyl)pyrazolo[3,4-d]pyrimidine derivatives 13a,b and 3-aryl-1-(4-nitrophenyl)pyrazolo[3,4-d]pyrimidin-4-one derivatives 14a,b, respectively (Scheme 3). The IR spectra of 13 and 14 displayed no cyano group absorptions.
Scheme 3.
Scheme 3.

The condensations of compounds 12a,b with triethyl orthoformate at reflux afforded the corresponding 5-ethoxymethyleneaminopyrazole-4-carbonitrile derivatives 15a,b, respectively (Scheme 3). The confirmation of these structures was based on their analytical (Table 2) and spectroscopic data (Table 3). The structures of 15a,b were further confirmed by their reactions with benzhydrazide and hydrazine hydrate. Thus, treatment with benzhydrazide in tetrahydrofuran at reflux temperature afforded 16a,b (Scheme 4). The IR spectra of the products confirmed the disappearance of the nitrile absorption bands. The 1H-NMR spectra showed in each case a signal at δ 8.5 ppm, corresponding to the pyrimidine proton. Furthermore, when compounds 15a,b were reacted with hydrazine hydrate in tetrahydrofuran at ambient temperature they produced the corresponding [3-aryl-4-imino-1-(4-nitrophenyl)-1,4-dihydro-5H-pyrazolo[3,4-d]pyrimidin-5-yl]amine derivatives 17a,b (Scheme 4). The structures proposed for these products were established from their correct elemental analyses (Table 2) and spectroscopic data (Table 3). Their IR spectra revealed the absence of nitrile absorption frequencies. The 1H-NMR spectra for 17a,b showed signals at δ 8.4 ppm, corresponding to the pyrimidine proton, and 5.0 ppm, assignable to the NH2 protons. The 13C-NMR spectrum of 17b was also compatible with the proposed structure.
Further confirmation of the structures of 17a,b was achieved from their reactions with triethyl orthoformate and carbon disulfide. Thus, refluxing compounds 17a,b in an excess of triethyl orthoformate gave products 18a,b, which were identified on the basis of correct elemental analyses and spectroscopic data as 9-aryl-7-(4-nitrophenyl)pyrazolo[4,3-e][1,2,4]-triazolo[1,5-c]pyrimidine derivatives (Scheme 4). The IR spectra of 18a,b displayed no absorption bands for the NH and NH2 groups, which were observable in compounds 17a,b. The 1H-NMR spectra showed signals near δ 9.7-9.8 and 9.4-9.5 ppm, assignable to the pyrimidine and the triazole proton, respectively. In addition, refluxing compounds 17a,b with carbon disulfide and potassium hydroxide in ethanol gave 19a,b, which were identified as 9-aryl-7-(4-nitrophenyl)pyrazolo[4,3-e][1,2,4]triazolo[1,5-c]pyrimidine-2-thione derivatives (Scheme 4). The structures of the compounds produced were established by spectroscopic data. The IR spectra revealed absorption bands corresponding to the NH and C=S functions near 3421.1 or 3422.4 and 1240 cm-1, respectively. The 1H-NMR spectra exhibited two singlets at δ 9.2 and 9.8 ppm, representing the protons of the pyrimidine and NH. Also, the mass spectra of all prepared compounds were compatible with the proposed structures (Table 3).
Scheme 4.
Scheme 4.

Antimicrobial Activity
Some of the prepared compounds (namely 2a,b, 6a, 9b, 17b and 18b) were screened for antibacterial activity (in nutrient agar broth) and antifungal activity (in Dox's medium and Saboured's agar) by the agar diffusion method [31,32] at a concentration 20 mg/mL using DMSO as solvent and blank. The compounds were tested for their activities against Gram +ve bacteria (Staphylococcus aureus) and Gram –ve bacteria (Escherichia coli), in addition to the pathogenic fungi Aspergillus flavus and Candida albicans. The antimicrobial screening results were measured by the average diameter of the inhibition zones, expressed in mm, and are presented in Table 1. As shown in the results, all the tested compounds displayed significant activities against E. coli, S. aureus and C. albicans, while only compound 2a was very active against A. flavus and showed almost the same activity when compared with the usually used antifungal agents at the same concentration. Also, it was observed that the hydrazonoyl bromide 2a has shown the highest activity toward all the tested organisms among all the tested compounds.
Table 1.
Antimicrobial activities of the tested compounds
| Sample | Inhibition zone diameter (mm / mg sample) | |||
|---|---|---|---|---|
| E. coli (G-) | S. aureus (G+) | A. flavus (Fungus) | C. albicans (Fungus) | |
| Control (DMSO) | 0.0 | 0.0 | 0.0 | 0.0 |
| 2a | 15 | 16 | 13 | 14 |
| 2b | 12 | 14 | 0.0 | 12 |
| 6a | 13 | 13 | 0.0 | 12 |
| 9b | 12 | 12 | 0.0 | 10 |
| 17b | 13 | 13 | 0.0 | 12 |
| 18b | 10 | 10 | 0.0 | 9 |
| Tetracycline | 32 | 34 | -- | -- |
| Flucoral | -- | -- | 14 | 16 |
| Amphotricine | -- | -- | 16 | 20 |
Conclusions
In this report, the synthesis of new pyrazole derivatives 5-12 by the reaction of some active methylene compounds with hydrazonoyl bromides 2a,b is reported. Also, the reaction of 12 with formamide, formic acid and triethyl orthoformate afforded the corresponding pyrazolo[3,4-d]pyrimidines 13, 14 and 5-ethoxymethyleneaminopyrazole-4-carbonitriles 15, respectively. Compound 15 reacted with benzhydrazide and hydrazine hydrate to give the corresponding pyrazolo[4,3-e][1,2,4]triazolo[1,5-c]pyrimidines 16 and 5H-pyrazolo[3,4-d]pyrimidin-5-yl]amines 17. Also, 17 reacted with triethyl orthoformate and carbon disulfide and gave the corresponding pyrazolo[4,3-e][1,2,4]triazolo[1,5-c]pyrimidines 18 and 19. The antibacterial and antifungal activity screening data of some of the prepared compounds showed promising antibacterial and antifungal activity. Compound 2a is the most effective one and it also exhibited high activity against the fungus A. flavus.
Experimental
General
All melting points were measured on an Electrothermal melting point apparatus and are uncorrected. The infrared spectra were recorded in potassium bromide pellets on a Pye Unicam SP 3-300 or Shimadzu FT-IR 8101 PC infrared spectrophotometer. The 1H-NMR (200 MHz) and 13C-NMR (50 MHz) spectra were recorded in (DMSO-d6) on a GEMINI-200 spectrometer using TMS as the internal reference. Results are expressed in ppm and coupling constants (J) in Hertz. Mass spectra were measured on a GCMS-QP 1000 EX spectrometer at 70 eV. Elemental analyses were carried out at the Microanalytical Center of Cairo University, Giza, Egypt. Yields, analytical and spectroscopic data for the products are given in Table 2 and Table 3. The starting materials C-(4-fluorophenyl)-N-(4-nitrophenyl)methanohydrazonyl bromide [2a [28], yellow solid, mp. 224-6 °C (from tetrahydrofuran), lit. [28] mp. 202 °C] and C-(2,4-dichlorophenyl)-N-(4-nitrophenyl)methanohydrazonyl bromide [2b, [29], yellow solid, mp. 228-30 °C (from dioxane), lit. [29] mp. 212 °C] were prepared according to the indicated literature methods.
Reaction of hydrazonyl bromides with active methylene compounds: General method for the synthesis of 4,5-disubstituted-3-aryl-1-(4-nitrophenyl)pyrazoles 5-12
The appropriate active methylene compound (dibenzoylmethane, acetylacetone, ethyl acetoacetate, phenacyl cyanide, acetoacetanilide, ethyl cyanoacetate, cyanoacetamide, malononitrile, 0.005 mol) was added with stirring to an ethanolic sodium ethoxide solution [20 mL, prepared from sodium metal (0.11 g, 0.005 mol) and absolute ethanol]. To the resulting solution the appropriate hydrazonyl bromide 2a,b (0.005 mol) was added at room temperature. The mixture was stirred for 24 h, during which the bromide dissolved and the crude pyrazole precipitated. The latter was collected, washed with water, dried and crystallized from the indicated solvent.
4-Benzoyl-3-(4-fluorophenyl)-1-(4-nitrophenyl)-5-phenylpyrazole (5a). Off-white solid; mp. 185-8 °C (from acetic acid).
4-Benzoyl-3-(2,4-dichlorophenyl)-1-(4-nitrophenyl)-5-phenylpyrazole (5b). Pale yellow solid; mp. 159-61 °C (from ethanol); lit. mp. 150 °C [29].
4-Acetyl-3-(4-fluorophenyl)-5-methyl-1-(4-nitrophenyl)pyrazole (6a). Pale yellow crystals; mp. 149-51 °C (from acetic acid).
Ethyl 3-(4-fluorophenyl)-5-methyl-1-(4-nitrophenyl)pyrazole-4-carboxylate (7a). Off-white solid; mp. 162-4 °C (from ethanol).
Ethyl 3-(2,4-dichlorophenyl)-5-methyl-1-(4-nitrophenyl)pyrazole-4-carboxylate (7b). Pale yellow solid; mp. 114-6 °C (from ethanol); lit. mp. 121 °C [29].
3-(4-Fluorophenyl)-1-(4-nitrophenyl)-5-phenylpyrazole-4-carbonitrile (8a). Yellow crystals; mp. 188-90 °C (from dioxane-ethanol).
3-(4-Fluorophenyl)-5-methyl-1-(4-nitrophenyl)-4-phenylaminocarbonylpyrazole (9a). Yellow crystals; mp. 223-5 °C (from dioxane-ethanol).
3-(2,4-Dichlorophenyl)-5-methyl-1-(4-nitrophenyl)-4-phenylaminocarbonylpyrazole (9b). Pale brown solid; mp. 208-10 °C (from acetic acid).
Ethyl 5-amino-3-(4-fluorophenyl)-1-(4-nitrophenyl)pyrazole-4-carboxylate (10a). Pale brown solid; mp. 225-7 °C (from acetic acid); 13C-NMR: δ 164.2 (d, J = 253.4, C-F), 163.07 (C=O, ester), 151.50 (C=N), 151.41 (4-C pyrazole), 145.03 (C-p-NO2), 142.57 (C-NO2), 130.96 (d, J = 8.5, C-m-F), 128.74 (d, J = 3.4, C-p-F), 124.49, 123.24 (C-o, C-m-NO2), 114.10 (d, J = 21.6, C-o-F), 92.62 (C-5 pyrazole), 58.86 (OCH2CH3), 13.50 (OCH2CH3).
Ethyl 5-amino-3-(2,4-dichlorophenyl)-1-(4-nitrophenyl)pyrazole-4-carboxylate (10b). Yellow crystals solid; mp. 229-30 °C (from dioxane-ethanol).
5-Amino-3-(4-fluorophenyl)-1-(4-nitrophenyl)pyrazole-4-carboxamide (11a). Brownish yellow solid; mp.303-5 °C (from acetic acid).
5-Amino-3-(2,4-dichlorophenyl)-1-(4-nitrophenyl)pyrazole-4-carboxamide (11b). Yellow solid; mp. 261-3 °C (from dioxane-ethanol).
5-Amino-3-(4-fluorophenyl)-1-(4-nitrophenyl)pyrazole-4-carbonitrile (12a). Yellow solid; mp. 273-5 °C (from dioxane-ethanol).
5-Amino-3-(2,4-dichlorophenyl)-1-(4-nitrophenyl)pyrazole-4-carbonitrile (12b). Yellow solid; mp. 222-4 °C (from dioxane-ethanol).
Alternate preparation of 4-benzoyl-3-(4-fluorophenyl)-1-(4-nitrophenyl)-5-phenyl-pyrazole (5a).
A solution of triethylamine (0.7 ml, 0.005 mmol) in THF (5 mL) was added to a solution of hydrazonyl bromide 2a (1.68 g, 0.005 mmol) and dibenzoylmethane (0.005 mmol) in THF (40 mL) and the resulting mixture was stirred at room temperature for 4 h. The solvent was then evaporated and the residue was triturated with ethanol whereupon it solidified. The solid was collected, washed with water (10 mL) and crystallized from acetic acid to give the product, which was identical in all respects (mp., IR, MS, 1H-NMR and elemental analysis) to compound 5a prepared by the general method. Compound 5a was obtained in 59 % yield by this method.
Synthesis of [3-aryl-1-(4-nitrophenyl)-1H-pyrazolo[3,4-d]pyrimidin-4-yl]amines 13a,b
A mixture of 5-amino-3-aryl-1-(4-nitrophenyl)pyrazole-4-carbonitrile 12a,b (0.005 mol) and formamide (10 mL) was refluxed for 2-3 h. The solution was cooled, then poured onto water. The solid that precipitated was collected and crystallized to give [3-(4-fluorophenyl)-1-(4-nitrophenyl)-1H-pyrazolo[3,4-d]pyrimidin-4-yl]amine [13a, off-white solid; mp. >340 °C (from dimethylformamide] or [3-(2,4-dichlorophenyl)-1-(4-nitrophenyl)-1H-pyrazolo[3,4-d]pyrimidin-4-yl]amine [13b, off-white solid; mp. 347-8 °C (from DMF)].
Synthesis of 3-aryl-1-(4-nitrophenyl)-1,4-dihydro-5H-pyrazolo[3,4-d]pyrimidin-4-ones 14a,b
A mixture of 5-amino-3-aryl-4-1-(4-nitrophenyl)pyrazole-4-carbonitrile 12a,b (0.005 mol) and formic acid (20 mL) was refluxed for 1 h. The solution was cooled, and then poured on water. The solid that precipitated was collected and crystallized from the indicated solvent to give 3-(4-fluorophenyl)-1-(4-nitrophenyl)-1,4-dihydro-5H-pyrazolo[3,4-d]pyrimidin-4-one [14a, off-white solid; mp. >340 °C (from dimethylformamide] or 3-(2,4-dichlorophenyl)-1-(4-nitrophenyl)-1,4-dihydro-5H-pyrazolo[3,4-d]pyrimidin-4-one [14b, white solid; mp. >345 °C (from DMF)].
Synthesis of 3-aryl-5-ethoxymethyleneamino-1-(4-nitrophenyl)pyrazole-4-carbonitriles 15a,b
A mixture of 5-amino-3-aryl-1-(4-nitrophenyl)pyrazole-4-carbonitrile 12a,b (0.005 mol), triethyl orthoformate (3 mL) and acetic anhydride (20 mL) was heated under reflux for 5 h. After cooling the precipitated solid was filtered off and recrystallized from the indicated solvent to give 5-ethoxy-methyleneamino-3-(4-fluorophenyl)-1-(4-nitrophenyl)pyrazole-4-carbonitrile [15a, white solid; mp. 194-6 °C (from tetrahydrofuran)] or 5-ethoxymethyleneamino-3-(2,4-dichlorophenyl)-1-(4-nitro-phenyl)pyrazole-4-carbonitrile [15b, white solid; mp. 226-7 °C (from THF)].
Synthesis of 9-aryl-7-(4-nitrophenyl)-2-phenyl-7H-pyrazolo[4,3-e][1,2,4]triazolo[1,5-c]pyrimidines 16a,b
A mixture of 3-aryl-5-ethoxymethyleneamino-1-(4-nitrophenyl)pyrazole 15a,b (0.01 mol) and benzhydrazide (0.01 mol, 1.36 g) in THF (30 mL) was refluxed for 12 h. The mixture was cooled and the solvent was removed under reduced pressure and the resulting precipitate was purified by crystallization from the indicated solvent to give 9-(4-fluorophenyl)-7-(4-nitrophenyl)-2-phenyl-7H-pyrazolo[4,3-e][1,2,4]triazolo[1,5-c]pyrimidine [16a, yellow solid; mp. >340 °C (from dimethylsulfoxide)] or 9-(2,4-dichlorophenyl)-7-(4-nitrophenyl)-2-phenyl-7H-pyrazolo[4,3-e]-[1,2,4]triazolo[1,5-c]pyrimidine [16b, yellow solid; mp. 334-6 °C (from dioxane)].
Synthesis of [3-aryl-4-imino-1-(4-nitrophenyl)-1,4-dihydro-5H-pyrazolo[3,4-d]pyrimidin-5-yl]amines 17a,b
Hydrazine hydrate (8 mL) was added to a suspension of 5-ethoxymethyleneamino-3-aryl-1-(4-nitrophenyl)pyrazole-4-carbonitriles 15a,b (0.01 mol) in tetrahydrofuran (40 mL). The reaction mixture was stirred at room temperature for 1 h. The precipitate which formed was filtered off, washed with water, dried in air and crystallized from the indicated solvent to give [3-(4-Fluorophenyl)-4-imino-1-(4-nitrophenyl)-1,4-dihydro-5H-pyrazolo[3,4-d]pyrimidin-5-yl]amine [17a, pale yellow solid; mp. 266-8 °C (from DMF)] or [3-(2,4-dichlorophenyl)-4-imino-1-(4-nitrophenyl)-1,4-dihydro-5H-pyrazolo[3,4-d]pyrimidin-4-yl]amine [17b, pale yellow solid; mp. 256-8 °C (from DMF); 13C-NMR: δ 156.45 (C=N pyrimidine), 154.36 (C-5 pyrazole), 144.46, 144.27, 143.55, 134.98, 134.63, 134.21, 132.92, 129.36 (8C, ArC's), 127.50, 125.02, 124.98, 120.53, 120.21 (5C, ArCH's)].
Synthesis of 9-aryl-7-(4-nitrophenyl)-7H-pyrazolo[4,3-e][1,2,4]triazolo[1,5-c]pyrimidines 18a,b
A mixture of [3-aryl-4-imino-1-(4-nitrophenyl)pyrazole-5-yl]amine 17a,b (0.005 mol) with (15 ml) of triethyl orthoformate was refluxed for 1 h. After cooling, the precipitated product was collected by filtration and crystallized from the indicated solvent to give 9-(4-fluorophenyl)-7-(4-nitrophenyl)-7H-pyrazolo[4,3-e][1,2,4]triazolo[1,5-c]pyrimidine [18a, pale yellow solid; mp. 304-6 °C (from DMF-ethanol)] or 9-(2,4-dichlorophenyl)-7-(4-nitrophenyl)-7H-pyrazolo[4,3-e][1,2,4]-triazolo[1,5-c]pyrimidine [18b, pale yellow solid; mp. 314-6 °C (from DMSO-ethanol)].
Synthesis of 9-aryl-7-(4-nitrophenyl)-7H-pyrazolo[4,3-e][1,2,4]triazolo[1,5-c]pyrimidine-2(3H)-thiones 19a,b
A mixture of [3-aryl-4-imino-1-(4-nitrophenyl)pyrazol-5-yl]amine 17a,b (0.01 mol) with carbon disulfide (0.76 g, 0.01 mol) and potassium hydroxide (0.56 g, 0.01 mol) in ethanol (15 mL) was heated under reflux for 10 h. After removal of ethanol, water was added and the resulting alkaline solution was acidified with acetic acid and the precipitate formed collected by filtration, washed with water, dried and crystallized from the indicated solvent to afford 9-(4-fluorophenyl)-7-(4-nitrophenyl)-7H-pyrazolo[4,3-e][1,2,4]triazolo[1,5-c]pyrimidine-2(3H)-thione [19a, yellow solid; mp. >350 °C (from DMSO-ethanol)] or 9-(2,4-dichlorophenyl)-7-(4-nitrophenyl)-7H-pyrazolo[4,3-e][1,2,4]-triazolo[1,5-c]pyrimidine-2(3H)-thione [19b, orange solid; mp. 306-8 °C (from DMF-ethanol)].
Table 2.
Analytical data for the newly prepared compounds.
| Product | Yield % | Mol. Form. Mol. Wt. | Analysis(%) Calcd./Found | |||
|---|---|---|---|---|---|---|
| C | H | N | Cl | |||
| 2a | 76 | C13H9BrFN3O2 338.13 | 46.17 46.25 | 2.68 2.66 | 12.42 12.07 | |
| 2b | 93 | C13H8BrCl2N3O2 389.03 | 40.13 40.25 | 2.07 2.20 | 10.80 10.55 | 18.22 18.04 |
| 5a | 66 | C28H18FN3O3 463.45 | 72.56 72.43 | 3.91 4.04 | 9.06 8.94 | |
| 5b | 62 | C28H17Cl2N3O3 514.35 | 65.38 65.25 | 3.33 3.45 | 8.16 8.16 | 13.78 13.74 |
| 6a | 71 | C18H14FN3O3 339.32 | 63.71 63.52 | 4.15 4.22 | 12.38 12.27 | |
| 7a | 64 | C19H16FN3O4 369.34 | 61.78 62.16 | 4.36 4.41 | 11.37 11.19 | |
| 7b | 53 | C19H15Cl2N3O4 420.24 | 54.30 54.21 | 3.59 3.65 | 9.99 9.87 | 16.87 16.64 |
| 8a | 48 | C22H13FN4O2 384.36 | 68.74 68.46 | 3.40 3.46 | 14.57 14.46 | |
| 9a | 58 | C23H17FN4O3 416.40 | 66.33 65.96 | 4.11 4.17 | 13.45 13.39 | |
| 9b | 47 | C23H16Cl2N4O3 467.30 | 59.11 58.97 | 3.45 3.49 | 11.98 11.76 | 15.17 15.05 |
| 10a | 52 | C18H15FN4O4 370.33 | 58.37 58.36 | 4.08 4.18 | 15.12 14.89 | |
| 10b | 56 | C18H14Cl2N4O4 421.23 | 51.32 51.55 | 3.35 3.51 | 13.30 13.19 | 16.83 16.71 |
| 11a | 53 | C16H12FN5O3 341.29 | 56.30 56.29 | 3.54 3.61 | 20.05 19.87 | |
| 11b | 51 | C16H11Cl2N5O3 392.19 | 48.99 49.10 | 2.82 3.01 | 17.85 17.63 | 18.07 18.16 |
| 12a | 64 | C16H10FN5O2 323.28 | 59.44 59.37 | 3.11 3.01 | 21.66 20.98 | |
| 12b | 61 | C16H9Cl2N5O2 374.18 | 51.35 51.35 | 2.42 2.47 | 18.71 18.45 | 18.95 18.86 |
| 13a | 93 | C17H11N6O2 F350.30 | 58.28 58.26 | 3.16 3.15 | 23.99 24.01 | |
| 13b | 85 | C17H10Cl2N6O2 401.20 | 50.89 51.17 | 2.51 2.55 | 20.94 20.81 | 17.67 17.74 |
| 14a | 88 | C17H10N5O3 F351.29 | 58.12 58.15 | 2.86 2.88 | 19.93 19.90 | |
| 14b | 83 | C17H9Cl2N5O3 402.19 | 50.76 50.85 | 2.25 2.33 | 17.41 17.36 | 17.63 17.55 |
| 15a | 87 | C19H14N5O3 F379.34 | 60.15 60.18 | 3.72 3.71 | 18.46 18.44 | |
| 15b | 82 | C19H13N5O3Cl2 430.24 | 53.03 53.02 | 3.04 3.06 | 16.27 16.27 | 16.48 16.47 |
| 16a | 54 | C24H14N7O2 F451.41 | 63.85 63.88 | 3.12 3.10 | 21.72 20.71 | |
| 16b | 52 | C24H13N7O2Cl2 502.31 | 57.38 57.40 | 2.60 2.61 | 19.52 19.51 | 14.11 14.10 |
| 17a | 67 | C17H12N7O2 F365.32 | 55.88 55.90 | 3.31 3.03 | 26.83 26.80 | |
| 17b | 63 | C17H11N7O2Cl2 416.22 | 48.93 48.91 | 2.89 2.91 | 23.50 23.54 | 16.99 17.01 |
| 18a | 56 | C18H10N7O2 F375.31 | 57.60 57.58 | 2.68 2.66 | 26.12 26.15 | |
| 18b | 61 | C18H9N7O2Cl2 426.21 | 50.72 50.70 | 2.12 2.14 | 23.00 22.98 | 16.63 16.66 |
| 19a | 52 | C18H10N7O2 SF407.38 | 53.06 53.03 | 2.47 2.46 | 24.06 24.07 | |
| 19b | 53 | C18H9N7O2SCl2 458.28 | 47.17 47.19 | 1.97 2.00 | 21.39 21.41 | 15.47 15.49 |
Table 3.
Spectroscopic data of the newly prepared compounds.
| Product | MS | IR (KBr) | 1H-NMR (DMSO-d6) | |
|---|---|---|---|---|
| 2a | 339 (M++2, 98.1), 337 (M+, 100.0), 339 (88.3), 290 (9.3), 259 (10.2), 188 (17.6), 122 (48.7), 95 (64.8), 90 (43.3), 75 (51.7), 63 (54.1), 51 (21.3), 50 (18.3). | 3258.2 (NH), 3087.7 (CH-aromatic), 1595.6 (C=N). | 7.25-8.54 (m, 8H, ArH), 10.54 (s, 1H, NH). | |
| 2b | 391 (M++4, 20.2), 389 (M++2, 47.3), 387 (M+, 30.5), 309 (28.3), 307 (38.8), 262 (43.9), 173 (54.0), 137 (39.9), 100 (29.4), 90 (45.7), 63 (100.0), 50 (34.4). | 3254.5 (NH), 3089.2 (CH-aromatic), 1595.3 (C=N). | 7.23-8.56 (m, 7H, ArH), 10.25 (s, 1H, NH). | |
| 5a | 463 (M+, 97.0), 386 (94.0), 340 (45.7), 207 (26.8), 105 (40.4), 77 (100.0), 51 (39.6). | 3115.6, 3080.1 (CH-aromatic), 1644.1 (CO benzoyl), 1593.8 (C=N). | 7.14-8.32 (m, 18H, ArH). | |
| 5b | 514 (M++2)-1, 0.5), 480 (39.5), 478 (100.0), 432 (20.9), 105 (8.2), 77 (25.4), 51 (8.2). | 3082.2 (CH-aromatic), 1650.4 (CO), 1594.7 (C=N). | 7.19-8.42 (m, 17H, ArH). | |
| 6a | 340 (M++1, 40.4), 339 (M+, 41.1), 324 (100.0), 278 (43.7), 279 (40.5), 117 (13.0), 76 (27.1), 50 (13.7). | 3084.4 (CH-aromatic), 1668.7 (CO acetyl), 1593.5 (C=N). | 2.45 (s, 3H, CH3), 2.61 (COCH3), 7.21-8.26 (m, 8H, ArH). | |
| 7a | 369 (M+, 100.0), 324 (82.6), 278 (35.2), 117 (12.4), 76 (26.0), 50 (13.9). | 3117.1, 3090.8 (CH-aromatic), 1706.3 (CO ester), 1594.4 (C=N). | 1.19 (t, 3H, J = 7.2, COOCH2CH3), 2.65 (s, 3H, CH3), 4.21 (q, 2H, J = 7.2, COOCH2CH3), 7.23-8.45 (m, 8H, ArH). | |
| 7b | 384 (M-35) (100.0), 386 (37.2), 356 (80.4), 367 (85.8), 311 (39.6), 310 (38.8), 117 (18.6), 76 (48.6), 51 (11.0), 50 (18.8). | 3088.7 (CH-aromatic), 1699.7 (CO ester), 1595.5 (C=N). | 1.20 (t, 3H, J = 7.3, COOCH2CH3), 2.64 (s, 3H, CH3), 4.22 (q, 2H, J = 7.3, COOCH2CH3), 7.24-8.45 (m, 7H, ArH). | |
| 8a | 384 (M+, 100.0), 337 (34.3), 76 (15.7), 50 (11.8). | 3068.2 (CH-aromatic), 2225.3 (C≡N), 1596.7 (C=N). | 7.23-8.45 (m, 13H, ArH). | |
| 9a | 416 (M+, 13.8), 324 (100.0), 278 (31.9), 65 (18.4). | 3239.7 (NH), 3061.9 (CH-aromatic), 1657.6 (CO amide), 1596.2 (C=N). | 2.63 (s, 3H, CH3), 7.14-8.27 (m, 13H, ArH), 11.60 (s, 1H, NH). | |
| 9b | 466 (M+, 4.3), 468 (M++2, 2.9), 431 (40.2), 374 (100.0), 328 (47.4), 117 (16.9), 65 (70.3), 50 (8.9). | 3418.1 (NH), 3080.8 (CH-aromatic), 1656.4 (CO amide), 1596.6 (C=N). | 2.64 (s, 3H, CH3), 7.16-8.27 (m, 12H, ArH), 11.60 (s, 1H, NH). | |
| 10a | 370 (M+, 59.2), 324 (100.0), 277 (10.5), 146 (23.1), 90 (11.9), 76 (12.3), 63 (8.6), 50 (8.7). | 3458.5, 3327.9 (NH2), 3112.8 (CH-aromatic), 1675.4 (CO ester), 1613.5 (C=N). | 1.16 (t, 3H, J = 7.3, COOCH2CH3), 4.17 (q, 2H, J = 7.3, COOCH2CH3), 6.84 (s, 2H, NH2), 7.21-8.43 (m, 8H, ArH). | |
| 10b | 420 (M+, 18.0), 422 (M++2, 9.7), 385 (100.0), 311 (14.4), 196 (20.0), 136 (10.1), 90 (22.8), 76 (38.5), 63 (23.0), 50 (20.7). | 3203.5, 3326.4 (NH2), 3076.4 (CH-aromatic), 1680.6 (CO ester), 1619.2 (C=N). | 1.18 (t, 3H, J = 7.2, COOCH2CH3), 4.18 (q, 2H, J = 7.2, COOCH2CH3), 6.84 (s, 2H, NH2), 7.22-8.43 (m, 7H, ArH). | |
| 11a | 341 (M+, 62.3), 324 (100.0), 325 (77.9), 278 (13.1), 146 (37.6), 122 (12.0), 95 (17.5), 90 (27.0), 76 (30.6), 63 (26.7), 50 (24.4). | 3495.3, 3371.8, 3277.3 (two NH2), 3119.9 (CH-aromatic), 1643.1 (CO amide), 1585.9 (C=N). | 6.83 (s, br., 2H, NH2), 7.19-8.43 (m, 10H, ArHs, NH2). | |
| 11b | 393 (M++2, 7.2), 391 (M+, 11.5), 356 (100.0), 357 (84.8), 310 (18.2), 91 (14.6), 76 (19.4), 63 (21.7), 50 (21.8). | 3496.1, 3376.4, 3284.4 (two NH2), 3087.3 (CH-aromatic), 1646.5 (CO amide), 1588.3 (C=N). | 6.83 (s, br., 2H, NH2), 7.21-8.45 (m, 9H, ArH, NH2). | |
| 12a | 324 (M++1, 100.0), 323 (M+, 97.2), 278 (14.8), 177 (13.6), 156 (16.4), 75 (23.6), 76 (26.9), 63 (18.3), 50 (23.5). | 3429.5, 3300.7 (NH2), 3079.7 (CH-aromatic), 2209.1 (C≡N), 1600.8 (C=N). | 6.84 (s, 2H, NH2), 7.14-8.27 (m, 8H, ArH). | |
| 12b | 373 (M+, 100.0), 375 (M++2, 82.6), 327 (12.3), 292 (41.5), 173 (13.8), 129 (20.0), 76 (63.6), 63 (42.6), 50 (53.4). | 3447.7, 3320.8 (NH2), 3031.3 (CH-aromatic), 2217.9 (C≡N), 1596.7 (C=N). | 6.86 (s, 2H, NH2), 7.12-8.27 (m, 7H, ArH). | |
| 13a | 350 (M+, 100.0), 304 (9.8), 303 (12.1), 276 (5.4), 156 (14.5), 122 (6.3), 63 (7.6), 50 (7.8). | 3480.8, 3290.2 (NH2), 3069.3 (CH-aromatic), 1653.2 (C=N). | 5.02 (s, br., 2H, NH2), 7.33-8.58 (m, 9H, ArH, pyrimidine-H). | |
| 13b | 402 (M++2, 72.6), 400 (M+, 100.0), 319 (35.4), 161 (44.2), 92 (26.5), 91 (31.9), 77 (46.9), 63 (49.6), 51 (46.9), 50 (54.0). | 3470.2, 3318.7 (NH2), 3070.6 (CH-aromatic), 1657.4 (C=N). | 6.20 (s, 2H, NH2), 7.14-8.27 (m, 7H, ArH), 9.11 (s, 1H, pyrimidine). | |
| 14a | 351 (M+, 100.0), 248 (10.0), 184 (31.6), 157 (17.2), 145 (16.7), 133 (10.6), 90 (10.6), 76 (19.3), 75 (19.2), 63 (19.8), 50 (31.1). | 3318.2 (NH), 3042.5 (CH-aromatic), 1686.1 (C=O), 1590.1 (C=N). | 7.29-8.50 (m, 9H, ArH, pyrimidinone-H), 12.72 (s, br., 1H, NH pyrimidinone). | |
| 14b | 403 (M++2, 11.8), 401 (M+, 17.6), 366 (100.0), 368 (36.5), 320 (24.9), 90 (12.8), 76 (23.5), 63 (21.4), 50 (32.1). | 3446.3 (NH), 3071.3 (CH-aromatic), 1690.1 (CO), 1589.2 (C=N). | 7.15-8.27 (m, 7H, ArH), 8.75 (s, 1H, pyrimidinone), 11.16 (s, 1H, NH pyrimidinone). | |
| 15a | 379 (M+, 100.0), 351 (15.6), 350 (19.3), 323 (55.0), 276 (16.9), 145 (12.6), 76 (15.3), 50 (11.5). | 3098.0 (CH-aromatic), 2997.7, 2945.9 (CH-aliphatic), 2232.4 (C≡N), 1630.5 (C=N). | 1.35 (t, 3H, J = 7.0, CH3), 4.42 (q, 2H, J = 7.0, OCH2), 7.38-8.42 (m, 8H, ArH), 8.69 (s, 1H, N=CH). | |
| 15b | 431 (M++2, 71.3), 429 (M+, 89.1), 368 (37.0), 366 (100.0), 320 (51.3), 292 (27.3), 195 (27.2), 156 (19.7), 90 (22.8), 76 (56.1), 63 (31.5), 50 (48.0). | 3088.3, 3004.5 (CH-aromatic), 2950.3 (CH-aliphatic), 2221.9 (C≡N), 1629.9 (C=N). | 1.36 (t, 3H, J = 7.0, CH3), 4.43 (q, 2H, J = 7.0, OCH2), 7.61-8.44 (m, 7H, ArH), 8.70 (s, 1H, N=CH). | |
| 16a | 451 (M+, 100.0), 393 (6.5), 284 (11.0), 95 (6.3), 77 (8.2), 76 (8.5), 50 (6.4). | 3063.6, 3010.0 (CH-aromatic), 1635.2 (C=N). | 7.43-8.12 (m, 13H, ArH), 8.56 (s, 1H, pyrimidine). | |
| 16b | 503 (M++2, 58.1), 501 (M+, 100.0), 466 (73.1), 420 (28.5), 291 (10.4), 290 (10.1), 289 (12.8), 153 (11.3), 127 (10.0), 103 (18.9), 90 (12.4), 77 (42.2), 76 (28.3), 63 (13.1), 50 (17.9). | 3086.8 (CH-aromatic), 1643.7 (C=N). | 7.42-8.08 (m, 12H, ArH), 8.54 (s, 1H, pyrimidine). | |
| 17a | 365 (M+, 100.0), 350 (8.0), 290 (10.2), 157 (6.0), 114 (6.7), 95 (8.6), 76 (9.4), 75 (12.0), 63 (8.6), 50 (11.3). | 3430.6-3353.5 (NH, NH2), 3067.1 (CH-aromatic), 1582.3 (C=N). | 5.01 (s, br., 2H, NH2), 7.16-8.56 (m, 8H, ArH, NH), 8.45 (s, 1H, pyrimidine). | |
| 17b | 417 (M++2, 52.0), 415 (M+, 91.3), 382 (70.9), 380 (100.0), 363 (56.1), 334 (30.6), 307 (28.6), 215 (30.1), 187 (37.8), 150 (38.3), 122 (36.7), 114 (34.3), 90 (32.1), 77 (36.7), 76 (62.8), 63 (62.2), 50 (75.0). | 3326.2-3270.3 (NH, NH2), 3082.5 (CH-aromatic), 1597.1 (C=N). | 5.02 (s, br., 2H, NH2), 7.19-8.59 (m, 8H, ArH, NH), 8.47 (s, 1H, pyrimidine). | |
| 18a | 375 (M+, 100.0), 329 (14.2), 275 (12.9), 208 (36.4), 90 (13.1), 75 (30.2), 63 (15.9), 50 (28.0). | 3087.1 (CH-aromatic), 1629.7 (C=N). | 7.58-8.59 (m, 8H, ArH), 9.43, 9.78 (two s, 2H, triazole, pyrimidine). | |
| 18b | 427 (M++2, 36.7), 425 (M+, 55.5), 390 (36.6), 344 (30.0), 337 (19.9), 298 (21.2), 257 (41.4), 215 (44.2), 187 (100.0), 145 (27.8), 136 (23.1), 123 (21.2), 90 (50.6), 75 (30.1), 63 (44.9), 50 (27.9). | 3036.1, 3095.8 (CH-aromatic), 1635.7 (C=N). | 7.62-8.66 (m, 7H, ArH), 9.52, 9.85 (s, 2H, triazole, pyrimidine). | |
| 19a | 407 (M+, 65.1), 325 (95.9), 257 (13.0), 146 (100.0), 136 (19.0), 121 (26.0), 106 (12.3), 95 (27.9), 90 (34.6), 75 (33.8), 63 (27.9), 50 (42.4). | 3421.1 (NH), 3077.2 (CH-aromatic), 1632.1 (C=N), 1242.3 (C=S). | 7.56-8.66 (m, 8H, ArH), 9.24 (s, 1H, pyrimidine), 9.89 (s, 1H, NH). | |
| 19b | 427 (M++2(-32), 65.9), 425 (M+(-32), 100.0), 390 (56.0), 344 (41.1), 208 (14.5), 145 (16.7), 76 (26.2), 75 (23.6), 63 (18.6), 50 (32.4). | 3422.4 (NH), 3096.9 (CH-aromatic), 1649.5 (C=N), 1246.2 (C=S). | 7.54-8.67 (m, 7H, ArH), 9.22 (s, 1H, pyrimidine), 9.88 (s, 1H, NH). | |
References
- Goda, F. E.; Maarouf, A. R.; El-Bendary, E. R. Synthesis and Antimicrobial Evaluation of New Isoxazole and Pyrazole Derivatives. Saudi Pharm. J. 2003, 11, 111–117. [Google Scholar]
- El-Emary, T. I. Synthesis and Biological Activity of Some New Pyrazolo[3,4-b]pyrazines. J. Chin. Chem. Soc. 2006, 53, 391–401. [Google Scholar]
- Mansour, A. K.; Eid, M. M.; Khalil, N. S. A. M. Synthesis and Reactions of Some New Heterocyclic Carbohydrazides and Related Compounds as Potential Anticancer Agents. Molecules 2003, 8, 744–755. [Google Scholar]
- Anderson, J. D.; Cottam, H. B.; Larson, S. B.; Nord, L. D.; Revankar, G. R.; Robins, R. K. Synthesis of Certain Pyrazolo[3,4-d]pyrimidin-3-one Nucleosides. J. Heterocycl. Chem. 1990, 27, 439–453. [Google Scholar] [CrossRef]
- Avila, J. L.; Polegre, M. A.; Avila, A. R.; Robins, K. Action of Pyrazolopyrimidine Derivatives on American Leiishmania SPP Promastigotes. Comp. BiocHem. Physiol. 1986, 83C, 285–289. [Google Scholar]
- Bhat, G. A.; Montero, J. L.; Panzica, R. P.; Wotring, L. L.; Townsend, L. B. Pyrazolopyrimidine nucleosides. 12 Synthesis and biological activity of certain pyrazolo[3,4-d]pyrimidine nucleosides related to adenosine. J. Med. Chem. 1981, 24, 1165–1172. [Google Scholar] [CrossRef]
- Petrie, C. R.; Cottam, H. B.; McKernan, P. A.; Robins, R. K.; Revankar, G. R. Synthesis and biological activity of 6-azacadeguomycin and certain 3,4,6-trisubstituted pyrazolo[3,4-d]pyrimidine ribonucleosides. J. Med. Chem. 1985, 28, 1010–1016. [Google Scholar] [CrossRef]
- Baraldi, P. G.; Cacciari, B.; Moro, S.; Spalluto, G.; Pastorin, G.; Da Ros, T.; Klotz, K. N.; Varani, K.; Gessi, S.; Borea, P. A. Synthesis, biological activity, and molecular modeling investigation of new pyrazolo[4,3-e]-1,2,4-triazolo[1,5-c]pyrimidine derivatives as human A(3) adenosine receptor antagonists. J. Med. Chem. 2002, 45, 770–780. [Google Scholar] [CrossRef]
- Baraldi, P. G.; Tabrizi, M. A.; Romagnoli, R.; Fruttarolo, F.; M, S.; Varani, K.; Gessi, S.; Borea, P. A. Pyrazolo[4,3-e]1,2,4-triazolo[1,5-c]pyrimidine ligands, new tools to characterize A3 adenosine receptors in human tumor cell lines. Curr. Med. Chem. 2005, 12, 1319–1329. [Google Scholar] [CrossRef]
- Baraldi, P. G.; Fruttarolo, F.; Tabrizi, M. A.; Preti, D.; Romagnoli, R.; El-Kashef, H.; Moorman, A.; Varani, K.; Gessi, S.; Merighi, S.; Borea, P. A. Design, synthesis, and biological evaluation of C9- and C2-substituted pyrazolo[4,3-e]-1,2,4-triazolo[1,5-c]pyrimidines as new A2A and A3 adenosine receptors antagonists. J. Med. Chem. 2003, 46, 1229–1241. [Google Scholar] [CrossRef]
- Pastorin, G.; Da Ros, T.; Spalluto, G.; Deflorian, F.; Moro, S.; Cacciari, B.; Baraldi, P. G.; Gessi, S.; Varani, K.; Borea, P. A. Pyrazolo[4,3-e]-1,2,4-triazolo[1,5-c]pyrimidine derivatives as adenosine receptor antagonists. Influence of the N5 substituent on the affinity at the human A3 and A2B adenosine receptor subtypes: a molecular modeling investigation. J. Med. Chem. 2003, 46, 4287–4296. [Google Scholar] [CrossRef]
- Emmel, L.; Heubach, G. Acaricidal Phenylhydrazones of Dicarbonyl Compounds. Farbwerke Hoechet Ger Offen 1972, 2,017,761, [Chem. Abstr.. 1972, 76p33935f]. [Google Scholar]
- Molodykh, Zh. V.; Buzykin, B. I.; Kudrina, M. A.; Sysoeva, L. P.; Gazetdinova, N. G.; Neklesova, I. D.; Kitaev, Yu. P. Antimicrobial Activity of Some Arylhydrazones of Acyl Halides and Arylhydrazides of Carboxylic Acids. Khim Farm. Zh. 1980, 14, 33, [Chem. Abstr. 1980, 93, 94943e]. [Google Scholar]
- Kaugers, G. Combating Insects and Mits Using Alkanoyl Chloride Phenylhydrazone. US Pat. 3,745,215, 1973. [Chem. Abstr. 1973, 79, 78412m]. [Google Scholar]
- Koga, H.; Itoh, A.; Murayama, S.; Suzue, S.; Irikura, T. Structure-Activity Relationships of Antibacterial 6,7- and 7,8-Disubstituted 1-Alkyl-1,4-dihydro-4-oxoquinoline-3-carboxylic acids. J. Med. Chem. 1980, 23, 1358–1363. [Google Scholar] [CrossRef]
- Wilkinson, J. A. Recent Advances in the Selective Formation of the Carbon-Fluorine Bond. Chem. Rev. 1992, 92, 505–519. [Google Scholar] [CrossRef]
- Wise, R.; Andrews, J. M.; Edwards, L. J. In Vitro Activity of Bay 09867, a New Quinoline Derivative, Compared with Those of Other Antimicrobial Agents. Antimicrb. Agents Chemother. 1983, 23, 559–564. [Google Scholar] [CrossRef]
- Hagen, S. E.; Domagala, J. M.; Heifetz, C. L.; Johnson, J. Synthesis and Biological Activity of 5-Alkyl-1,7,8-trisubstituted-6-fluoroquinoline-3-carboxylic Acids. J. Med. Chem. 1991, 34, 1155–1161. [Google Scholar] [CrossRef]
- Matsumoto, J.; Miyamoto, T.; Minamada, A.; Mishimuna, Y.; Egawa, H.; Nisimira, H. Pyridonecarboxylic Acids As Antibacterial Agents. 2. Synthesis and Structure-Activity Relationships of 1,6,7-trisubstituted 1,4-dihydro-4-oxo-1,8-naphthyridine-3-carboxylic Acids, Including Enoxacin, a New Antibacterial Agent. J. Med. Chem. 1984, 27, 292–301. [Google Scholar] [CrossRef]
- Hayakawa, I.; Hiramitsu, T.; Tanaka, Y. Synthesis and Antibacterial Activities of Substituted 7-oxo-2,3-dihydro-7H-pyrido[1,2,3-de][1,4]benzoxazine-6-carboxylic Acids. Chem. Pharm. Bull. (Tokyo) 1984, 32, 4907–4913. [Google Scholar] [CrossRef]
- Hassaneen, H. M.; Shawali, A. S.; Elwan, N. M.; Ibrahim, A. A. Synthesis of C-(2-Furyl)-N-(4-nitrophenyl)methanohydrazonyl Bromide. Reactions with Nucleophiles and Active Methylene Compounds. Arch. Pharm. Res. 1991, 14, 266–270. [Google Scholar] [CrossRef]
- Hassaneen, H. M.; Shawali, A. S.; Elwan, N. M. Synthesis and cycloaddition reactions of N-phenyl-C-styrylmethanohydrazonyl bromide. Heterocycles 1990, 31, 247–253. [Google Scholar] [CrossRef]
- Hassaneen, H. M.; Shawali, A. S.; Elwan, N. M.; Abunada, N. M. A Facile Synthesis of Thiadiazolo[2,3-b]quinazoline, 2,3-Dihydro-1,3,4-thiadiazole and 2-Amino-5-arylazothiazole Derivatives. Sulfur Lett. 1992, 14, 41–51. [Google Scholar]
- Hassaneen, H. M.; Shawali, A. S.; Elwan, N. M.; Abunada, N. M. Reaction of 1-(2-Naphthoyl)methylsulfonium Bromide with N-Nitroso-N-arylacetamides and Reactions of The Products with Some Nucleophiles. Sulfur Lett. 1992, 13, 273–285. [Google Scholar]
- Elwan, N. M.; Awad, E. M.; Hassaneen, H. M.; Linden, A.; Heimgartner, H. Synthesis of 1,2,4-Triazolo[4,3-a]pyrimidine Derivatives by Cyclocondensation of a 2-Thioxopyrimidin-4(3H)-one with Hydrazonyl Halides. Helv. Chem. Acta 2003, 86, 739–749. [Google Scholar] [CrossRef]
- Abdallah, T. A.; Darwish, M. A.; Hassaneen, H. M. A Novel Synthesis of 1,2,4-Triazolopteridines. Molecules 2002, 7, 494–500. [Google Scholar]
- Hassaneen, H. M.; Abdehadi, H. A.; Abdallah, T. A. Novel Synthesis of 1,2,4-triazolo[4,3-a]pyrimidin-5-one Derivatives. Tetrahedron 2001, 57, 10133–10138. [Google Scholar] [CrossRef]
- Hegarty, A. F.; Scott, F. L. The kinetics of Bromination of Hydrazones. J. Chem. Soc. (B) 1966, 672–675. [Google Scholar]
- Shawali, A. S.; Hassaneen, H. M. Reaction of Carbanions of β–Diketones and β–Keto Esters with Hydrazidic Bromides. Tetrahedron 1972, 29, 121–124. [Google Scholar] [CrossRef]
- Abunada, N. M.; Hassaneen, H. M.; Kandile, N. G.; Miqdad, O. A. Synthesis and Biological Activity of Some New Pyrazoline and Pyrrolo[3,4-c]pyrazole-4,6-dione Derivatives: Reaction of Nitrilimines with Some Dipolarophiles. Molecules 2008, 13, 1011–1024. [Google Scholar] [CrossRef]
- Grayer, R. J.; Harborne, J. B. A Survey of Antifungal Compounds from Higher Plants. PhytOCHemistry 1994, 37, 19–42. [Google Scholar] [CrossRef]
- Irob, O. N.; Moo-Young, M.; Anderson, W. A. Antimicrobial Activity of Annatto Extract. Int. J. Pharm. 1996, 34, 87–90. [Google Scholar] [CrossRef]
- Sample availability: Contact the authors.
© 2008 by the authors. Licensee Molecular Diversity Preservation International, Basel, Switzerland. This article is an open-access article distributed under the terms and conditions of the Creative Commons Attribution license ( http://creativecommons.org/licenses/by/3.0/).