Abstract
1,1-Dimethyl-3-oxo-1,4-diazepan-1-ium chloride (1) and 1,1-dimethyl-1-carboxymethyl-3-aminopropyl ammonium hydrochloride (2) have been obtained by the reactions of 1,1-dimethyl-1,3-propylenediamine with ethyl chloroacetate and chloroacetic acid, respectively. The products have been characterized by FTIR, Raman and NMR spectroscopy. B3LYP calculations have also been carried out. The screening constants for 13C- and 1H- atoms have been calculated by the GIAO/B3LYP/6-31G(d,p) approach and analyzed. The FTIR and NMR spectra of the investigated compounds 1 and 2 are in excellent agreement with the structures optimized by Density Functional Theory (DFT) calculations.
Introduction
Quaternary alkyl ammonium salts (QAC) play an important role in the living organisms and many functions of prokaryotic and eukaryotic cells have been shown to be alkyl ammonium salt dependent [1,2]. These compounds also exhibit excellent antimicrobial activity, therefore they are used as antiseptics, bactericides and fungicides, and as therapeutic agents, as well. The above group mainly consists of alkyltrimethyl-, dialkyldimethyl- and alkyldimethylbenzyl ammonium salts. The quaternary nitrogen atom in QAC can also form part of aromatic or aliphatic rings. In general, ammonium salts which show good antimicrobial activities contain one or two alkyl chains of lengths in the C8 to C14. For use as softeners and hair conditioning agents chain lengths between C16 to C18 are used [3,4,5,6,7]. The use of the same type of quaternary alkyl ammonium salts for a long time may cause an increase of resistance of microorganisms, which is considered a very serious problem. To avoid this problem the structures and types of microbiocides used have to be continuously changed. Among the new microbiocides currently studied and applied are quaternary aminopropylalkyl ammonium salts [8]. These new QACs, containing an additional aminopropyl group, display excellent antimicrobial activities.
One type of quaternary ammonium derivatives are the betaines, zwitterionic molecules, in which a carboxylate group is connected by one or more methylene groups with a quaternary nitrogen, ≥ N+-(CH2)n-COO. Betaines have a variety of applications in medicine, pharmacy, biology because of their biocidal properties [9]. Betaines which contain a hydrophobic chain in the range of n = 8-20 carbon atoms, show unique amphoteric surfactant properties and their current industrial applications are mainly in the toiletries and personal care products areas. Many of these complexes display interesting physical properties, exhibiting phase transitions with ferroelectric, antiferroelectric and ferroelastic behaviour as well as phases with commensurate and incommensurate superstructures [10].
From the structural point of view quaternary ammonium halides containing COOH group can be considered as bifunctional compounds. The cohesion forces in the crystals of these compounds are dominated by COOH···X- hydrogen bonds, N+···X- and N+···O electrostatic interactions, and C-H···X- contacts [11]. The electrostatic attractions depend on the number of methylene groups in the tether connecting the positively charged nitrogen atom with COO- or COOH groups, the counter anions and also on additional substituents.
In order to better understand the mechanism of antimicrobial activity of bifunctional quaternary ammonium compounds we have synthesized a new series of betaines. In this work the reaction of 1,1-dimethyl-1,3-propylenediamine with chloroacetic acid and ethyl chloroacetate using the procedure developed by Kröhnke et al. [12] is presented and the structures of the resulting products analyzed.
Results and Discussion
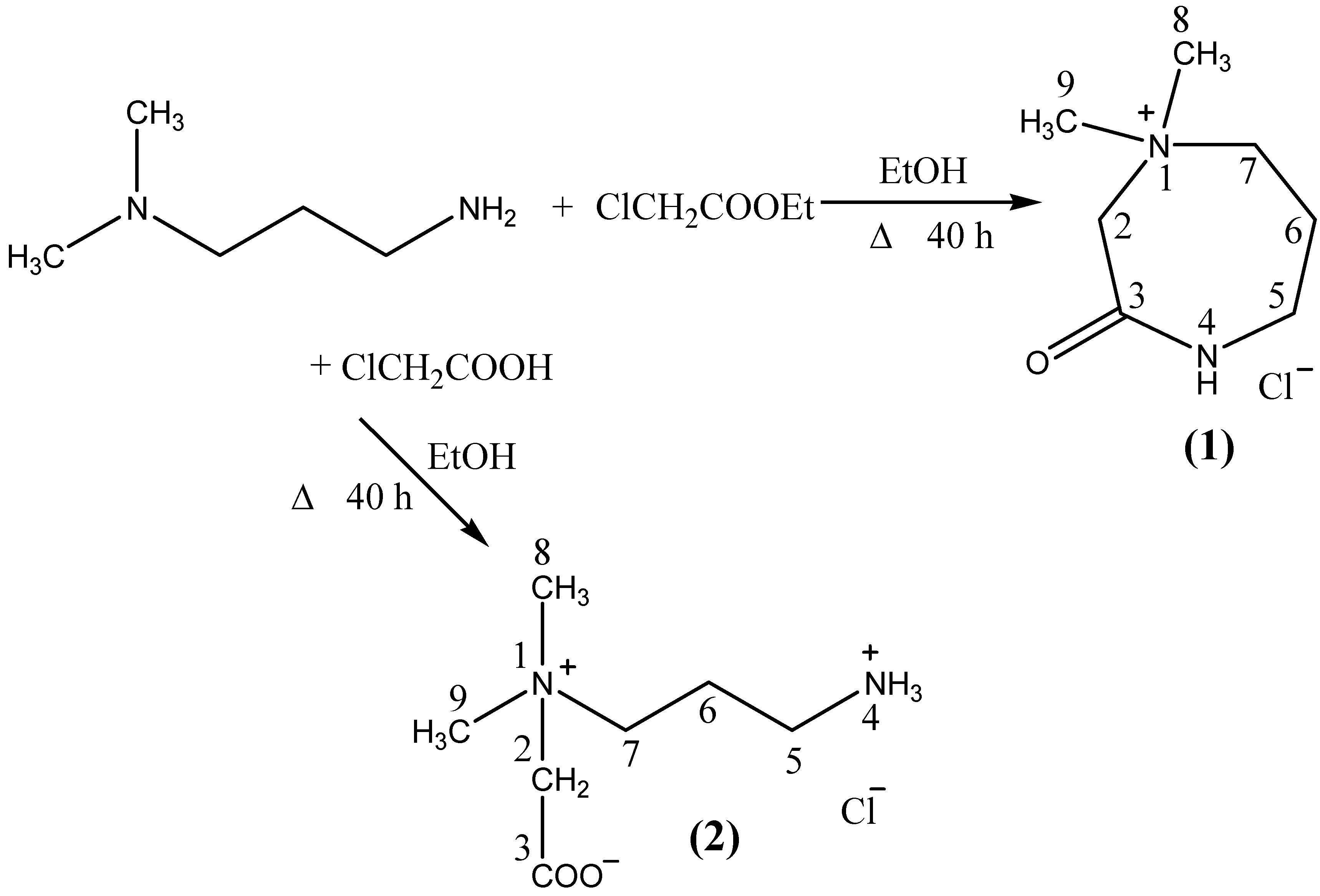
Quaternization of 1,1-dimethyl-1,3-propylenediamine with ethyl chloroacetate in anhydrous ethanol gave 1,1-dimethyl-3-oxo-1,4-diazepan-1-ium chloride (1), and with chloroacetic acid gave 1,1-dimethyl-1-carboxymethyl-3-aminopropyl ammonium hydrochloride (2) (Scheme 1).
It has been reported in the literature [13,14,15] that the 2-NHR-pyridines upon quaternization with ω-halopropionic acids and esters form both zwitterionic compounds and cyclic products. The cyclic product 1 has been previously obtained by Melandri in an intramolecular conversion of amidoamines, which were obtained by reaction of chloroacetaldehyde and appropriate amines [16]. Seven-membered heterocyclic rings like 3-oxo-1,4-diazepine derivatives are very important compounds because of their therapeutic properties and large numbers of strategies have been developed to prepare these compounds. [17].
Scheme 1.
Synthesis of 1,1-dimethyl-3-oxo-1,4-diazepan-1-ium chloride (1) and 1,1-dimethyl-1-carboxymethyl-3-aminopropyl ammonium hydrochloride (2).
Scheme 1.
Synthesis of 1,1-dimethyl-3-oxo-1,4-diazepan-1-ium chloride (1) and 1,1-dimethyl-1-carboxymethyl-3-aminopropyl ammonium hydrochloride (2).

The geometry of the investigated compounds 1 and 2 have been optimized at the B3LYP/6-31G(d,p) level of theory (Figure 1).
Figure 1.
Structures of a) 1,1-dimethyl-3-oxo-1,4-diazepan-1-ium chloride (1) and b) 1,1-dimethyl-1-carboxymethyl-3-aminopropyl ammonium hydrochloride (2) calculated by the B3LYP/6-31G(d,p) method.
Figure 1.
Structures of a) 1,1-dimethyl-3-oxo-1,4-diazepan-1-ium chloride (1) and b) 1,1-dimethyl-1-carboxymethyl-3-aminopropyl ammonium hydrochloride (2) calculated by the B3LYP/6-31G(d,p) method.

Table 1 shows the energies, dipole moments and selected geometrical parameters calculated at the B3LYP/6-31G(d,p) level of theory for compounds 1 and 2. In 2 the N+H3 group forms a hydrogen bond with chloride anion, NH···Cl = 2.906 Å, and its protons are not equivalent. Additionally the N+(CH3) group is engaged in an intramolecular interaction with the COO- group. In 1 the chloride anion interacts via Coulombic attractions with the adjacent positively charged nitrogen atom and also has close contacts with NH group.
Table 1.
Selected parameters of investigated compounds (1) and (2) estimated by B3LYP/6-31G(d,p) calculations.
| Parameters | Compound | |
|---|---|---|
| 1 | 2 | |
| Energy (a.u) | -920.693398 | -997.308310 |
| Dipole moment (Debye) | 14.9394 | 5.7351 |
| C(3)=O (Å) | 1.227 | 1.253, 1.232 |
| N(4)···Cl (Å) | 3.001 | 2.906 |
| N(4)-H (Å) | 1.042 | 1.133 |
| N(4)-H·Cl (deg.) | 135.3 | 177.1 |
| N(1)··· Cl (Å) | 4.470 | 4.066 |
| N(1)··· O (Å) | 3.201 | 2.944 |
| C(7)··· O (Å) | 3.201 | 2.901 |
| N(4)-C(3) (Å3) | 1.351 | - |
| N(4)-C(5)-C(6)-C(7) (deg) | -8.58 | -67.64 |
| N(1)-C(2)-C(3)-N(4) (deg) | -81.64 | - |
| N(1)-C(2)-C(3)-O (deg) | 93.13 | 9.75, -170.8 |
| N(1)-C(7)-C(6)-C(5) (deg) | -67.74 | -73.15 |
| C(2)-C(3)-N(4)-C(5) (deg) | 0.35 | - |
FTIR study
Room-temperature solid-state FTIR, Raman and calculated spectra of 1 and 2 are shown in Figure 2 and Figure 3, respectively. The stretching vibration, ν(C=O), of 1 appears in the FTIR spectrum as a broad and intense band at 1687 cm-1, which is characteristic for carbonyl groups in cyclic structures. In the Raman spectrum this absorption is very small and lies at 1671 cm-1. The strong absorption in the 3170-3080 cm-1 region arises from the NH stretching vibrations. This absorption shifts to lower wavenumbers after deuteration and one broad band at 2315 cm-1 which corresponds to the ND group is present. No absorption of the ND group is observed in the Raman spectrum (Figure 2b). The bands at 1416 and 859 cm-1 are shifted to 1096 and 555 cm-1 when the proton in NH is replaced by deuterium (Figure 2a). Thus, these bands correspond to the NH and ND in-plane and out-in-plane bending modes, respectively. The strong absorption of (2) in the 3070-2370 cm-1 region corresponds to the ν(N+H···-Cl) band which is typical for hydrogen bonds with an N···Cl distance between 2.8 and 2.9 Å (Figure 3a). In the Raman spectrum of (2) (Figure 3b) this absorption is absent. The νas(COO-) and νs(COO-) for 1,1-dimethyl-1-carboxymethyl-3-aminopropyl ammonium hydrochloride (2) are located at 1658 and 1382 cm-1 and they have the slightly higher wavenumbers in comparison to betaines [18,19].
Figure 2.
Spectra of 1,1-dimethyl-3-oxo-1,4-diazepan-1-ium chloride (1): (a) FTIR (suspension in Nujol and Fluorolube, red line – deuterated analogue), (b) Raman and (c) calculated spectra.
Figure 2.
Spectra of 1,1-dimethyl-3-oxo-1,4-diazepan-1-ium chloride (1): (a) FTIR (suspension in Nujol and Fluorolube, red line – deuterated analogue), (b) Raman and (c) calculated spectra.

The DFT harmonic vibrational wavenubers are usually higher than the experimental values because of the neglect of anharmonicity, incomplete treatment of electron correlation and the use of finite on-partice basis sets. However, in this case the overall agreement between the experimental and calculated frequencies for 1 and 2 is good (Figure 2c and Figure 3c).
Figure 3.
Spectra of 1,1-dimethyl-1-carboxymethyl-3-aminopropyl ammonium hydro-chloride (2): (a) FTIR (suspension in Nujol and Fluorolube), (b) Raman and (c) calculated spectra.
Figure 3.
Spectra of 1,1-dimethyl-1-carboxymethyl-3-aminopropyl ammonium hydro-chloride (2): (a) FTIR (suspension in Nujol and Fluorolube), (b) Raman and (c) calculated spectra.

1H- and 13C-NMR study
The proton chemical shift assignments (Table 2) are based on 2D COSY experiments, in which the proton-proton connectivity is observed through the off-diagonal peaks in the counter plot. The relations between the experimental 1H- and 13C- chemical shifts (δexp) and the GIAO (Gauge-Independent Atomic Orbitals) isotropic magnetic shielding tensors (σcalc) are shown in Figure 4 and Figure 5. Both correlations are linear, described by the relationship: δexp = a + b·σcalc The a and b parameters are given in Table 2. It has been reported in the literature [20] that the correlation between the experimental chemical shifts and calculated isotropic screening constants are usually better for 13C atoms than for protons. The protons are located on the periphery of the molecule and thus are supposed to be more efficient in intermolecular (solute-solvent) effects than carbons. For this reason the agreement between the experimental and the calculated data for proton is worse than for 13C. The differences between the exact values of the calculated and experimental shifts for protons are probably due to the fact that the shifts are calculated for single molecules in gas phase.
Table 2.
Chemical shifts (δ, ppm) in D2O calculating GIAO nuclear magnetic shielding tensors (σcalc) for 1,1-dimethyl- 3-oxo-1,4-diazepan-1-ium chloride (1) and 1,1-dimethyl-1-carboxymethyl-3-aminopropyl ammonium hydrochloride (2). The predicted GIAO chemical shifts were computed from the linear equation δexp. = a + b·σcalc with a and b determined from the fit the experimental data ( r is the correlation coefficient).
| δexp. | δcalc | σcalc | δexp. | δcalc | σcalc | ||
|---|---|---|---|---|---|---|---|
| 1,1-Dimethyl- 3-oxo-1,4-diazepan-1-ium chloride (1) | |||||||
| 13C | 1H | ||||||
| C (8,9) | 42.2 | 55.2 | 140.5 | H (8,9) | 3.31 | 3.42 | 28.73 |
| C (2) | 71.1 | 69.4 | 127.6 | H (2) | 4.35 | 3.45 | 28.70 |
| C (3) | 170.0 | 168.1 | 38.0 | H (5) | 3.50 | 4.04 | 28.11 |
| C (5) | 55.9 | 44.1 | 150.6 | H (6) | 2.24 | 2.58 | 29.57 |
| C (6) | 27.2 | 25.8 | 167.2 | H (7) | 3.80 | 3.73 | 28.42 |
| C (7) | 69.6 | 73.4 | 124.0 | ||||
| a | 209.9207 | 32.1455 | |||||
| b | -1.1011 | -0.9999 | |||||
| r | 0.9869 | 0.6998 | |||||
| 1,1-Dimethyl-1-carboxymethyl-3-aminopropyl ammonium hydrochloride (2) | |||||||
| 13C | 1H | ||||||
| C (8,9) | 54.4 | 50.4 | 129.0 | H (8,9) | 3.27 | 3.28 | 28.66 |
| C (2) | 66.5 | 66.3 | 114.8 | H (2) | 3.93 | 3.24 | 28.70 |
| C (3) | 171.4 | 172.0 | 19.5 | H (5) | 3.70 | 3.25 | 28.01 |
| C (5) | 63.4 | 63.4 | 117.4 | H (6) | 2.18 | 2.36 | 29.69 |
| C (6) | 23.6 | 25.5 | 151.7 | H (7) | 3.10 | 3.44 | 28.47 |
| C (7) | 39.2 | 40.7 | 137.9 | ||||
| a | 193.5479 | 28.6193 | |||||
| b | -1.1085 | -0.8843 | |||||
| r | 0.9992 | 0.8030 | |||||
Figure 4.
Experimental chemical shifts (δexp, D2O) in 1,1-dimethyl-3-oxo-1,4-diazepan-1-ium chloride (1) vs. the isotropic magnetic shielding tensors (σcalc) from the GIAO/B3LYP/6-31G(d,p) calculations for molecules δexp = a + b· σcalc : (a) 13C and (b) 1H
Figure 4.
Experimental chemical shifts (δexp, D2O) in 1,1-dimethyl-3-oxo-1,4-diazepan-1-ium chloride (1) vs. the isotropic magnetic shielding tensors (σcalc) from the GIAO/B3LYP/6-31G(d,p) calculations for molecules δexp = a + b· σcalc : (a) 13C and (b) 1H

Figure 5.
Experimental chemical shifts (δexp, D2O) in 1,1-dimethyl-1-carboxymethyl-3-aminopropyl ammonium hydrochloride (2) vs. the isotropic magnetic shielding tensors (σcalc) from the GIAO/B3LYP/6-31G(d,p) calculations for molecules δexp = a + b· σcalc : (a) 13C and (b) 1H.
Figure 5.
Experimental chemical shifts (δexp, D2O) in 1,1-dimethyl-1-carboxymethyl-3-aminopropyl ammonium hydrochloride (2) vs. the isotropic magnetic shielding tensors (σcalc) from the GIAO/B3LYP/6-31G(d,p) calculations for molecules δexp = a + b· σcalc : (a) 13C and (b) 1H.

Conclusions
Quaternization of 1,1-dimethyl-1,3-propylenediamine with ethyl chloroacetate gives 1,1-dimethyl-3-oxo-1,4-diazepan-1-ium chloride (1) and with chloroacetic acid gives 1,1-dimethyl-1-carboxymethyl-3-aminopropyl ammonium hydrochloride (2) The structure of the investigated products 1 and 2 have been characterized by FTIR, Raman, NMR spectroscopies and B3LYP calculations. The FTIR spectra of the investigated compounds 1 and 2 correspond very well to the corresponding structures optimized by B3LYP calculations. Linear correlations between the experimental 1H- and 13C-NMR chemical shifts and the computed screening constants confirm the optimized geometry.
Experimental
General
The FTIR spectra in Nujol and Florolube mulls at 2 cm-1 resolution and Raman spectrum were recorded on a Bruker IFS 66v/S instrument, evacuated to avoid water and CO2 absorption. Each spectrum consists of 250 scans at 31o C. MS spectra were measured in water solutions on a Waters Micromass ZQ spectrometer. All 1D NMR spectra were measured with a Varian Gemini 300 VT spectrometer, operating at 300.07 and 75.4614 Hz for 1H- and 13C-, respectively. Typical conditions for the proton spectra were: pulse width 32°, acquisition time 5s, FT size 32 K and digital resolution 0.3 Hz per point, and for the carbon spectra pulse width 60°, FT size 60 K and digital resolution 0.6 Hz per point, the number of scans varied from 1200 to 10000 per spectrum. The 13C and 1H chemical shifts were measured in D2O relative to PSP in δ (ppm) relative to an internal standard of tetramethylsilane (TMS). All 1H- and 13C- resonances were assigned by 1H (COSY) and 13C (HETCOR). All 2D NMR spectra were recorded at 298 K on a Bruker Avance DRX 600 spectrometer operating at the frequencies 600.315 MHz (1H) and 150.963 MHz (13C), and equipped with a 5 mm triple-resonance inverse probehead [1H/31P/BB] with a self-shielded z gradient coil (90o 1H pulse width 9.0 μs and 13C pulse width 13.3 μs). The spectra were measured in D2O solution and the sample concentration was 40 mg per 0.6 ml of solvent. The chemical shifts δ (ppm) were referred to internal tetramethylsilane (TMS) in the 1H- and 13C-NMR spectra.
Computational Details
The calculations of geometrical parameters and FTIR frequencies were performed using the GAUSSIAN 03 package [21] at B3LYP [22,23,24] in conjugation with the 6-31G(d,p) [25] basis set. The NMR isotropic magnetic shielding tensors were calculated using the standard GIAO (Gauge-Independent Atomic Orbital) approach [26,27] of Gaussian 03 program package.
Syntheses
1,1-Dimethyl-3-oxo-1,4-diazepan-1-ium chloride (1)
1-1-Dimethyl-1,3-propylenediamine (2.19 g, 0.02 M) was mixing with ethyl chloroacetate (3.06 g, 0.02 M) in anhydrous ethanol (20 mL). The mixture was stirred at 70 oC for 50 h. The solvent was evaporated under reduced pressure and the residue was dried over P4O10 and then recrystallized from anhydrous ethanol, yield 65%, m.p. 238-241 oC; Elemental analysis: found (calc) %C 46.91 (47.06); %H 8.57 (8.40); %N 15.75 (15.69); ES+MS m/z 143 (C7H15N2O); 1H-NMR (D2O): δ 4.35 (2H, s, C(2)H2), 3.50 (2H, t, C(5)H2), 2.24 ((2H, qw, C(6)H2), 3.80 (2H, t, C(7)H2), 3.31 (6H, s, C(8)H3, C(9)H3); 13C-NMR (D2O): δ 71.1 (C(2)), 170 (C(3)), 55.9 (C(5)), 27.2 (C(6)), 69.6 (C(7)), 42.2 (C(8,9)); FTIR: ν(C=O) at 1671 cm-1. The deuterated sample was obtained by dissolving the compound in D2O (twice), evaporating to dryness and recrystallization (twice) from C2H5OD.
N,N-dimethyl-N-carboxymethyl-3-aminopropyl ammonium hydrochloride (2).
1-1-Dimethyl-1,3-propylenediamine (0,098 M; 12,3 mL) was mixing with ethyl chloroacetic acid (0.098 M; 9.26 g) in anhydrous ethanol (20 mL). The mixture was stirred at 70 oC for 40 h. The solvent was evaporated under reduced pressure and the residue was dried over P4O10 and then recrystallized from anhydrous ethanol, yield 69%, m.p. 211-213 oC; Elemental analysis: found (calc) %C 42.52 (42.75); %H 09.01 (8.91); %N 14.11 (14.24); ES+MS m/z 161 (C7H17N2O2); 1H-NMR (D2O): δ 3.93 (2H, s, C(2)H2), 3.70 (2H, t, C(5)H2), 2.18 ((2H, qw, C(6)H2), 3.10 (2H, t, C(7)H2), 3.27 (6H, s, C(8)H3, C(9)H3); 13C-NMR (D2O): δ 66.5 (C(2)), 171.4 (C(3)), 63.4 (C(5)), 23.6 (C(6)), 39.2 (C(7)), 54.4 (C(8,9)); FTIR: ν(COO-) at 1658 cm-1.
Acknowledgements
This work was supported by the funds from Adam Mickiewicz University, Faculty of Chemistry.
References
- Karigiannis, G.; Papaioannou, D. Structure, Biological Activity and Synthesis of Polyamine Analogues and Conjugates. Eur. J. Org. Chem. 2000, 2000, 1841–1863. [Google Scholar] [CrossRef]
- Wallace, H. M.; Fraser, A.V.; Hughes, A. A perspective of polyamine metabolism. Biochem. J. 2003, 376, 1–14. [Google Scholar] [CrossRef] [PubMed]
- Majtan, V.; Majtanova, L. Effect of quaternary ammonium salts and amine oxides on the surface hydrophobicity of Enterobacter cloacae. Chem. Papers 2000, 54, 49–52. [Google Scholar]
- Devinsky, F.; Masarova, L.; Lacko, L.; Mlynarcik, D. Synthesis, IR spectra, and antimicrobial activity of some bis-ammonium salts of N,N’-bis(2-dimethylaminoethyl)methylamine. Coll. Czech. Chem. Commun. 1984, 49, 2819–2827. [Google Scholar] [CrossRef]
- Jones, R.A. Quaternary Ammonium Salts. Their Use in Phase-Transfer Catalysis; Academic Press: San Diego, CA, USA, 2001. [Google Scholar]
- Fraise, A. P.; Lambert, P.A.; Maillard, J-Y. (Eds.) Russell, Hugo & Ayliffe’s Principles and Practice of Disinfection, Preservation and Sterilization; Blackwell Publishing: Birmingham, UK, 2004.
- Block, S.S. (Ed.) Disinfection, Sterilization, and Preservation, 5th ed.; Lippincott Williams & Wilkins: Philadephia, 2001.
- Brycki, B.; Werner, J.; Kowalczyk, I. Synthesis and spectroscopic properties of N,N-bis-(3-aminopropyl)-N,N-dialkylammonium salts. Ann. Pol. Chem. 2005, 1, 192–195. [Google Scholar]
- Domingo, X. “Betaines” in Amphoteric Surfactants; Lomax, E.G., Ed.; Marcel Dekker: New York, 1996; pp. 76–190. [Google Scholar]
- Schaack, G. Experimental results on phase transitions in betaine compounds. Ferroelectrics 1990, 104, 147–158. [Google Scholar] [CrossRef]
- Szafran, M.; Kowalczyk, I.; Koput, J.; Katrusiak, A. X-ray and DFT studies of structure, vibrational and NMR spectra of 2-amino-pyridine betaine hydrochloride. J. Mol. Struct. 2005, 744-747, 59–67. [Google Scholar]
- Kröhnke, F.; Schnegelberger, H.; Weis, W. Synthesen von 1-Hydroxy-dehydrochinolizinium-, Oxa- und Aza-dehydrochinoliziniumsalzen. Chem. Ber. 1964, 97, 3566–3576. [Google Scholar] [CrossRef]
- Szafran, M.; Kowalczyk, I.; Katrusiak, A. Crystal and molecular structure of 3-(2-amino-pyridinium)-propionate monohydrate. J. Mol. Struct. 2006, 786, 25–32. [Google Scholar] [CrossRef]
- Kowalczyk, I.; Szafran, M. Synthesis, spectral and B3LYP analysis of 1-R-2-oxo-pyrido[2,1b][3,4]dihydro-pyrimidinium halides. ARKIVOC 2007, VI, 55–63. [Google Scholar]
- Szafran, M.; Kowalczyk, I.; Katrusiak, A. Prototropic equilibrium between 1-H-2-oxopyrido-[2,1b][3,4]dihydropyrimidinium chloride and 3-(2-aminopyridinium)propionate hydrochloride studied by X-ray, FTIR, Raman, NMR and ab initio methods. J. Mol. Struct. [CrossRef]
- Melandri, M.; Buttini, A.; Degiuli, G. New heterocyclic compounds containing a quaternary N+H3 group. Boll. Chim. Farm. 1964, 103, 895–903. [Google Scholar] [PubMed]
- Wlodarczyk, N.; Gilleron, P.; Millet, R.; Houssin, R.; Henichart, J.-P. Synthesis of 1,4-diazepin-5-ones under microwave irradiation and their reduction products. Tetrahedron Lett. 2007, 48, 2583–2586. [Google Scholar] [CrossRef]
- Buyukmurat, Y.; Akyuz, S. Theoretical and experimental studies of IR spectra of 4-aminopyridine metal(II) complexes. J. Mol. Struct. 2003, 651-653, 533–539. [Google Scholar]
- Harmon, K.M.; Avci, G.F. Hydrogen bonding : Part 15. Infrared study of hydrogen bonding in betaine hydrate and betaine hydrofluoride. J. Mol. Struct. 1984, 117, 295–302. [Google Scholar]
- Ośmiałowski, B.; Kolehmainen, E.; Gawinecki, R. GIAO/DFT calculated chemical shifts of tautomeric species. 2-Phenacylpyridines and (Z)-2-(2-hydroxy-2-phenylvinyl)pyridines. Magn. Res. Chem. 2001, 39, 334–340. [Google Scholar]
- Frisch, M. J.; Trucks, G. W.; Schlegel, H. B.; Scuseria, G. E.; Robb, M. A.; Cheeseman, J. R.; Montgomery, J. A.; Vreven, T., Jr.; Kudin, K. N.; Burant, J. C.; Millam, J. M.; Iyengar, S. S.; Tomasi, J.; Barone, V.; Mennucci, B.; Cossi, M.; Scalmani, G.; Rega, N.; Petersson, G. A.; Nakatsuji, H.; Hada, M.; Ehara, M.; Toyota, K.; Fukuda, R.; Hasegawa, J.; Ishida, M.; Nakajima, T.; Honda, Y.; Kitao, O.; Nakai, H.; Klene, M. X.; Li; Knox, J. E.; Hratchian, H. P.; Cross, J. B.; Adamo, C.; Jaramillo, J.; Gomperts, R.; Stratmann, R. E.; Yazyev, O.; Austin, A.J.; Cammi, R.; Pomelli, C.; Ochterski, J. W.; Ayala, P. Y.; Morokuma, K.; Voth, G. A.; Salvador, P.; Dannenberg, J. J.; Zakrzewski, V. G.; Dapprich, S.; Daniels, A. D.; Strain, M. C.; Farkas, O.; Malick, D. K.; Rabuck, A. D.; Raghavachari, K.; Foresman, J. B.; Ortiz, J. V.; Cui, Q.; Baboul, A. G.; Clifford, S.; Cioslowski, J.; Stefanov, B. B.; Liu, G.; Liashenko, A.; Piskorz, P.; Komaromi, I.; Martin, R. L.; Fox, D. J.; Keith, T.; Al-Laham, M. A.; Peng, C.Y.; Nanayakkara, A.; Challacombe, M.; Gill, P. M. W.; Johnson, B.; Chen, W.; Wong, M. W.; Gonzalez, C.; Pople, J. A. Gaussian 03, Revision C.01; Gaussian, Inc.: Wallingford, CT, USA, 2004. [Google Scholar]
- Becke, A.D. Density-functional thermochemistry. III. The role of exact exchange. J. Chem. Phys. 1993, 98, 5648–5652. [Google Scholar]
- Becke, A.D. Density-functional thermochemistry. V. Systematic optimization of exchange-correlation functionals. J. Chem. Phys. 1997, 107, 8554–8560. [Google Scholar]
- Lee, C.; Yang, W.; Parr, G. R. Development of the Colle-Salvetti correlation-energy formula into a functional of the electron density. Phys. Rev. 1988, B 37, 785–789. [Google Scholar]
- Hehre, W. J.; Random, L.; Schleyer, P.V.R.; Pople, J.A. Ab Initio Molecular Orbital Theory; Wiley: New York, 1986. [Google Scholar]
- Dichfield, R. Self-consistent perturbation theory of diamagnetism I. A gauge-invariant LCAO method for N.M.R. chemical shifts. Mol. Phys. 1974, 27, 789–807. [Google Scholar]
- Wolinski, K.; Hilton, J.F.; Pulay, P. Efficient implementation of the gauge-independent atomic orbital method for NMR chemical shift calculations. J. Am. Chem. Soc. 1990, 112, 8251–8260. [Google Scholar] [CrossRef]
- Sample Availability: Contact the author.
© 2008 by MDPI (http://www.mdpi.org). Reproduction is permitted for noncommercial purposes.