Design, Synthesis and Applications of Hyaluronic Acid-Paclitaxel Bioconjugates†
Abstract
:1. Introduction
1.1.Paclitaxel
1.2.Hyaluronic Acid
1.3. Paclitaxel Derivatives
2. Synthesis and Applications of HA-paclitaxel Bioconjugates 3-4
2.1. Synthesis

2.2. In Vitro Antitumor Activity of Bioconjugates 3-4
2.3. In Vivo Antitumor Activity of Bioconjugate 3
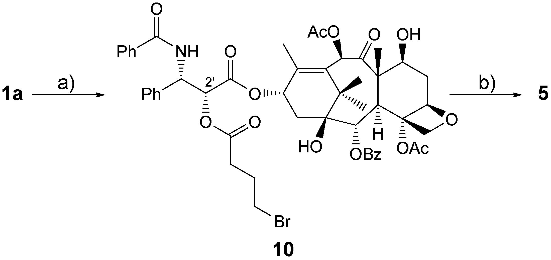
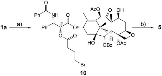
3. Synthesis and Applications of HA-paclitaxel Bioconjugate 5
3.1. Synthesis

3.2. In Vitro Antitumor Activity of Bioconjugate 5
3.3. In Vivo Antitumor Activity of Bioconjugate 5
4. Synthesis and Applications of HA-paclitaxel Bioconjugate 6 and Biomaterial 14
4.1. Synthesis

4.2. In Vitro Antitumor Activity of Biomaterial 14
5. HA-paclitaxel Combinations
5.1. Paclitaxel-loaded Crosslinked HA Films for the Prevention of Postsurgical Adhesions
5.2. In vivo Inhibition of Mice Lewis Lung Carcinoma and U14 Cervical Tumor By Combination of Paclitaxel and HA.
5.3. Polyelectrolyte Multilayers Films Incorporating Paclitaxel
6. Conclusions
Acknowledgements
References and Notes
- Prof. Vittorio Crescenzi (12-Jan-1932-12-Jun-2007), a leading scientist in the field of macromolecules and biopolymers, taught in several Italian Universities (Bari, Napoli, Trieste, Roma “La Sapienza”). He was a NATO Fellow in the Laboratory of Nobel Laureate P.J. Flory at Stanford University and Visiting Professor at Stevens Institute of Technology in Hoboken, N.J.
- Wani, M.C.; Taylor, H.L.; Wall, M.E.; Coggon, P.; McPhail, A.T. Plant antitumor agents. VI. Isolation and structure of Taxol, a novel antileukemic and antitumor agent from Taxus brevifolia. J. Am. Chem. Soc. 1971, 93, 2325–2327. [Google Scholar] [CrossRef]
- Perez, E.A. Paclitaxel in breast cancer. Oncologist 1998, 3, 373–389. [Google Scholar]
- Gibbs, J.B. Mechanism-based target identification and drug discovery in cancer research. Science 2000, 287, 1969–1973. [Google Scholar] [CrossRef]
- Jordan, M.A.; Wilson, L. Microtubules as a target for anticancer drugs. Nat. Rev. Cancer 2004, 4, 253–265. [Google Scholar] [CrossRef]
- Markman, M. Weekly paclitaxel in the management of ovarian cancer. Semin. Oncol. 2000, 27, 37–40. [Google Scholar]
- Seiden, M.V. Ovarian Cancer. Oncologist 2001, 6, 327–332. [Google Scholar] [CrossRef]
- Singla, A.K.; Garg, A.; Aggarwal, D. Paclitaxel and its formulations. Int. J. Pharm. 2002, 235, 179–192. [Google Scholar] [CrossRef]
- Denis, J.-N.; Greene, A.E.; Guénard, D.; Guéritte-Voegelein, F.; Mangatal, L.; Potier, P. Highly efficient, practical approach to natural Taxol. J. Am. Chem. Soc. 1988, 110, 5917–5919. [Google Scholar]
- Holton, R.A. Method for preparation of Taxol. Eur. Pat. Appl. EP 400971, 1990. [Google Scholar]
- Patel, R.N. Tour de Paclitaxel: biocatalysis for semisynthesis. Annu. Rev. Microbiol. 1998, 52, 361–395. [Google Scholar] [CrossRef]
- Galletti, E.; Magnani, M.; Renzulli, M.L.; Botta, M. Paclitaxel and docetaxel resistance: molecular mechanisms and development of new generation taxanes. ChemMedChem 2007, 2, 920–942. [Google Scholar] [CrossRef]
- Szebeni, J.; Muggia, F.M.; Alving, C.R. Complement activation by Cremophor EL as a possible contributor to hypersensitivity to paclitaxel: an in vitro study. J. Natl. Cancer Inst. 1998, 90, 300–306. [Google Scholar] [CrossRef]
- Thigpen, J.T. Chemotherapy for advanced ovarian cancer: overview of randomized trials. Semin. Oncol. 2000, 27, 11–16. [Google Scholar]
- Knemeyer, I.; Wientjes, M.G.; Au, J.L.-S. Cremophor reduces paclitaxel penetration into bladder wall during intravesical treatment. Cancer Chemother. Pharmacol. 1999, 44, 241–248. [Google Scholar] [CrossRef]
- Gelderblom, H.; Verweij, J.; Van Zomeren, D. M.; Buijs, D.; Ouwens, L.; Nooter, K.; Stoter, G.; Sparreboom, A. Influence of Cremophor EL on the bioavailability of intraperitoneal paclitaxel. Clin. Cancer Res. 2002, 8, 1237–1241. [Google Scholar]
- Laurent, T.C.; Laurent, U.B.; Fraser, J.R. Functions of hyaluronan. Ann. Rheum. Dis. 1995, 54, 429–432. [Google Scholar] [CrossRef]
- Misra, S.; Toole, B.P.; Ghatak, S. Hyaluronan constitutively regulates activation of multiple receptor tyrosine kinases in epithelial and carcinoma cells. J. Biol. Chem. 2006, 281, 34936–34941. [Google Scholar] [CrossRef]
- Ohno, S.; Im, H.-J.; Knudson, C.B.; Knudson, W. Hyaluronic oligosaccharides induce matrix metalloproteinase 13 via transcriptional activation of NFkB and p38 MAP kinase in articular chondrocytes. J. Biol. Chem. 2006, 281, 17952–17960. [Google Scholar]
- Rooney, P.; Kumar, S.; Ponting, J.; Wang, M. The role of hyaluronan in tumour neovascularization (review). Int. J. Cancer 1995, 60, 632–636. [Google Scholar] [CrossRef]
- Akima, K.; Ito, H.; Iwata, Y.; Matsuo, K.; Watari, N.; Yanagi, M.; Hagi, H.; Oshima, K.; Yagita, A.; Atomi, Y.; Tatekawa, I. Evaluation of antitumor activities of hyaluronate binding antitumor drugs: synthesis, characterization and antitumor activity. J. Drug Target. 1996, 4, 1–8. [Google Scholar] [CrossRef]
- Jaracz, S.; Chen, J.; Kuznetsova, L.V.; Ojima, I. Recent advances in tumor-targeting anticancer drug conjugates. Bioorg. Med. Chem. 2005, 13, 5043–5054. [Google Scholar] [CrossRef]
- Pawar, R.; Shikanov, A.; Vaisman, B.; Domb, A.J. Intravenous and regional paclitaxel formulations. Curr. Med. Chem. 2004, 11, 397–402. [Google Scholar] [CrossRef]
- Kim, T.-Y.; Kim, D.-W.; Chung, J.-Y.; Shin, S.G.; Kim, S.-C.; Heo, D.S.; Kim, N.K.; Bang, Y.-J. Phase I and pharmacokinetic study of Genexol-PM, a Cremophor-free, polymeric micelle-formulated paclitaxel, in patients with advanced malignancies. Clin. Cancer Res. 2004, 10, 3708–3716. [Google Scholar] [CrossRef]
- Wang, Y. Tocosol® paclitaxel. Anticancer formulation. Drugs Fut. 2006, 31, 40–42. [Google Scholar] [CrossRef]
- Henderson, I.C.; Bhatia, V. Nab-paclitaxel for breast cancer: a new formulation with an improved safety profile and greater efficacy. Exp. Rev. Anticancer Ther. 2007, 7, 919–943. [Google Scholar] [CrossRef]
- Skwarczynki, M.; Hayashi, Y.; Kiso, Y. Paclitaxel prodrugs: toward smarter delivery anticancer agents. J. Med. Chem. 2006, 49, 7253–7269, and references cited therein. [Google Scholar] [CrossRef]
- Greenwald, R.B.; Pendri, A.; Bolikal, D.; Gilbert, C.W. Highly water soluble taxol derivatives: 2’-polyethylene glycol esters as potential prodrugs. Bioorg. Med. Chem. Lett. 1994, 4, 2465–2470. [Google Scholar]
- Greenwald, R.B.; Pendri, A.; Bolikal, D. Highly water soluble taxol derivatives: 7-polyethylene glycol carbamates and carbonates. J. Org. Chem. 1995, 60, 331–336. [Google Scholar] [CrossRef]
- Li, C.; Yu, D.; Inoue, T.; Yang, D.J.; Milas, L.; Hunter, N.R.; Kim, E.E.; Wallace, S. Synthesis and evaluation of water-soluble polyethylene glycol-paclitaxel conjugate as a paclitaxel prodrug. Anticancer Drugs 1996, 7, 642–648. [Google Scholar] [CrossRef]
- Greenwald, R.B.; Gilbert, C.W.; Pendri, A.; Conover, C.D.; Xia, J.; Martinez, A. Drug delivery systems: water soluble taxol 2’-poly(ethylene glycol) ester prodrugs-design and in vivo effectiveness. J. Med. Chem. 1996, 39, 424–431. [Google Scholar] [CrossRef]
- Pendri, A.; Conover, C.D.; Greenwald, R.B. Antitumor activity of paclitaxel-2’-glycinate conjugate to poly(ethylene glycol): a water soluble prodrug. Anticancer Drug Des. 1998, 13, 387–395. [Google Scholar]
- Ceruti, M.; Crosasso, P.; Brusa, P.; Arpicco, S.; Dosio, F.; Cattel, L. Preparation, characterization, cytotoxicity and pharmacokinetics of liposomes containing water-soluble prodrugs of paclitaxel. J. Controlled Release 2000, 63, 141–153. [Google Scholar] [CrossRef]
- Feng, X.; Yuan, Y.-J.; Wu, J.-C. Synthesis and evaluation of water-soluble paclitaxel prodrugs. Bioorg. Med. Chem. Lett. 2002, 12, 3301–3303. [Google Scholar] [CrossRef]
- Rodrigues, P.C.; Scheuermann, K.; Stockmar, C.; Maier, G.; Fiebig, H.H.; Unger, C.; Mülhaupt, R.; Kratz, F. Synthesis and in vitro efficacy of acid-sensitive poly(ethylene glycol) paclitaxel conjugates. Bioorg. Med. Chem. Lett. 2003, 13, 355–360. [Google Scholar] [CrossRef]
- Zhang, X.; Li, Y.; Chen, X.; Wang, X.; Xu, X.; Liang, Q.; Hu, J.; Jing, X. Synthesis and characterization of the paclitaxel/MPEG-PLA block copolymer conjugate. Biomaterials 2005, 26, 2121–2128. [Google Scholar]
- Khandare, J.J.; Jayant, S.; Singh, A.; Chandna, P.; Wang, Y.; Vorsa, N.; Minko, T. Dendrimer versus linear conjugate: influence of polymeric architecture on the delivery and anticancer effect of paclitaxel. Bioconj. Chem. 2006, 17, 1464–1472. [Google Scholar] [CrossRef]
- Wermeckes, B.; Hess, M.; Dehne, S.; Jo, B.-W.; Sohn, J.-S. Characterization of PEG-modified paclitaxel. Mater. Res. Innov 2006, 10, 364–375. [Google Scholar] [CrossRef]
- Kratz, F.; Abu Ajai, K.; Warnecke, A. Anticancer carrier-linked prodrugs in clinical trials. Expert Opin. Invest. Drugs 2007, 16, 1037–1058. [Google Scholar] [CrossRef]
- Xie, Z.; Lu, T.; Chen, X.; Lu, C.; Zheng, Y.; Jing, X. Triblock poly(lactic acid)-b-poly(ethylene glycol)-b-poly(lactic acid)/paclitaxel conjugates: synthesis, micellization, and cytotoxicity. J. Appl. Polym. Sci. 2007, 105, 2271–2279. [Google Scholar] [CrossRef]
- Xie, Z.; Guan, H.; Chen, X.; Lu, C.; Chen, L.; Hu, X.; Shi, Q.; Jing, X. A novel polymer-paclitaxel conjugate based on amphiphilic triblock copolymer. J. Controlled Release 2007, 117, 210–216. [Google Scholar] [CrossRef]
- Lim, J.; Simanek, E.E. Synthesis of water-soluble dendrimers based on melamine bearing 16 paclitaxel groups. Org. Lett. 2008, 10, 201–204. [Google Scholar] [CrossRef]
- Mendichi, R.; Rizzo, V.; Gigli, M.; Giacometti Schieroni, A. Dilute-solution properties of a polymeric antitumor drug carrier by size-exclusion chromatography, viscometry, and light scattering. J. Appl. Polym. Sci. 1998, 70, 329–338. [Google Scholar] [CrossRef]
- Meerum Terwogt, J.M.; ten Bokkel Huinink, W.W.; Schellens, J.H.M.; Schot, M.; Mandjes, I.A.M.; Zurlo, M.G.; Rocchetti, M.; Rosing, H.; Koopman, F.J.; Beijnen, J.H. Phase I clinical and pharmacokinetic study of PNU166945, a novel water-soluble polymer-conjugated prodrug of paclitaxel. Anti-Cancer Drugs 2001, 12, 315–323. [Google Scholar] [CrossRef]
- Duncan, R.; Gac-Breton, S.; Keane, R.; Musila, R.; Sat, Y.N.; Satchi, R.; Searle, F. Polymer-drug conjugates, PDEPT and PELT: basic principles for design and transfer from the laboratory to clinic. J. Controlled Release 2001, 74, 135–146. [Google Scholar] [CrossRef]
- Rihova, B.; Kubackova, K. Clinical implications of N-(2-hydroxypropyl)methacrylamide copolymers. Curr. Pharm. Biotechnol. 2003, 4, 311–322. [Google Scholar] [CrossRef]
- Haag, R.; Kratz, F. Polymer Therapeutics: concept and applications. Angew. Chem. Int. Ed. 2006, 45, 1198–1215. [Google Scholar] [CrossRef]
- Sugahara, S.; Kajiki, M.; Kuriyama, H.; Kobayashi, T. Paclitaxel delivery systems: the use of amino acid linkers in the conjugation of paclitaxel with carboxymethyldextran to create prodrugs. Biol. Pharm. Bull. 2002, 25, 632–641. [Google Scholar] [CrossRef]
- Multani, A.S.; Li, C.; Ozen, M.; Yadav, M.; Yu, D.-F.; Wallace, S.; Pathak, S. Paclitaxel and water-soluble poly(L-glutamic acid)-paclitaxel induce direct chromosomal abnormalities and cell death in a murine metastatic melanoma cell line. Anticancer Res. 1997, 17, 4269–4274. [Google Scholar]
- Li, C.; Yu, D.-F.; Newman, R.A.; Cabral, F.; Stephens, L.C.; Hunter, N.; Milas, L.; Wallace, S. Complete regression of well-established tumors using a novel water-soluble poly(L-glutamic acid)-paclitaxel conjugate. Cancer Res. 1998, 58, 2404–2409. [Google Scholar]
- Li, C.; Price, J.E.; Milas, L.; Hunter, N.R.; Ke, S.; Yu, D.-F.; Charnsangavej, C.; Wallace, S. Antitumor activity of poly(L-glutamic acid)-paclitaxel on syngeneic and xenografted tumors. Clin. Cancer Res. 1999, 5, 891–897. [Google Scholar]
- Multani, A.S.; Li, C.; Ozen, M.; Imam, A.S.; Wallace, S.; Pathak, S. Cell-killing by paclitaxel in a metastatic murine melanoma cell line is mediated by extensive telomere erosion with no decrease in telomerase activity. Oncol. Rep. 1999, 6, 39–44. [Google Scholar]
- Li, C.; Newman, R.A.; Wu, Q.-P.; Ke, S.; Chen, W.; Hutto, T.; Kan, Z.; Brannan, M.D.; Charnsangavej, C.; Wallace, S. Biodistribution of paclitaxel and poly(L-glutamic acid)-paclitaxel conjugate in mice with ovarian OCa-1 tumor. Cancer Chemother. Pharmacol. 2000, 46, 416–422. [Google Scholar] [CrossRef]
- Li, C.; Ke, S.; Wu, Q.P.; Tansey, W.; Hunter, N.; Buchmiller, L.M.; Milas, L.; Charnsangavej, C.; Wallace, S. Tumor irradiation enhances the tumor-specific distribution of poly(L-glutamic acid)-conjugated paclitaxel and its antitumor efficacy. Clin. Cancer Res. 2000, 6, 2829–2834. [Google Scholar]
- Oldham, E.A.; Li, C.; Ke, S.; Wallace, S.; Huang, P. Comparison of action of paclitaxel and poly(L-glutamic acid)-paclitaxel conjugate in human breast cancer cells. Int. J. Oncol. 2000, 16, 125–132. [Google Scholar]
- Li, C.; Ke, S.; Wu, Q.-P.; Tansey, W.; Hunter, N.; Buchmiller, L.M.; Milas, L.; Charnsangavej, C.; Wallace, S. Potentiation of ovarian OCA-1 tumor radioresponse by poly(L-glutamic acid)-paclitaxel conjugate. Int. J. Radiat. Oncol. Biol. Phys. 2000, 48, 1119–1126. [Google Scholar] [CrossRef]
- Ke, S.; Milas, L.; Charnsangavej, C.; Wallace, S.; Li, C. Potentiation of radioresponse by polymer-drug conjugates. J. Controlled Release 2001, 74, 237–242. [Google Scholar] [CrossRef]
- Auzenne, E.; Donato, N.J.; Li, C.; Leroux, E.; Price, R.E.; Farquhar, D.; Klostergaard, J. Superior therapeutic profile of poly-L-glutamic acid-paclitaxel copolymer compared with Taxol in xenogeneic compartmental models of human ovarian carcinoma. Clin. Cancer Res. 2002, 8, 573–581. [Google Scholar]
- Singer, J.W.; Baker, B.; de Vries, P.; Kumar, A.; Shaffer, S.; Vawter, E.; Bolton, M.; Garzone, P. Poly-(L)-glutamic acid-paclitaxel (CT-2103) [XYOTAX], a biodegradable polymeric drug conjugate: characterization, preclinical pharmacology, and preliminary clinical date. Adv. Exp. Med. Biol. 2003, 519, 81–99. [Google Scholar]
- Milas, L.; Mason, K.A.; Hunter, N.; Li, C.; Wallace, S. Poly(L-glutamic acid)-paclitaxel conjugate is a potent enhancer of tumor radiocurability. Int. J. Radiat. Oncol. Biol. Phys. 2003, 55, 707–712. [Google Scholar] [CrossRef]
- Tishler, R.B. Polymer-conjugated paclitaxel as a radiosensitizing agent-A big step forward for combined modality therapy? Int. J. Radiation Oncology Biol. Phys. 2003, 55, 563–564. [Google Scholar] [CrossRef]
- Zou, Y.; Fu, H.; Ghosh, S.; Farquhar, D.; Klostergaard, J. Antitumor activity of hydrophilic paclitaxel copolymer prodrug using locoregional delivery in human orthotopic non-small cell lung cancer xenograft models. Clin. Cancer Res. 2004, 10, 7382–7391. [Google Scholar] [CrossRef]
- Sabbatini, P.; Aghajanian, C.; Dizon, D.; Anderson, S.; Dupont, J.; Brown, J.V.; Peters, W.A.; Jacobs, A.; Mehdi, A.; Rivkin, S.; Eisenfeld, A.J.; Spriggs, D. Phase II study of CT-2103 in patients with recurrent epithelial ovarian, fallopian tube, or primary peritoneal carcinoma. J. Clin. Oncol. 2004, 22, 4523–4531. [Google Scholar] [CrossRef]
- Singer, J.W.; Shaffer, S.; Baker, B.; Bernareggi, A.; Stromatt, S.; Nienstedt, D.; Besman, M. Paclitaxel poliglumex (XYOTAX; CT-2103): an intracellularly targeted taxane. Anti-Cancer Drugs 2005, 16, 243–254. [Google Scholar] [CrossRef]
- Nemunaitis, J.; Cunningham, C.; Senzer, N.; Gray, M.; Oldham, F.; Pippen, J.; Mennel, R.; Eisenfeld, A. Phase I Study of CT-2103, A polymer-conjugated paclitaxel, and carboplatin in patients with advanced solid tumors. Cancer Invest. 2005, 23, 671–676. [Google Scholar] [CrossRef]
- Singer, J.W. Paclitaxel poliglumex (XYOTAX, CT-2103): a macromolecular taxane. J. Controlled Release 2005, 109, 120–126. [Google Scholar] [CrossRef]
- Chipman, S.D.; Oldham, F.B.; Pezzoni, G.; Singer, J.W. Biological and clinical characterization of paclitaxel poliglumex (PPX, CT-2103), a macromolecular polymer-drug conjugate. Int. J. Nanomed. 2006, 1, 375–383. [Google Scholar] [CrossRef]
- Lee, K.H.; Chung, Y.J.; Kim, Y.C.; Song, S.J. Anti-tumor activity of paclitaxel prodrug conjugated with polyethylene glycol. Bull. Kor. Chem. Soc. 2005, 26, 1079–1082. [Google Scholar] [CrossRef]
- Lee, Y. Preparation and characterization of folic acid linked poly(L-glutamate)nanoparticles for cancer targeting. Macromol. Res. 2006, 14, 387–393. [Google Scholar]
- Dipetrillo, T.; Milas, L.; Evans, D.; Akerman, P.; Ng, T.; Miner, T.; Cruff, D.; Chauhan, B.; Iannitti, D.; Harrington, D.; Safran, H. Paclitaxel poliglumex (PPX-Xyotax) and concurrent radiation for esophageal and gastric cancer: a phase I study. Am. J. Clin. Oncol. 2006, 29, 376–379. [Google Scholar]
- Albain, K.S.; Belani, C.P.; Bonomi, P.; O’Byrne, K.J.; Schiller, J.H.; Socinski, M. Pioneer: a phase III randomized trial of paclitaxel poliglumex versus paclitaxel in chemotherapy-naïve women with advanced-stage non small-cell lung cancer and performance status of 2. Clin. Lung Canc. 2006, 7, 417–419.75. [Google Scholar] [CrossRef]
- Jackson, E.F:; Esparza-Coss, E.; Wen, X.; Ng, C.S.; Daniel, S.L.; Price, R.E.; Rivera, B.; Charnsangavej, C.; Gelovani, J.G.; Li, C. Magnetic resonance imaging of therapy-induced necrosis using gadolinium-chelated polyglutamic acids. Int. J. Radiat. Oncol. Biol. Phys. 2007, 68, 830–838. [Google Scholar] [CrossRef]
- Boddy, A.V. Paclitaxel poliglumex: antimitotic drug oncolytic. Drugs Fut. 2007, 32, 776–780. [Google Scholar] [CrossRef]
- Bonomi, P. Paclitaxel poliglumex (PPX, CT-2103): macromolecular medicine for advanced non-small-cell lung cancer. Expert Rev. Anticancer Ther. 2007, 7, 415–422. [Google Scholar] [CrossRef]
- Papas, S.; Akoumianaki, T.; Kalogiros, C.; Hadjiarapoglou, L.; Theodoropoulos, P.A.; Tsikaris, V. Synthesis and antitumor activity of peptide-paclitaxel conjugates. J. Pept. Sci. 2007, 13, 662–671. [Google Scholar]
- Kumar, S.K.; Williams, S.A.; Isaacs, J.T.; Denmeade, S.R.; Khan, S.R. Modulating paclitaxel bioavailability for targeting prostate cancer. Bioorg. Med. Chem. 2007, 15, 4973–4984. [Google Scholar]
- Dosio, F.; Brusa, P.; Crosasso, P.; Arpicco, S.; Cattel, L. Preparation, characterization and properties in vitro and in vivo of a paclitaxel-albumin conjugate. J. Controlled Release 1997, 47, 293–304. [Google Scholar] [CrossRef]
- Bicamumpaka, C.; Page, M. In vitro cytotoxicity of paclitaxel-transferrin conjugate on H69 cells. Oncol. Rep. 1998, 5, 1381–1383. [Google Scholar]
- Dosio, F.; Arpicco, S.; Brusa, P.; Stella, B.; Cattel, L. Poly(ethylene glycol)-human serum albumin-paclitaxel conjugates: preparation, characterization and pharmacokinetics. J. Controlled Release 2001, 76, 107–117. [Google Scholar] [CrossRef]
- de Groot, F.M.H.; Albrecht, C.; Koekkoek, R.; Beusker, P.H.; Scheeren, H.W. "Cascade-release dendrimers" liberate all end groups upon a single triggering event in the dendritic core. Angew. Chem. Int. Edit. Engl. 2003, 42, 4490–4494. [Google Scholar] [CrossRef]
- Majoros, I.J.; Myc, A.; Thomas, T.; Mehta, C.B.; Baker, J.R. PAMAM dendrimer-based multifunctional conjugate for cancer therapy: synthesis, characterization, and functionality. Biomacromolecules 2006, 7, 572–579. [Google Scholar]
- Luo, Y.; Prestwich, G.D. Synthesis and selective cytotoxicity of a hyaluronic acid-antitumor bioconjugate. Bioconj. Chem. 1999, 10, 755–763. [Google Scholar] [CrossRef]
- Luo, Y.; Ziebell, M.R.; Prestwich, G.D. A Hyaluronic acid-taxol antitumor bioconjugate targeted to cancer cells. Biomacromol. 2000, 1, 208–218. [Google Scholar] [CrossRef]
- Marini Bettolo, R.; Migneco, L.M.; De Luca, G. Taxane covalently bounded to hyaluronic acid or hyaluronic acid derivatives. PCT Int. Appl. No. WO2004035629, 2004. [Google Scholar]
- Capodilupo, A.L.; Crescenzi, V.; Francescangeli, A.; Joudioux, R.; Leonelli, F.; Marini Bettolo, R.; Migneco, L.M.; Quagliariello, M.; Bellato, P.; De Luca, G.; Galbiati, E.; Renier, D.; Banzato, A.; Rosato, A. Hydrosoluble, Metabolically Fragile Bioconjugates By Coupling Tetrabutyl-ammonium Hyaluronan with 2’Paclitaxel-4-Bromobutyrate: Synthesis and Antitumor Properties. In “Hyaluronan 2003” Hyaluronan Structure, Metabolism, Biological Activities, Therapeutic Applications; Balazs, E.A., Hascall, V.C., Eds.; Matrix Biology Institute: New Jersey, 2005; Vol. I, pp. 391–395. [Google Scholar]
- Leonelli, F.; La Bella, A.; Francescangeli, A.; Joudioux, R.; Capodilupo, A.-L.; Quagliariello, M.; Migneco, L.M.; Marini Bettolo, R.; Crescenzi, V.; De Luca, G.; Renier, D. A new and simply available class of hydrosoluble bioconjugates by coupling paclitaxel to hyaluronic acid through a 4-hydroxybutanoic acid derived linker. Helv. Chim. Acta. 2005, 88, 154–159. [Google Scholar]
- Thierry, B.; Kujawa, P.; Tkaczyk, C.; Winnik, F.M.; Bilodeau, L.; Tabrizian, M. Delivery platform for hydrophobic drugs: prodrug approach combined with self assembled multilayers. J. Am. Chem. Soc. 2005, 127, 1626–1627. [Google Scholar]
- Maeda, H.; Seymour, L.W.; Miyamoto, Y. Conjugates of anticancer agents and polymers: advantages of macromolecular therapeutics in vivo. Bioconjug. Chem. 1992, 3, 351–362. [Google Scholar]
- Vincent, M.J.; Duncan, R. Polymer conjugates: nanosized medicines for treating cancer. Trends Biotechnol. 2006, 24, 39–47. [Google Scholar]
- Luo, Y.; Prestwich, G.D. Cancer targeted polymeric drugs. Curr. Cancer Drug Targets 2002, 2, 209–226. [Google Scholar]
- Mellado, W.; Magri, N.F.; Kingstone, D.G.I.; Garcia-Arenas, R.; Orr, G.A.; Horwitz, S.B. Preparation and biological activity of taxol acetates. Biochem. Biophys. Res. Commun. 1984, 124, 329–336. [Google Scholar]
- Magri, N.F.; Kingston, D.G.I. Modified taxols, 4. Synthesis and biological activity of taxols modified in the side chain. J. Nat. Prod. 1988, 51, 298–306. [Google Scholar] [CrossRef]
- Souto, A.A.; Acuna, A.U.; Andreu, J.M.; Barasoain, I.; Abal, M.; Amat-Guerri, F. New fluorescent water-soluble taxol derivatives. Angew. Chem. Int. Ed. Engl. 1996, 34, 2710–2712. [Google Scholar]
- Rose, W.C.; Clark, J.L.; Lee, F.Y.F.; Casazza, A.M. Preclinical antitumor activity of water-soluble paclitaxel derivatives. Cancer Chemother. Pharmacol. 1997, 39, 486–492. [Google Scholar]
- Harada, N.; Ozaki, K.; Yamaguchi, T.; Hiroaki, A.; Ando, A.; Oda, K.; Nakanishi, N.; Ohashi, M.; Hashiyama, T.; Tsujihara, K. Synthesis of taxoids II. Synthesis and antitumor activity of water-soluble taxoids. Heterocycles 1997, 46, 241–258. [Google Scholar] [CrossRef]
- Rao, C.S.; Chu, J.-J.; Liu, R.S.; Lai, Y.-K. ynthesis and evaluation of [14C]-labelled and fluorescent-tagged paclitaxel derivatives as new biological probes. Bioorg. Med. Chem. 1998, 6, 2193–2204. [Google Scholar]
- Bhat, L.; Liu, Y.; Victory, S.F.; Himes, R.H.; Georg, G.I. Synthesis and evaluation of paclitaxel C7 derivatives: solution phase synthesis of combinatorial libraries. Bioorg. Med. Chem. Lett. 1998, 8, 3181–3186. [Google Scholar]
- Jagtap, P.G.; Baloglu, E.; Barron, D.M.; Bane, S.; Kingston, D.G.I. Design and synthesis of a combinatorial chemistry library of 7-acyl, 10-acyl, and 7,10-diacyl analogues of paclitaxel (taxol) using solid phase synthesis. J. Nat. Prod. 2002, 65, 1136–1142. [Google Scholar] [CrossRef]
- El Alaoui, A.; Schmidt, F.; Monneret, C.; Florent, J.-C. Protecting groups for glucuronic acid: application to the synthesis of new paclitaxel (taxol) derivatives. J. Org. Chem. 2006, 71, 9628–9636. [Google Scholar]
- Forrest, M.L.; Yanez, J.A.; Remsberg, C.M.; Ohgami, Y.; Kwon, G.S.; Davies, NM. Paclitaxel prodrugs with sustained release and high solubility in poly(ethylene glycol)-b-poly(ε-caprolactone) micelle nanocarriers: pharmacokinetics disposition, tolerability, and cytotoxicity. Pharm. Res. 2008, 25, 194–206. [Google Scholar]
- Pouyani, T.; Prestwich, G.D. Functionalized derivatives of hyaluronic acid oligosaccharides-drug carriers and novel biomaterials. Bioconj. Chem. 1994, 5, 339–347. [Google Scholar] [CrossRef]
- Pouyani, T.; Harbison, G.S.; Prestwich, G.D. Novel hydrogels of hyaluronic acid: synthesis, surface morphology, and solid state NMR. J. Am. Chem. Soc. 1994, 116, 7515–7522. [Google Scholar] [CrossRef]
- Vercruysse, K.P.; Marecak, D.M.; Marecek, J.F.; Prestwich, G.D. Synthesis and in vitro degradation of new polyvalent hydrazide cross-linked hydrogels of hyaluronic acid. Bioconjug. Chem. 1997, 8, 686–694. [Google Scholar]
- Klostergaard and co-workers [105] prepared bioconjugate 3 basically according to Prestwich and co-workers method [82,83], but using pH 8.5 in final coupling, which gives a better yield.
- Auzenne, E.; Ghosh, S.C.; Khodadadian, M.; Rivera, B.; Farquhar, D.; Price, R.E.; Ravoori, M.; Kundra, V.; Freedman, R.S.; Klostergaard, J. Hyaluronic acid-paclitaxel: antitumor efficacy against CD44(+) human ovarian carcinoma xenografts. Neoplasia 2007, 9, 479–486. [Google Scholar] [CrossRef]
- Rosato, A.; Banzato, A.; De Luca, G.; Renier, D.; Bettella, F.; Pagano, C.; Esposito, G.; Zanovello, P.; Bassi, P. HYTAD1-p20: A new paclitaxel-hyaluronic acid hydrosoluble bioconjugate for treatment of superficial bladder cancer. Urol. Oncol.-Semin. Ori. 2006, 24, 207–215. [Google Scholar] [CrossRef]
- Meléndez-Alafort, L.; Riondato, M.; Nadali, A.; Banzato, A.; Camporese, D.; Boccaccio, P.; Uzunov, N.; Rosato, A.; Mazzi, U. Bioavailability of 99mTc-Ha-paclitaxel complex [99mTc-ONCOFID-P] in mice using four different administration routes. J. Labelled Compd. Radiopharm. 2006, 49, 939–950. [Google Scholar]
- Sukhishvili, S.A. Layered, erasable polymer multilayers formed by hydrogen-bonded sequential self-assembly. Macromolecules 2002, 35, 301–310. [Google Scholar]
- Chung, A.J.; Rubner, M.F. Methods of loading and releasing low molecular weight cationic molecules in weak polyelecrolyte multilayer films. Langmuir 2002, 18, 1176–1183. [Google Scholar]
- Vázquez, E.; Dewitt, D.M.; Hammond, P.T.; Lynn, D.M. Construction of hydrolytically-degradable thin films via layer-by-layer deposition of degradable polyelectrolytes. J. Am. Chem. Soc. 2002, 124, 13992–13993. [Google Scholar]
- Hiller, J.; Rubner, M.F. Reversible molecular memory and pH-switchable swelling transitions in polyelectrolyte multilayers. Macromolecules 2003, 36, 4078–4083. [Google Scholar]
- Shchukin, D.G.; Patel, A.A.; Sukhorukov, G.B.; Lvov, Y.M. Nanoassembly of biodegradable microcapsules for DNA encasing. J. Am. Chem. Soc. 2004, 126, 3374–3375. [Google Scholar]
- Peyratout, C.S.; Dähne, L. Tailor-made polyelectrolyte microcapsules: from multilayers to smart containers. Angew. Chem. Int. Ed. 2004, 43, 3762–3783. [Google Scholar]
- Jackson, J.K.; Skinner, K.C.; Burgess, L.; Sun, T.; Hunter, W.L.; Burt, H.M. Paclitaxel-loaded crosslinked hyaluronic acid films for the prevention of postsurgical adhesions. Pharm. Res. 2002, 19, 411–417. [Google Scholar]
- Yin, D.; Ge, Z.; Yang, W.; Liu, C.; Yuan, Y. Inhibition of tumor metastasis in vivo by combination of paclitaxel and hyaluronic acid. Cancer Lett. 2006, 243, 71–79. [Google Scholar]
- Tezcaner, A.; Hicks, D.; Boulmedais, F.; Sahel, J.; Schaaf, P.; Voegel, J.-C.; Lavalle, P. Polyelectrolyte multilayer films as substrates for photoreceptor cells. Biomacromolecules 2006, 7, 86–94. [Google Scholar] [CrossRef]
- Vodouhê, C.; Schmittbuhl, M; Boulmedais, F.; Bagnard, D.; Vautier, D.; Schaaf, P.; Egles, C.; Voegel, J.-C.; Ogier, J. Effect of functionalization of multilayered polyelectrolyte films on motoneuron growth. Biomaterials 2005, 26, 545–554. [Google Scholar] [CrossRef]
- Jessel, N.; Atalar, F.; Lavalle, P.; Mutterer, J.; Decher, G.; Schaaf, P.; Voegel, J.-C.; Ogier, J. Bioactive coatings based on polyelectrolyte multilayer architecture functionalized by embedded proteins. Adv. Mater. 2003, 15, 692–695. [Google Scholar]
- Chluba, J.; Voegel, J.-C.; Decher, G.; Erbacher, P.; Schaaf, P.; Ogier, J. Peptide hormone covalently bound to polyelectrolytes and embedded into multilayer architectures conserving full biological activity. Biomacromolecules 2001, 2, 800–805. [Google Scholar]
- Caruso, F.; Schüler, C. Enzyme multilayers on colloid particles: assembly, stability, and enzymatic activity. Langmuir 2000, 16, 9595–9603. [Google Scholar]
- Caruso, F.; Niikura, K.; Furlong, D.N.; Okahata, Y. Assembly of alternating polyelectrolyte and protein multilayer films for immunosensing. Langmuir 1997, 13, 3427–3433. [Google Scholar] [CrossRef]
- Vodouhê, C.; Le Guen, E.; Garza, J.M.; Francius, G.; Déjugnat, C.; Ogier, J.; Schaaf, P.; Voegel, J.-C.; Lavalle, P. Control of drug accessibility on functional polyelectrolyte multilayer films. Biomaterials 2006, 27, 4149–4156. [Google Scholar]
- Kidambi, S.; Lee, I.; Chan, C. Controlling primary hepatocyte adhesion and spreading on protein-free polyelectrolyte multilayer films. J. Am. Chem. Soc. 2004, 126, 16286–16287. [Google Scholar]
© 2008 by MDPI (http://www.mdpi.org). Reproduction is permitted for noncommercial purposes.
Share and Cite
Leonelli, F.; La Bella, A.; Migneco, L.M.; Bettolo, R.M. Design, Synthesis and Applications of Hyaluronic Acid-Paclitaxel Bioconjugates†. Molecules 2008, 13, 360-378. https://doi.org/10.3390/molecules13020360
Leonelli F, La Bella A, Migneco LM, Bettolo RM. Design, Synthesis and Applications of Hyaluronic Acid-Paclitaxel Bioconjugates†. Molecules. 2008; 13(2):360-378. https://doi.org/10.3390/molecules13020360
Chicago/Turabian StyleLeonelli, Francesca, Angela La Bella, Luisa Maria Migneco, and Rinaldo Marini Bettolo. 2008. "Design, Synthesis and Applications of Hyaluronic Acid-Paclitaxel Bioconjugates†" Molecules 13, no. 2: 360-378. https://doi.org/10.3390/molecules13020360
APA StyleLeonelli, F., La Bella, A., Migneco, L. M., & Bettolo, R. M. (2008). Design, Synthesis and Applications of Hyaluronic Acid-Paclitaxel Bioconjugates†. Molecules, 13(2), 360-378. https://doi.org/10.3390/molecules13020360

