Second Law Analysis of Laminar Flow In A Channel Filled With Saturated Porous Media
Abstract
:Introduction
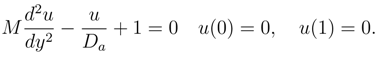
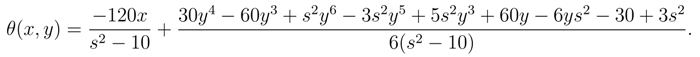
Mathematical Formulation

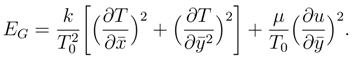
Entropy Generation Rate
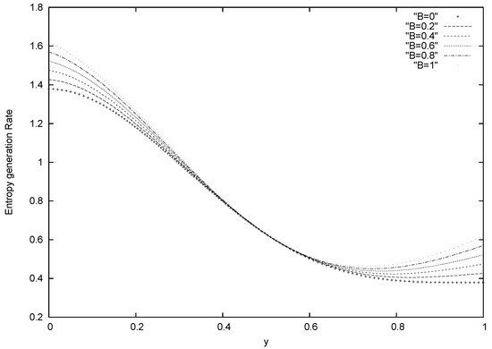
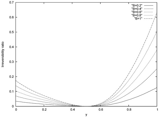
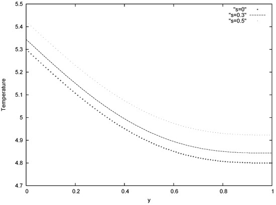
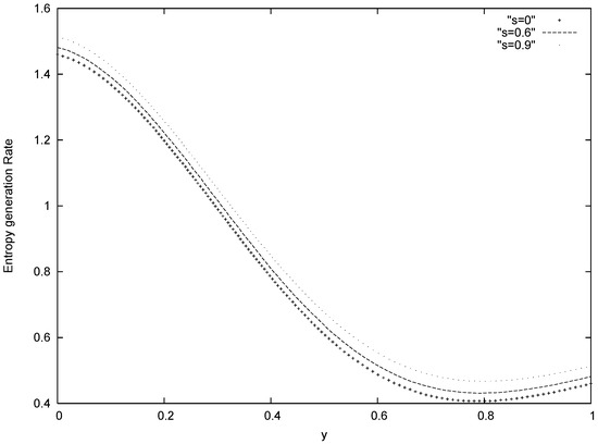
Results and Discussions





Conclusion

Acknowledgement
Nomenclature
| a | channel width |
| Br | Brinkman number |
| cp | specific heat at constant pressure |
| Da | Darcy number |
| G | applied pressure gradient |
| k | fluid thermal conductivity |
| K | Permeability |
| M | µe/µ |
| Pe | Peclet number |
| q | fluid flux rate |
| s | (M Da)−1/2) |
| T0 | wall temperature |
| T | absolute temperature |
| U | dimensionless fluid velocity |
| u | dimensionless fluid velocity as s → 0 |
fluid velocity | |
| x | dimensionless axial coordinate |
| y | dimensionless transverse coordinate |
axial coordinate | |
transverse coordinate | |
| Greek symbols | |
| µ | fluid viscosity |
| µe | effective viscosity in the Brinkman term |
| θ | dimensionless temperature |
| Ω | dimensionless temperature difference qa/kT0 |
| ρ | fluid density |
References
- Arpaci, V. S. Radiative entropy production - lost heat into entropy. Int. J. Heat Mass Transfer 1993, 36, 4193–4197. [Google Scholar]
- Bejan, A. Second law analysis in heat transfer. Energy - The Int. J. 1980, 5, 721–732. [Google Scholar] [CrossRef]
- Bejan, A. Entropy Generation Through Heat and Fluid Flow. John Wiley & Sons. Inc.: Canada, 1994; Chapter 5; p. 98. [Google Scholar]
- Bejan, A. Entropy Generation Minimization, CRC Press Flow. In CRC Press Flow; John Wiley & Sons. Inc.: Canada, 1996; Chapter 5; p. 98. [Google Scholar]
- Bejan, A. Entropy Generation Minimization. CRC Press: USA, 1996. [Google Scholar]
- Erbay, L.B.; Altaç, Z.; Sülü, B. Entropy Generation in a Square Enclosure Heated From a Vertical Lateral Wall. In Proceedings of the 15th International Symposium on Efficiency, Costs, Optimization, Simulation and Environmental Aspects of Energy Systems; 2002; 3, pp. 1609–1616. [Google Scholar]
- Krane, R. J. A. Second law analysis of the optimum design and operation of thermal energy storage systems. Int. J. Heat Mass Transfer 1987, 30, 43–57. [Google Scholar] [CrossRef]
- Latife, B. E.; Mehmet, S. E.; Birsen, S.; Yalcum, M. M. Entropy generation during fl flow between two parallel plates with moving bottom plate. Entropy 2003, 5, 506–518. [Google Scholar]
- Mahmud, S.; Fraser, R. A. Thermodynamic analysis of flow and heat transfer inside channel with two parallel plates. Exergy, an International Journal 2002, 2, 140–146. [Google Scholar] [CrossRef]
- Mahmud, S.; Fraser, R. A. The second law analysis in fundamental convective heat transfer problems. Int. J. of Thermal Sciences 2002, 42(2), 177–186. [Google Scholar] [CrossRef]
- Nag, P.K.; Kumar, N. Second law optimization of convective heat transfer through a duct with constant heat flux. Int. J. Energy Research 1989, 13(5), 537–543. [Google Scholar]
- Makinde, O. D. Exothermic explosions in a slab: A case study of series summation technique. Int. Comm. Heat and Mass Transfer 2004, 31(8), 1227–1231. [Google Scholar] [CrossRef]
- Narusawa, U. The second law analysis of mixed convection in rectangular ducts. Heat and Mass Transfer 2001, 37, 197–203. [Google Scholar] [CrossRef]
- Nield, D. A.; Kuznetsov, A. V.; Ming, X. Thermally developing forced convection in a porous medium: parallel plate channel with walls at uniform temperature, with axial conduction and viscous dissipation effects. Int. J. Heat and Mass Transfer 2003, 46, 643–651. [Google Scholar] [CrossRef]
- Rott, N. Themoacoustics. Adv. Appl. Mech. 1980, 20, 135–175. [Google Scholar]
- Sahin, A.Z. Irreversibilities in various duct geometries with constant wall heat flux and laminar flow. Energy, The International J. 1998, 23(6), 465–473. [Google Scholar] [CrossRef]
- Sahin, A.Z. Entropy generation in turbulent liquid flow through a smooth duct subjected to constant wall temperature. Int. J. Heat and Mass Transfer 2000, 43, 1469–1478. [Google Scholar] [CrossRef]
- Sahin, A.Z. Entropy generation and pumping power in a turbulent fluid flow through a smooth pipe subjected to constant heat flux. Exergy, an International Journal 2002, 2, 314–321. [Google Scholar] [CrossRef]
- Salah, S.; Soraya, A. Second law analysis of laminar falling liquid fi along an inclined heated plate. Int. Comm. Heat Mass Transfer 2004, 31(No. 6), 879–886. [Google Scholar]
- Swift, G. W. Themoacoustics: A unifying perspective for some engines and refrigerators. ASA Publication: New York, 2002. [Google Scholar]
- Syeda, H. T.; Shohel, M. Entropy generation in a verical concentric channel with temperature dependent viscosity. Int. Comm. Heat Mass Transfer 2002, 29(No. 7), 907–918. [Google Scholar]
© 2005 by MDPI (http://www.mdpi.org). Reproduction for noncommercial purposes permitted.
Share and Cite
Makinde, O.D.; Osalusi, E. Second Law Analysis of Laminar Flow In A Channel Filled With Saturated Porous Media. Entropy 2005, 7, 148-160. https://doi.org/10.3390/e7020148
Makinde OD, Osalusi E. Second Law Analysis of Laminar Flow In A Channel Filled With Saturated Porous Media. Entropy. 2005; 7(2):148-160. https://doi.org/10.3390/e7020148
Chicago/Turabian StyleMakinde, O. D., and E. Osalusi. 2005. "Second Law Analysis of Laminar Flow In A Channel Filled With Saturated Porous Media" Entropy 7, no. 2: 148-160. https://doi.org/10.3390/e7020148
APA StyleMakinde, O. D., & Osalusi, E. (2005). Second Law Analysis of Laminar Flow In A Channel Filled With Saturated Porous Media. Entropy, 7(2), 148-160. https://doi.org/10.3390/e7020148