Adapted or Adaptable: How to Manage Entropy Production?
Abstract
1. Introduction
2. System Description
2.1. Boundary Conditions
2.2. Thermodynamic Device
3. Local Energy Conversion
3.1. Presentation
3.2. Entropy Production and Efficiency
4. Global Conversion System
4.1. Presentation
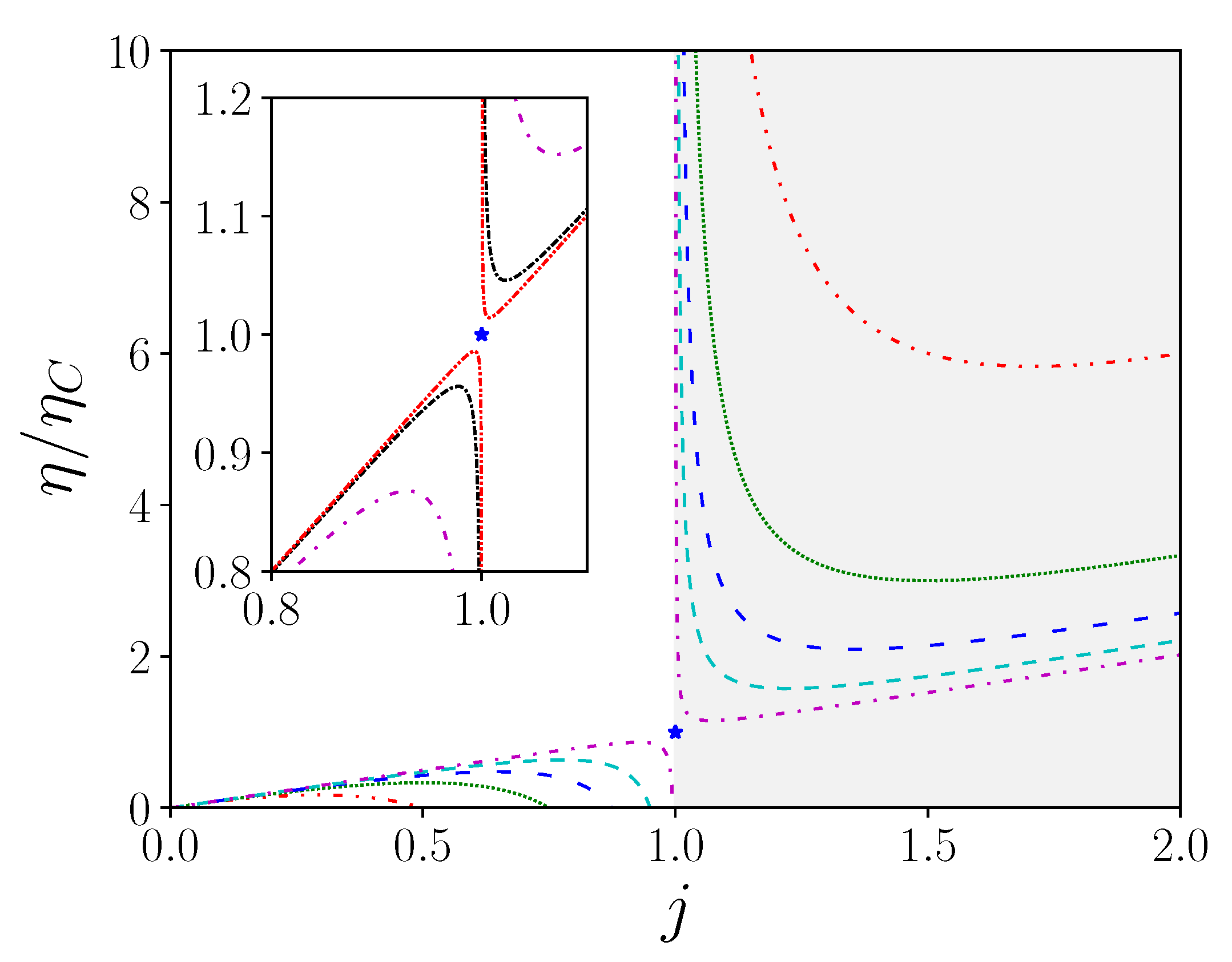
4.2. Devices with Zero Resting Point
4.3. Devices with Non Zero Resting Point
4.4. Internal Dissipation Devices
5. Entropic Point of View
5.1. Devices with Zero Resting Point
5.2. Devices with Non-Zero Resting Points
5.3. Internal Dissipation Devices
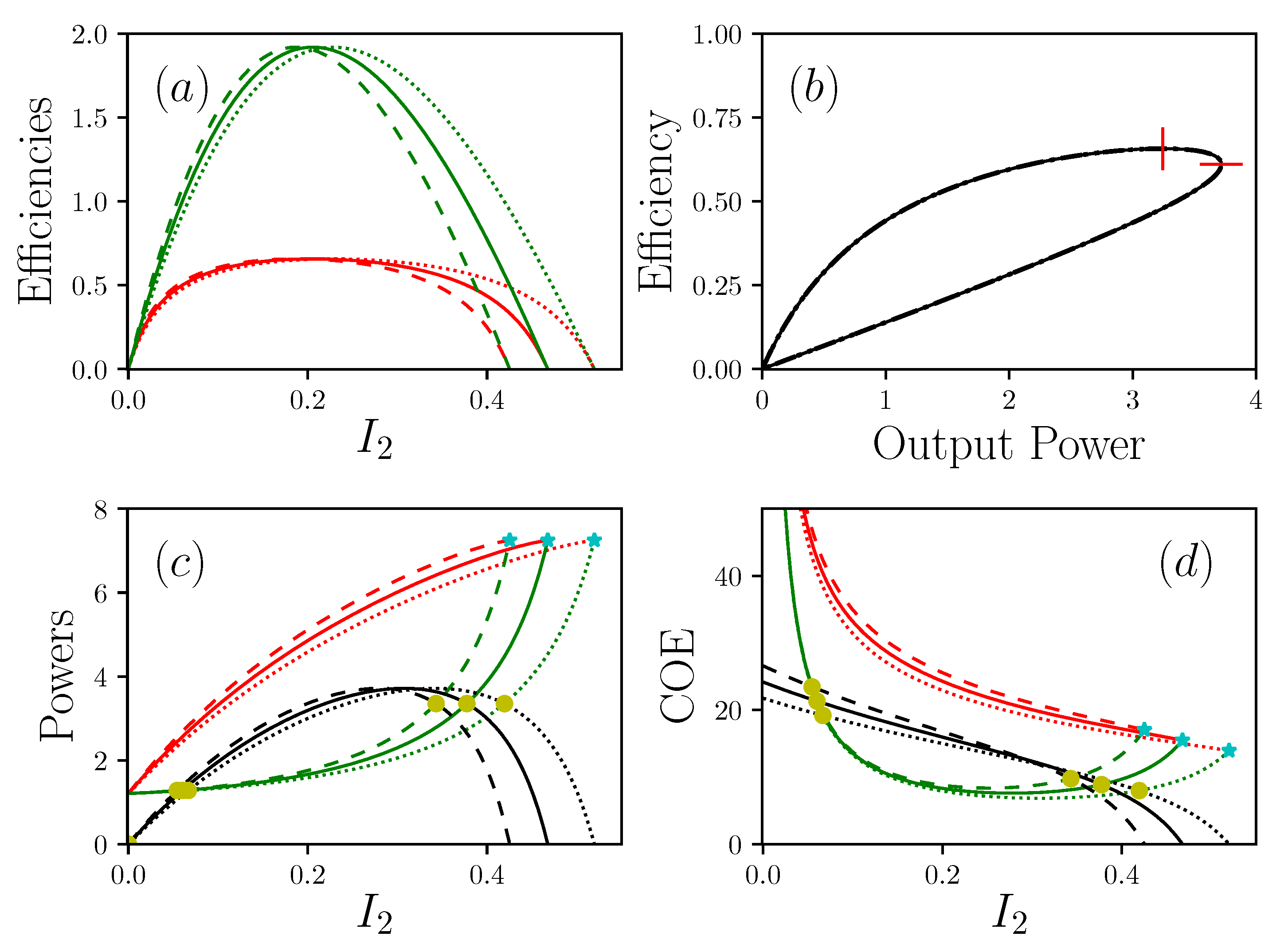
6. Adaptable or Adapted?
7. Discussion
Author Contributions
Funding
Acknowledgments
Conflicts of Interest
Appendix A
Appendix B
References
- Kondepudi, D.; Kapcha, L. Entropy production in chiral symmetry breaking transitions. Chirality 2008, 20, 524–528. [Google Scholar] [CrossRef] [PubMed]
- Grandy, W.T., Jr. Entropy and the Time Evolution of Macroscopic Systems; Oxford University Press: New York, NY, USA, 2008. [Google Scholar]
- Martyushev, L.M.; Seleznev, V.D. Maximum entropy production principle in physics, chemistry and biology. Phys. Rep. 2006, 426, 1–45. [Google Scholar] [CrossRef]
- Klein, M.J.; Meijer, P.H.E. Principle of Minimum Entropy Production. Phys. Rev. 1954, 96, 250–255. [Google Scholar] [CrossRef]
- Lebon, G.; Jou, D. Understanding Non-Equilibrium Thermodynamics: Foundations, Applications, Frontiers; Springer: Berlin/Heidelberg, Germany, 2008. [Google Scholar]
- Esposito, M.; Lindenberg, K.; Van den Broeck, C. Universality of Efficiency at Maximum Power. Phys. Rev. Lett. 2009, 102, 130602. [Google Scholar] [CrossRef]
- Esposito, M.; Lindenberg, K.; Broeck, C.V.d. Thermoelectric efficiency at maximum power in a quantum dot. EPL 2009, 85, 60010. [Google Scholar] [CrossRef]
- Balachandran, V.; Benenti, G.; Casati, G. Efficiency of three-terminal thermoelectric transport under broken time-reversal symmetry. Phys. Rev. B 2013, 87, 165419. [Google Scholar] [CrossRef]
- Benenti, G.; Ouerdane, H.; Goupil, C. The thermoelectric working fluid: Thermodynamics and transport. CR Phys. 2016, 17, 1072–1083. [Google Scholar] [CrossRef]
- Apertet, Y.; Ouerdane, H.; Goupil, C.; Lecoeur, P. Irreversibilities and efficiency at maximum power of heat engines: The illustrative case of a thermoelectric generator. Phys. Rev. E 2012, 85, 031116. [Google Scholar] [CrossRef]
- Schmiedl, T.; Seifert, U. Efficiency at maximum power: An analytically solvable model for stochastic heat engines. EPL 2007, 81, 20003. [Google Scholar] [CrossRef]
- Wrigley, E.A. Energy and the English Industrial Revolution. Philos. Trans. R. Soc. A 2013, 371, 20110568. [Google Scholar] [CrossRef]
- Kedem, O.; Caplan, S.R. Degree of coupling and its relation to efficiency of energy conversion. Trans. Faraday Soc. 1965, 61, 1897–1911. [Google Scholar] [CrossRef]
- Goupil, C.; Ouerdane, H.; Herbert, E.; Goupil, C.; D’Angelo, Y. Thermodynamics of metabolic energy conversion under muscle load. New J. Phys. 2019, 21, 023021. [Google Scholar] [CrossRef]
- Goupil, C.; Ouerdane, H.; Herbert, E.; Benenti, G.; D’Angelo, Y.; Lecoeur, P. Closed-loop approach to thermodynamics. Phys. Rev. E 2016, 94, 032136. [Google Scholar] [CrossRef]
- Alicki, R.; Gelbwaser-Klimovsky, D.; Jenkins, A. A thermodynamic cycle for the solar cell. Ann. Phys. 2017, 378, 71–87. [Google Scholar] [CrossRef]
- Alicki, R.; Horodecki, M.; Horodecki, P.; Horodecki, R. Thermodynamics of Quantum Information Systems—Hamiltonian Description. Open Syst. Inf. Dyn. 2004, 11, 205–217. [Google Scholar] [CrossRef]
- Onsager, L. Reciprocal Relations in Irreversible Processes. II. Phys. Rev. 1931, 38, 2265–2279. [Google Scholar] [CrossRef]
- Onsager, L. Reciprocal Relations in Irreversible Processes. I. Phys. Rev. 1931, 37, 405–426. [Google Scholar] [CrossRef]
- Apertet, Y.; Ouerdane, H.; Goupil, C.; Lecoeur, P. Revisiting Feynman’s ratchet with thermoelectric transport theory. Phys. Rev. E 2014, 90, 012113. [Google Scholar] [CrossRef]
- Goupil, C.; Seifert, W.; Zabrocki, K.; Müller, E.; Snyder, G.J. Thermodynamics of Thermoelectric Phenomena and Applications. Entropy 2011, 13, 1481–1517. [Google Scholar] [CrossRef]
- Apertet, Y.; Ouerdane, H.; Goupil, C.; Lecoeur, P. From local force-flux relationships to internal dissipations and their impact on heat engine performance: The illustrative case of a thermoelectric generator. Phys. Rev. E 2013, 88, 022137. [Google Scholar] [CrossRef]
- Novikov, I.I. The efficiency of atomic power stations (a review). J. Nucl. Energy 1958, 7, 125–128. [Google Scholar] [CrossRef]
- Curzon, F.L.; Ahlborn, B. Efficiency of a Carnot engine at maximum power output. Am. J. Phys. 1975, 43, 22–24. [Google Scholar] [CrossRef]
- Tucker, V.A. The Energetic Cost of Moving About: Walking and running are extremely inefficient forms of locomotion. Much greater efficiency is achieved by birds, fish—and bicyclists. Am. Sci. 1975, 63, 413–419. [Google Scholar] [PubMed]
- Hoyt, D.F.; Taylor, C.R. Gait and the energetics of locomotion in horses. Nature 1981, 292, 239–240. [Google Scholar] [CrossRef]
- Apertet, Y.; Ouerdane, H.; Glavatskaya, O.; Goupil, C.; Lecoeur, P. Optimal working conditions for thermoelectric generators with realistic thermal coupling. EPL 2012, 97, 28001. [Google Scholar] [CrossRef]
- Huxley, A.F.; Simmons, R.M. Proposed Mechanism of Force Generation in Striated Muscle. Nature 1971, 233, 533–538. [Google Scholar] [CrossRef]
- Jevons, W.S. The Coal Question: An Inquiry Concerning the Progress of the Nation, and the Probable Exhaustion of Our Coal-Mines; Macmillan: London, UK, 1866. [Google Scholar]







© 2019 by the authors. Licensee MDPI, Basel, Switzerland. This article is an open access article distributed under the terms and conditions of the Creative Commons Attribution (CC BY) license (http://creativecommons.org/licenses/by/4.0/).
Share and Cite
Goupil, C.; Herbert, E. Adapted or Adaptable: How to Manage Entropy Production? Entropy 2020, 22, 29. https://doi.org/10.3390/e22010029
Goupil C, Herbert E. Adapted or Adaptable: How to Manage Entropy Production? Entropy. 2020; 22(1):29. https://doi.org/10.3390/e22010029
Chicago/Turabian StyleGoupil, Christophe, and Eric Herbert. 2020. "Adapted or Adaptable: How to Manage Entropy Production?" Entropy 22, no. 1: 29. https://doi.org/10.3390/e22010029
APA StyleGoupil, C., & Herbert, E. (2020). Adapted or Adaptable: How to Manage Entropy Production? Entropy, 22(1), 29. https://doi.org/10.3390/e22010029

