Entropy Generation Optimization in Squeezing Magnetohydrodynamics Flow of Casson Nanofluid with Viscous Dissipation and Joule Heating Effect
Abstract
1. Introduction
2. Problem Formulation
3. Entropy Analysis
3.1. Bejan Number
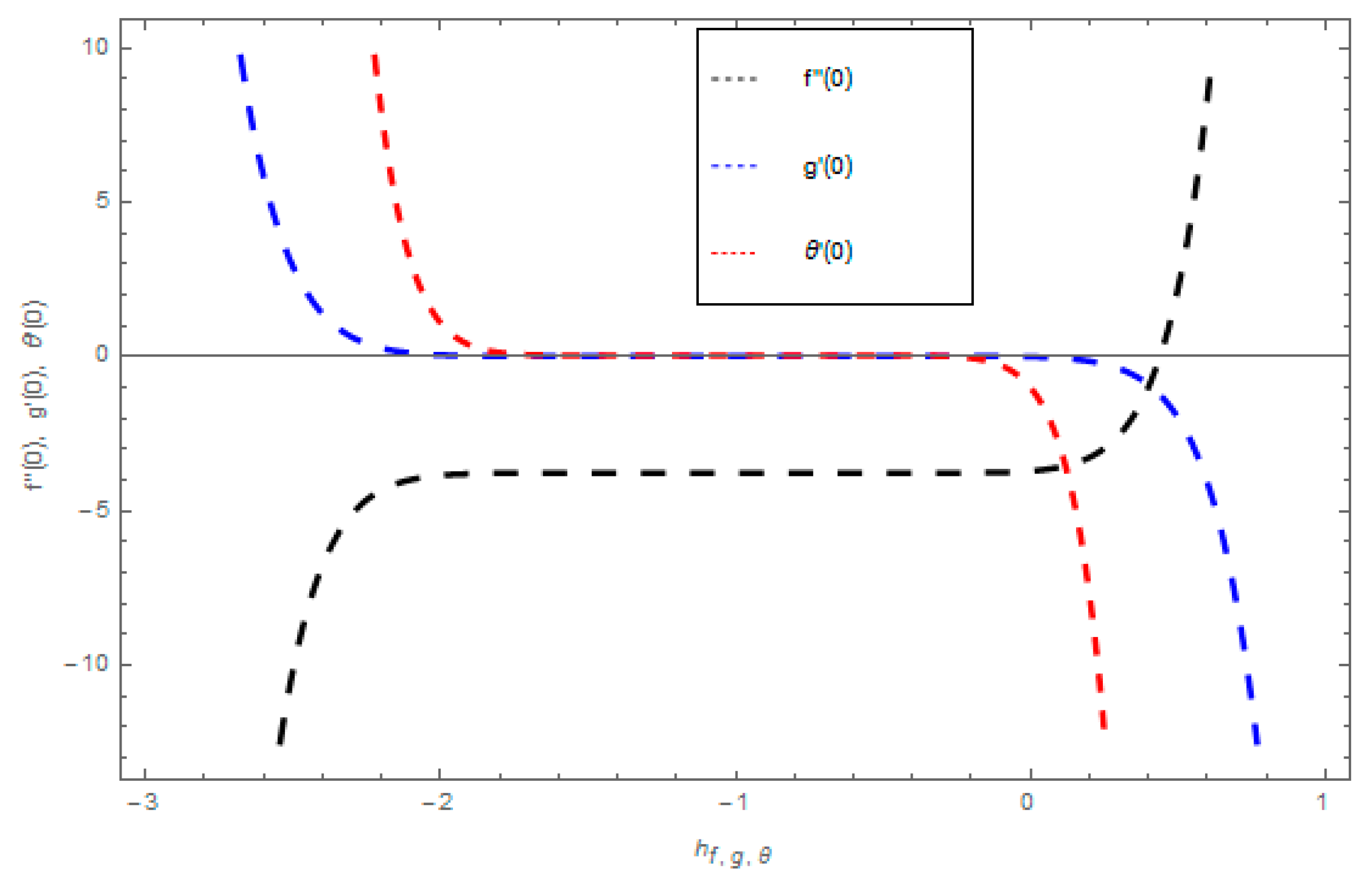
3.2. Solution by HAM
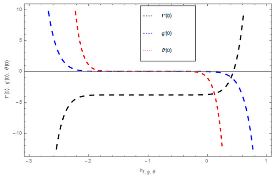
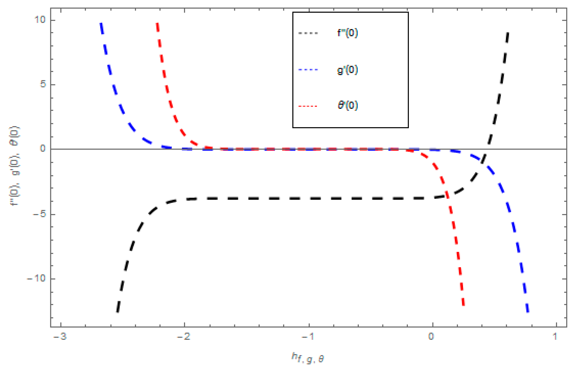
3.3. HAM Convergence
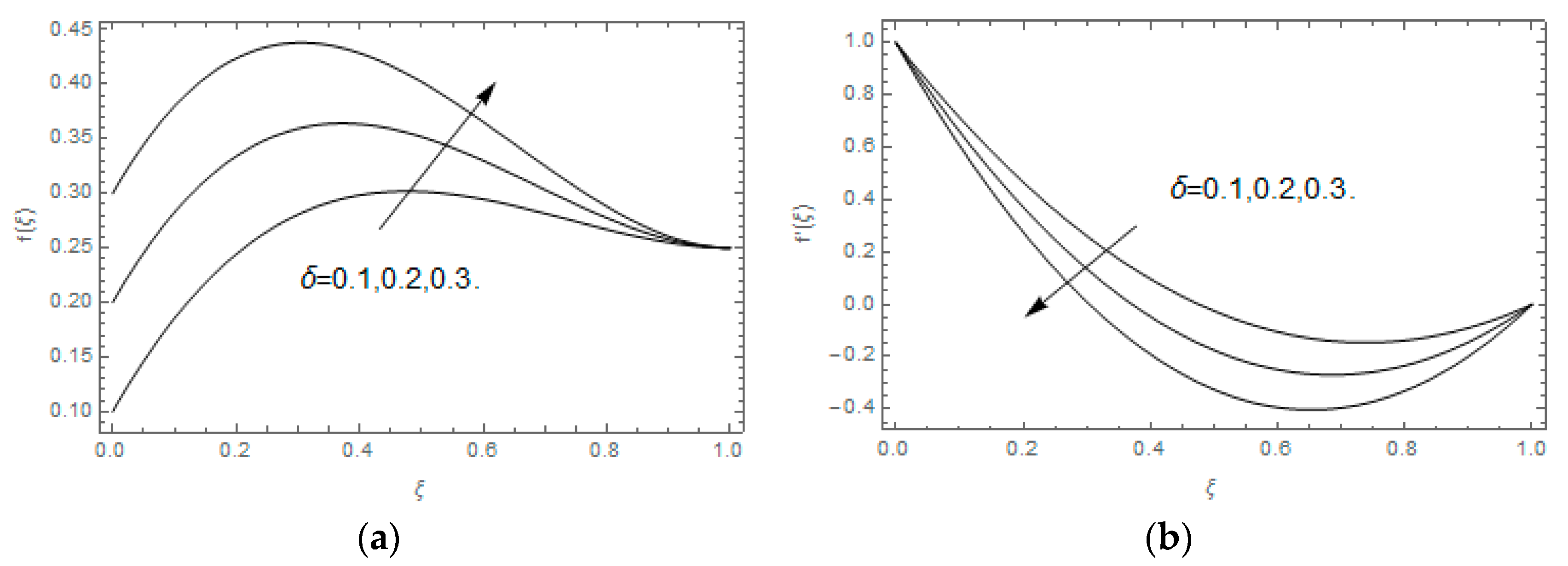
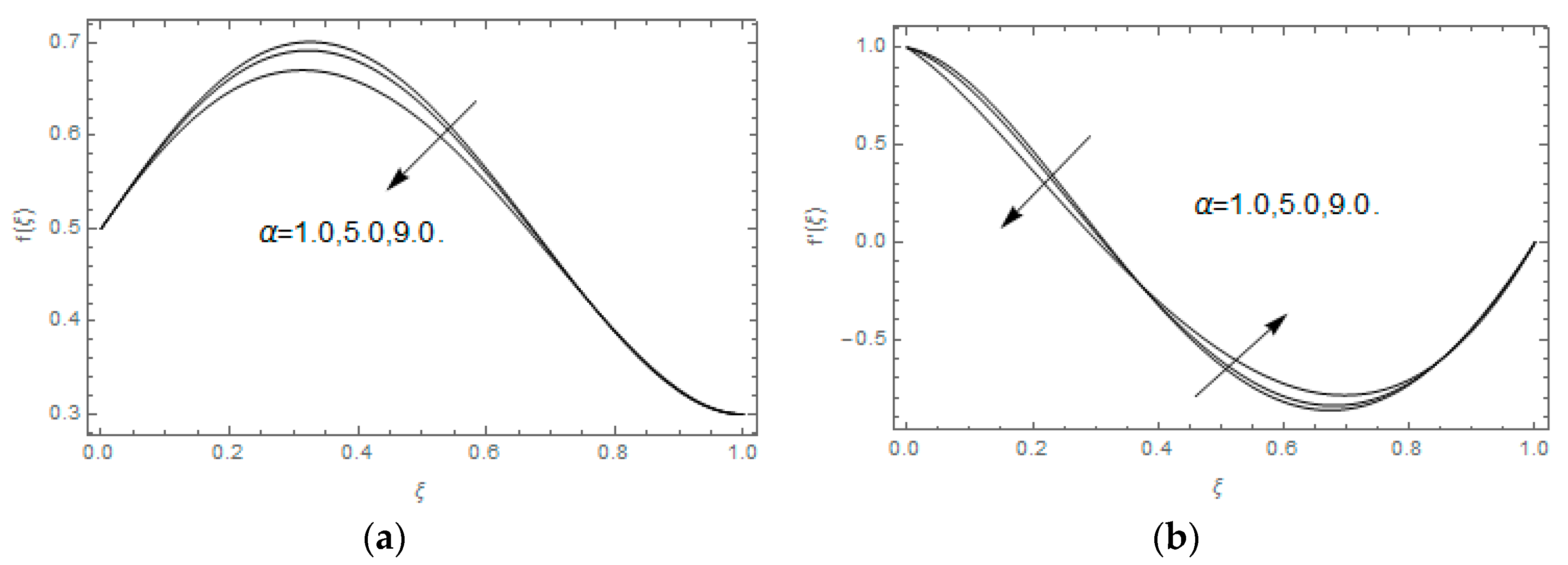
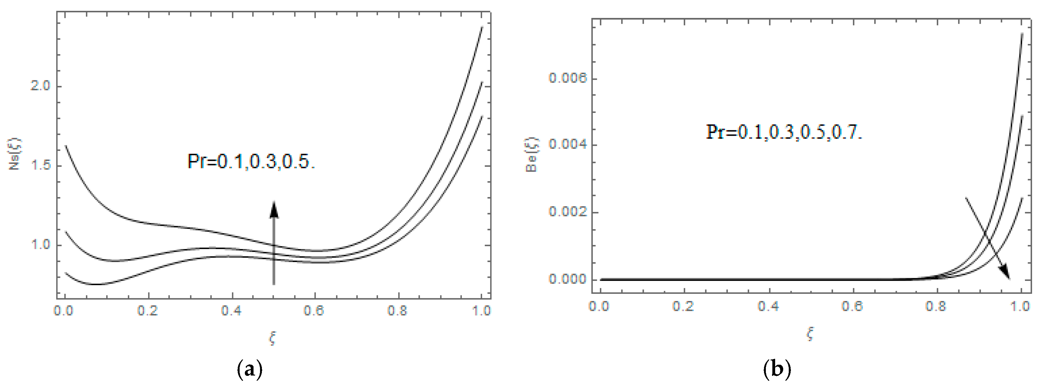
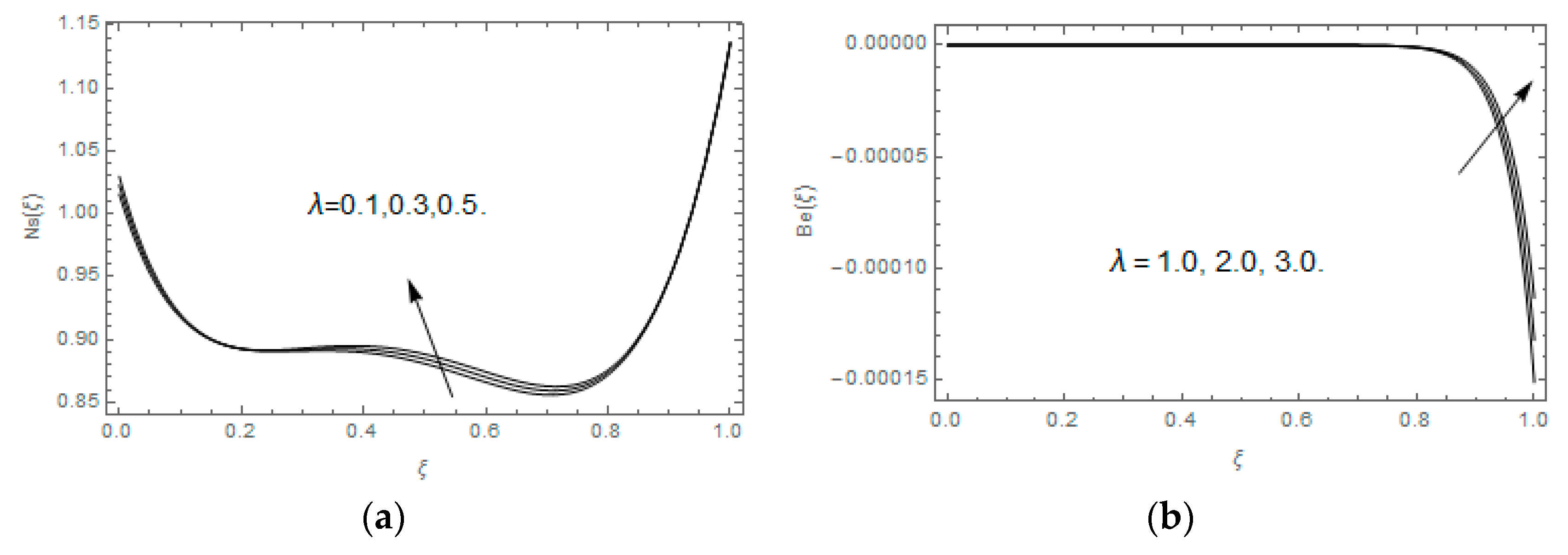
4. Results and Discussion
5. Comparison of HAM with Numerical Result
6. Conclusions
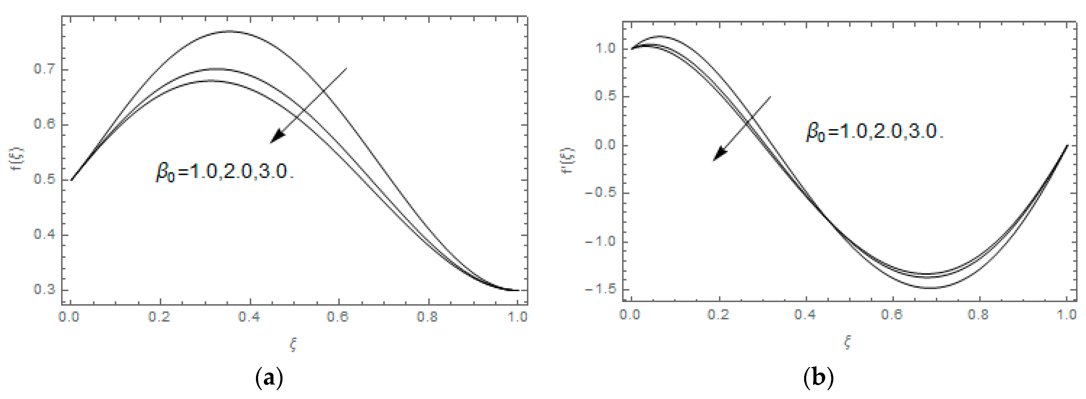
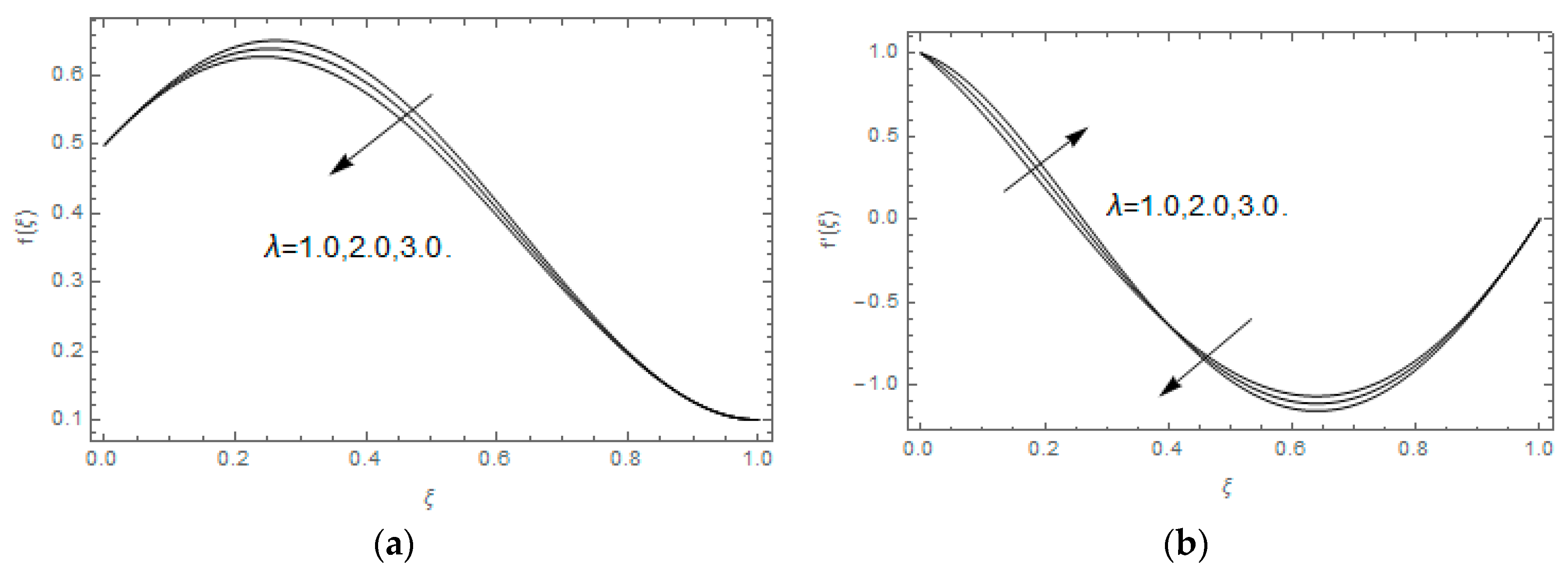
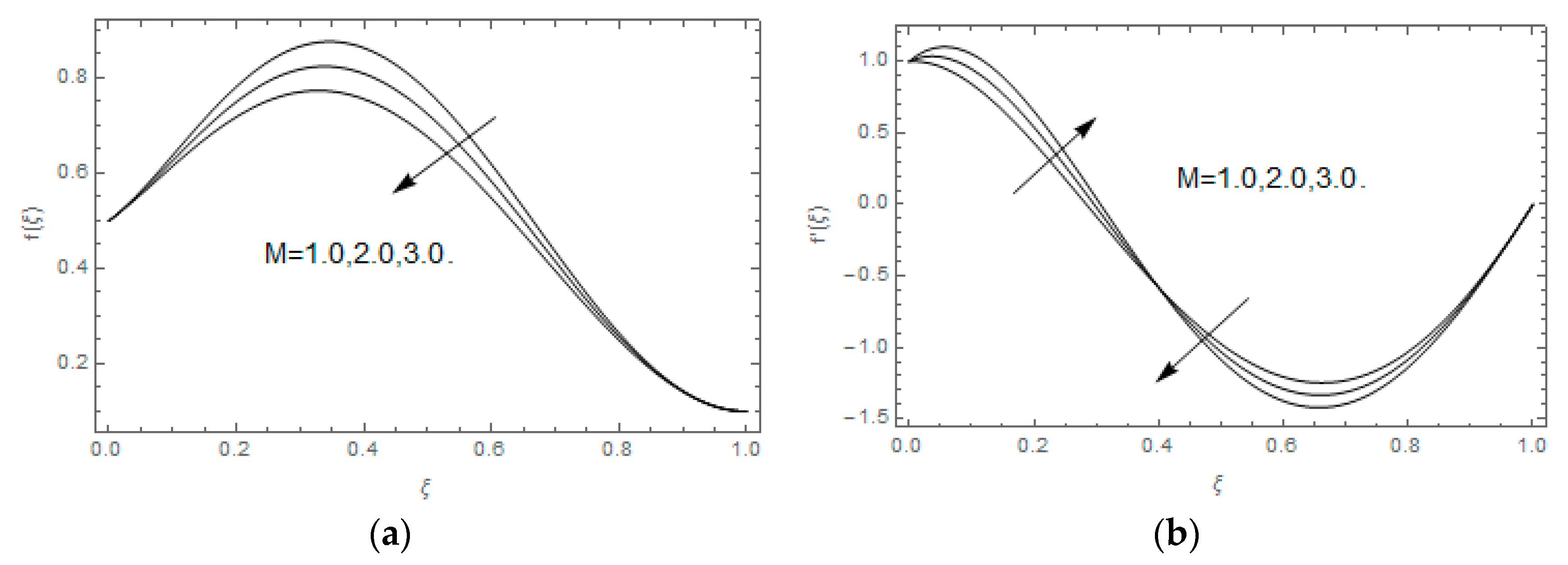
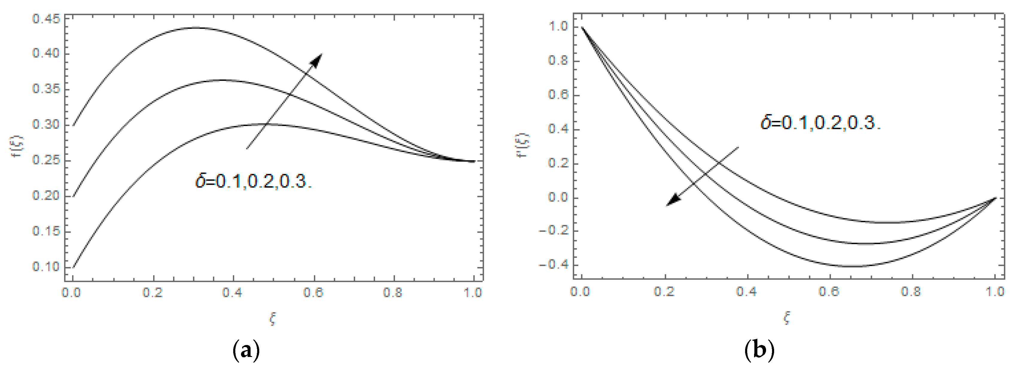
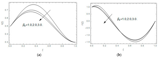
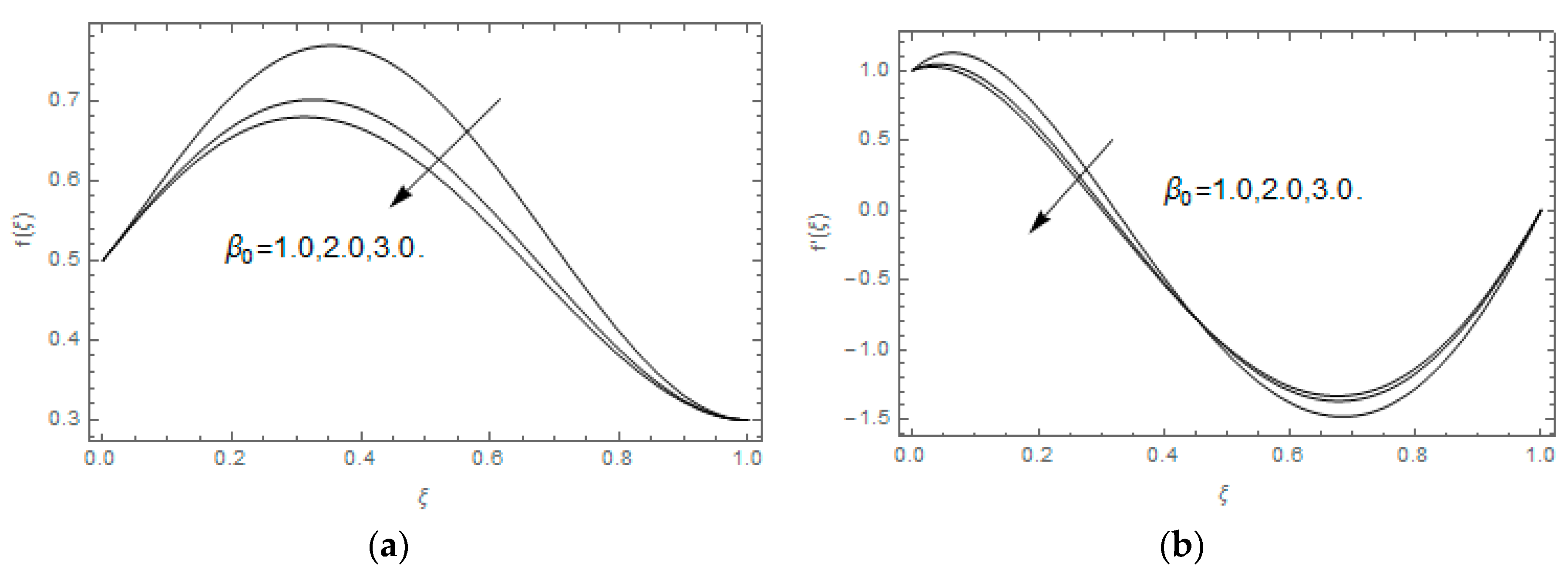
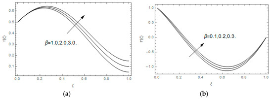
- The Casson parameter, porosity parameter, magnetic field parameter, and rotation parameter reduced the velocity profile while the squeezing and suction parameters increased the velocity profile .
- The Casson parameter, porosity parameter, magnetic field parameter, and rotation parameter showed dual behavior in the velocity profile .
- The squeezing parameter \ increased the velocity profile while the suction parameter reduced the velocity profile .
- The Eckert numbers and squeezing parameter increased the temperature profile while the Prandtl number increased the temperature profile .
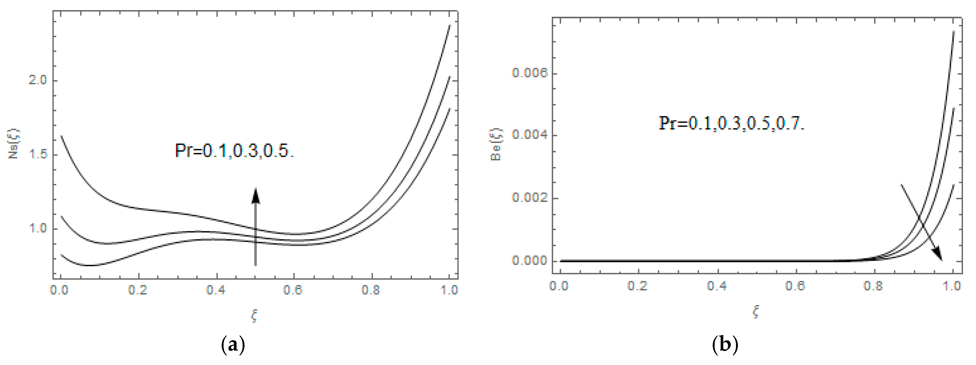
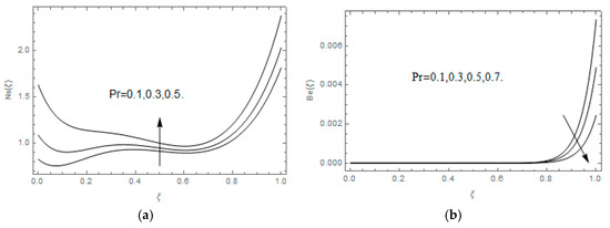
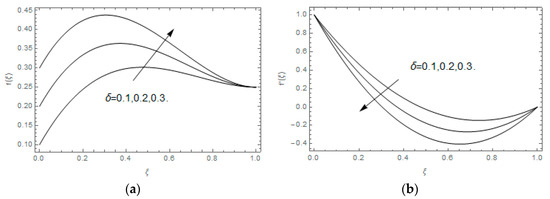
- The Prandtl number, porosity parameter, and Eckert numbers increased the Entropy generation rate .
- The porosity parameter increased the Bejan number while the Eckert and Prandtl numbers increased the Bejan number.
Author Contributions
Funding
Acknowledgments
Conflicts of Interest
Nominiclature
| Symboles | Description |
| Velocity Components | |
| Coordinate Axes | |
| Pressure | |
| Magnetic Field | |
| Time Parameter | |
| Time | |
| Specific Heat Capacity | |
| Stretching Parameter | |
| Gap between walls/ Plates | |
| Temperature | |
| Magnetic Parameter | |
| Heat Flux | |
| Stretching velocity | |
| Angular Velocity | |
| Suction Velocity | |
| Greek Latters | |
| Rotation Parameter | |
| Squeezing Parameter | |
| Casson Fluid Parameter | |
| Suction Parameter | |
| Electrical Conductivity | |
| Shear Stress | |
| Porosity Parameter | |
| Dynamic viscosity | |
| Kinematic viscosity | |
| Density | |
| Temperature Profile | |
| Nanoparticles fraction by Volume | |
| Thermal Conductivity | |
| Dimensionless Numbers | |
| Prandtl Number | |
| Bejan Number | |
| Eckert Numbers | |
| Nusselt number | |
| Reynolds Number | |
| Ratios of Physical Quantities | |
| Subscripts | |
| Nanofluid | |
| Base Fluid | |
| Solid Nanoparticles | |
| At lower wall/ Plate | |
| At Upper wall/ Plate | |
References
- Choi, S.U.S. Enhancing thermal conductivity of fluids with nanoparticles. In Proceedings of the ASME International Mechanical Engineering Congress and Exposition, San Francisco, CA, USA, 12–17 November 1995; ASME: New York, NY, USA; pp. 99–105. [Google Scholar]
- Yu, W.; France, D.M.; Routbort, J.L.; Choi, S.U.S. Review and comparison of nanofluid thermal conductivity and heat transfer enhancements. Heat Transf. Eng. 2008, 29, 432–460. [Google Scholar] [CrossRef]
- Tyler, T.; Shenderova, O.; Cunningham, G.; Walsh, J.; Drobnik, J.; McGuire, G. Thermal transport properties of diamond based nanofluids and nano composites. Diam. Relat. Mater. 2006, 15, 2078–2081. [Google Scholar] [CrossRef]
- Liu, M.S.; Lin, M.C.C.; Huang, I.T.; Wang, C.C. Enhancement of thermal conductivity with carbon nanotube for nanofluids. Int. Commun. Heat Mass Transf. 2005, 32, 1202–1210. [Google Scholar] [CrossRef]
- Ellahi, R.; Raza, M.; Vafai, K. Series solutions of non-Newtonian nanofluids with Reynolds’ model and Vogel’s model by means of the homotopy analysis method. Math. Comput. Model. 2012, 55, 1876–1891. [Google Scholar] [CrossRef]
- Nadeem, S.; Haq, R.U.; Khan, Z.H. Numerical study of MHD boundary layer flow of a Maxwell fluid past a stretching sheet in the presence of nanopar-ticles. J. Taiwan Ins. Chem. Eng. 2014, 45, 121–126. [Google Scholar] [CrossRef]
- Nadeem, S.; Haq, R.U. Effect of thermal radiation for megnetohydrody- namic boundary layer flow of a nanofluid past a stretching sheet with convective boundary conditions. J. Comput. Theor. Nanosci. 2013, 11, 32–40. [Google Scholar] [CrossRef]
- Shah, Z.; Gul, T.; Khan, A.M.; Ali, I.; Islam, S. Effects of hall current on steady three dimensional non-Newtonian nanofluid in a rotating frame with Brownian motion and thermophoresis effects. J. Eng. Technol. 2017, 6, 280–296. [Google Scholar]
- Shah, Z.; Islam, S.; Gul, T.; Bonyah, E.; Khan, M.A. The electrical MHD and Hall current impact on micropolar nanofluid flow between rotating parallel plates. Results Phys. 2018, 9, 1201–1214. [Google Scholar] [CrossRef]
- Shah, Z.; Gul, T.; Islam, S.; Khan, M.A.; Bonyah, E.; Hussain, F.; Mukhtar, S.; Ullah, M. Three dimensional third grade nanofluid flow in a rotating system between parallel plates with Brownian motion and thermophoresis effects. Results Phys. 2018, 10, 36–45. [Google Scholar] [CrossRef]
- Ramzan, M.; Chung, J.D.; Ullah, N. Radiative magnetohydrodynamic nanofluid flow due to gyrotactic microorganisms with chemical reaction and non-linear thermal radiation. Int. J. Mech. Sci. 2017, 130, 31–40. [Google Scholar] [CrossRef]
- Sheikholeslami, M.; Shehzad, S. Magnetohydrodynamic nanofluid convective flow in a porous enclosure by means of LBM. Int. J. Heat Mass Transf. 2017, 113, 796–805. [Google Scholar] [CrossRef]
- Besthapu, P.; Haq, R.U.; Bandari, S.; Al-Mdallal, Q.M. Mixed convection flow of thermally stratified MHD nanofluid over an exponentially stretching surface with viscous dissipation effect. J. Taiwan Inst. Chem. Eng. 2017, 71, 307–314. [Google Scholar] [CrossRef]
- Dawar, A.; Shah, Z.; Idrees, M.; Khan, W.; Islam, S.; Gul, T. Impact of Thermal Radiation and Heat Source/Sink on Eyring–Powell Fluid Flow over an Unsteady Oscillatory Porous Stretching Surface. Math. Comput. Appl. 2018, 23, 20. [Google Scholar] [CrossRef]
- Shah, Z.; Dawar, A.; Islam, S.; Ching, D.L.C.; Khan, I. Darcy-Forchheimer flow of radiative carbon nanotubes with microstructure and inertial characteristics in the rotating frame. Case Stud. Therm. Eng. 2018, 12, 823–832. [Google Scholar] [CrossRef]
- Khan, A.; Shah, Z.; Islam, S.; Dawar, A.; Bonyah, E.; Ullah, H.; Khan, A. Darcy-Forchheimer flow of MHD CNTs nanofluid radiative thermal behaviour and convective non uniform heat source/sink in the rotating frame with microstructure and inertial characteristics. AIP Adv. 2018, 8, 125024. [Google Scholar] [CrossRef]
- Khan, A.S.; Nie, Y.; Shah, Z.; Dawar, A.; Khan, W.; Islam, S. Three-Dimensional Nanofluid Flow with Heat and Mass Transfer Analysis over a Linear Stretching Surface with Convective Boundary Conditions. Appl. Sci. 2018, 8, 2244. [Google Scholar] [CrossRef]
- Sheikholeslami, M. Numerical investigation of nanofluid free convection under the influence of electric field in a porous enclosure. J. Mol. Liq. 2018, 249, 1212–1221. [Google Scholar] [CrossRef]
- Sheikholeslami, M. CuO-water nanofluid flow due to magnetic field inside a porous media considering Brownian motion. J. Mol. Liq. 2018, 249, 921–929. [Google Scholar] [CrossRef]
- Dawar, A.; Shah, Z.; Khan, W.; Islam, S.; Idrees, M. An optimal analysis for Darcy-Forchheimer 3-D Williamson Nanofluid Flow over a stretching surface with convective conditions. Adv. Mech. Eng. 2019, 11. [Google Scholar] [CrossRef]
- Ramzan, M.; Sheikholeslami, M.; Saeed, M.; Chung, J.D. On the convective heat and zero nanoparticle mass flux conditions in the flow of 3D MHD Couple Stress nanofluid over an exponentially stretched surface. Sci. Rep. 2019, 9, 562. [Google Scholar] [CrossRef]
- Sajid, M.; Hayat, T.; Asghar, S. Non-similar solution for the axisymmetric flow of a third-grade fluid over a radially stretching sheet. Acta Mech. 2007, 189, 193–205. [Google Scholar] [CrossRef]
- Ewis, K.M.; Attia, H.A.; Abdeen, M.A.M. Stagnation Point Flow through a Porous Medium towards a Radially Stretching Sheet in the Presence of Uniform Suction or Injection and Heat Generation. J. Fluids Eng. 2012, 134, 081202. [Google Scholar]
- Bejan, A. Second law analysis in heat transfer. Energy 1980, 5, 720–732. [Google Scholar] [CrossRef]
- Hayat, T.; Rafiq, M.; Ahmad, B.; Asghar, S. Entropy generation analysis for peristaltic flow of nanoparticles in a rotating frame. Int. J. Heat Mass Transf. 2017, 108, 1775–1786. [Google Scholar] [CrossRef]
- Nouri, D.; Pasandideh-Fard, M.; Oboodi, M.J.; Mahian, O.; Sahin, A.Z. Entropy generation analysis of nanofluid flow over a spherical heat source inside a channel with sudden expansion and contraction. Int. J. Heat Mass Transf. 2018, 116, 1036–1043. [Google Scholar] [CrossRef]
- Dalir, N.; Dehsara, M.; Nourazar, S.S. Entropy analysis for magnetohydrodynamic flow and heat transfer of a Jeffrey nanofluid over a stretching sheet. Energy 2015, 79, 351–362. [Google Scholar] [CrossRef]
- Rashidi, M.M.; Abelman, S.; Mehr, N.F. Entropy generation in steady MHD flow due to a rotating porous disk in a nanofluid. Int. J. Heat Mass Transf. 2013, 62, 515–525. [Google Scholar] [CrossRef]
- Das, S.; Banu, A.S.; Jana, R.N.; Makinde, O.D. Entropy analysis on MHD pseudo-plastic nanofluid flow through a vertical porous channel with convective heating. Alexand. Eng. J. 2015, 54, 325–337. [Google Scholar] [CrossRef]
- Seth, G.S.; Sarkar, S.; Makinde, O.D. Combined Free and Forced Convection Couette-Hartmann Flow in a Rotating Channel with Arbitrary Conducting Walls and Hall Effects. J. Mech. 2016, 32, 613–629. [Google Scholar] [CrossRef]
- Mkwizu, M.H.; Makinde, O.D.; Nkansah-Gyekye, Y. Numerical investigation into entropy generation in a transient generalized Couette flow of nanofluids with convective cooling. Sadhana 2015, 40, 2073–2093. [Google Scholar] [CrossRef]
- Adesanya, S.O.; Makinde, O.D. Entropy generation in couple stress fluid flow through porous channel with fluid slippage. Int. J. Exergy 2014, 15, 344–362. [Google Scholar] [CrossRef]
- Sheremet, M.A.; Oztop, H.F.; Pop, I.; Abu-Hamdeh, N. Analysis of entropy generation in natural convection of nanofluid inside a square cavity having hot solid block: Tiwari and das’ model. Entropy 2016, 18, 6. [Google Scholar] [CrossRef]
- Sheremet, M.; Pop, I.; Oztop, H.F.; Abu-Hamdeh, N. Natural convection of nanofluid inside a wavy cavity with a non-uniform heating: Entropy generation analysis. Int. J. Numer. Meth. Heat Fluid Flow 2017, 27, 958–980. [Google Scholar] [CrossRef]
- Alharbi, S.O.; Dawar, A.; Shah, Z.; Khan, W.; Idrees, M.; Islam, S.; Khan, I. Entropy Generation in MHD Eyring–Powell Fluid Flow over an Unsteady Oscillatory Porous Stretching Surface under the Impact of Thermal Radiation and Heat Source/Sink. Appl. Sci. 2018, 8, 2588. [Google Scholar] [CrossRef]
- Dawar, A.; Shah, Z.; Khan, W.; Idrees, M.; Islam, S. Unsteady squeezing flow of magnetohydrodynamic carbon nanotube nanofluid in rotating channels with entropy generation and viscous dissipation. Adv. Mech. Eng. 2019, 11, 1–18. [Google Scholar] [CrossRef]
- Kumam, P.; Shah, Z.; Dawar, A.; Rasheed, H.U.; Islam, S. Entropy Generation in MHD Radiative Flow of CNTs Casson Nanofluid in Rotating Channels with Heat Source/Sink. Math. Probl. Eng. 2019, 2019, 1–14. [Google Scholar] [CrossRef]
- Portavoce, A.; Hoummada, K.; Chow, L. Atomic Transport in Nano-crystalline Thin Films. Defect Diffus. Forum 2016, 367, 140–148. [Google Scholar] [CrossRef]
- Mebarek-Oudina, F. Convective heat transfer of Titania nanofluids of different base fluids in cylindrical annulus with discrete heat source. Heat Trans. Asian Res. 2019, 48, 135–147. [Google Scholar] [CrossRef]
- Mebarek-Oudina, F.; Bessaïh, R. Oscillatory Magnetohydrodynamic Natural Convection of Liquid Metal between Vertical Coaxial Cylinders. J. Appl. Fluid Mech. 2016, 9, 1655–1665. [Google Scholar] [CrossRef]
- Reza, J.; Mebarek Oudina, F.; Makinde, O.D. MHD Slip Flow of Cu-Kerosene Nanofluid in a Channel with Stretching Walls Using 3-Stage Lobatto IIIA formula. Defect Diffus. Forum 2018, 387, 51–62. [Google Scholar] [CrossRef]
- Raza, J.; Mebarek-Oudina, F.; Chamkha, A.J. Magnetohydrodynamic flow of molybdenum disulfide nanofluid in a channel with shape effects. Multidisc. Model. Mater. Struct. 2019, 15, 737–757. [Google Scholar] [CrossRef]
- Alkasassbeh, M.; Omar, Z.; Mebarek-Oudina, F.; Raza, J.; Chamka, A. Heat transfer study of convective fin with temperature-dependent internal heat generation by hybrid block method. Heat Transf. Asian Res. 2019, 48, 1225–1244. [Google Scholar] [CrossRef]
- Hamrelaine, S.; Mebarek-Oudina, F.; Rafik Sari, M. Analysis of MHD Jeffery Hamel Flow with Suction/Injection by Homotopy Analysis Method. J. Adv. Res. Fluid Mech. Therm. Sci. 2019, 58, 173–186. [Google Scholar]
- Bhatti, M.M.; Abbas, T.; Rashidi, M.M.; Ali, M.E.-S.; Yang, Z. Entropy Generation on MHD Eyring–Powell Nanofluid through a Permeable Stretching Surface. Entropy 2016, 18, 224. [Google Scholar] [CrossRef]
- Rashidi, S.; Akar, S.; Bovand, M.; Ellahi, R. Volume of fluid model to simulate the nanofluid flow and entropy generation in a single slope solar still. Renew. Energy 2018, 115, 400–410. [Google Scholar] [CrossRef]
- Bhatti, M.M.; Abbas, T.; Rashidi, M.M.; Ali, M.E.-S. Numerical Simulation of Entropy Generation with Thermal Radiation on MHD Carreau Nanofluid towards a Shrinking Sheet. Entropy 2016, 18, 200. [Google Scholar] [CrossRef]
- Esfahani, J.A.; Akbarzadeh, M.; Rashidi, S.; Rosen, M.A.; Ellahi, R. Influences of wavy wall and nanoparticles on entropy generation over heat exchanger plat. Int. J. Heat Mass Trans. 2017, 109, 1162–1171. [Google Scholar] [CrossRef]
- Darbari, B.; Rashidi, S.; Esfahani, J.A. Sensitivity Analysis of Entropy Generation in Nanofluid Flow inside a Channel by Response Surface Methodology. Entropy 2016, 18, 52. [Google Scholar] [CrossRef]
- Ellahi, R.; Alamri, S.Z.; Basit, A.; Majeed, A. Effects of MHD and slip on heat transfer boundary layer flow over a moving plate based on specific entropy generation. J. Taibah Univ. Sci. 2018, 12, 476–482. [Google Scholar] [CrossRef]
- Abbas, T.; Ayub, M.; Bhatti, M.M.; Rashidi, M.M.; Ali, M.E.-S. Entropy Generation on Nanofluid Flow through a Horizontal Riga Plate. Entropy 2016, 18, 223. [Google Scholar] [CrossRef]
- Qasim, M.; Khan, Z.H.; Khan, I.; Al-Mdallal, Q.M. Analysis of Entropy Generation in Flow of Methanol-Based Nanofluid in a Sinusoidal Wavy Channel. Entropy 2017, 19, 490. [Google Scholar] [CrossRef]
- Mamourian, M.; Shirvan, K.M.; Ellahi, R.; Rahimi, A. Optimization of mixed convection heat transfer with entropy generation in a wavy surface square lid-driven cavity by means of Taguchi approach. Int. J. Heat Mass Transf. 2016, 102, 544–554. [Google Scholar] [CrossRef]
- Sufian, M.; Ahmer, M.; Asif, A. Three diamensional squeezing flow in arotating chanel of lower stretching porous wall. Comput. Math. Appl. 2012, 64, 1575–1586. [Google Scholar]
- Khan, A.S.; Nie, Y.; Shah, Z. Impact of Thermal Radiation on Magnetohydrodynamic Unsteady Thin Film Flow of Sisko Fluid over a Stretching Surface. Processes 2019, 7, 369. [Google Scholar] [CrossRef]
- Saeed, A.; Shah, Z.; Islam, S.; Jawad, M.; Ullah, A.; Gul, T.; Kumam, P. Three-Dimensional Casson Nanofluid Thin Film Flow over an Inclined Rotating Disk with the Impact of Heat Generation/Consumption and Thermal Radiation. Coatings 2019, 9, 248. [Google Scholar] [CrossRef]
- Feroz, N.; Shah, Z.; Islam, S.; Alzahrani, E.O.; Khan, W. Entropy Generation of Carbon Nanotubes Flow in a Rotating Channel with Hall and Ion-Slip Effect Using Effective Thermal Conductivity Model. Entropy 2019, 21, 52. [Google Scholar] [CrossRef]
















| 1.2 | 0.1 | 0.1 | 0.1 | 0.2 | 0.955529 |
| 1.3 | 0.344419 | ||||
| 1.4 | −0.247015 | ||||
| 1.2 | 0.2 | 0.984942 | |||
| 0.3 | 1.009420 | ||||
| 0.4 | 1.029430 | ||||
| 1.2 | 0.1 | 0.2 | 0.956860 | ||
| 0.4 | 0.959551 | ||||
| 0.5 | 0.962230 | ||||
| 1.2 | 0.1 | 0.1 | 0.2 | 0.955522 | |
| 0.3 | 0.955510 | ||||
| 0.4 | 0.955493 | ||||
| 1.2 | 0.1 | 0.1 | 0.1 | 0.3 | 0.956887 |
| 0.4 | 0.958211 | ||||
| 0.5 | 0.959551 |
| 1.2 | 0.1 | 0.5 | 0.6 | 0.2 | 0.323922 |
| 1.3 | 0.534419 | ||||
| 1.4 | 0.169332 | ||||
| 1.2 | 0.2 | 0.256999 | |||
| 0.3 | 0.190056 | ||||
| 0.4 | 0.123293 | ||||
| 1.2 | 0.1 | 0.056644 | |||
| 0.6 | 0.200577 | ||||
| 0.7 | 0.077723 | ||||
| 0.8 | 0.046114 | ||||
| 1.2 | 0.1 | 0.5 | 0.7 | 0.313305 | |
| 0.8 | 0.302689 | ||||
| 0.9 | 0.292072 | ||||
| 1.2 | 0.1 | 0.5 | 0.6 | 0.3 | 0.292126 |
| 0.4 | 0.200330 | ||||
| 0.5 | 0.128534 |
| HAM | Numerical | Difference | |
|---|---|---|---|
| 0.0 | 1 | ||
| 0.2 | 0.098844 | ||
| 0.4 | 0.095823 | ||
| 0.6 | 0.091982 | ||
| 0.8 | 0.088647 | ||
| 1.0 | 0.087227 |
| HAM | Numerical | Difference | |
|---|---|---|---|
| 0.0 | 0.0 | ||
| 0.2 | |||
| 0.4 | |||
| 0.6 | |||
| 0.8 | |||
| 1.0 |
© 2019 by the authors. Licensee MDPI, Basel, Switzerland. This article is an open access article distributed under the terms and conditions of the Creative Commons Attribution (CC BY) license (http://creativecommons.org/licenses/by/4.0/).
Share and Cite
Zubair, M.; Shah, Z.; Dawar, A.; Islam, S.; Kumam, P.; Khan, A. Entropy Generation Optimization in Squeezing Magnetohydrodynamics Flow of Casson Nanofluid with Viscous Dissipation and Joule Heating Effect. Entropy 2019, 21, 747. https://doi.org/10.3390/e21080747
Zubair M, Shah Z, Dawar A, Islam S, Kumam P, Khan A. Entropy Generation Optimization in Squeezing Magnetohydrodynamics Flow of Casson Nanofluid with Viscous Dissipation and Joule Heating Effect. Entropy. 2019; 21(8):747. https://doi.org/10.3390/e21080747
Chicago/Turabian StyleZubair, Muhammad, Zahir Shah, Abdullah Dawar, Saeed Islam, Poom Kumam, and Aurangzeb Khan. 2019. "Entropy Generation Optimization in Squeezing Magnetohydrodynamics Flow of Casson Nanofluid with Viscous Dissipation and Joule Heating Effect" Entropy 21, no. 8: 747. https://doi.org/10.3390/e21080747
APA StyleZubair, M., Shah, Z., Dawar, A., Islam, S., Kumam, P., & Khan, A. (2019). Entropy Generation Optimization in Squeezing Magnetohydrodynamics Flow of Casson Nanofluid with Viscous Dissipation and Joule Heating Effect. Entropy, 21(8), 747. https://doi.org/10.3390/e21080747

