Sum-Rate of Multi-User MIMO Systems with Multi-Cell Pilot Contamination in Correlated Rayleigh Fading Channel
Abstract
1. Introduction
1.1. Differences and Motivation (Regarding the Related Work)
1.2. Our Contribution
- For a finite number of BS antennas, we derive closed-form expression of the moment generating function (MGF) for the lower bound of the sum-rate. Then, we obtain the ergodic sum-rate and the approximated variance of the sum-rate. With Gaussian approximation, outage sum-rate and outage probability are also studied in this paper.
- We investigate the asymptotic performance of the sum-rate. When the number of antennas at BS approaches infinite, the variance of the sum-rate of MU-MIMO systems with perfect channel estimation and no pilot contamination decreases as [14], where M is the number of antennas at BS. In this paper, we show that the variance of the sum-rate of MU-MIMO systems with imperfect CSI and multi-cell pilot contamination decreases as .
1.3. Notation
2. Equivalent System Model of Multi-Cell MU-MIMO with Pilot Contamination
- 1)
- , where denotes the limit superior.
- 2)
- , where denotes the limit inferior.
3. Sum-Rate Analysis for MU-MIMO with Multi-Cell Pilot Contamination
3.1. Lower Bound of Sum-Rate
3.2. Derivation of MGF for the Lower Bound of Sum-Rate
3.3. Ergodic Sum-Rate
3.4. Approximated Variance of Sum-Rate
3.5. Outage Performance of the Sum-Rate
3.6. Derivation of the Variance of Sum-Rate for Very Large Number of Antennas
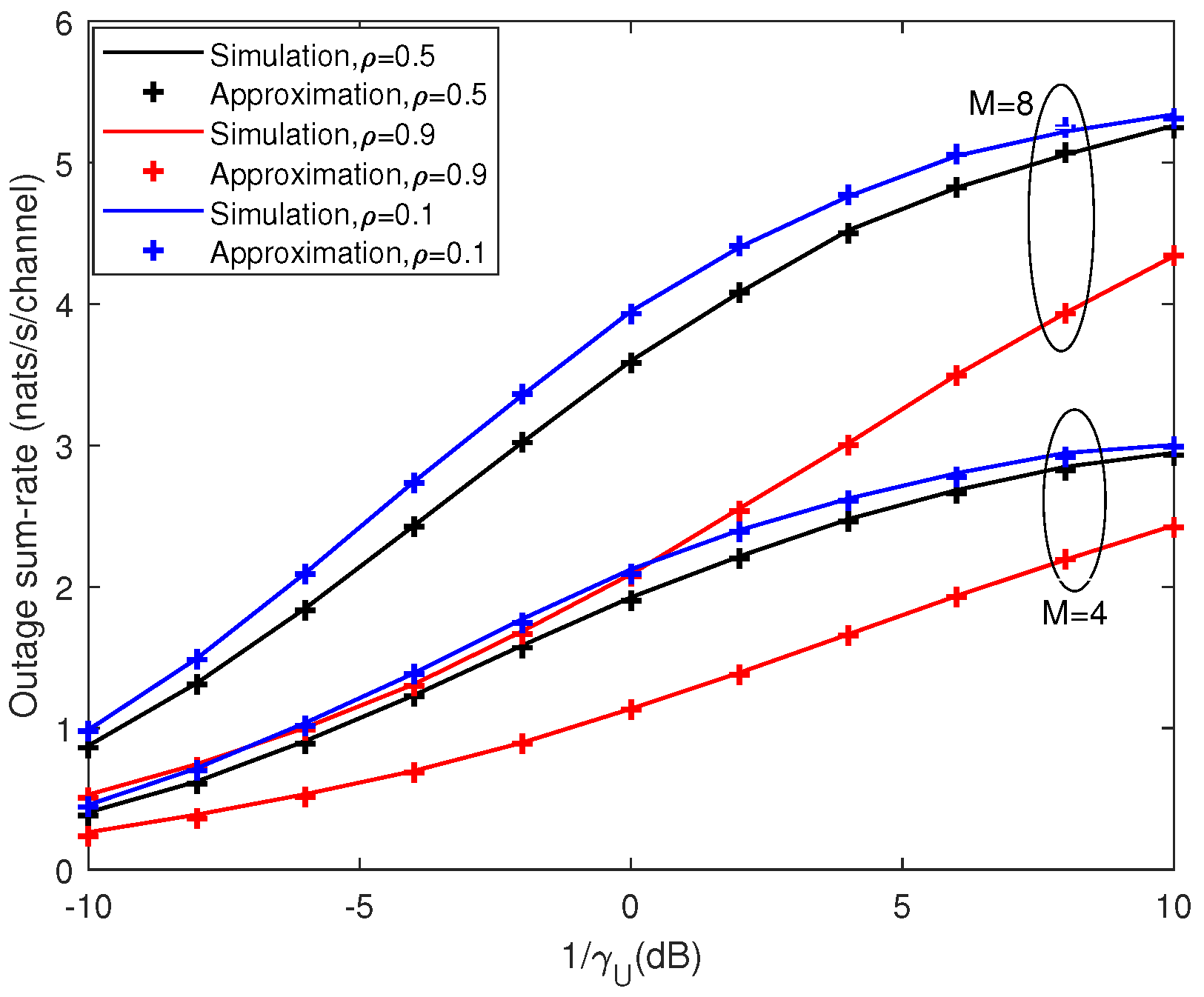
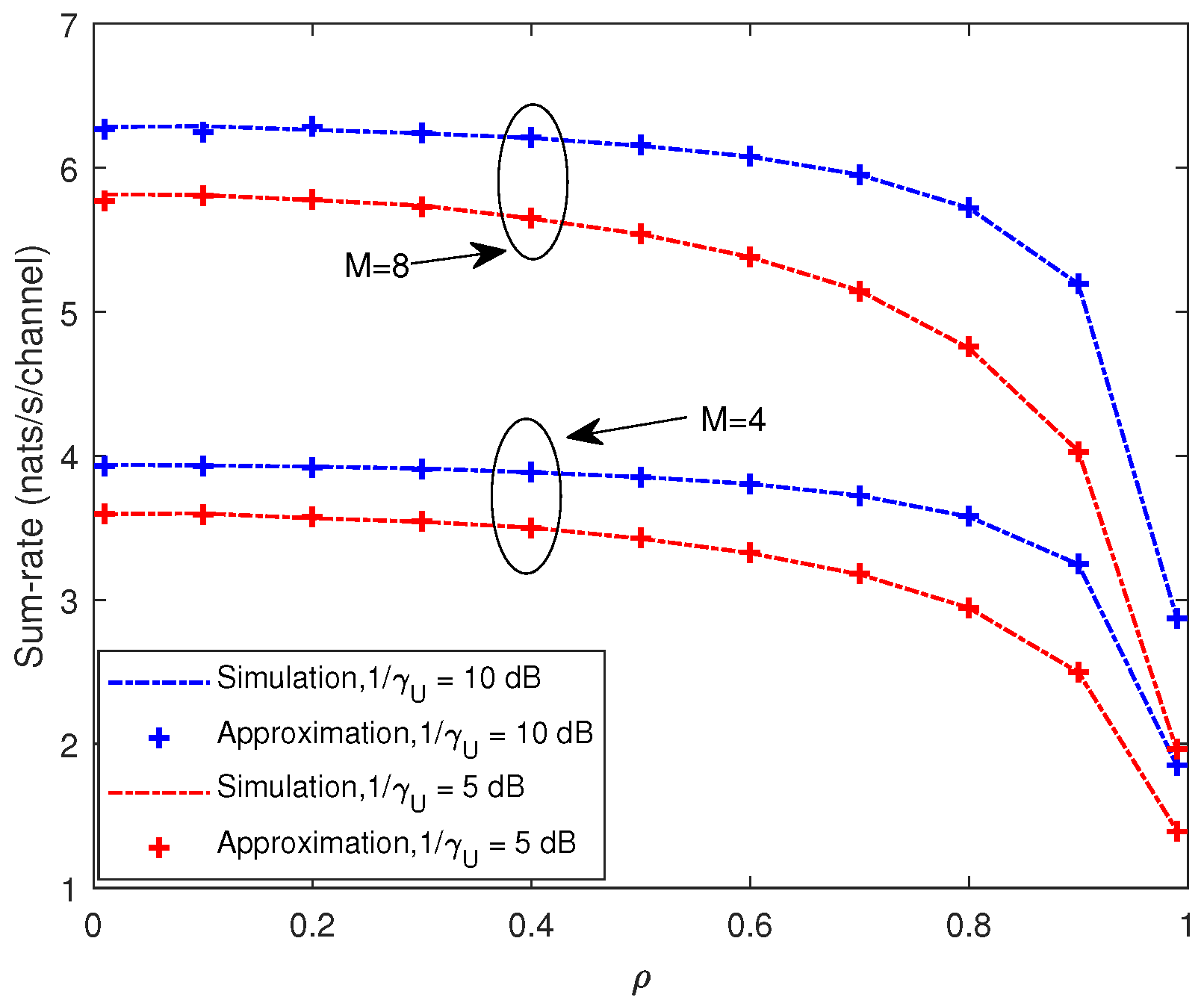
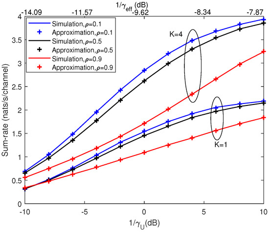
4. Numerical Results
5. Conclusions
Author Contributions
Funding
Conflicts of Interest
Appendix A. Proofs of Theorem 1
Appendix B. Proofs of Theorem 2
Appendix C. Proofs of Theorem 3
References
- Xu, P.; Wang, D.; Qi, F. On the Use of H-Inf Criterion in Channel Estimation and Precoding in Massive MIMO Systems. Sci. China Inf. Sci. 2017, 60, 022311. [Google Scholar] [CrossRef]
- Xue, Y.; Zhang, J.; Gao, X. Resource Allocation for Pilot-Assisted Massive MIMO Transmission. Sci. China Inf. Sci. 2017, 60, 042302. [Google Scholar] [CrossRef]
- Wang, D.; Zhang, Y.; Wei, H.; You, X.; Gao, X.; Wang, J. An Overview of Transmission Theory and Techniques of Large-scale Antenna Systems for 5G Wireless Communications. Sci. China Inf. Sci. 2016, 59, 081301. [Google Scholar] [CrossRef]
- Yang, F.; Cai, P.; Qian, H.; Luo, X. Pilot Contamination in Massive MIMO Induced by Timing and Frequency Errors. IEEE Trans. Wirel. Commun. 2018, 17, 4477–4492. [Google Scholar] [CrossRef]
- Akgun, B.; Krunz, M.; Koyluoglu, O. Vulnerabilities of Massive MIMO Systems to Pilot Contamination Attacks. IEEE Trans. Inf. Forensics Secur. 2019, 14, 1251–1263. [Google Scholar] [CrossRef]
- Boulouird, M.; Riadi, A.; Hassani, M.M. Pilot Contamination in Multi-Cell Massive-MIMO Systems in 5G Wireless Communications. In Proceedings of the 2017 International Conference on Electrical and Information Technologies (ICEIT), Rabat, Morocco, 15–18 November 2017. [Google Scholar]
- Al-hubaishi, A.S.; Noordin, N.K.; Sali, A.; Subramaniam, S.; Mansoor, A.M. An Efficient Pilot Assignment Scheme for Addressing Pilot Contamination in Multicell Massive MIMO Systems. Electronics 2019, 8, 372. [Google Scholar] [CrossRef]
- Zhang, Z.; Li, Y.; Wang, R. Suppressing Pilot Contamination in Massive MIMO Downlink via Cross-Frame Scheduling. IEEE Access 2018, 6, 44858–44867. [Google Scholar] [CrossRef]
- Marzetta, T.L. Noncooperative Cellular Wireless with Unlimited Numbers of Base Station Antennas. IEEE Trans. Wirel. Commun. 2010, 9, 3590–3600. [Google Scholar] [CrossRef]
- Hoydis, J.; Brinkz, S.; Debbah, M. Massive MIMO in the UL/DL of Cellular Networks: How Many Antennas Do We Need? IEEE J. Sel. Areas Commun. 2013, 31, 160–171. [Google Scholar] [CrossRef]
- Hoydis, J.; Brinkz, S.; Debbah, M. Massive MIMO: How Many Antennas do We Need? In Proceedings of the Allerton Conference on Communication, Control and Computing, UIUC, Monticello, IL, USA, 28–30 September 2011. [Google Scholar]
- Ngo, H.Q.; Larsson, E.G.; Marzetta, T.L. The Multicell Multiuser MIMO Uplink with Very Large Antenna Arrays and a Finite-Dimensional Channel. IEEE Trans. Commun. 2013, 61, 2350–2361. [Google Scholar] [CrossRef]
- Ngo, H.Q.; Matthaiou, M.; Larsson, E.G. Performance Analysis of Large Scale MU-MIMO with Optimal Linear Receiver. In Proceedings of the IEEE Swedish Communication Technologies Workshop (Swe-CTW), Lund, Sweden, 24–26 October 2012. [Google Scholar]
- Hochwald, B.M.; Marzetta, T.L.; Tarokh, V. Multi-Antenna Channel Hardening and its Implications for Rate Feedback and Scheduling. IEEE Trans. Info. Theory 2004, 50, 1893–1909. [Google Scholar] [CrossRef]
- Guo, H.; Crossley, P. Design of a Time Synchronization System Based on GPS and IEEE 1588 for Transmission Substations. IEEE Trans. Power Delivery 2017, 32, 2091–2100. [Google Scholar] [CrossRef]
- Kay, S. Fundamental of Statistical Signal Processing: Estimation Theory; Prentice Hall: Upper Saddle River, NJ, USA, 1993. [Google Scholar]
- Hassibi, B.; Hochwald, B.M. How Much Training is Needed in Multiple-Antenna Wireless Links? IEEE Trans. Info. Theory 2003, 49, 951–963. [Google Scholar] [CrossRef]
- Gradshteyn, I.S.; Ryzhik, I.M. Table of Integrals, Series, and Products; Academic Press: New York, NY, USA, 2007. [Google Scholar]
- Meyer, C.D. Matrix Analysis and Applied Linear Algebra; SIAM: Philadelphia, PL, USA, 2001. [Google Scholar]
- Alouini, M.S.; Goldsmith, A. Capacity of Rayleigh Fading Channels under Different Adaptive Transmission and Diversity-Combining Techniques. IEEE Trans. Veh. Technol. 1999, 48, 1165–1181. [Google Scholar] [CrossRef]
- Kang, M.; Alouinim, M.S. Capacity of MIMO Rician Channels. IEEE Trans. Wirel. Commun. 2006, 5, 112–122. [Google Scholar] [CrossRef]
- Andrews, L.C. Special Functions for Engineers and Applied Mathematicians; MacMillan: New York, NY, USA, 1985. [Google Scholar]
- Smith, P.J.; Shafi, M. On a Gaussian Approximation to the Capacity of Wireless MIMO Systems. In Proceedings of the IEEE International Conference on Communications (ICC), New York, NY, USA, 28 April–2 May 2002. [Google Scholar]
- Wang, Z.; Giannakis, G.B. Outage Mutual Information of Space-Time MIMO Channels. IEEE Trans. Info. Theory 2004, 50, 657–662. [Google Scholar] [CrossRef]
- Wang, D.; You, X.; Wang, J.; Wang, Y.; Hou, X. Spectral Efficiency of Distributed MIMO Cellular Systems in a Composite Fading Channel. In Proceedings of the IEEE International Conference on Communications (ICC), Beijing, China, 19–23 May 2008. [Google Scholar]
- Loyka, S.L. Channel Capacity of MIMO Architecture Using the Exponential Correlation Matrix. IEEE Commun. Lett. 2001, 5, 369–371. [Google Scholar] [CrossRef]
- Wang, D.; Ji, C.; Gao, X.; Sun, S.; You, X. Uplink Sum-Rate Analysis of Multi-Cell Multi-User Massive MIMO System. In Proceedings of the IEEE International Conference on Communications (ICC), Budapest, Hungary, 9–13 June 2013. [Google Scholar]
- Chiani, M.; Win, M.Z.; Shin, H. MIMO Networks: The Effects of Interference. IEEE Trans. Info. Theory 2010, 56, 336–349. [Google Scholar] [CrossRef]
- Chiani, M.; Win, M.Z.; Zanella, A. On the Capacity of Spatially Correlated MIMO Rayleigh-Fading Channels. IEEE Trans. Info. Theory 2003, 49, 2363–2371. [Google Scholar] [CrossRef]










© 2019 by the authors. Licensee MDPI, Basel, Switzerland. This article is an open access article distributed under the terms and conditions of the Creative Commons Attribution (CC BY) license (http://creativecommons.org/licenses/by/4.0/).
Share and Cite
Wang, M.; Wang, D. Sum-Rate of Multi-User MIMO Systems with Multi-Cell Pilot Contamination in Correlated Rayleigh Fading Channel. Entropy 2019, 21, 573. https://doi.org/10.3390/e21060573
Wang M, Wang D. Sum-Rate of Multi-User MIMO Systems with Multi-Cell Pilot Contamination in Correlated Rayleigh Fading Channel. Entropy. 2019; 21(6):573. https://doi.org/10.3390/e21060573
Chicago/Turabian StyleWang, Menghan, and Dongming Wang. 2019. "Sum-Rate of Multi-User MIMO Systems with Multi-Cell Pilot Contamination in Correlated Rayleigh Fading Channel" Entropy 21, no. 6: 573. https://doi.org/10.3390/e21060573
APA StyleWang, M., & Wang, D. (2019). Sum-Rate of Multi-User MIMO Systems with Multi-Cell Pilot Contamination in Correlated Rayleigh Fading Channel. Entropy, 21(6), 573. https://doi.org/10.3390/e21060573

