Abstract
Multilevel thresholding segmentation of color images is an important technology in various applications which has received more attention in recent years. The process of determining the optimal threshold values in the case of traditional methods is time-consuming. In order to mitigate the above problem, meta-heuristic algorithms have been employed in this field for searching the optima during the past few years. In this paper, an effective technique of Electromagnetic Field Optimization (EFO) algorithm based on a fuzzy entropy criterion is proposed, and in addition, a novel chaotic strategy is embedded into EFO to develop a new algorithm named CEFO. To evaluate the robustness of the proposed algorithm, other competitive algorithms such as Artificial Bee Colony (ABC), Bat Algorithm (BA), Wind Driven Optimization (WDO), and Bird Swarm Algorithm (BSA) are compared using fuzzy entropy as the fitness function. Furthermore, the proposed segmentation method is also compared with the most widely used approaches of Otsu’s variance and Kapur’s entropy to verify its segmentation accuracy and efficiency. Experiments are conducted on ten Berkeley benchmark images and the simulation results are presented in terms of peak signal to noise ratio (PSNR), mean structural similarity (MSSIM), feature similarity (FSIM), and computational time (CPU Time) at different threshold levels of 4, 6, 8, and 10 for each test image. A series of experiments can significantly demonstrate the superior performance of the proposed technique, which can deal with multilevel thresholding color image segmentation excellently.
1. Introduction
Image segmentation is an important technology in image processing, which is a frontier research direction in computer vision, as well as one of the key preprocessing steps in image analysis [1,2]. It has been widely adopted in medicine, agriculture, industrial production, and various other fields. Image segmentation can be defined as the procedure of dividing an image into different regions [3]. In the subsequent research, the relevant regions can be extracted from the segmented image expediently according to specific requirements. Nowadays, the common image segmentation methods include threshold-based, cluster-based, edge-based methods and so on. Thresholding is extensively applied due to its simplicity, efficiency, and robustness. Depending on the number of thresholds, it can be classified as bi-level segmentation and multilevel segmentation [4]. Bi-level thresholding techniques use one threshold to partition an image into two segments; whereas multilevel segmentation determines several thresholds to separate an image into more than two classes. Many thresholding approaches have been proposed by scholars around the world in the past few years, Otsu’s (between-class variance criterion) [5,6] technique pushes the thresholding segmentation to an upsurge and inspires the scholars constantly in this field. Then diverse entropy-based criteria have emerged in the thresholding segmentation study, such as maximum entropy (Kapur’s) [7], minimum cross entropy [8], fuzzy entropy [9], etc.
Gray-scale image thresholding technology is relatively popular and mature. Compared with the segmentation of gray-scale images, color image segmentation plays a more beneficial role in practical applications, which separates an image into several disjoint and homogenous components based on the information of texture, color or histogram [10]. Color image segmentation is more complex and challenging than gray-scale images. Nevertheless, considering that color images contain more characteristics and they are closer to human visual effects [11], the research of color image segmentation is more meaningful. There will appear some problems when a traditional segmentation method is adopted to segment a color image, for example, the computation is massive and accuracy of segmented images cannot be guaranteed [12,13]. In this paper, fuzzy entropy is one of the research objects with high segmentation accuracy. In the fuzzy entropy thresholding technique, each threshold needs to be determined by three fuzzy parameters. Hence the calculation of thresholds is more accurate, at the same time the process is more complicated and the running time of the program will be longer. With the improvement of the threshold level, the computation of fuzzy entropy will exponentially increase for searching the optimal thresholds and the efficiency of segmentation will gradually decrease [14,15,16]. In order to enhance the practicability of fuzzy entropy thresholding technique, this paper combines fuzzy entropy thresholding with intelligent optimization algorithms to improve the performance with respect to accuracy and efficiency.
Meta-heuristic algorithms are utilized to obtain the optimal solution of the problem [17]. Generally, they are inspired by nature and try to handle the problems from mimicking ethology, biology or physics [18]. For instance, Bird Swarm Algorithm (BSA) [19], Firefly Algorithm (FA) [20], and Flower Pollination Algorithm (FPA) [21] are inspired by ethology or biology; Electromagnetic Optimization (EMO) [22], Wind Driven Optimization (WDO) [23], and Gravitational Search Algorithm (GSA) [24] are inspired by physics. At present, a number of scholars have coupled the optimization algorithms with the field of image segmentation in the literature. For instance, Sowjanya et al. [25] combined a WDO algorithm with Otsu’s method for the segmentation of brain MRI images, it has shown the superior performance in the experiment results. Wasim et al. [26] proposed an improved Bee Algorithm (BA) for multilevel image segmentation, whereby they embedded Levy fight into a Bees Algorithm (the Levy Bees Algorithm, LBA), and the results show that LBA is more stable than BA in this field. Rakoth et al. [27] tried to combine Dragonfly Optimization with Self-Adaptive weight (SADFO) and used SADFO for image segmentation experiments with satisfying results. These references confirm the feasibility of applying optimization algorithms to image thresholding segmentation. However, the above experiments all concentrate on gray-scale images and do not extend the experiments to the analysis of color images. Applying meta-heuristic algorithms to the field of multilevel image segmentation can enhance the convergence speed and efficiency [28]. Therefore, in this paper, Electromagnetic Field Optimization algorithm (EFO) [29] is modified and combined with fuzzy entropy thresholding method to eliminate the complex computation, which is used into the multilevel color image segmentation field for searching the best threshold values.
Electromagnetic Field Optimization is a new meta-heuristic algorithm inspired by the electromagnetic theory developed in physics. EFO algorithm has been applied in several applications, for example, Behnam et al. [30] created a method using EFO for hiding sensitive rules simultaneously, which has fewer lost rules than other well-known algorithms. Bouchekara et al. [31] proposed the optimal coordination of directional overcurrent relays based on EFO, and the results show that EFO is better than other optimization algorithms such as Particle Swarm Optimization (PSO) [32], or the Differential Evolution (DE) algorithm [33], etc. This paper embeds a new chaos strategy into standard EFO algorithm according to the specific problem of color image segmentation named as Chaotic Electromagnetic Field Optimization (CEFO). Employing the CEFO algorithm to optimize the fuzzy parameters which determine the optimal thresholds of an image in fuzzy entropy. To the best of our knowledge, this topic has not been investigated yet. The rest of this paper is organized as follows: in Section 2, the concept of EFO algorithm is elaborated. In Section 3, the chaotic strategy in CEFO algorithm is introduced and explained. In Section 4, the problem definitions and formulas of the Otsu’s, Kapur’s entropy, and the fuzzy entropy are illustrated. In Section 5, the experimental environment is reported. In Section 6, the experimental results and discussions are provided and analyzed. Finally, a brief conclusion of this paper and future works are drawn in Section 7.
2. Electromagnetic Field Optimization
Electromagnetic Field Optimization is a novel meta-heuristic intelligent algorithm proposed by Hosein in 2016 [29]. In contrast to the swarm-based meta-heuristic algorithms widely inspired by biology, the EFO algorithm is based on the electromagnetic field principle used in physics. In the EFO algorithm, due to the forces of attraction and repulsion in the electromagnetic field, the electromagnetic particle (EMP) keeps away from the worst solution and moves towards the best solution. In the end, all the electromagnetic particles (EMPs) gather around the optimal solution.
A magnetic field is generated around the electrified iron core, which is made of an electromagnet. An electromagnet has only one polarity and it is contingent on the direction of the electric current. Hence, an electromagnet has two characteristics of attraction or repulsion, electromagnets with the different polarity attract each other, and those with identical polarity repel each other. The intensity of attraction is 5-10% higher than repulsion and the ratio between attraction and repulsion is set as golden ratio [29,31], which can promote the algorithm to explore the optimal solution effectively in the search space. The essence of the optimization problem is to find the pole (maximum or minimum) about the objective function and the corresponding fitness in the prescriptive range [34]. Each potential solution of the problem is represented with an electromagnetic particle composed of a group of electromagnets. The electromagnetic field comprises several electromagnetic particles and it can be defined as a space in 1-D (dimension), 2-D, 3-D, or hyperdimensional space [35]. The number of electromagnets of an electromagnetic particle corresponds to variables of the optimization problem, as well as the dimension of the electromagnetic space. Moreover, all electromagnets of one electromagnetic particle have the same polarity. Therefore, an electromagnetic particle has the same polarity with its electromagnets. The set of electromagnetic particles can be considered in a matrix as:
where is the number of electromagnetic particles and is the number of variables (dimension).
The mechanism of the EFO algorithm can be described as follows:
- Step 1:
- A certain number of electromagnetic particles are generated randomly in the electromagnetic field, and the fitness of each electromagnetic particle is evaluated by the objective function. Then the electromagnetic particles are sorted on the basis of their fitness.
- Step 2:
- The electromagnetic field is divided into three regions: positive, negative and neutral. Then all electromagnetic particles are classified into these three groups. The first group consists of the best particles with positive polarity. The second group consists of the worst particles with negative polarity. The third group consists of neutral particles which have a little negative polarity almost near zero. And all electromagnetic particles are located in the corresponding electromagnetic regions.
- Step 3:
- In each iteration of the algorithm, a new electromagnetic particle () is generated. If the fitness of is better than the original worst particle, the will remain and its fitness and polarity will depend on the list of fitness, furthermore, the original worst particle will be eliminated. If else, the will be eliminated directly. This process continues until the algorithm reaches the maximum number of iterations.
The core of the EFO is the method of generating in each iteration, and each electromagnet in
is shaped separately. The main process can be described as follows: three electromagnetic particles are randomly extracted from three electromagnetic regions (one EMP from each region), and then three electromagnets are randomly extracted from three electromagnetic particles obtained just now (one electromagnet from each EMP). Consequently, there are three electromagnets with different polarities. The neutral electromagnet is attracted and repelled by positive and negative electromagnets. Owing to the intensity of attraction is stronger than repulsion and the neutral electromagnet has a slight negative polarity, the neutral electromagnet moves a distance away from the negative electromagnet and approaches towards the positive electromagnet. In other words, each electromagnet in is a result of interaction between attraction and repulsion, which is shown in Figure 1.
Figure 1.
Schematic diagram of the electromagnetic field. The relationship between the electromagnetic particle (EMP) and electromagnet. The method of generating the new electromagnetic particle
Figure 1 shows the process of generating , in this figure, each electromagnetic particle contains three electromagnets for example, and positive, neutral and negative electromagnets are colored as green, blue and red respectively. In accordance with the above mechanism, three electromagnets of is selected from nine original electromagnets, which increases randomness and enhances the strength of the optimization algorithm. Establishing a mathematical model to describe the update mechanism of as below:
where j is the number of electromagnets in EMP; is the positive electromagnet; is the negative electromagnet; is the neutral electromagnet; is the distance between positive and neutral electromagnets. is the distance between negative and neutral electromagnets; is the random value between 0 and 1; is the golden ratio of .
In order to preserve the diversity of particles in the electromagnetic field and reduce the probability of falling into local optima [36], randomness is an indispensable part in EFO algorithm. Therefore, the probability of about the new position is determined by the selected electromagnet from a positive field, which accelerates the convergence rate and improves the accuracy of the optimum. Additionally, the probability of is used to replace one electromagnet in with randomly generated electromagnet within the space. The most important feature of EFO algorithm is the high degree of cooperation among particles. Another pivotal characteristic is high randomization, which avoids obtaining the local optimum. Meanwhile, the application of the golden ratio makes EFO more efficient. All of the above strategies lead EFO to a robust optimization algorithm.
3. Proposed Algorithm
One of the essential points in the EFO algorithm is the degree of chaos about the electromagnetic particles in the electromagnetic field; if the degree of chaos is higher, the search power will be stronger. In the literature, the initial position of electromagnetic particles is processed by a chaotic strategy, which disturbs the distribution of particles and increases the unpredictability of the system.
Chaotic phenomena refer to the external complex behavior in a non-linear deterministic system due to the inherent randomness [37]. Almost all meta-heuristic algorithms need to be initialized randomly, and usually it is achieved by using probability distribution, which can advantageous to replace such randomness with chaotic map [38]. Owing to the dynamic behavior of chaos, chaotic maps have been commonly acknowledged in the field of optimization, which can promote algorithms in exploring optima more effective globally in the search space. Table 1 lists some common chaotic maps, which are expressed by mathematical equations.
Table 1.
Chaotic maps.
For instance, logistic chaos is widely used because of its simple expression and good performance, and it is shown in Figure 2. As can be seen, the logistic system has missed certain values. In consideration of the multilevel color image segmentation problem, this paper proposes a new chaotic map as follows:
where is the random value between 0 and 1.
Figure 2.
Logistic Chaotic Map.
The new chaotic map is shown in Figure 3 and its distribution is more symmetrical than Logistic chaotic map. Taking advantage of this chaos strategy in EFO, the total performance of the algorithm will be improved and it is known as CEFO. The pseudo-code of the CEFO algorithm is presented in Algorithm 1.
Figure 3.
Chaotic Map in this paper.
| Algorithm 1. Pseudo-code of CEFO algorithm |
| /* Part 1: Algorithm parameters initialization */ |
| : The number of electromagnets in each electromagnetic particle. |
| : The number of electromagnetic particles in population. |
| : The probability of changing one electromagnet with a random electromagnet. |
| : The probability of selecting electromagnets from the positive field. |
| : The portion of particles belonging to positive. |
| : The portion of particles belonging to negative. |
| min = lower boundary; max = upper boundary |
| /* Part 2: Main loop of the algorithm */ |
| for i = 1 to do |
| for j = 1 to do |
| position [i, j] = min + rand ( )(max − min) |
| end for |
| end for |
| Update position by using the chaotic map of Equation (5) |
| fitness = function (position) |
| while t (current iteration) < max iterations |
| Divide the electromagnetic field into three regions |
| for i = 1 to do |
| if rand (0,1) > |
| Generate the by Equation (4) |
| else |
| Generate the from positive particles |
| end if |
| Check if any particle beyond the search space |
| end for |
| if rand (0,1) < |
| Change one electromagnet of randomly |
| end if |
| Compare the fitness of with worst particle |
| t = t + 1 |
| end while |
| Output the best particle |
4. Thresholding Segmentation Methods
The process of multilevel thresholding color image segmentation is to find more than two optimal thresholds to segment three components (red, green, and blue) respectively. In RGB images, each color component consists of pixels and number of gray levels. The obtained thresholds are within the range of [0, ], is considered as 256 and each gray-level is associated with the histogram representing the frequency of its gray level pixel used by .
4.1. Between-Class Variance Thresholding
Between-class variance (Otsu’s) [5] thresholding method can be defined as follows:
Assuming that thresholds form the threshold vector to split an image into n classes:
Constructing image histogram , where is the frequency of gray-level . Then, the probability of gray-level can be represented as:
For every class , the cumulative probability and average gray level in every region can be defined as:
and Otsu’s function can be expressed as:
where is the average gray intensity of the image.
Therefore, the optimal threshold vector is as follows:
4.2. Kapur’s Entropy Thresholding
Kapur’s entropy method maximizes the entropy value of the segmented histogram such that each separated region has more centralized distribution [39]. Extending Kapur’s entropy for multilevel image segmentation problem:
where represents the entropy value of j-th region in the image.
There are thresholds which can be configured as the dimensional optimization problem. And the optimal threshold vector is obtained analogously by:
4.3. Fuzzy Entropy Thresholding
In the fuzzy entropy technique, let an original image be , where and represent the width and height of an image. Supposed that and are two thresholds to divide the original image into 3 parts named as , , [10]. consists of pixels of low gray levels; is made of pixels with middle gray levels; is composed of pixels of high gray levels. Usually, using (13) to calculate the image histogram:
where ; is the number of the k-th pixel in ; is the histogram of the image at gray-level , .
Consider as an unknown probabilistic partition of , whose probability distribution can be expressed as:
For each , let:
Utilizing , , as the membership functions of , , , which is shown in Figure 4 [40]. There are six fuzzy parameters of , , , , , in the membership functions, in other words, and are determined by these six parameters. According to the above statement, we can have the probability distribution of three regions expressed as:
where , , are the conditional probability of a pixel partitioned into three classes. Moreover, a pixel of in an image satisfies the constraint of .
Figure 4.
Membership function graph.
The three membership functions have been shown in Figure 4. And these mathematical formulas are defined as follows:
where , , , , , should meet the condition of .
Then, the fuzzy entropy of each part is as follows:
The whole fuzzy entropy function is defined as:
Equation (21) is determined by six variables which are called fuzzy parameters. Seeking the optimal group of , , , , , when (21) reach the maximum value. Therefore, the most applicable threshold can be calculated as:
As is shown in Figure 4, according to the above equation, and can be defined by (17)–(19), and the result is as follows:
Fuzzy entropy thresholding can meet the requirement from single threshold segmentation to multiple thresholds segmentation, and the optimal threshold vector obtained is more precise. However, each threshold should be determined by three parameters in fuzzy entropy thresholding, and thresholds need to be defined by 3n fuzzy parameters [41,42].
With the increase of threshold level gradually, the degree of the computation will be significantly risen, which diminish the speed of the process and the practicability will be reduced. In order to improve the convergence efficiency, it is necessary to use the optimization algorithm for searching the optimal threshold vector. This paper takes advantage of the CEFO to ensure the segmentation accuracy and greatly decrease the execution time. The general flow of fuzzy entropy thresholding based on the CEFO algorithm is presented in Figure 5.
Figure 5.
Flow chart of fuzzy entropy thresholding method based on the Chaotic Electromagnetic Field Optimization (CEFO) algorithm.
5. Experimental Environment
In order to verify the superiority of the CEFO algorithm in dealing with the multilevel color image segmentation problem, this section will introduce the description of our benchmark images and then select several other algorithms for comparison. The parameters of each algorithm will be described firstly and a series of quality metrics used to evaluate the quality of segmented images will be calculated at the end.
5.1. Benchmark Images
In this experiment, ten images are chosen from the Berkeley segmentation data set, which is shown in Figure 6. It has presented the histogram of three components about every color image. Among these images, Test 1–3 are animal images; Test 4 and 5 are about human; Test 7 and 8 are landmark buildings; Test 6 and 9 are images related to landscape architecture; Test 10 is the normal scenery image.

Figure 6.
Experimental images of Berkeley. Ten classical images and their histograms of three component (red, green, and blue) are exhibited.
5.2. Experimental Settings
When applied to solve the problem of multilevel color image segmentation, different meta-heuristic algorithms have different optimization performances due to their strategies and mathematical formulations [43]. Therefore, it is essential to compare the CEFO algorithm with other different algorithms such as EFO, ABC [44], BA [10], BSA [19], WDO [23]. Among these algorithms, ABC, BA, and BSA are proposed from biology; EFO and WDO are inspired from physics. The number of maximum iterations of each algorithm is set to 500, and the initial population is set to 15, with a total of 30 runs per algorithm, other specific parameters are presented in Table 2.
Table 2.
Specific values of parameters used in selected algorithms.
All the algorithms are programmed in Matlab R2016a (The Mathworks Inc., Natick, MA, USA) and implemented on a Windows 7 – 64 bit with 8 GB RAM environment.
5.3. Segmented Image Quality Metrics
To evaluate the quality of segmented images under different algorithms at selected threshold levels, four metrics are selected as follows [45,46]:
- Peak Signal to Noise Ratio (PSNR)
The index is used to measure the difference between the original image and the segmented image, and a higher value is gained when the segmented image has a better effect. It can be defined as:
where and represent the size of the image; is the original image; is the segmented image.
- Mean Structural Similarity (MSSIM)
The index evaluates the overall image quality, which is in the range of . The higher value of MSSIM is obtained when it represents the segmented image is more similar to the original image. The MSSIM is the average of every component and SSIM can be calculated as:
- Feature similarity (FSIM)
The index is in the range of , and the segmented image is better when the value is closer to 1. The FSIM can be expressed as:
- Computation Time (CPU Time)
The index measures the convergence rate of each algorithm. The algorithm is more efficient when the time is shorter.
6. Results and Discussions
6.1. Comparison of Other Meta-Heuristic Algorithms
Utilizing 6 algorithms based on fuzzy entropy criterion to conduct the experiment on 10 images at the threshold level of 4, 6, 8, and 10 ( = 4, 6, 8, 10). The results of the optimal threshold vector are presented in Table 3, Table 4 and Table 5 exhibiting each threshold level of three component about every image. And the results of segmented images are presented in Figure 7, Figure 8, Figure 9, Figure 10, Figure 11, Figure 12, Figure 13, Figure 14, Figure 15 and Figure 16, which take each Test image as a group. Furthermore, the results of the four metrics are shown in Table 6 and Table 7.
Table 3.
Comparison of optimal threshold values between Chaotic Electromagnetic Field Optimization (CEFO) and Electromagnetic Field Optimization (EFO) at K = 4, 6, 8, 10 based on fuzzy entropy.
Table 4.
Comparison of optimal threshold values between Artificial Bee Colony (ABC) and Bat Algorithm (BA) at K = 4, 6, 8, 10 based on fuzzy entropy.
Table 5.
Comparison of optimal threshold values between Wind Driven Optimization (WDO) and Bird Swarm Algorithm (BSA) at K = 4, 6, 8, 10 based on fuzzy entropy.
Figure 7.
Segmented images of Test 1 at K = 4, 6, 8, 10 using selected algorithms based on fuzzy entropy.
Figure 8.
Segmented images of Test 2 at K = 4, 6, 8, 10 using selected algorithms based on fuzzy entropy.
Figure 9.
Segmented images of Test 3 at K = 4, 6, 8, 10 using selected algorithms based on fuzzy entropy.
Figure 10.
Segmented images of Test 4 at K = 4, 6, 8, 10 using selected algorithms based on fuzzy entropy.
Figure 11.
Segmented images of Test 5 at K = 4, 6, 8, 10 using selected algorithms based on fuzzy entropy.
Figure 12.
Segmented images of Test 6 at K = 4, 6, 8, 10 using selected algorithms based on fuzzy entropy.
Figure 13.
Segmented images of Test 7 at K = 4, 6, 8, 10 using selected algorithms based on fuzzy entropy.
Figure 14.
Segmented images of Test 8 at K = 4, 6, 8, 10 using selected algorithms based on fuzzy entropy.
Figure 15.
Segmented images of Test 9 at K = 4, 6, 8, 10 using selected algorithms based on fuzzy entropy.
Figure 16.
Segmented images of Test 10 at K = 4, 6, 8, 10 using selected algorithms based on fuzzy entropy.
Table 6.
Comparison of CPU Time (in seconds) and PSNR computed by CEFO, EFO, ABC, BA, WDO, and BSA using fuzzy entropy. The bold numbers are the best values in the relevant index.
Table 7.
Comparison of MSSIM and FSIM computed by CEFO, EFO, ABC, BA, WDO, and BSA using fuzzy entropy. The bold numbers are the best values in the relevant index.
Table 6 and Figure 17 and Figure 18 compare the CPU Time and PSNR values while Table 7 and Figure 19 and Figure 20 compare the MSSIM and FSIM values of the segmented images. As can be seen from these tabulated values, all algorithms have lower values of PSNR, MSSIM, and FSIM at lower threshold levels. With the improvement of the threshold level, the values of PSNR, MSSIM, and FSIM increase gradually. Consequently, it can be clearly known that segmentation performance will be improved as the threshold level increases. However, the time of each algorithm will rise equally on the increasing threshold levels indicating the computation of algorithms is more complex on the higher threshold levels. PSNR, MSSIM, and FSIM are used to measure the similarity and qualify among the segmented images. Higher PSNR, MSSIM, and FSIM demonstrate that segmented images have more excellent segmentation performances.
Figure 17.
Comparison of Computational Time (CPU Time) based on fuzzy entropy.
Figure 18.
Comparison of Peak Signal to Noise Ratio (PSNR) based on fuzzy entropy.
Figure 19.
Comparison of Mean Structural Similarity (MSSIM) based on fuzzy entropy.
Figure 20.
Comparison of Feature Similarity (FSIM) based on fuzzy entropy.
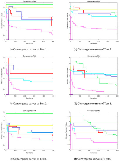
Then, when comparing the differences in CPU time between various algorithms, it can be found that CEFO and EFO are significantly faster than ABC, BA, WDO, and BSA. Moreover, the running time of CEFO has decreased about 12.26% when comparing with EFO, which indicates the modified electromagnetic field optimization algorithm has a faster convergence rate. As for other algorithms, ABC has the longest time of computation due to its slow convergence rate, it needs nearly 30 times as much as CEFO. Afterward, BA, WDO, and BSA have an approximate running time, they are about 15 times longer than CEFO. With the increase of execution time, the practicability of the algorithm will be reduced. For a clearer presentation of convergence speed about these algorithms, the convergence curves are shown in Figure 21.

Figure 21.
Convergence curves of CEFO, EFO, ABC, BA, WDO, and BSA based on fuzzy entropy at K = 10. (Red line represents CEFO; Blue line represents EFO; Cyan line represents ABC; Yellow line represents BA; Magenta line represents WDO; Green ling represents BSA.)
In terms of PSNR, the chart of all algorithms is shown in Figure 18. It can be seen that CEFO has higher values among these algorithms; ABC has similar values to EFO in some images at a high threshold level. For instance, in Test 1 of K=10, PSNR value of EFO is 24.8085 while ABC is 24.9762, but CEFO is 25.1603. WDO has much lower values in smaller threshold level and BSA has good values in higher threshold level, all in all, PSNR values of BA, WDO, and BSA have different diversification, but they are mediocre on the whole.
Comparing the results of MSSIM and FSIM in Table 7, FSIM is considered to be more authoritative and application and CEFO also performs better than other algorithms in this index. Although EFO can have a banner performance at K = 4, ABC will usually be close to EFO at high levels. BA has better values at some images such as in Test 2, 4, etc. WDO and BSA have higher values than BA at K = 6 in some images but they are all lower than CEFO on the whole.
From what has been mentioned above, the CEFO algorithm has superior performance when searching for the optimal threshold vector in multilevel thresholding color image segmentation.
6.2. Comparison of Other Segmentation Methods
In the last experiment, the superiority of CEFO has been verified. And in this experiment, fuzzy entropy has been regarded as the research objective. To show the performance of fuzzy entropy thresholding in multilevel color image segmentation, Otsu’s and Kapur’s entropy based on color image segmentation are used to be a comparison. Applying the CEFO algorithm to Fuzzy entropy, Otsu’s, and Kapur’s entropy respectively to segment selected 10 Berkeley images in Figure 6. The threshold level is chosen as = 4, 6, 8, and 10, which is used to obtain the corresponding threshold points for each component of the color image. The results of segmented images are in Figure 22, and the corresponding optimal threshold values are in Table 8. Table 9 compares the performance of different thresholding approaches based on parameters of CPU Time, PSNR, MSSIM, and FSIM.

Figure 22.
Segmented images at K = 4, 6, 8, 10 using CEFO algorithm based on fuzzy entropy, Otsu’s and Kapur’s entropy.
Table 8.
Comparison of optimal threshold values of CEFO at K = 4, 6, 8, and 10 using fuzzy entropy, Otsu’s and Kapur’s entropy.
Table 9.
Comparison of CPU Time, PSNR, MSSIM, and FSIM computed by CEFO at K = 4, 6, 8, 10 using fuzzy entropy, Otsu’s and Kapur’s. The bold numbers are the best values in the relevant index.
As can be seen in Table 9 and Figure 23, Figure 24, Figure 25 and Figure 26, Otsu’s thresholding has the fastest speed of execution time, fuzzy entropy and Kapur’s entropy are a bit slower than Otsu’s. However, three thresholding segmentation methods are all in 0.5 (seconds) at different threshold levels, which can also indicate CEFO algorithm has a fast convergence rate. In terms of PSNR, it is clear that fuzzy entropy thresholding has higher values in general, the ranking of PSNR among these segmentation methods is Fuzzy > Kapur’s > Otsu’s. As for MSSIM and FSIM, Fuzzy entropy also performs well, which is in advance of two other methods overall. And the ranking of MSSIM and FSIM among three methods is Fuzzy > Kapur’s > Otsu’s. Therefore, fuzzy entropy is better as compared to others showing CEFO based on the fuzzy entropy technique can be applied in the color image segmentation field excellently.
Figure 23.
Comparison of CPU Time based on fuzzy entropy.
Figure 24.
Comparison of PSNR based on fuzzy entropy.
Figure 25.
Comparison of MSSIM based on fuzzy entropy.
Figure 26.
Comparison of FSIM based on fuzzy entropy.
6.3. ANOVA Test
A statistical test known as “the analysis of variance” (ANOVA) has been performed at 5% significance level to evaluate the significant difference between algorithms. In the experiment, CEFO algorithm is regarded as the control group and is compared with EFO, ABC, BA, WDO and BSA algorithms in terms of four measure metrics. The null hypothesis assumes that there is no significant difference between the mean values of 5 selected algorithms, whereas, the alternative hypothesis can be considered as a significant difference between them. Table 10 exhibits the –value of CPU Time, PSNR, MSSIM, and FSIM by the ANOVA test. As can be seen, the -value for CPU Time is less than 0.05, which implies a significant difference between the proposed algorithm and other algorithms and CEFO has a much fast convergence rate. With respect to another three measures, CEFO also has significant difference about BA, WDO and BSA. It can be observed that CEFO algorithm has a better performance.
Table 10.
Comparison of p-values between CEFO and other algorithms based on Fuzzy entropy.
7. Conclusions and Future Work
In this paper, multilevel thresholding color image segmentation has been considered as an optimization problem in which the fuzzy entropy technique has been presented as the objective function. To achieve efficient segmentation, it is essential for algorithms to search the optimal fuzzy parameters and threshold values. Electromagnetic Field Optimization is a novel meta-heuristic algorithm which use is attempt herein for the first time in this field. Additionally, a new chaotic strategy is proposed and embedded into the EFO algorithm to accelerate the convergence rate and enhance segmentation accuracy. In order to demonstrate the superior performance of the CEFO-based fuzzy entropy technique, a series of experiments have been conducted and results are evaluated in terms of CPU Time, PSNR, MSSIM, and FSIM. On the one hand, the CEFO algorithm is compared with EFO, ABC, BA, WDO, and BSA based on fuzzy entropy for segmenting ten Berkeley benchmark images at different threshold levels (K = 4, 6, 8, and 10). The obtained results illustrate the obvious effect of proposed chaotic strategy and CEFO needs less than 0.35 seconds to find the optimal threshold vector which makes it an effective algorithm to handle the above problem. On the other hand, the fuzzy entropy method is compared with Otsu’s variance and Kapur’s entropy method based on CEFO on the basis of the same experimental environment. The high precision of fuzzy entropy has been validated with four metrics. Although CEFO-fuzzy is not the fastest among the three techniques, its execution time is suitable for practical applications within 0.5 seconds. To sum up, CEFO-based fuzzy entropy is a robust technique in multi-threshold color image segmentation.
In the future, the proposed technique can be applied to solve practical problems such as medical images, satellite images, etc. It is also interesting to modify EFO algorithm in other aspects to improve its performance for higher threshold levels (e.g., K = 15 and 20). Furthermore, the merits of CEFO can be investigated using Tsallis entropy, Renyi’s entropy, and cross entropy for multilevel thresholding.
Author Contributions
S.S. and H.J. contributed to the idea of this paper; J.M. performed the experiments; S.S. and J.M. wrote the paper; H.J. contributed to the revision of this paper.
Funding
This research received no external funding.
Acknowledgments
The authors would like to thank the anonymous reviewers for their constructive comments and suggestions.
Conflicts of Interest
The authors declare no conflict of interest.
References
- He, L.F.; Huang, S.W. Modified firefly algorithm based multilevel thresholding for color image segmentation. Neurocomputing 2017, 240, 152–174. [Google Scholar] [CrossRef]
- Mlakar, U.; Potočnik, B.; Brest, J. A hybrid differential evolution for optimal multilevel image thresholding. Expert Syst. Appl. 2016, 65, 221–232. [Google Scholar] [CrossRef]
- Agrawal, S.; Panda, R.; Bhuyan, S.; Panigrahi, B.K. Tsallis entropy based optimal multilevel thresholding using cuckoo search algorithm. Swarm Evol. Comput. 2013, 11, 16–30. [Google Scholar] [CrossRef]
- Pare, S.; Bhandar, A.K.; Kumar, A.; Singh, G.K. An optimal color image multilevel thresholding technique using grey-level co-occurrence matrix. Expert Syst. Appl. 2017, 87, 335–362. [Google Scholar] [CrossRef]
- Otsu, N. A threshold selection method from gray-level histograms. Automatica 1975, 11, 23–27. [Google Scholar] [CrossRef]
- Otsu, N. A threshold selection method from gray level histograms. IEEE Trans. Syst. Man Cybern. 1979, 9, 62–66. [Google Scholar] [CrossRef]
- Kapur, J.N.; Sahoo, P.K.; Wong, A.K. A new method for gray-level picture thresholding using the entropy of the histogram. Comput. Vis. Graph. Image Process. 1985, 29, 273–285. [Google Scholar] [CrossRef]
- Li, C.H.; Lee, C.K. Minimum cross entropy thresholding. Pattern Recogn. 1993, 26, 617–625. [Google Scholar] [CrossRef]
- Jiang, Y.C.; Tang, Y.; Liu, H.; Chen, Z.Z. Entropy on intuitionistic fuzzy sets and on interval-valued fuzzy sets. Inf. Sci. 2013, 240, 95–114. [Google Scholar] [CrossRef]
- Ye, Z.W.; Wang, M.W.; Liu, W.; Chen, S.B. Fuzzy entropy based optimal thresholding using bat algorithm. Appl. Soft Comput. 2015, 31, 381–395. [Google Scholar] [CrossRef]
- Gao, H.; Pun, C.M.; Kwong, S. An efficient image segmentation method based on a hybrid particle swarm algorithm with learning strategy. Inf. Sci. 2016, 369, 500–521. [Google Scholar] [CrossRef]
- Bohat, V.K.; Arya, K.A. A new heuristic for multilevel thresholding of images. Expert Syst. Appl. 2019, 117, 176–203. [Google Scholar] [CrossRef]
- Akay, B. A study on particle swarm optimization and artificial bee colony algorithms for multilevel thresholding. Appl. Soft Comput. 2013, 13, 3066–3091. [Google Scholar] [CrossRef]
- Agarwal, P.; Singh, R.; Kumar, S.; Bhattacharya, M. Social spider algorithm employed multi-level thresholding segmentation approach. Proc. First Int. Conf. Inf. Commun. Technol. Intell. Syst. 2016, 2, 149–259. [Google Scholar] [CrossRef]
- Bhandari, A.K.; Singh, V.K.; Kumar, A.; Singh, G.K. Cuckoo search algorithm and wind driven optimization based study of satellite image segmentation for multilevel thresholding using Kapur’s entropy. Expert Syst. Appl. 2014, 41, 2538–2560. [Google Scholar] [CrossRef]
- Sumathi, R.; Venkatesulu, M.; Arjunan, S.P. Extracting tumor in MR brain and breast image with Kapur’s entropy based Cuckoo Search Optimization and morphological reconstruction filters. Biocybern. Biomed. Eng. 2018, 38, 918–930. [Google Scholar] [CrossRef]
- Chen, K.; Zhou, Y.F.; Zhang, Z.S.; Dai, M.; Chao, Y.; Shi, J. Multilevel Image Segmentation Based on an Improved Firefly Algorithm. Math. Probl. Eng. 2016, 2016. [Google Scholar] [CrossRef]
- Mohamed, A.E.A.; Ahmed, A.E.; Aboul, E.H. Whale Optimization Algorithm and Moth-Flame Optimization for multilevel thresholding image segmentation. Expert Syst. Appl. 2017, 83, 242–256. [Google Scholar] [CrossRef]
- Wang, X.H.; Deng, Y.M.; Duan, H.B. Edge-based target detection for unmanned aerial vehicles using competitive Bird Swarm Algorithm. Aerosp. Sci. Technol. 2018, 78, 708–720. [Google Scholar] [CrossRef]
- Rajinikanth, V.; Couceiro, M.S. RGB histogram based color image segmentation using firefly algorithm. Procedia Comput. Sci. 2015, 46, 1449–1457. [Google Scholar] [CrossRef]
- Gao, M.L.; Jin, S.; Jun, J. Visual tracking using improved flower pollination algorithm. Optik 2018, 156, 522–529. [Google Scholar] [CrossRef]
- Oliva, D.; Cuevas, E.; Pajares, G.; Zaldivar, D.; Osuna, V. A multilevel thresholding algorithm using electromagnetism optimization. Neurocomputing 2014, 139, 357–381. [Google Scholar] [CrossRef]
- Bayraktar, Z.; Komurcu, M.; Bossard, J.A.; Werner, D.H. The Wind Driven Optimization Technique and its Application in Electromagnetics. IEEE Trans. Antenn. Propag. 2013, 61, 2745–2757. [Google Scholar] [CrossRef]
- Rashedi, E.; Nezamabadi-Pour, H.; Saryazdi, S. GSA: A gravitational search algorithm. Inf. Sci. 2009, 179, 2232–2248. [Google Scholar] [CrossRef]
- Kotte, S.; Pullakura, R.K.; Injeti, S.K. Optimal multilevel thresholding selection for brain MRI image segmentation based on adaptive wind driven optimization. Measurement 2018, 130, 340–361. [Google Scholar] [CrossRef]
- Hussein, W.A.; Sahran, S.; Abdullah, S.N.H.S. A fast scheme for multilevel thresholding based on a modified bees algorithm. Knowl.-Based Syst. 2016, 101, 114–134. [Google Scholar] [CrossRef]
- Sambandam, R.K.; Jayaraman, S. Self-adaptive dragonfly based optimal thresholding for multilevel segmentation of digital images. Comput. Inform. Sci. 2018, 30, 449–461. [Google Scholar] [CrossRef]
- Jia, H.M.; Ma, J.; Song, W.L. Multilevel Thresholding Segmentation for Color Image Using Modified Moth-Flame Optimization. IEEE Access 2019, 7, 2169–3536. [Google Scholar] [CrossRef]
- Abedinpourshotorban, H.; Shamsuddin, S.M.; Beheshti, Z. Electromagnetic field optimization: A physics-inspired metaheuristic optimization algorithm. Swarm Evol. Comput. 2016, 26, 8–22. [Google Scholar] [CrossRef]
- Talebi, B.; Dehkordi, M.N. Sensitive association rules hiding using electromagnetic field optimization algorithm. Expert Syst. Appl. 2018, 114, 155–172. [Google Scholar] [CrossRef]
- Bouchekara, H.R.E.H.; Zellagui, M.; Abido, M.A. Optimal coordination of directional overcurrent relays using a modified electromagnetic field optimization algorithm. Appl. Soft Comput. 2017, 54, 267–283. [Google Scholar] [CrossRef]
- Ghamisi, P.; Couceiro, M.S.; Martins, F.M.; Benediktsson, J.A. Multilevel image segmentation based on fractional-order Darwinian particle swarm optimization. IEEE Trans. Geosci. Remote Sens. 2014, 52, 2382–2394. [Google Scholar] [CrossRef]
- Sarkar, S.; Das, S.; Chaudhuri, S.S. A multilevel color image thresholding scheme based on minimum cross entropy and differential evolution. Pattern Recogn. Lett. 2015, 54, 27–35. [Google Scholar] [CrossRef]
- Mirjalili, S.; Mirjalili, S.M.; Lewis, A. Grey Wolf Optimizer. Adv. Eng. Softw. 2014, 69, 46–61. [Google Scholar] [CrossRef]
- Mirjalili, S. Moth-flame optimization algorithm: A novel nature-inspired heuristic paradigm. Knowl.-Based Syst. 2015, 89, 228–249. [Google Scholar] [CrossRef]
- Cuevas, E.; Zaldivar, D.; Pérez-Cisneros, M. A novel multi-threshold segmentation approach based on differential evolution optimization. Expert Syst. Appl. 2010, 37, 5265–5271. [Google Scholar] [CrossRef]
- Pecora, L.M.; Carroll, T.L. Synchronization of chaotic systems. Phys. Rev. Lett. 2015, 25. [Google Scholar] [CrossRef] [PubMed]
- Kohli, M.; Arora, S. Chaotic grey wolf optimization algorithm for constrained optimization problems. J. Comput. Des. Eng. 2017, 5, 458–472. [Google Scholar] [CrossRef]
- Bhandari, A.K.; Kumar, A.; Singh, G.K. Modified artificial bee colony based computationally efficient multilevel thresholding for satellite image segmentation using Kapur’s, Otsu and Tsallis functions. Expert Syst. Appl. 2015, 42, 1573–1601. [Google Scholar] [CrossRef]
- Tao, W.B.; Wen, T.J.; Liu, J. Image segmentation by three-level thresholding based on maximum fuzzy entropy and genetic algorithm. Pattern Recogn. Lett. 2003, 24, 3069–3078. [Google Scholar] [CrossRef]
- Laing, H.N.; Jia, H.M.; Xing, Z.K.; Ma, J.; Peng, X.X. Modified Grasshopper Algorithm-Based Multilevel Thresholding for Color Image Segmentation. IEEE Access 2019, 7, 2169–3536. [Google Scholar] [CrossRef]
- Bhandari, A.K.; Kumar, A.; Singh, G.K. Tsallis entropy based multilevel thresholding for colored satellite image segmentation using evolutionary algorithms. Expert Syst. Appl. 2015, 42, 8707–8730. [Google Scholar] [CrossRef]
- Horng, M.H. A multilevel image thresholding using the honey bee mating optimization. Appl. Math. Comput. 2010, 215, 3302–3310. [Google Scholar] [CrossRef]
- Sağ, T.; Çunkaş, M. Color image segmentation based on multi-objective artificial bee colony optimization. Appl. Soft Comput. 2015, 34, 389–401. [Google Scholar] [CrossRef]
- Wang, Z.; Bovik, A.C.; Sheikh, H.R.; Simoncelli, E.P. Image quality assessment: From error visibility to structural similarity. IEEE Trans. Image Process. 2004, 13, 600–612. [Google Scholar] [CrossRef]
- Sowmya, B.; Rani, B.S. Colour image segmentation using fuzzy clustering techniques and competitive neural network. Appl. Soft Comput. 2011, 11, 3170–3178. [Google Scholar] [CrossRef]
© 2019 by the authors. Licensee MDPI, Basel, Switzerland. This article is an open access article distributed under the terms and conditions of the Creative Commons Attribution (CC BY) license (http://creativecommons.org/licenses/by/4.0/).




























