Abstract
We formulate the basic framework of thermodynamical entropic force cosmology which allows variation of the gravitational constant G and the speed of light c. Three different approaches to the formulation of the field equations are presented. Some cosmological solutions for each framework are given and one of them is tested against combined observational data (supernovae, BAO, and CMB). From the fit of the data, it is found that the Hawking temperature numerical coefficient γ is two to four orders of magnitude less than usually assumed on the geometrical ground theoretical value of and that it is also compatible with zero. In addition, in the entropic scenario, we observationally test that the fit of the data is allowed for the speed of light c growing and the gravitational constant G diminishing during the evolution of the universe. We also obtain a bound on the variation of c to be , which is at least one order of magnitude weaker than the quasar spectra observational bound.
PACS:
98.80.Jk; 95.36.+x; 04.50.Kd; 04.70.Dy
1. Introduction
General Relativity is an established theory which explains the evolution of the universe on a large scale [1]. Although it is not complete because it contains singularities, it explains the dynamics of the universe in a consistent way. Furthermore, the current phase of accelerated evolution of the universe has been discovered [2,3]. In order to obtain this accelerated expansion, one has to put an extra term, the cosmological constant Λ or dark energy into the Einstein–Friedmann equations. The ΛCDM models that resulted [4,5,6,7] are consistent models to explain this accelerated expansion, but the observational value of Λ is over 120 orders of magnitude smaller than the value calculated in quantum field theory, where it is interpreted as vacuum energy. This motivates cosmologists to look for alternative models which can explain the effect [8,9].
The relation between Einstein’s gravity and thermodynamics is a puzzle. In the 1970s, Bekenstein and Hawking [10,11,12,13] derived the laws of black hole thermodynamics which emerged to have similar properties as in standard thermodynamics. Jacobson [14] derived Einstein field equations from the first law of thermodynamics by assuming the proportionality of the entropy and the horizon area. A more extensive work in this direction was made by Verlinde and Padmanabhan in [15,16,17,18]. Verlinde derived gravity as an entropic force, which originated in a system by the statistical tendency to increase its entropy. He assumed the holographic principle [19], which stated that the microscopic degrees of freedom can be represented holographically on the horizons, and this piece of information (or degrees of freedom) can be measured in terms of entropy. The approach got criticized on the base of neutron experiments though [20].
Recently, the entropic cosmology based on the notion of the entropic force was developed in a series of papers [21,22,23,24,25,26,27] and it was especially compared with supernovae data in [28,29]. However, supernovae tests are not very strong and so the [28] got criticized on the basis of a galaxy formation problem (e.g., [30,31,32,33]). Basically, the idea of entropic cosmology is to add extra entropic force terms into the Friedmann equation and the acceleration equation. This force is supposed to be responsible for the current acceleration as well as for an early exponential expansion of the universe. It is pertinent to mention that the entropic cosmology suggested in these references assumes that gravity is still a fundamental force and that it includes extra driving force terms or boundary terms in the Einstein field equations. This is unlike Verlinde [15], who considers gravity as an entropic force, but not as a fundamental force (see also [34,35,36,37,38,39,40,41,42,43,44]). All frameworks were discussed in detail in [45] by Visser. Entropic cosmology is also related to dynamical vacuum energy models which have been discussed and confronted with data in [46,47,48,49,50].
In this paper, we expand entropic cosmology suggested in [21,22,23,24,25,26,27,28,29] for the theories with varying physical constants: the gravitational constant G and the speed of light c. Although [28] is problematic in the context galaxy formation test, we use it as a starting point for further discussion. We discuss possible consequences of such variability onto the entropic force terms and the boundary terms. As it has been known for the last fifteen years, varying constants cosmology [51,52,53] was proposed as an alternative to inflationary cosmology, because it can help to solve all the cosmological problems (horizon, flatness, and monopole). In the paper, we try three different approaches to formulate the entropic cosmology with varying constants. In Section 2, we present a consistent set of the field equations which describes varying constants entropic cosmology with general entropic force terms. In Section 3, we derive the continuity equation from the first law of thermodynamics and fit general entropic terms to the field equations derived in Section 2 using explitic definitions of Bekenstein entropy and Hawking temperature. We also discuss the constraints on the models which come from the second law of thermodynamics. In Section 4, we study single-fluid accelerating cosmological solutions to the field equations derived in Section 3. In Section 5, we derive the entropic force for varying constants, define appropriate entropic pressure, and modify the continuity and acceleration equations. We also determine the Friedmann equation and give single-fluid accelerating cosmological solutions. In Section 6, we derive gravitational Einstein field equations using the heat flow through the horizon to which Bekenstein entropy and the Hawking temperature is assigned. Section 7 and Section 8 are devoted to observationally testing the many-fluid entropic force models with varying constants. Because of this, the data from supernovae, Baryon Acoustic Oscillations (BAO), and Cosmic Microwave Background (CMB) are used. In Section 9, we give our conclusions.
2. Entropic Force Field Equations and Varying Constants
The main idea of our consideration is to follow [21,22,23,24,28,29] (assuming homogeneous Friedmann geometry) and generalize field equations which contain the entropic force terms and onto the case of varying speed of light c and varying Newton gravitational constant G theories. This can be done by making the entropic force field equations as derived in [21,22,23,24,28,29] to have dynamical c and G. The method to obtain such equations is similar as for varying c and G models of [51,52,54,55,56,57], which relies on Lorentz symmetry violation and, consequently, allowing some preferred (minimally coupled or cosmological) frame. In this frame, one applies standard variational principles, and so neither new terms (involving the derivatives of a dynamical field) nor dynamical field equations appeared. We follow this simple method as the first step towards perhaps more sophisticated ways of deriving the field equations from variational principles with dynamical fields. The attempts to do so were made in [58]. More recently [59,60], the spontaneous brake of the Lorentz symmetry into with a preferred frame allowing the cosmological co-moving time was considered. The symmetry breaking is due to an extra vector field Mexican hat type potential, which is included apart from the dynamical field for the speed of light c. Some non-minimally coupled dynamical fields corresponding to c and G have been considered in [61].
In conclusion, our method just relies on having a preferred frame in which we vary the action which also contains the entropic force terms. This leads to a generalized entropic force Equations [21,22,23,24,28,29] with dynamical constants i.e., the equations in which we made the replacement and as follows:
In fact, the functions and in general play the role analogous to bulk viscosity with dissipative term (cf. [50,51,52,53,54,55,56,57,58,59,60,61,62,63,64,65,66,67,68,69] of the paper by Komatsu et al. [21]), and this is why from Equations (1) and (2), one obtains the modified continuity equation
which will further be used in our paper to various thermodynamical scenarios of the evolution of the universe. If the functions and are equal and have the value of the Λ-term modified by varying speed of light i.e.,
then they give modified varying c and G Einstein field equations with the continuity Equation as [53]
which finally reduce to the standard Λ-CDM equations for c and G constant. Another point is that the and terms can also be considered as time-dependent (dynamical) vacuum energy [46,47,48,49,50]. It is worth mentioning that there is a derivation of varying c models within the framework of Brans–Dicke theory [54,55,56,57], but then Equation (3) does not allow for G-varying terms , and the set of equations is also appended by the dynamical Brans-Dicke field equation .
3. Gravitational Thermodynamics and Varying Constants
In this section, we start with basic thermodynamics in order to get entropic force varying constants field equations. Please note that the first law of thermodynamics has been widely used to interlink different gravity theories with thermodynamics [34,35,36,37,38,39,40,62]. Defining the temperature and entropy on the cosmological horizons, one can use this law of thermodynamics for the whole universe
where , , and describe changes in the internal energy E, the volume V, and the entropy S, while T is the temperature, and p is the pressure. The volume of the universe contained in a sphere of the proper radius (r is the comoving radius and is the scale factor) is
We have
where dot represents the derivative with respect to time, and the Hubble function is . The internal energy E and the energy density of the universe are related by
where ρ is the mass density of the universe.
Now, we generalize the Hawking temperature T [13] and Bekenstein entropy S [10,11,12] of the (time-dependent) Hubble horizon at onto the varying c and G theories as follows (we have to correct the latex errors below)
Here, is the horizon area, ℏ is the Planck constant, is the Boltzmann constant, and γ is an arbitrary, dimensionless, and non-negative theoretical parameter of the order of unity which is usually taken to be , or [21,22,23,24,28,29]. In fact, γ can be related to a corresponding screen or boundary of the universe to define the temperature and the entropy on that preferred screen. Here, the screen will be the Hubble horizon i.e., the sphere of the radius . Dividing Equation (6) by time differential , we have
which after applying Equations (7) and (9) gives
By using Equations (12), (13), and (14) we get the modified continuity equation as follows
where we have used the explicit definition of the Hubble horizon modified to varying speed of light models [28,29]
If we introduced the non-zero spatial curvature , then we would have to apply the entropy and the temperature of the apparent horizon which reads
Simple calculations give that
which for case reduces to
In this section, we restrict ourselves to case in order to get the general functions and .
In order to constrain possible sets of varying constant models, we can apply the second law of thermodynamics according to which the entropy of the universe remains constant (adiabatic expansion) or increases (non-adiabatic expansion)
4. Gravitational Thermodynamics—Cosmological Solutions
Using the generalized continuity Equation (15), one is able to fit the functions and from a general varying constants entropic force continuity Equation (3) as follows
Having given and , one is able to write down the Equations (1) and (2) as follows
which form a consistent set together with Equation (15). While fitting the functions and , we set . If we were to investigate models, then the the temperature T (10) and the entropy S (11) should be defined on the apparent horizon (17). A different choice of and which is consistent with Equation (15) would be, for example, as follows
However, both choices (25)–(26) and (29)–(30) do not allow for a constant term like the cosmological constant (unless one fine-tunes const.) so that an alternative choice which fulfills this requirement would be
where is a constant acting on the same footing as the cosmological Λ-term in standard Λ-CDM cosmology securing the model with respect to structure formation tests (cf. [21,22,23,30,31,32,33]).
There is a full analogy of varying constants generalized Equations (27), (28), and (15) with the entropic force equation given in [28,29] when one applies the specific ansatz for varying c and G:
with const. which gives or . It is worth emphasizing that our ansatz should be and [63], but the standard approach nowadays picks up [64].
We note that the application of the ansatz (33) to the growing entropy requirement (22) gives the bound that
As we shall see in Section 8 (or Table 1), these limits are in agreement with the observational values we have obtained. They also allow the Newtonian limit () or () [65].
Table 1.
Observational parameters of the entropic models under study.
The cosmological solutions of the set of varying constants Equations (27), (28) and (15) are given below.
4.1. G Varying Models Only: , .
Defining the barotropic index equation of state parameter w by using the barotropic equation of state, for varying , we can integrate the continuity Equation (15) to get
where is a constant with the dimension of mass density, the gravitational constant, and the Hubble parameter. Using (27) and (28) and then multiplying (27) by and (28) by 2, we get
or (using the fact that , ) one has
where
Equation (37) solves easily using a new variable [22] i.e.,
which integrates to give
where is constant. The solution of (40) is
where is constant. Bearing in mind the value of (38), we can easily conclude that, without entropic terms, the solution (41) corresponds to a standard barotropic fluid Friedmann evolution . The scale factor for radiation, matter and vacuum (cosmological constant) dominated eras reads as
The solution (42) shows that in varying G entropic cosmology even dust () can drive acceleration of the universe provided
On the other hand, the solution which includes term drives acceleration for . There is an interesting check of these formulas for the case when one takes the Hawking temperature parameter ; in all three cases (radiation, dust, vacuum), the conditions for accelerated expansion fall into one relation . In fact, this limit is very special, which can be seen from Equation (27) in which the terms involving cancel and lead to empty universe () so that it is no wonder that the acceleration does not depend on the barotropic index parameter w. Finally, we conclude that, in all these cases, the entropic terms and the varying constants can play the role of dark energy.
One may also consider a more than one component model i.e., the models which allow matter, radiation as well as other cosmological fluids of negative pressure like the cosmological constant which give a turning point of the evolution compatible with current observational data (early-time deceleration and late-time acceleration). We will consider such models numerically in Section 8, where we test these models with observational data.
4.2. c Varying Models Only: ,
The solution of the continuity Equation (15) for varying c is
where again is a constant with the dimension of mass density, the velocity of light, and the Hubble parameter. Applying (27) and (28), we have
or
where
The solution of (46) is
where is constant. Finally, the solution of (48) for the scale factor gives
where is constant. For radiation, dust and vacuum we have, respectively
For these three cases, one derives inflation provided
and the entropic force terms play the role of dark energy which can be responsible for the current acceleration of the universe. As in the previous subsection, here also after taking the Hawking temperature parameter , in all three cases (radiation, dust, vacuum) the conditions for accelerated expansion fall into one relation , but this is also a special empty universe limit of Equation (27).
As in the previous subsection, one may also consider a more than one component model—the matter we deal with numerically in Section 8. We would like to emphasize again that here we have presented one-component solutions only, while in Section 7, we will be studying multi-component models which allow the transition from deceleration to acceleration.
5. Entropic Pressure Modified Equations
In this section, we start with the formal definition of the entropic force as given in [21,22,23,24,28,29]. We assume that the temperature and entropy are given by (10) and (11) and use the definition of the entropic force
We calculate the entropic force on the horizon by taking
to obtain
For , this formula reduces to the value obtained in [22]: which is presumably the value of maximum tension in general relativity [66,67,68]. It has been shown in [69] that (53) may recover infinite tension thus violating the so-called Maximum Tension Principle [66] in the framework of varying constants theories.
Now, we define the entropic pressure , as the entropic force per unit area A, and use (16) to get
Out of the set of initial Equations (1)–(3), only two of them are independent. On the other hand, only (2) (acceleration equation) and (3) (continuity equation) contain the pressure. This is why while having (54), we will define the effective pressure
and then write down the continuity Equation (3) as
or
and the acceleration Equation (2) as
or
In order to solve the continuity Equation (57) we have to put in the Friedmann equation. Alternatively, we see by comparing (57) and (3) for , that we need to put . We then obtain the simplest form of the Friedmann equation to use
By using (59) and (60), we get for varying and :
where
The cosmological solutions are obtained below. We consider two cases.
5.1. G Varying Models Only: and ; .
Solving (66) for the Hubble parameter, we have
where is a constant of integration. Solving (68) for the scale factor , one gets
5.2. c Varying Models Only: and ;
From (61) we obtain
Following the same procedure as in the subsection A, one can find the Hubble parameter and the scale factor for varying c as:
and
where, and are real constants and X is given by
Both of the above cases have the same non-varying constants limit ( or ) of .
6. Gravitational Thermodynamics—Horizon Heat Flow
In this section, we use yet another approach to derive entropic cosmology which is based on the application of the idea that one can get gravitational Einstein field equations using the heat flow through the horizon to which Bekenstein entropy (11) and Hawking temperature (10) (with ) are assigned.
The heat flow out through the horizon is given by the change of energy inside the apparent horizon and relates to the flow of entropy as follows [41,42,43]
If the matter inside the horizon has the form of a perfect fluid and c is not varying, then the heat flow through the horizon over the period of time is [42]
However, in our case, c is varying in time, and we have to take this into account while calculating the flow so that, bearing in mind that the rest mass element is , we have the energy through the horizon as
The mass element flow is
where is the distance travelled by the fluid element, v is the velocity of the volume element, and is the volume element. The velocity of a fluid element can be related to the Hubble law of expansion
so that (77) can be written down as
We assume that the speed of light is the function of the volume through the scale factor i.e., and since , then [70]. We have
and besides, by putting in (76), we get
Using (79), (81) and (14) (replacing by ) one has from (74)
or after explicitly using (17), we get a generalized acceleration equation
which for gives the Equation (A6) of [28].
In order to get the Friedmann equation, we have to use the continuity Equation (94) but for adiabatic expansion () to obtain
By using Equation (83) in (84), we have
After integrating (85) one obtains a generalized Friedmann equation
For () by taking the ansatz of the form
const., const. (or , const.; similar ansatz was used in [71]), for varying c only (i.e., for ), we have the following equations
where solely K is the constant of integration which can be interpreted as the cosmological constant [43] provided (cf. the discussion in Section 2 and the formula (5)). For small m, one may expand given by (87) in Taylor series
and use numerical procedures to calculate the consequences of variability of the speed of light, but we keep this beyond the scope of the paper.
Our set of Equations (88)–(90) contains two effects: the entropic force contribution K as well as many new terms related to variability of c (all the terms which involve the parameter m). In fact, there are as many as four such latter terms in Equation (89) (including a cross-term with K) and each of them may play the role in accelerating the universe instead of K-term.
For the case, one can easily solve for the Hubble parameter H and the scale factor a for varying c models as
and
where is the constant of integration. Besides, the continuity equation solves by
where is a constant with the dimension of mass density. The solutions for can be found numerically, but we do not present them here.
7. Observational Parameters
In this section, we will try to give some more quantitative information about our approach, by applying our model to observational data. We will leave the single-fluid approach we have considered in past section, to move to the more realistic case of a multi-fluid scenario. We will take into account the components which make up the total mass density ρ, i.e., radiation , matter , and some unknown vacuum energy component (which can also be the cosmological constant). We take the model with and given by (25) and (26) which do not contain the constant -term as in (31) and (32). However, we will get this constant term effectively as the energy density of vacuum . With these assumptions, we can write the continuity Equation (15) by applying Friedmann Equation (27) and putting and as
where summation on i runs for radiation, matter and dark energy. From (94), one can easily check that one can separate the contribution of the three fluids obtaining the number of separate continuity equations. For each individual fluid with the barotropic parameter and barotropic equation of state , the continuity equation takes the form:
where, of course, for matter, for radiation, and for vacuum. From them, it is easy to check that, on the one hand, no interaction term is present, in the way of exchanging energy among the fluids; however, on the other hand, entropic forces and the varying constants influence the behavior of the fluids, by the same amount and separately. Thus, for each of them, a separate continuity equation holds, and we never have any violation of the mass-energy conservation law.
The solution for each fluid from (95) can be easily found; once we use our ansatz, and , we have:
where, as usual, H is the Hubble function, the Hubble constant, a the scale factor, and are general functions obtained by solving (95). When considering only a varying c, these functions are:
while for a varying G we have:
and fully agree with our solutions (35) and (44). We can note down that the main changes to the equation of state parameters come for the varying constant assumptions: in the limit of and , we recover the usual behaviors, for matter, for radiation, and constancy for the vacuum. However, we still have some dynamical effects on the densities from the entropic forces, through the term. Thus, even in the case of no-varying constant, the entropic forces make the vacuum dynamical.
Starting from the Friedmann Equation (27), after some simple algebra, we can write the Hubble function H, which we explicitly need for observational fitting. In the case of varying c it will be
while for varying G it will be
We have defined the dimensionless density parameters as
where is the current value of Newton’s gravitational constant. Finally, in order to check if our model (94) allows a transition from deceleration to acceleration during the evolution of the universe at some redshift z in a similar way to a “pure” ΛCDM model, we have looked at the deceleration parameter, defined as:
where the cosmological redshift is given by .
8. Data Analysis
The analysis has involved the largest updated set of cosmological data available so far, and includes: Type Ia Supernovae (SNeIa); Baryon Acoustic Oscillations (BAO); Cosmic Microwave Background (CMB); and a prior on the Hubble constant parameter, .
8.1. Type Ia Supernovae
We used the SNeIa (Supernovae Type Ia) data from the JLA (Joint-Light-curve Analysis) compilation [72]. This set is made of 740 SNeIa obtained by the SDSS-II (Sloan Digital Sky Survey) and SNLS (Supenovae Legacy Survey) collaboration, covering a redshift range . The in this case is defined as
with , the difference between the observed and the theoretical value of the observable quantity ; and the total covariance matrix (for a discussion about all the terms involved in its derivation, see [72]). For JLA, the observed quantity will be the predicted distance modulus of the SNeIa, μ, given the cosmological model and two other quantities, the stretch (a measure of the shape of the SNeIa light-curve) and the color. It will read
where is the luminosity distance
with (following [72], we assume km/s·Mpc), the speed of light here and now, and the vector of cosmological parameters. The total vector θ will include and the other fitting parameters, which in this case are: α and β, which characterize the stretch-luminosity and color-luminosity relationships; and the nuisance parameter , expressed as a step function of two more parameters, and :
Further details about this choice are given in [72]. The formula (107) stands for the constant c cases; when c is varying according to (33), it is modified into [63,73]
8.2. Baryon Acoustic Oscillations
The for Baryon Acoustic Oscillations (BAO) is defined as
where the quantity can be different depending on the considered survey. We used data from the WiggleZ Dark Energy Survey [74], evaluated at redshifts , and given in Table 1 of [75]; in this case, the quantities to be considered are the acoustic parameter
and the Alcock-Paczynski distortion parameter
where is the angular diameter distance
and is a combination of the physical angular-diameter distance (tangential separation) and Hubble parameter (radial separation) defined as
When dealing with varying c, Equations (109)–(112) have to be changed into [63,73]:
We have also considered the data from SDSS-III Baryon Oscillation Spectroscopic Survey (BOSS) DR10-11, described in [76,77]. Data are expressed as
and
where is the sound horizon evaluated at the dragging redshift , and is the same sound horizon but calculated for a given fiducial cosmological model used, being equal to Mpc [76,77]. The redshift of the drag epoch is well approximated by [78]
where
In addition, the sound horizon is defined as:
with the sound speed
and
with K.
We have also added data points from Quasar–Lyman α Forest from SDSS-III BOSS DR11 [79]:
When working with varying c models, of course, we will have to change and as described above, and also the sound horizon, through the definition of the sound speed, Equation (122), which now will be [63,73]
Thus, we will have three different contributions to , e.g., , depending on the data sets we consider.
8.3. Cosmic Microwave Background
The for Cosmic Microwave Background (CMB) is defined as
where is a vector of quantities taken from [80], where Planck first data release is analyzed in order to give a set of quantities which efficiently summarize the information contained in the full power spectrum (at least, for the cosmological background), and can thus be used as an alternative to the latter [81]. The quantities are the CMB shift parameters:
and the baryonic density parameter, . Again, is the comoving sound horizon, but evaluated at the photon-decoupling redshift , given by the fitting formula [82]:
with
while r is the comoving distance defined as:
When considering varying c models, again, the sound horizon will change as described above, and the comoving distance will be [63,73]
and the shift parameter R will become
Moreover, we have added a gaussian prior on the Hubble constant,
derived from [83].
Thus, the total will be the sum of: . We minimize using the Markov Chain Monte Carlo (MCMC) method.
Finally, we should make a few comments about the parameters which will be constrained. The total parameters vector will be equal to when considering the varying G cases, and when considering the varying c ones. The actual observationally fitted components of this vector are given in Table 1.
The parameter h is defined in a standard way by . The density parameters entering are ; assuming zero spatial curvature, we can express , in order to ensure the condition . Moreover, the radiation density parameter will be defined [84] as the sum of photons and relativistic neutrinos
where for K, and the number of relativistic neutrinos is assumed to be .
8.4. Results
Our main result is presented in Figure 1. The first novelty is that we have found the observational bounds on the Hawking temperature coefficient γ which (on the theoretical basis) was usually taken to the order of unity . Our evaluation gives that it should be of the order of . This difference is not unexpected, because the estimation was based on purely theoretical considerations, with no previous connection to data. Now, we show that observations are not consistent with such large values of γ. Instead, it is at least two orders of magnitude less. Thus, the entropic force in the model we have considered gives only a small contribution. Similar results were obtained in [46,49]. Another novelty is the bound on the variability of the speed of light c and the gravitational constant G. According to them, in the entropic scenario we have investigated both G (Figure 1, left panel) and c (Figure 1, right panel) should be increasing with the evolution of the universe. Bearing in mind that the speed of light is related to the inverse of the fine structure constant defined as
where e is the electron charge and ℏ is the Planck constant, by using (33) and (135) one has
then one can derive from Table 1 and Figure 1 that the change in c and so in from our fit is in a redshift range (), while other observational bounds, in the same range (see Table II of [85] which is based on [86,87,88,89]), give . However, our estimation is still compatible with other cosmological constraints, as the ones derived from CMB Planck first release (see [90]). Moreover, recent observations show that both positive and negative values of n are possible (the so-called dipole [91]). Similarly, we can evaluate the range of change of G. From Table 1, we can also find the evaluation for , and this can be translated onto the constraint from the relation (33) using the current value of the Hubble constant as . This is within the Solar System bound coming from Viking landers on Mars [92] though weaker than the bound from the Lunar laser ranging [93] (for a more detailed review, see [94]).
Figure 1.
(Left) Varying G scenario: and confidence levels for q and γ; (Right) Varying c scenario: and confidence levels for n and γ.
Finally, we can enumerate some general conclusions as follows:
- the entropic scenario plus varying c and/or G is quite indistinguishable from a pure-ΛCDM model, that is why we call it an entropic-ΛCDM model. Present data is still unable to differentiate between the two scenarios;
- the model obtained (entropic-ΛCDM cosmology) is a variation of the exchange of energy between vacuum and matter model studied in [46,48,49].
- the best fit for the value of the Hawking temperature coefficient γ is quite different from the theoretical values used in literature, i.e., or ; it should be pointed out that other considered entropic scenarios have the values of (e.g., [25]);
- the model with small values of the parameter γ is equivalent to a dynamical vacuum model with small variation of the vacuum energy studied in [46,49];
- the value for γ is compatible with zero since we were able to put only an upper limit to it. This would mean that the Hawking temperature was zero for the models under study;
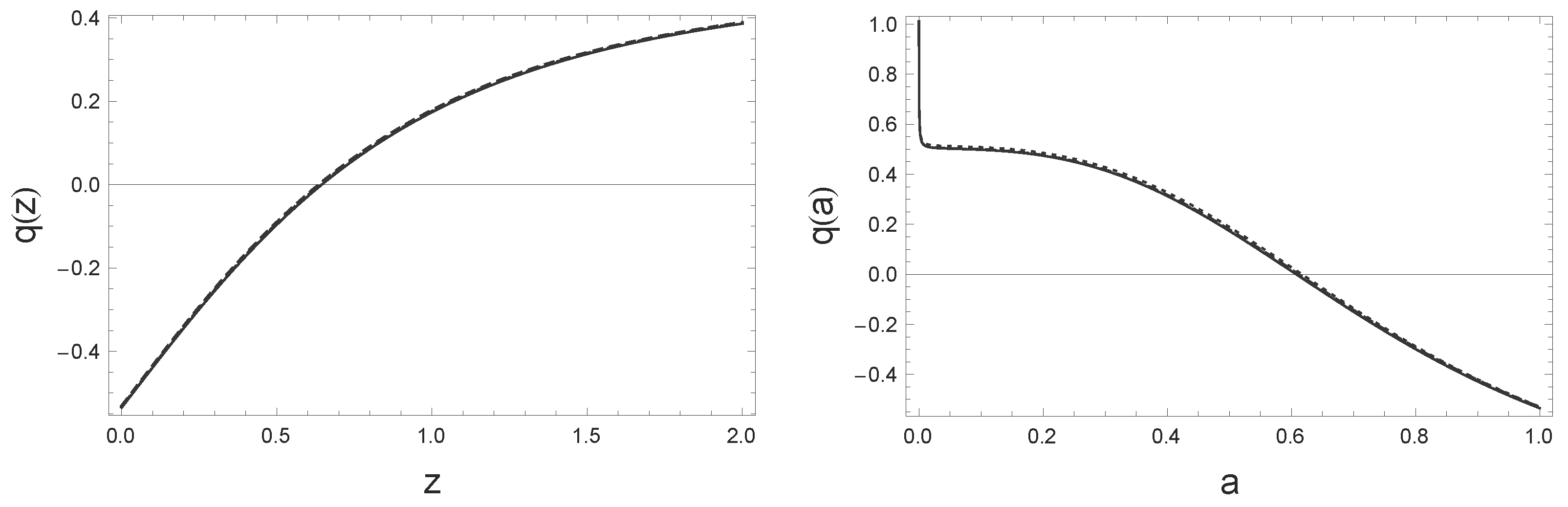
- it is also clear that we still have the deceleration-acceleration transition, as we show in the plot of the relation for and also for in Figure 2, where our models are compared with a standard ΛCDM resulting in being, as said above, barely distinguishable.
Figure 2. Transition from deceleration to acceleration for the model Equation (94) as function of redshift (Left) and scale factor (Right). Solid line is for standard ΛCDM model; dashed line for varying–G–entropic–ΛCDM model; dotted line is for varying–c–entropic–ΛCDM model. The values of the parameters are taken from Table I and from the Planck data (ΛCDM).
The models we have studied here involve a mixture of matter and the dark energy fluid which is typically the energy of vacuums with small modifications due to the variability of c and G. This means that the discussion of the structure formation problem (perturbation equations, the formation of the structures, linear growth rate) is similar to those of dynamical vacuum models given in [48], with γ parameter here being analogous to ν parameter of that reference. In fact, the models the models and of [48] are indistinguishable from ΛCDM while the models I and exhibit some difference what can be seen from Figure 1 of [48], where the density contrast and the linear growth rate of clustering are shown.
9. Conclusions
In this paper, we extended the entropic cosmology onto the framework of the theories with varying gravitational constant G and varying speed of light c. We discussed the consequences of such variability onto the entropic force terms and the boundary terms using three different approaches which possibly relate thermodynamics, cosmological horizons and gravity. We started with a general set of the field equations which described varying constants’ entropic cosmology with a general form of the entropic terms. In the first approach, we derived the continuity equation from the first law of thermodynamics, Bekenstein entropy, as well as Hawking temperature to fit the general entropic terms to this continuity equation. We found appropriate single-fluid accelerating cosmological solutions to these field equations. We also discussed the constraints on the models which come from the second law of thermodynamics. In the second approach, we derived the entropic force for varying constants, defined the entropic pressure, and finally modified the continuity and the acceleration equations. Then, we determined the Friedmann equation and gave single-fluid accelerating cosmological solutions as well. Finally, in the third approach, we got gravitational Einstein field equations using the heat flow through the horizon to which Bekenstein entropy and Hawking temperature were assigned.
We have also examined some of the many-fluid (first accelerating and then decelerating) entropic models against observational data (supernovae, BAO, and CMB). We have used data from JLA compilation of SDSS-II and SNLS collaboration (supernovae), WiggleZ Dark Energy Survey and SDSS-III Baryon Oscillation Spectroscopic Survey (BOSS) as well as Planck data (CMB). We found that the observational bound on the Hawking temperature coefficient γ was much smaller () than it is usually assumed to be on the theoretical basis to be of order of unity . We have also found that in our entropic models G should be diminishing while c should be increasing with the evolution of the universe. Our bound on the variation of c being is at least one order of magnitude weaker than observational bound obtained from analysis of the quasar spectra.
Acknowledgments
This project was financed by the Polish National Science Center Grant DEC-2012/06/A/ST2/00395.
Author Contributions
The Authors contributed equally to this work. Mariusz P. Da̧browski and Hussain Gohar wrote Section 2, Section 3, Section 4, Section 5, Section 6. Vincenzo Salzano wrote Section 7, Section 8 and performed observational comparison with data. Mariusz P. Da̧browski wrote introductory and concluding sections. The idea of Section 3, Section 5, Section 6 including c and G varying Bekenstein entropy and Hawking temperature came from Hussain Gohar. The form of Section 2 and the suggestion for cosmological solutions of section 4 came from Mariusz P. Da̧browski. Section 7, Section 8 were inspired by Vincenzo Salzano. All the authors finally agreed onto Section 7 and contributed equally to the overall idea of the paper. All approved the final manuscript.
Conflicts of Interest
The authors declare no conflict of interest.
References
- Ellis, G.F.R.; Maartens, R.; MacCallum, M.A.H. Relativistic Cosmology; Cambridge University Press: Cambridge, UK, 2012. [Google Scholar]
- Perlmutter, S.; Aldering, G.; Goldhaber, G.; Knop, R.A.; Nugent, P.; Castro, P.G.; Deustua, S.; Fabbro, S.; Goobar, A.; Groom, D.E.; et al. Measurements of Omega and Lambda from 42 high redshift supernovae. Astrophys. J. 1999, 517, 565–586. [Google Scholar] [CrossRef]
- Riess, A.G.; Filippenko, A.V.; Challis, P.; Clocchiattia, A.; Diercks, A.; Garnavich, P.M.; Gilliland, R.L.; Hogan, C.J.; Jha, S.; Kirshner, R.P.; et al. Observational evidence from supernovae for an accelerating universe and a cosmological constant. Astron. J. 1998, 116, 1009–1038. [Google Scholar] [CrossRef]
- Peebles, P.J.E. Tests of cosmological models constrained by inflation. Astrophys. J. 1984, 284, 439–444. [Google Scholar] [CrossRef]
- Kofman, L.A.; Starobinsky, A.A. Effect of the cosmological constant on large-scale anisotropies in the microwave background. Sov. Astron. Lett. 1985, 11, 271–274. [Google Scholar]
- Da̧browski, M.P.; Stelmach, J. Analytic Solutions of Friedman Equation for Spatially Opened Universes with Cosmological, Constant and Radiation Pressure. J. Ann. Phys. 1986, 166, 422–442. [Google Scholar] [CrossRef]
- Weinberg, S. The cosmological constant problem. Rev. Mod. Phys. 1989, 61. [Google Scholar] [CrossRef]
- Miao, L.; Dong, L.X.; Shuang, W.; Yi, W. Dark Energy. Commun. Theor. Phys. 2011, 56, 525–604. [Google Scholar]
- Bamba, K.; Capozziello, S.; Nojiri, S.; Odintsov, S.D. Dark energy cosmology: The equivalent description via different theoretical models and cosmography tests. Astrophys. Space Sci. 2012, 342, 155–228. [Google Scholar] [CrossRef]
- Bekenstein, J.D. Black holes and entropy. Phys. Rev. D 1973, 7, 2333–2346. [Google Scholar] [CrossRef]
- Bekenstein, J.D. Generalized second law of thermodynamics in black hole physics. Phys. Rev. D 1974, 9, 3292–3300. [Google Scholar] [CrossRef]
- Bekenstein, J.D. Statistical Black Hole Thermodynamics. Phys. Rev. D 1975, 12, 3077–3085. [Google Scholar] [CrossRef]
- Hawking, S.W. Black hole explosions. Nature 1974, 248, 30–31. [Google Scholar] [CrossRef]
- Jacobson, T. Thermodynamics of space-time: The Einstein equation of state. Phys. Rev. Lett. 1995, 75, 1260–1263. [Google Scholar] [CrossRef] [PubMed]
- Verlinde, E.J. On the Origin of Gravity and the Laws of Newton. J. High Energy Phys. 2011, 2011, 1–27. [Google Scholar] [CrossRef]
- Padmanabhan, T. Gravitational entropy of static space-times and microscopic density of states. Class. Quant. Grav. 2004, 21, 4485–4494. [Google Scholar] [CrossRef]
- Padmanabhan, T. Thermodynamical Aspects of Gravity: New Insights. Rep. Prog. Phys. 2010, 73, 046901. [Google Scholar] [CrossRef]
- Padmanabhan, T. Equipartition of energy in the horizon degrees of freedom and the emergence of gravity. Mod. Phys. Lett. A 2010, 25, 1129–1136. [Google Scholar] [CrossRef]
- Hooft, G.’t. Dimensional reduction in quantum gravity. 1993; arXiv:gr-qc/9310026. [Google Scholar]
- Kobakhidze, A. Gravity is not an entropic force. Phys. Rev. D 2011, 83, 021502. [Google Scholar] [CrossRef]
- Komatsu, N.; Kimura, S. Non-adiabatic-like accelerated expansion of the late universe in entropic cosmology. Phys. Rev. D 2013, 87, 043531. [Google Scholar] [CrossRef]
- Komatsu, N.; Kimura, S. Entropic cosmology for a generalized black-hole entropy. Phys. Rev. D 2014, 88, 083534. [Google Scholar] [CrossRef]
- Komatsu, N.; Kimura, S. Evolution of the universe in entropic cosmologies via different formulations. Phys. Rev. D 2014, 89, 123501. [Google Scholar] [CrossRef]
- Komatsu, N. Entropic cosmology from a thermodynamics viewpoint. In Proceedings of the 12th Asia Pacific Physics Conference (APPC12), Kanazawa, Japan, 14–19 July 2013.
- Cai, Y.F.; Liu, J.; Li, H. Entropic cosmology: A unified model of inflation and late-time acceleration. Phys. Lett. B 2010, 690, 213–219. [Google Scholar] [CrossRef]
- Cai, Y.F.; Saridakis, E.N. Inflation in Entropic Cosmology: Primordial Perturbations and non-Gaussianities. Phys. Lett. B 2011, 697, 280–287. [Google Scholar] [CrossRef]
- Qiu, T.; Saridakis, E.N. Entropic Force Scenarios and Eternal Inflation. Phys. Rev. D 2012, 85, 043504. [Google Scholar] [CrossRef]
- Easson, D.A.; Frampton, P.H.; Smoot, G.F. Entropic Accelerating Universe. Phys. Lett. B 2011, 696, 273–277. [Google Scholar] [CrossRef]
- Easson, D.A.; Frampton, P.H.; Smoot, G.F. Entropic Inflation. Int. J. Mod. Phys. A 2012, 27, 125066. [Google Scholar] [CrossRef]
- Koivisto, T.S.; Mota, D.F.; Zumalacarrequi, M. Constraining entropic cosmology. J. Cosmol. Astrop. Phys. 2011, 2011, 27. [Google Scholar] [CrossRef]
- Basilakos, S.; Polarski, D.; Solá, J. Generalizing the running vacuum energy model and comparing with the entropic-force models. Phys. Rev. D 2012, 86, 043010. [Google Scholar] [CrossRef]
- Basilakos, S.; Solá, J. Entropic-force dark energy reconsidered. Phys. Rev. D 2014, 90, 023008. [Google Scholar] [CrossRef]
- Gómez-Valent, A.; Solá, J. Vacuum models with a linear and a quadratic term in H: Structure formation and number counts analysis. Mon. Not. Roy. Astron. Soc. 2015, 448, 2810–2821. [Google Scholar] [CrossRef]
- Cai, R.G.; Kim, S.P. First law of thermodynamics and Friedmann equations of Friedmann-Robertson-Walker universe. J. High Energy Phys. 2005. [Google Scholar] [CrossRef]
- Cai, R.G.; Cao, L.M. Unified first law and thermodynamics of apparent horizon in FRW universe. Phys. Rev. D 2007, 75, 064008. [Google Scholar] [CrossRef]
- Cai, R.G.; Cao, L.M.; Hu, Y.P. Corrected Entropy-Area Relation and Modified Friedmann Equations. J. High Energy Phys. 2008, 2008. [Google Scholar] [CrossRef]
- Akbar, M.; Cai, R.G. Friedmann equations of FRW universe in scalar-tensor gravity, f(R) gravity and first law of thermodynamics. Phys. Lett. B 2006, 635, 7–10. [Google Scholar] [CrossRef]
- Akbar, M.; Cai, R.G. Thermodynamic Behavior of Friedmann Equations at Apparent Horizon of FRW Universe. Phys. Rev. D 2007, 75, 81003. [Google Scholar] [CrossRef]
- Akbar, M.; Cai, R.G. Thermodynamic Behavior of Field Equations for f(R) Gravity. Phys. Lett. B 2007, 648, 243–248. [Google Scholar] [CrossRef]
- Eling, C.; Guedens, R.; Jacobson, T. Non-equilibrium thermodynamics of spacetime. Phys. Rev. Lett. 2006, 96, 121301. [Google Scholar] [CrossRef]
- Hayward, S.A.; Mukohyama, S.; Ashworth, M.S. Dynamic black hole entropy. Phys. Lett. A 1999, 256, 347–350. [Google Scholar] [CrossRef]
- Bak, D.; Ray, S.-J. Cosmic holography. Class. Quantum Grav. 2000, 17, L83. [Google Scholar] [CrossRef]
- Danielsson, U.H. Transplanckian energy production and slow roll inflation. Phys. Rev. D 2005, 71, 023516. [Google Scholar] [CrossRef]
- Wang, Y. Towards a Holographic Description of Inflation and Generation of Fluctuations from Thermodynamics. 2010; arXiv:1001.4786. [Google Scholar]
- Visser, M. Conservative entropic forces. J. High Energy Phys. 2011, 2011. [Google Scholar] [CrossRef]
- Basilakos, S.; Plionis, M.; Solá, J. Hubble expansion and Structure Formation in Time Varying Vacuum Models. Phys. Rev. D 2009, 80, 083511. [Google Scholar] [CrossRef]
- Grande, J.; Solá, J.; Fabris, J.C.; Shapiro, I.L. Cosmic perturbations with running G and Lambda. Class. Quantum Grav. 2010, 27, 105004. [Google Scholar] [CrossRef]
- Grande, J.; Solá, J.; Basilakos, S.; Plionis, M. Hubble expansion and structure formation in the ”running FLRW model” of the cosmic evolution. J. Cosmol. Astrop. Phys. 2011. [Google Scholar] [CrossRef]
- Gómez-Valent, A.; Solá, J.; Basilakos, S. Dynamical vacuum energy in the expanding Universe confronted with observations: A dedicated study. J. Cosmol. Astrop. Phys. 2015, 2015. [Google Scholar] [CrossRef] [PubMed]
- Solá, J.; Gómez-Valent, A.; de Cruz Pérez, J. Hints of dynamical vacuum energy in the expanding Universe. Astrophys. J. Lett. 2015, 811, L14. [Google Scholar] [CrossRef]
- Barrow, J.D. Cosmologies with varying light speed. Phys. Rev. D 1999, 59, 043515. [Google Scholar] [CrossRef]
- Gopakumar, P.; Vijayagovindan, G.V. Solutions to cosmological problems with energy conservation and varying c, G and Lambda. Mod. Phys. Lett. A 2001, 16, 957–962. [Google Scholar] [CrossRef]
- Leszczyńska, K.; Da̧browski, M.P.; Balcerzak, A. Varying constants quantum cosmology. J. Cosmol. Astropart. Phys. 2015. [Google Scholar] [CrossRef]
- Moffat, J. Superluminary universe: A Possible solution to the initial value problem in cosmology. Int. J. Mod. Phys. D 1993, 2, 351–366. [Google Scholar] [CrossRef]
- Albrecht, A.; Magueijo, J. A Time varying speed of light as a solution to cosmological puzzles. Phys. Rev. D 1999, 59, 043516. [Google Scholar] [CrossRef]
- Barrow, J.D.; Magueijo, J. Solutions to the quasi-flatness and quasilambda problems. Phys. Lett. B 1999, 447, 246. [Google Scholar] [CrossRef]
- Magueijo, J. Stars and black holes in varying speed of light theories. Phys. Rev. D 2001, 63, 043502. [Google Scholar] [CrossRef]
- Ellis, G.F.R.; Uzan, J.-P. c is the speed of light, isn’t it? Am. J. Phys. 2005, 73, 240–247. [Google Scholar] [CrossRef]
- Moffat, J.W. Variable speed of light cosmology, primordial fluctuations and gravitational waves. 2014; arXiv:1404.5567. [Google Scholar]
- Moffat, J.W. Nonlinear perturbations in a variable speed of light cosmology. 2015; arXiv:1501.01872. [Google Scholar]
- Balcerzak, A. Non-minimally coupled varying constants quantum cosmologies. J. Cosmol. Astropart. Phys. 2015. [Google Scholar] [CrossRef]
- Gibbons, G.W.; Hawking, S.W. Cosmological Event Horizons, Thermodynamics, and Particle Creation. Phys. Rev. D 1977, 15. [Google Scholar] [CrossRef]
- Balcerzak, A.; Da̧browski, M.P. Redshift drift in varying speed of light cosmology. Phys. Lett. B 2014, 728, 15–18. [Google Scholar] [CrossRef]
- Amendola, L.; Tsujikawa, S. Dark Energy; Cambridge University Press: Cambridge, UK, 2010. [Google Scholar]
- Okun, L.B. The fundamental constants of physics. Sov. Phys. Usp. 1991, 34. [Google Scholar] [CrossRef]
- Gibbons, G.W. The maximum tension principle in general relativity. Found. Phys. 2002, 32, 1891–1901. [Google Scholar] [CrossRef]
- Schiller, C. General relativity and cosmology derived from principle of maximum power or force. Int. J. Theor. Phys. 2005, 44, 1629–1647. [Google Scholar] [CrossRef]
- Barrow, J.D.; Gibbons, G.W. Maximum tension: With and without a cosmological constant. Mon. Not. Royal Astron. Soc. 2014, 446, 3874–3877. [Google Scholar] [CrossRef]
- Da̧browski, M.P.; Gohar, H. Abolishing the maximum tension principle. Phys. Lett. B 2015, 748, 428–431. [Google Scholar] [CrossRef]
- Youm, D. Variable speed of light cosmology and second law of thermodynamics. Phys. Rev. D 2002, 66, 43506. [Google Scholar] [CrossRef]
- Buchalter, A. On the time variation of c, G, and h and the dynamics of the cosmic expansion. 2004; arXiv:astro-ph/0403202. [Google Scholar]
- Betoule, M.; Kessler, R.; Guy, J.; Mosher, J.; Hardin, D.; Biswas, R.; Astier, P.; El-Hage, P.; Konig, M.; Kuhlmann, S.; et al. Improved cosmological constraints from a joint analysis of the SDSS-II and SNLS supernova samples. Astron. Astrophys. 2014. [Google Scholar] [CrossRef]
- Balcerzak, A.; Da̧browski, M.P. A statefinder luminosity distance formula in varying speed of light cosmology. J. Cosmol. Astrop. Phys. 2014. [Google Scholar] [CrossRef]
- WiggleZ Dark Energy Survey. Available online: http://wigglez.swin.edu.au/site/ (accessed on 29 January 2016).
- Blake, C.; Brough, S.; Colless, M.; Contreras, C.; Couch, W.; Croom, S.; Croton, D.; Davis, T.M.; Drinkwater, M.J.; Forster, K.; et al. The WiggleZ Dark Energy Survey: Joint measurements of the expansion and growth history at z < 1. Mon. Not. Royal Astron. Soc. 2012, 425, 405–414. [Google Scholar]
- Tojeiro, R.; Ross, A.J.; Burden, A.; Samushia, L.; Manera, M.; Percival, W.J.; Beutler, F.; Brinkmann, J.; Brownstein, J.R.; Cuesta, A.J.; et al. The clustering of galaxies in the SDSS-III Baryon Oscillation Spectroscopic Survey: Galaxy clustering measurements in the low-redshift sample of Data Release 11. Mon. Not. Royal Astron. Soc. 2014, 440, 2222–2237. [Google Scholar] [CrossRef]
- Anderson, L.; Aubourg, E.; Bailey, S.; Beutler, F.; Bhardwaj, V.; Blanton, M.; Bolton, A.S.; Brinkmann, J.; Brownstein, J.R.; Burden, A.; et al. The clustering of galaxies in the SDSS-III Baryon Oscillation Spectroscopic Survey: Baryon acoustic oscillations in the Data Releases 10 and 11 Galaxy samples. Mon. Not. Royal Astron. Soc. 2014, 441, 24–62. [Google Scholar] [CrossRef]
- Eisenstein, D.; Hu, W. Baryonic Features in the Matter Transfer Function. Astrophys. J. 1998, 496. [Google Scholar] [CrossRef]
- Font-Ribera, A.; Kirkby, D.; Busca, N.; Miralda-Escudé, J.; Ross, N.P.; Slosar, A.; Rich, J.; Aubourg, E.; Bailey, S.; Bhardwaj, V.; et al. Quasar-Lyman α forest cross-correlation from BOSS DR11: Baryon Acoustic Oscillations. J. Cosmol. Astropart. Phys. 2014, 2014. [Google Scholar] [CrossRef]
- Wang, Y.; Wang, S. Distance priors from Planck and dark energy constraints from current data. Phys. Rev. D 2013, 88, 043522. [Google Scholar] [CrossRef]
- Wang, Y.; Mukherjee, P. Observational constraints on dark energy and cosmic curvature. Phys. Rev. D 2007, 76. [Google Scholar] [CrossRef]
- Hu, W.; Sugiyama, N. Small-Scale Cosmological Perturbations: An Analytic Approach. Astrophys. J. 1996, 471. [Google Scholar] [CrossRef]
- Bennett, C.L.; Larson, D.; Weiland, J.L.; Hinshaw, G. The 1% Concordance Hubble Constant. Astrophys. J. 2014, 794. [Google Scholar] [CrossRef]
- Komatsu, E.; Dunkley, J.; Nolta, M.R.; Bennett, C.L.; Gold, B.; Hinshaw, G.; Jarosik, N.; Larson, D.; Limon, M.; Page, L.; et al. Five-Year Wilkinson Microwave Anisotropy Probe Observations: Cosmological Interpretation. Astrophys. J. Suppl. Ser. 2009, 180, 330–376. [Google Scholar] [CrossRef]
- Da̧browski, M.P.; Denkiewicz, T.; Martins, C.J.A.P.; Vielzeuf, P. Variations of the fine-structure constant α in exotic singularity models. Phys. Rev. D 2014, 89, 123512. [Google Scholar] [CrossRef]
- Molaro, P.; Centurion, M.; Whitmore, J.B.; Evans, T.M.; Murphy, M.T.; Agafonova, I.I.; Bonifacio, P.; D’Odorico, S.; Levshakov, S.A.; Lopez, S.; et al. The UVES Large Program for Testing Fundamental Physics: I Bounds on a change in α towards quasar HE 2217–2818. Astron. Astrophys. 2013. [Google Scholar] [CrossRef]
- Molaro, P.; Reimers, D.; Agafonova, I.I.; Levshakov, S.A. Bounds on the fine structure constant variability from Fe II absorption lines in QSO spectra. Eur. Phys. J. Spec. Top. 2008, 163, 173–189. [Google Scholar] [CrossRef]
- Chand, H.; Srianad, R.; Petitjean, P.; Aracil, B.; Quast, R.; Reimers, D. On the variation of the fine-structure constant: Very high resolution spectrum of QSO HE 0515-4414. Astron. Astrophys. 2006, 451, 45–56. [Google Scholar] [CrossRef]
- Agafonova, I.I.; Molaro, P.; Levshakov, S.A. First measurement of Mg isotope abundances at high redshifts and accurate estimate of Δα/α. Astron. Astrophys. 2011. [Google Scholar] [CrossRef]
- O’Brian, J.; Smidt, J.; de Bernardis, F.; Cooray, A. Constraints on Spatial Variations in the Fine-Structure constant from Planck. Astrophys. J. 2015. [Google Scholar] [CrossRef]
- Webb, J.K.; King, J.A.; Murphy, M.T.; Flambaum, V.V.; Carswell, R.F.; Bainbridge, M.B. Indications of a spatial variation of the fine structure constant. Phys. Rev. Lett. 2011, 107, 191101. [Google Scholar] [CrossRef] [PubMed]
- Hellings, R.W.; Adams, P.J.; Anderson, J.D.; Keesey, M.S.; Lau, E.L.; Standish, E.M.; Canuto, V.M.; Goldman, I. Experimental Test of the Variability of G Using Viking Lander Ranging Data. Phys. Rev. Lett. 1983, 51. [Google Scholar] [CrossRef]
- Williams, J.G.; Turyshev, S.G.; Boggs, D.H. Progress in lunar laser ranging tests of relativistic gravity. Phys. Rev. Lett. 2004, 93, 26101. [Google Scholar] [CrossRef] [PubMed]
- Uzan, J.-P. Varying constants, gravitation, and cosmology. Liv. Rev. Rel. 2011, 14. [Google Scholar] [CrossRef]
© 2016 by the authors; licensee MDPI, Basel, Switzerland. This article is an open access article distributed under the terms and conditions of the Creative Commons by Attribution (CC-BY) license (http://creativecommons.org/licenses/by/4.0/).

