Digital Ripples in Industries: An Institutional Theory Perspective on How Peer Transformation Dismantles Greenwashing Behavior
Abstract
1. Introduction
2. Theoretical Framework
2.1. Mechanisms of Digital Transformation Spillover Among Peer Companies
2.2. Mechanisms of Greenwashing Spillover Among Peer Companies
2.3. Mechanisms of Industry Disclosure Quality Convergence
3. Research Design
3.1. Model
3.2. Variable Definition
3.2.1. Dependent Variable: Greenwashing Behavior
3.2.2. Independent Variable: Digital Transformation
3.2.3. Control Variables
3.3. Data Description
4. Results
4.1. Baseline Regression
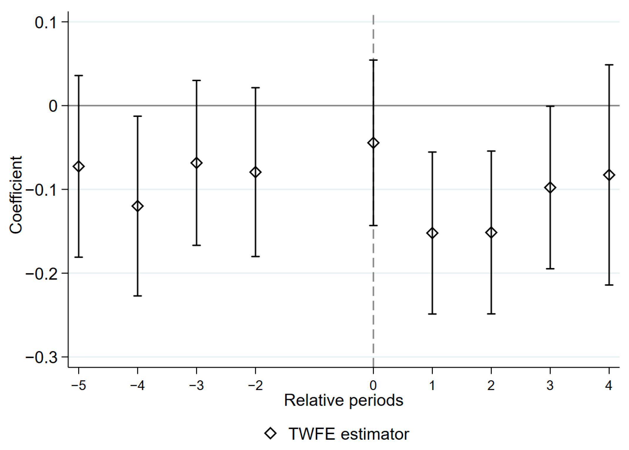
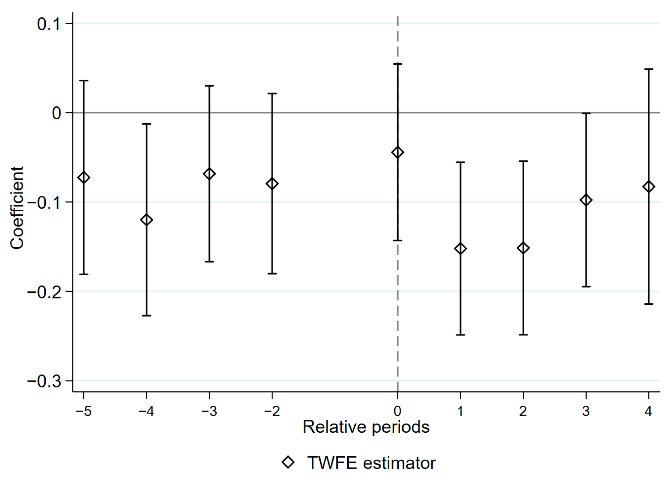
4.2. Endogenous Discussion
4.2.1. Lagged Independent Variable
4.2.2. Difference-in-Differences Method
4.2.3. Instrumental Variable Method
4.3. Robustness Test
4.3.1. Adding Control Variables
4.3.2. Controlling Interactive Fixed Effects
4.3.3. Clustering Standard Errors at a Higher Level
4.3.4. Replacing the Dependent Variable
4.3.5. Replacing the Independent Variable
4.3.6. Sample Replacement
4.3.7. Redefining Peer Relationships
4.3.8. Double Machine Learning (DML) Model
4.4. Mechanism Test
4.4.1. The Impact of Digital Transformation on a Company’s Own Greenwashing
4.4.2. Test of Digital Transformation Spillover Among Peer Companies
4.4.3. Test of Greenwashing Spillover Among Peer Companies
4.4.4. Test of Industry Disclosure Quality Convergence
4.5. Heterogeneity Test
4.5.1. Types of Digital Transformation
4.5.2. Short-Termism
4.5.3. Industry Characteristics
5. Further Analysis
5.1. The “Catfish Effect” of Digital Transformation
5.2. Incremental Impact of Digital Transformed Enterprise Share Within the Industry
6. Conclusions and Policy Implications
6.1. Conclusions
6.2. Theoretical Implications
6.3. Practical Implications
Author Contributions
Funding
Institutional Review Board Statement
Informed Consent Statement
Data Availability Statement
Acknowledgments
Conflicts of Interest
References
- Jin, X.; Zuo, C.; Fang, M.; Li, T.; Nie, H. Measurement problem of enterprise digital transformation: New methods and findings based on large language models. China Econ. 2025, 20, 70–95. [Google Scholar]
- Wu, X.; Li, Y.; Feng, C. Green innovation peer effects in common institutional ownership networks. Corp. Soc. Responsib. Environ. Manag. 2023, 30, 641–660. [Google Scholar] [CrossRef]
- Liu, H.; Cui, C.; Chen, X.; Xiu, P. How can regional integration promote corporate innovation? A peer effect study of R&D expenditure. J. Innov. Knowl. 2023, 8, 100444. [Google Scholar] [CrossRef]
- Peng, Z.; Lian, Y.; Forson, J.A. Peer effects in R&D investment policy: Evidence from China. Int. J. Financ. Econ. 2021, 26, 4516–4533. [Google Scholar]
- Li, J.; Shi, Z.; He, C.; Lv, C. Peer effects on corporate R&D investment policies: A spatial panel model approach. J. Bus. Res. 2023, 158, 113667. [Google Scholar] [CrossRef]
- Ding, Q.; Huang, J.; Chen, J.; Wang, D. ESG peer effects and corporate financial distress: An executive social network perspective. Int. J. Financ. Econ. 2025, 30, 2284–2310. [Google Scholar] [CrossRef]
- Zhao, T.; Wang, H. The industry peer effect of enterprise ESG performance: The moderating effect of customer concentration. Int. Rev. Econ. Financ. 2024, 92, 1499–1525. [Google Scholar] [CrossRef]
- Du, Y.; Lou, J.; Hu, H. Peer effect of enterprise digital transformation in the network constructed by supply chain common-ownership. China Ind. Econ. 2023, 4, 136–155. [Google Scholar]
- Chen, Q.; Wang, Y.; Wan, M. Research on peer effect of enterprise digital transformation and influencing factors. Chin. J. Manag. 2021, 18, 653–663. [Google Scholar]
- Ren, X.; Zeng, G.; Sun, X. The peer effect of digital transformation and corporate environmental performance: Empirical evidence from listed companies in China. Econ. Model. 2023, 128, 106515. [Google Scholar] [CrossRef]
- Zhang, A.; Guo, X.; Zhang, W.; Liu, Z. Research on the mechanism by which digital transformation peer effects influence innovation performance in emerging industries: A case study of China’s photovoltaic industry. PLoS ONE 2025, 20, e0313615. [Google Scholar] [CrossRef]
- Chang, K.; Li, J.; Xiao, L. Hear all parties: Peer effect of digital transformation on long-term firm investment in China. Manag. Decis. Econ. 2024, 45, 1242–1258. [Google Scholar] [CrossRef]
- Seele, P.; Gatti, L. Greenwashing revisited: In search of a typology and accusation-based definition incorporating legitimacy strategies. Bus. Strategy Environ. 2017, 26, 239–252. [Google Scholar] [CrossRef]
- Berrone, P.; Fosfuri, A.; Gelabert, L. Does greenwashing pay off? Understanding the relationship between environmental actions and environmental legitimacy. J. Bus. Ethics 2017, 144, 363–379. [Google Scholar] [CrossRef]
- Chen, P.; Dagestani, A.A. Greenwashing behavior and firm value–From the perspective of board characteristics. Corp. Soc. Responsib. Environ. Manag. 2023, 30, 2330–2343. [Google Scholar] [CrossRef]
- Lee, M.T.; Raschke, R.L. Stakeholder legitimacy in firm greening and financial performance: What about greenwashing temptations? J. Bus. Res. 2023, 155, 113393. [Google Scholar] [CrossRef]
- Wang, C.; Duan, D.; Tang, P.; Yang, S. Greenwashing or brownwashing? Green bond issuance and corporate environmental decoupling. Appl. Econ. 2025, 1–17. [Google Scholar] [CrossRef]
- Liu, G.; Qian, H.; Wu, Q.; Han, F. Research on the masking effect of vertical interlock on ESG greenwashing in the context of sustainable Enterprise development. Corp. Soc. Responsib. Environ. Manag. 2024, 31, 196–209. [Google Scholar] [CrossRef]
- Zhang, D. Environmental regulation and firm product quality improvement: How does the greenwashing response? Int. Rev. Financ. Anal. 2022, 80, 102058. [Google Scholar] [CrossRef]
- Ren, J.; Wu, P.; Hou, L. Social media attention and corporate greenwashing: Evidence from China. Corp. Soc. Responsib. Environ. Manag. 2024, 31, 5446–5465. [Google Scholar] [CrossRef]
- Zioło, M.; Bąk, I.; Spoz, A. Literature review of greenwashing research: State of the art. Corp. Soc. Responsib. Environ. Manag. 2024, 31, 5343–5356. [Google Scholar] [CrossRef]
- Yang, Z.; Huong, N.T.T.; Nam, N.H.; Nga, N.T.T.; Thanh, C.T. Greenwashing behaviours: Causes, taxonomy and consequences based on a systematic literature review. J. Bus. Econ. Manag. (JBEM) 2020, 21, 1486–1507. [Google Scholar] [CrossRef]
- Lu, Z.; Lin, Y.; Li, Y. Does corporate engagement in digital transformation influence greenwashing? Evidence from China. Financ. Res. Lett. 2023, 58, 104558. [Google Scholar] [CrossRef]
- Zhang, K.; Pan, Z.; Zhang, K.; Ji, F. The effect of digitalization transformation on greenwashing of Chinese listed companies: An analysis from the dual perspectives of resource-based view and legitimacy. Front. Environ. Sci. 2023, 11, 1179419. [Google Scholar] [CrossRef]
- Wang, S.; Lai, Y.; Zhang, S. Greening by digitization? Exploring the effect of enterprise digital transformation on greenwashing. Bus. Strategy Environ. 2024, 33, 6616–6639. [Google Scholar] [CrossRef]
- Nygaard, A.; Silkoset, R. Sustainable development and greenwashing: How blockchain technology information can empower green consumers. Bus. Strategy Environ. 2023, 32, 3801–3813. [Google Scholar] [CrossRef]
- Guo, R.; Tao, L.; Li, C.B.; Wang, T. A path analysis of greenwashing in a trust crisis among Chinese energy companies: The role of brand legitimacy and brand loyalty. J. Bus. Ethics 2017, 140, 523–536. [Google Scholar] [CrossRef]
- Torelli, R.; Balluchi, F.; Lazzini, A. Greenwashing and environmental communication: Effects on stakeholders’ perceptions. Bus. Strategy Environ. 2020, 29, 407–421. [Google Scholar] [CrossRef]
- Brynjolfsson, E.; McAfee, A. The Second Machine Age: Work, Progress, and Prosperity in a Time of Brilliant Technologies; WW Norton & Company: New York, NY, USA, 2014. [Google Scholar]
- DiMaggio, P.J.; Powell, W.W. The iron cage revisited: Institutional isomorphism and collective rationality in organizational fields. Am. Sociol. Rev. 1983, 48, 147–160. [Google Scholar] [CrossRef]
- Li, W.; Wang, F.; Liu, T.; Xue, Q.; Liu, N. Peer effects of digital innovation behavior: An external environment perspective. Manag. Decis. 2023, 61, 2173–2200. [Google Scholar] [CrossRef]
- Kim, C.K.; Chung, J.Y. Brand popularity, country image and market share: An empirical study. J. Int. Bus. Stud. 1997, 28, 361–386. [Google Scholar] [CrossRef]
- Delmas, M.A.; Burbano, V.C. The drivers of greenwashing. Calif. Manag. Rev. 2011, 54, 64–87. [Google Scholar] [CrossRef]
- Bikhchandani, S.; Hirshleifer, D.; Welch, I. A theory of fads, fashion, custom, and cultural change as informational cascades. J. Political Econ. 1992, 100, 992–1026. [Google Scholar] [CrossRef]
- Huang, R.; Xie, X.; Zhou, H. ‘Isomorphic’ behavior of corporate greenwashing. Chin. J. Popul. Resour. Environ. 2022, 20, 29–39. [Google Scholar] [CrossRef]
- Chen, Y.; Zhang, M.; Matthews, L.; Guo, H. Digital transformation and environmental information disclosure in China: The moderating role of top management team’s ability. Bus. Strategy Environ. 2024, 33, 8456–8470. [Google Scholar] [CrossRef]
- Zhang, W.; Zhao, J. Digital transformation, environmental disclosure, and environmental performance: An examination based on listed companies in heavy-pollution industries in China. Int. Rev. Econ. Financ. 2023, 87, 505–518. [Google Scholar] [CrossRef]
- Zhao, S.; Teng, L.; Arkorful, V.E.; Hu, H. Impacts of digital government on regional eco-innovation: Moderating role of dual environmental regulations. Technol. Forecast. Soc. Change 2023, 196, 122842. [Google Scholar] [CrossRef]
- Arzpeyma, Z.; Bozorgmehriyan, S.; Bandariyan, A. The Effect of product market competition on Environmental Information Disclosure with Emphasis on the Role of Management Ability. J. Account. Manag. Vis. 2022, 5, 1–16. [Google Scholar]
- Grennan, J. Dividend payments as a response to peer influence. J. Financ. Econ. 2019, 131, 549–570. [Google Scholar] [CrossRef]
- Wu, F.; Hu, H.; Lin, H.; Ren, X. Enterprise digital transformation and capital market performance: Empirical evidence from stock liquidity. Manag. World 2021, 37, 130–144. [Google Scholar]
- Yuan, C.; Xiao, T.; Geng, C.; Sheng, Y. Digital transformation and division of labor between enterprises: Vertical specialization or vertical integration. China Ind. Econ. 2021, 9, 137–155. [Google Scholar]
- Wang, K.; Peng, Y.; Zhou, T. The Impact of Supply Chain Innovation and Application Policies on Supply Chain Digitalization. Emerg. Mark. Financ. Trade 2025, 61, 3308–3331. [Google Scholar] [CrossRef]
- Goldsmith-Pinkham, P.; Sorkin, I.; Swift, H. Bartik instruments: What, when, why, and how. Am. Econ. Rev. 2020, 110, 2586–2624. [Google Scholar] [CrossRef]
- Lewbel, A. Using heteroscedasticity to identify and estimate mismeasured and endogenous regressor models. J. Bus. Econ. Stat. 2012, 30, 67–80. [Google Scholar] [CrossRef]
- Leary, M.T.; Roberts, M.R. Do peer firms affect corporate financial policy? J. Financ. 2014, 69, 139–178. [Google Scholar] [CrossRef]
- Hu, X.; Hua, R.; Liu, Q.; Wang, C. The green fog: Environmental rating disagreement and corporate greenwashing. Pac.-Basin Financ. J. 2023, 78, 101952. [Google Scholar] [CrossRef]
- Wang, Y.; Wang, T.; Yi, X. Research on the synergistic effect of R&D expenditures for IT investment: A contingent view of internal organizational factors. J. Manag. World 2020, 36, 77–89. [Google Scholar]
- Lu, Y.; Tao, Z.; Zhu, L. Identifying FDI spillovers. J. Int. Econ. 2017, 107, 75–90. [Google Scholar] [CrossRef]
- Chernozhukov, V.; Chetverikov, D.; Demirer, M.; Duflo, E.; Hansen, C.; Newey, W.; Robins, J. Double/debiased machine learning for treatment and structural parameters. Econom. J. 2018, 21, C1–C68. [Google Scholar] [CrossRef]
- Peng, Y.-C.; Han, X.; Li, J.-J. Economic policy uncertainty and corporate financialization. China Ind. Econ. 2018, 1, 137–155. [Google Scholar]
- Yu, Y.; Zhao, Q.; Ju, X. Inventor executives and innovation. China Ind. Econ. 2018, 3, 136–154. [Google Scholar]
- Pan, A.-L.; Liu, X.; Qiu, J.-L.; Shen, Y. Can green M&A of heavy polluting enterprises achieve substantial transformation under the pressure of media. China Ind. Econ. 2019, 2, 174–192. [Google Scholar]



| Variables | Obs | Mean | Std. Dev | Min | Max |
|---|---|---|---|---|---|
| GW | 13,003 | 0.003 | 1.230 | −4.879 | 6.515 |
| Peer_Dig | 13,003 | 0.529 | 0.936 | 0.000 | 6.210 |
| Size | 13,003 | 23.152 | 1.302 | 19.317 | 26.452 |
| Lev | 13,003 | 0.479 | 0.199 | 0.027 | 0.908 |
| Fixed | 13,003 | 0.227 | 0.177 | 0.002 | 0.769 |
| ListAge | 13,003 | 2.431 | 0.736 | 0.000 | 3.401 |
| Cashflow | 13,003 | 0.060 | 0.071 | −0.222 | 0.283 |
| Board | 13,003 | 2.180 | 0.202 | 1.609 | 2.708 |
| Dual | 13,003 | 0.204 | 0.403 | 0.000 | 1.000 |
| Indep | 13,003 | 37.517 | 5.550 | 25.000 | 60.000 |
| (1) | (2) | (3) | (4) | |
|---|---|---|---|---|
| GW | GW | EP | ED | |
| Peer_Dig | −0.149 *** | −0.147 *** | 0.519 ** | −1.223 *** |
| (0.036) | (0.037) | (0.257) | (0.263) | |
| Control variables | No | Yes | Yes | Yes |
| Time-fixed effects | Yes | Yes | Yes | Yes |
| Individual-fixed effects | Yes | Yes | Yes | Yes |
| N | 13,003 | 13,003 | 13,003 | 13,003 |
| R2 | 0.141 | 0.142 | 0.105 | 0.423 |
| (1) | (2) | (3) | (4) | |
|---|---|---|---|---|
| GW | GW | GW | GW | |
| L1. Peer_Dig | −0.171 *** | |||
| (0.032) | ||||
| L2. Peer_Dig | −0.142 *** | |||
| (0.035) | ||||
| L3. Peer_Dig | −0.127 *** | |||
| (0.036) | ||||
| L4. Peer_Dig | −0.111 *** | |||
| (0.040) | ||||
| Control variables | Yes | Yes | Yes | Yes |
| Time-fixed effects | Yes | Yes | Yes | Yes |
| Individual-fixed effects | Yes | Yes | Yes | Yes |
| N | 11,471 | 10,136 | 8872 | 7669 |
| R2 | 0.148 | 0.156 | 0.165 | 0.163 |
| (1) | (2) | (3) | (4) | |
|---|---|---|---|---|
| GW | GW | GW | GW | |
| All Sample | Exclude the Samples of Pilot Enterprises | |||
| Di × Postt | −0.059 *** | −0.065 *** | −0.057 * | −0.069 ** |
| (0.023) | (0.023) | (0.034) | (0.034) | |
| Control variables | Yes | Yes | Yes | No |
| Time-fixed effects | No | Yes | No | No |
| Individual-fixed effects | No | Yes | No | No |
| N | 13,079 | 13,079 | 12,613 | 12,613 |
| R2 | 0.135 | 0.137 | 0.135 | 0.136 |
| (1) | (2) | (3) | (4) | (5) | (6) | |
|---|---|---|---|---|---|---|
| Bartik Instrumental Variable | Lewbel Instrumental Variable | Idiosyncratic Stock Returns | ||||
| First Stage | Second Stage | First Stage | Second Stage | First Stage | Second Stage | |
| Peer_Dig | GW | Peer_Dig | GW | Peer_Dig | GW | |
| Peer_Dig | −0.347 *** | −0.060 * | −0.304 *** | |||
| (0.040) | (0.031) | (0.177) | ||||
| IV1 | 0.155 *** | |||||
| (0.010) | ||||||
| IV2 | ||||||
| IV3 | 0.067 *** | |||||
| (0.007) | ||||||
| Control variables | Yes | Yes | Yes | Yes | Yes | Yes |
| Time-fixed effects | Yes | Yes | Yes | Yes | Yes | Yes |
| Individual-fixed effects | Yes | Yes | Yes | Yes | Yes | Yes |
| Kleibergen–Paap rk LM | 231.583 *** | 246.859 *** | 81.109 *** | |||
| First stage F value | 261.960 *** | 391.850 *** | 84.210 *** | |||
| N | 12,398 | 12,398 | 12,959 | 12,959 | 12,959 | 12,959 |
| (1) | (2) | (3) | (4) | (5) | (6) | (7) | |
|---|---|---|---|---|---|---|---|
| Adding Control Variables | Controlling Interactive Fixed Effects | Clustering Standard Errors at a Higher Level | Replacing the Dependent Variable | Replacing the Independent Variable | |||
| GW | GW | GW | GW | GW | GW2 | GW | |
| Peer_Dig | −0.146 *** | −0.135 *** | −0.147 *** | −0.147 *** | −0.147 *** | −0.030 *** | |
| (0.037) | (0.040) | (0.033) | (0.033) | (0.046) | (0.012) | ||
| Peer_Dig2 | −3.153 * | ||||||
| (1.707) | |||||||
| Control variables | Yes | Yes | Yes | Yes | Yes | Yes | Yes |
| Time-fixed effects | Yes | Yes | Yes | Yes | Yes | Yes | Yes |
| Individual-fixed effects | Yes | Yes | Yes | Yes | Yes | Yes | Yes |
| Time#City-fixed effects | No | Yes | No | No | No | No | No |
| N | 12,419 | 13,003 | 13,003 | 13,003 | 13,003 | 12,992 | 12,877 |
| R2 | 0.139 | 0.664 | 0.591 | 0.591 | 0.591 | 0.190 | 0.138 |
| (1) | (2) | (3) | (4) | (5) | (6) | |
|---|---|---|---|---|---|---|
| Excluding Firms with Location Changes | Excluding Firms with Industry Changes | Excluding Municipalities Sample | Excluding the 2020–2022 Sample | Redefining Peer Relationships | Redefining Peer Relationships | |
| GW | GW | GW | GW | GW | GW | |
| Peer_Dig | −0.156 *** | −0.229 *** | −0.160 *** | −0.166 *** | −0.661 *** | −0.316 ** |
| (0.038) | (0.043) | (0.047) | (0.021) | (0.142) | (0.123) | |
| Control variables | Yes | Yes | Yes | Yes | Yes | Yes |
| Time-fixed effects | Yes | Yes | Yes | Yes | Yes | Yes |
| Individual-fixed effects | Yes | Yes | Yes | Yes | Yes | Yes |
| N | 12,440 | 9450 | 9191 | 10,026 | 13,079 | 683 |
| R2 | 0.141 | 0.157 | 0.155 | 0.043 | 0.141 | 0.212 |
| (1) | (2) | (3) | (4) | (5) | |
|---|---|---|---|---|---|
| GW | GW | GW | GW | GW | |
| Peer_Dig | −0.118 *** | −0.118 *** | −0.119 *** | −0.117 *** | −0.118 *** |
| (0.023) | (0.022) | (0.022) | (0.022) | (0.022) | |
| Control variables | Yes | Yes | Yes | Yes | Yes |
| Time-fixed effects | Yes | Yes | Yes | Yes | Yes |
| Individual-fixed effects | Yes | Yes | Yes | Yes | Yes |
| N | 13,003 | 13,003 | 13,003 | 13,003 | 13,003 |
| Algorithm | Random forest | LASSO | Gradient boosting | Random forest | Random forest |
| Sample proportion | 1:4 | 1:4 | 1:4 | 1:2 | 1:7 |
| (1) | (2) | (3) | (4) | |
|---|---|---|---|---|
| GW | GW | GW | GW | |
| Dig | −0.078 *** | −0.071 *** | −0.084 *** | −0.070 *** |
| (0.022) | (0.020) | (0.022) | (0.020) | |
| Control variables | No | No | Yes | Yes |
| Time-fixed effects | Yes | Yes | Yes | Yes |
| Individual-fixed effects | No | Yes | No | Yes |
| N | 13,079 | 13,079 | 13,079 | 13,079 |
| R2 | 0.104 | 0.138 | 0.132 | 0.139 |
| (1) | (2) | (3) | (4) | (5) | (6) | (7) | |
|---|---|---|---|---|---|---|---|
| Dig | Dig | Dig | GW | GW | GW | KV_conv | |
| Full Sample | High Degree of Industry Competition | Low Degree of Industry Competition | Full Sample | Strong Imitation Motivation | Weak Imitation Motivation | Full Sample | |
| Peer_Dig | 0.647 *** | 0.876 *** | 0.192 | 0.471 *** | 0.556 *** | 0.379 *** | 0.003 ** |
| (0.105) | (0.144) | (0.127) | (0.038) | (0.047) | (0.064) | (0.001) | |
| Control variables | Yes | Yes | Yes | Yes | Yes | Yes | Yes |
| Time-fixed effects | Yes | Yes | Yes | Yes | Yes | Yes | Yes |
| Individual-fixed effects | Yes | Yes | Yes | Yes | Yes | Yes | Yes |
| N | 13,003 | 5861 | 6424 | 13,003 | 8787 | 4024 | 11,897 |
| R2 | 0.220 | 0.318 | 0.073 | 0.169 | 0.191 | 0.141 | 0.014 |
| (1) | (2) | (3) | (4) | (5) | |
|---|---|---|---|---|---|
| GW | GW | GW | GW | GW | |
| Peer_IT | −0.697 *** | ||||
| (0.139) | |||||
| Peer_BD | −0.584 *** | ||||
| (0.105) | |||||
| Peer_Cloud | −0.480 *** | ||||
| (0.143) | |||||
| Peer_Block | −1.483 *** | ||||
| (0.536) | |||||
| Peer_Apply | −0.050 | ||||
| (0.070) | |||||
| Control variables | Yes | Yes | Yes | Yes | Yes |
| Time-fixed effects | Yes | Yes | Yes | Yes | Yes |
| Individual-fixed effects | Yes | Yes | Yes | Yes | Yes |
| N | 13,003 | 13,003 | 13,003 | 13,003 | 13,003 |
| R2 | 0.142 | 0.144 | 0.140 | 0.141 | 0.138 |
| (1) | (2) | (3) | (4) | (5) | (6) | (7) | (8) | |
|---|---|---|---|---|---|---|---|---|
| GW | GW | GW | GW | GW | GW | GW | GW | |
| High Level of Myopia | Low Level of Myopia | High-Tech Industry | Non-High-Tech Industry | High-Pollution Industry | Low-Pollution Industry | High-Competition Industry | Low-Competition Industry | |
| Peer_Dig | −0.039 | −0.093 *** | −0.214 *** | −0.094 | −0.674 ** | −0.089 ** | −0.255 *** | −0.086 |
| (0.027) | (0.031) | (0.040) | (0.064) | (0.296) | (0.037) | (0.043) | (0.060) | |
| Control variables | Yes | Yes | Yes | Yes | Yes | Yes | Yes | Yes |
| Time-fixed effects | Yes | Yes | Yes | Yes | Yes | Yes | Yes | Yes |
| Individual-fixed effects | Yes | Yes | Yes | Yes | Yes | Yes | Yes | Yes |
| N | 7524 | 5555 | 7524 | 5555 | 3450 | 9553 | 6241 | 6762 |
| R2 | 0.149 | 0.132 | 0.149 | 0.132 | 0.243 | 0.113 | 0.128 | 0.157 |
| (1) | (2) | (3) | (4) | (5) | |
|---|---|---|---|---|---|
| GW | GW | GW | GW | GW | |
| Catfish | −0.072 | ||||
| (0.055) | |||||
| L1. Catfish | −0.125 ** | ||||
| (0.056) | |||||
| L2. Catfish | −0.163 *** | ||||
| (0.058) | |||||
| L3. Catfish | −0.144 ** | ||||
| (0.059) | |||||
| L4. Catfish | −0.121 ** | ||||
| (0.058) | |||||
| Control variables | Yes | Yes | Yes | Yes | Yes |
| Time-fixed effects | Yes | Yes | Yes | Yes | Yes |
| Individual-fixed effects | Yes | Yes | Yes | Yes | Yes |
| N | 13,079 | 11,535 | 10,196 | 8927 | 7720 |
| R2 | 0.137 | 0.142 | 0.153 | 0.161 | 0.159 |
| (1) | (2) | (3) | (4) | (5) | |
|---|---|---|---|---|---|
| GW | GW | GW | GW | GW | |
| Ratio | −0.233 | ||||
| (0.146) | |||||
| L1. Ratio | −0.334 ** | ||||
| (0.168) | |||||
| L2. Ratio | −0.334 * | ||||
| (0.193) | |||||
| L3. Ratio | −0.618 *** | ||||
| (0.228) | |||||
| L4. Ratio | −0.950 *** | ||||
| (0.292) | |||||
| Control variables | Yes | Yes | Yes | Yes | Yes |
| Time-fixed effects | Yes | Yes | Yes | Yes | Yes |
| Individual-fixed effects | Yes | Yes | Yes | Yes | Yes |
| N | 4481 | 3065 | 2440 | 1963 | 1574 |
| R2 | 0.114 | 0.121 | 0.110 | 0.145 | 0.174 |
Disclaimer/Publisher’s Note: The statements, opinions and data contained in all publications are solely those of the individual author(s) and contributor(s) and not of MDPI and/or the editor(s). MDPI and/or the editor(s) disclaim responsibility for any injury to people or property resulting from any ideas, methods, instructions or products referred to in the content. |
© 2025 by the authors. Licensee MDPI, Basel, Switzerland. This article is an open access article distributed under the terms and conditions of the Creative Commons Attribution (CC BY) license (https://creativecommons.org/licenses/by/4.0/).
Share and Cite
Xu, J.; Li, R.; Peng, Z. Digital Ripples in Industries: An Institutional Theory Perspective on How Peer Transformation Dismantles Greenwashing Behavior. J. Theor. Appl. Electron. Commer. Res. 2025, 20, 351. https://doi.org/10.3390/jtaer20040351
Xu J, Li R, Peng Z. Digital Ripples in Industries: An Institutional Theory Perspective on How Peer Transformation Dismantles Greenwashing Behavior. Journal of Theoretical and Applied Electronic Commerce Research. 2025; 20(4):351. https://doi.org/10.3390/jtaer20040351
Chicago/Turabian StyleXu, Jiajun, Rui Li, and Zixuan Peng. 2025. "Digital Ripples in Industries: An Institutional Theory Perspective on How Peer Transformation Dismantles Greenwashing Behavior" Journal of Theoretical and Applied Electronic Commerce Research 20, no. 4: 351. https://doi.org/10.3390/jtaer20040351
APA StyleXu, J., Li, R., & Peng, Z. (2025). Digital Ripples in Industries: An Institutional Theory Perspective on How Peer Transformation Dismantles Greenwashing Behavior. Journal of Theoretical and Applied Electronic Commerce Research, 20(4), 351. https://doi.org/10.3390/jtaer20040351
