Sign in to use this feature.

Years

Between: -

Subjects

remove_circle_outline
remove_circle_outline
remove_circle_outline
remove_circle_outline
remove_circle_outline
remove_circle_outline
remove_circle_outline
remove_circle_outline
remove_circle_outline

Journals

remove_circle_outline
remove_circle_outline
remove_circle_outline
remove_circle_outline
remove_circle_outline
remove_circle_outline
remove_circle_outline
remove_circle_outline
remove_circle_outline
remove_circle_outline

Article Types

Countries / Regions

remove_circle_outline
remove_circle_outline
remove_circle_outline
remove_circle_outline
remove_circle_outline

Search Results (350)

Search Parameters:
Keywords = worldwide governance indicators

Order results
Result details
Results per page
Select all
Export citation of selected articles as:
23 pages, 328 KB  
Article
Institutional Thresholds and the Distributional Effects of Foreign Direct Investment in ASEAN-5
by Tin Maw Maw Tun, Paravee Maneejuk and Songsak Sriboonchitta
Economies 2026, 14(2), 45; https://doi.org/10.3390/economies14020045 - 31 Jan 2026
Viewed by 120
Abstract
Using a fixed-effects panel threshold regression with Driscoll–Kraay inference, this paper examines how institutional quality shapes the distributional effects of foreign direct investment (FDI) in the ASEAN-5 economies (Indonesia, Malaysia, the Philippines, Thailand, and Vietnam) over 2002–2023. The empirical framework allows the impact [...] Read more.
Using a fixed-effects panel threshold regression with Driscoll–Kraay inference, this paper examines how institutional quality shapes the distributional effects of foreign direct investment (FDI) in the ASEAN-5 economies (Indonesia, Malaysia, the Philippines, Thailand, and Vietnam) over 2002–2023. The empirical framework allows the impact of FDI on income inequality (net Gini index) to differ across low- and high-institutional regimes and to vary within regimes through interaction terms. Across governance indicators from the Worldwide Governance Indicators and a composite institutional quality index (IQ) constructed via principal component analysis (PCA), the results reveal pronounced nonlinearities, most clearly for government effectiveness, where the association between FDI and inequality switches sign across institutional regimes. For other governance dimensions, the FDI–inequality relationship is similarly regime-dependent and operates partly through regime-specific interaction effects, underscoring the importance of institutional thresholds in mediating distributional outcomes. Robustness checks confirm the directional consistency of the baseline results. Our findings imply that governance reforms must surpass critical institutional thresholds, particularly in effectiveness and implementation capacity, before FDI can contribute to reducing income inequality, highlighting the central role of deep governance improvements in enabling inclusive growth in ASEAN economies. Full article
27 pages, 8764 KB  
Article
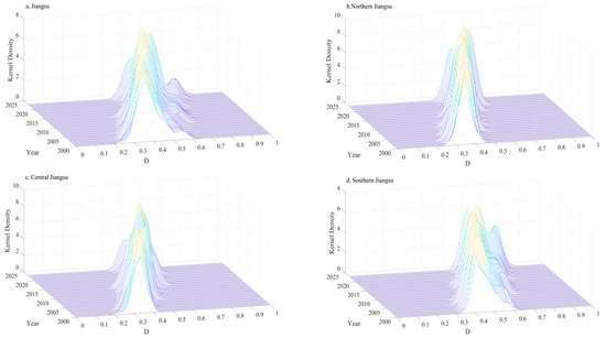
Spatiotemporal Evolution, Influencing Factors and Convergence of the Coupling Coordination Between High-Quality Development and High-Level Protection in Jiangsu, China
by Xuanyu Zhai, Xiaoshun Li, Jiangtao Hong, Zhehan Shao, Xiaohan Li and Hui Cao
Land 2026, 15(2), 227; https://doi.org/10.3390/land15020227 - 29 Jan 2026
Viewed by 160
Abstract
Amidst resource and environmental pressures, as well as the demands for sustainable development, coordinating economic growth with resource and environmental conservation has become a common challenge for nations worldwide. This study focuses on the synergistic relationship between high-quality development (HQD) and high-level protection [...] Read more.
Amidst resource and environmental pressures, as well as the demands for sustainable development, coordinating economic growth with resource and environmental conservation has become a common challenge for nations worldwide. This study focuses on the synergistic relationship between high-quality development (HQD) and high-level protection (HLP), using Jiangsu Province as an empirical case. Through the integrated application of the coupling coordination degree model, kernel density estimation, the grey relational model, and convergence analysis, it systematically evaluates the spatiotemporal patterns, influencing factors, and evolution of regional disparities in the coupling coordination between HQD and HLP in Jiangsu from 2000 to 2023. The results indicate that the following: (1) The provincial coupling coordination level improved from 0.384 to 0.596, marking a transition from imbalance to coordination. (2) Spatially, a gradient pattern of “stronger south, weaker north” emerged, with Southern Jiangsu leading in coordination levels but exhibiting significant internal differentiation, while Northern and Central Jiangsu lagged behind yet demonstrated catch-up potential. (3) The driving mechanisms vary across regions: innovation and market forces are the primary drivers in Southern Jiangsu, whereas traditional industrial cities in Northern Jiangsu remain constrained by ecological and environmental governance. (4) The coordination levels across the province, as well as in Northern and Central Jiangsu, are tending toward convergence, with regional disparities gradually narrowing. Southern Jiangsu has entered a relatively balanced development stage. This study expands the theoretical connotation of the synergy between HQD and HLP from the perspective of natural resources, providing theoretical guidance and scientific evidence for balancing economic development with resource and environmental conservation. Full article
Show Figures

Figure 1

23 pages, 7455 KB  
Article
Source Apportionment and Health Risk Assessment of Heavy Metals in Groundwater in the Core Area of Central-South Hunan: A Combined APCS-MLR/PMF and Monte Carlo Approach
by Shuya Li, Huan Shuai, Hong Yu, Yongqian Liu, Yingli Jing, Yizhi Kong, Yaqian Liu and Di Wu
Sustainability 2026, 18(3), 1225; https://doi.org/10.3390/su18031225 - 26 Jan 2026
Viewed by 130
Abstract
Groundwater, a critical resource for regional water security and public health, faces escalating threats from heavy metal contamination—a pressing environmental challenge worldwide. This study focuses on the central-south Hunan region of China, a mineral-rich, densely populated area characterized predominantly by non-point-source pollution, aiming [...] Read more.
Groundwater, a critical resource for regional water security and public health, faces escalating threats from heavy metal contamination—a pressing environmental challenge worldwide. This study focuses on the central-south Hunan region of China, a mineral-rich, densely populated area characterized predominantly by non-point-source pollution, aiming to systematically unravel the spatial patterns, source contributions, and associated health risks of heavy metals in local groundwater. Based on 717 spring and well water samples collected in 2024, we determined pH and seven heavy metals (As, Cd, Pb, Zn, Fe, Mn, and Tl). By integrating hydrogeological zoning, lithology, topography, and river networks, the study area was divided into 11 assessment units, clearly revealing the spatial heterogeneity of heavy metals. The results demonstrate that exceedances of Cd, Pb, and Zn were sporadic and point-source-influenced, whereas As, Fe, Mn, and Tl showed regional exceedance patterns (e.g., Mn exceeded the standard in 9.76% of samples), identifying them as priority control elements. The spatial distribution of heavy metals was governed the synergistic effects of lithology, water–rock interactions, and hydrological structure, showing a distinct “acidic in the northeast, alkaline in the southwest” pH gradient. Combined application of the APCS-MLR and PMF models resolved five principal pollution sources: an acid-reducing-environment-driven release source (contributing 76.1% of Fe and 58.3% of Pb); a geogenic–anthropogenic composite source (contributing 81.0% of Tl and 62.4% of Cd); a human-perturbation-triggered natural Mn release source (contributing 94.8% of Mn); an agricultural-activity-related input source (contributing 60.1% of Zn); and a primary geological source (contributing 89.9% of As). Monte Carlo simulation-based health risk assessment indicated that the average hazard index (HI) and total carcinogenic risk (TCR) for all heavy metals were below acceptable thresholds, suggesting generally manageable risk. However, As was the dominant contributor to both non-carcinogenic and carcinogenic risks, with its carcinogenic risk exceeding the threshold in up to 3.84% of the simulated adult exposures under extreme scenarios. Sensitivity analysis identified exposure duration (ED) as the most influential parameter governing risk outcomes. In conclusion, we recommend implementing spatially differentiated management strategies: prioritizing As control in red-bed and granite–metamorphic zones; enhancing Tl monitoring in the northern and northeastern granite-rich areas, particularly downstream of the Mishui River; and regulating land use in brick-factory-dense riparian zones to mitigate disturbance-induced Mn release—for instance, through the enforcement of setback requirements and targeted groundwater monitoring programs. This study provides a scientific foundation for the sustainable management and safety assurance of groundwater resources in regions with similar geological and anthropogenic settings. Full article
Show Figures

Figure 1

31 pages, 4085 KB  
Article
E-Government Digitalization as a Strategic Enabler of Sustainable Development Goals: Evidence from Saudi Arabia
by Maysoon Abulkhair
Sustainability 2026, 18(3), 1168; https://doi.org/10.3390/su18031168 - 23 Jan 2026
Viewed by 168
Abstract
This study introduces the Sustainable Development Goals Achievement Measurement Framework (SDG-AMF), a novel analytical tool used to systematically evaluate the relationships between digitalization and the Sustainable Development Goals (SDGs). Unlike the United Nations (UN) E-Government Development Index (EGDI) and Organization for Economic Co-operation [...] Read more.
This study introduces the Sustainable Development Goals Achievement Measurement Framework (SDG-AMF), a novel analytical tool used to systematically evaluate the relationships between digitalization and the Sustainable Development Goals (SDGs). Unlike the United Nations (UN) E-Government Development Index (EGDI) and Organization for Economic Co-operation and Development (OECD) Digital Government Indicators (DGIs) frameworks, the proposed SDG-AMF links digitalization indicators to specific SDG outcomes using proxy-based time-series analysis. The SDG-AMF provides a unified, statistically grounded approach that connects digital development with measurable sustainability outcomes. Using direct, high-quality time-series data (2010–2024) from internationally recognized sources, the framework maps key digitalization indicators such as Internet penetration, e-government maturity, research and development (RD) expenditure, gross domestic product (GDP) per capita, and gender participation in information and communication technology (ICT) to the selected SDG targets (SDGs 4, 5, 8, 9, and 16). Through correlation and regression analyses, the study identifies enabling and inhibiting relationships, highlighting Saudi Arabia’s strengths in digital infrastructure and e-government maturity while emphasizing areas for improvement, such as civic participation and RD intensity. Comparative benchmarking with digitally advanced economies underscores Saudi Arabia’s strengths in Internet penetration and e-government maturity, while gaps in RD investment are identified. The SDG-AMF provides policymakers with a replicable roadmap and scalable model to align foundational connectivity and governance reforms with advanced digital transformation, facilitating progress toward achieving Sustainable Development Goals worldwide. This research contributes original methodological insights and equips stakeholders with practical tools to monitor, compare, and accelerate SDG progress in the digital era. Full article
Show Figures

Figure 1

29 pages, 9732 KB  
Article
Socio-Ecological Coupling and Multifunctional Spatial Differentiation in Watershed Rural Systems: Toward Coordinated Development
by Yanjun Meng, Hui Zhai, Yuhong Xu, Bak Koon Teoh and Robert Lee Kong Tiong
Land 2026, 15(1), 194; https://doi.org/10.3390/land15010194 - 21 Jan 2026
Viewed by 159
Abstract
Socio-ecological systems in basin regions characterized by diverse cultural traditions and hierarchical village spatial structure are undergoing profound transformation driven by multifunctional demands and spatial restructuring. This study develops an analytical framework encompassing economic production, socio-cultural functions, and ecological potential to examine the [...] Read more.
Socio-ecological systems in basin regions characterized by diverse cultural traditions and hierarchical village spatial structure are undergoing profound transformation driven by multifunctional demands and spatial restructuring. This study develops an analytical framework encompassing economic production, socio-cultural functions, and ecological potential to examine the spatial differentiation and socio-ecological coupling mechanisms within the Yilong Lake Basin, Yunnan Province. Through the entropy weighting method and a coupling coordination model, the framework evaluates the “lake–mountain–village” gradient of spatial differentiation. The results indicate that: (1) the overall coordination level of multifunctional systems in the region remains relatively low, exhibiting a decreasing trend from lakeshore to the mountain periphery; (2) village-level dependencies of spatial functions can be summarized into three coupling categories—associated with institutional embedding, self-organization, and value mismatch—revealing distinct socio-ecological interaction patterns; and (3) three coupling categories correspond to three differentiated governance pathways, namely coupling optimization, functional transition, and conflict mitigation. The study advances theoretical and methodological insights into the spatial differentiation and evolution of complex village systems, highlighting the nonlinear coexistence of interdependence and constraint among economic, social, and ecological functions. It further provides practical guidance for coordinated governance and sustainable spatial planning in similar rural and basin environments worldwide. Full article
(This article belongs to the Special Issue Human–Land Coupling in Watersheds and Sustainable Development)
Show Figures

Figure 1

22 pages, 946 KB  
Review
A Global Scoping Review of Clinicians’ Perceptions of Anorectal Biofeedback Compared with Novel Australian Data
by Minha Lee, Vincent Ho and Jerry Zhou
J. Clin. Med. 2026, 15(2), 835; https://doi.org/10.3390/jcm15020835 - 20 Jan 2026
Viewed by 222
Abstract
Background/Objectives: Biofeedback therapy is a technique that trains individuals to change their physiological activity for the purpose of improving their health. Despite its proven efficacy in 70 to 80% of patients in clinical trials, biofeedback is significantly underutilised in clinical practice worldwide. [...] Read more.
Background/Objectives: Biofeedback therapy is a technique that trains individuals to change their physiological activity for the purpose of improving their health. Despite its proven efficacy in 70 to 80% of patients in clinical trials, biofeedback is significantly underutilised in clinical practice worldwide. This scoping review aims to synthesise the current evidence on clinicians’ attitudes, knowledge, and experiences with anorectal biofeedback, highlight gaps in the existing literature, and guide future research directions. These findings are compared with new local Australian data. Methods: Systematic searches were conducted on five electronic databases including MEDLINE, Embase, CINAHL, Scopus, and APA PsycInfo. Eight articles were retrieved from title and abstract, full text, and reference list screening using Covidence. Results: The scoping review revealed substantial heterogeneity in the clinical indications for biofeedback. Both the scoping review and Australian study reported that over half of clinicians could not accurately define biofeedback or report familiarity with the technique, and that barriers to the implementation of biofeedback included long wait times, lack of trained personnel, and limited access to equipment. In the Australian study, proposed ways to improve the uptake of biofeedback included education of health professionals, government funding, and increased access to facilities. Conclusions: This scoping review and Australian cross-sectional study demonstrate that clinicians have limited knowledge of biofeedback and that a complex interplay between systemic barriers to access hinder its implementation. Further research into clinicians’ attitudes towards biofeedback should be conducted in more countries to build a more robust body of evidence. Full article
(This article belongs to the Section Gastroenterology & Hepatopancreatobiliary Medicine)
Show Figures

Figure 1

19 pages, 311 KB  
Article
Migrant-Led Community Organisations: Mobilising Ethnic Capital to Support Refugees and Asylum Seekers in England
by Samson Maekele Tsegay and Zewdi Amanuel Dagnew
Behav. Sci. 2026, 16(1), 136; https://doi.org/10.3390/bs16010136 - 17 Jan 2026
Viewed by 472
Abstract
Refugees and asylum seekers (RASs) are among the most marginalised, vulnerable, and economically disadvantaged groups worldwide. As a result, many government and non-government organizations, including migrant-led community organizations (MLCOs), support RASs to improve their lives in their host countries. However, there is a [...] Read more.
Refugees and asylum seekers (RASs) are among the most marginalised, vulnerable, and economically disadvantaged groups worldwide. As a result, many government and non-government organizations, including migrant-led community organizations (MLCOs), support RASs to improve their lives in their host countries. However, there is a lack of research on the role and challenges of MLCOs supporting RASs. Therefore, informed by the concepts of grassroots humanitarianism and ethnic capital, and based on data collected through focus group discussions, this article explores the rationale, activities, and challenges of Eritrean MLCOs in England. The findings indicate that MLCOs help fill some gaps left by government agencies by providing RASs with strong advocacy and support systems to protect their rights and meet their needs. Although volunteers with limited funding run these organizations, they utilise ethnic capital to provide knowledge, raise awareness, and deliver culturally sensitive services to RASs in their own language. This article advances understanding of MLCOs’ work and improves their services to better meet the needs of RASs. It also contributes to knowledge by highlighting MLCOs’ role as sites of learning and education. Full article
21 pages, 1242 KB  
Article
Structural Conditions for Financial Literacy Diffusion in Morocco: An ARDL Approach
by Hamida Lahjouji and Mariam El Haddadi
Economies 2026, 14(1), 21; https://doi.org/10.3390/economies14010021 - 13 Jan 2026
Viewed by 215
Abstract
In a worldwide context marked by increasing attention to financial literacy as a factor of financial inclusion, Morocco take part of this dynamic, seeking to improve the financial skills of its population. This article does not measure financial literacy directly but aims to [...] Read more.
In a worldwide context marked by increasing attention to financial literacy as a factor of financial inclusion, Morocco take part of this dynamic, seeking to improve the financial skills of its population. This article does not measure financial literacy directly but aims to explore the structural conditions that enable its diffusion in Morocco, using macroeconomic indicators such as income, employability, and education, along with financial infrastructure. Adopting a mixed methodology, this study combines both qualitative and quantitative analysis of the national context, including an overview of public policies, socioeconomic characteristics, and financial literacy initiatives, with a quantitative analysis based on an Autoregressive Distributed Lag (ARDL) econometric model. Bank branch density is employed as an indirect proxy for financial infrastructure, reflecting access to formal financial services in the absence of time-series literacy data. The results show that gross national income (GNI) per capita, the labor forces, and elementary school enrolment rates influence banking density, though without producing statistically significant effects in the long term. In the short term, only GNI has a temporary but not very robust impact. These results highlight the limitations of macroeconomic indicators alone in explaining financial literacy diffusion and underscore the potential role of structural factors such as digital innovation, governance, or inclusion of youth and female indicators. Full article
Show Figures

Figure 1

24 pages, 1677 KB  
Article
Forestry Green Development Efficiency in China’s Yellow River Basin: Evidence from the Super-SBM Model and the Global Malmquist-Luenberger Index
by Yu Li, Longzhen Ni, Wenhui Chen, Yibai Wang and Dongzhuo Xie
Land 2026, 15(1), 147; https://doi.org/10.3390/land15010147 - 10 Jan 2026
Viewed by 240
Abstract
The Yellow River Basin (YRB), a typical river system facing the challenge of balancing ecological conservation and economic development, offers valuable insights for global sustainable watershed governance through its forestry green transformation. Based on panel data from nine provinces in the basin from [...] Read more.
The Yellow River Basin (YRB), a typical river system facing the challenge of balancing ecological conservation and economic development, offers valuable insights for global sustainable watershed governance through its forestry green transformation. Based on panel data from nine provinces in the basin from 2005 to 2022, this study constructs an efficiency evaluation indicator system for forestry green development. This system incorporates four inputs (labor, land, capital, and energy), two desirable outputs (economic and ecological benefits), and three undesirable outputs (wastewater, waste gas, and solid waste). By systematically integrating the undesirable outputs-based super-SBM model and the global Malmquist–Luenberger (GML) index, this study provides an assessment from both static and dynamic perspectives. The findings are as follows. (1) Forestry green development efficiency showed fluctuations over the study period, with the basin-wide average remaining below the production frontier. Spatially, it exhibits a pattern of “downstream > upstream > midstream”. (2) The average GML index is 0.984 during the study period, representing an average annual decline in forestry green total factor productivity of 1.6%. The growth dynamics transitioned from a stage dominated solely by technological progress to a dual-driver model involving both technological progress and technical efficiency. (3) The drivers of forestry green total factor productivity growth in the basin show profound regional heterogeneity. The downstream region demonstrates a synergistic dual-driver model of technical efficiency and technological progress, the midstream region is trapped in “dual stagnation” of both technical efficiency and technological progress, and the upstream region differentiates into four distinct pathways: technology-driven yet foundationally weak, efficiency-improving yet technology-lagged, endowment-advantaged yet transformation-constrained, and condition-constrained with efficiency limitations. The assessment framework and empirical findings established in this study can provide empirical evidence and policy insights for basins worldwide to resolve the ecological-development dilemma and promote forestry green transformation. Full article
Show Figures

Figure 1

17 pages, 3334 KB  
Article
Water Scarcity Risk for Paddy Field Development Projects in Pre-Modern Japan: Case Study of the Kinu River Basin
by Adonis Russell Ekpelikpeze, Minh Hong Tran, Atsushi Ishii and Yohei Asada
Water 2026, 18(2), 179; https://doi.org/10.3390/w18020179 - 9 Jan 2026
Viewed by 305
Abstract
Japanese modern irrigation management is considered a successful model of water governance worldwide. However, debates continue over whether this success is due to natural water abundance or to water management practices. This study evaluates pre-modern water scarcity risk for six irrigation schemes, developed [...] Read more.
Japanese modern irrigation management is considered a successful model of water governance worldwide. However, debates continue over whether this success is due to natural water abundance or to water management practices. This study evaluates pre-modern water scarcity risk for six irrigation schemes, developed during that period in the Kinu River Basin (1603–1868); a period without large reservoirs, canal systems, or modern regulatory technologies. As the methodology, pre-modern river flows were reconstructed by removing the effects of four modern dams from the present-day river discharge, adjusting the conveyance efficiency, changes in paddy field area, rainfall input, and return flows. Water demand was assessed using Japanese irrigation standards of 5 mm/d (minimum water demand corresponding to evapotranspiration) and 20 mm/d (easy management), and risk was evaluated under both the prior appropriation and Equal Water Distribution rules. Results show that modern flow in the dry season is approximately 25 m3/s, whereas reconstructed natural flow during drought years declines to 10–18 m3/s, and about 15 m3/s after rainfall adjustment. Under the 20 mm/d demand scenario, scarcity occurred in four schemes (2 of 17 years in the third scheme and 7 of 17 years for the sixth scheme), while no scarcity occurred under the minimum-demand scenario (5 mm/d), even during low-flow conditions. This indicates that the available water in these schemes was at a level where drought damage could occur under extensive irrigation management, but could be avoided by intensive irrigation management to supply the minimum necessary water to all paddy fields. Full article
(This article belongs to the Section Water Use and Scarcity)
Show Figures

Figure 1

14 pages, 1260 KB  
Article
Assessment of the Effectiveness of Managing Ukraine’s Energy Transition: An Indicator Analysis and Comparison with Selected European Union Countries
by Kostiantyn Pavlov, Olena Pavlova, Mariia Holovchak, Marek Rutkowski, Veronika Karkovska, Artur Kornatka and Yurii Dziurakh
Energies 2026, 19(1), 150; https://doi.org/10.3390/en19010150 - 27 Dec 2025
Viewed by 498
Abstract
This study is dedicated to analysing Ukraine’s transition to utilising renewable energy sources within the broader context of European integration, the decarbonization process, and the challenges significantly intensified by the full-scale Russia-Ukraine war in 2022. The objective of this study is to assess [...] Read more.
This study is dedicated to analysing Ukraine’s transition to utilising renewable energy sources within the broader context of European integration, the decarbonization process, and the challenges significantly intensified by the full-scale Russia-Ukraine war in 2022. The objective of this study is to assess the effectiveness of managing Ukraine’s energy transition compared with selected European Union countries and to identify governance-related determinants of transition performance. The energy transition process is viewed as a cornerstone for ensuring national resilience, food security, and strategic post-war recovery planning. Despite significant growth rates in installed capacity, stimulated primarily by the implementation of green tariffs and foreign investments, Ukraine faces a range of systemic barriers. These include regulatory uncertainty, war-related infrastructure damage, and institutional fragility. To comprehensively assess managerial effectiveness, a comparative approach is employed, integrating data from the Energy Transition Index, the Worldwide Governance Indicators, and the Bertelsmann Transformation Index for the period 2015–2023. Within the scope of this research, a comparative analysis is conducted of Ukraine with Poland, Romania, and Slovakia, countries that share a post-socialist legacy and experience in European integration. The obtained results demonstrate that, although Ukraine exhibits a relatively high growth index for renewable energy development, at 54.56%, it significantly lags behind its regional partners in the parameters of quality of state governance, policy implementation consistency, and strategic coordination. It is concluded that managerial effectiveness, defined as the complex interplay between institutional capacity, policy stability, and implementation efficiency, is a decisive factor for the success of the energy transition. The research recommendations encompass enhancing regulatory transparency, strengthening strategic planning, and intensifying the attraction of international investments. Full article
(This article belongs to the Special Issue Advancements in Energy Economy and Finance)
Show Figures

Figure 1

20 pages, 329 KB  
Article
Comparative Analysis of Innovation Financing Mechanisms for Tech Startups: Evidence from Ethiopia, Kenya, and Uganda
by Wendewosen Ajeme Tuffa, Fetene Bogale Hunegnaw and Tsegaye Mulugeta Habtewold
J. Risk Financial Manag. 2026, 19(1), 1; https://doi.org/10.3390/jrfm19010001 - 19 Dec 2025
Viewed by 440
Abstract
In developing countries, technology-based startups (TBSs) play a vital role in driving innovation, and they significantly contribute to the generation of jobs and economic development. However, despite their importance, startups have a high failure rate worldwide, and a major contributing factor is a [...] Read more.
In developing countries, technology-based startups (TBSs) play a vital role in driving innovation, and they significantly contribute to the generation of jobs and economic development. However, despite their importance, startups have a high failure rate worldwide, and a major contributing factor is a lack of funding. The objective of this study is to compare the existing financing mechanisms in Ethiopia, Uganda, and Kenya and determine the relative position of Ethiopia in the financing landscape. This study was based on resource-based theory and signaling theory. A desk research methodology was employed, and a total of 70 sources were reviewed. The data sources include academic literature, publications from the World Bank, local reports, government policies of the three nations, articles published in reputable journals, and global database indexes. Articles were also selected based on their relevance to the research question and the credibility of the publication. The comparison was carried out based on identifying similarities and differences in economic indicators, the innovation performance of the countries, the innovation eco-system, the types of existing financing mechanisms in each country, and various government policies and initiatives. We also validated our findings by cross-checking information from multiple sources to avoid bias. The results reveal that Ethiopia is lagging behind in most of the parameters set for comparison, while its neighbors, Uganda and Kenya, have a relatively better status in general. Finally, this study has theoretical and practical implications. Full article
(This article belongs to the Section Financial Markets)
53 pages, 16068 KB  
Article
ESG Practices and Air Emissions Reduction in the Oil and Gas Industry: Empirical Evidence from Kazakhstan
by Ainagul Adambekova, Saken Kozhagulov, Vitaliy Salnikov, Jose Carlos Quadrado, Svetlana Polyakova, Rassima Salimbayeva, Aina Rysmagambetova, Gulnur Musralinova and Ainur Tanybayeva
Sustainability 2025, 17(24), 11317; https://doi.org/10.3390/su172411317 - 17 Dec 2025
Viewed by 479
Abstract
This study examines the impact of Environmental, Social, and Governance (ESG) strategies on reducing air pollution in the West Kazakhstan region, a major hub for Kazakhstan’s oil and gas industry. A spatial analysis of atmospheric emissions reveals an uneven distribution of emission sources, [...] Read more.
This study examines the impact of Environmental, Social, and Governance (ESG) strategies on reducing air pollution in the West Kazakhstan region, a major hub for Kazakhstan’s oil and gas industry. A spatial analysis of atmospheric emissions reveals an uneven distribution of emission sources, predominantly concentrated in the northern industrialized part of the region, where the Karachaganak oil and gas condensate field is located. The ESG model of Karachaganak Petroleum Operating b.v. (KPO), implemented as an integrated management system based on Global Reporting Initiative (GRI) standards, is compared with the ESG strategies of leading oil and gas companies in Kazakhstan and globally, aligning with current international research trends. The analysis underscores the interdependence of technological and social aspects in the transition to a low-carbon economy, confirming the importance of integrating the environmental, social, and governance components of ESG into a unified strategic planning framework for sustainable development. Using econometric modeling, the study establishes a relationship between ESG indicators and the reduction in atmospheric pollution and provides a forecast for emission reductions by 2030. The key measures proposed to improve regional air quality are linked to long-term decarbonization strategies within the context of the sustainable development of the entire region. The proposed algorithm for implementing ESG principles helps to identify the concentration of functions and associated risks at different management levels within Highly Polluting Enterprises (HPEs) and optimizes business processes by focusing efforts on air pollution mitigation. The findings are applicable to other countries, as oil and gas producers worldwide face a number of common air pollution challenges. Full article
(This article belongs to the Section Air, Climate Change and Sustainability)
Show Figures

Figure 1

23 pages, 1623 KB  
Article
An Empirical Case Study of Digital Government Transformation in Saudi Arabia
by Sara Alkorbi and Omer Alrwais
Information 2025, 16(12), 1110; https://doi.org/10.3390/info16121110 - 17 Dec 2025
Cited by 1 | Viewed by 1486
Abstract
Digital transformation has emerged as a key driver of modernization in the private and public sectors. In recent years, governments worldwide have turned to digital technologies to improve efficiency, reduce costs, and enhance citizen engagement. Saudi Arabia, through Vision 2030, launched one of [...] Read more.
Digital transformation has emerged as a key driver of modernization in the private and public sectors. In recent years, governments worldwide have turned to digital technologies to improve efficiency, reduce costs, and enhance citizen engagement. Saudi Arabia, through Vision 2030, launched one of the most ambitious national digital transformation programs, aiming to reposition the country as a leading digital government. The Saudi government initiated a wide range of digital initiatives across ministries, agencies, and public institutions—marking a critical period of structural, technological, and cultural change in the public sector. Despite the scale and significance of this transformation, academic research on Saudi Arabia’s DT efforts remains limited. Most available insights are derived from media reports, conference presentations, or informal commentary, with minimal empirical evaluation. This study addresses that gap by conducting a comprehensive qualitative case study to assess the progress, challenges, and outcomes of digital government transformation in Saudi Arabia during the 2017–2020 period. This research examines digital transformation in the public sector of an emerging economy. It highlights three essentials: institutional coordination, systems to track progress, and long-term investment in digital skills and infrastructure. The researcher interviewed staff from the digital unit and ministry teams, conducted fieldwork, and analyzed official documents and websites. The findings indicate substantial progress in digitizing public services and enhancing user access. However, persistent challenges remain, particularly in data integration, policy alignment, and inter-agency collaboration. Full article
Show Figures

Graphical abstract

21 pages, 3900 KB  
Article
Key Elements to Project and Realize a Network of Anti-Smog Cannons (ASC) to Protect Sensitive Receptors from Severe Air Pollution Episodes in Urban Environment
by Angelo Robotto, Cristina Bargero, Enrico Racca and Enrico Brizio
Air 2025, 3(4), 32; https://doi.org/10.3390/air3040032 - 1 Dec 2025
Cited by 1 | Viewed by 597
Abstract
When it rains or snows over a city, water droplets capture airborne pollutants and transport them to the ground. Prolonged precipitation over the same area can remove a larger amount of pollution; however, rainfall systems vary in duration and tend to move rapidly [...] Read more.
When it rains or snows over a city, water droplets capture airborne pollutants and transport them to the ground. Prolonged precipitation over the same area can remove a larger amount of pollution; however, rainfall systems vary in duration and tend to move rapidly across regions. Wet deposition sprinklers replicate this natural scavenging process. They can operate for extended periods as needed and can be installed at specific locations where pollution mitigation is most necessary. Despite encouraging experimental results and the widespread use of similar technologies in industrial sectors—such as mining, the construction industry, and waste management—very limited scientific research has focused on their application in urban environments. In particular, their use as an emergency measure during severe pollution episodes as a protective intervention for sensitive subjects, while awaiting the effects of long-term structural solutions, remain largely unexplored. In the present work, we systematically discuss the key elements required to design and implement a network of anti-smog cannons (ASC) to protect sensitive receptors from severe air pollution events in large cities. Based on this analysis, we established a generalized framework that can be applied to any urban context worldwide. We also examine the potential application of the proposed method to the city of Turin (≈850,000 inhabitants, north-western Italy), which is considered a representative case study for other cities in Western Europe. Our findings indicate that such a network is both technically feasible and economically sustainable for local government authorities. Full article
Show Figures

Figure 1

Back to TopTop