Abstract
Amidst resource and environmental pressures, as well as the demands for sustainable development, coordinating economic growth with resource and environmental conservation has become a common challenge for nations worldwide. This study focuses on the synergistic relationship between high-quality development (HQD) and high-level protection (HLP), using Jiangsu Province as an empirical case. Through the integrated application of the coupling coordination degree model, kernel density estimation, the grey relational model, and convergence analysis, it systematically evaluates the spatiotemporal patterns, influencing factors, and evolution of regional disparities in the coupling coordination between HQD and HLP in Jiangsu from 2000 to 2023. The results indicate that the following: (1) The provincial coupling coordination level improved from 0.384 to 0.596, marking a transition from imbalance to coordination. (2) Spatially, a gradient pattern of “stronger south, weaker north” emerged, with Southern Jiangsu leading in coordination levels but exhibiting significant internal differentiation, while Northern and Central Jiangsu lagged behind yet demonstrated catch-up potential. (3) The driving mechanisms vary across regions: innovation and market forces are the primary drivers in Southern Jiangsu, whereas traditional industrial cities in Northern Jiangsu remain constrained by ecological and environmental governance. (4) The coordination levels across the province, as well as in Northern and Central Jiangsu, are tending toward convergence, with regional disparities gradually narrowing. Southern Jiangsu has entered a relatively balanced development stage. This study expands the theoretical connotation of the synergy between HQD and HLP from the perspective of natural resources, providing theoretical guidance and scientific evidence for balancing economic development with resource and environmental conservation.
1. Introduction
Since the Industrial Revolution, the traditional modernization pathway—built upon high consumption of natural resources and high pollution of the ecological environment—has generated tremendous material wealth while simultaneously giving rise to global ecological crises such as climate change, resource depletion, environmental pollution, and biodiversity loss [1]. This “pollute first, treat later” development model is founded on significant ecological misconceptions and severely constrains the achievement of sustainable development goals for human society. According to the Global Resources Outlook 2024 report released by the United Nations Environment Programme (UNEP), global per capita resource demand has risen from 8.4 tonnes in 1970 to 13.2 tonnes in 2024. Over the past 50 years, the planet’s resource consumption has more than tripled. It is projected that by 2060, resource use will increase by 60% compared to 2020 [2]. Such an unsustainable development model will have catastrophic impacts on Earth’s ecosystems. Consequently, addressing the fundamental conflict between the traditional industrialization model and the actual carrying capacity of resources and the environment, and achieving high-quality socioeconomic development alongside high-level protection of resources and the environment have become an epochal challenge that all countries must confront. In response to this global dilemma, nations worldwide are actively exploring pathways for transformation. From Europe’s European Green Deal to global carbon neutrality commitments, these initiatives signify a profound shift in global development philosophy [3,4].
As the world’s largest developing country, China has accomplished in mere decades an industrialization journey that took developed nations centuries. While creating a miracle in human development, this rapid progress has also accrued substantial ecological and environmental debts, which have become major factors severely impeding high-quality economic development, endangering public health, and undermining social stability [5,6]. If developing countries, represented by China, were to replicate the high-energy-consumption, high-emission industrialization path previously taken by developed nations, it would require the fossil fuel resources and environmental space equivalent to at least three Earths [7]. In light of this, the Chinese government has been proactively exploring sustainable development pathways that harmonize economic growth with resource and environmental conservation. In 2023, China proposed the synergistic strategy of high-quality development and high-level protection, aiming to identify a scientific approach to resolve the fundamental conflict between industrial development patterns and resource-environmental carrying capacity [8,9]. This provides an important Chinese solution and a practical field for the world, particularly for developing countries, on how to balance economic development and environmental protection.
Balancing economic development with resource and environmental conservation is currently a complex and urgent global challenge. In academic research, this is specifically manifested as the exploration of the relationship between economic growth and resource-environmental carrying capacity. Early theories such as the Malthusian Trap and The Limits to Growth expressed pessimistic expectations regarding sustained economic growth under finite resource conditions [10,11]. Subsequently, Grossman and Krueger proposed the Environmental Kuznets Curve (EKC) hypothesis, depicting an inverted U-shaped relationship between economic growth and environmental pollution. This countered traditional limits-to-growth arguments and endorsed the optimistic trajectory of “pollute first, treat later” [12,13,14]. However, the inherent flaws and limited applicability of this theory have remained subjects of debate. On the one hand, the EKC hypothesis emphasizes a unidirectional causal relationship where economic growth induces changes in resources and the environment, overlooking the feedback loop from environmental quality to economic activities. This unidirectional assumption implicitly suggests a temporal trade-off between economic development and environmental protection, neglecting potential synergistic and interactive dynamics. On the other hand, a substantial proportion of the literature demonstrates that EKC results are highly sensitive to model specifications, and the income-environment relationship exhibits significant heterogeneity across different regions and institutional contexts, making it difficult to serve as a universal framework for explaining global or cross-regional environmental issues [15,16]. In response to these theoretical limitations, scholars from various countries and regions have turned to more diverse and complex theoretical perspectives to re-examine the relationship between economic development and environmental protection. Academic circles in the United States often rely on theories such as environmental economics and steady-state economics, criticizing the unidirectional linear logic that economic growth automatically improves the resource environment. They emphasize the need for proactive regulatory measures, such as technological innovation and policy intervention, to establish synergistic evolutionary mechanisms between economic growth and environmental quality, ultimately achieving the core objective of sustainable development [17,18]. European scholars, centred on green political thought and incorporating environmental citizenship theory and ecological modernization theory, focus on the role of Green politics in promoting a balance between economic development and environmental protection. They argue that synergy must originate from public demand for environmental conservation and that ecological goals must be translated into feasible policies through political forces [19,20]. Other studies have explored tailored pathways for coordinating development and protection within international organizations such as BRICS countries, the G7, the G20, and ASEAN nations, emphasizing that such coordination must be closely aligned with regional development stages and resource endowments, requiring targeted and differentiated strategies [21,22,23,24]. While introducing Western theories, Chinese scholars closely integrate them with China’s unique institutional context and development stage. Using the “Two Mountains Theory” and the concept of “high-quality development” proposed by the Chinese government as core guidance, they systematically investigate the synergistic benefits and internal driving mechanisms of high-quality economic development and high-level protection from multiple scales—national, river basin, and provincial. This provides robust theoretical support and empirical evidence for analyzing the synergistic relationship between economic development and environmental protection within the Chinese context [25,26,27,28,29].
In summary, although scholars both domestically and internationally have achieved substantial progress in exploring the coupling and coordination relationship between economic development and environmental protection, certain limitations remain. First, when dissecting the relationship between development and protection, existing studies often define the concept of “protection” narrowly as ecological environmental protection. Rarely do they approach the issue from the perspective of natural resources to construct a synergistic relationship between economic development and resource environmental protection. Moreover, they generally fail to further distinguish the different mechanisms underlying protective behaviours, thus hindering a scientific revelation of the inherent contradiction between economic development and sustainable resource utilization. Second, most research remains limited to simple temporal descriptions and mechanistic analyses, neglecting a scientific examination of long-term development trends, which results in a lack of foresight in the conclusions drawn. Finally, existing studies tend to focus on macro-level scales or single-type regions, with little dedicated attention to Jiangsu—a province characterized by advanced economic development, prominent resource constraints, and distinct internal development gradients. This makes it difficult to accurately reveal the differentiated evolutionary pathways and underlying driving mechanisms for the coordination between HQD and HLP among cities at different development stages within economically developed provinces.
Therefore, this study introduces the following improvements:
- (1)
- The concept of HLP is anchored in the protection and sustainable utilization of natural resource endowments. An indicator system is constructed from the two dimensions of bottom-line constraint protection and market incentive protection to achieve a precise definition of the protection connotation.
- (2)
- Convergence analysis is introduced to reveal the long-term evolutionary trends in the coupling and coordination relationship between regional HQD and HLP, thereby establishing a comprehensive research framework that extends from descriptive analysis to trend prediction.
- (3)
- The study focuses on Jiangsu Province, an economically developed region with prominent resource constraint contradictions, and conducts empirical research at the sub-regional level. Targeted and differentiated regulatory recommendations are proposed, providing empirical references for similar regions.
2. Theoretical Framework
In response to new situations and challenges in China’s economic development and resource environmental protection, the Chinese government proposed a development strategy in 2023 to synergistically advance HQD and HLP. Among these, HQD breaks through the limitations of GDP-centric national economic accounting and evaluation systems, achieving a profound theoretical innovation in the understanding of economic development quality. HQD requires innovation to serve as the primary driving force, coordination as an inherent feature, green development as a common practice, openness as the essential path, and shared benefits as the fundamental goal [30,31]. HLP, on the other hand, emphasizes an eco-prioritized, resource-efficient, intensive, green, and low-carbon development philosophy [32,33]. From the perspective of intensive natural resource utilization, HLP aims fundamentally to preserve the core ecological functions of natural resources and ensure the sustainable provision of ecosystem services. It involves comprehensive, systematic, and forward-looking governance strategies to implement all-encompassing, whole-process, and full-coverage protection, restoration, and enhancement of natural resources. Based on the functional positioning of the government and the market, this study deconstructs HLP into two dimensions. The first is government-led bottom-line constraint protection, which emphasizes establishing lower limits for natural resource protection through laws, red lines, standards, and quotas, characterized by mandatory, rigorous, and binding measures. The second is market-led incentive-based protection, which emphasizes mobilizing market participants to engage in natural resource protection through economic incentives, characterized by incentivizing, transactional, and voluntary features. Bottom-line constraint protection represents the core manifestation of a “well-functioning government” in the protection and utilization of natural resources. Its underlying logic is that market mechanisms may fail in the natural resource sector, making it impossible to achieve natural resource protection automatically. Therefore, it is essential to rely on the “visible hand” of an enabling government to establish mandatory and binding institutional arrangements that delineate inviolable bottom lines for all development activities, thereby ensuring national resource security. This can be further subdivided into quantitative bottom-line protection and qualitative bottom-line protection. The former emphasizes quantitative constraints on natural resource types such as land and forests, ensuring that their fundamental scale and area do not diminish—addressing the question of “how much to protect.” The latter focuses on ensuring that the functions and health of natural resources do not deteriorate—addressing the question of “what state to protect.” Incentive-based protection reflects the core role of an “efficient market” in the protection and utilization of natural resources. Its underlying logic is that government mechanisms may also fail in the natural resource sector. Ineffective government interventions may fail to meet the practical needs of natural resource protection, while excessive interventions may disrupt the functioning of market mechanisms. Therefore, it is necessary to rely on the “invisible hand” of an efficient market to compensate for the shortcomings of government intervention mechanisms. Under the condition of clearly defined property rights for natural resource assets, natural resource stocks can be transformed into incremental natural resource capital. Through market-oriented operations, their value can be realized, and the resulting benefits can, in turn, support ecological construction, achieving a virtuous cycle of natural resource utilization and protection. Examples include developing eco-tourism, health and wellness industries, and implementing eco-environment-oriented development models to establish long-term mechanisms that foster a positive cycle of development and protection.
HQD and HLP are not a zero-sum game, but rather a synergistic relationship of mutual complementarity and harmonious coexistence (Figure 1). First and foremost, HLP serves as a precondition for achieving HQD. On the one hand, as the core provider of public goods and services, the government must establish and improve a rigorous institutional system for the protection and utilization of natural resources. Centering on the dual constraints of quantitative and qualitative bottom lines, it should delineate the non-negotiable rigid boundaries for natural resource protection, ultimately realizing the organic unity of multi-dimensional securities including food security, ecological security, and energy security, and thus providing stable and sustainable guarantees of production factors for HQD. On the other hand, while pursuing their own interests, market entities should also take into account corresponding social responsibilities and public interests. It is imperative to give full play to the decisive role of the market in resource allocation. Through market mechanisms featuring clear property rights and free transactions, limited natural resources are directed to high-efficiency and high-value-added fields. Market entities are incentivized to integrate green innovation into the entire production chain, thereby realizing the efficient empowerment and intensive utilization of natural resources and injecting sustained impetus into the high-quality socio-economic development.
Figure 1.
Synergy mechanism between HQD and HLP.
Secondly, HLP cannot be separated from the feedback support of HQD. By means of systematic empowerment in five dimensions—innovation-driven development, coordinated progress, green development, openness and inclusiveness, and shared harmony—HQD provides an all-round, multi-level and sustainable support system for the high-level protection of resources and the environment. Innovation injects a precise and efficient core driving force into HLP through technological R&D, institutional improvement, and digital management. Coordination focuses on the current status of unbalanced regional development and differences in resource endowments; by reshaping the spatial pattern and balancing interest relations, it equalizes the responsibilities, rights, and development interests of resource and environmental protection across different regions. Green development consolidates the ecological foundation for HLP by promoting green production and lifestyles and strengthening the integrated restoration of ecosystems. Openness expands the practical boundaries of HLP through deepening international cooperation in protection, introducing advanced experience, and exporting Chinese solutions. Sharing pools social synergy for HLP by relying on the inclusive supply of ecological products and benefit-sharing mechanisms. All elements of the two systems—HQD and HLP—interact with and support each other, jointly forming a positive circular development mechanism of “development-protection-development”.
3. Materials and Methods
3.1. Study Area and Date Sources
Jiangsu Province is located in the eastern coastal region of China and is one of the country’s most densely populated and economically vibrant provinces (Figure 2). Its regional gross domestic product has long ranked second in China, while its per capita GDP ranks third, following only Beijing and Shanghai. Administratively, Jiangsu comprises 13 prefecture-level cities, which can be divided into three regions—Northern Jiangsu, Central Jiangsu, and Southern Jiangsu—based on gradients in regional economic development. The province covers a total land area of 107,200 square kilometres, with a land development intensity exceeding 22%. The per capita cultivated land area is only 0.048 hectares, merely 50% of the national average, while the per capita local water resources amount to only 20% of the national average [34,35]. Jiangsu also faces a scarcity of energy and mineral resources, highlighting the acute contradiction between economic development and resource conservation. The pronounced internal developmental disparities and constrained natural resource endowments in Jiangsu dictate that its pursuit of HQD must be grounded in the efficient and intensive utilization of natural resources and the rigorous protection of ecosystems. Therefore, analyzing the coupling and coordination characteristics between HQD and HLP in Jiangsu holds significant theoretical value and practical relevance for resolving the dilemma between development and conservation faced by economically developed regions. The findings of this study can also provide important empirical evidence and theoretical insights for China and other developing countries in coordinating economic development with natural resource conservation. The socio-economic data used in this study are primarily sourced from the China City Statistical Yearbook and the Jiangsu Statistical Yearbook. Various natural resource data are derived from the 30 m resolution Chinese Land Cover Dataset (CLCD) produced by Wuhan University. Relevant data from the Statistical Communiqué of China’s National Economic and Social Development serve as supplementary sources. For missing data in specific years, the interpolation method is applied to ensure completeness. All data cover the research period from 2000 to 2023.
Figure 2.
Study area. (a) The location of Jiangsu in China; (b) the boundaries of Jiangsu Province; (c) the locations of northern Jiangsu, central Jiangsu, and southern Jiangsu.
3.2. Research Framework
This study takes Jiangsu Province as the research subject. Firstly, an evaluation index system for HQD is constructed from five dimensions: innovation, coordination, green, openness, and sharing. An evaluation index system for HLP is established from two dimensions: bottom-line constraint protection and market incentive protection. The coupling coordination degree model and three-dimensional kernel density estimation are employed to assess the synergistic development status and temporal evolution characteristics of HQD and HLP in Jiangsu Province. Secondly, the grey relational analysis model is applied to analyze the main factors influencing the coordination level between HQD and HLP in Jiangsu Province. Finally, convergence analysis is utilized to systematically reveal the intrinsic evolution patterns of regional disparities in the synergistic level of HQD and HLP in Jiangsu Province, providing forward-looking decision support for implementing differentiated regional regulation strategies (Figure 3).
Figure 3.
Research framework.
3.3. Methods
3.3.1. Construction of the Indicator System for HQD and HLP
Based on the interpretation of the concepts of HQD and HLP, and referencing previous research findings [36,37], this paper constructs an evaluation system for HQD in Jiangsu Province, consisting of 15 indicators across five dimensions: innovation, coordination, green, openness, and sharing. From the two dimensions of bottom-line constraint protection and market-incentive protection, and focusing on the intensive utilization and conservation of natural resources, it further establishes an evaluation system for HLP in Jiangsu Province, comprising 7 indicators (Table 1). To eliminate dimensional differences among the indicators, all raw data were standardized. Using the entropy weight-TOPSIS method for weighting, the levels of HQD and HLP in Jiangsu Province were ultimately determined.
Table 1.
Indicator system for HQD and HLP.
3.3.2. Coupling Coordination Degree Model
This study utilizes the coupling coordination degree model from physics to quantitatively measure the coupling coordination degree between HQD and HLP in Jiangsu Province. A higher coupling coordination degree indicates a higher level of coordinated development between the two systems, and vice versa [38,39]. The formulas are as follows:
In the formula, C represents the coupling degree, T denotes the comprehensive coordination index of the two systems, D stands for the coupling coordination degree, λ is the relative development index, α and β are undetermined coefficients, in this study, α and β represent the relative importance of HQD and HLP. Given that both are deemed to hold equally important strategic positions in sustainable development, the values of both α and β are set at 0.5. U1 and U2 represent the composite indices of HQD and HLP, respectively. The D value ranges between 0 and 1, with a higher D value indicating better coupling coordination between the two systems, and vice versa. Drawing on existing research, this study classifies the types of coupling coordination development based on the results of the coupling coordination degree and relative development degree (Table 2). When the λ value is between 0 and 0.9, it is classified as high-quality development lagging; when the λ value is between 0.9 and 1.1, it is classified as basic synchronization; and when the λ value exceeds 1.1, it is classified as high-level protection lagging.
Table 2.
Criteria for classifying coupling coordination levels.
3.3.3. Kernel Density Estimation
Kernel Density Estimation can directly estimate the probability distribution of random variables based on given data samples [40,41]. This study employs the Kernel Density Estimation method to analyze the spatio-temporal evolution of the coupling coordination degree between HQD and HLP in Jiangsu Province. The formula is as follows:
In the formula, represents the kernel density value, denotes the coupling coordination degree between HQD and HLP, is the mean value of the coupling coordination degree, indicates the number of cities, and stands for the bandwidth. In this study, Silverman’s rule of thumb is adopted to determine the optimal bandwidth for each dataset. To facilitate regional comparison, a unified bandwidth of 0.03 is employed for the comparative analysis.
3.3.4. Grey Relational Model
To explore the main influencing factors affecting the coupling coordination between HQD and HLP in Jiangsu Province, this study employs the Grey Relational Model. The coupling coordination degree of each city is treated as the reference sequence, while the evaluation indicators for HQD and HLP are regarded as characteristic sequences. By measuring the degree of association between the reference sequence and each characteristic sequence, key driving factors are identified. The formula for calculating the relational coefficient between the reference sequence and the characteristic sequence at time t is as follows:
In the formula, represents the relational coefficient between the reference sequence and the characteristic sequence at time , reflecting the closeness of their association at that moment. denotes the ith sample value of the reference sequence at time , and denotes the jth sample value of the characteristic sequence at time . denotes the resolution coefficient, which serves to mitigate the interference of extreme values on the correlation degree. In line with the commonly adopted value in academic circles, this study sets to 0.5. This value is a widely used benchmark in grey correlation analysis, which can ensure sufficient resolution while guaranteeing good robustness of the model and comparability of the results. represents the grey correlation degree between the parent sequence and the characteristic sequence; the closer its value is to 1, the stronger the driving effect of the corresponding characteristic indicator on the coupling coordination degree [42,43].
3.3.5. Convergence Analysis
To investigate the evolution trend of regional disparities in the coupling coordination degree between HQD and HLP across cities in Jiangsu Province, this study conducts convergence analysis from three dimensions: σ-convergence, absolute β-convergence, and conditional β-convergence [44,45].
- (1)
- σ-Convergence
σ-convergence reflects the trend of changes in the dispersion of coupling coordination degrees among regions over time. If the dispersion of coupling coordination degrees between regions decreases over time, σ-convergence is considered to exist. This study adopts the coefficient of variation (CV) as the indicator for σ-convergence, with the formula provided below.
In the formula, σ represents the coefficient of variation, i.e., the σ-convergence coefficient. denotes the number of cities. refers to the coupling coordination degree between HQD and HLP for the ith city at time . is the mean value of the coordination degree.
- (2)
- Absolute β-Convergence
Absolute β-convergence assumes no heterogeneity among regions, where cities with initially lower coupling coordination degrees experience faster growth rates, ultimately converging to the same steady-state level. The model is specified as follows.
In the formula: T represents the time span. and denote the coupling coordination degree of the ith city at the initial and final periods, respectively. is the constant term. is the convergence coefficient. If < 0 and is statistically significant, absolute β-convergence exists. is the random disturbance term.
- (3)
- Conditional β-Convergence
Conditional β-convergence takes regional heterogeneity into account. By incorporating control variables into the absolute β-convergence model, it measures the convergence trend of cities under their own conditional constraints. The model is specified as follows.
In the formula, represents the kth control variable for the ith city, denotes the coefficient of the kth control variable, The meanings of the remaining parameters are consistent with those in the absolute β-convergence model.
4. Results
4.1. Analysis of the Coupling Coordination Results of HQD and HLP
4.1.1. Analysis of the Levels of HQD and HLP
From a provincial perspective in Jiangsu, during the period from 2000 to 2023, the level of HQD increased from 0.114 to 0.308, while the level of HLP rose from 0.191 to 0.414 (Figure 4). Both dimensions exhibited a sustained growth trend, with HLP consistently outperforming HQD. This reflects that over the past 24 years, Jiangsu has not only continuously improved the quality of its economy but also made positive progress in ecological and environmental governance, and a sustainable development pattern is steadily taking shape. From a regional perspective, the HQD and HLP levels in Northern Jiangsu, Central Jiangsu, and Southern Jiangsu showed obvious gradient differences, presenting a distinct regional development pattern characterized by “strength in the south and weakness in the north [46,47]”. During the study period, the HQD and HLP levels in Northern Jiangsu increased from 0.056 and 0.195 to 0.200 and 0.425 respectively, both demonstrating an orderly upward development trend. However, there remained a significant gap compared with Central and Southern Jiangsu, and the HQD and HLP levels of cities such as Xuzhou and Lianyungang have long remained below the provincial average. In Central Jiangsu, the HQD and HLP levels increased from 0.082 and 0.121 to 0.239 and 0.363 respectively. Among these, Nantong took a leading position in the field of HQD, while Yangzhou performed well in HLP and has long been above the provincial average. In Southern Jiangsu, the corresponding levels grew from 0.191 and 0.229 to 0.458 and 0.434 respectively. Specifically, the HQD levels of Nanjing and Suzhou were significantly ahead of other cities in the province. Nevertheless, Suzhou’s HLP capacity was relatively weak, reaching only 0.353 in 2023, which failed to meet the provincial average. In addition, starting from 2020, affected by the lingering impacts of the COVID-19 pandemic, the progress of HLP in Jiangsu was significantly disrupted, resulting in a phased decline.
Figure 4.
Measurement results of HQD and HLP in Jiangsu Province.
Based on the above results, it can be concluded that there exists a distinct development lag among different regions in Jiangsu Province. Northern Jiangsu embarked on urbanization relatively late, featuring a simplistic industrial structure with traditional agriculture and resource-dependent industries as the mainstay of its early-stage development. Despite vigorous efforts in recent years to advance the transformation and upgrading of traditional industries, Northern Jiangsu still lags significantly behind Central and Southern Jiangsu in terms of development stage, constrained by multiple pressures such as insufficient innovation factors and path dependence. In terms of HLP, Northern Jiangsu has consistently kept pace with the provincial average and even outperformed Central Jiangsu. As a concentration area of green resources in Jiangsu, Northern Jiangsu boasts favourable natural background conditions, including extensive ecological space and low development intensity, which endow it with a slight advantage over Central Jiangsu in alleviating the pressure on resource and environmental carrying capacity [48,49].
The HQD level of Central Jiangsu falls between that of Northern and Southern Jiangsu; although marginally higher than Northern Jiangsu, it still fails to reach the provincial average. Represented by Nantong, Yangzhou and Taizhou, Central Jiangsu relies on industries such as shipbuilding and marine engineering, high-end equipment manufacturing, and biomedicine, respectively, initially forming a regional industrial pattern characterized by modern manufacturing. However, hampered by structural bottlenecks including high barriers to factor flow and low efficiency of innovation output, the industrial synergy effect of Central Jiangsu remains consistently weaker than that of the Southern Jiangsu urban agglomeration. Notably, Central Jiangsu ranks the lowest among the three major regions in terms of HLP level throughout the study period. This development pattern stems from the unique constraints of its development stage and the pressure of environmental governance. On the one hand, unlike Northern Jiangsu, Central Jiangsu lacks the environmental capacity redundancy to support extensive development. On the other hand, Central Jiangsu is still in the middle and late stages of industrialization, with its industrial structure dominated by high-emission and high-energy-consuming manufacturing sectors. Consequently, its pollution emission intensity and the extensiveness of resource consumption are significantly higher than those of Southern Jiangsu, which has entered the post-industrialization stage. Under the combined effect of these multiple factors, Central Jiangsu’s HLP has long been trapped in a low-level bottleneck with a sluggish improvement rate, forming a development pattern unique to its middle and late industrialization phase. As the core region of the Yangtze River Delta, Southern Jiangsu has achieved in-depth industrial restructuring in the process of transitioning into the post-industrialization stage, leveraging its advanced economic system, modern industrial structure, and leading-edge green technologies and innovation capabilities [50,51]. Its HQD and HLP levels have not only maintained a leading position for a long time but also exhibited a synergistic improvement trend characterized by the resonance of the two systems. Over the past 24 years, Southern Jiangsu’s HQD level has significantly outperformed that of Northern and Central Jiangsu, fostering a sustainable development pattern where economic development and resource-environmental protection are promoted in a coordinated manner.
4.1.2. Analysis of the Coupling Coordination Between HQD and HLP
From 2000 to 2023, the coupling coordination level between HQD and HLP in Jiangsu Province presented a phased leap, rising from 0.384 to 0.596 (Figure 5 and Figure 6). This not only realized a qualitative shift from imbalance to coordination, but also reflected the continuous refinement of Jiangsu’s synergy mechanism between development and protection. From a regional perspective, the coupling coordination relationship between HQD and HLP in Northern Jiangsu exhibited a two-stage evolution. During the period from 2000 to 2006, it remained in a state of imbalance, with the coordination value increasing slightly from 0.354 to 0.386. After 2007, Northern Jiangsu entered the coordination stage, where the coordination value climbed from 0.427 to 0.557. Central Jiangsu also stayed in the imbalance stage from 2000 to 2006, with its coordination value growing from 0.317 to 0.380, and officially stepped into the basic coordination stage in 2007. After 2016, its coupling coordination value exceeded 0.5, advancing to the moderate coordination development stage. The evolution trend of coupling coordination in Central Jiangsu was basically consistent with that in Northern Jiangsu, with Central Jiangsu slightly lagging behind the latter. In contrast, Southern Jiangsu maintained a coordinated state throughout the past 24 years. During 2000–2007, its coordination value rose from 0.455 to 0.492, falling into the basic coordination stage. Notably, there existed significant gradient disparities within the region. Core cities such as Suzhou had already entered the moderate coordination stage as early as 2000, becoming the first batch of cities in Jiangsu to achieve such a status, while cities like Changzhou and Zhenjiang were relatively backward, indicating the presence of unbalanced development within Southern Jiangsu as well. After 2008, Southern Jiangsu witnessed a marked enhancement in development momentum and presented a phased leap, with its coordination value surging from 0.508 to 0.664. Among these cities, Suzhou took the lead in making a breakthrough in 2017, becoming the first to enter the high coordination stage and establishing itself as a regional benchmark for the coordinated promotion of HQD and HLP. This achievement further embodied its systematic breakthroughs in industrial upgrading, innovation-driven development, and in-depth integration into regional integration.
Figure 5.
Coupling coordination degree between HQD and HLP in Jiangsu Province.
Figure 6.
Spatial distribution of coupling coordination between HQD and HLP in Jiangsu Province. (a–f) Spatial distributions for the years 2000, 2005, 2010, 2015, 2020, and 2023.
In terms of development degree, the relative development degree of Jiangsu Province increased from 0.597 to 0.744 over the past 24 years, remaining in the stage of DL (Table 3). This reveals the structural characteristics of Jiangsu’s transformation: environmental regulation and ecological investment take effect relatively quickly, whereas the green transformation of the economic system requires a longer cycle of industrial restructuring and technological innovation. From a regional perspective, both Northern Jiangsu and Central Jiangsu also stayed in the stage of DL during the study period. In contrast, Southern Jiangsu officially entered the BS stage between HQD and HLP in 2022. This indicates that, relying on its solid industrial foundation and innovation capabilities, Southern Jiangsu has taken the lead in crossing the transformation threshold and achieved a dynamic balance between protection and development. On the other hand, Northern and Central Jiangsu are still in the stage where HQD is catching up with HLP, which reflects the relative lag in the transformation of their development momentum.
Table 3.
Coordinated development status and general development status of the 13 cities in Jiangsu Province.
4.2. Temporal Evolution Characteristics of the CCD Between HQD and HLP
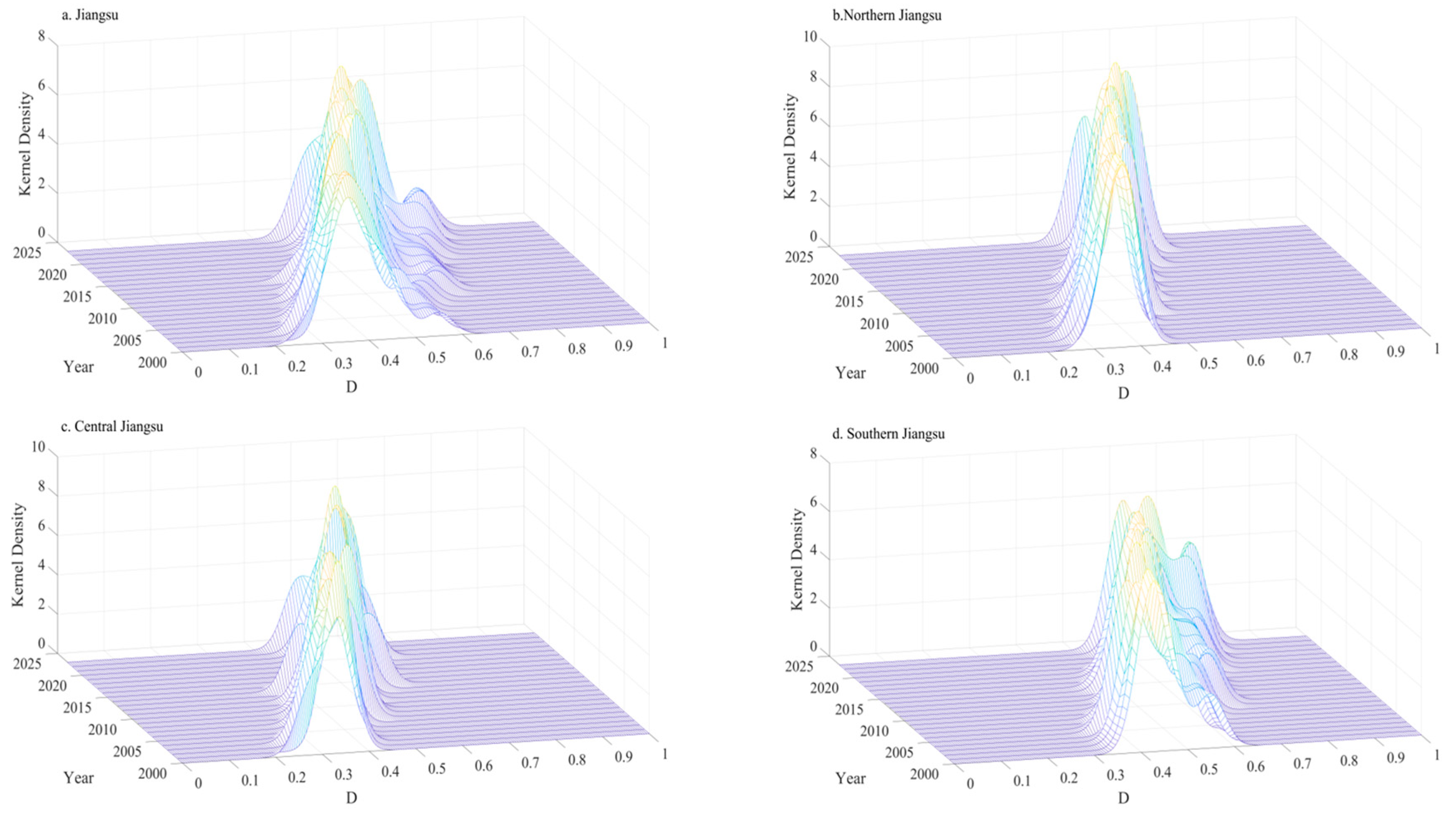
By combining the evolution characteristics of the kernel density of coupling coordination degree between HQD and HLP in Jiangsu Province as a whole and its three major regions—Northern Jiangsu, Central Jiangsu and Southern Jiangsu—we can observe the phased changes and regional differences in the coordination level of each region (Figure 7). In terms of distribution position, the kernel density curves of Jiangsu Province and its three major regions all show a rightward shift trend, indicating that the coupling coordination level between HQD and HLP across Jiangsu has been continuously improving during the period from 2000 to 2023. In terms of distribution pattern, in the early stage, the whole province and the three regions all presented a highly concentrated single sharp peak pattern, reflecting the low-level homogenization characteristics of coordination values. In the later stage, Central Jiangsu maintained a relatively concentrated single broad peak structure, with a highly consistent internal coordinated development rhythm. Northern Jiangsu evolved from a single sharp peak to a broad peak without secondary peaks, with all regions achieving synchronous improvement and weak differentiation. The province as a whole exhibited a moderate differentiation trend characterized by a broad peak superimposed with multiple small peaks. Southern Jiangsu, by contrast, gradually split from a single peak into multiple independent peaks, forming a multi-level structure with medium, high and extremely high coordination values, and thus became the region with the most significant differentiation.
Figure 7.
Kernel density curves of HQD-HLP coupling coordination in Jiangsu Province. (a–d) The kernel density curves for Jiangsu Province, Northern Jiangsu, Central Jiangsu, and Southern Jiangsu, respectively.
In terms of distribution extensibility, in the early stage, there was no significant tailing effect in the whole province and the three regions; the kernel density curves concentrated and converged in the low coordination interval, failing to extend effectively to the high and low value intervals. In the later stage, the tailing characteristics showed significant differentiation. Central Jiangsu always had no obvious tailing, with the two ends of the curve narrowing rapidly and no substantial extension trend observed. Northern Jiangsu formed a short and shallow tail, extending only slightly to the medium coordination interval with low tail density. The whole province presented a medium-length tail with a clear coverage interval, extending to the medium-high coordination interval with moderate tail thickness. Southern Jiangsu developed a long and thick tail, continuously extending to the extremely high coordination interval with high tail density, making it the only region with a significant high-value tail effect, where the coordination values demonstrated the most prominent dispersion and high-value breakthrough capacity.
In terms of distribution polarization characteristics, in the early stage, the whole province and the three regions all exhibited a high degree of polarization; the kernel density curves concentrated and converged in the low coordination interval, with a high level of homogenization in the coordination level within each region and no obvious differentiation. In the later stage, the polarization characteristics differentiated significantly. At the provincial level, the degree of polarization showed a steady phased decline, shifting from high concentration to moderate dispersion, with a gradual improvement in overall balance, which is a comprehensive manifestation of the superposition of differences among the three major regions. In Northern Jiangsu, the degree of polarization weakened moderately and gradually, with coordination values increasing synchronously to the medium level and the internal differentiation remaining relatively controllable. Central Jiangsu maintained a consistently high degree of polarization, with the curve continuing to concentrate, a highly consistent internal coordinated development rhythm, and the lowest degree of differentiation among the three regions. Southern Jiangsu witnessed the most significant weakening in polarization, with coordination values differentiating into multiple levels and forming a diversified coordination level structure, resulting in the most prominent internal differences among the three major regions.
4.3. Analysis of Influencing Factors of the Coupling and Coordination Between HQD and HLP
This study employs the grey relational model to identify key factors influencing the synergy between HQD and HLP in Jiangsu (Figure 8). From the results of grey correlation identification, among the first-level indicators, the market incentive-based protection dimension exhibits the highest correlation level with the coupling coordination degree of each city, with correlation indices exceeding 0.66 across all 13 cities, while the coordinated development dimension and the bottom-line constraint protection dimension show relatively low correlation degrees, the correlation indices in all 13 cities remained below 0.66. This indicates that market incentive tools currently serve as the core support for cities in Jiangsu to advance the synergy between HQD and HLP. Within the innovation dimension, the number of patents granted (X1) emerges as the secondary indicator with the highest correlation degree, with correlation indices surpassing 0.8 in cities such as Suzhou and Wuxi. This demonstrates that the development model of cities in Jiangsu has shifted toward an innovation- and knowledge-driven paradigm. Through technological innovation and the enhancement of social capital, their HQD proactively provides solutions and impetus for HLP, forming a virtuous circle of “promoting protection through development”. In traditional industrial cities in Northern Jiangsu, such as Xuzhou and Lianyungang, indicators including the green coverage rate in built-up areas (X7) and the harmless treatment rate of domestic waste (X8) show relatively high correlation degrees, the correlation indices all exceeded 0.72. This correlation reflects the phased achievements of these cities’ comprehensive policies and overall emphasis on ecological and environmental construction during the process of development transformation. Furthermore, it is worth noting that as the only coastal cities in Jiangsu, Lianyungang, Nantong and Yancheng exhibit high correlation degrees for openness-related indicators such as the number of foreign-invested enterprises (X10) and the actually utilized foreign capital (X11), the correlation indices all exceeded 0.60. This indicates that these three cities have formed a distinct trend of synergistic improvement in the development of an open economy. Such high correlation highlights that their coastal location advantages are being systematically transformed into tangible development outcomes, becoming a major driving force for the regional open economy.
Figure 8.
Influencing factors of HQD-HLP coupling coordination in Jiangsu’s 13 cities.
4.4. Analysis of the Coupling and Coordination Convergence Between HQD and HLP
4.4.1. σ-Convergence Analysis
This study employs the coefficient of variation (CV) to measure the changing trend of the coordination between HQD and HLP in Jiangsu Province from 2000 to 2023 (Figure 9). The specific trend is illustrated in the corresponding figure. Regarding the evolutionary trend, the CV for the HQD-HLP coordination in Jiangsu Province overall shows a process of slow decline with minor fluctuations. The CV decreased from 0.19 in 2000 to 0.13 in 2023, representing an overall reduction of 31.58%. This indicates that the regional disparity in the HQD-HLP coordination level has been gradually narrowing, demonstrating clear σ-convergence.
Figure 9.
Analysis of σ-convergence in the coupling coordination between HQD and HLP across Jiangsu Province and its subregions.
From a regional perspective, the internal differences in Southern Jiangsu were the most stable, with its coefficient of variation fluctuating slightly between 0.08 and 0.13. The coefficient of variation in 2023 remained the same as that in 2000, both standing at 0.12, indicating no obvious convergence or divergence trend. The coefficient of variation in Central Jiangsu fluctuated drastically, dropping from 0.12 to 0.09 and peaking at 0.16 in 2014, with an overall decrease of 25%, showing a significant yet unstable convergence trend. In Northern Jiangsu, the coefficient of variation rose in a fluctuating pattern from 0.07 to 0.09, an increase of 28.57%, making it the only region exhibiting the characteristic of σ-divergence. This indicates that the gap in the HQD-HLP coordination level among cities within the region has widened. On the one hand, this shows that the balanced development policies at the provincial level have achieved overall effectiveness; on the other hand, it also reveals the problem of unbalanced internal development within regions. In particular, during the process of rapid development, the coordination capacity of various cities in Northern Jiangsu has become differentiated. Therefore, future policies need to consolidate the provincial convergence trend while paying greater attention to the targeted regulation of regions with expanding internal differences such as Northern Jiangsu, so as to push regional coordination to a higher level.
4.4.2. Absolute β-Convergence Analysis
This study further validates the convergence of the coordination between HQD and HLP in Jiangsu Province through absolute β-convergence analysis. To ensure the consistency and validity of the regression results, the Hausman test was first employed for statistical inference regarding model specification, clarifying whether a fixed-effects or random-effects model should be selected for subsequent analysis. The results are presented in the table below (Table 4). The regression coefficients for Jiangsu Province as a whole and its three major regions are all negative and statistically significant, indicating the presence of absolute β-convergence in the HQD-HLP coordination across the province and within the three regions. This suggests that areas with lower initial coordination levels are growing faster than those with higher levels overall, reflecting a trend toward steady-state equilibrium.
Table 4.
Analysis of absolute β-convergence in the coupling coordination between HQD and HLP across Jiangsu Province and its subregions.
In terms of convergence speed, the convergence rate of Jiangsu Province as a whole stood at 57.86%, while those of Northern Jiangsu, Central Jiangsu and Southern Jiangsu reached 35.63%, 78.26% and 57.74%, respectively. This indicates that Central Jiangsu has the fastest catch-up and improvement speed, the overall adjustment pace of the whole province is similar to that of Southern Jiangsu, whereas the adjustment speed of Northern Jiangsu is relatively lagging behind. Therefore, future regional coordination policies need to balance overall efficiency while focusing on the cultivation of development momentum and internal balance in Northern Jiangsu, so as to achieve a more comprehensive and stable convergence . The half-convergence period of the whole province is 1.2 years, meaning that the regional gap is expected to narrow by half within 1.2 years. Southern Jiangsu keeps pace with the whole province, also with a half-convergence period of 1.2 years. Central Jiangsu performs prominently, with a mere 0.89 years required, making it the region with the fastest convergence. In contrast, Northern Jiangsu needs 1.97 years, which is the longest cycle, reflecting that it confronts more complex challenges in internal adjustment and catch-up efforts.
4.4.3. Conditional β-Convergence Analysis
Given the significant heterogeneity among different regions in terms of economic development level, population agglomeration degree, and other factors, which substantially drive the coordination between HQD and HLP, ignoring these regional differences may reduce the precision of estimation results to some extent. Therefore, this study further examines the conditional β-convergence trend of HQD-HLP coordination in Jiangsu. Based on previous research, this paper selects four indicators as control variables: regional economic development level, population agglomeration degree, infrastructure level, and government intervention capacity. Specifically, the level of economic development (ED) is measured by regional gross domestic product; the degree of population agglomeration (PD) is measured by population density; the level of infrastructure (IL) is measured by the number of public buses per 10,000 people; and the capacity of government intervention (GI) is measured by the ratio of fiscal expenditure to GDP [52,53]. The results are presented in the table below (Table 5).
Table 5.
Analysis of Conditional β-convergence in the coupling coordination between HQD and HLP across Jiangsu Province and its subregions.
The results of the conditional β-convergence analysis indicate that the conditional β-coefficients of Jiangsu Province as a whole, as well as those of Northern Jiangsu and Central Jiangsu, are all negative and have passed the significance test at the 1% level, confirming the existence of conditional β-convergence. This suggests that under the influence of control variables including economic development level, population agglomeration degree, infrastructure level, and government intervention capacity, the coordination between HQD and HLP in Jiangsu Province overall, as well as in Northern Jiangsu and Central Jiangsu, will present a balanced development trend. The coordination levels among various regions will tend to converge, and regional disparities will continue to narrow. The conditional β-convergence analysis of Northern Jiangsu shows that after controlling for relevant factors, the convergence trend has been significantly strengthened, with a convergence rate of 53.55% and a half-convergence period of only 1.29 years. The conditional β-convergence analysis of Central Jiangsu reveals a robust convergence trend, with a convergence rate as high as 77.72%. Its half-convergence period is consistent with the result of absolute β-convergence, both standing at 0.89 years. The control variables ED and IL both exert a significant positive impact on the growth of coupling coordination degree, and the within-group R2 of the model reaches 0.6589, indicating that the model has a strong explanatory power for the internal dynamics of Central Jiangsu. For Southern Jiangsu, the convergence coefficient is negative but not statistically significant, and the overall explanatory power of the model is also limited. This indicates that Southern Jiangsu has entered a relatively balanced development stage, where the disparities in coupling coordination among cities are small and the room for further convergence is limited.
4.5. Policy Recommendations
Based on the evaluation of the coupling coordination status between HQD and HLP in Jiangsu Province in 2023, the province as a whole has entered the moderate coordination stage. However, significant type differentiation and development gradients still exist between and within regions. To consolidate the synergy achievements and break through the current development bottlenecks, this paper takes the 2023 data as the benchmark and puts forward targeted policy recommendations for the coordinated development of each region.
The overall coordination level of Northern Jiangsu has been continuously improving, but the internal differences have shown an expanding trend, and the foundation for HQD is relatively weak. Therefore, the policy priorities should focus on the following two aspects: First, vigorously promote “ecological industrialization”. On the premise of strictly adhering to the cultivated land and ecological red lines, prioritize the development of ecological agriculture, wellness tourism, and new energy industries in areas rich in ecological resources, pilot the value realization mechanism of ecological products, and directly convert superior ecological resources into economic benefits. Second, support well-established cities such as Xuzhou and Yancheng in building green growth poles, and provide infrastructure and green industry market access support for late-developing cities including Suqian and Lianyungang. This is aimed at curbing the expanding internal gap and consolidating the achievements of green development.
Central Jiangsu is in a period of rapid convergence, but the lag in HQD has become the core bottleneck. The region faces enormous pressure of industrial transformation and ranks the lowest in the province in terms of HLP. Therefore, policies should focus on the following two points: First, further advance the green transformation and cluster upgrading of key industries. For traditional advantageous industries such as shipbuilding and marine engineering, and high-end equipment manufacturing, provide incentives including technological transformation subsidies and interest subsidies for green credit, guiding leading enterprises to drive the whole supply chain in energy conservation and consumption reduction transformation. Meanwhile, plan and construct provincial-level green and low-carbon industrial clusters, encourage the three cities in Central Jiangsu to implement differentiated development and supporting coordination, and enhance the overall industrial competitiveness and resource-environment efficiency. Second, proactively integrate into the Southern Jiangsu innovation network and the Yangtze River Delta integration. Under the overall planning at the provincial level, promote the orderly transfer of mature green technologies, management models, and capital from Southern Jiangsu to Central Jiangsu, making Central Jiangsu an important application and transformation base for the green innovation chain in the Yangtze River Delta.
Some cities in Southern Jiangsu have entered the high-level coordination stage, but there are obvious gradients among internal cities. Future policies should strive to build a benchmark for the in-depth integration of HQD and HLP, and promote a higher level of balance within the region. First, support core cities such as Nanjing and Suzhou in conducting pilot trials in cutting-edge fields including green technology innovation, ecological product value realization, and digital environmental governance. Explore replicable and promotable systems and models to provide a demonstration for the coordinated advancement of HQD and HLP in the whole province and even the whole country. Second, establish and improve the interest coordination and compensation mechanism within the region to alleviate the unbalanced development trend in Southern Jiangsu. It is recommended to explore the establishment of mechanisms such as inter-city horizontal ecological compensation for river basins and profit-sharing for intellectual property cooperation. Encourage cities with solid industrial foundations such as Wuxi and Changzhou to cooperate with cities with important ecological functions such as Zhenjiang in developing cultural and tourism projects, so as to achieve complementary advantages and benefit sharing, guide the developed areas to drive the late-developing ones, and realize the synchronous improvement of the overall regional development level.
5. Conclusions
This study analyzes the coupling and coordination mechanism between HQD and HLP, taking the 13 prefecture-level cities in Jiangsu Province as a case study. It constructs an evaluation index system for HQD and HLP and employs the entropy method to quantitatively measure the coupling coordination between the two from 2000 to 2023, revealing the development types of HQD-HLP coordination in Jiangsu’s cities. Furthermore, methods such as three-dimensional kernel density estimation, the grey relational model, and convergence analysis are used to systematically examine the temporal evolution characteristics, influencing factors, and convergence trends of the HQD-HLP synergy during this period. The main conclusions are as follows:
- (1)
- From 2000 to 2023, the coupling coordination degree between HQD and HLP in Jiangsu Province increased from 0.384 to 0.559, achieving a fundamental shift from imbalance to coordination. This is basically consistent with the results calculated by Li et al. [54]. Over the past 24 years, Jiangsu Province has consistently remained in the HQD-lagging stage.
- (2)
- During the study period, Southern Jiangsu, leveraging its first-mover advantages and profound industrial restructuring, consistently led in HQD-HLP synergy. Notably, Suzhou entered the stage of high coordination as early as 2017. In contrast, Northern and Central Jiangsu showed gradual improvement but remained significantly lagging due to constraints such as developmental stage, resource endowment, and governance capacity, presenting a typical “stronger south, weaker north” spatial pattern.
- (3)
- There are significant regional differences in the spatiotemporal differentiation patterns and driving mechanisms of the HQD-HLP coupling coordination in Jiangsu. The kernel density curve evolved from an early low-level unimodal distribution to a later diversified distribution, with Southern Jiangsu exhibiting notable internal differentiation and forming a high-value tail. Grey relational analysis results indicate that Southern Jiangsu is mainly driven by innovation and market indicators, while some traditional industrial cities in Northern Jiangsu are still constrained by ecological and environmental governance.
- (4)
- The regional disparities in the HQD-HLP coordination level in Jiangsu generally show a narrowing trend, with late-developing regions demonstrating a clear catch-up effect. Regions with lower coordination levels grew faster overall than those with higher levels, especially after controlling for heterogeneous factors such as economic development and infrastructure. Northern and Central Jiangsu exhibited stronger conditional convergence trends, indicating greater potential for coordinated development. In comparison, Southern Jiangsu has entered a relatively balanced high-level development stage, with slow convergence speed and stabilizing regional disparities.
6. Discussion
This study achieves breakthroughs and innovations in the following three aspects: (1) Theoretically, this paper constructs a synergistic analytical framework for HQD and HLP from the specific perspective of conserving and sustainably utilizing the natural resource base. This framework can provide a theoretical reference for achieving positive interaction between natural resource conservation and socio-economic development. (2) Methodologically, on one hand, it focuses on two dimensions—bottom-line constraints and market incentives—to build an evaluation index system for HLP. Compared to previous comprehensive environmental indicators, this approach more directly addresses the fundamental contradiction between development and resource consumption. On the other hand, it integrates the coupling coordination degree model, kernel density estimation, the grey relational model, and convergence analysis, enabling a full-chain analysis from static assessment and dynamic distribution evolution to long-term trend prediction, thereby enhancing the systematic nature and foresight of the research. (3) In terms of application value, this paper puts forward targeted regional improvement policy recommendations, which can provide a direct basis for the coordinated advancement of HQD and HLP in Jiangsu Province.
Additionally, this study carefully considers the potential uncertainties in the data and models [55]. At the data level, discrepancies in socio-economic statistical standards, classification errors in the CLCD remote sensing interpretation, and the interpolation of individual missing values have all introduced fundamental errors into the evaluation system. At the model level, computational processes of models such as the coupling coordination degree, grey relational analysis, and convergence analysis may propagate and amplify the aforementioned data errors, particularly potentially affecting the determination of development lag types, the ranking of driving factors, and the precise estimation of convergence trends. Nevertheless, by employing authoritative data sources, standardized processing, and robust statistical methods, this study aims to minimize the impact of these uncertainties to the greatest extent possible, thereby ensuring the reliability of the core conclusions. Acknowledging and clarifying these uncertainties helps to more clearly define the boundaries of this study’s findings.
Meanwhile, this study also has certain limitations in terms of research scope and perspective. First, due to constraints in statistical standards and the availability of public data, the HLP indicators fail to fully cover other types of natural resources, such as mineral resources and marine resources. Future research could integrate multi-source data to construct a more comprehensive natural resource accounting system. Second, while this study primarily utilizes panel data at the prefectural-city scale, revealing inter-regional disparities, it does not deeply analyze the heterogeneous characteristics of more micro-level units such as intra-city or urban-rural areas. Additionally, although the grey relational model can identify influencing factors, it has limitations in terms of causal inference and the analysis of dynamic interaction mechanisms. Future research could combine Geographic Information Systems and qualitative case studies to explore mechanisms and trace processes at finer spatio-temporal scales, and conduct cross-regional and cross-national comparative studies to enhance the generalizability of conclusions and the feasibility of policy insights.
Author Contributions
Conceptualization, X.Z. and X.L. (Xiaoshun Li); methodology, J.H.; software, Z.S.; validation, Z.S.; formal analysis, X.Z.; resources, X.L. (Xiaohan Li); data curation, X.Z.; writing—original draft preparation, X.Z.; writing—review and editing, H.C.; visualization, H.C.; supervision, X.Z.; project administration, X.L. (Xiaoshun Li); funding acquisition, X.L. (Xiaoshun Li). All authors have read and agreed to the published version of the manuscript.
Funding
This work was supported by the National Natural Science Foundation of China (72474214), the Jiangsu Science and Technology Think Tank Program and Youth Project (JSKX0125099), the Special Project on the Study of Xi Jinping’s Thought on Ecological Civilization under the Jiangsu Social Science Applied Research Excellence Program, and the Natural Resources Think Tank Development Fund (2025STA-06 and ZK2508), the Major Incubation Project of the Fundamental Re-search Funds for the Central Universities (2025ZDPYSK03), and the Special Task Projects of Humanities and Social Sciences Research of Ministry of Education of China (24JDSZ3036).
Data Availability Statement
The original contributions presented in the study are included in the article. Further inquiries can be directed to the corresponding author.
Conflicts of Interest
The authors declare no conflicts of interest.
References
- Díaz, S.; Settele, J.; Brondízio, E.S.; Ngo, H.T.; Agard, J.; Arneth, A.; Balvanera, P.; Brauman, K.A.; Butchart, S.H.M.; Chan, K.M.A.; et al. Pervasive human-driven decline of life on earth points to the need for transformative change. Science 2019, 366, eaax3100. [Google Scholar] [CrossRef]
- International Resource Panel. Bend the Trend: Pathways to a Liveable Planet as Resource Use Spikes; UNEP, Ed.; International Resource Panel: Nairobi, Kenya, 2024. [Google Scholar]
- Zhong, H.; Li, Y.; Ding, J.; Bruckner, B.; Feng, K.; Sun, L.; Prell, C.; Shan, Y.; Hubacek, K. Global Spillover Effects of the European Green Deal and Plausible Mitigation Options. Nat. Sustain. 2024, 7, 1501–1511. [Google Scholar] [CrossRef]
- Guo, J.; Zhu, K.; Cheng, Y. Deployment of Clean Energy Technologies Towards Carbon Neutrality Under Resource Constraints. Energy 2024, 295, 131012. [Google Scholar] [CrossRef]
- Tang, M.; Hong, J.; Shan, Y.; Liu, W.; Liu, G.; Xue, R.; Ruzzenenti, F.; Hubacek, K. Urban Metabolism and Emergy of China’s Cities. Habitat Int. 2025, 163, 103494. [Google Scholar] [CrossRef]
- Zhang, X.; Sibt E Ali, M.; Niu, H.; Iqbal, A.; Wenbo, G. Assessing the Impact of Energy Efficiency and the Sharing Economy on Sustainable Economic Development in China: A QARDL Analysis from 1991 to 2020. Energy Strategy Rev. 2025, 59, 101729. [Google Scholar] [CrossRef]
- Bekri, N. Taking the path of energy development with Chinese characteristics. China Coal Ind. 2016, 7, 4–6. (In Chinese) [Google Scholar] [CrossRef]
- Zhang, W.; Xiang, C. Co-evolutionary and driving factors of ecological protection and high-quality economic development in the Yellow River Basin. Geogr. Sci. 2025, 45, 1710–1719. (In Chinese) [Google Scholar] [CrossRef]
- Shen, Q.; Lu, J.; Tutore, I.; Cucari, N.; Guo, Q. How Does Horizontal Ecological Compensation Promote the Coupled Development of Ecological Environment Protection and High-Quality Economy Growth? Evidence from China’s Circular Economy Practices. Socio-Econ. Plan. Sci. 2025, 102, 102320. [Google Scholar] [CrossRef]
- Zeng, D. The Implications of Growth Pole Theory for Regional Economic Development in China. Res. Econ. Manag. 2005, 12, 11–16. (In Chinese) [Google Scholar] [CrossRef]
- Montano, B.; García-López, M. Malthusianism of the 21st Century. Environ. Sustain. Indic. 2020, 6, 100032. [Google Scholar] [CrossRef]
- Xing, L.; Khan, Y.A.; Arshed, N.; Iqbal, M. Investigating the Impact of Economic Growth on Environment Degradation in Developing Economies Through STIRPAT Model Approach. Renew. Sustain. Energy Rev. 2023, 182, 113365. [Google Scholar] [CrossRef]
- Jardon, A.; Kuik, O.; Tol, R.S. Economic Growth and Carbon Dioxide Emissions: An Analysis of Latin America and the Caribbean. Atmósfera 2017, 30, 87–100. [Google Scholar] [CrossRef]
- Georgescu, I.A.; Bâra, A.; Oprea, S.-V. Challenges for Low-Carbon Economies in Latin America. Testing Pollution Haven Hypothesis in Developing Countries. Energy Rep. 2024, 12, 5280–5299. [Google Scholar] [CrossRef]
- Jahanger, A.; Usman, M.; Murshed, M.; Mahmood, H.; Balsalobre-Lorente, D. The Linkages between Natural Resources, Human Capital, Globalization, Economic Growth, Financial Development, and Ecological Footprint: The Moderating Role of Technological Innovations. Resour. Policy 2022, 76, 102569. [Google Scholar] [CrossRef]
- Yilanci, V.; Gorus, M.S.; Andreoni, V. Reinvestigation of the Validity of the EKC Hypothesis Extended with Energy: A Time-Varying Analysis for the United Kingdom. J. Clean. Prod. 2023, 428, 139284. [Google Scholar] [CrossRef]
- Tauseef Hassan, S.; Wang, P.; Khan, I.; Zhu, B. The Impact of Economic Complexity, Technology Advancements, and Nuclear Energy Consumption on the Ecological Footprint of the USA: Towards Circular Economy Initiatives. Gondwana Res. 2023, 113, 237–246. [Google Scholar] [CrossRef]
- Bozatli, O.; Degirmenci, T.; Can Serin, S.; Aydin, M. Two Centuries of Carbon Emissions (1800–2022): The Role of Government Spending, Economic Growth, and Population Density in the United States. J. Environ. Manag. 2025, 394, 127725. [Google Scholar] [CrossRef]
- Kluczek, A.; Woźniak, A.; Żegleń, P. National Diversity in European Energy Policy: Analyzing Dependencies of Changes in Energy Prices, Climate Regulations, and Technological Innovations on Economic Implications. Energy Strategy Rev. 2025, 62, 101886. [Google Scholar] [CrossRef]
- Otrachshenko, V.; Popova, O. Environment vs. Economic Growth: Do Environmental Preferences Translate into Support for Green Parties? SSRN J. 2024, 239, 108779. [Google Scholar] [CrossRef]
- Anser, M.K.; Ali, S.; Umair, M.; Javid, R.; Mirzaliev, S. Energy Consumption, Technological Innovation, and Economic Growth in BRICS: A GMM Panel VAR Framework Analysis. Energy Strategy Rev. 2024, 56, 101587. [Google Scholar] [CrossRef]
- Chen, H.; Zhang, L.; Pinzon, S.; Chen, H.; Chen, B. Decarbonizing the G7: Renewable Energy, Economic Growth, Globalization, and Policy Pathways to Sustainability. Renew. Energy 2025, 244, 122671. [Google Scholar] [CrossRef]
- Wang, L.; Javeed Akhtar, M.; Naved Khan, M.; Asghar, N.; Rehman, H.U.; Xu, Y. Assessing the Environmental Sustainability Gap in G20 Economies: The Roles of Economic Growth, Energy Mix, Foreign Direct Investment, and Population. Heliyon 2024, 10, e26535. [Google Scholar] [CrossRef]
- Naz, F.; Tanveer, A.; Karim, S.; Dowling, M. The Decoupling Dilemma: Examining Economic Growth and Carbon Emissions in Emerging Economic Blocs. Energy Econ. 2024, 138, 107848. [Google Scholar] [CrossRef]
- Huang, Z.; Bai, Y.; Ali, M.; Fang, Z. “Two Mountains Concept” Leading the Green Transformation of China’s Economic Society. J. Environ. Manag. 2024, 359, 120960. [Google Scholar] [CrossRef] [PubMed]
- Du, L.; Li, B. Study on the Current Status and Countermeasures for Governance and High Quality Development of Natural Protected Areas in China. Environ. Prot. 2025, 53, 26–29. (In Chinese) [Google Scholar] [CrossRef]
- Miao, C.; Xia, C.; Jin, F.; Ma, L.; Zhang, W.; Fu, B. Implementation effectiveness and promotion strategies of ecological protection and high-quality development strategy in the Yellow River Basin. J. Nat. Resour. 2025, 40, 569–583. (In Chinese) [Google Scholar] [CrossRef]
- Zhao, L.; Sun, Z. Evolution of Coordinated Development Between Economic Development Quality and Ecological Resilience in Coastal Cities and Its Spatial Convergence Features. Econ. Geogr. 2023, 43, 119–129. (In Chinese) [Google Scholar] [CrossRef]
- Xiao, S.; Ou, M. Study on Delineation of Ecological Protection Red Line on the Terrestrial Parts of Jiangsu Province Based on Niche-fitness Model. Resour. Environ. Yangtze Basin 2022, 31, 366–378. (In Chinese) [Google Scholar]
- Zhang, Q.; Li, J.; Li, Y.; Huang, H. Coupling Analysis and Driving Factors Between Carbon Emission Intensity and High-Quality Economic Development: Evidence from the Yellow River Basin, China. J. Clean. Prod. 2023, 423, 138831. [Google Scholar] [CrossRef]
- Yang, Y.; Jing, T.; Wang, H.; Zhong, Y.; Yu, W.; Zhou, H. Causal Network of High-Quality Development and Urban Resilience in Chinese Cities Based on Transfer Entropy: Structure and Determinants. Sustain. Cities Soc. 2025, 133, 106875. [Google Scholar] [CrossRef]
- Chi, W. Better Coordination of High-Level Protection and High-Quality Development to Firmly Establish the Ecological Security Barrier for the Southern Border Region of China. Environ. Prot. 2024, 52, 55–56. (In Chinese) [Google Scholar] [CrossRef]
- Chen, J.; Zhang, K.; Li, X.; Shao, Z.; Zhai, X. Accounting of carbon source/sink and the zoning regulation of carbon balance in the Yangtze River Economic Belt: Practice the concept of “Prioritizing ecological conservation over excessive development”. J. Nat. Resour. 2025, 40, 3370–3393. (In Chinese) [Google Scholar] [CrossRef]
- Zang, Y.; Hu, S.; Liu, Y. Rural Transformation and Its Links to Farmland Use Transition: Theoretical Insights and Empirical Evidence from Jiangsu, China. Habitat Int. 2024, 149, 103094. [Google Scholar] [CrossRef]
- Ying, S.; Jin, X.; Liang, X.; Han, B.; Liu, J.; Zhou, Y. Morphology’s Importance for Farmland Landscape Pattern Assessment and Optimization: A Case Study of Jiangsu, China. Appl. Geogr. 2024, 171, 103364. [Google Scholar] [CrossRef]
- Jing, T.; Wang, H.; Yang, Y.; Jin, Y.; Yu, W.; Zhong, Y. Achieving Sustainable Development in Coastal Cities: Exploring the Synergies Between Urban Resilience and High-Quality Development. Sustain. Cities Soc. 2026, 136, 107112. [Google Scholar] [CrossRef]
- Yang, B.; Ma, X.; Li, J.; Yu, H.; Sui, H.; Chen, F.; Tan, L. The Relationship Between High-Quality Development and Ecosystem Health in China’s Urban Agglomerations. J. Environ. Manag. 2025, 377, 124720. [Google Scholar] [CrossRef] [PubMed]
- Yang, W.; Tao, L.; Li, Q.; Li, F.; Du, S.; Zhang, Y.; Gao, C.; Fang, X.; Zhang, Z.; Huang, J.; et al. Spatial-Temporal Evolution of Coupling Coordination Development between Circular Economy and Tourism in the Eastern Regions of China. Socio-Econ. Plan. Sci. 2025, 101, 102283. [Google Scholar] [CrossRef]
- Geng, Y.; Li, X.; Chen, J. Integration of Land Use Resilience and Efficiency in China: Analysis of Spatial Patterns, Differential Impacts on SDGs, and Adaptive Management Strategies. Appl. Geogr. 2025, 175, 103490. [Google Scholar] [CrossRef]
- Shao, Z.; Li, X.; Chen, J.; Geng, Y.; Zhai, X.; Zhang, K.; Zhang, J. Spatiotemporal Evolution and Influencing Factors of Carbon Footprint in Yangtze River Economic Belt. Land 2025, 14, 641. [Google Scholar] [CrossRef]
- Han, E.-J.; Chun, S.-H. A Long Short-Term Memory Model Using Kernel Density Estimation for Forecasting Apartment Prices in Seoul City. Expert Syst. Appl. 2025, 283, 127748. [Google Scholar] [CrossRef]
- Zhang, Y.; Shang, K. Evaluation of Mine Ecological Environment Based on Fuzzy Hierarchical Analysis and Grey Relational Degree. Environ. Res. 2024, 257, 119370. [Google Scholar] [CrossRef]
- Feng, X.; Li, Y.; Yu, E.; Yang, J.; Lei, K. Coupling Relationship Between Urban Land Development and Carbon Emission Performance in Jiangsu Province. Econ. Geogr. 2024, 44, 161–171. (In Chinese) [Google Scholar] [CrossRef]
- Nchor, D.; Rozmahel, P. Beta and Sigma Convergence: Are the 15 West African Countries Catching up with the Developed World? J. Policy Model. 2025, 47, 1305–1321. [Google Scholar] [CrossRef]
- Rosik, P.; Mazur, M.; Komornicki, T.; Goliszek, S.; Stępniak, M.; Duma, P.; Jakubowski, A.; Pomianowski, W. National and Regional Potential Accessibility Convergence by Decay and Decades in Germany, France, Spain, Poland and Romania in the Years of 1960–2020. J. Transp. Geogr. 2025, 123, 104106. [Google Scholar] [CrossRef]
- Yang, X.; Lin, Y.; Chen, L.; Liu, J.; Wu, H.; Wang, X. Carbon Emissions and Influencing Factors in Provincial Urban Agglomerations: A Case Study of Jiangsu. Resour. Environ. Yangtze Basin 2025, 34, 1972–1986. (In Chinese) [Google Scholar]
- Fu, Y.; Xie, W.; Liu, J.; Wei, F.; Guo, Y.; Su, F.; Yang, Y. Spatio-temporal Pattern Evolution and Prediction of Ecological Well-being in Jiangsu Province Based on GeoSOS-FLUS Model. Resour. Environ. Yangtze Basin 2023, 32, 71–82. (In Chinese) [Google Scholar]
- Yang, B.; Ma, X.; Song, X.; Yang, S. The impact of different modes of village consolidation on the adaptive choice of household livelihood in coal resource-exhausted areas: A case study of typical villages in Northern Jiangsu and Southern Shandong of China. J. Nat. Resour. 2025, 40, 534–549. (In Chinese) [Google Scholar] [CrossRef]
- Xiao, J.; Dai, J.; Fang, X.; Li, L.; Chen, L. Multiple Scenario Simulation of Ecosystem Service Value in Xuzhou City Based on PLUS Model. China Land Sci. 2024, 38, 125–134. (In Chinese) [Google Scholar]
- Zheng, H.; Wu, Y.; Deng, H. “Production-Living-Ecology” Space Pattern Evolution Characters and Mechanism in Southern Jiangsu Province. Planners 2022, 38, 127–133. (In Chinese) [Google Scholar]
- Zhong, R.; Pu, L.; Xie, J.; Yao, J.; Qie, L.; He, G.; Wang, X.; Zhang, R.; Zhai, J.; Gong, Z.; et al. Carbon Storage in Typical Ecosystems of Coastal Wetlands in Jiangsu, China: Spatiotemporal Patterns and Mechanisms. Catena 2025, 254, 108882. [Google Scholar] [CrossRef]
- Zhang, K.; Li, H. Spatial Difference, Distribution Dynamics and Convergence Analysis of Digital Economy Development in China’s Urban Agglomerations. Econ. Geogr. 2022, 42, 120–128. (In Chinese) [Google Scholar] [CrossRef]
- Yu, D.; Yu, J.; Li, X. Coupling Coordination Measurement and Convergence of Provincial Carbon Emissions and New Quality Productivity in China. Environ. Sci. 2025. online first (In Chinese) [Google Scholar] [CrossRef]
- Li, M.; Cui, X.; Pang, G.; Ji, H. Coupling Coordination and Interactive Influence of Ecological Environment and High-Quality Economic Development in the Yangtze River Economic Belt. Resour. Environ. Yangtze Basin 2025, 34, 1399–1412. (In Chinese) [Google Scholar]
- Zhong, C.; Peng, L.; Yu, J.; Swan, I.; Li, H. Toward More Reliable, Complete, and Equitable Global Urban Land Use Efficiency Assessments. Commun. Earth Environ. 2025, 6, 1055. [Google Scholar] [CrossRef]
Disclaimer/Publisher’s Note: The statements, opinions and data contained in all publications are solely those of the individual author(s) and contributor(s) and not of MDPI and/or the editor(s). MDPI and/or the editor(s) disclaim responsibility for any injury to people or property resulting from any ideas, methods, instructions or products referred to in the content. |
© 2026 by the authors. Licensee MDPI, Basel, Switzerland. This article is an open access article distributed under the terms and conditions of the Creative Commons Attribution (CC BY) license.








