Sign in to use this feature.

Years

Between: -

Subjects

remove_circle_outline
remove_circle_outline
remove_circle_outline
remove_circle_outline
remove_circle_outline
remove_circle_outline

Journals

Article Types

Countries / Regions

Search Results (31)

Search Parameters:
Keywords = winter wheat greening period

Order results
Result details
Results per page
Select all
Export citation of selected articles as:
19 pages, 3691 KB  
Article
Drip Irrigation Coupled with Wide-Row Precision Seeding Enhances Winter Wheat Yield and Water Use Efficiency by Optimizing Canopy Structure and Photosynthetic Performance
by Shengfeng Wang, Enlai Zhan, Zijun Long, Guowei Liang, Minjie Gao and Guangshuai Wang
Agronomy 2026, 16(2), 256; https://doi.org/10.3390/agronomy16020256 - 21 Jan 2026
Viewed by 51
Abstract
To address the bottlenecks of low water and fertilizer utilization efficiency and limited yield potential inherent in Henan Province’s traditional winter wheat cultivation model of “furrow irrigation + conventional row seeding”, this study delved into the synergistic regulatory mechanisms of drip irrigation combined [...] Read more.
To address the bottlenecks of low water and fertilizer utilization efficiency and limited yield potential inherent in Henan Province’s traditional winter wheat cultivation model of “furrow irrigation + conventional row seeding”, this study delved into the synergistic regulatory mechanisms of drip irrigation combined with wide-row precision seeding. It focused on their effects on the physiological ecology and yield-quality traits of winter wheat. A two-factor experiment, encompassing “sowing method × irrigation method” will be carried out during the 2024–2025 wheat growing season, featuring four treatments: furrow irrigation + conventional row seeding (QT), drip irrigation + conventional row seeding (DT), furrow irrigation + wide-row precision seeding (QK), and drip irrigation + wide-row precision seeding (DK). Results reveal that wide-row precision seeding optimized the canopy structure, raising the leaf area index (LAI) at the heading stage by 20.19% compared to QT, thereby enhancing ventilation and light penetration and reducing plant competition. Drip irrigation, with its precise water delivery, boosted the net photosynthetic rate of the flag leaf 35 days after flowering by 62.99% relative to QT, stabilizing root water uptake and significantly delaying leaf senescence. The combined effect of the two treatments (DK treatment) synergistically improved the canopy structure and photosynthetic performance of winter wheat, prolonging the functional period of green leaves by 29.41%. It established a highly efficient photosynthetic cycle, marked by “high stomatal conductance-low intercellular CO2 concentration-high net photosynthetic rate”. The peak net photosynthetic rate (Pn) 13 days post-flowering rose by 23.9% compared to QT. Moreover, while reducing total water consumption by 21.4%, it substantially increased water use efficiency (WUE) and irrigation water use efficiency (IWUE) by 43.2% and 14.2%, respectively, compared to the QT control. Ultimately, the DK treatment achieved a synergistic enhancement in both yield and quality: grain yield increased by 14.7% compared to QT, wet gluten content reached 35.5%, and total protein yield per unit area rose by 13.1%. This study demonstrates that coupling drip irrigation with wide-row precision seeding is an effective strategy for achieving water-saving, high-yield, and high-quality winter wheat cultivation in the Huang-Huai-Hai region. This is achieved through the synergistic optimization of canopy structure, enhanced photosynthetic efficiency, and improved WUE. These findings provide a mechanistic basis and a scalable agronomic solution for sustainable intensification of winter wheat production under water-limited conditions in major cereal-producing regions. Full article
(This article belongs to the Special Issue Water and Fertilizer Regulation Theory and Technology in Crops)
Show Figures

Figure 1

22 pages, 6844 KB  
Article
Legume Green Manure Further Improves the Effects of Fertilization on the Long-Term Yield and Water and Nitrogen Utilization of Winter Wheat in Rainfed Agriculture
by Xiushuang Li, Juan Chen, Jianglan Shi and Xiaohong Tian
Plants 2025, 14(16), 2476; https://doi.org/10.3390/plants14162476 - 9 Aug 2025
Cited by 1 | Viewed by 946
Abstract
Context: To revive the practice of planting legume green manure (GM) in the fallow period in rainfed agricultural areas, it is essential to demonstrate the benefits of this practice on the yields and water use efficiency (WUE) of subsequent crops, especially when integrating [...] Read more.
Context: To revive the practice of planting legume green manure (GM) in the fallow period in rainfed agricultural areas, it is essential to demonstrate the benefits of this practice on the yields and water use efficiency (WUE) of subsequent crops, especially when integrating with optimized water and fertilizer management. Objectives: We conducted a field experiment to determine the positive effects of planting legume GM in the summer fallow on the yield, WUE, and nitrogen uptake efficiency (NupE) of subsequent winter wheat, which was grown with plastic film mulching and integrated fertilization in the Loess Plateau of China. Methods: A split-plot-designed experiment was arranged with two main treatments, namely (1) wheat planting followed by GM planting in the summer fallow (GM) and (2) conventional wheat monoculture followed by bare land summer fallow (BL), and three sub-treatments: (1) control treatment without any chemical fertilizer (Ct), (2) application of chemical N, P, and K as basal fertilizer (B), and (3) application of basal fertilizer plus wheat straw return (BS). Results: In the initial two years, even in a dry year, GM did not decrease the soil water content and storage (0–200 cm layer) during the subsequent winter wheat season, relative to BL. But in the third and fourth years, GM increased the grain yield of winter wheat by 3.2% and 3.8%, respectively. B and BS increased the grain yield of winter wheat by 14.4% and 22.2%, respectively, during the third experimental year, and by 12.7% and 19.4% during the fourth experimental year, primarily through increasing the population density of winter wheat. The increase in the grain yield contributed to a higher WUE of winter wheat. In the third year, GM increased the water consumption (WC) and WUE of wheat by 2.4% and 1.7%, respectively, though they were far lower than B (8.3% and 5.6%) and BS (10.4% and 10.7%). B and BS resulted in a higher yield and N nutrition than GM alone, but GM combined with B and BS resulted in the highest yield and N nutrition, thus greatly decreasing the NupE and increasing N productivity. Conclusions: Planting legume GM in the fallow can further increase the long-term yield, WUE, and N utilization of winter wheat when integrated with chemical fertilization and wheat straw return in rainfed agriculture. Implications: Our study yields new insights into the agronomic benefits of legume GM application in semi-arid or analogous rainfed agroecosystems and underscores the critical role of water conservation in ensuring dryland agricultural production, particularly in regions undergoing optimization of fertilization. Full article
Show Figures

Figure 1

21 pages, 3832 KB  
Article
Effects of Water Use Efficiency Combined with Advancements in Nitrogen and Soil Water Management for Sustainable Agriculture in the Loess Plateau, China
by Hafeez Noor, Fida Noor, Zhiqiang Gao, Majed Alotaibi and Mahmoud F. Seleiman
Water 2025, 17(15), 2329; https://doi.org/10.3390/w17152329 - 5 Aug 2025
Cited by 2 | Viewed by 975
Abstract
In China’s Loess Plateau, sustainable agricultural end products are affected by an insufficiency of water resources. Rising crop water use efficiency (WUE) through field management pattern improvement is a crucial plan of action to address this issue. However, there is no agreement among [...] Read more.
In China’s Loess Plateau, sustainable agricultural end products are affected by an insufficiency of water resources. Rising crop water use efficiency (WUE) through field management pattern improvement is a crucial plan of action to address this issue. However, there is no agreement among researchers on the most appropriate field management practices regarding WUE, which requires further integrated quantitative analysis. We conducted a meta-analysis by quantifying the effect of agricultural practices surrounding nitrogen (N) fertilizer management. The two experimental cultivars were Yunhan–20410 and Yunhan–618. The subplots included nitrogen 0 kg·ha−1 (N0), 90 kg·ha−1 (N90), 180 kg·ha−1 (N180), 210 kg·ha−1 (N210), and 240 kg·ha−1 (N240). Our results show that higher N rates (up to N210) enhanced water consumption during the node-flowering and flowering-maturity time periods. YH–618 showed higher water use during the sowing–greening and node-flowering periods but decreased use during the greening-node and flowering-maturity periods compared to YH–20410. The N210 treatment under YH–618 maximized water use efficiency (WUE). Increased N rates (N180–N210) decreased covering temperatures (Tmax, Tmin, Taver) during flowering, increasing the level of grain filling. Spike numbers rose with N application, with an off-peak at N210 for strong-gluten wheat. The 1000-grain weight was at first enhanced but decreased at the far end of N180–N210. YH–618 with N210 achieved a harvest index (HI) similar to that of YH–20410 with N180, while excessive N (N240) or water reduced the HI. Dry matter accumulation increased up to N210, resulting in earlier stabilization. Soil water consumption from wintering to jointing was strongly correlated with pre-flowering dry matter biological process and yield, while jointing–flowering water use was linked to post-flowering dry matter and spike numbers. Post-flowering dry matter accumulation was critical for yield, whereas spike numbers positively impacted yield but negatively affected 1000-grain weight. In conclusion, our results provide evidence for determining suitable integrated agricultural establishment strategies to ensure efficient water use and sustainable production in the Loess Plateau region. Full article
(This article belongs to the Special Issue Soil–Water Interaction and Management)
Show Figures

Figure 1

20 pages, 2979 KB  
Article
Investigating the Impact of Sowing Date on Wheat Leaf Morphology Through Image Analysis
by Junfan Chen, Jianliang Wang, Jiacheng Wang, Zhian Wang, Lihan Zhao, Yaohua Yan, Jiayue Li, Hanzeyu Xu, Chengming Sun and Tao Liu
Agriculture 2025, 15(7), 770; https://doi.org/10.3390/agriculture15070770 - 2 Apr 2025
Cited by 2 | Viewed by 936
Abstract
The morphology of wheat leaves is a key indicator of crop stand quality and photosynthetic capacity, with sowing date being a critical factor influencing leaf morphology. To investigate the effects of sowing time on wheat growth, development, and leaf phenotypes, this study utilized [...] Read more.
The morphology of wheat leaves is a key indicator of crop stand quality and photosynthetic capacity, with sowing date being a critical factor influencing leaf morphology. To investigate the effects of sowing time on wheat growth, development, and leaf phenotypes, this study utilized image analysis technology to systematically extract key phenotypic traits of winter wheat leaves, including effective leaf area, leaf color, and leaf shape. The results demonstrated that delayed sowing significantly affected the morphology and color characteristics of winter wheat leaves. Specifically, leaf length and width exhibited a quadratic decreasing trend, resulting in an average reduction in leaf area of over 59%. Additionally, the greenness index (EXG) decreased by 25.84%, while the red pigment index (EXR) increased by 21.69%. Significant differences in leaf color changes were observed among the varieties. This study provides reliable data for determining the optimal sowing period for winter wheat and offers valuable guidance for optimizing field management strategies to enhance crop yield and quality. Full article
Show Figures

Figure 1

21 pages, 11846 KB  
Article
Winter Wheat Yield Prediction Using Satellite Remote Sensing Data and Deep Learning Models
by Hongkun Fu, Jian Lu, Jian Li, Wenlong Zou, Xuhui Tang, Xiangyu Ning and Yue Sun
Agronomy 2025, 15(1), 205; https://doi.org/10.3390/agronomy15010205 - 16 Jan 2025
Cited by 9 | Viewed by 4031
Abstract
Accurate crop yield prediction is crucial for formulating agricultural policies, guiding agricultural management, and optimizing resource allocation. This study proposes a method for predicting yields in China’s major winter wheat-producing regions using MOD13A1 data and a deep learning model which incorporates an Improved [...] Read more.
Accurate crop yield prediction is crucial for formulating agricultural policies, guiding agricultural management, and optimizing resource allocation. This study proposes a method for predicting yields in China’s major winter wheat-producing regions using MOD13A1 data and a deep learning model which incorporates an Improved Gray Wolf Optimization (IGWO) algorithm. By adjusting the key parameters of the Convolutional Neural Network (CNN) with IGWO, the prediction accuracy is significantly enhanced. Additionally, the study explores the potential of the Green Normalized Difference Vegetation Index (GNDVI) in yield prediction. The research utilizes data collected from March to May between 2001 and 2010, encompassing vegetation indices, environmental variables, and yield statistics. The results indicate that the IGWO-CNN model outperforms traditional machine learning approaches and standalone CNN models in terms of prediction accuracy, achieving the highest performance with an R2 of 0.7587, an RMSE of 593.6 kg/ha, an MAE of 486.5577 kg/ha, and an MAPE of 11.39%. The study finds that April is the optimal period for early yield prediction of winter wheat. This research validates the effectiveness of combining deep learning with remote sensing data in crop yield prediction, providing technical support for precision agriculture and contributing to global food security and sustainable agricultural development. Full article
(This article belongs to the Section Precision and Digital Agriculture)
Show Figures

Figure 1

24 pages, 12091 KB  
Article
A Multispectral Feature Selection Method Based on a Dual-Attention Network for the Accurate Estimation of Fractional Vegetation Cover in Winter Wheat
by Runzhi Yang, Shanshan Li, Bing Zhang, Quanjun Jiao, Dailiang Peng, Songlin Yang and Ruyi Yu
Remote Sens. 2024, 16(23), 4441; https://doi.org/10.3390/rs16234441 - 27 Nov 2024
Cited by 2 | Viewed by 1472
Abstract
Spectral information plays a crucial role in fractional vegetation cover (FVC) estimation, and selecting the appropriate spectral information is essential for improving the accuracy of FVC estimation. Traditionally, spectral feature selection is primarily guided by physical mechanisms or empirical statistical models. This has [...] Read more.
Spectral information plays a crucial role in fractional vegetation cover (FVC) estimation, and selecting the appropriate spectral information is essential for improving the accuracy of FVC estimation. Traditionally, spectral feature selection is primarily guided by physical mechanisms or empirical statistical models. This has led to the use of multispectral and hyperspectral images, which often result in missing or redundant information, thereby decreasing the efficiency and accuracy of FVC estimation. This study proposes a novel dual-attention network to select the feature bands of Sentinel-2 multispectral images for the accurate FVC estimation of winter wheat. In the first step, the importance of hyperspectral band reflectances was determined using simulated data from the PROSAIL model, by combining the dual-attention mechanism with the convolutional neural network (DAM-CNN). In the second step, the importance of Sentinel-2 multispectral bands was converted from the hyperspectral band importance identified in the previous stage, and subsequently ranked accordingly. Based on the feature ranking results, multispectral simulated data translated from hyperspectral simulated data were used for CNN training, and multispectral feature selection was conducted based on FVC accuracy. Finally, the selected features were assessed based on their performance in FVC estimation using a CNN model with real data. The experimental results indicate that during the key growth period of winter wheat, the combination of red, green, and red-edge bands significantly influences the FVC estimation accuracy. Band 3 (Green), band 4 (Red), band 5 (Red-edge 1), and band 6 (Red-edge 2) of Sentinel-2 satellite images contribute most significantly to winter wheat FVC estimation, achieving an accuracy comparable to that obtained using all bands, while reducing the training time by 19.1%, as confirmed by field survey data. Full article
Show Figures

Figure 1

17 pages, 5006 KB  
Article
Enhanced Winter Wheat Seedling Classification and Identification Using the SETFL-ConvNeXt Model: Addressing Overfitting and Optimizing Training Strategies
by Chuang Liu, Yuanyuan Yin, Rui Qian, Shuhao Wang, Junjie Xia, Jingke Zhang and Liqing Zhao
Agronomy 2024, 14(9), 1914; https://doi.org/10.3390/agronomy14091914 - 26 Aug 2024
Cited by 3 | Viewed by 1485
Abstract
The growth status of winter wheat seedlings during the greening period is called the seedling situation. Timely and accurate determinations of the seedling situation type are important for subsequent field management measures and yield estimation. To solve the problems of low-efficiency artificial classification, [...] Read more.
The growth status of winter wheat seedlings during the greening period is called the seedling situation. Timely and accurate determinations of the seedling situation type are important for subsequent field management measures and yield estimation. To solve the problems of low-efficiency artificial classification, subjective doping, inaccurate classification, and overfitting in transfer learning in classifying the seedling condition of winter wheat seedlings during the greening period, we propose an improved ConvNeXt winter wheat seedling status classification and identification network based on the pre-training–fine-tuning model addressing over-fitting in transfer learning. Based on ConvNeXt, a SETFL-ConvNeXt network (Squeeze and Excitation attention-tanh ConvNeXt using focal loss), a winter wheat seedling identification and grading network was designed by adding an improved SET attention module (Squeeze and Excitation attention-tanh) and replacing the Focal Loss function. The accuracy of the SETFL-ConvNeXt reached 96.68%. Compared with the classic ConvNeXt model, the accuracy of the Strong class, First class, and Third class increased by 1.188%, 2.199%, and 0.132%, respectively. With the model, we also compared the effects of different optimization strategies, five pre-training-fine-tuning models, and the degree of change in the pre-trained model. The accuracy of the fine-tuning models trained in the remaining layers increased by 0.19–6.19% using the last three frozen blocks, and the accuracy of the pre-trained model increased by 3.1–8.56% with the least degree of change method compared with the other methods. The SETFL-ConvNeXt network proposed in this study has high accuracy and can effectively address overfitting, providing theoretical and technical support for classifying winter wheat seedlings during the greening period. It also provides solutions and ideas for researchers who encounter overfitting. Full article
(This article belongs to the Section Precision and Digital Agriculture)
Show Figures

Figure 1

18 pages, 3176 KB  
Article
Systematic Analysis of the Effects of Different Green Manure Crop Rotations on Soil Nutrient Dynamics and Bacterial Community Structure in the Taihu Lake Region, Jiangsu
by Huiyan Wang, Liang Zhong, Junhai Liu, Xiaoyu Liu, Wei Xue, Xinbao Liu, He Yang, Yixin Shen, Jianlong Li and Zhengguo Sun
Agriculture 2024, 14(7), 1017; https://doi.org/10.3390/agriculture14071017 - 27 Jun 2024
Cited by 8 | Viewed by 3189
Abstract
In the traditional farming systems, the excessive application of chemical fertilizers to boost crop yields has resulted in a range of issues, such as soil quality degradation, soil structure deterioration, and pollution of the farmland ecological environment. Green manure, as a high-quality biological [...] Read more.
In the traditional farming systems, the excessive application of chemical fertilizers to boost crop yields has resulted in a range of issues, such as soil quality degradation, soil structure deterioration, and pollution of the farmland ecological environment. Green manure, as a high-quality biological fertilizer source with rich nutrient content, is of great significance for enhancing the soil quality and establishing a healthy farmland ecosystem. However, there are few studies on the effects of different green manures on the soil nutrient levels, enzyme activities, and soil bacterial community composition in the rice–wheat rotation areas in southern China. Thus, we planted Chinese milk vetch (MV; Astragalus sinicus L.), light leaf vetch (LV; Vicia villosa var.), common vetch (CV; Vicia sativa L.), crimson clover (CC; Trifolium incarnatum L.), Italian ryegrass (RG; Lolium multiflorum L.), and winter fields without any crops as a control in the Taihu Lake area of Jiangsu. The soil samples collected after tilling and returning the green manure to the field during the bloom period were used to analyze the effects of the different green manures on the soil nutrient content, enzyme activity, and the structural composition of the bacterial community. This analysis was conducted using chemical methods and high-throughput sequencing technology. The results showed that the green manure returned to the field increased the soil pH, soil organic matter (SOM), alkali-hydrolyzed nitrogen (AN), available phosphorus (AP), available potassium (AK), sucrose (SC), urease (UE), and neutral phosphatase (NEP) contents compared to the control. They increased by 1.55% to 10.06%, 0.26% to 9.31%, 20.95% to 28.42%, 20.66% to 57.79%, 12.38% to 37.94%, 3.11% to 58.19%, 6.49% to 32.99%, and 50.0% to 80.36%, respectively. In addition, the green manure field increased the relative abundance of the genera Proteobacteria and Haliangium while decreasing the relative abundance of Gemmatimonadetes, Chloroflexi, SBR1031, and Anaeromyxobacter in the soil bacteria. Both the number of ASVs (amplicon sequence variants) and α-diversity of the soil bacterial communities were higher compared to the control, and the β-diversity varied significantly among the treatments. Alkali-hydrolyzed nitrogen and neutral phosphatase had the greatest influence on the soil bacterial community diversity, with alkali-hydrolyzed nitrogen being the primary soil factor affecting the soil bacterial community composition. Meanwhile, the results of the principal component analysis showed that the MV treatment had the most significant impact on soil improvement. Our study provides significant insights into the sustainable management of the soil quality in rice–wheat rotations. It identifies MV as the best choice among the green manure crops for improving the soil quality, offering innovative solutions for reducing chemical fertilizer dependence and promoting ecological sustainability. Full article
(This article belongs to the Section Agricultural Soils)
Show Figures

Figure 1

15 pages, 4023 KB  
Article
Beneficial Effects on Winter Wheat Production of the Application of Legume Green Manure during the Fallow Period
by Xiushuang Li, Jianglan Shi, Juan Chen and Xiaohong Tian
Agronomy 2024, 14(1), 203; https://doi.org/10.3390/agronomy14010203 - 17 Jan 2024
Cited by 3 | Viewed by 2025
Abstract
Legume green manure (LGM) is an excellent organic amendment conducive to soil quality and nutrient cycling; however, the use of LGM was once repealed in the rain-fed agriculture of northern China. The objective was to investigate the effects that planting LGM would bring [...] Read more.
Legume green manure (LGM) is an excellent organic amendment conducive to soil quality and nutrient cycling; however, the use of LGM was once repealed in the rain-fed agriculture of northern China. The objective was to investigate the effects that planting LGM would bring and whether it would affect other fertilization regimes regarding the productivity and water and nutrient use efficiencies of succeeding crops. A short-term (2016–2019) field experiment was established with a split-plot design in the Loess Plateau of China, which included ten treatments consisting of two planting systems (main treatments)—conventional winter wheat monoculture (G0) and planting and incorporating LGM followed by winter wheat planting (G)—and five fertilization regimes (sub-treatments)—no fertilization (CK), basal fertilization with chemicals N, P and K (NPK), basal fertilization plus wheat straw return (NPK + S), basal fertilization plus farmyard manure application (NPK + M), and basal fertilization plus wheat straw return plus farmyard manure application (NPK + S + M). The results demonstrated that compared with G0, the G did not remarkably affect the total water consumption (WC) and water use efficiency (WUE) across the three trial wheat seasons. Specifically, during the third wheat season, the winter wheat yield of G increased by 7.5% more than that of G0 (p < 0.05). G primarily increased the N concentration in winter wheat and universally increased the uptake of N, P and K by 18.8%, 11.7% and 18.8%, respectively. The apparent use efficiencies (AUEs) of chemicals N, P and K under G were 88.0%, 102% and 93.2% higher than those under G0 (p < 0.05). In contrast, the wheat yields of NPK, NPK + S, NPK + M and NPK + S + M were 14.3%, 22.2%, 26.4% and 19.5%, respectively, higher than those of CK. The WC and WUE increased under NPK, NPK + S, NPK + M and NPK + S + M relative to the CK (p < 0.05). Compared with CK, the NPK, NPK + S, NPK + M and NPK + S + M primarily increased the N concentration in winter wheat and universally increased the uptake of N, P and K (p < 0.05). The AUEs of N, P and K were increased by 44.3–75.3%, 72.4–103% and 128–160%, respectively, by NPK + S, NPK + M and NPK + S + M compared with CK. In conclusion, the revival of planting LGM during the fallow period was considered an appropriate measure in the Loess Plateau and similar rain-fed regions due to its ability to improve the growth and nutrient utilization of subsequent winter wheat even in the short term, as well as the lack of negative effects exerted on other organic amendments in its effectiveness. Full article
(This article belongs to the Special Issue Effects of Arable Farming Measures on Nutrient Dynamics)
Show Figures

Figure 1

15 pages, 2007 KB  
Article
Estimation of Evapotranspiration from the People’s Victory Irrigation District Based on the Data Mining Sharpener Model
by Jie Zhang, Shenglin Li, Jinglei Wang and Zhifang Chen
Agronomy 2023, 13(12), 3082; https://doi.org/10.3390/agronomy13123082 - 18 Dec 2023
Cited by 4 | Viewed by 1982
Abstract
Reasonable evaluation of evapotranspiration (ET) is crucial for optimizing agricultural water resource management. In the study, we utilized the Data Mining Sharpener (DMS) model; the Landsat thermal infrared images were sharpened from a spatial resolution of 100 m to 30 m. We then [...] Read more.
Reasonable evaluation of evapotranspiration (ET) is crucial for optimizing agricultural water resource management. In the study, we utilized the Data Mining Sharpener (DMS) model; the Landsat thermal infrared images were sharpened from a spatial resolution of 100 m to 30 m. We then used the Surface Energy Balance System (SEBS) to estimate daily ET during the winter wheat growing season in the People’s Victory Irrigation District in Henan, China. It was concluded that the spatiotemporal patterns of land surface temperature and daily evapotranspiration remained consistent before and after sharpening. Results showed that the R2 value between the ET of 30 m spatial resolution and the value by eddy covariance method reached 0.814, with an RMSE of 0.516 mm and an MAE of 0.245 mm. All of these were higher than those of 100 m spatial resolution (R2 was 0.802, the RMSE was 0.534 mm, and the MAE was 0.253 mm). Furthermore, the daily ET image with a 30 m spatial resolution exhibited clear texture and distinct boundaries, without any noticeable mosaic effects. The changes in surface temperature and ET were more consistent in complex subsurface environments. The daily evapotranspiration of winter wheat was significantly higher in areas with intricate drainage systems compared to other regions. During the early growth stage, daily evapotranspiration decreased steadily until the overwintering stage. After the greening and jointing stages, it began to increase and peaked during the sizing period. The correlation between net solar radiation and temperature with ET was significant, while relative humidity and soil moisture were negatively correlated with ET. Throughout the growth period, net solar radiation had the greatest effect on ET. Full article
(This article belongs to the Section Water Use and Irrigation)
Show Figures

Figure 1

20 pages, 3616 KB  
Article
Evapotranspiration of Winter Wheat in the Semi-Arid Southeastern Loess Plateau Based on Multi-Source Satellite Data
by Peng He, Rutian Bi, Lishuai Xu, Zhengchun Liu, Fan Yang, Wenbiao Wang, Zhengnan Cui and Jingshu Wang
Remote Sens. 2023, 15(8), 2095; https://doi.org/10.3390/rs15082095 - 16 Apr 2023
Cited by 7 | Viewed by 2337
Abstract
Continuous monitoring of evapotranspiration (ET) at high spatio-temporal resolutions is vital for managing agricultural water resources in arid and semi-arid regions. This study used the enhanced spatial and temporal adaptive reflectance fusion model (ESTARFM) to calculate the ET of winter wheat between the [...] Read more.
Continuous monitoring of evapotranspiration (ET) at high spatio-temporal resolutions is vital for managing agricultural water resources in arid and semi-arid regions. This study used the enhanced spatial and temporal adaptive reflectance fusion model (ESTARFM) to calculate the ET of winter wheat between the green-up and milk stages in Linfen Basin, a typical, semi-arid area of the Loess Plateau, at temporal and spatial resolutions of 30 m and 8 d, respectively. We then analyzed the impact of meteorological factors on ET and its variation during the main growth period of winter wheat. The fused ET data displayed the spatial details of the OLI ET data better and could accurately reflect ET variation and local sudden variations during the main growth period of winter wheat. Moreover, winter wheat ET in rain-fed areas is more heavily influenced by meteorological factors, and the effect is more direct. Affected by the synergistic effect of wind velocity, precipitation, and temperature, the ET of winter wheat in rain-fed area was lower in the green-up stage. Then, ET gradually increased, reaching its maximum in the heading–grain filling stage. At the jointing stage, temperature had a significant effect on ET. A combination of precipitation and temperature had the greatest impact on the ET of winter wheat in the heading–filling stage. In the milk stage, meteorological factors had a minor impact on ET. This study serves as a reference for ET in winter wheat in semi-arid areas and its influencing meteorological factors, which can assist in drought mitigation and regional food security strategies. Full article
Show Figures

Figure 1

15 pages, 9951 KB  
Article
Evaluation of Different Methods on the Estimation of the Daily Crop Coefficient of Winter Wheat
by Jingjing Fang, Yining Wang, Peng Jiang, Qin Ju, Chao Zhou, Yiran Lu, Pei Gao and Bo Sun
Water 2023, 15(7), 1395; https://doi.org/10.3390/w15071395 - 4 Apr 2023
Cited by 1 | Viewed by 2796
Abstract
Various methods have been developed to estimate daily crop coefficients, but their performance varies. In this paper, a comprehensive evaluation was conducted to estimate the crop coefficient of winter wheat in four growth stages based on the observed data of weighing-type lysimeters and [...] Read more.
Various methods have been developed to estimate daily crop coefficients, but their performance varies. In this paper, a comprehensive evaluation was conducted to estimate the crop coefficient of winter wheat in four growth stages based on the observed data of weighing-type lysimeters and the high-precision automatic weather station in the Wudaogou Hydrological Experimental Station from 2018 to 2019. The three methods include the temperature effect method, the cumulative crop coefficient method, and the radiative soil temperature method. Our results suggest that the performance of these methods was different in each individual growth stage. The temperature effect method was better in the emergence-branching (RMSE = 0.06, r = 0.80) and heading-maturity stages (RMSE = 0.16, r = 0.94) because the temperature is suitable for crop growth during most of these two periods. The cumulative crop coefficient method was better in the greening-jointing (RMSE = 0.16, r = 0.88) and heading-maturity stages (RMSE = 0.20, r = 0.91) because this method is closely related to crop growth, which is vigorous during these two stages. The radiative soil temperature method was better in the emergence-branching (RMSE = 0.20, r = 0.35) and branch-overwintering stages (RMSE = 0.25, r = 0.52) as the energy balance can be ensured by the relatively high level of the effective energy during these periods. By comparing the estimation accuracy indices of the three methods, we found that the temperature effect method performed the best during the emergence-branching stage (RMSE = 0.06, MAE = 0.06, r = 0.80, dIA = 0.88), branch-overwintering stage (RMSE = 0.13, MAE = 0.11, r = 0.44, dIA = 0.55), and heading-maturity stage (RMSE = 0.16, MAE = 0.13, r = 0.94, dIA = 0.97), while the cumulative crop coefficient method performed best during the greening-jointing stage (RMSE = 0.16, MAE = 0.13, r = 0.88, dIA = 0.89). Based on this result, an integrated modelling procedure was proposed by applying the best method in each growth stage, which provides higher simulation precision than any single method. When the best method was adopted in each growth stage, the estimated accuracy of the whole growth process was RMSE = 0.13, MAE = 0.09, r = 0.98, dIA = 0.99. Full article
(This article belongs to the Topic Hydrology and Water Resources in Agriculture and Ecology)
Show Figures

Figure 1

18 pages, 3291 KB  
Article
The Effects of Winter Cover Crops on Maize Yield and Crop Performance in Semiarid Conditions—Artificial Neural Network Approach
by Bojan Vojnov, Goran Jaćimović, Srđan Šeremešić, Lato Pezo, Biljana Lončar, Đorđe Krstić, Svetlana Vujić and Branko Ćupina
Agronomy 2022, 12(11), 2670; https://doi.org/10.3390/agronomy12112670 - 28 Oct 2022
Cited by 21 | Viewed by 4044
Abstract
Maize is the most widespread and, along with wheat, the most important staple crop in the Republic of Serbia, which is of great significance for ensuring national food security. With the increasing demand for food and forage, intensive agricultural practices have been adopted [...] Read more.
Maize is the most widespread and, along with wheat, the most important staple crop in the Republic of Serbia, which is of great significance for ensuring national food security. With the increasing demand for food and forage, intensive agricultural practices have been adopted in the maize production systems. In this direction, considerable research efforts have been made to examine the effects of different types of cover crops as a green manure on maize productivity; however, no consistent conclusions have been reached so far. Therefore, the objective of the present study is to examine the possibility of predicting the effects of winter cover crops (CC) integrated with different management practices on the morphological traits, yield, and yield components of maize. The experiment was carried out on chernozem soil from 2016 to 2020 as a randomized complete block design arranged as a split-split-plot with three replicates. The pea as a sole crop (P) and the mixture of pea and triticale (PT) are sown as winter CC with the following subplots: (i) CC used as green manure, and (ii) CC used as forage and removed before maize sowing. The artificial neural network is used for exploring nonlinear functions of the tested parameters and 13 categorical input variables for modeling according to the following factors: CC, way of using CC, N fertilization, and year. The computed maximums of plant height, number of leaves, number of internodes, plant density, number of ears, grain yield, 1000-grain weight, hectolitre weight, dry matter harvest residue, harvest index, leaves percentage, stems percentage, and ears percentage are as follows: 232.3 cm; 9.7; 10.2; 54,340 plants ha−1; 0.9; 9.8 t ha−1; 272.4 g; 67.0 kg HL−1; 9.2 t ha−1; 0.52; 18.9%; 36.0%, and 45.1%, respectively. The optimal result is obtained with peas used as green manure, with 50 kg N ha−1 and in the climatic conditions of 2018. Consequently, maize production under subsequent sowing periods can be successfully optimized by adapting selected management options for higher yield accomplishment. Full article
Show Figures

Figure 1

21 pages, 8434 KB  
Article
Characterizing Spatiotemporal Patterns of Winter Wheat Phenology from 1981 to 2016 in North China by Improving Phenology Estimation
by Shuai Wang, Jin Chen, Miaogen Shen, Tingting Shi, Licong Liu, Luyun Zhang, Qi Dong and Cong Wang
Remote Sens. 2022, 14(19), 4930; https://doi.org/10.3390/rs14194930 - 2 Oct 2022
Cited by 5 | Viewed by 2668
Abstract
Phenology provides important information for wheat growth management and the estimation of wheat yield and quality. The relative threshold method has been widely used to retrieve phenological metrics from remotely sensed data owing to its simplicity. However, the thresholds vary substantially among phenological [...] Read more.
Phenology provides important information for wheat growth management and the estimation of wheat yield and quality. The relative threshold method has been widely used to retrieve phenological metrics from remotely sensed data owing to its simplicity. However, the thresholds vary substantially among phenological metrics and locations, hampering us from effectively detecting spatial and temporal variations in winter wheat phenology. In this study, we developed a calibrated relative threshold method based on ground phenological observations. Compared with the traditional relative threshold method, our method can minimize the bias and uncertainty caused by unreasonable thresholds in determining phenological dates. On this basis, seven key phenological dates and three growth periods of winter wheat were estimated from long-term series (1981–2016) of the remotely sensed Normalized Difference Vegetation Index for North China (106°18′–122°41′E, 28°59′–39°57′N). Results show that the pre-wintering phenological dates of winter wheat (i.e., emergence and tillering) occurred in December in the south and in mid- to late- October in the north, while the post-wintering phenological dates (i.e., green-up onset, jointing, heading, milky stage, and maturity) exhibited the opposite pattern, that is, January to May in the south and February to June in the north. Consequently, the vegetative growth period increased from 49 days in the south to 77 in the north, and the reproductive growth period decreased from 51 days to 29 days. At the regional scale, all winter wheat phenological dates predominantly advanced, with the most pronounced advancement being for green-up onset (–0.10 days/year, p > 0.1), emergence (–0.09 days/year, p > 0.1), and jointing (–0.08 days/year, p > 0.1). The vegetative growth period and reproductive growth period at the regional scale predominantly extended by 0.03 (p > 0.1) and 0.09 (p < 0.001) days/year, respectively. In general, the later phenological events (i.e., heading, milky stage, and maturity) tended to advance with higher temperature, while the earlier phenological events (i.e., emergence, tillering, green-up onset, and jointing) showed a weak correlation with temperature, suggesting that the earlier events might be mainly affected by management while later ones were more responsive to warming. These findings provide a critical reference for improving winter wheat management under the ongoing climate warming. Full article
(This article belongs to the Special Issue Remote Sensing for Vegetation Phenology in a Changing Environment)
Show Figures

Figure 1

14 pages, 3555 KB  
Article
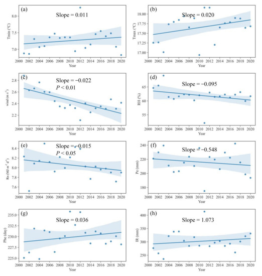
Factors Influencing the Spatiotemporal Variability in the Irrigation Requirements of Winter Wheat in the North China Plain under Climate Change
by Nan Wang, Jiujiang Wu, Yuhui Gu, Kongtao Jiang and Xiaoyi Ma
Agronomy 2022, 12(9), 1987; https://doi.org/10.3390/agronomy12091987 - 23 Aug 2022
Cited by 8 | Viewed by 2269
Abstract
The North China Plain is a major grain-producing area, but faces water scarcity, which directly threatens food security. The problem is more severe under climate change and the seasonal impact of climate change on winter wheat is different. Thus, it is of great [...] Read more.
The North China Plain is a major grain-producing area, but faces water scarcity, which directly threatens food security. The problem is more severe under climate change and the seasonal impact of climate change on winter wheat is different. Thus, it is of great importance to explore the spatiotemporal characteristics of irrigation requirements (IR) and the factors influencing IR in different growth periods of winter wheat, but it has not received much attention. Therefore, we used relative contribution, partial correlation and path analyses to assess the spatiotemporal characteristics of the IR and primary factors influencing the IR of winter wheat in various growing stages in the North China Plain. The results indicated that wind speed and net solar radiation showed a significant downward trend; no prominent trend was noted in IR (multiyear average, 302.3 mm). Throughout the growing season of winter wheat, IR increased gradually from the southern to northern extent of the North China Plain. The irrigation demand of winter wheat in stage P2 (green-up to heading) was the largest. Furthermore, the dominant drivers of IR in terms of spatial distribution and inter-annual variation were phenological period (Phe), effective precipitation (Pe) and relative humidity (RH); however, the degree of their effects varied across the growth stages and growing regions of winter wheat. Each factor exerted both direct and indirect effects on IR and Phe exhibited the strongest indirect effect on IR. The major factors contributing most to IR were Pe and RH in the P1 stage (sowing to green-up) and Phe, Pe and RH in the P2 and P3 (heading to maturity) stages. Pe and RH limited IR, whereas Phe promoted it. Our findings will help improve agricultural water management in the future. Full article
Show Figures

Figure 1

Back to TopTop