You are currently viewing a new version of our website. To view the old version click .
Agriculture
  • Article
  • Open Access

27 June 2024

Systematic Analysis of the Effects of Different Green Manure Crop Rotations on Soil Nutrient Dynamics and Bacterial Community Structure in the Taihu Lake Region, Jiangsu

,
,
,
,
,
,
,
,
and
1
College of Agro-Grassland Science, Nanjing Agricultural University, Nanjing 210095, China
2
School of Life Science, Nanjing University, Nanjing 210023, China
3
High and New Technology Research Institute, Nanjing University, Suzhou 215123, China
*
Authors to whom correspondence should be addressed.
This article belongs to the Section Agricultural Soils

Abstract

In the traditional farming systems, the excessive application of chemical fertilizers to boost crop yields has resulted in a range of issues, such as soil quality degradation, soil structure deterioration, and pollution of the farmland ecological environment. Green manure, as a high-quality biological fertilizer source with rich nutrient content, is of great significance for enhancing the soil quality and establishing a healthy farmland ecosystem. However, there are few studies on the effects of different green manures on the soil nutrient levels, enzyme activities, and soil bacterial community composition in the rice–wheat rotation areas in southern China. Thus, we planted Chinese milk vetch (MV; Astragalus sinicus L.), light leaf vetch (LV; Vicia villosa var.), common vetch (CV; Vicia sativa L.), crimson clover (CC; Trifolium incarnatum L.), Italian ryegrass (RG; Lolium multiflorum L.), and winter fields without any crops as a control in the Taihu Lake area of Jiangsu. The soil samples collected after tilling and returning the green manure to the field during the bloom period were used to analyze the effects of the different green manures on the soil nutrient content, enzyme activity, and the structural composition of the bacterial community. This analysis was conducted using chemical methods and high-throughput sequencing technology. The results showed that the green manure returned to the field increased the soil pH, soil organic matter (SOM), alkali-hydrolyzed nitrogen (AN), available phosphorus (AP), available potassium (AK), sucrose (SC), urease (UE), and neutral phosphatase (NEP) contents compared to the control. They increased by 1.55% to 10.06%, 0.26% to 9.31%, 20.95% to 28.42%, 20.66% to 57.79%, 12.38% to 37.94%, 3.11% to 58.19%, 6.49% to 32.99%, and 50.0% to 80.36%, respectively. In addition, the green manure field increased the relative abundance of the genera Proteobacteria and Haliangium while decreasing the relative abundance of Gemmatimonadetes, Chloroflexi, SBR1031, and Anaeromyxobacter in the soil bacteria. Both the number of ASVs (amplicon sequence variants) and α-diversity of the soil bacterial communities were higher compared to the control, and the β-diversity varied significantly among the treatments. Alkali-hydrolyzed nitrogen and neutral phosphatase had the greatest influence on the soil bacterial community diversity, with alkali-hydrolyzed nitrogen being the primary soil factor affecting the soil bacterial community composition. Meanwhile, the results of the principal component analysis showed that the MV treatment had the most significant impact on soil improvement. Our study provides significant insights into the sustainable management of the soil quality in rice–wheat rotations. It identifies MV as the best choice among the green manure crops for improving the soil quality, offering innovative solutions for reducing chemical fertilizer dependence and promoting ecological sustainability.

1. Introduction

Fertilization is a crucial agricultural practice to enhance the soil fertility and increase the crop yield in agro-ecosystems [1,2]. Fertilization can affect soil microorganisms indirectly by changing the physical and chemical properties of the soil or directly by providing nutrients [3]. However, the negative effects of fertilizer application should not be ignored. The excessive and continuous use of chemical fertilizers can lead to soil degradation, such as soil acidification, deterioration of the soil structure [4], reduction in the soil organic carbon (SOC) content, environmental pollution, and a drastic reduction in biodiversity, among a host of other problems [5]. The soil environmental issues mentioned above jeopardize the entire agro-ecosystem and diminish the sustainability of crop production [6]. Therefore, controlling the application of chemical fertilizers while ensuring soil quality is crucial for maintaining high crop yields and achieving sustainable agricultural development [7,8].
In China, there are various types of green manures, including legumes, crucifers, and grasses. Most of the green manure planted in the southern region is dominated by Italian ryegrass, Chinese milk vetch, common vetch, and light leaf vetch [9]. A previous study reported a significant increase in the dominant bacterial Proteobacteria in the soil after ryegrass was returned to the field. This increase may be closely related to the organic carbon and SOM produced by the decomposition of the ryegrass in the soil. Additionally, a strong positive correlation was found between the soil organic matter content in the inter-root soil and Proteobacteria after the ryegrass was plowed and returned to the field [10]. Zhang et al. [11] investigated the inter-root and soil microbial communities of rice under different green manure treatments using the high-throughput sequencing of 16S ribosomal ribonucleic acid (16S rRNA) and quantitative polymerase chain reaction (PCR) techniques. Their research revealed that the bacterial populations in the green manure treatments are significantly higher than those in the winter fallow field. It can be seen that, when green manure is returned to the field, it leads to changes in the soil nutrient content and microbial community structure.
Soil microorganisms play a crucial role in agricultural systems by controlling biogeochemical processes such as the decomposition of organic matter, nitrogen mineralization and cycling, as well as promoting plant nutrient uptake and above-ground plant growth [12]. The composition of soil microbial species is closely related to the soil chemical properties. High soil fertility can promote the growth of the bacterial communities in the soil [13]. Soil bacterial communities are critical for soil fertility and function. They play a key role in breaking down organic matter, releasing enzymes into the soil, and absorbing nutrients and water [14,15]. Understanding the response of soil bacterial communities to continuous fertilization is critical for guiding the development of effective fertilization programs in paddy fields. Green manure is a natural, pollution-free, and nutrient-rich source of high-quality biological fertilizer. The introduction of green manure into paddy fields can not only improve the physical and chemical properties of the soil [16] but also have a significant impact on the structure and functional characteristics of the soil microbial communities. Especially for farming systems with low available nutrient content, green manure can stimulate the soil microbial communities by increasing the mycorrhizal abundance and microbial biomass [17,18]. According to Bending et al. [19], green manure crops, soil, and soil microorganisms form an ecological system that mutually reinforces and controls each aspect. Although the aforementioned research results have significantly contributed to filling the theoretical gaps in the field of the changes in the soil nutrient levels and microbial community structure related to planting green manure, there is a lack of a comprehensive summary and systematic research.
The Taihu Lake region is a significant rice-producing area in China. It is characterized by a typical biannual cropping system, with rice–wheat rotation being the primary cropping pattern in the region. To sustain and enhance the crop yields to meet the increasing global food demand, farmers have adopted chemical fertilizers and intensive farmland practices. However, the excessive use of chemical fertilizers and intensive farmland exploitation have resulted in the rapid deterioration of the soil quality, destruction of the soil structure, nutrient depletion, and a reduction in the biodiversity in the region [20,21,22]. Simultaneously, such practices have caused significant harm to the farmland environment, leading to serious pollution. This practice, known as “feeding the fields with the fields” and “feeding the land with the land” [23], is essential for maintaining high and stable rice yields, increasing the soil fertility, and improving the agro-ecosystem [24]. In this paper, based on previous studies, field positioning experiments were carried out to analyze the effects of five green manures, namely Chinese milk vetch, light leaf vetch, common vetch, crimson clover, and Italian ryegrass, on the soil nutrient levels and bacterial community structure after being reintroduced to the field using chemical methods and high-throughput sequencing technology (Figure 1). Additionally, suitable green manure crops were identified through a principal component analysis. In addition, the relationship between the soil bacterial species composition, diversity, and environmental factors was explored through a redundancy analysis. This was conducted to further elucidate the microbial mechanisms of various green manures on enhancing paddy soil and to offer theoretical support for enhancing the sustainable production capacity of farmland.
Figure 1. Sparse curves of soil bacterial sequences under different treatments. MV stands for Chinese milk vetch, RG stands for Italian ryegrass, CV stands for common vetch, CC stands for crimson clover, LV stands for light leaf vetch, and CK stands for winter fallow field. The same as Figure 2, Figure 3, Figure 4, Figure 5, Figure 6 and Figure 7.

2. Materials and Methods

2.1. Experimental Site

The experiment was conducted from October 2021 to May 2022 in the experimental field of Dianshanhu lake town, Kunshan City, Jiangsu Province, China (N 31° 37′, E 119° 10′). The field belongs to the subtropical southern monsoon climate zone, with a mild and humid climate, an annual average temperature of 13 °C–15 °C, four distinct seasons, and an average annual rainfall of about 1057 mm. The soil type of the experimental site was loess, with a textural composition of 21.54% clay, 57.67% silt, and 20.88% sand (0~30 cm). The physical and chemical properties of the soil in the initial tillage layer (0~30 cm) can be observed in Table 1.
Table 1. Details of soil characteristics in 0-30 cm layers at the study sites.

2.2. Experiment Design

Using field plot experiment, a total of 6 treatments were set up: (1) CK, winter fallow field without any planting, (2) MV, planting Chinese milk vetch, (3) LV, planting light leaf vetch, (4) CV, planting common vetch, (5) CC, planting crimson clover, and (6) RG, planting Italian ryegrass. Each treatment was repeated 3 times. Each cell area is 20 m2 (length 5 m × width 4 m). Sowing was carried out on 15 October 2021. Before sowing, a basal fertilizer compound (with N, P, and K contents of 15%) of 375 kg/hm2 was applied. Sowing was conducted by evenly spreading the seeds. The sowing rates for the green manure crops were as follows: 45 kg/hm2 MV, 30 kg/hm2 CC, 60 kg/hm2 CV, 52.5 kg/hm2 LV, and 30 kg/hm2 RG.

2.3. Soil Sample Collection and Measurement

2.3.1. Soil Sample Collection

On 13 April 2022, all the green manure crops were turned over and returned to the soil. During the decomposition period of green manure (on 31 May 2022), the soil in the 0~30 cm layer of each research sample area was obtained by the five-point sampling method (“W-shape” distribution). Debris such as stones, gravel, and plant residues were removed, mixed thoroughly, and placed in sterile self-sealing bags with numbers. The location and date of collection were recorded. The soil samples were transported to the laboratory in an insulated box with dry ice and then divided into two parts. One part was air-dried in a cool and ventilated place and finely ground through a 2 mm sieve for the determination of soil chemical properties. The other part was stored in a refrigerator at −80 °C for the extraction of soil microbial DNA and the determination of the structure of the microbial community.

2.3.2. Measurement of Soil Chemical Properties

Soil pH (pH), soil organic matter (SOM), total nitrogen (TN), total phosphorus (TP), total potassium (TK), alkali-hydrolyzed nitrogen (AN), available phosphorus (AP), and available potassium (AK) were measured using standard protocols following Liu et al. [25]. Soil enzyme activities were measured as described by Guan [26]. Sucrase (SC) activity was determined using the colorimetric method involving 3,5-dinitrosalicylic acid. Urease (UE) activity was determined using the colorimetric method involving sodium phenol–sodium hypochlorite. Catalase (CAT) activity was determined using the titrimetric method with potassium permanganate. The neutral phosphatase (NEP) activity was determined by a colorimetric method.

2.3.3. Soil DNA Extraction, PCR Amplification, and Sequencing

Microbial DNA was extracted by E. Z.N.A. The method of soil DNA Kit (Omega Bio-tek, Norcross, GA, USA) was according to the manufacturer’s instructions. First, genomic DNA was extracted and purified using the OMEGA Soil DNA Kit (D5625-01) from Omega Bio-Tek (Norcross, GA, USA). Second, the DNA was subjected to 0.8% agarose gel electrophoresis to determine its molecular size, and its concentration was measured using a UV spectrophotometer (Thermo Scientific, Wilmington, DE, USA). Third, we selected the hypervariable V3–V4 region of the bacterial 16S rRNA gene for PCR amplification and sequencing. The primers 338F (5′-ACTCC-TACGGGAGGCAGCAG-3′) and 806R (5′-GGACTACHVGGGTWTCTAAT-3′) were used to amplify the V3–V4 region of the 16S rRNA gene in bacteria [27]. PCRs were performed for each soil DNA extract in triplicate 20 μL mixtures containing 4 μL of 5 × FastPfu Buffer, 2 μL of 2.50 m mol L−1 dNTPs, 0.8 μL of each primer (5 μ mol L−1), 0.4 μL of FastPfu Polymerase, and 10 ng of template DNA. The following thermal program was used for the PCRs: pre-denaturation at 98 °C for 30 s, followed by 26 cycles of denaturation at 98 °C for 15 s. Annealing at 50 °C for 30 s, extending at 72 °C for 30 s; then keep at 72 °C for 5 min. The resulting PCR products were gel-purified using an AxyPrep DNA Gel Extraction Kit (Axygen Biosciences, Union City, CA, USA). Equimolar amounts of the PCR products were combined into one pooled sample and submitted to Personalbio Technology (Nanjing, China) for sequencing on an Illumina MiSeq machine (Illumina PE300, San Diego, CA, USA).

2.4. Data Statistical Analysis

Data analysis and image rendering were mainly performed using QIIME 2 and R software [28,29]. QIIME 2 software was utilized to generate rarefaction curves to assess if the current sample size accurately represents the actual changes in bacterial community structure characteristics. Additionally, it calculates alpha diversity indices such as the Chao1 index, Shannon index, Faith’s PD index, and Good’s coverage for soil bacterial communities. The richness, diversity, and coverage of soil bacterial communities were illustrated using box charts. The analysis of beta diversity based on Bray–Curtis distance was conducted. The spatial separation of soil bacterial communities was characterized using nonmetric multidimensional scaling (NMDS). They were statistically analyzed using permutational multivariate analysis of variance. In addition, redundancy analysis (RDA) and Pearson Correlation Analysis (PCA) were used to illustrate the relationship between soil bacterial community composition and physicochemical factors. SPSS version 22.0 (IBM Corp., Armonk, NY, USA) was used for processing soil nutrient and enzyme activity data, as well as for conducting one-way ANOVA, and significant differences between treatments were compared by Duncan’s test at p < 0.05.

3. Results

3.1. Analysis of the Differences in Soil Nutrient Levels and Enzyme Activity among Various Green Manures

The effects of various green manure applications on the soil nutrient levels are presented in Table 2. Compared with the control group (CK), various green manure treatments significantly increased the soil pH value (p < 0.05). Among them, the LV treatment showed the most substantial increase in the soil pH value, with a 10.06% increase; the SOM content under the RG treatment significantly increased by 9.31% (p < 0.05), whereas, under the MV, LV, CV, and CC treatments, there was no significant increase (p ≥ 0.05). Different green manure treatments significantly increased the soil AN content (p < 0.05). Among these treatments, the MV treatment showed the largest increase, with the AN content rising by 28.42%; the light leaf vetch and MV treatments significantly increased the content of the AP and AK in the soil (p < 0.05). The light leaf vetch treatment showed the most significant increase in the AP, rising by 57.79%, whereas the MV treatment exhibited the highest increase in the AK, with a 37.94% increase. The AK content in the CV, CC, and RG treatments did not reach a significant level (p ≥ 0.05).
Table 2. Analysis of the variation in soil nutrient levels among different types of green manures.
The effects of different green manure return modes on the soil enzyme activities are shown in Table 3. Compared with the CK, various green manure treatments significantly increased the soil SC activity (p < 0.05). Among these treatments, the CV treatment showed the most substantial increase, boosting the soil SC activity by 58.19%. The UE content in the LV treatment was significantly increased by 32.99.0% (p < 0.05), while the MV, CV, and RG treatments did not show significant increases (p ≥ 0.05). The catalase activity in the soil increased by 90.34% under the low-voltage treatment. The neutral phosphatase activity significantly increased under various green manure treatments (p < 0.05), with the LV treatment showing the highest increase (80.36%).
Table 3. Analysis of the variation in soil enzyme activity levels among different types of green manures.
Table 3. Analysis of the variation in soil enzyme activity levels among different types of green manures.
TreatmentSC
/[(mg/(g 24 h)]
UE
/[(mg/(g 24 h)]
CAT
/[(0.1 mol/L KMnO4/(g 24 h)]
NEP
/[(mg/(g 24 h)]
CK3.54 ± 0.32 c3.85 ± 0.62 c2.38 ± 0.05 cd0.56 ± 0.11 b
MV5.25 ± 0.23 a4.14 ± 0.22 bc2.91 ± 0.50 b0.95 ± 0.12 a
LV4.61 ± 0.24 b5.12 ± 0.25 a4.53 ± 0.10 a1.01 ± 0.13 a
CV5.60 ± 0.43 a4.26 ± 0.13 bc2.43 ± 0.11 c0.91 ± 0.10 a
CC3.65 ± 0.18 c4.65 ± 0.09 ab2.26 ± 0.10 de0.85 ± 0.79 a
RG4.40 ± 0.43 b4.10 ± 0.08 c2.17 ± 0.03 e0.84 ± 0.12 a
Note: SC stands for sucrase, UE stands for urease, CAT stands for catalase, and NEP stands for neutral phosphatase. Different lowercase letters in the same column indicate significant differences between treatments (p < 0.05).
Table 4. Composite scores of three principal components under different treatments.
Table 4. Composite scores of three principal components under different treatments.
TreatmentsF1F2F3FsynthesisSequence
CK−5.93−0.93−0.34−3.976
MV2.000.63−1.441.311
LV−0.33.701.091.022
CV1.340.23−1.020.813
CC0.96−1.120.770.315
RG1.94−2.510.940.514

3.2. Analysis of the Differences in Bacterial Community Composition in Soil Amended with Various Green Manures

The sparse curve of the soil bacterial sequences after different green manures were returned to the field is shown in Figure 1. The number of amplicon sequence variants (ASVs) in each treatment first increased sharply with the increase in the sequencing depth and then gradually stabilized, indicating that the sequencing depth of the samples met the analysis requirements and was sufficient to cover the information of most bacteria in the samples, which could truly reflect the characteristics of the bacterial community structure in the soil under different treatment conditions. The MV, RG, CV, CC, LV, and CK treatments detected 6334, 6307, 4472, 5617, 4835, and 2845 ASVs, as shown in Figure 2, respectively, where the number of ASVs in common was 319. We observed a wide range of differences in the magnitude of the enhancement of the soil bacterial taxa by the five green manure treatments. Comparatively, the CK, MV, RG, CV, CC, and LV treatments resulted in increases in the soil bacterial taxa by 122.63%, 121.68%, 57.18%, 97.43%, and 69.94%, respectively. Among the treatments, the MV treatment had the highest number of ASVs and the richest microbial taxa, whereas the CV treatment had the lowest number of ASVs and the simplest microbial taxa.
Figure 2. Petal map of the abundance of soil bacterial communities under different treatments. In the diagram, each block represents a group. The overlapping area between the blocks indicates the ASV shared between the corresponding groups, and the number within each block indicates the number of ASVs contained in that block.
At the phyla classification level (Figure 3A), the top 10 most abundant soil bacterial communities were Proteobacteria, Chloroflexi, Acidobacteria, Actinobacteria, Gemmatimonadetes, Nitrospirae, Bacteroidetes, Rokubacteria, Latescibacteria, and Verrucomicrobia. In the MV, RG, CV, CC, LV, and CK treatments, the bacteria with a relative abundance greater than 1% accounted for 96.80%, 96.09%, 96.77%, 95.93%, 94.22%, and 96.55% of the total bacteria, respectively. Proteobacteria had the highest relative abundance in all the treatments, accounting for 24.21% to 44.92% of the total bacteria. Among all the treatments, the highest relative abundance is associated with Proteobacteria, followed by Chloroflexi and Acidobacteria. Compared with the CK, the application of green manures increased the relative abundance of Proteobacteria. The relative abundance of Proteobacteria increased by 37.59% to 85.54%, and the relative abundance of Gemmatimonadetes and Chloroflexi decreased in terms of the soil bacteria. The relative abundance of Gemmatimonadetes decreased by 33.94% to 116.06%, while Chloroflexi decreased by 9.68% to 68.38%. Figure 3B illustrates the clustering relationship between each treatment and the bacterial community at the genus level. It can be seen from the figure that the LV and MV treatments cluster together, while the CC and RG treatments also cluster together. In addition, the LV treatment exhibited a strong positive correlation with Nitrospirae and Chloroflexi, and a strong negative correlation with Gemmatimonadetes and Verrucomicrobia. The MV treatment is strongly positively correlated with Actinobacteria, the CC treatment is strongly positively correlated with Bacteroidetes, and the RG treatment is strongly positively correlated with Proteobacteria. There are significant differences (P < 0.05) in the trends of influence of each green manure treatment at the phyla classification level.
At the genus classification level (Figure 4A), the top 10 genera in terms of bacterial community abundance were Subgroup_6 genera (Acidobacteria) and SBR1031 genera (Anaerobylinobacteria). The identified bacterial groups include Anaerolineae, Anaeromyxobacter, Subgroup_17 (Acidobacteria), and Haliangium (Myxobacteria), KD4-96 (Chloroflexi), genus 4-29-1 (Nitrospirae), genus RBG-13-54-9 (Anaerolineae), genus Subgroup_7 (Holophagae), and genus A4b (Anaerolineae). Among these, Subgroup_6 exhibited the highest relative abundance in all the treatments and was the dominant bacterium in the soil bacterial community, followed by SBR1031 and Anaerolineae. Compared with the CK, the application of green manures increased the relative abundance of Haliangium; the relative abundance of Haliangium increased by 13.78% to 50.00%. Meanwhile, that of SBR1031, Anaeromyxobacter, Subgroup_17, and A4b decreased. The relative abundance of SBR1031, Anaeromyxobacter, Subgroup_17, and A4b decreased by 32.71% to 123.90%, 6.05% to 88.76%, 13.77% to 266.89%, and 9.88% to 177.55%, respectively. In Figure 4B, the LV and CK treatments clustered together, and the RG and CC treatments clustered together, showing similarities in community structure. In addition, the LV treatments showed a strong negative correlation with Subgroup-7 genera and KD4-96 genera, and a positive correlation with RBG-13-54-9 genera. The CV treatment showed a strong positive correlation with Haliangium, Subgroup-6 and Subgroup-7 genera, and the RG treatment showed a strong negative correlation with the 4-29-1 genus, indicating that there were also significant differences (p < 0.05) in the dominant species of the soil bacteria at the genus level after planting different green manures and returning them to the soil.
As shown in Figure 5, there was a significant difference in the relative abundance of Proteobacteria, Subgroup_17 between the CK and RG treatments (p < 0.05), and a significant difference in the relative abundance of Chloroflexi between the CK and CC treatments (p < 0.05). In addition, there was a significant difference in the relative abundance of Gemmatimonadetes between the CK and LV treatments, and there was a significant difference in the relative abundance of Bacteroidetes between the CK and CC treatments (p < 0.05).
Figure 3. (A) illustrates the relative abundance of bacterial phyla in soil under different treatments, while (B) demonstrates the clustering relationship between bacterial communities and treatments. Different color block sizes in the figure correspond to the relative abundance of each phylum. In (B), blue represents a positive correlation, and brown represents a negative correlation.
Figure 4. (A) illustrates the relative abundance of soil bacteria genera under different treatments, while (B) demonstrates the clustering relationship between bacterial communities and treatments. In (A), different colored blocks represent the varying abundance of each bacterial genus. In (B), blue represents a positive correlation, and brown represents a negative correlation.
Figure 5. Analysis of the significant differences among the top 10 phyla and genera in relative abundance rankings of different treatments. * Significant level was p < 0.05, ** Significant level was p < 0.01.

3.3. Analysis of Soil Bacterial Diversity in Various Green Manures

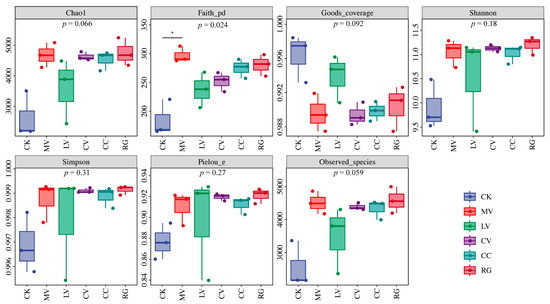
The effects of different green manures’ return modes on the alpha diversity index of the soil bacterial community are shown in (Figure 6). The coverage values of different treatments were between 0.988 and 1.00, indicating that the alpha diversity index can reflect the real situation of the bacterial community in the sample. The Chao 1 and observed species indices were increased by different green manures when returned to the field compared with the CK. Additionally, the Shannon and Simpson indices increased after the MV, RG, CV, CC, and LV treatments compared with the CK. Among the various treatments, the RG treatment showed the highest Chao1, observed species, Shannon, and Simpson indices, indicating the greatest enhancement in the soil bacterial species richness and diversity. In addition, the PD index of Faith and the evenness index of Pielou showed significant increases after the application of green manure. Among them, the MV treatment exhibited the highest Faith’s PD index, representing a high level of community genetic diversity. Furthermore, the difference in Faith’s PD index between the MV and CK treatments was significant (p < 0.05).
The NMDS showed a significant difference (p < 0.05) in the beta diversity of the bacterial community between the treatments, as depicted in Figure 7A. Among them, the bacterial communities of CK and the five green manure treatments were farther away from each other in the graph. Thus, the differences between the CK treatment and different green manure treatments were significant. The five green manure treatments exhibited variations in the bacterial communities. The RG and CC treatments appeared to be more similar to each other in the graphs, indicating minimal differences in the soil bacterial communities between the two. By contrast, the MV, CV, and LV treatments appeared to be distant from one another in the graphs, suggesting significant differences in the soil bacterial communities among the three green manure treatments. The permutation multivariate analysis of variance is used to validate the distribution pattern depicted in the NMDS ranking chart. The distance between the samples in the CK treatment group and the samples in the MV, RG, CV, CC, and LV treatment groups can be seen in Figure 7B. The p-value of this analysis result is 0.001, indicating that the various green manure treatments differ significantly from the CK treatments in terms of the species composition. The R value of 0.83 indicates that the distance within the group is much smaller than the distance between the groups, suggesting that the grouping of the experiment is in good condition.
Figure 6. Effects of different green manures on alpha diversity of soil bacterial communities. * Significant level was p < 0.05.
Figure 7. The nonmetric multidimensional scaling analysis of soil bacterial communities in different treatments (A); the permutational multivariate analysis of variance of bacterial communities (B).

3.4. Analysis of the Relationship between Soil Microbial Community Structure and Environmental Factors

The RDA ordination plots of the soil bacterial abundance versus environmental factors for the top five ranked soil bacteria at different treatment gradient levels can be seen in Figure 8. The typical axes 1 and 2 of the RDA ordination plots explained 62.4% and 7.54% of the total variance in the soil bacterial community and environmental factors, respectively. The order of influence of the environmental factors on the soil bacterial community was AN > SOM > AK > pH > AP. Proteobacteria were positively correlated with the AN, SOM, pH, and AP but negatively correlated with the AK. Chloroflexi showed a positive correlation with the pH and AK but a negative correlation with the AP, AN, and SOM. Acidobacteria were positively correlated with the AK and pH but negatively correlated with the AP, AN, and SOM. Actinobacteria were positively correlated with the SOM, AK, and AN but negatively correlated with the AP and pH. Gemmatimonadetes was positively correlated with the AP and SOM but negatively correlated with the AN, fastidious phosphorus, and pH.
Figure 8. Redundancy analysis of dominant phyla and environmental factors of soil bacteria.

3.5. Comprehensive Evaluation of Soil Improvement Effects of Different Green Manures Based on PCA

To better understand the overall effects of the different green manure high-yield groups on soil improvement, we conducted a PCA on the relevant indicators of nutrient content, enzyme activity, and microorganisms for each treatment. Three principal components with eigenvalues greater than 1 were obtained, providing further clarification on the comprehensive effect. The eigenvalues of the first, second, and third principal components were 9.160, 4.507, and 1.180, respectively; these eigenvalues had contribution rates of 57.251%, 28.171%, and 7.376%, respectively. The cumulative contribution of the first three principal components was as high as 92.798%. These three principal components could effectively represent all the information from the original data. Therefore, the first three principal components were selected as composite variables to assess the overall effect of the different high-yielding green manure groups on soil improvement.
The formula for the linear combination function between the three principal components and sixteen factors was derived from the PCA formula:
F 1 = 0.124 X 1 + 0.197 X 2 + 0.325 X 3 + 0.171 X 4 + 0.071 X 5 + 0.201 X 6 + 0.107 X 7 0.001 X 8 + 0.265 X 9 + 0.295 X 10 + 0.318 X 11 + 0.310 X 12 + 0.319 X 13 + 0.311 X 14 + 0.320 X 15 + 0.314 X 16
F 2 = 0.409 X 1 0.333 X 2 0.001 X 3 + 0.381 X 4 + 0.293 X 5 + 0.173 X 6 + 0.340 X 7 + 0.444 X 8 + 0.279 X 9 0.062 X 10 0.111 X 11 0.066 X 12 0.110 X 13 0.117 X 14 0.104 X 15 0.116 X 16
F 3 = 0.026 X 1 + 0.336 X 2 + 0.140 X 3 + 0.174 X 4 0.528 X 5 0.513 X 6 + 0.449 X 7 + 0.233 X 8 + 0.069 X 9 + 0.111 X 10 0.093 X 11 0.057 X 12 0.083 X 13 0.003 X 14 0.043 X 15 0.025 X 16
where X1 represents soil pH, X2 represents SOM, X3 represents AN, X4 represents AP, X5 represents AK, X6 represents SC, X7 represents UE, X8 represents CAT, X9 represents NEP, X10 represents the number of bacterial taxa ASVs, X11 represents the Chao 1 index, X12 represents Faith’s PD index, X13 represents Pielou’s evenness index, X14 represents Pielou’s evenness index, X15 represents Shannon’s index and X16 represents Simpson’s index.
The weights of the three principal components were calculated to be 0.616, 0.303, and 0.079. These results were then substituted into the composite expression to obtain the composite effect score, F, for the synthesis of different green manures used for the soil improvement in the field.
Fsynthesis = 0.616 F 1 + 0.303 F 2 + 0.079 F 3
As shown in Table 4, the composite scores of the different treatments were as follows (in descending order): MV > LV > CV > RG > CC > CK. Among these treatments, the MV treatment had the most significant effect on soil improvement.

4. Discussion

4.1. Soil Nutrient and Enzyme Dynamics

The introduction of different green manure crops significantly influenced the soil nutrients and enzyme activities. In this study, it was found that, compared with idle fields in winter, applying green manure to fields could increase the pH value of acidic soil in a short period of time. The experiment showed that the green manure could increase the soil organic matter content to a certain extent, with a 0.26% increase in the soil organic matter content and increases of 0.26–9.31% under different treatments. This phenomenon may be attributed to the intense decomposition of the green manure by microorganisms once it is reintroduced to the field, consequently leading to a substantial rise in the soil organic matter content [30]. Hu et al. [31] and Haruna [32] also reported similar results in the tropics and subtropics. The incorporation of green manure into the field led to the decomposition of fresh plant material in the soil and a rapid rise in the soil’s AN content. The findings of this research revealed that, in comparison with winter fields, various green manure crops reintroduced to the field led to an increase in the soil AN content. Additionally, leguminous green manure crops had a significantly greater effect on the soil AN content than graminaceous green manure, with the MV treatment showing the most pronounced effect on increasing the soil AN content. The results of this experiment also showed that the AP in the soil increased by 20.70% to 57.80% compared to the control, which was consistent with the previous research findings. The results showed that the concentration of the available phosphorus (AP) in the soil increased by 20.66% to 57.79% compared to the control. This may be due to the mineralization of the green manure in the soil after incorporation, which converts organic phosphorus into inorganic phosphorus, thus increasing the content of nutrients such as the available phosphorus (AP) in the soil [33].
The experiment also found that various green manures reintroduced into the field increased the content of the AP in the soil. These increases may be attributed to the root secretions of green manures, which contain oxalic acid, malic acid, and other organic substances during their growth. These substances promote the dissolution of insoluble potassium through acidification, making it accessible to crops and thereby increasing the content of AK in the soil. This is contrary to the results of Ding et al. [34] and may be related to different soil environments and climate conditions. This result indicated that the return of different green manure high-yielding groups to the field had a positive effect on improving the soil quality of the paddy field.
The enzyme activities, such as sucrase, urease, and phosphatase, improved significantly, indicating enhanced soil quality and fertility. Asghar and Kataoka [35] highlighted the importance of these enzymes in nutrient cycling, which aligns with our findings. It was found that the activities of SC, UE, and NEP in the soil significantly increased after the green manure was applied to the field compared to the fallow field in winter. The main reason for the above results was that the soil humus content increased after the green manure was returned to the field compared to the CK. Therefore, the increase in the soil enzyme protection sites and soil microbial carbon and nitrogen sources promoted microbial reproduction and stimulated the increase in enzyme activity [36]. Secondly, organic matter, as the substrate for soil enzymes, may also directly induce an increase in soil enzyme activity.
The potential of green manure crops to enhance soil quality is supported by Bowles et al. [37] and Chavarría et al. [38], who noted improvements in enzyme activities. Future research should explore the long-term impact of these crops on reducing the environmental degradation across different regions and cropping systems. The differences in the soil nutrient dynamics among various green manure crops highlight the importance of selecting plants with specific root structures and decomposition characteristics. The variation impacts nutrient cycling and soil fertility, emphasizing the need to tailor crops for specific soil enhancement.

4.2. Soil Bacterial Community Structure

Green manure crops significantly improve the soil bacterial diversity by enriching beneficial phyla like Proteobacteria and Acidobacteria [39]. Our study confirmed similar results. These results were consistent with the findings of previous studies on bacteria [40]. The Proteobacteria phylum, as eutrophic bacteria, can rapidly colonize eutrophic soil environments and play an important role in the decomposition of plant matter and the formation of humus [41].
The results of this experiment showed that using different green manure in the field increased the alpha diversity of the bacterial community in paddy soil. These results indicate that the richness, diversity, genetic diversity, and uniformity of the soil bacterial community could be enhanced by returning green manure to the field. He et al. [42] demonstrated that the application of green manure significantly improves the composition and diversity of soil bacterial communities. Similarly, Gao et al. [43] discovered that planting green manure crops can notably enhance the soil bacterial Chao1 and Shannon indices, which was consistent with the results of this experiment. Differences in the root growth and secretions of various green manure crops have distinct effects on the soil microbial diversity indices [44,45]. Similar conclusions were drawn in this research, indicating that the bacterial community alpha diversity could exhibit variations due to different green manure species. The variation in the carbon-to-nitrogen ratio input into the soil may account for these differences as different green manure species have different ratios. For instance, Italian ryegrass, with its high carbon-to-nitrogen ratio and well-developed root system, can increase the alpha diversity of the soil community. Caban et al. [46] demonstrated that an annual ryegrass + Chinese milk vetch treatment results in the greatest enhancement in soil bacterial species richness and diversity, which was consistent with the findings of the current research. The presence of functional compensation among bacterial communities contributes to the enhancement of other ecological functions in the soil, thereby improving the soil quality and maintaining the balance of the soil microbiological system.
In this experiment, the stress value of NMDS was 0.0573, indicating that the soil sample points were well-represented. The experiment results revealed a significant difference in the bacterial community composition between the treatments, possibly influenced by the type of green manure used. Multiflora ryegrass and Crimson clover appeared closer to each other in the graphs, suggesting a more similar soil bacterial community composition between the RG and CC treatments after tilling and returning to the field. This suggests that these treatments have similar effects on soil bacteria, resulting in a similar community composition.

4.3. Interactions between Green Manure, Soil Nutrients, and Soil Bacteria

The correlation analysis of the soil factors and bacterial diversity in this experiment showed that the bacterial diversity in the soil, after the green manure crops were returned to the field, was affected by the soil nutrients and enzyme activities to some extent. Among these factors, the soil AN and NEP were found to be the main factors influencing the diversity of the bacterial community, which was in agreement with the findings of previous research [47]. The comprehensive evaluation of the effect of different high-yielding green manure groups on soil improvement, conducted through PCA, revealed that the MV treatment had the most positive impact on the soil improvement in paddy fields. Following closely behind was the LV treatment. This result could be attributed to the fact that MV fixes the atmospheric nitrogen in rhizomes through rhizobacteria and regulates the soil enzyme activities, resulting in increased availability of phosphorus and potassium. As a result, nutrients such as AN, AP, and AK in the soil increase. Therefore, incorporating MV into the field not only provides nutrients to meet the growth requirements of the subsequent crops, such as rice, but also enhances the soil quality and ultimately boosts the grain yield. Rotations between MV and rice should be prioritized in the agricultural production process [48].
Jamal et al. [49] and Ma et al. [50] highlighted the importance of using green manure crops over chemical fertilizers. They emphasized ecological sustainability and the benefits of reducing the dependence on synthetic inputs. Our study showed that incorporating green manure crops enhances the soil enzyme activities and boosts the beneficial bacterial populations, reducing the need for excessive chemical fertilizers. Soil microorganisms are the foundation of Earth’s biosphere and play an irreplaceable role in nutrient cycling and the decomposition of organic matter [51,52]. Compared with fungi, bacteria have a higher endogenous growth rate and stronger resistance to external environmental interference [53], and fungal community dynamics are generally more easily limited by external environmental factors [54]. Previous studies have shown that high-nitrogen soils are not conducive to fungal growth [55]. On the other hand, planting and overpressing legume green fertilizer can fix the nitrogen in the atmosphere and return it to the soil through biological nitrogen fixation, releasing about 90% of the nitrogen within 1 month after overpressing and returning to the field [56]. Therefore, planting and incorporating legume green manure will significantly increase the ratio of bacteria to fungi, which is conducive to maintaining the stability of the soil ecosystem and soil nitrogen fixation [57].

5. Conclusions

Planting legume green manure in the idle winter fields in the Taihu Lake area of Jiangsu can significantly enhance the soil nutrient levels, enzyme activity, bacterial community structure, and diversity. This practice accelerates the decomposition and transformation of organic matter, leading to the enrichment of soil nutrition. In addition, legume green manure can symbiotically interact with the nitrogen-fixing bacteria in the soil, turning the atmospheric nitrogen into ammonia nitrogen that plants can absorb and utilize. This process reduces the reliance on chemical fertilizers, leading to decreased agricultural production costs and less environmental pollution. This is crucial for the current agricultural practices to uphold ecosystem stability and promote sustainable development. However, these findings are region-specific and need to be further studied and validated in different geographical contexts to confirm the generality and extensibility of these benefits. Additionally, future studies can further explore the effects of planting various legume green manures on the composition of the fungal community structure. Fungi play a crucial role in soil ecosystems. Alongside bacteria and other microorganisms, they contribute to the decomposition of the soil organic matter, nutrient cycling, and the development of the soil structure. Various legume green manures can establish symbiotic relationships with different fungal species, influencing the composition and diversity of fungal communities. Simultaneously examining the impact of various legume green manures on soil microbial communities, encompassing bacteria and fungi, can offer a comprehensive understanding of how these plants interact with soil microbes. This interaction, in turn, influences the soil quality and ecosystem function, enabling a more thorough evaluation of the ecological advantages and sustainability of green manure cultivation.

Author Contributions

Funding acquisition, Z.S.; Data Curation, J.L. (Junhai Liu); Writing—Original Draft, L.Z. and H.W.; Methodology, X.L. (Xinbao Liu); Resources, Y.S. and J.L. (Jianlong Li); Supervision, X.L. (Xiaoyu Liu); Formal analysis, W.X. and H.Y. All authors contributed critically to the ideas and drafts and provided their final approval for publication. All authors have read and agreed to the published version of the manuscript.

Funding

This work was supported by Agricultural Science and Technology Innovation Project of Suzhou City (grant number: SNG2022049) and 2023 Jiangsu Province Agricultural Science and Technology Autonomous Innovation (Industry Key Core Technology Autonomous Research) Project [No. CX(23)1020].

Institutional Review Board Statement

Not applicable.

Data Availability Statement

The raw data supporting the conclusions of this article will be made available by the authors upon request.

Acknowledgments

We are grateful to the editor-in-chief and two anonymous reviewers for their helpful comments. At the same time, we would like to express our gratitude to the Grass Science Laboratory of Nanjing Agricultural University for providing the site and instrument platform for testing and collecting relevant indicators in this paper. Additionally, we would like to thank the Agricultural Technology Extension Center of Dianshanhu Town, Kunshan City, Jiangsu Province, for providing the experimental site for this study.

Conflicts of Interest

The authors declare that they have no known competing financial interests or personal relationships that could have appeared to influence the work reported in this paper.

Correction Statement

This article has been republished with a minor correction to the correspondence contact information. This change does not affect the scientific content of the article.

References

  1. Francioli, D.; Schulz, E.; Lentendu, G.; Wubet, T.; Buscot, F.; Reitz, T. Mineral vs. Organic amendments: Microbial community structure, activity and abundance of agriculturally relevant microbes are driven by long-term fertilization strategies. Front. Microbiol. 2016, 7, 1446. [Google Scholar] [CrossRef]
  2. Hu, X.; Liu, J.; Wei, D.; Zhu, P.; Cui, X.A.; Zhou, B.; Chen, X.; Jin, J.; Liu, X.; Wang, G. Effects of over 30-year of different fertilization regimes on fungal community compositions in the black soils of northeast china. Agric. Ecosyst. Environ. 2017, 248, 113–122. [Google Scholar] [CrossRef]
  3. Yan, T.; Xue, J.; Zhou, Z.; Wu, Y. Biochar-based fertilizer amendments improve the soil microbial community structure in a karst mountainous area. Sci. Total Environ. 2021, 794, 148757. [Google Scholar] [CrossRef]
  4. Guo, K.; Zhao, Y.; Liu, Y.; Chen, J.; Wu, Q.; Ruan, Y.; Li, S.; Shi, J.; Zhao, L.; Sun, X.; et al. Pyrolysis temperature of biochar affects ecoenzymatic stoichiometry and microbial nutrient-use efficiency in a bamboo forest soil. Geoderma 2020, 363, 114162. [Google Scholar] [CrossRef]
  5. Wu, X.; Zhang, T.; Zhao, J.; Wang, L.; Yang, D.; Li, G.; Xiu, W. Variation of soil bacterial and fungal communities from fluvo-aquic soil under chemical fertilizer reduction combined with organic materials in north china plain. J. Soil Sci. Plant Nutr. 2021, 21, 349–363. [Google Scholar] [CrossRef]
  6. Kim, Y.; Cho, Y.; Lee, J.; Seo, H.; Kim, B.; Lee, D.; Lee, Y.B.; Kim, K. Short-term responses of soil organic carbon pool and crop performance to different fertilizer applications. Agronomy 2022, 12, 1106. [Google Scholar] [CrossRef]
  7. Tejada, M.; Gonzalez, J.L.; García-Martínez, A.M.; Parrado, J. Application of a green manure and green manure composted with beet vinasse on soil restoration: Effects on soil properties. Bioresour. Technol. 2008, 99, 4949–4957. [Google Scholar] [CrossRef]
  8. Pittelkow, C.M.; Liang, X.; Linquist, B.A.; van Groenigen, K.J.; Lee, J.; Lundy, M.E.; van Gestel, N.; Six, J.; Venterea, R.T.; van Kessel, C. Productivity limits and potentials of the principles of conservation agriculture. Nature 2015, 517, 365–368. [Google Scholar] [CrossRef]
  9. Lei, B.; Wang, J.; Yao, H. Ecological and environmental benefits of planting green manure in paddy fields. Agriculture 2022, 12, 223. [Google Scholar] [CrossRef]
  10. Li, X.; Chen, Q.; He, C.; Shi, Q.; Chen, S.; Reid, B.J.; Zhu, Y.; Sun, G. Organic carbon amendments affect the chemodiversity of soil dissolved organic matter and its associations with soil microbial communities. Environ. Sci. Technol. 2019, 53, 50–59. [Google Scholar] [CrossRef]
  11. Zhang, X.; Zhang, R.; Gao, J.; Wang, X.; Fan, F.; Ma, X.; Yin, H.; Zhang, C.; Feng, K.; Deng, Y. Thirty-one years of rice-rice-green manure rotations shape the rhizosphere microbial community and enrich beneficial bacteria. Soil Biol. Biochem. 2017, 104, 208–217. [Google Scholar] [CrossRef]
  12. Xu, X.; Thornton, P.E.; Post, W.M. A global analysis of soil microbial biomass carbon, nitrogen and phosphorus in terrestrial ecosystems. Glob. Ecol. Biogeogr. 2013, 22, 737–749. [Google Scholar] [CrossRef]
  13. Bai, N.; Lv, W.; Chu, X.; Fan, H.; Li, S.; Zheng, X.; Zhang, J.; Zhang, H.; Zhang, H. Comparison of soil microbial community and physicochemical properties between rice–fallow and rice–bean (green manure) rotation. Soil Sci. Soc. Am. J. 2022, 86, 593–603. [Google Scholar] [CrossRef]
  14. Bardgett, R.D.; Freeman, C.; Ostle, N.J. Microbial contributions to climate change through carbon cycle feedbacks. ISME J. 2008, 2, 805–814. [Google Scholar] [CrossRef]
  15. Chatterjee, A.; Vance, G.F.; Pendall, E.; Stahl, P.D. Timber harvesting alters soil carbon mineralization and microbial community structure in coniferous forests. Soil Biol. Biochem. 2008, 40, 1901–1907. [Google Scholar] [CrossRef]
  16. Yang, Z.; Xu, M.; Zheng, S.; Nie, J.; Gao, J.; Liao, Y.; Xie, J. Effects of long-term winter planted green manure on physical properties of reddish paddy soil under a double-rice cropping system. J. Integr. Agric. 2012, 11, 655–664. [Google Scholar] [CrossRef]
  17. Hallama, M.; Pekrun, C.; Lambers, H.; Kandeler, E. Hidden miners—The roles of cover crops and soil microorganisms in phosphorus cycling through agroecosystems. Plant Soil. 2019, 434, 7–45. [Google Scholar] [CrossRef]
  18. Lyu, H.; Li, Y.; Wang, Y.; Wang, P.; Shang, Y.; Yang, X.; Wang, F.; Yu, A. Drive soil nitrogen transformation and improve crop nitrogen absorption and utilization—A review of green manure applications. Front. Plant Sci. 2023, 14, 1305600. [Google Scholar] [CrossRef]
  19. Bending, G.D.; Turner, M.K.; Rayns, F.; Marx, M.; Wood, M. Microbial and biochemical soil quality indicators and their potential for differentiating areas under contrasting agricultural management regimes. Soil Biol. Biochem. 2004, 36, 1785–1792. [Google Scholar] [CrossRef]
  20. de Graaff, M.; Hornslein, N.; Throop, H.L.; Kardol, P.; van Diepen, L.T.A. Chapter one—Effects of agricultural intensification on soil biodiversity and implications for ecosystem functioning: A meta-analysis. Adv. Agron. 2019, 155, 1–44. [Google Scholar]
  21. Dinesh, R.; Srinivasan, V.; Hamza, S.; Manjusha, A. Short-term incorporation of organic manures and biofertilizers influences biochemical and microbial characteristics of soils under an annual crop [Turmeric (Curcuma longa L.)]. Bioresour. Technol. 2010, 101, 4697–4702. [Google Scholar] [CrossRef]
  22. Melero, S.; López-Bellido, R.J.; López-Bellido, L.; Muñoz-Romero, V.; Moreno, F.; Murillo, J.M. Long-term effect of tillage, rotation and nitrogen fertiliser on soil quality in a mediterranean vertisol. Soil Tillage Res. 2011, 114, 97–107. [Google Scholar] [CrossRef]
  23. Crews, T.E.; Peoples, M.B. Legume versus fertilizer sources of nitrogen: Ecological tradeoffs and human needs. Agric Ecosyst. Environ. 2004, 102, 279–297. [Google Scholar] [CrossRef]
  24. Li, F.; Wang, Z.; Dai, J.; Li, Q.; Wang, X.; Xue, C.; Liu, H.; He, G. Fate of nitrogen from green manure, straw, and fertilizer applied to wheat under different summer fallow management strategies in dryland. Biol. Fertil. Soils 2015, 51, 769–780. [Google Scholar] [CrossRef]
  25. Liu, L.; Zhu, K.; Krause, S.M.B.; Li, S.; Wang, X.; Zhang, Z.; Shen, M.; Yang, Q.; Lian, J.; Wang, X.; et al. Changes in assembly processes of soil microbial communities during secondary succession in two subtropical forests. Soil Biol. Biochem. 2021, 154, 108144. [Google Scholar] [CrossRef]
  26. Guan, S. Soil Enzymes and Their Research Methods; Agricultural Press: Berlin, Germany, 1986. [Google Scholar]
  27. Han, D.; Wang, N.; Sun, X.; Hu, Y.; Feng, F. Biogeographical distribution of bacterial communities in Changbai Mountain, Northeast China. Microbiol. Open 2018, 7, e529. [Google Scholar] [CrossRef]
  28. Estaki, M.; Jiang, L.; Bokulich, N.A.; McDonald, D.; Gonzalez, A.; Kosciolek, T.; Martino, C.; Zhu, Q.; Birmingham, A.; Vazquez-Baeza, Y.; et al. QIIME 2 Enables Comprehensive End-to-End Analysis of Diverse Microbiome Data and Comparative Studies with Publicly Available Data. Curr. Protoc. Bioinform. 2020, 70, e100. [Google Scholar] [CrossRef]
  29. Medina, M.A.P. Applied Statistics for Environmental Science; CMU Press: Bukidnon, Philippines, 2015. [Google Scholar]
  30. Du, T.Q.; Xue, N.W. Effects of green manures during fallow on moisture and nutrients of soil and winter wheat yield on the loss plateau of china. Emir. J. Food Agric. 2017, 29, 978–987. [Google Scholar]
  31. Hu, A.; Huang, R.; Liu, G.; Huang, D.; Huan, H. Effects of green manure combined with phosphate fertilizer on movement of soil organic carbon fractions in tropical sown pasture. Agronomy 2022, 12, 1101. [Google Scholar] [CrossRef]
  32. Haruna, S. Influence of winter wheat on soil thermal properties of a paleudalf. Int. Agrophys. 2019, 33, 389–395. [Google Scholar] [CrossRef]
  33. Gao, X.; Shi, D.; Lv, A.; Wang, S.; Yuan, S.; Zhou, P.; An, Y. Increase phosphorus availability from the use of alfalfa (medicago sativa l) green manure in rice (Oryza sativa L.). Agroecosyst. Sci Rep. 2016, 6, 36981. [Google Scholar] [CrossRef] [PubMed]
  34. Ding, T.; Yan, Z.; Zhang, W.; Duan, T. Green manure crops affected soil chemical properties and fungal diversity and community of apple orchard in the loess plateau of china. J. Soil Sci. Plant Nutr. 2021, 21, 1089–1102. [Google Scholar] [CrossRef]
  35. Asghar, W.; Kataoka, R. Green manure incorporation accelerates enzyme activity, plant growth, and changes in the fungal community of soil. Arch. Microbiol. 2021, 204, 7. [Google Scholar] [CrossRef] [PubMed]
  36. Piotrowska, A.; Wilczewski, E. Effects of catch crops cultivated for green manure and mineral nitrogen fertilization on soil enzyme activities and chemical properties. Geoderma 2012, 189–190, 72–80. [Google Scholar] [CrossRef]
  37. Bowles, T.M.; Acosta-Martínez, V.; Calderón, F.; Jackson, L.E. Soil enzyme activities, microbial communities, and carbon and nitrogen availability in organic agroecosystems across an intensively-managed agricultural landscape. Soil Biol. Biochem. 2014, 68, 252–262. [Google Scholar] [CrossRef]
  38. Chavarría, D.N.; Verdenelli, R.A.; Serri, D.L.; Restovich, S.B.; Andriulo, A.E.; Meriles, J.M.; Vargas-Gil, S. Effect of cover crops on microbial community structure and related enzyme activities and macronutrient availability. Eur. J. Soil Biol. 2016, 76, 74–82. [Google Scholar] [CrossRef]
  39. Jimenez, D.J.; Andreote, F.D.; Chaves, D.; Montana, J.S.; Osorio-Forero, C.; Junca, H.; Zambrano, M.M.; Baena, S. Structural and functional insights from the metagenome of an acidic hot spring microbial planktonic community in the colombian andes. PLoS ONE 2012, 7, e52069. [Google Scholar] [CrossRef] [PubMed]
  40. Sapp, M.; Harrison, M.; Hany, U.; Charlton, A.; Thwaites, R. Comparing the effect of digestate and chemical fertiliser on soil bacteria. Appl. Soil Ecol. 2015, 86, 1–9. [Google Scholar] [CrossRef]
  41. Fierer, N. Finding a place for microorganisms in the field of ecology. Ecology 2007, 88, 1336–1337. [Google Scholar] [CrossRef]
  42. He, H.; Li, W.; Zhang, Y.; Cheng, J.; Jia, X.; Li, S.; Yang, H.; Chen, B.; Xin, G. Effects of italian ryegrass residues as green manure on soil properties and bacterial communities under an italian ryegrass (Lolium multiflorum L.)-Rice (Oryza sativa L.) Rotation. Soil Tillage Res. 2020, 196, 104487. [Google Scholar] [CrossRef]
  43. Gao, S.; Zhang, R.; Cao, W.; Fan, Y.; Gao, J.; Huang, J.; Bai, J.; Zeng, N.; Chang, D.; Katsu-Yoshi, S.; et al. Long-term rice-rice-green manure rotation changing the microbial communities in typical red paddy soil in south china. J. Integr. Agric. 2015, 14, 2512–2520. [Google Scholar] [CrossRef]
  44. Yuan, K.; Miwa, H.; Iizuka, M.; Yokoyama, T.; Fujii, Y.; Okazaki, S. Genetic diversity and symbiotic phenotype of hairy vetch rhizobia in japan. Microbes Environ. 2016, 31, 121–126. [Google Scholar] [CrossRef] [PubMed][Green Version]
  45. Wanic, M.; Żuk-Gołaszewska, K.; Orzech, K. Catch crops and the soil environment—A review of the literature. J. Elem. 2019, 24, 3145. [Google Scholar] [CrossRef]
  46. Caban, J.R.; Kuppusamy, S.; Kim, J.H.; Yoon, Y.; Kim, S.Y.; Lee, Y.B. Green manure amendment enhances microbial activity and diversity in antibiotic-contaminated soil. Appl. Soil Ecol. 2018, 129, 72–76. [Google Scholar] [CrossRef]
  47. Qaswar, M.; Huang, J.; Ahmed, W.; Liu, S.; Li, D.; Zhang, L.; Liu, L.; Xu, Y.; Han, T.; Du, J.; et al. Substitution of inorganic nitrogen fertilizer with green manure (gm) increased yield stability by improving c input and nitrogen recovery efficiency in rice based cropping system. Agronomy 2019, 9, 609. [Google Scholar] [CrossRef]
  48. Solangi, F.; Bai, J.; Gao, S.; Yang, L.; Zhou, G.; Cao, W. Improved accumulation capabilities of phosphorus and potassium in green manures and its relationship with soil properties and enzymatic activities. Agronomy 2019, 9, 708. [Google Scholar] [CrossRef]
  49. Jamal, A.; Saeed, M.F.; Mihoub, A.; Hopkins, B.G.; Ahmad, I.; Naeem, A. Integrated use of phosphorus fertilizer and farmyard manure improves wheat productivity by improving soil quality and p availability in calcareous soil under subhumid conditions. Front. Plant Sci. 2023, 14, 1034421. [Google Scholar] [CrossRef]
  50. Ma, D.; Yin, L.; Ju, W.; Li, X.; Liu, X.; Deng, X.; Wang, S. Meta-analysis of green manure effects on soil properties and crop yield in northern china. Field Crop Res. 2021, 266, 108146. [Google Scholar] [CrossRef]
  51. Balser, T.C.; Firestone, M.K. Linking microbial community composition and soil processes in a California annual grassland and mixed-conifer forest. Biogeochemistry 2005, 73, 395–415. [Google Scholar] [CrossRef]
  52. Lucas, R.W.; Casper, B.B.; Jackson, J.K.; Balser, T.C. Soil microbial communities and extracellular enzyme activity in the new jersey pinelands. Soil. Biol Biochem. 2007, 39, 2508–2519. [Google Scholar] [CrossRef]
  53. Loeuille, N.; Le Mao, T.; Barot, S. Effects of plant evolution on nutrient cycling couple aboveground and belowground processes. Theor. Ecol. 2017, 10, 117–127. [Google Scholar] [CrossRef]
  54. Fukami, T.; Dickie, I.A.; Wilkie, J.P.; Paulus, B.C.; Park, D.; Roberts, A.; Buchanan, P.K.; Allen, R.B. Assembly history dictates ecosystem functioning: Evidence from wood decomposer communities. Ecol. Lett. 2010, 13, 675–684. [Google Scholar] [CrossRef] [PubMed]
  55. Six, J.; Frey, S.D.; Thiet, R.K.; Batten, K.M. Bacterial and fungal contributions to carbon sequestration in agroecosystems. Soil Sci. Soc. Am. J. 2006, 70, 555–569. [Google Scholar] [CrossRef]
  56. Zhu, B.; Yi, L.; Hu, Y.; Zeng, Z.; Lin, C.; Tang, H.; Yang, G.; Xiao, X. Nitrogen release from incorporated 15n-labelled chinese milk vetch (Astragalus sinicus L.) Residue and its dynamics in a double rice cropping system. Plant Soil. 2014, 374, 331–344. [Google Scholar] [CrossRef]
  57. Van Zwieten, L.; Singh, B.P.; Kimber, S.W.L.; Murphy, D.V.; Macdonald, L.M.; Rust, J.; Morris, S. An incubation study investigating the mechanisms that impact n2o flux from soil following biochar application. Agric. Ecosyst. Environ. 2014, 191, 53–62. [Google Scholar] [CrossRef]
Disclaimer/Publisher’s Note: The statements, opinions and data contained in all publications are solely those of the individual author(s) and contributor(s) and not of MDPI and/or the editor(s). MDPI and/or the editor(s) disclaim responsibility for any injury to people or property resulting from any ideas, methods, instructions or products referred to in the content.

Article Metrics

Citations

Article Access Statistics

Multiple requests from the same IP address are counted as one view.