Legume Green Manure Further Improves the Effects of Fertilization on the Long-Term Yield and Water and Nitrogen Utilization of Winter Wheat in Rainfed Agriculture
Abstract
1. Instruction
2. Results
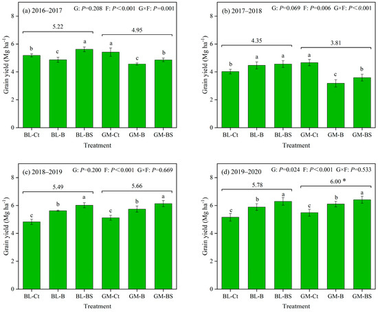
2.1. Wheat Yield and Yield Components
2.2. Soil Water Storage and WUE During Wheat Seasons
2.3. N Concentrations and N Use Efficiency of Winter Wheat
3. Discussion
3.1. Changes in Winter Wheat Yield
3.2. Dynamics of Soil Moisture and WUE
3.3. N Nutrition
4. Materials and Methods
4.1. Experimental Site
4.2. Experimental Design
4.3. Field Management
4.4. Sampling and Measurements
4.5. Statistical Analysis
5. Conclusions
Author Contributions
Funding
Data Availability Statement
Conflicts of Interest
References
- Bradford, J.B.; Schlaepfer, D.R.; Lauenroth, W.K.; Yackulic, C.B.; Duniway, M.; Hall, S.; Jia, G.S.; Jamiyansharav, K.; Munson, S.M.; Wilson, S.D.; et al. Future soil moisture and temperature extremes imply expanding suitability for rainfed agriculture in temperate drylands. Sci. Rep. 2017, 7, 12923. [Google Scholar] [CrossRef]
- Yang, W.J.; Li, Y.L.; Liu, W.J.; Wang, S.W.; Yin, L.N.; Deng, X.P. Sustainable high yields can be achieved in drylands on the Loess Plateau by changing water use patterns through integrated agronomic management. Agr. Forest Meteorol. 2021, 296, 108210. [Google Scholar] [CrossRef]
- Hoffman, A.L.; Kemanian, A.R.; Forest, C.E. Analysis of climate signals in the crop yield record of sub-Saharan Africa. Glob. Change Biol. 2017, 24, 143–157. [Google Scholar] [CrossRef] [PubMed]
- Unkovich, M.; Baldock, J.; Farquharson, R. Field measurements of bare soil evaporation and crop transpiration, and transpiration efficiency, for rainfed grain crops in Australia—A review. Agric. Water Manag. 2018, 205, 72–80. [Google Scholar] [CrossRef]
- Sadras, V.O.; Angus, J.F. Benchmarking water-use efficiency of rainfed wheat in dry environments. Aust. J. Agr. Res. 2006, 57, 847–856. [Google Scholar] [CrossRef]
- Yang, Y.J.; Du, W.; Cui, Z.Y.; Lei, S.; Lei, T.; Lv, J.L. Effects of plastic film mulching on soil water use efficiency and wheat yield in the Loess Plateau of China. Arid Land Res. Manag. 2020, 4, 405–418. [Google Scholar] [CrossRef]
- Li, C.J.; Wang, C.J.; Wen, X.X.; Qin, X.L.; Liu, Y.; Han, J.; Li, Y.J.; Liao, Y.C.; Wu, W. Ridge-furrow with plastic film mulching practice improves maize productivity and resource use efficiency under the wheat-maize double-cropping system in dry semi-humid areas. Field Crop. Res. 2017, 203, 201–211. [Google Scholar] [CrossRef]
- Li, H.Y.; Zhang, Y.H.; Sun, Y.G.; Zhang, Q.; Liu, P.Z.; Wang, X.L.; Li, J.; Wang, R. No-tillage with straw mulching improved grain yield by reducing soil water evaporation in the fallow period: A 12-year study on the Loess Plateau. Soil Till. Res. 2022, 224, 105504. [Google Scholar] [CrossRef]
- Wang, H.; Fan, J.; Fu, W.; Du, M.G.; Zhou, G.; Zhou, M.X.; Hao, M.D.; Shao, M.A. Good harvests of winter wheat from stored soil water and improved temperature during fallow period by plastic film mulching. Agric. Water Manag. 2022, 274, 107910. [Google Scholar] [CrossRef]
- Zhang, S.L.; Lövdahl, L.; Grip, H.; Jansson, P.E.; Tong, Y.A. Modeling the effects of mulching and fallow cropping on water balance in the Chinese Loess Plateau. Soil Till. Res. 2007, 93, 283–298. [Google Scholar] [CrossRef]
- Guo, S.L.; Zhu, H.H.; Dang, T.H.; Wu, J.S.; Liu, W.Z.; Hao, M.D.; Li, Y.; Syers, J.K. Winter wheat grain yield associated with precipitation distribution under long-term nitrogen fertilization in the semiarid Loess Plateau in China. Geoderma 2012, 189–190, 442–450. [Google Scholar] [CrossRef]
- Nielsen, D.C.; Vigil, M.F. Precipitation storage efficiency during fallow in wheat-fallow systems. Agron. J. 2010, 102, 537–543. [Google Scholar] [CrossRef]
- Li, S.X.; Wang, Z.H.; Malhi, S.S.; Li, S.Q.; Gao, Y.J.; Tian, X.H. Nutrient and water management effects on crop production, and nutrient and water use efficiency in dryland areas of China. Adv. Agron. 2009, 102, 223–265. [Google Scholar] [CrossRef]
- Zhang, D.B.; Yao, P.W.; Na, Z.; Cao, W.D.; Zhang, S.Y.; Li, Y.Y.; Gao, Y.J. Soil water balance and water use efficiency of dryland wheat in different precipitation years in response to green manure approach. Sci. Rep. 2016, 6, 26856. [Google Scholar] [CrossRef] [PubMed]
- Li, X.S.; Liang, Z.Y.; Li, Y.N.; Zhu, Y.H.; Tian, X.H.; Shi, J.L.; Wei, G.H. Short-term effects of combined organic amendments on soil organic carbon sequestration in a rain-fed winter wheat system. Agron. J. 2021, 113, 2150–2164. [Google Scholar] [CrossRef]
- Zhang, D.B.; Yao, P.W.; Na, Z.; Yu, C.W.; Cao, W.D.; Gao, Y.J. Contribution of green manure legumes to nitrogen dynamics in traditional winter wheat cropping system in the Loess Plateau of China. Eur. J. Agron. 2016, 72, 47–55. [Google Scholar] [CrossRef]
- Wang, J.Z.; Wang, X.J.; Xu, M.G.; Feng, G.; Zhang, W.J.; Lu, C.A. Crop yield and soil organic matter after long-term straw return to soil in China. Nutr. Cycl. Agroecosys. 2015, 102, 371–381. [Google Scholar] [CrossRef]
- Zhou, G.P.; Gao, S.J.; Lu, Y.H.; Liao, Y.L.; Nie, J.; Cao, W.D. Co-incorporation of green manure and rice straw improves rice production, soil chemical, biochemical and microbiological properties in a typical paddy field in southern China. Soil Till. Res. 2020, 197, 104499. [Google Scholar] [CrossRef]
- Li, X.S.; Zhu, W.L.; Xu, F.Y.; Du, J.L.; Tian, X.H.; Shi, J.L.; Wei, G.H. Organic amendments affect soil organic carbon sequestration and fractions in fields with long-term contrasting nitrogen applications. Agr. Ecosyst. Environ. 2021, 322, 107643. [Google Scholar] [CrossRef]
- Zhou, W.; Ma, Q.X.; Wu, L.; Hu, R.G.; Jones, D.L.; Chadwick, D.R.; Jiang, Y.B.; Wu, Y.P.; Xia, X.; Yang, L.; et al. The effect of organic manure or green manure incorporation with reductions in chemical fertilizer on yield-scaled N2O emissions in a citrus orchard. Agr. Ecosyst. Environ. 2022, 326, 107806. [Google Scholar] [CrossRef]
- Ma, D.K.; Yin, L.N.; Ju, W.L.; Li, X.K.; Liu, X.X.; Deng, X.P.; Wang, S.W. Metaanalysis of green manure effects on soil properties and crop yield in northern China. Field Crop. Res. 2021, 266, 108146. [Google Scholar] [CrossRef]
- Liang, H.; Li, S.; Zhang, L.; Xu, C.X.; Lv, Y.H.; Gao, S.J.; Cao, W.D. Long-term green manuring enhances crop N uptake and reduces N losses in rice production system. Soil Till. Res. 2022, 220, 105369. [Google Scholar] [CrossRef]
- Fan, Q.Y.; Xu, C.X.; Zhang, L.; Xie, J.C.; Zhou, G.P.; Liu, J.; Hu, F.; Gao, S.J.; Cao, W.D. Application of milk vetch (Astragalus sinicus L.) with reduced chemical fertilizer improves rice yield and nitrogen, phosphorus, and potassium use efficiency in southern China. Eur. J. Agron. 2023, 144, 126762. [Google Scholar] [CrossRef]
- Li, X.S.; Shi, J.L.; Chen, J.; Tian, X.H. Beneficial effects on winter wheat production of the application of legume green manure during the fallow period. Agronomy 2024, 14, 203. [Google Scholar] [CrossRef]
- Cherr, C.M.; Scholberg, J.M.S.; McSorley, R. Green manure approaches to crop production: A synthesis. Agron. J. 2006, 98, 302–319. [Google Scholar] [CrossRef]
- Yao, Y.L.; Zhang, M.; Tian, Y.H.; Zhao, M.; Zhang, B.; Zhao, M.; Zeng, K.; Yin, B. Duckweed (Spirodela polyrhiza) as green manure for increasing yield and reducing nitrogen loss in rice production. Field Crop. Res. 2017, 214, 273–282. [Google Scholar] [CrossRef]
- Seymour, M.; Kirkegaard, J.A.; Peoples, M.B.; White, P.F.; French, R.J. Break-crop benefits to wheat in Western Australia–insights from over three decades of research. Crop Pasture Sci. 2012, 63, 1–16. [Google Scholar] [CrossRef]
- Xie, Z.J.; Tu, S.X.; Shah, F.; Xu, C.X.; Chen, J.R.; Han, D.; Liu, G.R.; Li, H.L.; Muhammad, I.; Cao, W.D. Substitution of fertilizer-N by green manure improves the sustainability of yield in double-rice cropping system in south China. Field Crop. Res. 2016, 188, 142–149. [Google Scholar] [CrossRef]
- Khan, M.I.; Gwon, H.S.; Alam, M.A.; Song, H.J.; Das, S.; Kim, P.J. Short term effects of different green manure amendments on the composition of main microbial groups and microbial activity of a submerged rice cropping system. Appl. Soil Ecol. 2020, 147, 103400. [Google Scholar] [CrossRef]
- He, G.; Wang, Z.H.; Li, F.C.; Dai, J.; Ma, X.L.; Li, Q.; Xue, C.; Cao, H.B.; Wang, S.; Liu, H.; et al. Soil nitrate-N residue, loss and accumulation affected by soil surface management and precipitation in a winter wheat-summer fallow system on dryland. Nutr. Cycl. Agroecosys. 2016, 106, 31–46. [Google Scholar] [CrossRef]
- Xue, N.W.; Yang, Z.P.; Gao, Z.Q.; Zhang, C.L.; Xue, J.F.; Liu, X.L.; Sun, M.; Du, T.Q. Effects of green manures during fallow on moisture and nutrients of soil and winter wheat yield on the Loss Plateau of China. Emir. J. Food Agric. 2017, 29, 978–987. [Google Scholar] [CrossRef]
- Nielsen, D.C.; Vigil, M.F. Legume green fallow effect on soil water content at wheat planting and wheat yield. Agron. J. 2005, 97, 684–689. [Google Scholar] [CrossRef]
- Qaswar, M.; Huang, J.; Ahmed, W.; Liu, S.; Li, D.; Zhang, L.; Liu, L.; Xu, Y.; Han, T.; Du, J. Substitution of inorganic nitrogen fertilizer with green manure (GM) increased yield stability by improving C input and nitrogen recovery efficiency in rice based cropping system. Agron. J. 2019, 10, 609. [Google Scholar] [CrossRef]
- Liang, H.; Hu, K.L.; Qin, W.; Zuo, Q.; Guo, L.; Tao, Y.Y.; Lin, S. Ground cover rice production system reduces water consumption and nitrogen loss and increases water and nitrogen use efficiencies. Field Crop Res. 2019, 233, 70–79. [Google Scholar] [CrossRef]
- Wang, S.J.; Tian, X.H.; Liu, T.; Lu, X.C.; You, D.H.; Li, S. Irrigation, straw, and nitrogen management benefits wheat yield and soil properties in a dryland agro-ecosystem. Agron. J. 2014, 160, 2193–2201. [Google Scholar] [CrossRef]
- Piotrowska, A.; Wilczewski, E. Effects of catch crops cultivated for green manure and mineral nitrogen fertilization on soil enzyme activities and chemical properties. Geoderma 2012, 189, 72–80. [Google Scholar] [CrossRef]
- Nawaz, A.; Farooq, M.; Lal, R.; Rehman, A.; Hussain, T.; Nadeem, A. Influence of sesbania brown manuring and rice residue mulch on soil health, weeds and system productivity of conservation rice–wheat systems. Land Degrad. Dev. 2017, 28, 1078–1090. [Google Scholar] [CrossRef]
- Kamran, M.; Huang, L.; Nie, J.; Geng, M.J.; Lu, Y.H.; Liao, Y.L.; Zhou, F.L.; Xu, Y.H. Effect of reduced mineral fertilization (NPK) combined with green manure on aggregate stability and soil organic carbon fractions in a fluvo-aquic paddy soil. Soil Till. Res. 2021, 211, 105005. [Google Scholar] [CrossRef]
- Schjoerring, J.K.; Cakmak, I.; White, P.J. Plant nutrition and soil fertility: Synergies for acquiring global green growth and sustainable development. Plant Soil 2019, 434, 1–6. [Google Scholar] [CrossRef]
- Kumar, N.; Mina, B.L.; Srivastva, A.K. In-situ green manuring for enhancing productivity, profitability and sustainability of upland rice. Nutr. Cycl. Agroecosys. 2011, 3, 369–377. [Google Scholar] [CrossRef]
- Zhu, X.Z.; Chen, L.; Kong, X.Q.; Bao, S.S.; Wu, S.Z.; Fang, L.C.; Shen, Y.F. Biochar alters the morphology of plant roots to enable optimized and reduced nitrogen fertilizer applications. Plant Soil 2023, 492, 655–673. [Google Scholar] [CrossRef]
- Islam, M.M.; Urmi, T.A.; Rana, M.S.; Alam, M.S.; Haque, M.M. Green manuring effects on crop morpho-physiological characters, rice yield and soil properties. Physiol. Mol. Biol. Plants 2019, 25, 303–312. [Google Scholar] [CrossRef]
- Jin, X.X.; Zuo, Q.; Ma, W.W.; Li, S.; Shi, J.C.; Tao, Y.Y.; Zhang, Y.N.; Liu, Y.; Liu, X.F.; Lin, S.; et al. Water consumption and water-saving characteristics of a ground cover rice production system. J. Hydrol. 2016, 540, 220–231. [Google Scholar] [CrossRef]
- Wuest, S.B.; Cassman, K.G. Fertilizer-nitrogen use efficiency of irrigated wheat. ii. Partitioning efficiency of preplant versus late-season application. Agron. J. 1992, 84, 682–688. [Google Scholar] [CrossRef]
- Steiner, C.; Glaser, B.; Geraldes, T.W.; Lehmann, J.; Weh, B.; Zech, W. Nitrogen retention and plant uptake on a highly weathered central Amazonian ferralsol amended with compost and charcoal. J. Plant Nutr. Soil Sci. 2010, 171, 893–899. [Google Scholar] [CrossRef]
- Guo, Z.J.; Zhang, Y.L.; Zhao, J.Y.; Shi, Y.; Yu, Z.W. Nitrogen use by winter wheat and changes in soil nitrate nitrogen levels with supplemental irrigation based on measurement of moisture content in various soil layers. Field Crop. Res. 2014, 164, 117–125. [Google Scholar] [CrossRef]
- Burgess, M.; Miller, P.; Jones, C.; Bekkerman, A. Tillage of cover crops affects soil water, nitrogen, and wheat yield components. Agron. J. 2014, 106, 1497–1508. [Google Scholar] [CrossRef]
- Nelson, D.W.; Somers, L.E. Determination of total nitrogen in plant material. Agron. J. 1973, 65, 109–112. [Google Scholar] [CrossRef]
- Bolinder, M.A.; Janzen, H.H.; Gregorich, E.G.; Angers, D.A.; Vanden Bygaart, A.J. An approach for estimating net primary productivity and annual carbon inputs to soil for common agricultural crops in Canada. Agr. Ecosyst. Environ. 2007, 118, 29–42. [Google Scholar] [CrossRef]
- Liang, T.; Tong, Y.A.; Xu, W.; Wei, Y.; Lin, W.; Pang, Y.; Liu, F.; Liu, X.J. Atmospheric nitrogen deposition in the Loess area of China. Atmos. Pollut. Res. 2016, 7, 447–453. [Google Scholar] [CrossRef]








| Experimental Year | Treatment | Aboveground Biomass (Mg ha−1) | Spikes ha−1 (×104) | Kernels Spike−1 | 1000-Grain Weight (g) | Harvest Index |
|---|---|---|---|---|---|---|
| 2016–2017 | BL-Ct | 14.06 ± 0.14 c | 434 ± 9 b | 39.4 ± 0.8 a | 42.4 ± 0.5 a | 0.37 ± 0.01 a |
| BL-B | 17.24 ± 0.27 a | 397 ± 11 c | 39.0 ± 0.5 a | 43.2 ± 0.7 a | 0.28 ± 0.01 c | |
| BL-BS | 16.24 ± 0.10 b | 464 ± 6 a | 40.7 ± 0.8 a | 42.3 ± 0.6 a | 0.35 ± 0.01 b | |
| Mean | 15.85 ± 0.48 A | 432 ± 11 A | 39.7 ± 0.4 A | 42.7 ± 0.3 A | 0.33 ± 0.01 A | |
| GM-Ct | 15.93 ± 0.45 a | 447 ± 10 a | 40.2 ± 0.6 a | 42.4 ± 0.6 a | 0.34 ± 0.01 a | |
| GM-B | 15.26 ± 0.21 a | 349 ± 13 c | 39.7 ± 0.5 a | 43.4 ± 0.7 a | 0.30 ± 0.01 b | |
| GM-BS | 14.44 ± 0.17 b | 384 ± 9 b | 39.9 ± 0.5 a | 43.3 ± 0.5 a | 0.34 ± 0.01 a | |
| Mean | 15.21 ± 0.26 A | 393 ± 15 A | 39.9 ± 0.3 A | 43.0 ± 0.3 A | 0.33 ± 0.01 A | |
| ANOVA p value | ||||||
| G | 0.088 | 0.067 | 0.777 | 0.284 | 0.414 | |
| F | <0.001 | <0.001 | 0.343 | 0.500 | <0.001 | |
| G×F | 0.000 | 0.003 | 0.376 | 0.793 | 0.002 | |
| 2017–2018 | BL-Ct | 9.72 ± 0.21 b | 356 ± 6 b | 36.1 ± 0.6 a | 41.1 ± 0.6 a | 0.41 ± 0.01 b |
| BL-B | 10.01 ± 0.20 b | 393 ± 7 a | 36.9 ± 0.6 a | 41.1 ± 0.7 a | 0.45 ± 0.01 a | |
| BL-BS | 10.94 ± 0.13 a | 400 ± 5 a | 37.1 ± 0.6 a | 41.8 ± 0.6 a | 0.42 ± 0.01 ab | |
| Mean | 10.22 ± 0.21 A | 383 ± 7 A | 36.7 ± 0.4 A | 41.3 ± 0.4 A | 0.43 ± 0.01 A | |
| GM-Ct | 10.25 ± 0.18 a | 407 ± 6 a | 37.1 ± 0.6 a | 42.8 ± 0.6 a | 0.46 ± 0.02 a | |
| GM-B | 8.75 ± 0.24 b | 277 ± 18 c | 36.3 ± 1.1 a | 41.3 ± 0.7 a | 0.36 ± 0.02 c | |
| GM-BS | 8.78 ± 0.26 b | 312 ± 17 b | 36.3 ± 1.0 a | 41.7 ± 0.6 a | 0.41 ± 0.02 b | |
| Mean | 9.26 ± 0.27 B | 332 ± 21 B | 36.6 ± 0.5 A | 41.9 ± 0.4 A | 0.41 ± 0.02 A | |
| ANOVA p value | ||||||
| G | 0.004 | 0.041 | 0.876 | 0.331 | 0.440 | |
| F | 0.008 | 0.003 | 0.986 | 0.475 | 0.059 | |
| G×F | <0.001 | <0.001 | 0.484 | 0.347 | 0.001 | |
| 2018–2019 | BL-Ct | 11.76 ± 0.38 b | 387 ± 8 c | 42.7 ± 0.6 b | 45.5 ± 0.1 b | 0.41 ± 0.01 a |
| BL-B | 13.47 ± 0.14 a | 448 ± 9 b | 43.4 ± 0.7 ab | 46.5 ± 0.4 a | 0.42 ± 0.01 a | |
| BL-BS | 14.40 ± 0.49 a | 477 ± 7 a | 44.4 ± 0.6 a | 46.2 ± 0.5 a | 0.42 ± 0.01 a | |
| Mean | 13.21 ± 0.43 A | 437 ± 14 A | 43.5 ± 0.4 A | 46.0 ± 0.2 A | 0.42 ± 0.01 A | |
| GM-Ct | 13.19 ± 0.35 c | 409 ± 7 c | 43.3 ± 0.6 a | 46.2 ± 0.4 b | 0.39 ± 0.01 a | |
| GM-B | 14.44 ± 0.26 b | 452 ± 5 b | 44.3 ± 0.8 a | 47.3 ± 0.4 a | 0.40 ± 0.01 a | |
| GM-BS | 15.89 ± 0.32 a | 481 ± 9 a | 44.4 ± 0.8 a | 47.5 ± 0.5 a | 0.39 ± 0.01 a | |
| Mean | 14.51 ± 0.42 A | 447 ± 11 A | 44.0 ± 0.4 A | 47.0 ± 0.3 A | 0.39 ± 0.01 A | |
| ANOVA p value | ||||||
| G | 0.075 | 0.355 | 0.294 | 0.260 | 0.056 | |
| F | <0.001 | <0.001 | 0.074 | 0.019 | 0.253 | |
| G×F | 0.697 | 0.393 | 0.691 | 0.654 | 0.437 | |
| Treatment | 2016–2017 | 2017–2018 | 2018–2019 | 2019–2020 | |||||||
|---|---|---|---|---|---|---|---|---|---|---|---|
| Grain | Straw | Grain | Straw | Grain | Straw | Grain | Straw | ||||
| BL-Ct | 20.53 ± 0.36 a | 7.20 ± 0.23 b | 20.10 ± 0.37 b | 6.05 ± 0.14 b | 21.70 ± 0.19 b | 5.77 ± 0.05 b | 21.10 ± 0.23 b | 6.00 ± 0.09 c | |||
| BL-B | 20.70 ± 0.08 a | 9.09 ± 0.19 a | 20.52 ± 0.24 b | 7.42 ± 0.17 a | 22.29 ± 0.25 ab | 6.50 ± 0.17 a | 21.60 ± 0.18 b | 7.03 ± 0.10 a | |||
| BL-BS | 21.09 ± 0.14 a | 8.94 ± 0.11 a | 21.43 ± 0.33 a | 7.21 ± 0.08 a | 23.26 ± 0.48 a | 6.05 ± 0.08 b | 22.49 ± 0.37 a | 6.69 ± 0.05 b | |||
| Mean | 20.77 ± 0.14 A | 8.41 ± 0.32 B | 20.68 ± 0.25 B | 6.89 ± 0.22 A | 22.41 ± 0.28 B | 6.11 ± 0.12 B | 21.73 ± 0.24 B | 6.57 ± 0.16 B | |||
| GM-Ct | 20.78 ± 0.19 b | 9.08 ± 0.26 b | 20.34 ± 0.16 c | 6.23 ± 0.11 c | 22.63 ± 0.29 c | 5.52 ± 0.19 c | 21.75 ± 0.12 c | 6.09 ± 0.08 c | |||
| GM-B | 20.82 ± 0.39 b | 9.35 ± 0.13 ab | 21.76 ± 0.25 b | 7.18 ± 0.09 b | 23.83 ± 0.68 b | 6.77 ± 0.11 b | 22.91 ± 0.45 b | 7.15 ± 0.07 b | |||
| GM-BS | 22.09 ± 0.11 a | 9.82 ± 0.26 a | 23.44 ± 0.03 a | 7.74 ± 0.14 a | 25.11 ± 0.28 a | 7.95 ± 0.06 a | 24.30 ± 0.18 a | 8.07 ± 0.08 a | |||
| Mean | 21.23 ± 0.25 A | 9.42 ± 0.15 A | 21.84 ± 0.46 A | 7.05 ± 0.23 A | 23.86 ± 0.43 A | 6.74 ± 0.36 A | 22.99 ± 0.40 A | 7.10 ± 0.29 A | |||
| ANOVA p value | |||||||||||
| G | 0.222 | 0.039 | 0.018 | 0.248 | 0.035 | 0.023 | 0.030 | 0.027 | |||
| F | 0.005 | 0.001 | <0.001 | <0.001 | 0.007 | <0.001 | 0.001 | <0.001 | |||
| G×F | 0.162 | 0.012 | 0.049 | 0.037 | 0.600 | <0.001 | 0.227 | <0.001 | |||
| Experimental Year | Treatment | GM-Derived | Wheat Straw-Derived | N Fertilizer | Wheat Seed | Atmospheric Deposition | Total | |||||||
|---|---|---|---|---|---|---|---|---|---|---|---|---|---|---|
| Shoot | Root + Rhizodeposition | Preceding Stubble | Rated Straw Return | |||||||||||
| 2016–2017 | BL-Ct | 0 | 0 | 0 | 0 | 0 | 3.30 | 21.76 | 25.1 | |||||
| BL-B | 0 | 0 | 0 | 0 | 135 | 3.30 | 21.76 | 160 | ||||||
| BL-BS | 0 | 0 | 0 | 68.76 | 135 | 3.30 | 21.76 | 229 | ||||||
| GM-Ct | 56.28 | 21.70 | 0 | 0 | 0 | 3.30 | 21.76 | 103 | ||||||
| GM-B | 56.28 | 21.70 | 0 | 0 | 135 | 3.30 | 21.76 | 238 | ||||||
| GM-BS | 56.28 | 21.70 | 0 | 68.76 | 135 | 3.30 | 21.76 | 307 | ||||||
| 2017–2018 | BL-Ct | 0 | 0 | 9.59 | 0 | 0 | 3.30 | 21.76 | 34.7 | |||||
| BL-B | 0 | 0 | 16.89 | 0 | 135 | 3.30 | 21.76 | 177 | ||||||
| BL-BS | 0 | 0 | 14.26 | 68.76 | 135 | 3.30 | 21.76 | 243 | ||||||
| GM-Ct | 53.62 | 20.67 | 14.34 | 0 | 0 | 3.30 | 21.76 | 114 | ||||||
| GM-B | 53.62 | 20.67 | 15.00 | 0 | 135 | 3.30 | 21.76 | 249 | ||||||
| GM-BS | 53.62 | 20.67 | 14.10 | 68.76 | 135 | 3.30 | 21.76 | 317 | ||||||
| 2018–2019 | BL-Ct | 0 | 0 | 5.18 | 0 | 0 | 3.30 | 21.76 | 30.2 | |||||
| BL-B | 0 | 0 | 6.17 | 0 | 135 | 3.30 | 21.76 | 166 | ||||||
| BL-BS | 0 | 0 | 6.90 | 68.76 | 135 | 3.30 | 21.76 | 236 | ||||||
| GM-Ct | 62.30 | 24.02 | 5.21 | 0 | 0 | 3.30 | 21.76 | 117 | ||||||
| GM-B | 62.30 | 24.02 | 6.00 | 0 | 135 | 3.30 | 21.76 | 252 | ||||||
| GM-BS | 62.30 | 24.02 | 6.04 | 68.76 | 135 | 3.30 | 21.76 | 321 | ||||||
| 2019–2020 | BL-Ct | 0 | 0 | 6.01 | 0 | 0 | 3.30 | 21.76 | 31.1 | |||||
| BL-B | 0 | 0 | 7.65 | 0 | 135 | 3.30 | 21.76 | 168 | ||||||
| BL-BS | 0 | 0 | 7.86 | 68.76 | 135 | 3.30 | 21.76 | 237 | ||||||
| GM-Ct | 64.12 | 24.72 | 6.69 | 0 | 0 | 3.30 | 21.76 | 121 | ||||||
| GM-B | 64.12 | 24.72 | 8.83 | 0 | 135 | 3.30 | 21.76 | 258 | ||||||
| GM-BS | 64.12 | 24.72 | 11.63 | 68.76 | 135 | 3.30 | 21.76 | 329 | ||||||
| Treatment | 2016–2017 | 2017–2018 | 2018–2019 | 2019–2020 | |||||||
|---|---|---|---|---|---|---|---|---|---|---|---|
| NupE | NUE | NupE | NUE | NupE | NUE | NupE | NUE | ||||
| BL-Ct | 6.78 ± 0.07 a | 30.4 ± 0.60 a | 3.33 ± 0.13 a | 34.9 ± 0.83 a | 4.78 ± 0.15 a | 33.3 ± 0.26 a | 4.94 ± 0.20 a | 33.5 ± 0.14 a | |||
| BL-B | 1.33 ± 0.02 b | 22.9 ± 0.83 c | 0.75 ± 0.02 b | 33.6 ± 0.54 a | 1.06 ± 0.01 b | 31.9 ± 0.08 b | 1.12 ± 0.02 b | 31.3 ± 0.33 b | |||
| BL-BS | 0.93 ± 0.01 c | 26.3 ± 0.40 b | 0.59 ± 0.01 c | 31.7 ± 0.71 b | 0.81 ± 0.03 c | 31.3 ± 0.49 b | 0.85 ± 0.01 c | 31.1 ± 0.76 b | |||
| Mean | 3.02 ± 0.94 A | 26.5 ± 1.14 A | 1.56 ± 0.44 A | 33.4 ± 0.58 A | 2.22 ± 0.64 A | 32.2 ± 0.35 A | 2.31 ± 0.66 A | 31.9 ± 0.46 A | |||
| GM-Ct | 2.02 ± 0.09 a | 26.0 ± 0.27 a | 1.14 ± 0.01 a | 36.0 ± 0.59 a | 1.37 ± 0.03 a | 31.9 ± 0.10 a | 1.40 ± 0.05 a | 32.4 ± 0.05 a | |||
| GM-B | 0.82 ± 0.01 b | 23.4 ± 0.46 b | 0.44 ± 0.01 b | 29.1 ± 0.87 b | 0.78 ± 0.01 b | 29.4 ± 0.73 b | 0.79 ± 0.02 b | 29.8 ± 0.41 b | |||
| GM-BS | 0.66 ± 0.01 c | 24.1 ± 0.28 b | 0.39 ± 0.01 b | 28.9 ± 0.67 b | 0.72 ± 0.01 b | 26.5 ± 0.54 c | 0.71 ± 0.02 b | 27.5 ± 0.28 c | |||
| Mean | 1.17 ± 0.22 B | 24.5 ± 0.43 A | 0.66 ± 0.12 B | 31.3 ± 1.22 A | 0.96 ± 0.10 B | 29.3 ± 0.83 B | 0.97 ± 0.11 B | 29.9 ± 0.71 B | |||
| ANOVA p value | |||||||||||
| G | <0.001 | 0.083 | 0.003 | 0.075 | 0.002 | 0.033 | 0.001 | 0.033 | |||
| F | <0.001 | <0.001 | <0.001 | <0.001 | <0.001 | <0.001 | <0.001 | <0.001 | |||
| G×F | <0.001 | 0.002 | <0.001 | 0.008 | 0.000 | 0.003 | <0.001 | 0.026 | |||
Disclaimer/Publisher’s Note: The statements, opinions and data contained in all publications are solely those of the individual author(s) and contributor(s) and not of MDPI and/or the editor(s). MDPI and/or the editor(s) disclaim responsibility for any injury to people or property resulting from any ideas, methods, instructions or products referred to in the content. |
© 2025 by the authors. Licensee MDPI, Basel, Switzerland. This article is an open access article distributed under the terms and conditions of the Creative Commons Attribution (CC BY) license (https://creativecommons.org/licenses/by/4.0/).
Share and Cite
Li, X.; Chen, J.; Shi, J.; Tian, X. Legume Green Manure Further Improves the Effects of Fertilization on the Long-Term Yield and Water and Nitrogen Utilization of Winter Wheat in Rainfed Agriculture. Plants 2025, 14, 2476. https://doi.org/10.3390/plants14162476
Li X, Chen J, Shi J, Tian X. Legume Green Manure Further Improves the Effects of Fertilization on the Long-Term Yield and Water and Nitrogen Utilization of Winter Wheat in Rainfed Agriculture. Plants. 2025; 14(16):2476. https://doi.org/10.3390/plants14162476
Chicago/Turabian StyleLi, Xiushuang, Juan Chen, Jianglan Shi, and Xiaohong Tian. 2025. "Legume Green Manure Further Improves the Effects of Fertilization on the Long-Term Yield and Water and Nitrogen Utilization of Winter Wheat in Rainfed Agriculture" Plants 14, no. 16: 2476. https://doi.org/10.3390/plants14162476
APA StyleLi, X., Chen, J., Shi, J., & Tian, X. (2025). Legume Green Manure Further Improves the Effects of Fertilization on the Long-Term Yield and Water and Nitrogen Utilization of Winter Wheat in Rainfed Agriculture. Plants, 14(16), 2476. https://doi.org/10.3390/plants14162476
