Sign in to use this feature.

Years

Between: -

Subjects

remove_circle_outline
remove_circle_outline
remove_circle_outline
remove_circle_outline
remove_circle_outline
remove_circle_outline
remove_circle_outline
remove_circle_outline
remove_circle_outline

Journals

Article Types

Countries / Regions

Search Results (106)

Search Parameters:
Keywords = windowed interpolation

Order results
Result details
Results per page
Select all
Export citation of selected articles as:
22 pages, 3075 KB  
Article
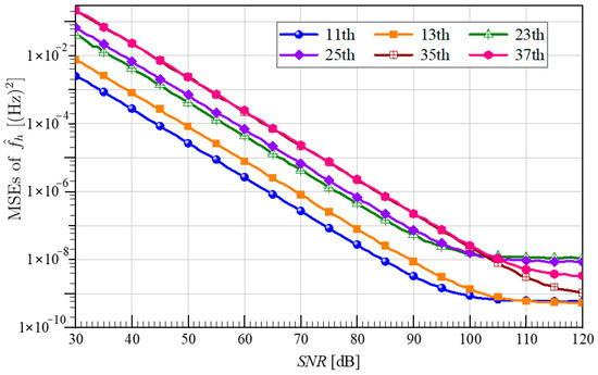
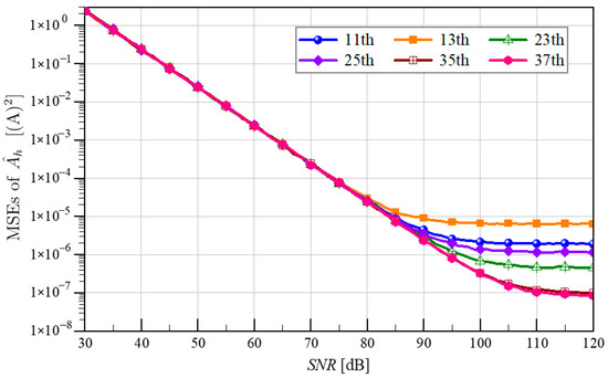
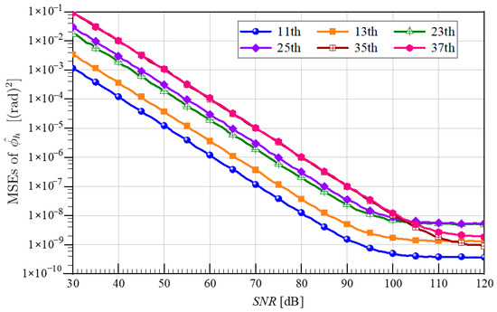
Accurate and Efficient Harmonic Estimation for LCC-HVDC Systems
by Dan Wang, Sijia Hu, Jinjie Lin, Yong Li, Yi Zhang and Jian Song
Energies 2026, 19(7), 1758; https://doi.org/10.3390/en19071758 - 3 Apr 2026
Viewed by 208
Abstract
Modern grids’ dual-high characteristics elevate the role of wideband impedance measurement in operational risk assessment. In thyristor-based line-commutated converter-based high-voltage direct-current (LCC-HVDC) systems, where severe waveform distortion and high harmonic content prevail, nonintrusive wideband techniques rely on precise spectral estimation. Accurate identification of [...] Read more.
Modern grids’ dual-high characteristics elevate the role of wideband impedance measurement in operational risk assessment. In thyristor-based line-commutated converter-based high-voltage direct-current (LCC-HVDC) systems, where severe waveform distortion and high harmonic content prevail, nonintrusive wideband techniques rely on precise spectral estimation. Accurate identification of harmonic parameters (frequency, amplitude, and phase) is therefore essential. This work presents a Hann-window-based three-point interpolated discrete Fourier transform (I3pDFT) for precise harmonic parameter estimation. The method suppresses long-range spectral leakage, enhances frequency resolution, and employs robust amplitude and phase estimators that are resilient to noise and negative-frequency interference. Extensive simulations across frequency deviations, noise levels, sampling rates, and record lengths show that the proposed approach outperforms two classical I3pDFT variants in accuracy while maintaining low computational loads suitable for embedded implementation. These results confirm the effectiveness and practicality of the proposed I3pDFT-Hann method for real-world harmonic measurements in LCC-HVDC systems. Full article
(This article belongs to the Special Issue Advanced in Modeling, Analysis and Control of Microgrids)
Show Figures

Figure 1

21 pages, 6751 KB  
Article
Under-Balcony Acoustic Diagnosis Using FOA-Based Directional Metrics: Early–Late Entropy and Vertical-Energy Discrepancy at 125 Hz, 1 kHz, and 4 kHz
by Po-Chun Ting and Yu-Cheng Liu
Sensors 2026, 26(6), 1871; https://doi.org/10.3390/s26061871 - 16 Mar 2026
Viewed by 235
Abstract
Traditional concert-hall evaluations primarily rely on ISO 3382-1 scalar parameters (e.g., C50 and C80), which summarize temporal energy behavior but provide limited insight into the directional composition of early reflections, particularly in geometrically shadowed seating zones. This paper presents a [...] Read more.
Traditional concert-hall evaluations primarily rely on ISO 3382-1 scalar parameters (e.g., C50 and C80), which summarize temporal energy behavior but provide limited insight into the directional composition of early reflections, particularly in geometrically shadowed seating zones. This paper presents a first-order Ambisonics (FOA)-based 3D acoustic sensing framework to diagnose under-balcony directional imbalance, with emphasis on early vertical-reflection deficiency. Scene-based FOA impulse responses (WXYZ) were measured at 11 audience positions (P1–P11) in the National Concert Hall (Taipei) and analyzed using intensity-based direction-of-arrival (DoA) proxies, axis-resolved directional energy build-up, and a distributional descriptor based on directional spatial entropy. Results are presented at three representative frequencies (125 Hz, 1 kHz, and 4 kHz) and analyzed within full (0–200 ms), early (0–80 ms), and late (80–200 ms) windows. While the magnitude proxy pmeas(f) exhibits strong seat-to-seat variability and does not support a uniform attenuation assumption under the balcony, direction-resolved metrics reveal a consistent under-balcony signature. Specifically, the early–late vertical energy discrepancy ΔRz=RzearlyRzlate is persistently negative at under-balcony positions (P7–P11) across all three frequencies, indicating a selective reduction in early vertical contribution relative to the late field. Directional entropy analysis further shows predominantly negative ΔHn=HnearlyHnlate, with more negative values in the under-balcony group, consistent with stronger early directional constraint in shadowed seats. Spatial trend maps are provided via Gaussian RBF interpolation within the audience domain for visualization only. The proposed FOA-based diagnostic framework provides a practical and physically interpretable approach to identify direction-specific early-reflection deficits that remain masked in conventional scalar evaluations, supporting mechanism-oriented assessment and targeted intervention in geometrically constrained listening areas. Full article
(This article belongs to the Section Physical Sensors)
Show Figures

Figure 1

27 pages, 9877 KB  
Article
An A*-DWA Algorithm Enhanced Laser SLAM System for Orchard Navigation: Design and Performance Analysis
by Hongsen Wang, Xiuhua Zhang, Zheng Huang, Yongwei Yuan, Degang Kong and Shanshan Li
Agriculture 2026, 16(4), 469; https://doi.org/10.3390/agriculture16040469 - 18 Feb 2026
Viewed by 426
Abstract
To address the key limitations of existing laser SLAM (Simultaneous Localization and Mapping) navigation systems in orchards—insufficient safety margins, unsmooth trajectories, poor dynamic obstacle adaptability, and high energy consumption—this study proposes an A* (A-Star)-DWA (Dynamic Window Approach) collaborative optimization algorithm integrated into an [...] Read more.
To address the key limitations of existing laser SLAM (Simultaneous Localization and Mapping) navigation systems in orchards—insufficient safety margins, unsmooth trajectories, poor dynamic obstacle adaptability, and high energy consumption—this study proposes an A* (A-Star)-DWA (Dynamic Window Approach) collaborative optimization algorithm integrated into an orchard-specific laser SLAM framework. Three core enhancements were added to the global A* planner: (1) obstacle–vertex adjacency checks (maintaining ~1 m minimum safety distance, meeting 0.8–1.2 m orchard machinery requirements); (2) redundant node elimination (reducing unnecessary turns and energy use); (3) obstacle density metric integrated into the heuristic function (optimizing node expansion efficiency). For the local DWA planner, key parameters (azimuth weight, obstacle distance weight, prediction horizon, etc.) were calibrated to orchard scenarios and tracked robot kinematics, with a lightweight “deviate → avoid → rejoin global path” mechanism for real-time obstacle avoidance. A three-stage path smoothing process (Bresenham verification + cubic spline interpolation + curvature constraint optimization) further improved trajectory quality. The A*-DWA framework synergizes A*’s global optimality (overcoming DWA’s local minima) and DWA’s real-time obstacle avoidance (compensating for A*’s static limitation). Validations via Matlab/Gazebo/Rviz simulations and field tests in the “Xinli No. 7” pear orchard confirmed superior performance: 100% obstacle avoidance success rate (vs. 85.0–92.0% for comparative algorithms), 0.36–0.45 s response time (57.7–71.1% shorter), 1.05–1.15 m safety distance (far exceeding 0.60–0.82 m of existing methods); field tests show 10% lower energy consumption than traditional A*, 0.011 m mean lateral deviation (straight segments), and 65% reduced peak turning deviation (0.14 m). This work resolves multidimensional orchard navigation challenges, enhances agricultural robot efficiency, safety, and adaptability, and provides a practical basis for smart agriculture advancement. Full article
(This article belongs to the Special Issue Application of Smart Technologies in Orchard Management)
Show Figures

Figure 1

20 pages, 4315 KB  
Article
Forming and Optimization of Dual-Window Pulsating Pressure Paths for Hydroforming of Asymmetric Corrugated Thin-Walled Tubes
by Shuqiang Wang and Shenmiao Zhao
Processes 2026, 14(4), 646; https://doi.org/10.3390/pr14040646 - 13 Feb 2026
Viewed by 259
Abstract
Hydroforming has become an effective manufacturing technique for asymmetric corrugated thin-walled tubular components in lightweight automotive structures, owing to its capability to integrally form complex geometries. In this study, a finite-element model of the hydroforming process for 316L stainless-steel asymmetric corrugated thin-walled tubes [...] Read more.
Hydroforming has become an effective manufacturing technique for asymmetric corrugated thin-walled tubular components in lightweight automotive structures, owing to its capability to integrally form complex geometries. In this study, a finite-element model of the hydroforming process for 316L stainless-steel asymmetric corrugated thin-walled tubes was established, and three representative internal pressure loading paths—pulsating, linear, and stepped—were investigated using the DYNAFORM/LS-DYNA platform. The effects of different loading paths on material flow behavior, strain evolution, and forming quality, particularly wall-thickness distribution, were systematically compared. Among the three loading strategies, the pulsating pressure path exhibited the most balanced forming performance for asymmetric thin-walled tubes in terms of overall forming quality and wall-thickness control, although limited forming stability was observed in the initial pulsation scheme. To address this limitation, a dual-window orthogonal pulsation strategy was employed to optimize the initial pulsating loading path and further enhance its forming performance. The optimized pulsating curve completely eliminated the wrinkling tendency in the corrugated regions and reduced the maximum wall-thickness thinning ratio from 21.8% to 19.6%. Furthermore, the numerical simulation results show good agreement with experimental observations, with both the average wall-thickness deviation and the minimum wall-thickness error calculated using the interpolation method remaining within 2%. These results confirm the effectiveness of the optimized pulsating loading path for the hydroforming process design of asymmetric corrugated thin-walled tubes. Full article
(This article belongs to the Section Chemical Processes and Systems)
Show Figures

Figure 1

20 pages, 5999 KB  
Article
Lithology Identification from Well Logs via Meta-Information Tensors and Quality-Aware Weighting
by Wenxuan Chen, Guoyun Zhong, Fan Diao, Peng Ding and Jianfeng He
Big Data Cogn. Comput. 2026, 10(2), 47; https://doi.org/10.3390/bdcc10020047 - 2 Feb 2026
Viewed by 692
Abstract
In practical well-logging datasets, severe missing values, anomalous disturbances, and highly imbalanced lithology classes are pervasive. To address these challenges, this study proposes a well-logging lithology identification framework that combines Robust Feature Engineering (RFE) with quality-aware XGBoost. Instead of relying on interpolation-based data [...] Read more.
In practical well-logging datasets, severe missing values, anomalous disturbances, and highly imbalanced lithology classes are pervasive. To address these challenges, this study proposes a well-logging lithology identification framework that combines Robust Feature Engineering (RFE) with quality-aware XGBoost. Instead of relying on interpolation-based data cleaning, RFE uses sentinel values and a meta-information tensor to explicitly encode patterns of missingness and anomalies, and incorporates sliding-window context to transform data defects into discriminative auxiliary features. In parallel, a quality-aware sample-weighting strategy is introduced that jointly accounts for formation boundary locations and label confidence, thereby mitigating training bias induced by long-tailed class distributions. Experiments on the FORCE 2020 lithology prediction dataset demonstrate that, relative to baseline models, the proposed method improves the weighted F1 score from 0.66 to 0.73, while Boundary F1 and the geological penalty score are also consistently enhanced. These results indicate that, compared with traditional workflows that rely solely on data cleaning, explicit modeling of data incompleteness provides more pronounced advantages in terms of robustness and engineering applicability. Full article
(This article belongs to the Section Data Mining and Machine Learning)
Show Figures

Figure 1

17 pages, 6604 KB  
Article
Generalized Fractional Interpolated Discrete Fourier Transform with Rectangular Window for Frequency Estimation in Noisy Sinewave Signals
by Fernando M. Janeiro and Pedro M. Ramos
Metrology 2026, 6(1), 8; https://doi.org/10.3390/metrology6010008 - 2 Feb 2026
Viewed by 382
Abstract
Accurate and efficient frequency estimation is essential in many scientific fields and has led to the development of various algorithms. Commonly used methods involve applying the Discrete Fourier Transform followed by spectral interpolation. This approach faces challenges especially under low signal-to-noise ratio conditions. [...] Read more.
Accurate and efficient frequency estimation is essential in many scientific fields and has led to the development of various algorithms. Commonly used methods involve applying the Discrete Fourier Transform followed by spectral interpolation. This approach faces challenges especially under low signal-to-noise ratio conditions. To mitigate this limitation, the Generalized Fractional Interpolated Discrete Fourier Transform for frequency estimation of rectangular-windowed sinewaves is proposed. This non-iterative algorithm enhances frequency estimation by employing spectral components at fractional steps of the Discrete Fourier Transform frequency resolution. A non-iterative, closed-form equation for frequency estimation is derived, enabling efficient computation. The proposed algorithm is evaluated through numerical simulations and compared with existing interpolation methods for different frequencies, signal-to-noise ratios, and number of acquired samples. The method is validated using experimentally acquired sinewave signals. Full article
Show Figures

Figure 1

26 pages, 8779 KB  
Article
TAUT: A Remote Sensing-Based Terrain-Adaptive U-Net Transformer for High-Resolution Spatiotemporal Downscaling of Temperature over Southwest China
by Zezhi Cheng, Jiping Guan, Li Xiang, Jingnan Wang and Jie Xiang
Remote Sens. 2026, 18(3), 416; https://doi.org/10.3390/rs18030416 - 27 Jan 2026
Viewed by 684
Abstract
High-precision temperature prediction is crucial for dealing with extreme weather events under the background of global warming. However, due to the limitations of computing resources, numerical weather prediction models are difficult to directly provide high spatio-temporal resolution data that meets the specific application [...] Read more.
High-precision temperature prediction is crucial for dealing with extreme weather events under the background of global warming. However, due to the limitations of computing resources, numerical weather prediction models are difficult to directly provide high spatio-temporal resolution data that meets the specific application requirements of a certain region. This problem is particularly prominent in areas with complex terrain. The use of remote sensing data, especially high-resolution terrain data, provides key information for understanding and simulating the interaction between land and atmosphere in complex terrain, making the integration of remote sensing and NWP outputs to achieve high-precision meteorological element downscaling a core challenge. Aiming at the challenge of temperature scaling in complex terrain areas of Southwest China, this paper proposes a novel deep learning model—Terrain Adaptive U-Net Transformer (TAUT). This model takes the encoder–decoder structure of U-Net as the skeleton, deeply integrates the global attention mechanism of Swin Transformer and the local spatiotemporal feature extraction ability of three-dimensional convolution, and innovatively introduces the multi-branch terrain adaptive module (MBTA). The adaptive integration of terrain remote sensing data with various meteorological data, such as temperature fields and wind fields, has been achieved. Eventually, in the complex terrain area of Southwest China, a spatio-temporal high-resolution downscaling of 2 m temperature was realized (from 0.1° in space to 0.01°, and from 3 h intervals to 1 h intervals in time). The experimental results show that within the 48 h downscaling window period, the TAUT model outperforms the comparison models such as bilinear interpolation, SRCNN, U-Net, and EDVR in all evaluation metrics (MAE, RMSE, COR, ACC, PSNR, SSIM). The systematic ablation experiment verified the independent contributions and synergistic effects of the Swin Transformer module, the 3D convolution module, and the MBTA module in improving the performance of each model. In addition, the regional terrain verification shows that this model demonstrates good adaptability and stability under different terrain types (mountains, plateaus, basins). Especially in cases of high-temperature extreme weather, it can more precisely restore the temperature distribution details and spatial textures affected by the terrain, verifying the significant impact of terrain remote sensing data on the accuracy of temperature downscaling. The core contribution of this study lies in the successful construction of a hybrid architecture that can jointly leverage the local feature extraction advantages of CNN and the global context modeling capabilities of Transformer, and effectively integrate key terrain remote sensing data through dedicated modules. The TAUT model offers an effective deep learning solution for precise temperature prediction in complex terrain areas and also provides a referential framework for the integration of remote sensing data and numerical model data in deep learning models. Full article
Show Figures

Figure 1

23 pages, 5241 KB  
Article
BAARTR: Boundary-Aware Adaptive Regression for Kinematically Consistent Vessel Trajectory Reconstruction from Sparse AIS
by Hee-jong Choi, Joo-sung Kim and Dae-han Lee
J. Mar. Sci. Eng. 2026, 14(2), 116; https://doi.org/10.3390/jmse14020116 - 7 Jan 2026
Viewed by 425
Abstract
The Automatic Identification System (AIS) frequently suffers from data loss and irregular report intervals in real maritime environments, compromising the reliability of downstream navigation, monitoring, and trajectory reconstruction tasks. To address these challenges, we propose BAARTR (Boundary-Aware Adaptive Regression for Kinematically Consistent Vessel [...] Read more.
The Automatic Identification System (AIS) frequently suffers from data loss and irregular report intervals in real maritime environments, compromising the reliability of downstream navigation, monitoring, and trajectory reconstruction tasks. To address these challenges, we propose BAARTR (Boundary-Aware Adaptive Regression for Kinematically Consistent Vessel Trajectory Reconstruction), a novel kinematically consistent interpolation framework. Operating solely on time, latitude, and longitude inputs, BAARTR explicitly enforces boundary velocities derived from raw AIS data. The framework adaptively selects a velocity-estimation strategy based on the AIS reporting gap: central differencing is applied for short intervals, while a hierarchical cubic velocity regression with a quadratic acceleration constraint is employed for long or irregular gaps to iteratively refine endpoint slopes. These boundary slopes are subsequently incorporated into a clamped quartic interpolation at a 1 s resolution, effectively suppressing overshoots and ensuring velocity continuity across segments. We evaluated BAARTR against Linear, Spline, Hermite, Bezier, Piecewise cubic hermite interpolating polynomial (PCHIP) and Modified akima (Makima) methods using real-world AIS data collected from the Mokpo Port channel, Republic of Korea (2023–2024), across three representative vessels. The experimental results demonstrate that BAARTR achieves superior reconstruction accuracy while maintaining strictly linear time complexity (O(N)). BAARTR consistently achieved the lowest median Root Mean Square Error (RMSE) and the narrowest Interquartile Ranges (IQR), producing visibly smoother and more kinematically plausible paths-especially in high-curvature turns where standard geometric interpolations tend to oscillate. Furthermore, sensitivity analysis shows stable performance with a modest training window (n ≈ 16) and minimal regression iterations (m = 2–3). By reducing reliance on large training datasets, BAARTR offers a lightweight, extensible foundation for post-processing in Maritime Autonomous Surface Ship (MASS) and Vessel Traffic Service (VTS), as well as for accident reconstruction and multi-sensor fusion. Full article
(This article belongs to the Special Issue Advanced Research on Path Planning for Intelligent Ships)
Show Figures

Figure 1

18 pages, 10989 KB  
Article
Aerodynamic Roughness Retrieval at Typical Antarctic Stations Based on Multi-Source Remote Sensing
by Yongzhe Sun, Zhaoliang Zeng, Che Wang, Lizhong Zhu, Biao Tian, Ruqing Zhu and Minghu Ding
Remote Sens. 2026, 18(1), 67; https://doi.org/10.3390/rs18010067 - 25 Dec 2025
Viewed by 642
Abstract
Antarctica’s aerodynamic roughness length (z0m) is crucial for surface energy exchange and atmospheric modeling, but its remote sensing estimation remains challenging due to complex ice-surface conditions and limited observations. To address these challenges, this study establishes a z0m retrieval framework [...] Read more.
Antarctica’s aerodynamic roughness length (z0m) is crucial for surface energy exchange and atmospheric modeling, but its remote sensing estimation remains challenging due to complex ice-surface conditions and limited observations. To address these challenges, this study establishes a z0m retrieval framework derived from the Raupach model using Unmanned Aerial Vehicle (UAV), Reference Elevation Model of Antarctica (REMA), and Ice, Cloud, and land Elevation Satellite-2 (ICESat-2) datasets at three representative Antarctic sites. The results show that UAV benchmarks yield mean z0m values of 0.009795, 0.011597, and 0.005203 m at Zhongshan Station, Great Wall Station, and Qinling Station, respectively. In experiments with ICESat-2 data, z0m derived from ATL06 demonstrates accuracy comparable to that from ATL03 (RMSE = 7.45 × 10−6 m), with the best performance obtained at a 2 km window. Spatially, the agreement with UAV-derived z0m decreases in the order: REMA > ICESat-2 (IDW-interpolated). The accuracy of REMA and ICESat-2 decreased with terrain complexity, from ice-free zones to the ice-shelf front and finally to the steep ice sheet margin. The elevation and slope variations emerge as dominant controls of z0m spatial patterns. This study demonstrates the complementary strengths of UAV, REMA, and ICESat-2 datasets in Antarctic aerodynamic roughness estimation, providing practical guidance for data selection and methodology optimization. This study develops an improved z0m retrieval method for Antarctica, clarifies the applicability and limitations of UAV, REMA, and ICESat-2 data, and provides methodological and data support for simulations of near-surface atmospheric parameters in Antarctica region. Full article
Show Figures

Graphical abstract

23 pages, 5848 KB  
Article
A Dual-Layer Hybrid-A* Path Planning Algorithm for Unstructured Environments Based on Phase Windows
by Tianxiao Zhu, Ziyu Xu, Rujiang Zhu, Wei Zhang and Zhonghua Miao
Sensors 2026, 26(1), 43; https://doi.org/10.3390/s26010043 - 20 Dec 2025
Cited by 2 | Viewed by 1887
Abstract
In mobile robotics, path planning enables autonomous navigation to specified destinations. However, complex terrain can lead to excessive tilting or even overturning, compromising stability and safety. Traditional path-planning algorithms often fail to fully account for dynamic terrain variations and robot motion constraints. To [...] Read more.
In mobile robotics, path planning enables autonomous navigation to specified destinations. However, complex terrain can lead to excessive tilting or even overturning, compromising stability and safety. Traditional path-planning algorithms often fail to fully account for dynamic terrain variations and robot motion constraints. To address these limitations, this paper proposes the novel dual-layer Hybrid-A* algorithm, enhanced with dynamic phase windows. This approach represents a significant innovation by integrating real-time feedback mechanisms and adaptive adjustments to phase windows, enabling continuous path refinement in response to both environmental changes and robot motion limitations. The guidance layer introduces a bicubic interpolation-based super-resolution technique to refine elevation maps, offering more accurate posture estimation. In the planning layer, we propose the dynamic use of multiple cost functions, an adaptive expansion radius, pruning strategies, and a phase-window activation mechanism, effectively addressing the computational challenges posed by large search spaces. The integration of these strategies allows the algorithm to outperform traditional methods, particularly in unstructured environments with complex terrain. Experimental results demonstrate the effectiveness of the proposed method in generating optimized paths that satisfy robot motion constraints, ensuring both efficiency and safety in real-world applications. Full article
(This article belongs to the Section Navigation and Positioning)
Show Figures

Figure 1

19 pages, 2349 KB  
Article
Enhancing Extrapolation of Buckley–Leverett Solutions with Physics-Informed and Transfer-Learned Fourier Neural Operators
by Yangnan Shangguan, Junhong Jia, Ke Wu, Xianlin Ma, Rong Zhong and Zhenzihao Zhang
Appl. Sci. 2025, 15(24), 13005; https://doi.org/10.3390/app152413005 - 10 Dec 2025
Viewed by 522
Abstract
Accurate modeling of multiphase flow in porous media remains challenging due to the nonlinear transport and sharp displacement fronts described by the Buckley–Leverett (B-L) equation. Although Fourier Neural Operators (FNOs) have recently emerged as powerful surrogates for parametric partial differential equations, they exhibit [...] Read more.
Accurate modeling of multiphase flow in porous media remains challenging due to the nonlinear transport and sharp displacement fronts described by the Buckley–Leverett (B-L) equation. Although Fourier Neural Operators (FNOs) have recently emerged as powerful surrogates for parametric partial differential equations, they exhibit limited robustness when extrapolating beyond the training regime, particularly for shock-dominated fractional flows. This study aims to enhance the extrapolative performance of FNOs for one-dimensional B-L displacement. Analytical solutions were generated using Welge’s graphical method, and datasets were constructed across a range of mobility ratios. A baseline FNO was trained to predict water saturation profiles and evaluated under both interpolation and extrapolation conditions. While the standard FNO accurately reconstructs saturation profiles within the training window, it misestimates shock positions and saturation jumps when extended to longer times or higher mobility ratios. To address these limitations, we develop Physics-Informed FNOs (PI-FNOs), which embed PDE residuals and boundary constraints, and Transfer-Learned FNOs (TL-FNOs), which adapt pretrained operators to new regimes using limited data. Comparative analyses show that both approaches markedly improve extrapolation accuracy, with PI-FNOs achieving the most consistent and physically reliable performance. These findings demonstrate the potential of combining physics constraints and knowledge transfer for robust operator learning in multiphase flow systems. Full article
(This article belongs to the Special Issue Artificial Intelligence (AI) for Energy Systems)
Show Figures

Figure 1

20 pages, 5173 KB  
Article
LSTM-Based Interpolation of Single-Differential Ionospheric Delays for PPP-RTK Positioning
by Minghui Lyu, Genyou Liu, Run Wang, Shengjun Hu, Gongwei Xiao and Dong Lyu
Aerospace 2025, 12(12), 1094; https://doi.org/10.3390/aerospace12121094 - 9 Dec 2025
Viewed by 489
Abstract
The accurate and rapid estimation of ionospheric delays is essential for PPP-RTK positioning. While traditional spatial interpolation methods like Kriging rely solely on geographic correlations, they often fail to capture rapid temporal variations in the ionosphere. To overcome this limitation, this paper proposes [...] Read more.
The accurate and rapid estimation of ionospheric delays is essential for PPP-RTK positioning. While traditional spatial interpolation methods like Kriging rely solely on geographic correlations, they often fail to capture rapid temporal variations in the ionosphere. To overcome this limitation, this paper proposes a long short-term memory (LSTM)-based interpolation method for interpolating ionospheric delays between satellites. The method leverages both spatial and short-term temporal correlations to generate accurate ionospheric corrections at user locations. The model uses a sliding window approach, taking the most recent 10 min of historical data as input to predict ionospheric delays at the current epoch. Experimental validation using data from a reference network in Australia—with average and maximum baseline lengths of 280 km and 650 km, respectively—demonstrates that the proposed LSTM method achieves a centimeter-level interpolation accuracy, with RMS errors between 0.06 m and 0.07 m under both quiet and geomagnetic storm conditions, significantly outperforming the Kriging method (0.27–0.44 m). In PPP-RTK, the LSTM model achieved a 3D positioning accuracy of 8.99 cm RMS during quiet periods, representing improvements of 51.9% and 28.8% over the No Constraint and Kriging methods, respectively. Under geomagnetic storm conditions, it maintained a 3D RMS of 24.54 cm—over 44% more accurate than other methods—and reduced the average time-to-first-fix (TTFF) to just 7.0 min, a 39.1% improvement. This study provides a novel approach for ionospheric spatial interpolation, demonstrating a particular robustness even during geomagnetic storms. Full article
(This article belongs to the Topic GNSS Measurement Technique in Aerial Navigation)
Show Figures

Figure 1

27 pages, 3207 KB  
Article
Interpolation and Machine Learning Methods for Sub-Hourly Missing Rainfall Data Imputation in a Data-Scarce Environment: One- and Two-Step Approaches
by Mohamed Boukdire, Çağrı Alperen İnan, Giada Varra, Renata Della Morte and Luca Cozzolino
Hydrology 2025, 12(11), 297; https://doi.org/10.3390/hydrology12110297 - 10 Nov 2025
Cited by 2 | Viewed by 1273
Abstract
Complete sub-hourly rainfall datasets are critical for accurate flood modeling, real-time forecasting, and understanding of short-duration rainfall extremes. However, these datasets often contain missing values due to sensor or transmission failures. Recovering missing values (or filling these data gaps) at high temporal resolution [...] Read more.
Complete sub-hourly rainfall datasets are critical for accurate flood modeling, real-time forecasting, and understanding of short-duration rainfall extremes. However, these datasets often contain missing values due to sensor or transmission failures. Recovering missing values (or filling these data gaps) at high temporal resolution is challenging due to the imbalance between rain and no-rain periods. In this study, we developed and tested two approaches for the imputation of missing 10-min rainfall data by means of machine learning (Multilayer Perceptron and Random Forest) and interpolation methods (Inverse Distance Weighting and Ordinary Kriging). The (a) direct approach operates on raw data to directly feed the imputation models, while the (b) two-step approach first classifies time steps as rain or no-rain with a Random Forest classifier and subsequently applies an imputation model to predicted rainfall depth instances classified as rain. Each approach was tested under three spatial scenarios: using all nearby stations, using stations within the same cluster, and using the three most highly correlated stations. An additional test involved the comparison of the results obtained using data from the imputed time interval only and data from a time window containing several time intervals before and after the imputed time interval. The methods were evaluated with reference to two different environments, mountainous and coastal, in Campania region (Southern Italy), under data-scarce conditions where rainfall depth is the only available variable. With reference to the application of the two-step approach, the Random Forest classifier shows a good performance both in the mountainous and in the coastal area, with an average weighted F1 score of 0.961 and 0.957, and an average Accuracy of 0.928 and 0.946, respectively. The highest performance in the regression step is obtained by the Random Forest in the mountainous area with an R2 of 0.541 and an RMSE of 0.109 mm, considering a spatial configuration including all stations. The comparison with the direct approach results shows that the two-step approach consistently improves accuracy across all scenarios, highlighting the benefits gained from breaking the data imputation process in stages where different physical conditions (in this case, rain and no-rain) are separately managed. Another important finding is that the use of time windows containing data lagged with respect to the imputed time interval allows capturing the atmospheric dynamics by connecting rainfall instances at different time levels and distant stations. Finally, the study confirms that machine learning models outperform spatial interpolation methods, thanks to their ability to manage data with complicated internal structure. Full article
Show Figures

Figure 1

17 pages, 2447 KB  
Article
Research on Orchard Navigation Line Recognition Method Based on U-Net
by Ning Xu, Xiangsen Ning, Aijuan Li, Zhihe Li, Yumin Song and Wenxuan Wu
Sensors 2025, 25(22), 6828; https://doi.org/10.3390/s25226828 - 7 Nov 2025
Cited by 1 | Viewed by 690
Abstract
Aiming at the problems of complex image background and numerous interference factors faced by visual navigation systems in orchard environments, this paper proposes an orchard navigation line recognition method based on U-Net. Firstly, the drivable areas in the collected images are labeled using [...] Read more.
Aiming at the problems of complex image background and numerous interference factors faced by visual navigation systems in orchard environments, this paper proposes an orchard navigation line recognition method based on U-Net. Firstly, the drivable areas in the collected images are labeled using Labelme (a graphical tool for image annotation) to create an orchard dataset. Then, the Spatial Attention (SA) mechanism is inserted into the downsampling stage of the traditional U-Net semantic segmentation method, and the Coordinate Attention (CA) mechanism is added to the skip connection stage to obtain complete context information and optimize the feature restoration process of the drivable area in the field, thereby improving the overall segmentation accuracy of the model. Subsequently, the improved U-Net network is trained using the enhanced dataset to obtain the drivable area segmentation model. Based on the detected drivable area segmentation mask, the navigation line information is extracted, and the geometric center points are calculated row by row. After performing sliding window processing and bidirectional interpolation filling on the center points, the navigation line is generated through spline interpolation. Finally, the proposed method is compared and verified with U-Net, SegViT, SE-Net, and DeepLabv3+ networks. The results show that the improved drivable area segmentation model has a Recall of 90.23%, a Precision of 91.71%, a mean pixel accuracy (mPA) of 87.75%, and a mean intersection over union (mIoU) of 84.84%. Moreover, when comparing the recognized navigation line with the actual center line, the average distance error of the extracted navigation line is 56 mm, which can provide an effective reference for visual autonomous navigation in orchard environments. Full article
Show Figures

Figure 1

10 pages, 11571 KB  
Technical Note
ncPick: A Lightweight Toolkit for Extracting, Analyzing, and Visualizing ECMWF ERA5 NetCDF Data
by Sreten Jevremović, Filip Arnaut, Aleksandra Kolarski and Vladimir A. Srećković
Data 2025, 10(11), 178; https://doi.org/10.3390/data10110178 - 2 Nov 2025
Viewed by 873
Abstract
The European Centre for Medium-Range Weather Forecasts (ECMWF) Reanalysis v5 (ERA5) datasets provide a rich source of climatological data. However, their Network Common Data Form (NetCDF) structure can be a barrier for researchers who are not experienced with specialized data tools or programming [...] Read more.
The European Centre for Medium-Range Weather Forecasts (ECMWF) Reanalysis v5 (ERA5) datasets provide a rich source of climatological data. However, their Network Common Data Form (NetCDF) structure can be a barrier for researchers who are not experienced with specialized data tools or programming languages. To address this challenge, we developed ncPick, a lightweight, Windows-based application designed to make ERA5 data more accessible and easier to use. The software enables users to load NetCDF files, select points of interest manually or through shapefiles, and export the data directly to Comma-separated values (CSV) format for further processing in common tools such as Excel, R, or within ncPick itself. Additional modules allow for quick visualization, descriptive statistics, interpolation, and the generation of time-of-day heatmaps, as well as practical data handling functions such as merging and downsampling CSV files based on the time-axis. Validation tests confirmed that ncPick outputs are consistent with those from established tools (such as Panoply). The toolkit was found to be stable across different Windows systems and suitable for a range of datasets. While it has limitations with very large files and does not include automated data download for version 1 of the software, ncPick offers an accessible solution for researchers, students, and other professionals seeking a reliable and intuitive way to work with ERA5 NetCDF data. Full article
(This article belongs to the Section Spatial Data Science and Digital Earth)
Show Figures

Figure 1

Back to TopTop