Next Article in Journal
Chemical and Physical Characterisation of Microplastics Present on Beaches of the Cantabrian Coast, Bay of Biscay (Spain)
Next Article in Special Issue
The Atmospheric Water Cycle over South America as Seen in the New Generation of Global Reanalyses
Previous Article in Journal
Assessment of Nutrient and Bacteria Contributions from Watersheds with Predominantly Agricultural and Urban Land Uses in Coastal North Carolina
Previous Article in Special Issue
Assessing the Impacts of Land Cover and Climate Changes on Streamflow Dynamics in the Río Negro Basin (Colombia) Under Present and Future Scenarios
 
 
Font Type:
Arial Georgia Verdana
Font Size:
Aa Aa Aa
Line Spacing:
Column Width:
Background:
Article

Interpolation and Machine Learning Methods for Sub-Hourly Missing Rainfall Data Imputation in a Data-Scarce Environment: One- and Two-Step Approaches

1
Department of Civil Engineering and Architecture, University of Catania, 95123 Catania, Italy
2
Euro-Mediterranean Center on Climate Change (CMCC), Soil and Water Systems (SOWAS) Division, Via Thomas Alva Edison, 81100 Caserta, Italy
3
Department of Engineering, “Parthenope” University, 80143 Naples, Italy
*
Author to whom correspondence should be addressed.
Hydrology 2025, 12(11), 297; https://doi.org/10.3390/hydrology12110297
Submission received: 29 September 2025 / Revised: 3 November 2025 / Accepted: 5 November 2025 / Published: 10 November 2025

Abstract

Complete sub-hourly rainfall datasets are critical for accurate flood modeling, real-time forecasting, and understanding of short-duration rainfall extremes. However, these datasets often contain missing values due to sensor or transmission failures. Recovering missing values (or filling these data gaps) at high temporal resolution is challenging due to the imbalance between rain and no-rain periods. In this study, we developed and tested two approaches for the imputation of missing 10-min rainfall data by means of machine learning (Multilayer Perceptron and Random Forest) and interpolation methods (Inverse Distance Weighting and Ordinary Kriging). The (a) direct approach operates on raw data to directly feed the imputation models, while the (b) two-step approach first classifies time steps as rain or no-rain with a Random Forest classifier and subsequently applies an imputation model to predicted rainfall depth instances classified as rain. Each approach was tested under three spatial scenarios: using all nearby stations, using stations within the same cluster, and using the three most highly correlated stations. An additional test involved the comparison of the results obtained using data from the imputed time interval only and data from a time window containing several time intervals before and after the imputed time interval. The methods were evaluated with reference to two different environments, mountainous and coastal, in Campania region (Southern Italy), under data-scarce conditions where rainfall depth is the only available variable. With reference to the application of the two-step approach, the Random Forest classifier shows a good performance both in the mountainous and in the coastal area, with an average weighted F1 score of 0.961 and 0.957, and an average Accuracy of 0.928 and 0.946, respectively. The highest performance in the regression step is obtained by the Random Forest in the mountainous area with an R2 of 0.541 and an RMSE of 0.109 mm, considering a spatial configuration including all stations. The comparison with the direct approach results shows that the two-step approach consistently improves accuracy across all scenarios, highlighting the benefits gained from breaking the data imputation process in stages where different physical conditions (in this case, rain and no-rain) are separately managed. Another important finding is that the use of time windows containing data lagged with respect to the imputed time interval allows capturing the atmospheric dynamics by connecting rainfall instances at different time levels and distant stations. Finally, the study confirms that machine learning models outperform spatial interpolation methods, thanks to their ability to manage data with complicated internal structure.

1. Introduction

Reliable high-resolution rainfall data are essential for hydrological and climatic applications. For example, Berne et al. [1] showed that high-resolution rainfall data are required for urban catchment simulation due to the short response time, while Huang et al. [2] demonstrated that the results’ quality for hydrologic simulation in a natural catchment improved with the increase in rainfall data resolution. Low-resolution data cannot capture the evolution of short convective rainfall events that occur during the summer season [3], especially those leading to flash flooding in rapid-response catchments [4]. Frequency and intensity of short-duration rainfall events driven by climate change are increasing, further demanding accurate sub-hourly rainfall measurements [4,5]. Collecting uninterrupted rainfall time series at a fine temporal resolution remains an operational challenge because equipment malfunctions, sensor calibration errors, network communication failures, and maintenance downtimes may result in incomplete datasets, affecting the reliability of subsequent analyses [6,7]. Even quality control operations on rainfall data may produce missing data due to the need to exclude outliers and too frequent or too low data [8]. The need for long and continuous high-resolution rainfall data records, as well as the possible presence of missing data in these records, makes the imputation of these values a necessary preprocessing step for obtaining high-quality outcomes produced by hydrologic models.
While studies have largely addressed the imputation of monthly [9,10] or daily precipitation [11,12], the sub-hourly scale introduces new challenges. The probability of finding no-rainfall data in records decreases with the time scale due to rainfall intermittency [13], resulting in zero-inflated time series for high temporal resolution rainfall data. This can reduce the performance of models for the imputation of missing data due to the bias introduced by the excess of zero values [14]. On the other hand, spatial correlations of high-resolution rainfall data decrease more rapidly with distance than coarser resolution data [15], reducing the capacity of neighboring rainfall gauges to aid the imputation of missing data at the target station for high-resolution time series.
The simplest techniques for the imputation of missing data in time-series rely on basic statistical indicators such as mean, median, or mode [16], but these approaches may fall short due to autocorrelation and persistence in the rainfall records [17]. The availability of neighboring rain gauges allows the use of spatial interpolation techniques such as Inverse Distance Weighting (IDW) [9,18,19,20], even with optimized parameters [21], Multiple Linear Regression [9,18], and Ordinary Kriging (OK) [19,20,22,23,24], among the others. Geostatistical techniques like OK work better on flat terrain but may perform relatively poorly in mountainous areas [25]. For this reason, Detrended Universal Kriging and Co-Kriging have been introduced to consider data trends and additional explanatory variables such as gauge elevations [24].
Recently, machine learning (ML) approaches have emerged as a promising family of tools for missing environmental data imputation [16], obtaining improved results over classic simple regression models [26] and offering greater flexibility. Among the most widely used machine learning models are Multilayer Perceptrons (MLPs), Support Vector Machines (SVMs), and Random Forests (RFs), which have been successfully applied to various environmental and hydrological problems. Several studies have reported that ML models effectively capture nonlinear relationships in rainfall data. Sattari et al. (2020) [27] demonstrated the potential of kernel and tree-based machine-learning models, such as Support Vector Regression, Gaussian Process Regression, and RF, for estimating missing rainfall data. Bellido-Jiménez et al. (2021) [28] compared different ML approaches for filling gaps in daily rainfall series in a semiarid area (Andalusia, Spain), finding that MLP obtained the best results in most stations. Lupi et al. (2023) [29] evaluated various ML models, including linear regression, long short-term memory, and convolutional neural networks, for the imputation of missing daily rainfall data. Their study found that these models are effective in handling incomplete datasets, with the quality of the input data playing a critical role in model performance. Praveen Kumar and Dwarakish (2025) [30] considered different classic regression and ML approaches for filling gaps in daily rainfall series in the Kali River basin (India), finding that the K-nearest Neighbor approach behaved best among the models compared. From this very short review, it emerges that ML approaches seem suitable for the gap filling task in rainfall time series under different climates and in various regions.
Of course, ML approaches obtain the best results when they are built to incorporate the structure of the missing data to be imputed [31,32], allowing for an improved representation of the spatial and temporal dynamics that characterize the process [16]. In the case of missing rainfall data, this could be carried out in different ways. The first strategy integrates additional data such as wind velocity and direction, elevation, humidity, air pressure and temperature, allowing for a more robust imputation of the missing data by exploiting the availability of covariates [14,33]. The second strategy, which serves to cope with zero-inflated time series, consists of breaking the imputation process in two steps: in the first step, time intervals with missing data are classified to determine if they are rainy or non-rainy; in the second step, missing rainfall data imputation is carried out only in the time intervals classified as rainy [14,33,34,35,36]. In the third strategy, lagged data from different time steps are used to incorporate the time dynamics of the process to be imputed [16].
Especially relevant for the present discussion are the works by Chivers et al. (2020) [14] and Han et al. (2023) [33], where both the strategies of incorporating additional data and using a two-step approach were exploited. Chivers et al. (2020) [14] integrated sub-hourly (30-min) data collected from 37 weather stations (including precipitation, air pressure and temperature, relative humidity, wind speed and direction, volumetric water content) with rain gauge records in the UK (United Kingdom). Several ML models (gradient tree boosting, K-nearest neighbors, Random Forest, Support Vector Machines, and neural networks) were tested, adopting a two-step approach. The best performance was achieved when using the most comprehensive dataset, i.e., the one that included all the available soil moisture and hydro-meteorological features for each monitoring site and all the rain gauge stations surrounding the target site within a 30 km radius. Han et al. (2023) [33] used daily meteorological data (precipitation, humidity, air pressure and temperature, and wind speed) from 30 weather stations across South Korea to reconstruct missing daily precipitation values. They tested the performance of two ML models, Artificial Neural Networks (ANNs) and RF for both classification and regression steps.
Despite these advances, few studies have investigated the application of ML-based imputation to sub-hourly rainfall, particularly under data-scarce conditions. In operational networks, sensors are sparse and additional meteorological variables, including wind speed and direction, and air temperature and pressure, may be limited or absent [28,37]. Under such constraints, imputation at fine temporal resolutions requires techniques that can effectively handle heterogeneous, feature-limited environments.
To address this gap, the present study conducted a comparative analysis of RF, MLP, OK, and IDW to impute missing 10-min rainfall records by applying two different approaches for each model. In the direct approach, raw data are directly used to feed the regression models. In the two-step approach, the RF model is used as a classifier to separate rain and no rain instances, and then a regression model is subsequently fed with the instances classified as rainy. This serves the aim of clarifying the relative model strengths and limitations and provides practical guidance for researchers and practitioners working with high-resolution hydrometeorological datasets, specifically in regions where there is limited access to additional meteorological data.

2. Materials and Methods

2.1. Study Area

The Campania region (Figure 1a,b) lies in Southern Italy between the Tyrrhenian Sea to the west and the Apennine Mountain chain to the east [38]. It includes a wide range of topographic elevations, from coastal lowlands and volcanic landforms, such as Mount Vesuvius and Campi Flegrei, to the inland hills and mountains of the Southern Apennines [39]. Covering an area of approximately 14,000 km2, the region is characterized by a temperate Mediterranean climate with hot, dry summers and mild, wet winters. Annual precipitation generally ranges from 800 to 1000 mm, largely driven by moist air masses originating from the Tyrrhenian Sea [40]. These weather systems typically follow a southwest–northeast trajectory and are significantly influenced by the region’s complex orography, which plays a key role in precipitation patterns and distribution [41,42]. Due to the short time scale of these processes, the imputation of gaps in the high-resolution rainfall data series of the Campania region is particularly relevant.
Within this larger area, the present study focused on two specific target areas (Figure 1c,d) that exemplify the region’s geographical and environmental diversity: the Calore Irpino River basin (hereafter Calore River basin for the sake of simplicity), located in the inland eastern part of Campania, and the Metropolitan City of Naples, situated along the coast.
Topographic information for the maps in Figure 1 was derived from the ETOPO 2022 [43] global relief model (15 arc-second resolution) for the larger-scale views and from the TINITALY Digital Terrain Model (DTM; 10 m resolution) produced by the Istituto Nazionale di Geofisica e Vulcanologia (INGV) for the detailed panels [44].

2.1.1. Calore River Basin

The portion of the Calore River basin considered (Figure 1c) has an outlet immediately downstream of the area studied in [45,46]. This area was heavily flooded during the rainstorm of 14–15 October 2015, making the imputation of the corresponding high-resolution rainfall data series particularly significant. The basin covers a surface area of approximately 3050 km2, with elevations ranging from 55 m to 1810 m above sea level (a.s.l.) [47]. It is primarily a rural, fluvially shaped area influenced by mountainous terrain, characterized by a Mediterranean climate, with an average annual rainfall of 1150 mm (mostly in autumn and winter), and a mean annual temperature of 15.1 °C. Hydrologically, the main river is the Calore Irpino River (hereafter Calore River for simplicity), which flows for 110 km and has a mean annual discharge of approximately 30 m3/s [48]. The area is characterized by a complicated orography that contributes to the spatial variability of precipitation patterns.
Figure 2a shows the average monthly precipitation recorded at a representative rain gauge (Benevento station) in the Calore River basin, demonstrating a marked seasonality with maximum monthly precipitation in November and minimum rainfall in August.

2.1.2. Metropolitan City of Naples

The Metropolitan City of Naples (Figure 1d, black contour line) is a densely urbanized area stretching along the Bay of Naples that includes the City of Naples (Figure 1d, blue contour line), 91 additional municipalities, and three main islands (Ischia, Capri, and Procida), with a total surface of 1.171 km2 and elevations ranging from 0 to 1444 m a.s.l. The area exhibits three main orographic groups consisting of the Phlegraean Fields caldera volcano in the northwest, the Monti Lattari chain along the Sorrento peninsula in the southeast, and the stratovolcano Mount Vesuvius in the east. Mount Vesuvius, with a height of 1281 m a.s.l., splits the area along a divide aligned from southwest to northeast.
The City of Naples, which is home to about one million inhabitants and is served by an urban drainage system whose modern history dates to the third quarter of the 19th century [49], is frequently hit by localized pluvial flooding, and its elevation spans between 0 and 470 m a.s.l. The inspection of Figure 2b, where the average monthly precipitation for a representative station (Napoli Camaldoli) is plotted, confirms a marked seasonality with a maximum monthly rainfall in November and a minimum in August.

2.2. Data Description and Preprocessing

The study used sub-hourly rainfall data from the Campania Region Civil Protection agency with measurements recorded every 10 min. Since the rain gauges in the study areas began operating at different times, the dataset includes measurements starting from the year when all stations became operational.
The sensors in both study areas are tipping-bucket rain gauges with a resolution of 0.2 mm per tip, featuring a rain collection vessel of 1000 cm2 and operating within a measurement range of 0–300 mm/h and a temperature range of 0–60 °C. The instrument failure and maintenance issues resulted in different amounts of missing data in the time series, varying from 0.07% to 18.45%.

2.2.1. Calore River Basin

The Calore River basin includes 23 rain gauges, distributed over mountainous and hilly terrain, with data covering the period between 2006 and 2024, offering a nearly two-decade record of rainfall. For these rain gauges, Table 1 provides summary information (latitude, longitude, elevation above sea level, and the percentage of missing data). One rain gauge (Pietrastornina, not present in Table 1) was excluded from the analysis due to the presence of artifacts in the data that could have compromised model performance.
Pearson Correlation Coefficient and Clustering
For the imputation of missing data, the rain gauges were grouped in different spatial configurations. Aiming at this, the Pearson correlation coefficient (PCC),
r x , y = ( x i x ¯ ) ( y i y ¯ ) ( x i x ¯ ) 2 ( y i y ¯ ) 2
where x i and y i are the individual rainfall observations from the two gauges being compared and x ¯ and y ¯ are the corresponding mean values, was computed for the time series corresponding to all pairs of stations, considering time lags up to 24 h, accounting for potential delays in rainfall patterns between locations. The optimal lag τopt is defined here as the value of the lag time that maximizes the PCC.
In Figure 3a, the value r τ o p t of the PCC corresponding to τopt is plotted against the distance l between stations. The inspection of the figure shows that r τ o p t decreases with l and becomes statistically insignificant beyond a certain distance, which is not clearly defined. For this reason, the PCCs were recalculated using new time series consisting of the difference in rainfall depth between two consecutive time intervals. These new time series are intended as a proxy of the rainfall intensity derivative, which is positive when the rainfall intensifies and negative when it decreases. When these differential time series are used, the PCC clearly drops to zero beyond l = 25 km (Figure 3b). Based on this result and the shape of Figure 3a, distance and correlation coefficient thresholds were set at 25 km and 0.4, respectively.
Station clusters were finally formed by applying the above-defined thresholds on the correlation coefficient and spatial distance, ensuring that stations within the same cluster exhibited strong correlation while maintaining geographic proximity. For the Calore River basin, this resulted in five rain gauge clusters. The sensor clusters for Rocchetta and Altavilla Irpina stations are presented in Figure 4 as an example.
Optimum Time Lag
Figure 5 shows the absolute value of τ o p t (in minutes) that maximizes the PCC for each pair of stations as a function of the distance l (in kilometers). Inspection of the figure shows that the optimal time lag between stations increases with distance, suggesting that rain gauges are connected by a precipitative signal moving with finite celerity. The points of Figure 5 are enveloped by a red line with a slope of about 9.39 m/s. This value, which is suggestively reminiscent of the wind velocity in the Campania region mid-troposphere at the elevation of precipitative clusters [40], can be interpreted as the lower bound of the precipitative signal celerity.

2.2.2. Metropolitan City of Naples

The Metropolitan City of Naples is not enclosed by natural orographic divides (see Figure 1d), and its shape is merely determined by administrative boundaries. For this reason, eight stations, covering the period from 2009 to 2024, were selected based on their proximity to the center of the City of Naples and the sea (see Table 2).
In Figure 6a, the values of r τ o p t are reported as a function of the distance l for the Metropolitan City of Naples, again showing that the correlation between two stations decreases with the distance. However, the clustering operation was not carried out for this area due to the small number of sensors. In Figure 6b, the absolute value of τopt is plotted as a function of l, demonstrating also in this case that information transfer between stations is carried with a minimum celerity equal to 12.8 m/s (slope of the envelope red line in Figure 6b).

2.3. Direct vs. Two-Step Approach

Two distinct strategies were investigated for the imputation of missing rainfall data: a Direct Approach (DA) and a Two-Step Approach (TSA). Both methods incorporate spatiotemporal features but differ in their treatment of rain and no-rain events before regression modeling.
TSA is based on the idea that rainy and non-rainy time intervals are characterized by fundamentally different physical phenomena that are irreducible and should not be considered mutually consistent for missing data imputation. The separation between rainy and non-rainy time intervals allowed for the training of the regression algorithms on rainy time intervals only, avoiding a detrimental specialization caused by the abundance of non-rainy time intervals where a null rainfall depth is collected.
Following this idea, an RF binary classifier was trained to distinguish between rain (1) and no-rain (0) time intervals during the first stage of TSA (Figure 7a). In the subsequent stage, which employed one of four regression methods, including MLP, RF, OK, and IDW, only intervals classified as rainy were subjected to regression-based imputation, while no-rain time steps were assigned a value of zero without further modeling (Figure 7a).
In contrast, DA applied the regression models to the full dataset without any prior classification (Figure 7b). All the observations, regardless of the precipitation status, were treated as continuous values and directly imputed.
For each approach, three spatial configurations of input features were considered to impute the missing data in a target station. The first configuration included all rainfall stations (All spatial configuration) within the study area, while the second spatial configuration made use of the three best correlated stations only (3S spatial configuration). Finally, the third spatial configuration, which was applied to the Calore River basin only, was based on the use of data from gauges falling in the same cluster of the target station (Clr spatial configuration). Temporal features (hour, month, and season, with December–January–February as winter season, March–April–May as spring season, June–July–August as summer, and September-October–November as fall season), encoded as additional features for the ML models using sine and cosine transformations [14], were also included:
R s i n = s i n 2 π R m a x ( R ) ,
R c o s = c o s 2 π R m a x ( R ) .
In Equations (2) and (3), R represents the original temporal feature value, either hour (ranging from 1 to 24), month (1 to 12), or season (1 for winter, 2 for spring, 3 for summer, 4 for fall). This transformation ensures that cyclical boundaries (e.g., hour 24 and hour 1, or month 12 and month 1) are close in the transformed space, helping ML models to better learn patterns related to time by preserving the continuity and periodicity in temporal data [14].
All models were developed in Python 3.12. NumPy 1.26.4 and Pandas 2.2.2 libraries were used for data handling and preprocessing. The ML models (MLP and RF) were built using Scikit-learn 1.5.2 and Keras 3.6.0 libraries. For spatial interpolation, Kriging was performed with the PyKrige library, while Inverse Distance Weighting (IDW) was implemented through a custom NumPy-based approach. In the following, the classification and regression models are succinctly described.

2.3.1. Random Forest

The concept of random decision forests was initially introduced by Ho (1995) [50] and later formalized and popularized by Breiman (2001) [51]. It is an ensemble learning technique widely used for classification, regression, and various other predictive tasks that operates by generating a large number of decision trees during the training phase and aggregating their outputs to produce a final prediction.
In the RF framework, the aggregation process differs slightly between classification and regression tasks. For classification, each tree in the ensemble provides a class prediction, and the final prediction is made by taking the majority vote from the individual trees. For the regression task, the final prediction y ^ ( R ) is the average of the predictions made by each tree:
y ^ R = 1 T t = 1 T y t ( R )
where y t R is the prediction from tree t, T is the total number of trees, and R is the vector of input data.
Preliminary data preprocessing of Section 2.2 shows that the precipitative signals travel between stations with finite celerity. This suggests that information at preceding or subsequent time intervals in surrounding stations could be relevant for imputing missing data at the targeted station during the targeted time interval. To capture the local temporal context, a sliding time window of 21 steps centered on the targeted time interval was incorporated into the analysis. This window was designed to provide a comprehensive temporal frame that could enhance the predictive capacity of the models across both imputation strategies.
In TSA, the RF classifier was first applied to classify rainfall data into rain and no-rain time intervals before the regression-based imputation stage. To select the most informative stations for the classifier, a progressive strategy was applied by adding the stations one at a time based on their correlation with the target station. Computational experience showed that the best performance was achieved when all available stations were included. In the subsequent step, a RF regressor was used to estimate missing rainfall values using one of the three spatial gauge configurations. In DA, only the RF regressor was used to directly cope with data without prior classification.
To optimize the model performance, a grid search procedure was conducted to fine-tune the hyperparameters of both the classifier and the regressor, for both direct and two-step approaches.

2.3.2. Multilayer Perceptron

A Multilayer Perceptron (MLP) is a type of feedforward artificial neural network (ANN) commonly used in supervised learning tasks. It consists of an input layer, one or more hidden layers, and an output layer, with interconnected nodes trained using the backpropagation algorithm [52]. This approach enables the network to learn internal representations of complex patterns, even when these patterns are not explicitly defined in the input data, making MLPs highly suitable for applications such as hydrological and environmental modeling [53,54]. According to [12], the mathematical representation of MLP for estimation is
y ^ = j = 1 K w j ( 2 ) σ i = 1 p w j i ( 1 ) R i + b j ( 1 ) + b ( 2 ) ,
where the meaning of the symbols is as follows: p is the number of input features Ri, K is the number of hidden units (neurons) in the hidden layer, w j i ( 1 ) is the weight from input Ri to the hidden unit j, and b j ( 1 ) is the bias term associated with the hidden unit j. The activation function σ . , can be any non-linear function such as the sigmoid, hyperbolic tangent (tanh), or ReLU (rectified linear unit). After the hidden layer, each hidden unit j connects to the output through a weight w j ( 2 ) , and a final bias term at the output is represented as b ( 2 ) . The predicted output, which in this case represents the estimated rainfall, is denoted by y ^ . Figure 8 represents the multilayer perceptron model with two hidden layers used in the present application.
In TSA, MLP is used during rainy time intervals only after classification with RF. In DA, MLP is used on the entire set of data. In both approaches and for each gauge spatial configuration, input data are supplied by a 21-time-interval window centered on the targeted time interval. Before training, a grid search procedure was conducted to fine-tune the model’s hyperparameters, ensuring optimal performance.

2.3.3. Inverse Distance Weighting

Inverse Distance Weighting (IDW) is a deterministic interpolation method that estimates unknown values based on a weighted average of nearby known values, where weights are inversely proportional to distance [55]. The general formula is
y ^ x 0 = i = 1 N ω i x 0 R ( x i ) i = 1 N ω i x 0
ω i x 0 = 1 d ( x 0 ,   x i ) p
where y ^ x 0 is the interpolated value at the target location with the coordinate vector x 0 , R x i is the observed value at the station with the coordinate vector x i , d ( x 0 , x i ) is the distance between x 0 and x i , and p is a parameter. For each spatial gauge configuration, only data from the targeted time interval were used.

2.3.4. Ordinary Kriging

Ordinary Kriging (OK) is a geostatistical method that estimates values based on the spatial autocorrelation of observed data, assuming a constant unknown mean across the field. The estimator is a weighted linear combination of neighboring observations
y ^ x 0 = i = 1 N λ i R ( x i )
i = 1 N λ i = 1
where the weights λ i depend on the spatial autocorrelation through a semivariogram.

2.4. Performance Analysis

To evaluate the predictive capability of the models, different performance metrics were used for classification and regression tasks. For machine learning regressors, specifically the Multilayer Perceptron (MLP) and Random Forest (RF) models, a fivefold cross-validation procedure was applied. In this approach, the dataset is divided into five equal subsets (folds), and each fold is used as a validation set while the remaining four folds are used for training. This process is repeated five times, ensuring that each sample is used for both training and validation. This technique provides a robust assessment of model performance and helps mitigate overfitting.
For the classification step, which involves the use of the Random Forest classifier to distinguish between rain and no-rain events, Accuracy, Precision, Recall, and F1 score metrics are employed. The Accuracy
A c c u r a c y = T P + T N T P + T N + F P + F P ,
where TP is the number of true positives (rainfall is correctly predicted), TN is the number of true negatives (where no-rain conditions are correctly predicted), FP is the number of false positives (rainfall incorrectly predicted), and FN is the number of false negatives (rainfall occurred but was incorrectly predicted as no rain), represents the ratio between correctly predicted time intervals and the total number of time intervals.
The Precision measures the proportion of correctly predicted rain events among all predicted rain events:
P r e c i s i o n = T P T P + F P .
The Recall measures the proportion of actual rain events that were correctly predicted:
R e c a l l = T P T P + F N .
The F1 score is the harmonic mean of Precision and Recall, providing a balanced measure when there is class imbalance:
F 1 = 2   P r e c i s i o n R e c a l l P r e c i s i o n + R e c a l l .
In addition, a weighted F1 score was calculated to account for class imbalance by averaging the F1 scores of each class weighted by their support (the number of true instances for each class).
For the regression step, the model performance was evaluated using the root mean square error (RMSE) and the coefficient of determination R2. The RMSE
  R M S E = 1 n i = 1 n y i y ^ i 2 ,
where n is the number of time interval, y i   is the observed rainfall value for the i-th time interval, and y ^ i is the predicted rainfall value for the corresponding time interval, measures the average difference between the predicted and observed values and is expressed in the same units as the considered variable. Clearly, the smaller the RMSE, the better the model performance.
The coefficient of determination
  R 2 = 1 i = 1 n y i y ^ i 2 i = 1 n y i y ¯ i 2 ,
where y ¯ i is the mean of observed values, indicates the proportion of the variance in the observed data that is predictable by the model. The closer R2 is to 1, the better the model captures the variability of the observed data. However, R2 can also be negative, which indicates that the model performs worse than simply using the mean of the data as a predictor.

3. Results

The results presented in this section were obtained as the average of fivefold cross-validation, applied consistently across all models and methods. This applied to both the classification step (for the TSA) and the regression step. For a fair and consistent comparison, the same folds were used to evaluate both the machine learning models (MLP, RF) and the interpolation methods (IDW, OK), ensuring that the metrics reflect comparable data splits and conditions.

3.1. Performance of the Classification Step

The performance of the classification step is summarized in Table 3 for the Calore River basin and in Table 4 for the Metropolitan City of Naples.
In the Calore River basin (Table 3), Accuracy values across stations are generally high, ranging from 0.901 to 0.951. Most stations exhibit Precision values above 0.85, with several stations achieving Precision close to or exceeding 0.90. Recall values are lower in comparison, typically between 0.24 and 0.49, indicating the challenge in correctly identifying rainy ten-minute time intervals, due to the greater number of no-rain time intervals. Nonetheless, F1 scores and weighted F1 scores remain acceptable, with weighted F1 values exceeding 0.95 for nearly all stations, reflecting the models’ overall balanced performance.
For the Metropolitan City of Naples, the results are similar in the eight monitored stations (Table 4). Accuracy values range from 0.942 to 0.950, with Precision consistently above 0.82. Recall values vary between 0.308 and 0.396, while F1 scores lie within the 0.45–0.55 range. Weighted F1 scores are uniformly high, between 0.954 and 0.959. The classification models thus demonstrate reliable predictive capacity across both regions, providing a solid foundation for the subsequent regression step.

3.2. Performance of the Regression Step

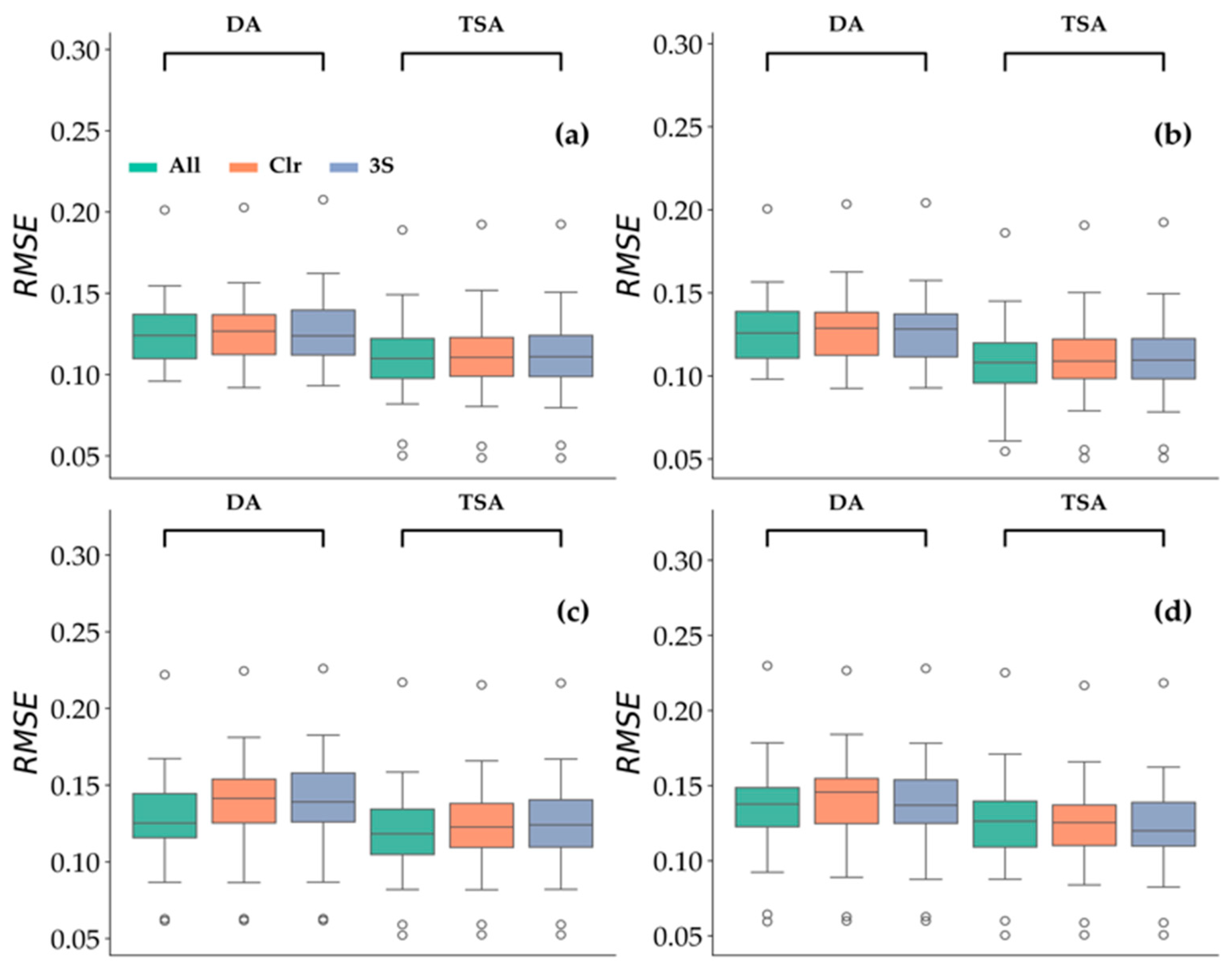
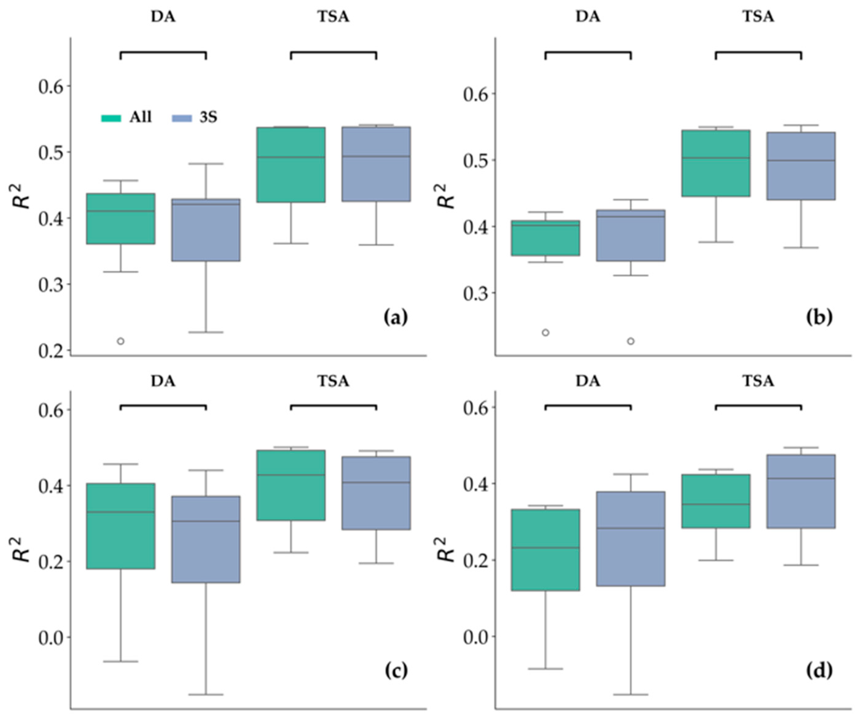
Table 5, Table 6, Table 7 and Table 8 summarize the average RMSE and R2 values related to the regression results across all stations within each study area, covering all methods and both imputation strategies. These average metrics provide a general overview of model accuracy and allow for direct comparison between the two approaches. The R2 and RMSE values for different imputation methods and both study areas are shown in Figure 9, Figure 10, Figure 11 and Figure 12. In general, across all models, TSA tends to yield higher R2 and lower RMSE values than DA.

3.2.1. Calore River Basin

In the case of the MLP model (Table 5, Figure 9a and Figure 11a), TSA consistently results in improved performance across all station selection strategies. The All strategy achieves the highest median R2 (0.521), with a corresponding RMSE of 0.110 mm, indicating more accurate and consistent predictions. Under DA, performance is lower and more dispersed, particularly for the 3S configuration (R2 = 0.379; RMSE = 0.127 mm), which also shows greater variability.
For the RF model (Table 6, Figure 9b and Figure 11b), a similar pattern is observed. TSA produces more compact distributions with higher medians across all station selection methods. For instance, the All configuration achieves an R2 of 0.541 and an RMSE of 0.109 mm under TA, while the same setup yields a lower R2 of 0.368 and a higher RMSE of 0.129 mm under DA. The performance differences among All, Clr, and 3S are relatively minor under TSA, with all three configurations achieving nearly identical RMSE values (~0.110 mm), which supports the consistency of the model once no-rain events are filtered out.
The IDW results (Table 7, Figure 9c and Figure 11c) show the lowest overall R2 values among the tested methods. Under DA, the distributions are highly variable, and for scenarios like Clr and 3S, many values of R2 fall below zero with average values of 0.238 and 0.239, respectively. Correspondingly, the RMSE values are relatively high and equal to 0.137 mm in both cases. TSA leads to modest improvements in R2 and reductions in RMSE. For example, using all stations under TSA, R2 increases to 0.442 with RMSE dropping to 0.119 mm. Overall, the IDW remains substantially below the machine learning models’ performance in both metrics.
For the OK model (Table 8, Figure 9d and Figure 11d), TSA again results in higher and more stable R2 values compared to DA. Under TSA, the highest R2 of 0.411 is observed for the 3S strategy, with an RMSE of 0.122 mm. In contrast, under DA, this same configuration only achieves an R2 of 0.264 with a higher RMSE of 0.136 mm. Although variability is still present, especially in the DA setting, negative R2 values are less frequent under TSA. The 3S strategies perform similarly, but the All configuration generally achieves slightly higher medians and lower RMSE values (R2 = 0.383, RMSE = 0.126 mm under TSA).

3.2.2. Metropolitan City of Naples

A similar behavior is observed in the Metropolitan City of Naples, as shown in Figure 10 and Figure 12. Although the Clr scenario was not included in this case, both the All and 3S spatial configurations show improved performance under TSA across all four regression models. For the MLP model (Table 5), R2 increases from 0.384 to 0.474 and RMSE decreases from 0.158 mm to 0.146 mm. Similarly, the RF model under TSA yields R2 values of 0.488 (All) and 0.483 (3S), with RMSE values of 0.144 mm and 0.145 mm, respectively (Table 6). These results again confirm the benefit of TSA in improving both predictive accuracy and consistency. Although the differences between All and 3S are less pronounced in the Metropolitan City of Naples than in the Calore River basin, TSA remains consistently associated with higher R2 values, lower RMSEs, and reduced variability across all methods.

3.2.3. Performance Comparison

An inspection of Table 5, Table 6 and Table 7 and Figure 9, Figure 10, Figure 11 and Figure 12, clearly shows that independent of the studied area, the spatial configuration of the station and the use of DA or TSA, the ML regressors MLP and RF behave better than the spatial interpolation models ISW and OK. For the Calore River Basin, the ML regressors with TSA supply values of RMSE not higher than 0.110 mm and average values of R2 not smaller than 0.519. For the same area, the spatial interpolation regressors with TSA supply values of RMSE not smaller than 0.119 mm and average values of R2 not higher than 0.442. For the Metropolitan City of Naples, the ML regressors with TSA supply values of RMSE not higher than 0.146 mm and average values of R2 not smaller than 0.474, while the spatial interpolation regressors supply values of RMSE not smaller than 0.155 mm and average values of R2 not higher than 0.397. Similar observations can be made for the DA strategy. This aligns well with the existing literature [26,27,28,29,30], confirming that ML models better capture the spatial and time dynamics of precipitation, allowing for improved imputation of missing rainfall data.
Compared to the DA, the TSA consistently enhances model performance in terms of the coefficient of determination R2 across all models and scenarios. The gain in R2 varies depending on the regressor model and the study area, but it remains positive in all cases. The greatest improvements are achieved by the interpolation-based methods, particularly the OK, which exhibits an R2 gain of approximately 71% in the Clr scenario within the Calore River basin (Figure 13a). Similarly, in the Metropolitan City of Naples (Figure 13b), both interpolation methods show significant increases across all spatial configurations, confirming the advantage of applying the classification step before regression. The smallest relative improvement is observed for the MLP model in the Metropolitan City of Naples, with an increase of approximately 25% under both the All and 3S configurations (Figure 13b). These results reflect the regression models’ improved ability to capture complex rainfall patterns once trained on a noise-free, rain-focused dataset. Although IDW and OK lack the flexibility of machine learning algorithms, the removal of non-rain instances helped reduce variability and improve their overall predictive reliability.
Under the DA, the IDW and OK methods produced negative R2 scores for some stations (Luogosano and Pago Veiano in the Calore River basin, and Pompei in the Metropolitan City of Naples), under the Clr and 3S scenarios. This fact, which indicates that the model’s predictions are worse than the mean of the observed data [56], happens because spatial interpolation models struggle to accurately capture the dynamic nature of rainfall patterns. Nonetheless, the results for these stations were significantly improved when using the two-step approach, confirming the usefulness of the initial classification step in stabilizing interpolation performance even in challenging conditions.
Among all models and both approaches, the All-spatial configuration generally yielded improved or equivalent performance compared to the 3S and Clr scenarios, especially while using TSA. In the Calore River basin, the All scenario consistently achieved the highest or near-highest R2 and lowest RMSE values across models. This outcome highlights the value of leveraging a larger and spatially diverse network of stations, particularly in an orographically complex region where localized rainfall patterns may be missed by a small subset of stations. While the 3S strategy sometimes approached the performance of the All configuration with the TSA, the inclusion of the entire available spatial information generally gave a slight advantage.

4. Discussion

The results presented clearly demonstrate the value of incorporating a classification step before regression for the imputation of missing rainfall data in high-resolution rainfall time series (10-min step). The numerical idea behind this approach is to alleviate the regressors’ task by only forcing the imputation of rainy time intervals and avoiding the noise introduced by numerous no-rain intervals, which are present at short time scales due to the intermittency of rainfall phenomena. This is further supported by considering the fundamental physical differences between rainy and no-rain time intervals. During rainy periods, atmospheric processes such as atmospheric lifting, cloud formation, moisture condensation, and precipitation dynamics, dominate. In contrast, dry intervals are governed by entirely different dynamics, including evaporation, atmospheric stability, and the absence of significant convective activity. The differences between these physical regimes make the sets of rainy and dry intervals inherently distinct and non-interchangeable.

4.1. The Classification Step

In this context, the random forest model exhibited consistently high performance in classifying rainy and dry periods across all stations for both the Calore River basin and the Metropolitan City of Naples, even without resorting to the use of additional covariates. A short comparison with the existing literature is instructive. Average Accuracy scores for the classification of rain and no-rain time intervals were 0.928 for the Calore River basin and 0.946 for the Metropolitan City of Naples. Average Precision scores also remained high, 0.889 for the Calore River basin, and 0.872 for the Metropolitan City of Naples, indicating that the classification model was effective at minimizing false positives. Although the average Recall score was lower, 0.334 for the Calore River basin and 0.345 for the Metropolitan City of Naples, the classifier could, however, succeed in isolating a representative subset of rainy time intervals. Finally, the average F1 score and weighted F1 score were 0.483 and 0.961, respectively, in the Calore River basin, while their values were 0.494 and 0.957, respectively, in the Metropolitan City of Naples.
In contrast, information about precipitation, air pressure and temperature, relative humidity, wind speed and direction, volumetric water content, with a 30 min step, were integrated in [14] to obtain a weighted F1 score of 0.938, an Accuracy of 0.943, a Recall of 0.648, and a Precision of 0.847 (averaged on all the stations). Similarly, daily meteorological data (precipitation, humidity, air pressure and temperature, and wind speed) were integrated in [33] to obtain 0.68 for F1 score, 0.83 for Accuracy, 0.64 for Recall, and 0.77 for Precision. From the comparison with the existing literature, it is evident that at least under a typical Mediterranean climate, it is possible to obtain good performance in the classification step even within rainfall series with a 10-min time step, without resorting to covariates.

4.2. The Regression Step

Overall, the combination of a high-performing classifier and regression models led to more accurate and stable rainfall predictions across both regions and all modeling approaches. The improvements were especially significant in the Calore River basin due to its denser station network, but they also extended to the coastal environment of Naples. The highest performance in the regression step was obtained by the RF in the Calore River basin with an R2 of 0.541 and an RMSE of 0.109 mm, considering a spatial configuration including all stations. These results align well with those presented in [14], where the overall neural network performance was characterized by an R2 of 0.66 and RMSE of 0.141 mm. Similarly, an R2 value of 0.53 was obtained in [33].
The consistent superiority of the All-station configuration in the present work further underscores the importance of maximizing spatial information when it is available, particularly when paired with a method that filters the training data.

4.3. Rainstorm Space-Time Dynamics

Independent of the spatial configuration strategy and the presence of the initial classification step about rain/no-rain intervals, the machine learning regressors (RF and MLP) had sufficient elasticity to consider input data from time intervals that differed from the targeted time level, allowing the internal temporal structure of the rainfall event to be exploited. Again, the numerical approach has an underlying physical justification. In fact, it is expected that data from a targeted station hit by a precipitative cluster during the targeted time interval are well correlated with rainfall data from the positions along the cluster trajectory at the instants of the cluster passage. In other words, targeted data may be better correlated with data from distant positions at delayed time intervals, if these data are all connected by the passage of the same precipitative cluster, and may be less correlated with data at the same targeted time interval from surrounding positions not lying along the cluster trajectory.
Figure 14 contrasts the use of a 21-time interval window with the use of data from the targeted time interval only, within the RF two-step approach for both the All and 3S scenarios (area of Calore River basin). Incorporating this temporal context only slightly increased the median R2 values but considerably reduced the dispersion of results across stations, indicating more accurate and consistent predictions. By considering a time window centered on the target time step, the model leverages the temporal structure of the data, improving its ability to estimate missing values.

4.4. Limitations

Despite the encouraging results obtained in a data-scarce environment, it is important to acknowledge that the regression metrics obtained, particularly the R2 values, leave room for further enhancement. The predictive capacity of the models could likely be improved by incorporating additional meteorological variables, such as temperature, relative humidity, wind speed, wind direction, and atmospheric pressure, as input features [14,33]. These covariates could provide additional contextual information that influences rainfall formation and intensity, allowing models to better distinguish spatial and temporal rainfall variability beyond what can be captured by precipitation data alone. The inclusion of covariates would be particularly beneficial in machine learning frameworks such as RF and MLP, which are well-suited to handling multivariate and nonlinear relationships.
Finally, the analysis involved two different areas, a coastal one and a mountainous internal one, of a single region (Campania, Italy). Although this fact does not undermine the results of the present study, future analysis could benefit from procedure verification in additional areas, characterized by different topographies and climates.

5. Conclusions

Complete sub-hourly rainfall datasets are required for practical and theoretical purposes, among which are flood modeling, real-time forecasting, and the understanding of short-duration rainfall extremes. Nonetheless, these datasets often contain missing values due to sensor or transmission failures, implying that filling data gaps in rainfall data series is an important preprocessing activity. In this study, two distinct missing data imputation approaches were compared:
(a)
The direct approach (DA) operates on raw data to directly feed one of the selected imputation models (Multilayer Perceptron, MP, Random Forest, RF, Inverse Distance Weighting, IDW, or Ordinary Kriging, OK), while.
(b)
The two-step approach (TSA) first classifies time steps as rain or no-rain with a RF classifier and subsequently applies one of the selected imputation models to the predicted rainfall depth instances classified as rain.
The two approaches were separately applied to three different rainfall gauge spatial configurations, namely all the available stations, the three best correlated stations, and a cluster of well-correlated stations. The results show that:
(i)
The two-step approach exhibited improved accuracy (with a minimum relative gain in R2 of 25% over the direct approach), showing that missing rainfall data imputation benefits from breaking the process in stages where different physical conditions such as rain and no-rain are separately managed.
(ii)
Machine learning models (MLP and RF) exhibited improved results with respect to interpolation methods (IDW and OK), thanks to their ability to approximate any continuous function and to learn complicated internal data structures. The highest performance in the regression step was achieved by the RF with an R2 of 0.541 and an RMSE of 0.109 mm.
(iii)
The spatial configuration that considered all the available stations yielded improved or equivalent performance with respect to the other scenarios, underscoring the importance of maximizing spatial information when it is available and providing practical guidance for similar applications.
(iv)
The use of time intervals lagged with respect to the targeted time intervals, which was easily carried out within machine learning models, allowed for the reconstruction of the dynamics occurring between different rainfall gauges and the tracking of precipitative clusters.
The methodology was tested in a region representative of the Mediterranean climate, characterized by heterogeneous rainfall formation phenomena and strong seasonality. In principle, the approach can be applied to different temporal resolutions (e.g., 30 min, hourly, or daily) and replicated in other regions characterized by diverse climatic and topographic conditions. Future research could further explore the performance and adaptability of the proposed approach under different climatic conditions and precipitation regimes to better assess its transferability to diverse contexts.
In conclusion, the findings of the present study highlight the benefits derived by adapting the imputation approach to the intermittent nature of data (two-step approach) and its space–time dynamics (sliding time window). Although further refinement is still required to improve the accuracy of precipitation predictions, this confirms the value of machine learning methods for recovering missing sub-hourly rainfall data, even in data-scarce contexts where rain gauges may be the only source of high-resolution rainfall data.

Author Contributions

Conceptualization, M.B. and L.C.; methodology, M.B., Ç.A.İ., and L.C.; software, M.B.; validation, M.B.; formal analysis, M.B.; investigation, M.B.; data curation, M.B.; writing—original draft preparation, M.B., Ç.A.İ., G.V., L.C., and R.D.M.; writing—review and editing, M.B., Ç.A.İ., G.V., L.C., and R.D.M.; visualization, M.B. and G.V.; supervision, L.C.; project administration, L.C. and R.D.M.; funding acquisition, L.C. and R.D.M. All authors have read and agreed to the published version of the manuscript.

Funding

The work of Giada Varra is co-funded by the “Southern Apennines River Basin District Authority” through the technical-scientific collaboration agreement with the Engineering Department of the University of Naples “Parthenope” [Supporto tecnico-scientifico in merito alla “Attività di pianificazione tendente al riequilibrio dei processi naturali”, di cui alla Linea 5 del Fondo per lo Sviluppo e la Coesione 2014–2020—PED Acque (CUP-F52G16000010001)]. The work of Luca Cozzolino and Renata Della Morte is co-funded by the project PARADIGM in the framework of “Multi-Risk sciEnce for resilienT commUnities undeR a changiNg climate (RETURN)”—Spoke 5 TS1 “Insediamenti Urbani e Metropolitani” (CUP E63C22002000002), which is part of the NextGeneration EU program financed by the European Union.

Data Availability Statement

The sub-hourly rainfall dataset used in this study is available upon request through the Campania Region Civil Protection agency website (https://centrofunzionale.regione.campania.it/#/pages/dashboard, accessed on 1 May 2024). Topographic information was obtained from the ETOPO 2022 global relief model (15 arc-second resolution) for the larger-scale views (https://www.ncei.noaa.gov/products/etopo-global-relief-model, accessed on 31 July 2025) and from the TINITALY Digital Terrain Model (DTM; 10 m resolution) produced by the Istituto Nazionale di Geofisica e Vulcanologia (INGV) for the detailed panels (https://tinitaly.pi.ingv.it/, accessed on 1 July 2024).

Acknowledgments

Mohamed Boukdire gratefully acknowledges the PhD program in Defense against natural risks and ecological transition of built environment at the University of Catania (Department of Civil Engineering and Architecture—DICAR) for funding his work, and the Department of Engineering at the University of Naples Parthenope for hosting the research activities. All authors are grateful to Vincenzo Capozzi for fruitful discussions. All authors want to acknowledge the Editor and the Referees for their constructive comments that improved the manuscript’s original version.

Conflicts of Interest

The authors declare no conflicts of interest. The funders had no role in the design of the study; in the collection, analyses, or interpretation of data; in the writing of the manuscript; or in the decision to publish the results.

Abbreviations

The following abbreviations are used in this manuscript:
MLPMultilayer perceptron
RFRandom forest
IDWInverse distance weighting
OKOrdinary kriging
PCCPearson correlation coefficient
DTMDigital terrain model
INGVNational Institute of Geophysics and Volcanology
DA Direct approach
TSATwo-step approach
All All stations
ClrCluster of stations
3SThe three most correlated stations with the target station

References

  1. Berne, A.; Delrieu, G.; Creutin, J.D.; Obled, C. Temporal and spatial resolution of rainfall measurements required for urban hydrology. J. Hydrol. 2004, 299, 166–179. [Google Scholar] [CrossRef]
  2. Huang, Y.; Bárdossy, A.; Zhang, K. Sensitivity of hydrological models to temporal and spatial resolutions of rainfall data. Hydrol. Earth Syst. Sci. 2019, 23, 2647–2663. [Google Scholar] [CrossRef]
  3. Singleton, A.; Toumi, R. Super-Clausius–Clapeyron scaling of rainfall in a model squall line. Quart. J. R. Meteor. Soc. 2012, 139, 334–339. [Google Scholar] [CrossRef]
  4. Hosseinzadehtalaei, P.; Tabari, H.; Willems, P. Climate change impact on short-duration extreme precipitation and intensity–duration–frequency curves over Europe. J. Hydrol. 2020, 590, 125249. [Google Scholar] [CrossRef]
  5. Prein, A.F.; Rasmussen, R.M.; Ikeda, K.; Liu, C.; Clark, M.P.; Holland, G.J. The future intensification of hourly precipitation extremes. Nat. Clim. Change 2017, 7, 48–52. [Google Scholar] [CrossRef]
  6. Meira, M.A.; Freitas, E.S.; Coelho, V.-H.R.; Tomasella, J.; Fowler, H.J.; Ramos Filho, G.M.; Silva, A.L.; Almeida, C.d.N. Quality control procedures for sub-hourly rainfall data: An investigation in different spatio-temporal scales in Brazil. J. Hydrol. 2022, 613A, 128358. [Google Scholar] [CrossRef]
  7. Blenkinsop, S.; Lewis, E.; Chan, S.C.; Fowler, H.J. Quality-control of an hourly rainfall dataset and climatology of extremes for the UK. Int. J. Climatol. 2017, 37, 722–740. [Google Scholar] [CrossRef]
  8. Westerberg, I.; Walther, A.; Guerrero, J.L.; Coello, Z.; Halldin, S.; Xu, C.-Y.; Chen, D.; Lundin, L.-C. Precipitation data in a mountainous catchment in Honduras: Quality assessment and spatiotemporal characteristics. Theor. Appl. Climatol. 2010, 101, 381–396. [Google Scholar] [CrossRef]
  9. Sattari, M.T.; Rezazadeh-Joudi, A.; Kusiak, A. Assessment of different methods for estimation of missing data in precipitation studies. Hydrol. Res. 2017, 48, 1032–1044. [Google Scholar] [CrossRef]
  10. Pinthong, S.; Ditthakit, P.; Salaeh, N.; Hasan, M.A.; Son, C.T.; Linh, N.T.T.; Islam, S.; Yadav, K.K. Imputation of missing monthly rainfall data using machine learning and spatial interpolation approaches in Thale Sap Songkhla River Basin, Thailand. Environ. Sci. Pollut. Res. 2024, 31, 54044–54060. [Google Scholar] [CrossRef]
  11. Faramarzzadeh, M.; Ehsani, M.R.; Akbari, M.; Rahimi, R.; Moghaddam, M.; Behrangi, A.; Klöve, B.; Haghighi, A.T.; Oussalah, M. Application of Machine Learning and Remote Sensing for Gap-filling Daily Precipitation Data of a Sparsely Gauged Basin in East Africa. Environ. Process. 2023, 10, 8. [Google Scholar] [CrossRef]
  12. Wangwongchai, A.; Waqas, M.; Dechpichai, P.; Hlaing, P.T.; Ahmad, S.; Humphries, U.W. Imputation of missing daily rainfall data; A comparison between artificial intelligence and statistical techniques. MethodsX 2023, 11, 102459. [Google Scholar] [CrossRef]
  13. Schleiss, M.; Jaffrain, J.; Berne, A. Statistical analysis of rainfall intermittency at small spatial and temporal scales. Geophys. Res. Lett. 2011, 38, L18403. [Google Scholar] [CrossRef]
  14. Chivers, B.D.; Wallbank, J.; Cole, S.J.; Sebek, O.; Stanley, S.; Fry, M.; Leontidis, G. Imputation of missing sub-hourly precipitation data in a large sensor network: A machine learning approach. J. Hydrol. 2020, 588, 125126. [Google Scholar] [CrossRef]
  15. van Leth, T.C.; Leijnse, H.; Overeem, A.; Uijlenhoet, R. Rainfall Spatiotemporal Correlation and Intermittency Structure from Micro-γ to Meso-β Scale in the Netherlands. J. Hydrometeorol. 2021, 22, 2227–2240. [Google Scholar] [CrossRef]
  16. Singh, A.; Singh, V.; Gaurav, K. Leveraging neural operators and sliding window technique for enhanced subsurface soil moisture imputation under diverse precipitation scenarios. J. Gephys. Res. Mach. Learn. Comp. 2025, 2, e2025JH000730. [Google Scholar] [CrossRef]
  17. Pappas, C.; Papalexiou, S.M.; Koutsoyiannis, D. A quick gap filling of missing hydrometeorological data. J. Gephys. Res. Atmos. 2014, 119, 9290–9300. [Google Scholar] [CrossRef]
  18. Chen, T.; Ren, L.; Yuan, F.; Yang, X.; Jiang, S.; Tang, T.; Liu, Y.; Zhao, C.; Zhang, L. Comparison of spatial interpolation schemes for rainfall data and application in hydrological modelling. Water 2017, 9, 342. [Google Scholar] [CrossRef]
  19. Yang, R.; Xing, B. A comparison of the performance of different interpolation methods in replicating rainfall magnitudes under different climatic conditions in Chongqing province (China). Atmosphere 2021, 12, 1318. [Google Scholar] [CrossRef]
  20. Workneh, H.T.; Chen, X.; Ma, Y.; Bayable, E.; Dash, A. Comparison of IDW, Kriging and orographic based linear interpolations of rainfall in six rainfall regimes of Ethiopia. J. Hydrol. Reg. Stud. 2024, 52, 101696. [Google Scholar] [CrossRef]
  21. Teegavarapu, R.S.V.; Tufail, M.; Ormsbee, L. Optimal functional forms for estimation of missing precipitation data. J. Hydrol. 2009, 374, 106–115. [Google Scholar] [CrossRef]
  22. Fagandini, F.; Todaro, V.; Tanda, M.G.; Pereira, J.L.; Azevedo, L.; Zanini, A. Missing Rainfall Daily Data: A Comparison Among Gap-Filling Approaches. Math. Geosci. 2024, 56, 191–217. [Google Scholar] [CrossRef]
  23. Helmi, A.M.; Elgamal, M.; Farouk, M.I.; Abdelhamed, M.S.; Essawy, B.T. Evaluation of Geospatial Interpolation Techniques for Enhancing Spatiotemporal Rainfall Distribution and Filling Data Gaps in Asir Region, Saudi Arabia. Sustainability 2023, 15, 14028. [Google Scholar] [CrossRef]
  24. Borges, P.d.A.; Franke, J.; da Anunciação, Y.M.T.; Weiss, H.; Bernhofer, C. Comparison of spatial interpolation methods for the estimation of precipitation distribution in Distrito Federal, Brazil. Theor. Appl. Climatol. 2016, 123, 335–348. [Google Scholar] [CrossRef]
  25. Oriani, F.; Stisen, S.; Demirel, M.C.; Mariethoz, G. Missing Data Imputation for Multisite Rainfall Networks: A Comparison between Geostatistical Interpolation and Pattern-Based Estimation on Different Terrain Types. J. Hydromet. 2020, 21, 2325–2341. [Google Scholar] [CrossRef]
  26. Richman, M.B.; Trafalis, T.B.; Adrianto, I. Missing Data Imputation Through Machine Learning Algorithms. In Artificial Intelligence Methods in the Environmental Sciences; Haupt, S.E., Pasini, A., Marzban, C., Eds.; Springer: Dordrecht, The Netherlands, 2009. [Google Scholar] [CrossRef]
  27. Sattari, M.T.; Falsafian, K.; Irvem, A.; Shahab, S.; Qasem, S.N. Potential of kernel and tree-based machine-learning models for estimating missing data of rainfall. Eng. Appl. Comput. Fluid Mech. 2020, 14, 1078–1094. [Google Scholar] [CrossRef]
  28. Bellido-Jiménez, J.A.; Gualda, J.E.; García-Marín, A.P. Assessing Machine Learning models for gap filling daily rainfall series in a semiarid region of Spain. Atmosphere 2021, 12, 1158. [Google Scholar] [CrossRef]
  29. Lupi, A.; Luppichini, M.; Barsanti, M.; Bini, M.; Giannecchini, R. Machine learning models to complete rainfall time series databases affected by missing or anomalous data. Earth. Sci. Inform. 2023, 16, 3717–3728. [Google Scholar] [CrossRef]
  30. Praveen Kumar, G.; Dwarakish, G.S. Comparison of the multiple imputation approaches for imputing rainfall data: A humid tropical river basin case study. Water Conserv. Sci. Eng. 2025, 10, 87. [Google Scholar] [CrossRef]
  31. Reichstein, M.; Camps-Valls, G.; Stevens, B.; Jung, M.; Denzler, J.; Carvalhais, N.; Prabhat. Deep learning and process understanding for data-driven Earth system science. Nature 2019, 566, 195–204. [Google Scholar] [CrossRef]
  32. Pastorini, M.; Rodríguez, R.; Etcheverry, L.; Castro, A.; Gorgoglione, A. Enhancing environmental data imputation: A physically-constrained machine learning framework. Sci. Total Environ. 2024, 926, 171773. [Google Scholar] [CrossRef]
  33. Han, H.; Kim, B.; Kim, K.; Kim, D.; Kim, H.S. Machine learning approach for the estimation of missing precipitation data: A case study of South Korea. Water Sci. Technol. 2023, 88, 556–571. [Google Scholar] [CrossRef] [PubMed]
  34. Abraham, Z.; Tan, P.N. A semi-supervised framework for simultaneous classification and regression of zero-inflated time series data with application to precipitation prediction. In Proceedings of the ICDM Workshops 2009—IEEE International Conference on Data Mining, Miami, FL, USA, 6 December 2009; pp. 644–649. [Google Scholar] [CrossRef]
  35. Simolo, C.; Brunetti, M.; Maugeri, M.; Nanni, T. Improving estimation of missing values in daily precipitation series by a probability density function-preserving approach. Int. J. Climatol. 2010, 30, 1564–1576. [Google Scholar] [CrossRef]
  36. Teegavarapu, R.S.V.; Aly, A.; Pathak, C.S.; Ahlquist, J.; Fuelberg, H.; Hood, J. Infilling missing precipitation records using variants of spatial interpolation and data-driven methods: Use of optimal weighting parameters and nearest neighbour-based corrections. Int. J. Climatol. 2018, 38, 776–793. [Google Scholar] [CrossRef]
  37. Vidal-Paz, J.; Rodríguez-Gómez, B.A.; Orosa, J.A. A Comparison of Different Methods for Rainfall Imputation: A Galician Case Study. Appl. Sci. 2023, 13, 12260. [Google Scholar] [CrossRef]
  38. Vitale, S.; Ciarcia, S. Tectono-stratigraphic setting of the Campania region (Southern Italy). J. Maps 2018, 14, 9–21. [Google Scholar] [CrossRef]
  39. Cuomo, A.; Guida, D.; Palmieri, V. Digital orographic map of peninsular and insular Italy. J. Maps 2011, 7, 447–463. [Google Scholar] [CrossRef]
  40. Capozzi, V.; Annella, C.; Budillon, G. Classification of daily heavy precipitation patterns and associated synoptic types in the Campania Region (southern Italy). Atmos. Res. 2023, 289, 106781. [Google Scholar] [CrossRef]
  41. Pelosi, A.; Furcolo, P. An amplification model for the regional estimation of extreme rainfall within orographic areas in Campania region (Italy). Water 2015, 7, 6877–6891. [Google Scholar] [CrossRef]
  42. Avino, A.; Manfreda, S.; Cimorelli, L.; Pianese, D. Trend of annual maximum rainfall in Campania region (Southern Italy). Hydrol. Process. 2021, 35, e14447. [Google Scholar] [CrossRef]
  43. NOAA. ETOPO 2022 15 Arc-Second Global Relief Model; NOAA National Centers for Environmental Information: Asheville, NC, USA, 2022. [Google Scholar] [CrossRef]
  44. Tarquini, S.; Isola, I.; Favalli, M.; Battistini, A.; Dotta, G. TINITALY, a Digital Elevation Model of Italy with a 10 Meters Cell Size (Version 1.1); Istituto Nazionale di Geofisica e Vulcanologia (INGV): Roma, Italy, 2023. [Google Scholar]
  45. Varra, G.; Della Morte, R.; Tartaglia, M.; Fiduccia, A.; Zammuto, A.; Agostino, I.; Booth, C.A.; Quinn, N.; Lamond, J.E.; Cozzolino, L. Flood Susceptibility Assessment for Improving the Resilience Capacity of Railway Infrastructure Networks. Water 2024, 16, 2592. [Google Scholar] [CrossRef]
  46. Varra, G.; İnan, Ç.A.; Della Morte, R.; Tartaglia, M.; Fiduccia, A.; Zammuto, A.; Agostino, I.; Cozzolino, L. Assessment of direct rainfall and flood-induced damage to land transport infrastructure using two-dimensional HEC-RAS 6.6 rain-on-grid simulations. Nat. Hazards 2025, 121, 17615–17645. [Google Scholar] [CrossRef]
  47. Magliulo, P.; Cusano, A. Geomorphology of the Lower Calore River alluvial plain (Southern Italy). J. Maps 2016, 12, 1119–1127. [Google Scholar] [CrossRef]
  48. Magliulo, P.; Sessa, S.; Cusano, A.; Beatrice, M.; Giannini, A.; Russo, F. Assessing the Morphological Quality of the Calore River (Southern Italy). Geographies 2022, 2, 354–378. [Google Scholar] [CrossRef]
  49. CUGRi. Il Sistema Fognario Della Città di Napoli alle Soglie del 2000. Parte Prima; CUEN: Napoli, Italy, 2000. [Google Scholar]
  50. Ho, T.K. Random Decision Forests. In Proceedings of the 3rd International Conference on Document Analysis and Recognition, Montreal, QC, Canada, 14–16 August 1995; pp. 278–282. Available online: https://web.archive.org/web/20160417030218/http://ect.bell-labs.com/who/tkh/publications/papers/odt.pdf (accessed on 1 December 2024).
  51. Breiman, L. Random Forests. Mach. Learn. 2001, 45, 5–32. [Google Scholar] [CrossRef]
  52. Rumelhart, D.E.; Hinton, G.E.; Williams, R.J. Learning representations by back-propagating errors. Nature 1986, 323, 533–536. [Google Scholar] [CrossRef]
  53. Campozano, L.; Tenelanda, D.; Sanchez, E.; Samaniego, E.; Feyen, J. Comparison of Statistical Downscaling Methods for Monthly Total Precipitation: Case Study for the Paute River Basin in Southern Ecuador. Adv. Meteorol. 2016, 2016, 6526341. [Google Scholar] [CrossRef]
  54. İnan, Ç.A.; Artigue, G.; Kurtulus, B.; Pistre, S.; Johannet, A. A Hydrological Digital Twin by Artificial Neural Networks for Flood Simulation in Gardon de Sainte-Croix Basin, France. IOP Conf. Ser. Earth Environ. Sci. 2021, 906, 012112. [Google Scholar] [CrossRef]
  55. Tan, Y.X.; Ng, J.L.; Huang, Y.F. Estimation of missing daily rainfall during monsoon seasons for tropical region: A comparison between ann and conventional methods. Carpathian J. Earth Environ. Sci. 2020, 15, 103–112. [Google Scholar] [CrossRef]
  56. Chicco, D.; Warrens, M.J.; Jurman, G. The coefficient of determination R-squared is more informative than SMAPE, MAE, MAPE, MSE and RMSE in regression analysis evaluation. PeerJ Comput. Sci. 2021, 7, e623. [Google Scholar] [CrossRef]
Figure 1. Location of the study areas within (a) Italy and (b) the Campania region (ETOPO 2022 global relief model, 15 arc-second resolution [43]). Distribution of rain gauges within (c) the Calore Irpino River basin and (d) the Metropolitan City of Naples (TINITALY DTM, 10 m resolution, INGV [44]).
Figure 1. Location of the study areas within (a) Italy and (b) the Campania region (ETOPO 2022 global relief model, 15 arc-second resolution [43]). Distribution of rain gauges within (c) the Calore Irpino River basin and (d) the Metropolitan City of Naples (TINITALY DTM, 10 m resolution, INGV [44]).
Hydrology 12 00297 g001
Figure 2. Average monthly precipitation from (a) Benevento station in the Calore River basin, and (b) Napoli Camaldoli station in the Metropolitan City of Naples.
Figure 2. Average monthly precipitation from (a) Benevento station in the Calore River basin, and (b) Napoli Camaldoli station in the Metropolitan City of Naples.
Hydrology 12 00297 g002
Figure 3. Optimal Pearson correlation coefficients as a function of distance in the Calore River basin: original data series (a), and differential data series (b).
Figure 3. Optimal Pearson correlation coefficients as a function of distance in the Calore River basin: original data series (a), and differential data series (b).
Hydrology 12 00297 g003
Figure 4. Sensor clusters for (a) Altavilla Irpina and (b) Rocchetta stations in the Calore River basin.
Figure 4. Sensor clusters for (a) Altavilla Irpina and (b) Rocchetta stations in the Calore River basin.
Hydrology 12 00297 g004
Figure 5. Calore River basin. Optimal absolute lag time τ o p t as a function of distance l.
Figure 5. Calore River basin. Optimal absolute lag time τ o p t as a function of distance l.
Hydrology 12 00297 g005
Figure 6. Metropolitan City of Naples. Optimal Pearson correlation coefficients r τ o p t as a function of distance l (a) and corresponding τopt in minutes (b).
Figure 6. Metropolitan City of Naples. Optimal Pearson correlation coefficients r τ o p t as a function of distance l (a) and corresponding τopt in minutes (b).
Hydrology 12 00297 g006
Figure 7. Flowchart of two-step (a) and direct (b) approaches for the imputation of missing data.
Figure 7. Flowchart of two-step (a) and direct (b) approaches for the imputation of missing data.
Hydrology 12 00297 g007
Figure 8. Schematic representation of a Multilayer Perceptron with two hidden layers.
Figure 8. Schematic representation of a Multilayer Perceptron with two hidden layers.
Hydrology 12 00297 g008
Figure 9. Boxplots of RMSE for different models in the Calore River basin: MLP (a), RF (b), IDW (c), and OK (d) for the direct (DA) and two-step (TSA) approaches under the All, Clr, and 3S gauge configurations.
Figure 9. Boxplots of RMSE for different models in the Calore River basin: MLP (a), RF (b), IDW (c), and OK (d) for the direct (DA) and two-step (TSA) approaches under the All, Clr, and 3S gauge configurations.
Hydrology 12 00297 g009
Figure 10. Boxplots of RMSE for different models in the Metropolitan City of Naples: MLP (a), RF (b), IDW (c), and OK (d) for the direct (DA) and two-step (TSA) approaches under the All and 3S gauge configurations.
Figure 10. Boxplots of RMSE for different models in the Metropolitan City of Naples: MLP (a), RF (b), IDW (c), and OK (d) for the direct (DA) and two-step (TSA) approaches under the All and 3S gauge configurations.
Hydrology 12 00297 g010
Figure 11. Boxplots of R2 for different models in the Calore River basin: MLP (a), RF (b), IDW (c), and OK (d) for the direct (DA) and two-step (TSA) approaches under the All, Clr, and 3S gauge configurations.
Figure 11. Boxplots of R2 for different models in the Calore River basin: MLP (a), RF (b), IDW (c), and OK (d) for the direct (DA) and two-step (TSA) approaches under the All, Clr, and 3S gauge configurations.
Hydrology 12 00297 g011
Figure 12. Boxplots of R2 for different models in the Metropolitan City of Naples: MLP (a), RF (b), IDW (c), and OK (d) for the direct (DA) and two-step (TSA) approaches under the All and 3S gauge configurations.
Figure 12. Boxplots of R2 for different models in the Metropolitan City of Naples: MLP (a), RF (b), IDW (c), and OK (d) for the direct (DA) and two-step (TSA) approaches under the All and 3S gauge configurations.
Hydrology 12 00297 g012
Figure 13. Relative gain in R2 (%) of the two-step over direct approach. Calore River basin showing all tested scenarios (All, Clr, 3S) (a); Metropolitan City of Naples showing the All and 3S scenarios (b).
Figure 13. Relative gain in R2 (%) of the two-step over direct approach. Calore River basin showing all tested scenarios (All, Clr, 3S) (a); Metropolitan City of Naples showing the All and 3S scenarios (b).
Hydrology 12 00297 g013
Figure 14. Comparison of R2 values for two-step Random Forest models, with a 21-time interval window and with only the targeted time interval, across the All and 3S scenarios for the Calore River basin.
Figure 14. Comparison of R2 values for two-step Random Forest models, with a 21-time interval window and with only the targeted time interval, across the All and 3S scenarios for the Calore River basin.
Hydrology 12 00297 g014
Table 1. Characteristics of the rain gauges in the Calore River basin.
Table 1. Characteristics of the rain gauges in the Calore River basin.
Rain GaugeLongitude (°)Latitude (°)Elevation (m a.s.l)Missing Data (%)
Bagnoli Irpino15.0744440.827317300.82
Montella15.0502040.847704894.08
Montella METEO 115.0391040.8383051513.52
Cassano Irpino15.0294040.8800046011.35
Montemarano15.0036040.914108650.43
Serino14.8444040.891103270.19
Monteforte Irpino14.7213040.884706003.33
Avellino-Genio Civile14.7835840.911973600.10
Mercogliano14.7316040.920006250.19
Altavilla Irpina14.7838641.006283520.07
Luogosano15.0030040.983804500.17
S. Martino Valle Caudina14.6763040.997207570.348
Melito Irpino15.0533041.0908031913.43
Rocchetta14.9705041.1244067012.26
Ariano Irpino15.0854241.148536780.80
Benevento14.7624241.142001190.51
Benevento METEO 114.8250341.1150623610.15
Paduli14.8347041.148001301.12
Ponte Valentino14.8358041.141601390.20
Ariano Irpino METEO 115.1360841.1966163110.56
Pago Veiano14.8976141.2598325911.46
Castelfranco in Miscano15.0882241.299537510.48
Morcone14.6660341.3353663018.45
Colle Sannita14.8393641.368837770.13
Table 2. Characteristics of the rain gauges in the Metropolitan City of Naples.
Table 2. Characteristics of the rain gauges in the Metropolitan City of Naples.
Rain GaugeLongitude (°)Latitude (°)Elevation (m a.s.l)Missing Data (%)
Pompei14.492540.7566170.447
Torre del Greco14.380540.7941503.465
Ottaviano14.478640.85471800.202
Ercolano14.372240.82552090.348
Napoli Camaldoli14.198840.85833900.117
Napoli Capodimonte14.232540.86161760.148
Nisida METEO 114.163840.79378815.422
Pozzuoli14.135540.82981270.123
Table 3. Binary classification metrics for the 23 stations in the Calore River basin.
Table 3. Binary classification metrics for the 23 stations in the Calore River basin.
StationAccuracyPrecisionRecallF1Weighted F1
Bagnoli Irpino0.9240.8730.3990.5480.958
Montella0.9450.9210.4880.6380.970
Montella METEO 10.9420.9070.4800.6280.968
Cassano Irpino0.9350.9040.4010.5560.965
Montemarano0.9220.9000.3330.4860.957
Serino0.9270.9010.3660.5200.960
Monteforte Irpino0.9220.8850.3490.5000.957
Avellino-Genio Civile0.9330.9180.3640.5220.963
Altavilla Irpina0.9220.9110.3280.4830.957
Luogosano0.9250.9110.2810.4300.959
S. Martino Valle Caudina0.9120.8200.3830.5220.950
Melito Irpino0.9280.8650.2700.4110.961
Rocchetta0.9350.9170.2750.4240.965
Ariano Irpino0.9300.8980.2930.4410.962
Benevento0.9350.9080.2950.4460.965
Benevento METEO 10.9410.8940.3330.4860.968
Paduli0.9510.9260.3610.5200.974
Ponte Valentino0.9510.9000.3580.5120.974
Ariano Irpino METEO 10.9240.8720.2740.4170.959
Pago Veiano0.9150.8780.2390.3750.954
Castelfranco in Miscano0.9100.8410.2580.3950.951
Morcone0.9010.8260.2910.4300.945
Colle Sannita0.9130.8600.2680.4080.953
All stations average0.9280.8890.3340.4830.961
Table 4. Binary classification metrics for the 8 stations in the Metropolitan City of Naples.
Table 4. Binary classification metrics for the 8 stations in the Metropolitan City of Naples.
StationAccuracyPrecisionRecallF1Weighted F1
Ercolano0.9460.9020.3460.5010.954
Napoli Camaldoli0.9490.8980.3530.5070.957
Napoli Capodimonte0.9490.8930.3760.5290.958
Ottaviano0.9500.8850.3960.5470.957
Nisida0.9440.8270.3370.4790.959
Pompei0.9420.8350.3100.4520.959
Pozzuoli0.9430.8280.3080.4490.957
Torre del Greco0.9450.9100.3330.4870.957
All stations average0.9460.8720.3450.4940.957
Table 5. MLP model overall regression performance for direct (DS) and two-step (TSA) approaches and different station configurations: all stations (All), cluster (Clr), three most correlated stations (3S).
Table 5. MLP model overall regression performance for direct (DS) and two-step (TSA) approaches and different station configurations: all stations (All), cluster (Clr), three most correlated stations (3S).
Study AreaApproachScenarioRMSE (mm)R2
Calore River basinDAAll0.1280.381
Clr0.1280.373
3S0.1270.379
TSAAll0.1100.526
Clr0.1100.519
3S0.1100.521
Metropolitan City of NaplesDAAll0.1580.384
3S0.1580.384
TSAAll0.1460.474
3S0.1460.475
Table 6. RF model regression performance for direct (DA) and two-step (TSA) approaches and different station configurations: all stations (All), cluster (Clr), three most correlated stations (3S).
Table 6. RF model regression performance for direct (DA) and two-step (TSA) approaches and different station configurations: all stations (All), cluster (Clr), three most correlated stations (3S).
Study AreaApproachScenarioRMSE (mm)R2
Calore River basinDAAll0.1290.368
Clr0.1290.364
3S0.1280.372
TSAAll0.1090.541
Clr0.1100.528
3S0.1100.529
Metropolitan City of NaplesDAAll0.1600.374
3S0.1590.379
TSAAll0.1440.488
3S0.1450.483
Table 7. IDW method regression performance for direct (DA) and two-step (TSA) approaches and different station configurations: all stations (All), cluster (Clr), three most correlated stations (3S).
Table 7. IDW method regression performance for direct (DA) and two-step (TSA) approaches and different station configurations: all stations (All), cluster (Clr), three most correlated stations (3S).
Study AreaApproachScenarioRMSE (mm)R2
Calore River basinDAAll0.1280.348
Clr0.1370.238
3S0.1370.239
TSAAll0.1190.442
Clr0.1230.399
3S0.1230.396
Metropolitan City of NaplesDAAll0.1700.273
3S0.1740.235
TSAAll0.1550.397
3S0.1580.378
Table 8. OK method overall regression performance for direct (DA) and two-step (TSA) approaches and different station configurations: all stations (All), cluster (Clr), three most correlated stations (3S).
Table 8. OK method overall regression performance for direct (DA) and two-step (TSA) approaches and different station configurations: all stations (All), cluster (Clr), three most correlated stations (3S).
Study AreaApproachScenarioRMSE (mm)R2
Calore River basinDAAll0.1350.278
Clr0.1380.232
3S0.1360.264
TSAAll0.1260.383
Clr0.1230.396
3S0.1220.411
Metropolitan City of NaplesDAAll0.1790.203
3S0.1750.223
TSAAll0.1630.340
3S0.1580.378
Disclaimer/Publisher’s Note: The statements, opinions and data contained in all publications are solely those of the individual author(s) and contributor(s) and not of MDPI and/or the editor(s). MDPI and/or the editor(s) disclaim responsibility for any injury to people or property resulting from any ideas, methods, instructions or products referred to in the content.

Share and Cite

MDPI and ACS Style

Boukdire, M.; İnan, Ç.A.; Varra, G.; Della Morte, R.; Cozzolino, L. Interpolation and Machine Learning Methods for Sub-Hourly Missing Rainfall Data Imputation in a Data-Scarce Environment: One- and Two-Step Approaches. Hydrology 2025, 12, 297. https://doi.org/10.3390/hydrology12110297

AMA Style

Boukdire M, İnan ÇA, Varra G, Della Morte R, Cozzolino L. Interpolation and Machine Learning Methods for Sub-Hourly Missing Rainfall Data Imputation in a Data-Scarce Environment: One- and Two-Step Approaches. Hydrology. 2025; 12(11):297. https://doi.org/10.3390/hydrology12110297

Chicago/Turabian Style

Boukdire, Mohamed, Çağrı Alperen İnan, Giada Varra, Renata Della Morte, and Luca Cozzolino. 2025. "Interpolation and Machine Learning Methods for Sub-Hourly Missing Rainfall Data Imputation in a Data-Scarce Environment: One- and Two-Step Approaches" Hydrology 12, no. 11: 297. https://doi.org/10.3390/hydrology12110297

APA Style

Boukdire, M., İnan, Ç. A., Varra, G., Della Morte, R., & Cozzolino, L. (2025). Interpolation and Machine Learning Methods for Sub-Hourly Missing Rainfall Data Imputation in a Data-Scarce Environment: One- and Two-Step Approaches. Hydrology, 12(11), 297. https://doi.org/10.3390/hydrology12110297

Note that from the first issue of 2016, this journal uses article numbers instead of page numbers. See further details here.

Article Metrics

Back to TopTop