Sign in to use this feature.

Years

Between: -

Subjects

remove_circle_outline
remove_circle_outline
remove_circle_outline
remove_circle_outline
remove_circle_outline
remove_circle_outline
remove_circle_outline
remove_circle_outline
remove_circle_outline

Journals

Article Types

Countries / Regions

Search Results (83)

Search Parameters:
Keywords = weighted least square (WLS) method

Order results
Result details
Results per page
Select all
Export citation of selected articles as:
18 pages, 578 KB  
Article
Physics-Constrained Graph Attention Networks for Distribution System State Estimation Under Sparse and Noisy Measurements
by Zijian Hu, Zeyu Zhang, Honghua Xu, Ye Ji and Suyang Zhou
Processes 2025, 13(12), 4055; https://doi.org/10.3390/pr13124055 - 15 Dec 2025
Viewed by 218
Abstract
Accurate state estimation is essential for the real-time operation and control of modern distribution systems characterized by high renewable energy penetration, bidirectional power flows, and volatile loads. Conventional model-driven approaches such as the Weighted Least Squares (WLS) exhibit limited robustness under noisy and [...] Read more.
Accurate state estimation is essential for the real-time operation and control of modern distribution systems characterized by high renewable energy penetration, bidirectional power flows, and volatile loads. Conventional model-driven approaches such as the Weighted Least Squares (WLS) exhibit limited robustness under noisy and sparse measurements, while existing data-driven methods often neglect critical physical constraints inherent to power systems. To address these limitations, this paper proposes a physics-constrained Graph Attention Network (GAT) framework for distribution system state estimation (DSSE) that synergistically integrates data-driven learning with physical domain knowledge. The proposed method comprises three key components: (1) a Gaussian Mixture Model (GMM)-based data augmentation strategy that captures the stochastic characteristics of loads and distributed generation to generate synthetic samples consistent with actual operating distributions; (2) a GAT-based feature extractor with topology-aware admittance matrix embedding that effectively learns spatial dependencies and structural relationships among network nodes; and (3) a physics-constrained loss function that incorporates nodal power and voltage limit penalties to enforce operational feasibility. Comprehensive evaluations on the real-world 141-bus test system demonstrate that the proposed method achieves mean absolute error (MAE) reductions of 52.4% and 45.5% for voltage magnitude and angle estimation, respectively, compared to conventional Graph Convolutional Network (GCN)-based approaches. These results validate the superior accuracy, robustness, and adaptability of the proposed framework under challenging measurement conditions. Full article
Show Figures

Figure 1

20 pages, 1052 KB  
Article
Distributed State Estimation for Bilinear Power System Models Based on Weighted Least Absolute Value
by Shijie Gao, Zhihua Deng, Yunzhe Zhang and Pan Wang
Appl. Sci. 2025, 15(24), 13129; https://doi.org/10.3390/app152413129 - 13 Dec 2025
Viewed by 211
Abstract
Accurate, scalable, and outlier-robust state estimation (SE) is critical for large AC power systems with mixed SCADA and PMU measurements. This paper proposes D-BSE-L1, a distributed robust state estimator for the bilinear AC model. The method combines the bilinear state estimation framework with [...] Read more.
Accurate, scalable, and outlier-robust state estimation (SE) is critical for large AC power systems with mixed SCADA and PMU measurements. This paper proposes D-BSE-L1, a distributed robust state estimator for the bilinear AC model. The method combines the bilinear state estimation framework with a convex weighted least absolute value (WLAV) loss so that all area subproblems become convex linear or quadratic programs coordinated by ADMM, and a cache-enabled Cholesky factorization is used to accelerate the third-stage linear solves. Simulations on the IEEE 14-, 118-, and 1062-bus systems show that D-BSE-L1 achieves estimation accuracy comparable to its centralized bilinear counterpart. Under severe bad-data conditions, its advantage over weighted least squares with the largest normalized residual test (WLS + LNRT) is pronounced: with 10% 1.5× bad data, the voltage magnitude and angle MAEs are about 62% and 54% of those of WLS + LNRT, and with 5% 5× bad data, they further drop to roughly 43% and 51%, while requiring only about one-tenth of the CPU time. On the 1062-bus system, D-BSE-L1 maintains the MAE of the centralized estimator but reduces runtime from 2.46 s to 0.72 s, providing a scalable, hyperparameter-free, and robust solution for partitioned state estimation in large-scale power grids. Full article
(This article belongs to the Special Issue Applied Machine Learning in Industry 4.0)
Show Figures

Figure 1

31 pages, 11132 KB  
Article
Remote Sensing and Data-Driven Optimization of Water and Fertilizer Use: A Case Study of Maize Yield Estimation and Sustainable Agriculture in the Hexi Corridor
by Guang Yang, Jun Wang and Zhengyuan Qi
Sustainability 2025, 17(18), 8182; https://doi.org/10.3390/su17188182 - 11 Sep 2025
Cited by 1 | Viewed by 1005
Abstract
Agricultural sustainability is becoming increasingly critical in the face of climate change and resource scarcity. This study presents an innovative method for maize yield estimation, integrating remote sensing data and machine learning techniques to promote sustainable agricultural development. By combining Sentinel-2 optical imagery [...] Read more.
Agricultural sustainability is becoming increasingly critical in the face of climate change and resource scarcity. This study presents an innovative method for maize yield estimation, integrating remote sensing data and machine learning techniques to promote sustainable agricultural development. By combining Sentinel-2 optical imagery and Sentinel-1 radar data, accurate maize classification masks were created, and the Weighted Least Squares (WLS) model achieved a coefficient of determination (R2) of 0.89 and a root mean square error (RMSE) of 12.8%. Additionally, this study demonstrates the significant role of water and fertilizer optimization in enhancing agricultural sustainability, with water usage reduced by up to 14.76% in Wuwei and 10.23% in Zhangye, and nitrogen application reduced by 5.5% and 8.5%, respectively, while maintaining stable yields. This integrated approach not only increases productivity and reduces resource waste, but it also promotes environmentally friendly and efficient resource use, supporting sustainable agriculture in water-scarce regions. Full article
Show Figures

Figure 1

23 pages, 869 KB  
Article
Bootstrap Methods for Correcting Bias in WLS Estimators of the First-Order Bifurcating Autoregressive Model
by Tamer Elbayoumi, Mutiyat Usman, Sayed Mostafa, Mohammad Zayed and Ahmad Aboalkhair
Stats 2025, 8(3), 79; https://doi.org/10.3390/stats8030079 - 5 Sep 2025
Viewed by 730
Abstract
In this study, we examine the presence of bias in weighted least squares (WLS) estimation within the context of first-order bifurcating autoregressive (BAR(1)) models. These models are widely used in the analysis of binary tree-structured data, particularly in cell lineage research. Our findings [...] Read more.
In this study, we examine the presence of bias in weighted least squares (WLS) estimation within the context of first-order bifurcating autoregressive (BAR(1)) models. These models are widely used in the analysis of binary tree-structured data, particularly in cell lineage research. Our findings suggest that WLS estimators may exhibit significant and problematic biases, especially in finite samples. The magnitude and direction of this bias are influenced by both the autoregressive parameter and the correlation structure of the model errors. To address this issue, we propose two bootstrap-based methods for bias correction of the WLS estimator. The paper further introduces shrinkage-based versions of both single and fast double bootstrap bias correction techniques, designed to mitigate the over-correction and under-correction issues that may arise with traditional bootstrap methods, particularly in larger samples. Comprehensive simulation studies were conducted to evaluate the performance of the proposed bias-corrected estimators. The results show that the proposed corrections substantially reduce bias, with the most notable improvements observed at extreme values of the autoregressive parameter. Moreover, the study provides practical guidance for practitioners on method selection under varying conditions. Full article
Show Figures

Figure 1

21 pages, 1109 KB  
Article
Herbal Weight Loss Supplements Induce Metabolomic In Vitro Changes Indicative of Oxidative Stress
by Emily C. Davies, Garth L. Maker, Ian F. Musgrave and Samantha Lodge
Metabolites 2025, 15(9), 587; https://doi.org/10.3390/metabo15090587 - 1 Sep 2025
Cited by 1 | Viewed by 1548
Abstract
Background/Objectives: The prevalence of obesity continues to rise globally, and with this an increase in the use of herbal weight loss supplements (WLS). At present, there is limited evidence to support the efficacy and safety of WLS, and there have been growing [...] Read more.
Background/Objectives: The prevalence of obesity continues to rise globally, and with this an increase in the use of herbal weight loss supplements (WLS). At present, there is limited evidence to support the efficacy and safety of WLS, and there have been growing reports of adverse events associated with their use. We aimed to determine those WLS that caused toxicity in vitro and to use 1H nuclear magnetic spectroscopy (NMR) to examine the metabolomic changes induced by these WLS in human hepatic and intestinal cells. Materials and Methods: This study used in vitro methods and 1H NMR spectroscopy to analyse the metabolomic changes in vitro of WLS available for purchase in Australia. Ten WLS were selected, nine WLS caused significant toxicity in HepG2 human liver cells, and of these, six met the criteria for 1H NMR analysis, which was based on a 25–50% reduction in cell viability. Results: All 10 WLS caused a significant reduction in viability of Caco-2 human intestinal cells, with seven selected for metabolic profiling. Orthogonal partial least squares discriminant analysis (O-PLS-DA) of 1H NMR spectral data was used to characterise the metabolites that differed between the untreated and treated cells and the fold changes of the metabolites were determined. The results showed alterations to key metabolites such as amino acids, glucose, carboxylic acids, and amines in all treatment groups compared to untreated controls across both cell lines. Conclusions: Collectively, these biochemical changes represent disturbances to intracellular proteins, energy metabolism, and membrane lipids suggestive of oxidative stress. This study highlights the need for further investigations into the actions of these WLS in vivo, and, as these products were regulated by the Therapeutic Goods Administration (TGA) at the time of purchase, this study suggests improved pre-market screening to ensure consumer health is protected. Full article
(This article belongs to the Special Issue Metabolic Signatures in Human Health and Disease)
Show Figures

Graphical abstract

15 pages, 441 KB  
Article
Efficient Nyström-Based Unitary Single-Tone 2D DOA Estimation for URA Signals
by Liping Yuan, Ke Wang and Fengkai Luan
Mathematics 2025, 13(15), 2335; https://doi.org/10.3390/math13152335 - 22 Jul 2025
Cited by 2 | Viewed by 457
Abstract
We propose an efficient Nyström-based unitary subspace method for low-complexity two-dimensional (2D) direction-of-arrival (DOA) estimation in uniform rectangular array (URA) signal processing systems. The conventional high-resolution DOA estimation methods often suffer from excessive computational complexity, particularly when dealing with large-scale antenna arrays. The [...] Read more.
We propose an efficient Nyström-based unitary subspace method for low-complexity two-dimensional (2D) direction-of-arrival (DOA) estimation in uniform rectangular array (URA) signal processing systems. The conventional high-resolution DOA estimation methods often suffer from excessive computational complexity, particularly when dealing with large-scale antenna arrays. The proposed method addresses this challenge by combining the Nyström approximation with a unitary transformation to reduce the computational burden while maintaining estimation accuracy. The signal subspace is approximated using a partitioned covariance matrix, and a real-valued transformation is applied to further simplify the eigenvalue decomposition (EVD) process. Furthermore, the linear prediction coefficients are estimated via a weighted least squares (WLS) approach, enabling robust extraction of the angular parameters. The 2D DOA estimates are then derived from these coefficients through a closed-form solution, eliminating the need for exhaustive spectral searches. Numerical simulations demonstrate that the proposed method achieves comparable estimation performance to state-of-the-art techniques while significantly reducing computational complexity. For a fixed array size of M=N=20, the proposed method demonstrates significant computational efficiency, requiring less than 50% of the running time compared to conventional ESPRIT, and only 6% of the time required by ML methods, while maintaining similar performance. This makes it particularly suitable for real-time applications where computational efficiency is critical. The novelty lies in the integration of Nyström approximation and unitary subspace techniques, which jointly enable efficient and accurate 2D DOA estimation without sacrificing robustness against noise. The method is applicable to a wide range of array processing scenarios, including radar, sonar, and wireless communications. Full article
(This article belongs to the Section E2: Control Theory and Mechanics)
Show Figures

Figure 1

25 pages, 10317 KB  
Article
Sparse Reconstruction-Based Target Localization with Distributed Waveform-Diverse Array Radars
by Runlong Ma, Lan Lan, Guisheng Liao, Jingwei Xu, Fa Wei and Ximin Li
Remote Sens. 2025, 17(13), 2278; https://doi.org/10.3390/rs17132278 - 3 Jul 2025
Viewed by 906
Abstract
This paper addresses the problem of target localization in a distributed waveform diverse array radar system, exploiting the technique of sparse reconstruction. At the configuration stage, the distributed radar system consists of two individual Frequency Diverse Array Multiple-Input Multiple-Output (FDA-MIMO) radars and one [...] Read more.
This paper addresses the problem of target localization in a distributed waveform diverse array radar system, exploiting the technique of sparse reconstruction. At the configuration stage, the distributed radar system consists of two individual Frequency Diverse Array Multiple-Input Multiple-Output (FDA-MIMO) radars and one single Element-Pulse Coding MIMO (EPC-MIMO) radar. To obtain the angle and incremental range (i.e., the range offset between the sampling point and actual position within the range bin) of the targets in each local radar, two sparse reconstruction-based algorithms, including the grid-based Iterative Adaptive Approach (IAA) and gridless Atomic Norm Minimization (ANM) algorithms, are implemented. Furthermore, multiple sets of local statistics are fused at the fusion center, where a Weighted Least Squares (WLS) method is performed to localize targets. At the analysis stage, the estimation performance of the proposed methods, encompassing both IAA and ANM algorithms, is evaluated in contrast to the Cramér–Rao Bound (CRB). Numerical results and parametric studies are provided to demonstrate the effectiveness of the proposed sparse reconstruction methods for target localization in the distributed waveform diverse array system. Full article
(This article belongs to the Special Issue Advanced Techniques of Spaceborne Surveillance Radar)
Show Figures

Figure 1

30 pages, 2741 KB  
Article
Long-Term Multi-Resolution Probabilistic Load Forecasting Using Temporal Hierarchies
by Shafie Bahman and Hamidreza Zareipour
Energies 2025, 18(11), 2908; https://doi.org/10.3390/en18112908 - 1 Jun 2025
Cited by 1 | Viewed by 1753
Abstract
Accurate long-term electricity load forecasting is critical for energy planning, infrastructure development, and risk management, especially under increasing uncertainty from climate and economic shifts. This study proposes a multi-resolution probabilistic load forecasting framework that leverages temporal hierarchies to generate coherent forecasts at hourly, [...] Read more.
Accurate long-term electricity load forecasting is critical for energy planning, infrastructure development, and risk management, especially under increasing uncertainty from climate and economic shifts. This study proposes a multi-resolution probabilistic load forecasting framework that leverages temporal hierarchies to generate coherent forecasts at hourly, daily, monthly, and yearly levels. The model integrates climate and economic indicators and employs tailored forecasting techniques at each resolution, including XGBoost and ARIMAX. Initially incoherent forecasts across time scales are reconciled using advanced methods such as Ordinary Least Squares (OLS), Weighted Least Squares with Series Variance Scaling (WLS_V), and Structural Scaling (WLS_S) to ensure consistency. Using historical data from Alberta, Canada, the proposed approach improves the accuracy of deterministic forecasts and enhances the reliability of probabilistic forecasts, particularly when using the OLS reconciliation method. These results highlight the value of temporal hierarchy structures in producing high-resolution long-horizon load forecasts, providing actionable insights for utilities and policymakers involved in long-term energy planning and system optimization. Full article
(This article belongs to the Special Issue Forecasting and Risk Management Techniques for Electricity Markets II)
Show Figures

Figure 1

26 pages, 2401 KB  
Article
Novel Gain-Optimized Two-Step Fusion Filtering Method for Ranging-Based Localization Using Predicted Residuals
by Bo Chang, Xinrong Zhang, Na Sun and Hao Ni
Sensors 2025, 25(9), 2883; https://doi.org/10.3390/s25092883 - 2 May 2025
Viewed by 838
Abstract
A two-stage fusion filtering positioning algorithm based on prediction residuals and gain adaptation is proposed to address the problems of disturbance and modeling errors in the application of distance-based positioning algorithms in wireless sensor networks, as well as inaccurate initial filtering values leading [...] Read more.
A two-stage fusion filtering positioning algorithm based on prediction residuals and gain adaptation is proposed to address the problems of disturbance and modeling errors in the application of distance-based positioning algorithms in wireless sensor networks, as well as inaccurate initial filtering values leading to large estimation errors or even divergence. Firstly, based on parameterization methods, a pseudo linear equation is constructed from the time of arrival (TOA) and multipath delay. The weighted least squares (WLS) method is applied to obtain the initial value of target position resolution, and its performance approaches the Cramér–Rao lower bound (CRLB). Secondly, the exact position of the target is obtained using the reconstructed Gaussian white noise statistics and the Kalman filtering algorithm. The simulation results show that compared with other initial positioning algorithms, the average positioning accuracy of the proposed algorithm is improved by 28.57%, and it has a better filtering performance. Full article
(This article belongs to the Section Sensor Networks)
Show Figures

Figure 1

20 pages, 9426 KB  
Article
Hybrid Filtering Technique for Accurate GNSS State Estimation
by Jahnvi Verma, Nischal Bhattarai and Thejesh N. Bandi
Remote Sens. 2025, 17(9), 1552; https://doi.org/10.3390/rs17091552 - 27 Apr 2025
Cited by 2 | Viewed by 1367
Abstract
The Global Navigation Satellite System (GNSS) is extensively utilized in various applications that require triangulation solutions for positioning, navigation, and timing (PNT). These solutions are obtained by solving state estimates, traditionally using methods like weighted least squares (WLS) and Kalman Filters (KF). While [...] Read more.
The Global Navigation Satellite System (GNSS) is extensively utilized in various applications that require triangulation solutions for positioning, navigation, and timing (PNT). These solutions are obtained by solving state estimates, traditionally using methods like weighted least squares (WLS) and Kalman Filters (KF). While these conventional approaches are foundational, they frequently encounter challenges related to robustness, particularly the necessity for precise noise statistics and the reliance on potentially accurate prior assumptions. This paper introduces a hybrid approach to GNSS state estimation, which integrates deep neural networks (DNNs) with the KF framework, employing the maximum likelihood principle for unsupervised training. Our methodology combines the strengths of DNNs with conventional KF techniques, leveraging established model-based priors while enabling flexible, data-driven modifications. We parameterize components of the Extended Kalman Filter (EKF) using neural networks, training them with a probabilistically informed maximum likelihood loss function and backpropagation. We demonstrate that this hybrid method outperforms classical algorithms both in terms of accuracy and flexibility for easier implementation, showing better than 30% improvement in the variance of the horizontal position for the simulated as well as the real-world dynamic receiver dataset. For the real-world dynamic dataset, our method also provides a better fit to the measurements than the classical algorithms. Full article
(This article belongs to the Special Issue Signal Processing and Machine Learning for Space Geodesy Applications)
Show Figures

Figure 1

15 pages, 1142 KB  
Article
A Two-Step SD/SOCP-GTRS Method for Improved RSS-Based Localization in Wireless Sensor Networks
by Shengming Chang and Lincan Li
Sensors 2025, 25(6), 1837; https://doi.org/10.3390/s25061837 - 15 Mar 2025
Cited by 1 | Viewed by 851
Abstract
Wireless localization is a fundamental component of modern sensor networks, with applications spanning environmental monitoring and smart cities. Ensuring accurate and efficient localization is critical for enhancing network performance and reliability, particularly in the presence of signal attenuation and noise. This study proposes [...] Read more.
Wireless localization is a fundamental component of modern sensor networks, with applications spanning environmental monitoring and smart cities. Ensuring accurate and efficient localization is critical for enhancing network performance and reliability, particularly in the presence of signal attenuation and noise. This study proposes a novel two-step localization framework, SD/SOCP-GTRS, to improve the precision of target localization using received signal strength (RSS) measurements. In the first step (SD/SOCP), semidefinite programming (SDP) and second-order cone programming (SOCP)-based convex relaxation are applied to the maximum likelihood (ML) estimator, generating an initial coarse estimate. The second step (GTRS) refines this estimate using weighted least squares (WLS) and the generalized trust region subproblem (GTRS), mitigating performance degradation caused by relaxation. Monte Carlo simulations validate that the proposed SD/SOCP-GTRS approach effectively reduces root mean square error (RMSE) compared to other methods. These findings demonstrate that the SD/SOCP-GTRS framework consistently outperforms existing techniques, approaching the theoretical performance limit and offering a robust solution for high-precision localization in wireless sensor networks. Full article
(This article belongs to the Section Sensor Networks)
Show Figures

Figure 1

21 pages, 1452 KB  
Article
Estimation of Biresponse Semiparametric Regression Model for Longitudinal Data Using Local Polynomial Kernel Estimator
by Tiani Wahyu Utami, Nur Chamidah, Toha Saifudin, Budi Lestari and Dursun Aydin
Symmetry 2025, 17(3), 392; https://doi.org/10.3390/sym17030392 - 4 Mar 2025
Cited by 3 | Viewed by 1301
Abstract
When handling longitudinal data in regression models, we often encounter problems involving two interrelated response variables. These response variables may display an unknown curve shape in their relationship with one predictor variable, referred to as the nonparametric component, while maintaining a linear relationship [...] Read more.
When handling longitudinal data in regression models, we often encounter problems involving two interrelated response variables. These response variables may display an unknown curve shape in their relationship with one predictor variable, referred to as the nonparametric component, while maintaining a linear relationship with other predictor variables, referred to as the parametric component. In such cases, a Biresponse Semiparametric Regression (BSR) approach is a suitable solution. This research aims to estimate the BSR model for longitudinal data using the Local Polynomial Kernel (LPK) estimator by considering a symmetrical variance–covariance matrix estimate validated on simulation data and apply it to a real dataset of Dengue Hemorrhagic Fever (DHF) disease. The parameter estimation method used is a combination of Least Squares (LS) and Weighted Least Squares (WLS). For determining the optimal bandwidth, we use a Generalized Cross–Validation (GCV) method. The simulation study results indicate that with kernel weighting, employing weights derived from the inverse of the variance–covariance matrix significantly enhances the estimation accuracy of the BSR model. In addition, the results of the estimation for modeling the DHF disease, where platelets and hematocrit are response variables, and hemoglobin and examination time are predictor variables, produced an R-Square value of 92.8%. Full article
(This article belongs to the Section Mathematics)
Show Figures

Figure 1

13 pages, 2389 KB  
Article
A Data-Driven State Estimation Based on Sample Migration for Low-Observable Distribution Networks
by Hao Jiao, Chen Wu, Lei Wei, Jinming Chen, Yang Xu and Manyun Huang
Algorithms 2025, 18(3), 121; https://doi.org/10.3390/a18030121 - 20 Feb 2025
Cited by 1 | Viewed by 769
Abstract
This paper proposes a data-driven state estimation based on sample migration for low-observable distribution networks, addressing the challenge of traditional state estimators being unsuitable for distribution networks with low observability. The state estimation model is trained using historical measurement data from distribution networks [...] Read more.
This paper proposes a data-driven state estimation based on sample migration for low-observable distribution networks, addressing the challenge of traditional state estimators being unsuitable for distribution networks with low observability. The state estimation model is trained using historical measurement data from distribution networks with high observability. Measurements updated for low-observable distribution networks are supplemented by transferring samples from high-observable distribution networks using sample migration techniques, resulting in a state estimation model suitable for low-observable distribution networks. Test results demonstrate that the proposed algorithm outperforms traditional algorithms in both estimation accuracy and robustness aspects, such as the Weighted Least Squares (WLS) and Weighted Least Absolute Value (WLAV) methods. Furthermore, sample migration enhances the generalization ability of the state estimation model. Full article
(This article belongs to the Section Algorithms for Multidisciplinary Applications)
Show Figures

Figure 1

17 pages, 8228 KB  
Article
Application of Enhanced Weighted Least Squares with Dark Background Image Fusion for Inhomogeneity Noise Removal in Brain Tumor Hyperspectral Images
by Jiayue Yan, Chenglong Tao, Yuan Wang, Jian Du, Meijie Qi, Zhoufeng Zhang and Bingliang Hu
Appl. Sci. 2025, 15(1), 321; https://doi.org/10.3390/app15010321 - 31 Dec 2024
Cited by 2 | Viewed by 1193
Abstract
The inhomogeneity of spectral pixel response is an unavoidable phenomenon in hyperspectral imaging, which is mainly manifested by the existence of inhomogeneity banding noise in the acquired hyperspectral data. It must be carried out to get rid of this type of striped noise [...] Read more.
The inhomogeneity of spectral pixel response is an unavoidable phenomenon in hyperspectral imaging, which is mainly manifested by the existence of inhomogeneity banding noise in the acquired hyperspectral data. It must be carried out to get rid of this type of striped noise since it is frequently uneven and densely distributed, which negatively impacts data processing and application. By analyzing the source of the instrument noise, this work first created a novel non-uniform noise removal method for a spatial dimensional push sweep hyperspectral imaging system. Clean and clear medical hyperspectral brain tumor tissue images were generated by combining scene-based and reference-based non-uniformity correction denoising algorithms, providing a strong basis for further diagnosis and classification. The precise procedure entails gathering the reference dark background image for rectification and the actual medical hyperspectral brain tumor image. The original hyperspectral brain tumor image is then smoothed using a weighted least squares algorithm model embedded with bilateral filtering (BLF-WLS), followed by a calculation and separation of the instrument fixed-mode fringe noise component from the acquired reference dark background image. The purpose of eliminating non-uniform fringe noise is achieved. In comparison to other common image denoising methods, the evaluation is based on the subjective effect and unreferenced image denoising evaluation indices. The approach discussed in this paper, according to the experiments, produces the best results in terms of the subjective effect and unreferenced image denoising evaluation indices (MICV and MNR). The image processed by this method has almost no residual non-uniform noise, the image is clear, and the best visual effect is achieved. It can be concluded that different denoising methods designed for different noises have better denoising effects on hyperspectral images. The non-uniformity denoising method designed in this paper based on a spatial dimension push-sweep hyperspectral imaging system can be widely used. Full article
Show Figures

Figure 1

21 pages, 13000 KB  
Article
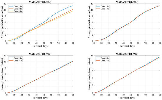
Improved LOD and UT1-UTC Prediction Using Least Squares Combined with Polynomial CURVE Fitting
by Chao Li, Xishun Li, Yuanwei Wu, Xuhai Yang, Haihua Qiao and Haiyan Yang
Remote Sens. 2024, 16(23), 4393; https://doi.org/10.3390/rs16234393 - 24 Nov 2024
Viewed by 1380
Abstract
The Length of Day (LOD) and the Universal Time (UT1) play crucial roles in satellite positioning, deep space exploration, and related fields. The primary method for predicting LOD and UT1 is least squares fitting combined with autoregressive (AR) models. Polynomial Curve Fitting (PCF) [...] Read more.
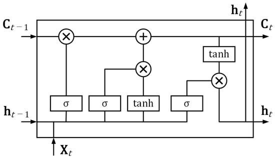
The Length of Day (LOD) and the Universal Time (UT1) play crucial roles in satellite positioning, deep space exploration, and related fields. The primary method for predicting LOD and UT1 is least squares fitting combined with autoregressive (AR) models. Polynomial Curve Fitting (PCF) has greater accuracy in capturing long-term trends compared to standard least squares fitting. In this study, PCF combined with Weighted Least Squares (WLS) is employed to fit and extrapolate the periodic and trend components of the LOD series after removing tidal influences. Additionally, considering the time-varying characteristics of the LOD series, a Long Short-Term Memory (LSTM) network is utilized to predict the residuals derived from the fitting process. The 14 C04 LOD series released by the International Earth Rotation and Reference System Service (IERS) is used as the base series, with 70 LOD and UT1-UTC prediction experiments conducted during the period from 1 September 2021–31 December 2022. The results indicate that the PCF+WLS+LSTM method is well-suited for medium- and long-term (90–360 days) prediction of the LOD and UT1-UTC. Significant improvements in prediction accuracy were obtained for periods ranging from 90–360 days, particularly beyond 150 days, where the average accuracy improved by over 20% compared to IERS Bulletin A. Specifically, the largest prediction accuracy increase for LOD and UT1-UTC was 49.5% and 59.2%, respectively. Full article
Show Figures

Figure 1

Back to TopTop